Next Article in Journal
Automated Fillet Weld Inspection Based on Deep Learning from 2D Images
Previous Article in Journal
Functional and Antimicrobial Properties of Propolis from Different Areas of Romania
 
 
Font Type:
Arial Georgia Verdana
Font Size:
Aa Aa Aa
Line Spacing:
Column Width:
Background:
Article

Impact of Branch Pipe Valve Closure Procedures on Pipeline Water Hammer Pressure: A Case Study of Xinlongkou Hydropower Station

1
College of Water Conservancy & Architectural Engineering, Shihezi University, Shihezi 832000, China
2
Key Laboratory of Cold and Arid Regions Eco-Hydraulic Engineering of Xinjiang Production & Construction Corps, Shihezi 832000, China
3
Construction Administration of Kuitun River Water Diversion Project of the Seventh Division of Xinjiang Production and Construction Corps, Kuitun 833200, China
*
Author to whom correspondence should be addressed.
Appl. Sci. 2025, 15(2), 897; https://doi.org/10.3390/app15020897
Submission received: 22 November 2024 / Revised: 13 January 2025 / Accepted: 15 January 2025 / Published: 17 January 2025

Abstract

To investigate the impact of different valve closure strategies on water hammer pressure variations in pipelines and terminal valves under accident conditions, this study focuses on the Xinlongkou Hydropower Station water conveyance project. The Bentley Hammer calculation software was used to simulate the changes in water hammer pressure in the pipeline and unit terminal valves under various valve closure scenarios. Additionally, computational fluid dynamics (CFD) was applied to analyze the dynamic effects of different factors on the water hammer in the branch pipelines of the station. The results showed that shorter valve closure times resulted in higher peak water hammer pressures, with the maximum pressure occurring at the terminal valve. Extending the valve closure time effectively reduced both the peak pressure and number of pressure oscillations at the terminal valve, with pressure fluctuations stabilizing within approximately 30 s. Two-stage valve closures led to water hammer pressures 8–14.1% higher than those from one-stage linear closures. Based on these findings, it is recommended that stations adopt a valve closure time greater than 9 s during load shedding or implement a combined strategy of fast closure (60%) and slow closure (40%). The study also revealed that the primary factors influencing the water hammer are valve closure time, number of valves, valve diameter, and valve distance, in that order, with the distance having a relatively minor impact. The results of this study provide valuable insights into valve closure strategies for water conveyance projects.

