You are currently viewing a new version of our website. To view the old version click .
Applied Sciences
  • Article
  • Open Access

11 November 2025

Accelerated Inverse Design of Multi-Parallel Microperforated Panel Absorbers via Physics-Informed Neural Networks

,
,
,
and
1
Sound and Vibration Laboratory, College of Mechanical Engineering, Zhejiang University of Technology, Chaowang Road No. 18, Hangzhou 310000, China
2
Key Laboratory of Acoustics and Vibration Applied Measuring Technology, State Administration for Market Regulation, Hangzhou 310000, China
3
Zhejiang Institute of Metrology, Hangzhou 310000, China
*
Author to whom correspondence should be addressed.
This article belongs to the Special Issue Machine Learning in Vibration and Acoustics (3rd Edition)

Abstract

Broadband sound absorption has long been a concern in noise control engineering, but the inverse design of multi-parallel microperforated panels (MPPs) for broadband sound absorption remains challenging. To address this issue, we propose a deep learning model that combines a variational autoencoder (VAE) with a physics-informed neural network (PINN) to accelerate the inverse design process of a multi-parallel MPP. Following Maa’s theory, we generated a dataset of 500,000 samples to train the model. By incorporating the PINN, we added an acoustic physical constraint to the loss function, promoting model convergence and the derivation of stable, unified parameters. The efficacy of the inverse design model was validated through theoretical analysis, finite element simulations, and impedance tube experiments. The experimental results show that the average sound absorption coefficient of multi-parallel MPPs within the frequency range of 500–1200 Hz is 0.85. Our work contributes to accelerating the inverse design of multi-parallel acoustic metamaterials.

1. Introduction

Sound absorption technology is a critical measure for both noise control and interior acoustics optimization. Conventional sound-absorbing materials exhibit satisfactory absorption performance for mid- to high-frequency noise, where porous and fibrous materials rely primarily on visco-thermal and thermoelastic effects to dissipate mechanical energy [1,2,3]. However, their absorption efficiency is weak at low frequencies because energy dissipation is proportional to the square of the frequency. Acoustic metamaterials (AMMs) are artificial structures with unique wave-manipulation mechanisms, enabling exceptional broadband and low-frequency noise suppression beyond the limits of conventional sound-absorbing materials. AMMs are designed to manipulate sound waves in ways that surpass natural materials, exhibiting properties like negative bulk modulus and negative effective density [4,5,6]. Current research on resonant structural design has evolved into multiple well-established technical approaches, primarily including Helmholtz resonators [7,8], labyrinthine resonators [9,10,11] and membrane-type resonators [12,13,14]. Among these, microperforated panels (MPPs) demonstrate prominent application potential in noise control by achieving acoustic impedance matching through precisely engineered microperforation arrays coupled with tailored back cavities [15,16,17,18,19]. The resonance frequencies can be shifted to the low-frequency range with proper design, remarkably improving low-frequency absorption performance.
However, traditional design methods rely heavily on semi-empirical equations, requiring numerous iterations of finite element analysis and parameter tuning, which increases time and computational costs. On the other hand, the advent of machine learning and deep learning presents a promising solution to address this issue, and researchers have explored various machine-learning-based approaches to predict acoustic performance. Jeon et al. [20] developed a neural network model to predict sound absorption coefficients of layered fibrous materials. Iannace et al. [21] employed neural networks to predict the absorption coefficients of broom fiber. Huang et al. [22] further expanded the application of deep neural networks to characterize vehicle noise. Additionally, machine learning has been pivotal in accelerating the design of acoustic metamaterials. Xiao et al. [23] proposed a deep-learning-accelerated methodology for designing low-frequency broadband absorbers. Zhao et al. [24] introduced an inverse design framework aimed at achieving broadband absorption in acoustic metasurfaces. Cho et al. [25] proposed an inverse design method for ventilation resonators using a VAE. Xiao et al. [26] devised a controllable, scalable, gradient-driven optimization strategy for two-dimensional metamaterials via deep learning paradigms.
The inverse problem is generally ill-posed, as it aims to deduce an uncertain ‘cause’ from a specified ‘effect’. Mathematically, the ‘cause’ often fails to satisfy the three Hadamard conditions (existence, uniqueness, and stability), which poses significant challenges in designing a multi-parallel MPP [27]. First, the complex resonant coupling inherent in multi-parallel MPPs hinders traditional data-driven models from precisely representing their acoustic response features and makes the average impedance difficult to calculate. Second, deep learning models face uniqueness issues when solving inverse problems in real-world engineering; for a given sound absorption target, multiple distinct sets of structural parameters may correspond.
To overcome these challenges, more precise and efficient deep learning models are needed. With the widespread application of deep learning technologies across interdisciplinary domains, such as computer science, materials science, chemistry, and physics [28,29,30,31,32,33], physics-informed neural network (PINN)-based approaches have gained substantial attention across multiple disciplines [34,35,36,37,38,39,40]. By integrating physical governing laws with data-driven models, PINNs have advantages in addressing data loss issues, avoiding reliance on purely data-driven black-box models. Variational autoencoders (VAEs) have emerged as powerful tools for engineering optimization design [41,42,43,44], demonstrating significant benefits in probabilistic inference-enhanced dimensionality reduction, unsupervised data generation, and latent space representation. These models significantly reduce training costs and achieve target specifications even when data availability is limited. This study introduces a VAE architecture with a PINN. It combines the physics-embedded modeling principles of PINNs to ensure compliance with physical calculation conditions and the superior latent space representation of the VAE for efficient high-dimensional parameter compression, which can help the model achieve stable and unified output.
In this study, we address the inverse design challenge of acoustic metamaterials composed of multi-parallel MPP absorbers. Section 2 presents the methodological framework, including dataset collection and deep learning model construction. Section 3 describes the training results, the design of the multi-parallel MPP, and its performance verification through finite element simulations and impedance tube experiments. Section 4 discusses the study’s innovations relative to the existing literature, and Section 5 concludes the paper by summarizing the findings and proposing directions for future research.

