Technical Characterization of a High-Power Diode Laser at 445 nm for Medical Applications: From Continuous Wave Down to Pulse Durations in the µs-Range
Abstract
1. Introduction
Operation Modes for Diode Lasers
2. Materials and Methods
2.1. Laser Source
2.2. Technical Equipment
2.3. Laser Properties/Parameter Selection
2.4. Sample Preparation and Sample Number
2.5. Experimental Setup and Method of Irradiation
2.6. Histological Preparation and Evaluation
2.7. Statistical Evaluation
3. Results
3.1. Power Characteristics
3.2. Temporal Behaviour of the Laser Pulses
3.3. Pulse Trains
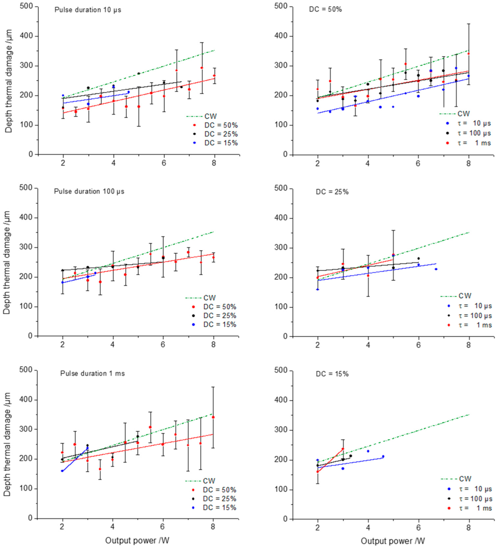
3.4. Tissue Irradiation
4. Discussion
5. Conclusions
Author Contributions
Funding
Institutional Review Board Statement
Informed Consent Statement
Data Availability Statement
Acknowledgments
Conflicts of Interest
References
- Sonntag, S.R.; Seifert, E.; Hamann, M.; Lewke, B.; Theisen-Kunde, D.; Grisanti, S.; Brinkmann, R.; Miura, Y. Fluorescence lifetime changes induced by laser irradiation: A preclinical study towards the evaluation of retinal metabolic states. Life 2021, 11, 555. [Google Scholar] [CrossRef] [PubMed]
- Sonntag, S.R.; Hamann, M.; Seifert, E.; Grisanti, S.; Brinkmann, R.; Miura, Y. Detection sensitivity of fluorescence lifetime imaging ophthalmoscopy for laser-induced selective damage of retinal pigment epithelium. Graefes Arch. Clin. Exp. Ophthalmol. 2024, 262, 2885–2895. [Google Scholar] [CrossRef]
- Pei-Pei, W.; Shi-Zhou, H.; Zhen, T.; Lin, L.; Ying, L.; Jiexiong, O.; Wen-Bo, Z.; Chen-Jin, J. Randomised clinical trial evaluating best-corrected visual acuity and central macular thickness after 532-nm subthreshold laser grid photocoagulation treatment in diabetic macular oedema. Eye 2015, 29, 313–321. [Google Scholar] [CrossRef] [PubMed]
- Jiang, L.; Qin, B.; Luo, X.-L.; Cao, H.; Deng, T.-M.; Yang, M.-M.; Meng, T.; Yang, H.-Q. Three-year follow-up of Coats disease treated with conbercept and 532-nm laser photocoagulation. World J. Clin. Cases 2020, 8, 6243–6251. [Google Scholar] [CrossRef]
- McCaffer, C.J.; Pabla, L.; Watson, C. Curved adjustable fibre-optic diode laser in microscopic cholesteatoma surgery: Description of use and review of the relevant literature. J. Laryngol. Otol. 2018, 132, 360–363. [Google Scholar] [CrossRef] [PubMed]
- Haak, R.; Wicht, M.J. Caries detection and quantification with DIAGNOdent: Prospects for occlusal and root caries? Int. J. Comput. Dent. 2004, 7, 347–358. [Google Scholar] [PubMed]
- Liaqat, S.; Qayyum, H.; Rafaqat, Z.; Qadir, A.; Fayyaz, S.; Khan, A.; Jabeen, H.; Muhammad, N.; Khan, M.A. Laser as an innovative tool, its implications and advances in dentistry: A systematic review. J. Photochem. Photobiol. 2022, 12, 100148. [Google Scholar] [CrossRef]
- Liang, F.; Xiao, Z.; Chen, R.; Han, P.; Lin, P.; Huang, Y.; Huang, X. Transoral 980-nm/1470-nm dual-wavelength fiber laser microsurgery for early-stage glottic carcinoma. Oral. Oncol. 2019, 96, 66–70. [Google Scholar] [CrossRef] [PubMed]