1. Introduction

In recent years, China has made significant progress in addressing the supply–demand contradiction of water resources. For example, in long- and medium-distance pressurized water pipeline projects, the relatively low requirements of geological conditions and the external environment for pressurized water pipelines have led to their widespread application in practical engineering [1]. However, when a pump station or hydropower station in a water conveyance system unexpectedly experiences a load drop due to failure, the energy within the pipeline system can cause oscillations in the form of water hammer waves after the valves are closed [2,3,4]. The increase in pressure can result in pipe bursts. Moreover, the transient flow associated with the water hammer can create negative pressure within the pipeline, thereby jeopardizing the safe operation of the hydropower station. Therefore, the calculation and protection against water hammers in pipeline systems are common and critical aspects of water diversion engineering [5,6,7,8,9].
With the continuous expansion of hydraulic engineering projects, the water hammer effect and its associated transient pressure issues in pipelines have gradually become an active area of research. In recent years, several studies have been conducted domestically and internationally in areas such as fluid forces, hydraulic circuit design, and water hammer protection [10,11,12,13]. For instance, Moreno et al. [14] employed configurable hydraulic circuits to comprehensively measure flow and pressure under conditions of fixed and variable delivery heads, providing valuable experimental data for subsequent studies. However, this study lacked an in-depth exploration of the mechanisms underlying water hammer wave propagation. Similarly, Kumar [15] demonstrated that water hammer pressure transients could cause severe damage to critical components of RCS supply pipelines, such as pressure sensors, and highlighted the potential risks and hazards of this phenomenon to water supply systems. Nevertheless, the study fell short in its computational analysis of the water hammer phenomena in multibranch pipelines. Wan et al. [16] demonstrated that improving the single and double coefficients in the IAB friction model, along with increasing the rotational inertia and employing reasonable valve operation methods, helps to control transient pressure changes in the fluid. That approach can effectively reduce the severe impact of water hammer waves on valves and manage the water hammer without the need for additional protective devices. However, increasing the rotational inertia necessitates the introduction of more efficient turbines, which can lead to higher economic costs in practical engineering. Therefore, this study primarily focused on researching the effective control of water hammer through appropriate valve closure procedures.
Some scholars [5,17,18,19,20,21] have also investigated the use of guide vane closure to control a water hammer, which is regarded as a mainstream research method. However, in scenarios where hydraulic turbines experience load dumping, the effects of guide vane closure render this method less applicable. Consequently, this study focused on the closure procedure of the worm gear valve at the front end of the turbine to manage water hammer, as this approach is more conducive to addressing various conditions in practical engineering projects. Most research methods that utilize valve control to manage a water hammer involve calculations based on the method of characteristics (MOC), which effectively simulates the propagation process of a water hammer [22]. This study employed a two-dimensional simulation software to model the water hammer phenomenon at the Longkou Hydropower Station under various load rejection conditions. Additionally, three-dimensional simulations were utilized to perform a detailed analysis of the flow pattern variations within the pipeline. Using two-dimensional vector field plots generated from three-dimensional simulations, this study further investigated the flow characteristics at specific cross sections of critical pipeline nodes.
In addition to two-dimensional water hammer calculations, numerous studies have utilized computational fluid dynamics (CFD) to analyze the water hammer phenomenon. Yan et al. demonstrated the advantages of combining the MOC and CFD for the dynamic analysis of pump station systems. The MOC effectively describes the fluid propagation characteristics within pipelines, whereas CFD can simulate the internal flow and cavitation phenomena within pumps. The integration of these methods allows for a more accurate analysis and prediction of the pump system performance under varying operational conditions [23]. Similarly, Nikpour et al. described the accuracy and computational efficiency of using CFD for transient flow analysis [24]. Although CFD provides precise flow predictions, its computational requirements are significant. Therefore, optimizing the computational process and algorithms is critical for engineering applications. This study adopted a combined two- and three-dimensional approach to analyze the water hammer phenomenon at the Xinlongkou Hydropower Station. The aforementioned studies cover analyses of water hammers in long-distance pipelines and localized water hammers under laboratory conditions. However, in practical engineering applications, it is essential to consider factors such as the project characteristics and construction conditions. Therefore, experimental or simulation-based evaluations are necessary to guide engineering construction.
In conclusion, the theoretical analyses and methodologies for local water hammer in pipelines under long-distance and laboratory conditions are well established. However, in practical engineering applications, it is crucial to consider various factors, such as the specific characteristics of the project and construction conditions, and conduct research tailored to the unique features of each case. For example, the Xinlongkou Power Station, which is part of the second-stage hydropower project of the Kuitun River diversion in Xinjiang, presents a pipeline layout with short distances and high drops. Additionally, the flow of the river is primarily sourced from snowmelt, which causes significant fluctuations in flow due to temperature changes. Consequently, turbine operation and shutdowns must be carefully managed to balance power generation with downstream agricultural water use. Therefore, valve closure methods and processes are of considerable importance. Moreover, because the plant design combines both large and small turbines, factors such as spacing, quantity, and diameter of valves play a significant role in influencing the water hammer effect during operation.
Kubrak [25] developed a valve closure function to investigate the impact of V-shaped notches on valve flow control and water hammer suppression, thereby providing valuable insights into the linear throttling behavior of gate valves during the closing process. Toumi [26] systematically analyzed the effects of progressive valve closure on water hammer pressure under various pipeline characteristics and operational conditions, offering useful guidance on optimal valve closing strategies. Han [27] employed CFD methods to examine the variations in water hammer pressure under different closure times and patterns for ball valves, demonstrating the correlation between the closing speed and water hammer intensity, and highlighting that extending the closing time can effectively reduce the maximum water hammer pressure. Kodura [28] combined physical experiments and computational methods and compared the water hammer processes for different pipe materials and valve types, emphasizing the critical influence of valve closure characteristics on the dynamic water hammer process. That study also pointed out the discrepancies in existing engineering calculations in certain scenarios, echoing the need for improved calculation methods or optimized closure strategies. Xin [29] proposed a two-stage valve closure strategy, verifying its effectiveness in mitigating the maximum water hammer pressure for micro-hydropower systems, and further discussed the coordination between the closing angles and durations at each stage, providing a significant reference value for enhancing water hammer control.
Currently, a wide variety of water hammer simulation software packages is available. AFT Impulse excels in modeling water hammer and transient flow and is commonly used in complex systems such as nuclear power and petrochemical pipelines. Allevi offers strong computational and visualization capabilities in scenarios involving wave interference, multi-branch networks, and simultaneous valve operation at multiple points. Other software products, such as Flowmaster, WANDA Transient, and TSNet, also demonstrate good modeling and simulation capabilities in specific fields or under particular conditions [30,31,32,33,34,35]. Bentley Hammer was selected for this study because of its proven track record in hydraulic infrastructure projects and its alignment with the engineering constraints of our specific case study. This study employed two-dimensional simulation software to perform numerical modeling and water hammer analysis of the water supply pipeline of the New Longkou Hydropower Station and investigated the effects of valve closing time and closure methods on pipeline water hammer pressure. The study examined water hammer pressure variations at different branch-line valves, identified the optimal valve closure procedures under worst-case conditions, and used CFD simulations to analyze the dynamic behavior of water hammer across varying quantities, diameters, and distances of branch pipes. This research work clarified the impact mechanisms of valve closure procedures on water hammer pressures at both ends of the valve under different branch pipe characteristics, providing technical and theoretical support for similar forkpipe water transfer projects and helping to prevent excessive water hammer that could disrupt the normal operation of a project.