2. Methods

As illustrated in Figure 1, this study introduces a systematic deep learning methodology to accelerate MPP design. Initially, the dataset was generated using theoretical formulas derived from sound absorption theory of MPPs, and a nonlinear functional relationship between structural parameters and sound absorption coefficients was established. A PINN was then integrated into the VAE architecture to embed physical constraints into the loss function and mitigate solution space divergence inherent in conventional design methodologies through physical law regularization. Finally, the predictive and design capabilities of the model were validated through a comparative analysis between finite element simulations conducted in COMSOL Multiphysics and impedance tube experiments measuring sound absorption coefficients under standardized acoustic excitation conditions.
Figure 1. Design verification framework diagram of MPP.

2.1. Establishment of the Dataset for the MPP

The noise absorption mechanism of microperforated panels (MPPs) involves several coupled processes, including reflection and scattering at perforation boundaries, viscous–thermal dissipation within microscale apertures, and resonant dissipation through Helmholtz cavity interactions. Figure 2 shows schematic diagrams of the structural configuration and the equivalent electrical circuit analogy of the MPP system.
Figure 2. (a) Sample of the multi-parallel MPP. (b) Three-dimensional model of the MPP. (c) Equivalent circuit of the MPP. For the sample model, the pitches of the perforation arrays are 8 mm, 10 mm, 5 mm, and 5 mm, and the hole diameters are 3 mm, 2 mm, 1 mm, and 0.6 mm. The total diameter of the sample is 100 mm. A Bambu Lab X1E (Bambu Lab, Shenzhen, China) 3D printer was employed, and the sample material was PLA.
In general, the sound absorption coefficient in a rigid backplane acoustic system can be calculated according to acoustic impedance theory,
α = 1 Z m / Z 0 1 Z m / Z 0 + 1 2
where Z 0 = ρ 0 c 0 is the characteristic impedance of air, where ρ 0 is the air density and c 0 is the sound speed in air. Z m is the surface impedance at the MPP inlet.
The MPP has two main parts: the microporous layer and the acoustic cavity. The surface impedance at the entrance of the MPP is the sum of the impedance of each acoustic absorbing part, such that the surface impedance at the entrance of the MPP is
Z a = Z M + Z C
According to Maa’s theory of MPPs [14],
Z 1 = 32 η t   d 2 1 + k p 2 32 + j ω ρ 0 t ( 1 + ( 9 + k p 2 2 ) 1 2 )
where η is the dynamic viscosity of air, t is the panel thickness, d is the hole diameter, and k p = d ω ρ 0 / 4 η is the perforation constant, where ω   =   2 π f is the angular frequency. Microporous impedance with end correction considered Z M can be calculated by
Z M = Z 1 σ = r + j ω m
where σ is the perforation rate, which is calculated as the ratio of the cross-sectional area of the microporous channel to the cross-sectional area of the acoustic cavity, simplified as σ = n d 2 / D m 2 , and D m is the diameter of the metamaterial acoustic cavity.
The acoustic resistance component r can be expressed as
r = 32 η t σ d 2 k r
k r = 1 + k p 2 32 + 2 32 k p d t
where k r is the resistance coefficient.
The acoustic impedance part ω m can be expressed as
ω m = ω t ρ 0 σ k m
k m = 1 + ( 9 + k p 2 2 ) 1 2 + 0.85 d t
where k m is the mass reactance coefficient.
The acoustic impedance Z C of the acoustic cavity at the rear of the MPP can be expressed as
Z C = j ρ 0 c 0 cot D ω c 0
The total impedance of the MPP is the sum of the impedances of the components. Z m can be represented as
Z m = 4 1 Z a 1
Z a = Z M + Z C = r + j ω m j ρ 0 c 0 cot D ω c 0
where Z a denotes the acoustic impedance of the single MPP absorber.
The physical parameters are listed in Table 1.
Table 1. Physical parameter list.
Training neural networks requires a large amount of data. To establish a dataset for the deep learning model, we normalized the geometric parameters of the MPP, scaling them to a range between 0 and 1. Then, we generated a comprehensive dataset of 500,000 samples of the MPP, which includes hole diameter, the perforation rate, and cavity depth ( d ,   σ ,   t ,   D ). Each sample in the dataset was processed through the Equations (1)–(11) of MPP to compute sound absorption coefficients across the sound spectrum ( f ), and the sound absorption coefficients ( α ) were archived in the dataset. Sampling followed a uniform probability distribution within these ranges to avoid bias toward specific parameter combinations, ensuring comprehensive coverage of the feasible parametric space. The uniform distribution is intentional to prevent under-sampling of key regions that dominate acoustic performance. The dataset was used to train the inverse design model.