- Haque, A.U.; Lal, N.; Rastogi, P.; Kaushal, S.; Verma, M. Applications of 445 nm soft tissue diode laser in soft tissue dental surgeries: A case series. J. Dent. Indones. 2023, 6, 32–36. [Google Scholar] [CrossRef]
- Karkos, P.D.; Koskinas, I.S.; Triaridis, S.; Constantinidis, J. Lasers in otolaryngology: A laser odyssey from carbon dioxide to TrueBlue. Ear Nose Throat J. 2021, 100 (Suppl. S1), 1S–3S. [Google Scholar] [CrossRef]
- Hamdan, A.-L.; Feghali, P.A.R.; Hosri, J.; Ghanem, A.; Alam, E. Office-based laser therapy for vocal fold cyst: A promising alternative therapy using the 445 nm blue laser. J. Voice, 2023; in press. [Google Scholar] [CrossRef]
- Ordóñez Ordóñez, L.E.; Cerón Perdomo, D.; González Saboya, C.P.; Osorio Mejía, F.; Medina-Parra, J.; Angulo Martínez, E.S. Conventional vs. diode laser stapedotomy: Audiological outcomes and clinical safety. Eur. Arch. Otorhinolaryngol. 2024, 281, 3443–3452. [Google Scholar] [CrossRef]
- Lin, C.-K.; Chen, Y.-P.; Wang, Y.-H.; Dailey, S.H.; Lai, Y.-T. Photoangiolysis with the 445-nm blue laser and the potassium-titanyl-phosphate laser: A comparison. Ann. Otol. Rhinol. Laryngol. 2024, 133, 921–927. [Google Scholar] [CrossRef]
- Nguyen, D.D.; Pang, J.-Y.; Novakovic, D. Comparison of angiolytic effects between the 445-nm blue laser and 532-nm pulsed KTP laser. Laryngoscope 2024, 134, 3220–3225. [Google Scholar] [CrossRef]
- Sridharan, S.; Achlatis, S.; Ruiz, R.; Jeswani, S.; Fang, Y.; Branski, R.C.; Amin, M.R. Patient-based outcomes of in-office KTP ablation of vocal fold polyps. Laryngoscope 2014, 124, 1176–7119. [Google Scholar] [CrossRef]
- Mallur, P.S.; Johns, M.M., 3rd; Amin, M.R.; Rosen, C.A. Proposed classification system for reporting 532-nm pulsed potassium titanyl phosphate laser treatment effects on vocal fold lesions. Laryngoscope 2014, 124, 1170–1175. [Google Scholar] [CrossRef] [PubMed]
- Luk, K. Clinical application of a digital pulsed diode laser in depigmentation therapy. J. ALD 2005, 13, 18–21. [Google Scholar]
- Maiorana, C.; Salina, S. Versatility of a superpulsed diode laser in oral surgery: A clinical report. J. Oral. Laser Appl. 2006, 6, 193–199. [Google Scholar]
- Luk, K. Depigmentation of gingivae and lip with digital pulsed diode laser-an integral part of cosmetic dentistry. Laser J. 2009, 1, 31–33. [Google Scholar]
- Hanke, A.; Fimmers, R.; Frentzen, M.; Meister, J. Quantitative determination of cut efficiency during soft tissue surgery using diode lasers in the wavelength range between 400 and 1500 nm. Lasers Med. Sci. 2021, 36, 1633–1647. [Google Scholar] [CrossRef] [PubMed]
- Hess, M.M.; Fleischer, S.; Ernstberger, M. New 445 nm blue laser for laryngeal surgery combines photoangiolytic and cutting properties. Eur. Arch. Otorhinolaryngol. 2018, 275, 1557–1567. [Google Scholar] [CrossRef] [PubMed]
- EN IEC 60601-2-22:2020; Medical Electrical Equipment, Part 2-22: Particular Requirements for Basic Safety and Essential Performance of Surgical, Cosmetic, Therapeutic and Diagnostic Laser Equipment. International Electrotechnical Commission (IEC): Geneva, Switzerland, 2020.