2. Project Overview

This study originated from the construction of the Kuitun River water diversion project, specifically the secondary hydropower station, the Xinlongkou Station. The water source was drawn from the upstream forebay of the station, and the pressure pipeline was designed in a one-pipe, four-machine configuration consisting of open pipe sections, vertical shafts, and branch pipe sections. The pressure water pipe was a single steel pipe, approximately 1450 m long with a diameter of 4.1 m, designed to divert a flow rate of 48.5 m3/s, with an internal flow velocity of 3.83 m/s, a design head of 342.304 m, and the design maximum water hammer pressure for this project is 4.2 MPa. Three branch pipes were arranged at the end of the pipeline, configured in a “T” shape, with branch diameters of 2.2 m (for large units) and 1.4 m (for small units). The branch pipelines were positioned parallel to each other on the same horizontal plane with valves installed at the end of each branch. The lengths of the branch pipelines X2, X1, D2, and D1 were 33.5, 29.5, 25.5, and 21 m, respectively. Reducer pipes were installed along the branches at distances of 18, 14, 10, and 5.5 m from the branch origins. The diameters of branch pipelines X1 and X2 were reduced to 1.1 m, whereas those of branch pipelines D1 and D2 were reduced to 1.9 m. The valve diameters matched those of the pipelines after the reductions. The actual layout of the onsite water diversion pipeline and the proposed model setup are illustrated in Figure 1, which includes the direction of water flow, upstream and downstream positions, and installation sequence of the various units in the hydropower station.
Based on the actual pipeline layout, the longitudinal section of the pipeline (Figure 2) illustrates the elevation changes along the pipeline. Combined with Figure 1, it can be observed that this pipeline was arranged according to the gravitational drop, utilizing the gravitational potential energy to convert it into mechanical energy for electricity generation at the hydropower station.

3. Calculation Model

3.1. Calculation Model and Control Equations

AFT Impulse is widely used for water hammer and transient flow analysis, is suitable for a variety of pumps, valves, and ancillary equipment, and is commonly employed in engineering applications. Allevi, developed by the University of Valencia and other research institutions, has been applied in pipeline wave interference studies and can simulate complex scenarios such as simultaneous multi-valve operations and branched pipeline networks. Flowmaster is a commercial hydraulic simulation software widely used in high-demand industries such as nuclear power and petrochemicals and is capable of analyzing water hammers in large-scale pipeline networks. WANDA Transient is primarily designed for transient flow conditions in pipeline systems, allowing detailed simulations of various components, including valves, pumps, and pressure relief devices. TSNet, an open-source Python package, facilitates integration with other numerical analysis tools and is suitable for studying transient scenarios such as valve closure, pump shutdown, and pipeline leakage [30,31,32,33,34,35]. In this study, we focused on Bentley Hammer, a commercial software based on the MOC, to simulate the transient characteristics of multi-branch pipelines. The Bentley Hammer software is suitable for the design, analysis, and simulation of hydraulic systems across various water engineering fields, such as the design and optimization of water supply, drainage, and irrigation systems. It primarily focuses on water hammer simulations within hydraulic systems, including various hydraulic calculations related to components such as pipelines, pumps, and valves, and analyzes hydraulic shocks or water hammer phenomena within pipeline systems.
Calculating the water hammer pressure primarily involves solving the water hammer motion equations and setting the boundary conditions for the inlet and outlet air valves as follows:
In pressurized pipelines, the equations of motion and continuity of fluids must be adhered to. According to the elastic water hammer theory, the water hammer motion equation is as follows [36]:
H x + 1 g V t + V g V x + f D V | V | 2 g = 0
Considering the pipeline material and water as elastic bodies, the continuity equation is expressed as follows:
H t + a 2 g V x + V H x = 0
In the above three equations: H is the water head at a certain point in the pipeline, in meters (m); x is the position coordinate along the pipeline axis, in meters (m); g is the acceleration due to gravity, in meters per second squared (m/s2); v is the flow velocity within the pipeline, in meters per second (m/s); f is the friction coefficient of the pipeline; D is the diameter of the pipeline, in meters (m); t is the time, in seconds (s); α is the angle between the pipeline and the horizontal plane, in degrees (°); a is the speed of the pressure wave propagation, in meters per second (m/s). The friction factor f is not constant but is automatically updated at each time step in the software based on the current Reynolds number.
To simplify the mathematical model, this study adopts the quasi-steady friction assumption, which makes the model more suitable as a practical tool for pipeline design and operation. While unsteady friction models can enhance simulation accuracy, they require more experimental data and a more complex simulation process [37]. Given that this paper primarily focuses on conventional water hammer calculations for the design and operation of the Xinlongkou Power Station, the quasi-steady friction assumption was chosen.
Equation (2) represents the governing motion equation for the water hammer and accounts for factors such as the gravitational component of the fluid along the pipeline direction, friction losses, and changes in flow velocity. Consequently, it includes the term sinα. Equation (3) corresponds to the continuity equation for a water hammer (based on the elastic water hammer theory) that describes the volumetric balance of the fluid. Unlike the motion equation, it does not explicitly incorporate gravity or the pipeline inclination.
The water hammer pressure was calculated using the water hammer motion equations, and the boundary conditions after the installation of the air valves were set in conjunction with the above formulas to perform water hammer calculations under the load-rejection conditions of the hydropower station.