2.2. Inverse Design Networks

In this study, TensorFlow was used as the deep learning framework. The dataset was partitioned into 80% training and 20% validation sets through randomized stratified sampling. The inverse design model takes the sound absorption spectrum as input to predict the normalized geometric parameters as output. The neural network architecture consists of an input layer with 256 nodes representing the absorption coefficient evenly distributed within the frequency range (50–1600 Hz), seven hidden layers of the VAE and the PINN, and an output layer with 4 nodes corresponding to structural parameters. The ReLU (Rectified Linear Unit) activation function was chosen to enhance nonlinear modeling while circumventing vanishing gradient issues. The Adam optimizer was employed with an initial learning rate of 3 × 10−4, chosen for its adaptive learning rate properties that ensure stable and rapid convergence. The MSE (mean squared error) was used as the loss function, supplemented by a stepwise learning rate decay schedule to accelerate convergence and mitigate overfitting risks.
Detailed hyperparameters: Initial learning rate 3 × 10−4, learning rate decay strategy of 5% decay every 20 epochs, batch size = 64, total training epochs = 150; Optimizer configuration: Adam optimizer with β1 = 0.9, β2 = 0.999, ε = 1 × 10−8, and weight decay coefficient λ = 1 × 10−5.
In MPP design, the inverse design process is both more significant and more challenging. The output results are often inconsistent and unstable, particularly when the defined input spectrum exceeds causal constraints. Conventional numerical optimization techniques often struggle with insufficient convergence stability when faced with complex acoustic performance requirements and engineering limitations. While the iterative optimization processes may yield feasible solution sets that meet the desired absorption performance criteria, the resulting structural parameters exhibit significant variability, undermining design reliability and reducing workflow efficiency. To address these challenges, an inverse design network is developed to establish inverse mapping from specified acoustic absorption targets to corresponding MPP structural parameters, thereby enabling physics-consistent and computationally efficient design automation. In essence, this approach allows for inverse engineering of unified and stable structural parameters based on the desired sound absorption coefficients.
This study proposes a deep learning model that combines a VAE with a PINN. The model is structured around a framework of data generation and physics-informed validation, allowing it to effectively overcome significant challenges in MPP design. These challenges include low data efficiency, compromised physical consistency, and inadequate solution robustness.
The VAE [45,46] is used to learn the nonlinear mapping between the MPP’s structural parameters and their corresponding sound absorption coefficients. Building on conventional autoencoder architectures for dimensional reduction and reconstruction, the VAE introduces probabilistic inference principles to discover latent structures within high-dimensional data distributions. Specifically, the model postulates that the latent space data adhere to a standard normal distribution. The input data are mapped to the mean and the variance parameters within the latent space, from which latent codes are stochastically sampled. The decoder subsequently reconstructs samples by projecting these codes back into the original data space, effectively generating reconstituted outputs that preserve the intrinsic data manifold. Furthermore, the dimension-reduced latent space of the VAE could encode the geometrical features and acoustic response of the MPP, which is required for accurate and precise inverse design.
As shown in Figure 3, this methodology integrates principles from PINNs to enforce adherence to fundamental physical laws throughout the optimization process. First, it uses a constraint-aware parameter initialization method to perform prior correction within the latent space. Subsequently, a differentiable physics-informed loss function is formulated by embedding the governing acoustic impedance equations of the MPP, derived from Maa’s theoretical framework [18], into the neural network architecture. Finally, the model is trained by adjusting parameters and weights.
Figure 3. (a) Inverse design networks combining VAE and PINN. (b) Deep learning models for MPP inverse design. The network consists of 1 input layer of 256 discrete points from the absorption spectrum (50–1600 Hz), 3 hidden layers with 512–128-64 nodes in each layer, 1 latent space, 3 hidden layers with 64–128-256 nodes in each layer, and 1 output layer with 4 geometric design parameters. The 256 input nodes correspond to uniform sampling of the full spectrum of 50–1600 Hz (the sampling interval is (1600 − 50)/255 ≈ 6 Hz), and the model covers the acoustic response of the full spectrum during training.
The VAE and the PINN ensure that the generated parameter combinations meet both manufacturing process constraints and physical feasibility while also enhancing the robustness and generalizability of the model by initializing the parameters, adjusting the potential spatial distribution, tuning parameter weights, and managing the learning rate.
The model embeds the sound absorption principle of MPPs as a physical regularization term into the loss function [47].
L total = L recon + D K L
L r e c o n = 1 n i = 1 n x i ( p r e d ) x i ( t a r g e t ) 2
D K L = i = 1 d 1 2 l o g ( σ i 2 ) 1 + μ i 2 + σ i 2
where L r e c o n is reconstruction loss, used to quantify the discrepancy between input data and reconstructed outputs, and D K L is Kullback–Leibler divergence, used to measure the difference between the learned latent distribution and prior distribution.
L total = L recon + a D K L + b L p h y + c L data
L p h y = 1 n i = 1 n R ( x i ) 2 + Z a ( p r e d ) Z a ( m o d e l ) 2
R = 2 p + k 2 p k = 2 π f c 0
Z a = Z M + Z C = r + j ω m j ρ 0 c 0 cot D ω c 0
L data = 1 n i = 1 n α i ( p r e d ) ( f ) α i ( t a r g e t ) ( f ) 2
where L p h y is the physics constraint loss, used to compute the residual of physical laws, R ( x i ) is the residual of the Helmholtz equation residual, Z a is the impedance of the MPP, L d a t a is data fidelity loss, typically expressed as the MSE between the predicted and theoretical absorption coefficients, and a ,   b ,   c are adaptive weighting coefficients defined by the deep learning model.

3. Results and Verification

In this section, the results of deep learning model training are discussed. We adopted a triple verification framework for theoretical calculation, finite element simulation, and impedance tube experiments. We designed an MPP with a high sound absorption coefficient within the frequency range of 500 to 1200 Hz. The results show that the designs effectively absorb sound across a predetermined broadband range, demonstrating the efficacy of the deep learning model combining the VAE and the PINN.