- LASORB. Laser Diode Damage Mechanisms. Available online: https://www.lasorb.com/laser-diode-damage-mechanisms/ (accessed on 6 January 2025).
- Prahl, S.A. Optical Absorption of Hemoglobin. In Oregon Medical Laser Center. 2018. Available online: http://omlc.ogi.edu/spectra/hemoglobin/index.html (accessed on 6 January 2025).
- Jacques, S.L. Optical Absorption of Melanin. In Oregon Medical Laser Center. 2018. Available online: http://omlc.ogi.edu/spectra/melanin/index.html (accessed on 6 January 2025).
- Hale, G.M.; Querry, M.R. Optical constants of water in the 200-nm to 200-micrometer wavelength region. Appl. Opt. 1973, 12, 555–563. [Google Scholar] [CrossRef] [PubMed]
- Lusche, I.; Dirk, C.; Frentzen, M.; Meister, J. Cavity disinfection with a 445 nm-diode laser within the scope of restorative therapy—A pilot study. J. Lasers Med. Sci. 2020, 11, 417–426. [Google Scholar] [CrossRef]
- Deppe, H.; Ahrens, M.; Behr, A.V.; Marr, C.; Sculean, A.; Mela, P.; Ritschl, L.M. Thermal effect of a 445 nm diode laser on five dental implant systems: An in vitro study. Sci. Rep. 2021, 11, 20174. [Google Scholar] [CrossRef] [PubMed]
- Wenzler, J.-S.; Falk, W.; Frankenberger, R.; Braun, A. Impact of adjunctive laser irradiation on the bacterial load of dental root canals: A randomized controlled clinical trial. Antibiotics 2021, 10, 1557. [Google Scholar] [CrossRef] [PubMed]
- Al-Maliky, M.A.; Frentzen, M.; Meister, J. Artificial caries resistance in enamel after topical fluoride treatment and 445 nm laser irradiation. Hindawi BioMed Res. Int. 2019, 2019, 9101642. [Google Scholar] [CrossRef]
- Partovi, F.; Izatt, J.A.; Cothren, R.M.; Kittrell, C.; Thomas, J.E.; Strikwerda, S.; Kramer, J.R.; Feld, M.S. A model for thermal ablation of biological tissue using laser radiation. Lasers Surg. Med. 1987, 7, 141–154. [Google Scholar] [CrossRef] [PubMed]
- Bianchi, L.; Fiorentini, S.; Gianella, S.; Gianotti, S.; Iadanza, C.; Asadi, S.; Saccomandi, P. Measurement of thermal conductivity and thermal diffusivity of porcine and bovine kidney tissues at supraphysiological temperatures up to 93 °C. Sensors 2023, 23, 6865. [Google Scholar] [CrossRef] [PubMed]
- Vogel, A.; Venugopalan, V. Mechanisms of pulsed laser ablation of biological tissues. Chem. Rev. 2003, 103, 577–644. [Google Scholar] [CrossRef]













| DC = 1% (0.01) | ||||||||||
| 10 kHz (1 µs) | 2 kHz (5 µs) | 1 kHz (10 µs) | 200 Hz (50 µs) | 133.3 Hz (75 µs) | 100 Hz (100 µs) | 66.7 Hz (150 µs) | 50 Hz (200 µs) | 40 Hz (250 µs) | 25 Hz (400 µs) | 1 Hz (10 ms) |
| DC = 5% (0.05) | ||||||||||