3.1. Results of Inverse Design Networks

The deep learning model was trained by using an Adam optimizer with adaptive learning rate characteristics, and, during the training process, both training and validation losses exhibited a monotonic decreasing trend, stabilizing after approximately 80 epochs, with an MSE below 0.001 for both datasets, confirming effective convergence of the forward and inverse neural networks. Comparative experiments were conducted to validate the impacts of PINNs on deep learning model performance.
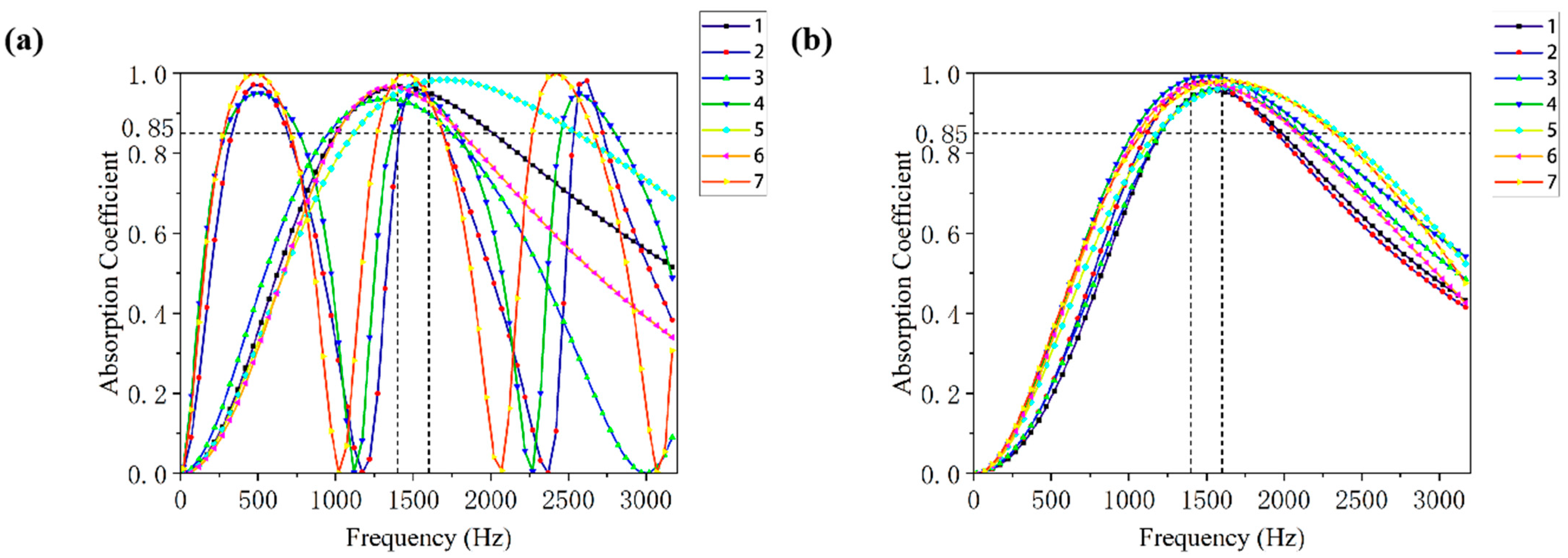
Initial design trials were conducted without physics-informed constraints or adjustment of parameters, targeting the required sound absorption coefficient (α > 0.85) within the frequency range of 1400 to 1600 Hz. Seven parameter sets were selected through iterative optimization, as shown in Table 2(left). While parameterized acoustic modeling confirmed that these designs achieved target absorption performance, structural analysis revealed critical limitations in the form of divergent parameter combinations. As shown in Figure 4a, the sound absorption coefficient curve of the MPP demonstrates that relying solely on data-driven design induces solution space divergence and a chaotic output curve. The results indicate that the deep learning model is not suitable for practical engineering problems. This limitation arises from the nonlinear multi-mapping relationship between the sound absorption coefficient in a certain frequency range and structural parameters, as well as solution space divergence caused by the lack of physical information constraints.
Table 2. Structural parameters of the single VAE (left) and the VAE with PINN (right).
Figure 4. (a) Sound absorption coefficient curve output of the single VAE. (b) Sound absorption coefficient curve output of the VAE with the PINN. Each curve (1–7) is paired with a distinct marker (e.g., circular, square, triangular) that is consistent across both subfigures.
To address these challenges, this study proposes a deep learning model integrating a VAE with a PINN. It dynamically constrains structural parameters by embedding physical information into the loss function and adjusting spatial distribution and weights. Based on our original goal, physical constraints were added, and parameter weights were increased.
As shown in Table 3, the Helmholtz residual RMS decreased by 76.9% and the impedance relative error decreased by 74.8% after integrating a PINN. This shows that the PINN significantly reduces physical inconsistencies, validating its effectiveness in improving physical fidelity.
Table 3. RMS and relative error of single VAE and VAE with PINN.
Seven parameter sets were selected through iterative optimization, as shown in Table 2(right). The sound absorption coefficient curve of the MPP basically meets the target requirements, and the difference in sound absorption coefficient curves has been significantly reduced, as shown in Figure 4b. Through this method, the problem of solution space divergence in inverse design can be effectively solved, and the robustness of the model and the stability of output results can be improved, making the results consistent.
As shown in Figure 4, the impact of the presence or absence of the PINN on the inverse design can be clearly observed. The integration of a PINN significantly reduces parameter discrepancy, better meeting the requirements of engineering applications.

3.2. Design of MPP and Verification

We designed a multi-parallel MPP absorber with a broad absorption band of 550–1150 Hz using the deep learning model. It was validated through finite element simulations and impedance tube experiments. The deep learning model’s structural parameters are shown in Table 4.
Table 4. Experimental sample structural parameters of multi-parallel MPP.
To verify the MPP’s design, a pressure acoustic frequency domain module was used for simulation and analysis using COMSOL Multiphysics 6.2 field software, and experiments were conducted using an impedance tube, as shown in Figure 5a. When establishing the model, we removed the solid part of the component, leaving only the air domain, and the material property of air is the default property in the software. The pressure acoustics module was used to establish a three-dimensional finite element model to study the acoustic absorption mechanism of the MPP, and the model is shown in Figure 6a. In the finite element model, the structural interfaces are covered by boundary layers to include the visco-thermal losses, and the computation domain terminates with perfectly matched layers (PMLs) to avoid boundary reflections. Free tetrahedral meshing was performed on the overall model to capture the reflection and propagation characteristics of sound waves on the surface, and the grid size was 1/6 of the wavelength. The upper part of the model was set with a pressure field, and the amplitude was 1 Pa. A frequency range of 50–1600 Hz was selected for finite element simulation, and the reflection and absorption coefficients ( r ,   α ) were calculated based on the scattered sound pressure and the incident sound pressure.
α = 1 r 2 = 1 a c p r . p _ s a c p r . p _ b 2
where a c p r . p _ s is the scattered sound pressure and a c p r . p _ b is the incident sound pressure.
Figure 5. (a) Setup of impedance tube experiments. (b) 3D printer: Bambu Lab X1E. (c) Experimental setup of the acoustic measurement system. (d) The sample of MPP.
Figure 6. (a) Finite element simulation model. (b) Comparison diagram of simulation and experiment of one parallel MPP (d, σ , t, and D are 0.4 mm, 0.15, 8 mm, and 37 mm, respectively). (c) Comparison diagram of simulation and experiment of multi-parallel MPP (detailed parameters can be found in Table 4).
To validate the inverse design approach, the impedance tube system was established as shown in Figure 5a,c. The experiment was conducted using an impedance tube system integrated with a data acquisition card, a computer-controlled loudspeaker, a power amplifier, and two condenser microphones. All devices in the measurement system are manufactured by Brüel & Kjær (B&K), Snekkersten, Denmark. Detailed equipment specifications and experimental procedures are provided in the Supplementary Materials (Figure S1 and Table S1).
A band-limited white noise signal with a frequency range of 50–1600 Hz was generated using a signal generator (B&K 3160, Denmark) amplified via a power amplifier (B&K Type 2716C, Denmark) and then emitted through the loudspeaker into the impedance tube (B&K, Denmark). Two microphones (B&K, Denmark) were positioned to capture the amplitude and phase of the pressure distribution, from which absorption coefficients were derived. Using the above parameter combinations for modeling and printing, the sound absorption coefficients in the 50–1600 Hz frequency range were determined in an impedance tube using two microphones. All samples were produced using a 3D printer, as shown in Figure 5d.
As shown in Figure 5b, the 3D printer was a Bambu Lab X1E, and the sample material was PLA. We use Fused Filament Deposition (FFD) to print the MPP. CAD files were exported in STL format and then imported into Bambu Studio software to generate 2D slice images with a thickness of 100 μm. They were then exported as tar.gz files without adding supports around the build area to ensure that support structures did not interfere with the perforations of the embedded MPP or the integrity of hole morphology. The sliced files were uploaded to the Bambu Lab X1E 3D printer, and printing was performed using a PLA filament via Fused Filament Deposition (FFD) technology. A PLA filament was fed into a heated nozzle through a precision filament feeding mechanism; the filament melted completely and was continuously extruded from the nozzle, which moved precisely along the preset sliced path. The molten PLA material was deposited layer by layer onto the print bed, which was preheated to 60 °C. During deposition, the base material and the multi-parallel MPPs were printed synchronously, realizing the embedded integration of MPPs within the base material. Interlayer bonding was achieved through thermal adhesion between adjacent PLA layers, forming a compact and integrated 3D structure. This layer-by-layer deposition process was repeated until the integrated structure was fully fabricated.
By placing the sample into the impedance tube, the noise signal was output from the sound source, and the signal captured by the dual microphone was collected by the signal collector and transmitted to the software system. Absorption coefficient curves of the MPP in a frequency range of 50–1600 Hz were obtained, as demonstrated in Figure 6c. There are slight discrepancies between the sound absorption curves of the simulation and the experiment, which may be attributable to the dimensional accuracy errors of the 3D-printed samples, background noise in the laboratory, or imperfect sealing of the impedance tube. Therefore, we conducted two sets of experiments. The experimental results are shown in Figure 6, and it can be observed that the errors of both are less than 10%, which indicates that the inverse design is effective.
The designed MPP exhibits superior broadband absorption performance within the 500–1200 Hz range, achieving over 80% incident acoustic energy dissipation. These results demonstrate that it is possible to achieve the desired absorption band in an accelerated manner using the deep learning model proposed.

4. Discussion

A comparison between the present study and others is shown in Table 5. Approaches that rely solely on data-driven models ignore acoustic governing laws, leading to divergent solution spaces and physically infeasible designs (References [23,25,26]). Topology optimization based on genetic algorithms (Reference [24]) requires extensive finite element simulation iterations, resulting in high computational costs. Non-physics-informed generative models (References [23,25]) produce multiple structural parameter sets for the same target absorption spectrum, reducing design reliability. The comparison between our work and other literatures is listed in Table 5.
Table 5. Comparison of our work with other studies.
After the application of the VAE and the PINN in this study, the parameter discrepancy is much lower than that reported in other studies. Furthermore, the problem of solution space divergence in inverse design can be effectively solved, and the robustness of the model and the stability of output results can be improved, making the results consistent.
Traditional design methods for multi-parallel MPPs require significant trial and error because the inverse design of such structures—aiming to deduce uncertain structural parameters from a specified sound absorption coefficient—often fails to satisfy the Hadamard conditions. This is reflected in inverse problem solution uniqueness issues in real-world engineering, as a single sound absorption target may correspond to multiple distinct sets of structural parameters, which should be avoided in engineering. To overcome these challenges, a VAE architecture with a PINN was proposed in this study. Compared to traditional design methods, the deep learning model demonstrates enhanced robustness following training convergence, enabling rapid generation of optimal structural parameters that satisfy target acoustic performance metrics under physics-informed constraints while maintaining high stability and parameter consistency.