| 50 kHz (1 µs) | 10 kHz (5 µs) | 5 kHz (10 µs) | 1 kHz (50 µs) | 666.7 Hz (75 µs) | 500 Hz (100 µs) | 333.3 Hz (150 µs) | 250 Hz (200 µs) | 200 Hz (250 µs) | 125 Hz (400 µs) | 1 Hz (50 ms) |
| DC = 10% (0.10) | ||||||||||
| 100 kHz (1 µs) | 20 kHz (5 µs) | 10 kHz (10 µs) | 2 kHz (50 µs) | 1.33 kHz (75 µs) | 1 kHz (100 µs) | 666.7 Hz (150 µs) | 500 Hz (200 µs) | 400 Hz (250 µs) | 250 Hz (400 µs) | 1 Hz (100 ms) |
| DC = 15% (0.15) | ||||||||||
| 150 kHz (1 µs) | 30 kHz (5 µs) | 15 kHz (10 µs) | 3 kHz (50 µs) | 2 kHz (75 µs) | 1.5 kHz (100 µs) | 1 kHz (150 µs) | 750 Hz (200 µs) | 600 Hz (250 µs) | 375 Hz (400 µs) | 1 Hz (150 ms) |
| DC = 20% (0.20) | ||||||||||
| 200 kHz (1 µs) | 40 kHz (5 µs) | 20 kHz (10 µs) | 4 kHz (50 µs) | 2.67 kHz (75 µs) | 2 kHz (100 µs) | 1.33 kHz (150 µs) | 1 kHz (200 µs) | 800 Hz (250 µs) | 500 Hz (400 µs) | 1 Hz (200 ms) |
| DC = 25% (0.25) | ||||||||||
| 250 kHz (1 µs) | 50 kHz (5 µs) | 25 kHz (10 µs) | 5 kHz (50 µs) | 3.33 kHz (75 µs) | 2.5 kHz (100 µs) | 1.67 kHz (150 µs) | 1.25 kHz (200 µs) | 1 kHz (250 µs) | 625 Hz (400 µs) | 1 Hz (250 ms) |
| DC = 30% (0.30) | ||||||||||
| 300 kHz (1 µs) | 60 kHz (5 µs) | 30 kHz (10 µs) | 6 kHz (50 µs) | 4 kHz (75 µs) | 3 kHz (100 µs) | 2 kHz (150 µs) | 1.5 kHz (200 µs) | 1.2 kHz (250 µs) | 750 Hz (400 µs) | 1 Hz (300 ms) |
| DC = 40% (0.40) | ||||||||||
| 40 kHz (10 µs) | 1 Hz (400 ms) | |||||||||
| DC = 50% (0.50) | ||||||||||
| 50 kHz (10 µs) | 1 Hz (500 ms) | |||||||||
| DC = 60% (0.60) | ||||||||||
| 60 kHz (10 µs) | 1 Hz (600 ms) | |||||||||
| DC = 70% (0.70) | ||||||||||
| 70 kHz (10 µs) | 1 Hz (700 ms) | |||||||||
| DC = 80% (0.80) | ||||||||||
| 80 kHz (10 µs) | 1 Hz (800 ms) | |||||||||
| DC = 90% (0.90) | ||||||||||
| 90 kHz (10 µs) | 1 Hz (900 ms) | |||||||||
| DC = 50% | |||||
| Rep. rate (τ) | Power [W] | Rep. Rate (τ) | Power [W] | Rep. rate (τ) | Power [W] |
| 50 kHz (10 µs) | 2.0–8.0 (increment 0.5 W) | 5 kHz (100 µs) | 2.0–8.0 (increment 0.5 W) | 500 Hz (1 ms) | 2.0–8.0 (increment 0.5 W) |
| DC = 25% | |||||
| 25 kHz (10 µs) | 2.0–6.7 (increment 1 W) | 2.5 kHz (100 µs) | 2.0–6.0 (increment 1 W) | 250 Hz (1 ms) | 2.0–5.0 (increment 1 W) |
| DC = 15% | |||||
| 15 kHz (10 µs) | 2.0–4.6 (increment 1 W) | 1.5 kHz (100 µs) | 2.0–3.3 (increment 1 W) | 150 Hz (1 ms) | 2.0–3.0 (increment 1 W) |
| CW | τ = 10 µs | τ = 100 µs | τ = 1 ms | |||||||
|---|---|---|---|---|---|---|---|---|---|---|
| 100% | 15% | 25% | 50% | 15% | 25% | 50% | 15% | 25% | 50% | |
| 2 W | ![]() | ![]() | ![]() | ![]() | ![]() | ![]() | ![]() | ![]() | ![]() | ![]() |
| 3 W | ![]() | ![]() | ![]() | ![]() | ![]() | ![]() | ![]() | ![]() | ![]() | ![]() |