5. Conclusions

In summary, this study presents a novel design approach that integrates the physics modeling mechanism of PINNs and the latent representation capabilities of VAEs. The proposed multi-parallel MPP demonstrates strong potential for broadband low-frequency absorption. The average sound absorption coefficient within the frequency range of 500–1200 Hz is 0.85. This deep learning model has significant advantages in multi-parallel MPP inverse design, which can solve uniqueness issues in real-world engineering. This design offers a new solution for multi-parallel MPPs and establishes a transferable modeling framework for designing other acoustic metamaterials.

Supplementary Materials

The following supporting information can be downloaded at: https://www.mdpi.com/article/10.3390/app152211955/s1, Figure S1: Schematic diagram of the impedance tube showing the incident and reflected sound waves. The distance x1 represents the spacing between the sample surface and the nearest microphone; Table S1: Specifications of the impedance tube measurement system.

Author Contributions

Conceptualization, L.J. and J.J.; methodology, L.J.; software, L.J.; validation, L.J., J.J. and B.C.; formal analysis, A.H.; investigation, L.J.; resources, J.J. and L.Y.; data curation, L.J. and B.C.; writing—original draft preparation, L.J. and J.J.; writing—review and editing, L.J. and J.J.; visualization, L.J. and B.C.; supervision, A.H.; project administration, L.J. and L.Y.; funding acquisition, J.J. and L.Y. All authors have read and agreed to the published version of the manuscript.

Funding

This research was supported by the National Natural Science Foundation of China (No. 51875522), open funding from the Key Laboratory of Acoustics and Vibration Precision Measuring Technology for State Market Regulation (AVL202303), and open funding from the Key Laboratory of Acoustics and Vibration Applied Measuring Technology, State Administration for Market Regulation (No. AVL202303).

Data Availability Statement

The original contributions presented in this study are included in the article/Supplementary Material. Further inquiries can be directed to the corresponding author.

Acknowledgments

We would like to state our appreciation for the editor and the reviewers for their comments and constructive suggestions, which have improved the quality of the current paper.

Conflicts of Interest

The authors declare no conflict of interest.

References

  1. Cao, L.T.; Fu, Q.X.; Si, Y.; Ding, B.; Yu, J.Y. Porous Materials for Sound Absorption. Compos. Commun. 2018, 10, 25–35. [Google Scholar] [CrossRef]
  2. Yang, M.; Sheng, P. Sound Absorption Structures: From Porous Media to Acoustic Metamaterials. Annu. Rev. Mater. Res. 2017, 47, 83–114. [Google Scholar] [CrossRef]
  3. Arunkumar, M.P.; Pitchaimani, J.; Gangadharan, K.V.; Leninbabu, M.C. Vibro-acoustic Response and Sound Transmission Loss Characteristics of Truss Core Sandwich Panel Filled with Foam. Aerosp. Sci. Technol. 2018, 78, 1–11. [Google Scholar] [CrossRef]
  4. Du, J.J.; Fu, G.W.; Xu, X.; Elshahawy, A.M.; Guan, C. 3D Printed Graphene-Based Metamaterials: Guesting Multi-Functionality in One Gain. Small 2023, 19, 2207833. [Google Scholar] [CrossRef]
  5. Zhang, H.K.; Chen, W.T.; Xu, S.H.; Wu, J.; Li, B.; Feng, X.Q. Active topological phase transitions in high-order elastic topological insulators driven by pneumatic methods and liquid metals. J. Appl. Phys. 2023, 133, 104504. [Google Scholar] [CrossRef]
  6. Li, Y.; Ning, W.; Peng, Q.Y.; Yang, M.L.; Lei, D.Y.; Guo, S.Y.; Liu, P.; Jiang, K.L.; He, X.D.; Li, Y.B. Superbroad-band Actively Tunable Acoustic Metamaterials Driven from Poly (ethylene terephthalate)/Carbon Nanotube Nanocomposite Membranes. Nano Res. 2021, 14, 100–107. [Google Scholar] [CrossRef]
  7. Guo, J.W.; Zhang, X.; Fang, Y.; Jiang, Z.Y. A Compact Low-frequency Sound-absorbing Metasurface Constructed by Resonator with Embedded Spiral Neck. Appl. Phys. Lett. 2020, 117, 221902. [Google Scholar] [CrossRef]
  8. Cai, X.B.; Guo, Q.Q.; Hu, G.K.; Yang, J. Ultrathin Low-frequency Sound Absorbing Panels Based on Coplanar Spiral Tubes or Coplanar Helmholtz Resonators. Appl. Phys. Lett. 2014, 105, 121901. [Google Scholar] [CrossRef]
  9. Wang, Y.; Zhao, H.G.; Yang, H.B.; Zhong, J.; Wen, J.H. A Space-coiled Acoustic Metamaterial with Tunable Low-frequency Sound Absorption. Europhys. Lett. 2017, 120, 54001. [Google Scholar] [CrossRef]
  10. Frenzel, T.; Brehm, J.D.; Bückmann, T.; Schittny, R.; Kadic, M.; Wegener, M. Three-dimensional Labyrinthine Acoustic Metamaterials. Appl. Phys. Lett. 2013, 103, 61907. [Google Scholar] [CrossRef]
  11. Xiao, Z.Q.; Gao, P.L.; Wang, D.W.; He, X.; Wu, L.Z. Ventilated Metamaterials for Broadband Sound Insulation and Tunable Transmission at Low Frequency. Extrem. Mech. Lett. 2021, 46, 101348. [Google Scholar] [CrossRef]
  12. Chen, Y.Y.; Huang, G.L.; Zhou, X.M.; Hu, G.K.; Sun, C.T. Analytical Coupled Vibroacoustic Modeling of Membrane-type Acoustic Metamaterials: Membrane Model. J. Acous. Soc. Am. 2014, 136, 969. [Google Scholar] [CrossRef]
  13. Mei, J.; Ma, G.C.; Yang, M.; Yang, Z.Y.; Wen, W.J.; Sheng, P. Dark Acoustic Metamaterials as Super Absorbers for Low-frequency Sound. Nat. Commun. 2012, 3, 756. [Google Scholar] [CrossRef] [PubMed]
  14. Jin, J.; Huang, J.; Xiao, Y. Realization of Nonreciprocal Acoustic Energy Transfer Using an Asymmetric Strong Nonlinear Vibroacoustic System. Int. J. Mech. Syst. Dyn. 2024, 4, 99–114. [Google Scholar] [CrossRef]
  15. Maa, D.-Y. Microperforated-panel Wideband Absorbers. Noise Control Eng. J. 1987, 29, 77–84. [Google Scholar] [CrossRef]
  16. Dah-You, M. Potential of Microperforated Panel Absorber. J. Acous. Soc. Am. 1998, 104, 2861–2866. [Google Scholar] [CrossRef]
  17. Kim, S.; Kim, Y.H.; Jang, J.H. A Theoretical Model to Predict the Low-frequency Sound Absorption of a Helmholtz Resonator Array (L). J. Acous. Soc. Am. 2006, 119, 1933–1936. [Google Scholar] [CrossRef]
  18. Maa, D.-Y. Theory and Design of Microperforated Panel Sound-absorbing Sconstructions. Sci. Sin. 1975, 18, 55–71. [Google Scholar]
  19. Prydz, R.A.; Wirt, L.S.; Kuntz, H.L.; Pope, L.D. Transmission Loss of a Multilayer Panel with Internal Tuned Helmholtz Resonators. J. Acous. Soc. Am. 1990, 87, 1597–1602. [Google Scholar] [CrossRef]
  20. Jeon, J.H.; Yang, S.S.; Kang, Y.J. Estimation of Sound Absorption Coefficient of Layered Fibrous Material Using Artificial Neural Networks. Appl. Acoust. 2020, 169, 107476. [Google Scholar] [CrossRef]
  21. Iannace, G.; Ciaburro, G.; Trematerra, A. Modelling Sound Absorption Properties of Broom Fibers Using Artificial Neural Networks. Appl. Acoust. 2020, 163, 107239. [Google Scholar] [CrossRef]
  22. Huang, X.R.; Huang, H.B.; Wu, J.H.; Yang, M.L.; Ding, W.P. Sound Quality Prediction and Improving of Vehicle Interior Noise Based on Deep Convolutional Neural Networks. Expert Syst. Appl. 2020, 160, 113657. [Google Scholar] [CrossRef]
  23. Xiao, Z.Q.; Gao, P.L.; Wang, D.W.; He, X.; Qu, Y.G.; Wu, L.Z. Accelerated Design of Low-frequency Broadband Sound Absorber with Deep Learning Approach. Mech. Syst. Signal Proc. 2024, 211, 111228. [Google Scholar] [CrossRef]
  24. Zhao, D.D.; Dong, H.W.; Gu, Y.; Qu, W.Z.; Zhao, S.D. Inverse-designed Acoustic Metasurfaces for Broadband Sound Absorption. J. Appl. Phys. 2024, 136, 164901. [Google Scholar] [CrossRef]
  25. Cho, M.W.; Hwang, S.H.; Jang, J.Y.; Song, J.Y.; Hwang, S.K.; Cha, K.J.; Park, D.Y.; Song, K.; Park, S.M. Inverse Design of Nanoporous Crystalline Reticular Materials with Deep Generative Models. Nat. Mach. Intell. 2021, 3, 76–86. [Google Scholar] [CrossRef]