| 4 W | ![]() | ![]() | ![]() | ![]() | no available power setting | ![]() | ![]() | no available power setting | ![]() | ![]() |
| 5 W | ![]() | no available power setting | ![]() | ![]() | no available power setting | ![]() | ![]() | no available power setting | ![]() | ![]() |
| 6 W | ![]() | no available power setting | ![]() | ![]() | no available power setting | ![]() | ![]() | no available power setting | no available power setting | ![]() |
| 7 W | ![]() | no available power setting | no available power setting | ![]() | no available power setting | no available power setting | ![]() | no available power setting | no available power setting | ![]() |
| 8 W | ![]() | no available power setting | no available power setting | ![]() | no available power setting | no available power setting | ![]() | no available power setting | no available power setting | ![]() |
Disclaimer/Publisher’s Note: The statements, opinions and data contained in all publications are solely those of the individual author(s) and contributor(s) and not of MDPI and/or the editor(s). MDPI and/or the editor(s) disclaim responsibility for any injury to people or property resulting from any ideas, methods, instructions or products referred to in the content. |
© 2025 by the authors. Licensee MDPI, Basel, Switzerland. This article is an open access article distributed under the terms and conditions of the Creative Commons Attribution (CC BY) license (https://creativecommons.org/licenses/by/4.0/).
Share and Cite
Liu, Z.; Lu, Y.; Lange, B.; Meister, J. Technical Characterization of a High-Power Diode Laser at 445 nm for Medical Applications: From Continuous Wave Down to Pulse Durations in the µs-Range. Appl. Sci. 2025, 15, 1041. https://doi.org/10.3390/app15031041
Liu Z, Lu Y, Lange B, Meister J. Technical Characterization of a High-Power Diode Laser at 445 nm for Medical Applications: From Continuous Wave Down to Pulse Durations in the µs-Range. Applied Sciences. 2025; 15(3):1041. https://doi.org/10.3390/app15031041
Chicago/Turabian StyleLiu, Zhaoqun, Yunfan Lu, Birgit Lange, and Jörg Meister. 2025. "Technical Characterization of a High-Power Diode Laser at 445 nm for Medical Applications: From Continuous Wave Down to Pulse Durations in the µs-Range" Applied Sciences 15, no. 3: 1041. https://doi.org/10.3390/app15031041
APA StyleLiu, Z., Lu, Y., Lange, B., & Meister, J. (2025). Technical Characterization of a High-Power Diode Laser at 445 nm for Medical Applications: From Continuous Wave Down to Pulse Durations in the µs-Range. Applied Sciences, 15(3), 1041. https://doi.org/10.3390/app15031041

















