  26. Xiao, L.; Cao, Z.G.; Lu, H.R.; Cai, Y.Q. Controllable and Scalable Gradient-driven Optimization Design for Two-dimensional Metamaterials Based on Deep Learning. Compos. Struct. 2024, 337, 118072. [Google Scholar] [CrossRef]
  27. Khatib, O.; Ren, S.M.; Malof, J.; Padilla, W.J. Deep Learning the Electromagnetic Properties of Metamaterials-A Comprehensive Review. Adv. Funct. Mater. 2021, 31, 2101748. [Google Scholar] [CrossRef]
  28. Goh, G.B.; Hodas, N.O.; Vishnu, A. Deep Learning for Computational Chemistry. J. Comput. Chem. 2017, 38, 1291–1307. [Google Scholar] [CrossRef] [PubMed]
  29. Zahavy, T.; Dikopoltsev, A.; Moss, D.; Haham, G.I.; Cohen, O.; Mannor, S.; Segev, M. Deep Learning Reconstruction of Ultrashort Pulses. Optica 2018, 5, 666–673. [Google Scholar] [CrossRef]
  30. Krizhevsky, A.; Sutskever, I.; Hinton, G.E. ImageNet Classification with Deep Convolutional Neural Networks. Commun. ACM 2017, 60, 84–90. [Google Scholar] [CrossRef]
  31. Sanchez-Lengeling, B.; Aspuru-Guzik, A. Inverse Molecular Design Using Machine Learning: Generative Models for Matter Engineering. Science 2018, 361, 360–365. [Google Scholar] [CrossRef]
  32. Carrasquilla, J.; Melko, R.G. Machine Learning Phases of Matter. Nat. Phys. 2017, 13, 431–434. [Google Scholar] [CrossRef]
  33. Silver, D.; Huang, A.; Maddison, C.J.; Guez, A.; Sifre, L.; van den Driessche, G.; Schrittwieser, J.; Antonoglou, I.; Panneershelvam, V.; Lanctot, M.; et al. Mastering the Game of Go with Deep Neural Networks and tree search. Nature 2016, 529, 484. [Google Scholar] [CrossRef]
  34. Henkes, A.; Wessels, H.; Mahnken, R. Physics Informed Neural Networks for Continuum Micromechanics. Comput. Meth. Appl. Mech. Eng. 2022, 393, 114790. [Google Scholar] [CrossRef]
  35. Shen, S.; Lu, H.; Sadoughi, M.; Hu, C.; Nemani, V.; Thelen, A.; Webster, K.; Darr, M.; Sidon, J.; Kenny, S. A Physics-informed Deep Learning Approach for Bearing Fault Detection. Eng. Appl. Artif. Intell. 2021, 103, 104295. [Google Scholar] [CrossRef]
  36. Xu, Y.W.; Kohtz, S.; Boakye, J.; Gardoni, P.; Wang, P.F. Physics-informed Machine Learning for Reliability and Systems Safety Applications: State of the Art and Challenges. Reliab. Eng. Syst. Saf. 2023, 230, 108900. [Google Scholar] [CrossRef]
  37. Jagtap, A.D.; Mao, Z.P.; Adams, N.; Karniadakis, G.E. Physics-informed Neural Networks for Inverse Problems in Supersonic Flows. J. Comput. Phys. 2022, 466, 111402. [Google Scholar] [CrossRef]
  38. Meng, X.H.; Li, Z.; Zhang, D.K.; Karniadakis, G.E. PPINN: Parareal Physics-informed Neural Network for Time-dependent PDEs. Comput. Meth. Appl. Mech. Eng. 2020, 370, 113250. [Google Scholar] [CrossRef]
  39. Almajid, M.M.; Abu-Al-Saud, M.O. Prediction of Porous Media Fluid Flow Using Physics Informed Neural Networks. J. Pet. Sci. Eng. 2022, 208, 109205. [Google Scholar] [CrossRef]
  40. Cuomo, S.; Di Cola, V.S.; Giampaolo, F.; Rozza, G.; Raissi, M.; Piccialli, F. Scientific Machine Learning Through Physics-Informed Neural Networks: Where we are and What’s Next. J. Sci. Comput. 2022, 92, 88. [Google Scholar] [CrossRef]
  41. Ma, J.; Huang, Y.J.; Pu, M.B.; Xu, D.; Luo, J.; Guo, Y.H.; Luo, X.A. Inverse Design of Broadband Metasurface Absorber Based on Convolutional Autoencoder Network and Inverse Design Network. J. Phys. D-Appl. Phys. 2020, 53, 464002. [Google Scholar] [CrossRef]
  42. Hanakata, P.Z.; Cubuk, E.D.; Campbell, D.K.; Park, H.S. Forward and Inverse Design of Kirigami via Supervised Autoencoder. Phys. Rev. Res. 2020, 2, 042006. [Google Scholar] [CrossRef]
  43. Tang, Y.H.; Kojima, K.; Koike-Akino, T.; Wang, Y.; Wu, P.X.; Xie, Y.Y.; Tahersima, M.H.; Jha, D.K.; Parsons, K.; Qi, M.H. Generative Deep Learning Model for Inverse Design of Integrated Nanophotonic Devices. Laser Photon. Rev. 2020, 14, 2000287. [Google Scholar] [CrossRef]
  44. Yonekura, K.; Suzuki, K. Data-driven Design Exploration Method Using Conditional Variational Autoencoder for Airfoil Design. Struct. Multidiscip. Optim. 2021, 64, 613–624. [Google Scholar] [CrossRef]
  45. Khoshaman, A.; Vinci, W.; Denis, B.; Andriyash, E.; Amin, M.H. Quantum variational autoencoder. Quantum Sci. Technol. 2019, 4, 014001. [Google Scholar] [CrossRef]
  46. Wang, Y.S.; Yao, H.X.; Zhao, S.C. Auto-encoder based Dimensionality Reduction. Neurocomputing 2016, 184, 232–242. [Google Scholar] [CrossRef]
  47. Liang, R.H.; Liu, W.F.; Fu, Y.G.; Ma, M. Physics-informed Deep Learning for Structural Dynamics under Moving Load. Int. J. Mech. Sci. 2024, 284, 109766. [Google Scholar] [CrossRef]
Disclaimer/Publisher’s Note: The statements, opinions and data contained in all publications are solely those of the individual author(s) and contributor(s) and not of MDPI and/or the editor(s). MDPI and/or the editor(s) disclaim responsibility for any injury to people or property resulting from any ideas, methods, instructions or products referred to in the content.

Article Metrics

Citations

Article Access Statistics

Multiple requests from the same IP address are counted as one view.