3.2. Operating Condition Settings

Two operating conditions were set for the large and small units (Figure 3) based on the actual layout of the turbines in the Xinlongkou Hydropower Station. In this figure, D1 and D2 represent large units, whereas X1 and X2 represent small units. Single- and two-stage linear valve closure methods were modeled to calculate the water hammer pressure.
The formula for calculating the water hammer wave speed in pipelines is as follows:
a = K ρ ( 1 + K D E e )
The meanings of the symbols are as follows: a represents the water hammer wave speed, measured in m/s; D is the pipeline diameter, in m; K denotes the bulk modulus of elasticity of the fluid, in Pa; ρ is the fluid density, in kg/m3; E refers to the elastic modulus of the pipeline material, in Pa; and e is the pipe wall thickness, in m.
In this study, the fluid in the pipeline is water, with a density of 1000 kg/m3 and a bulk modulus of elasticity of 2.2 × 109 Pa. The steel pipe has a wall thickness of 0.04 m and an elastic modulus of 2.1 × 1011 Pa, with a pipeline diameter of 4.1 m. Based on these parameters, the calculated wave speed in the pipeline is approximately 1000 m/s.
In practical engineering applications, to ensure that the initial wave reaches the opposite end of the pipeline and begins to reflect before the valve is fully closed, it is possible to reduce premature wave overlap and excessive reflection peaks. Therefore, some design standards or empirical guidelines often use half of the water hammer propagation time (i.e., 2 L/a) as a conservative reference for the “minimum” valve closing duration. Given that the pipeline in this study is relatively short and the water hammer event occurs rapidly, we adopt the half-cycle of the water hammer as the reference for the minimum valve closing time.
μ = 2   L / a
In the equation, μ represents the wave phase; L is the length of the pipe segment, in meters (m); and a is the average wave speed in the pipe segment, in meters per second (m/s).
Based on the findings presented in Equation (4), the complete water hammer period for the pipeline is determined to be 2.9 s; consequently, the minimum valve closure time established for this study is set at 3 s, resulting in a total computational duration of 120 s. Building upon the research conducted by Wang et al. [38], who explored the effects of continuous valve closure on water hammer pressure increases in multi-branch pipelines, as well as empirical evidence gathered from actual engineering practices, it was established that the maximum water hammer pressure occurs when all turbines simultaneously reject their loads; consequently, this study investigates the maximum and minimum pressure variation patterns of water hammer from the terminal valve to the main pipeline segment by implementing single- and two-stage linear valve closures. The single-stage linear closure times were set to 3, 6, 9, and 12 s for the large unit and 3, 4, 7, and 10 s for the small unit. For the two-stage linear valve closure, both the large and small units shared the same fast and slow closure times, specifically characterized by fast closure occurring at 80% in 3, 4.5, and 6 s for the large unit (with slow closure at 20%) and at 80% in 2, 3.5, and 5 s for the small unit (with slow closure at 20%), along with an additional setting for the large unit of fast closure at 60% in 3, 4.5, and 6 s (with slow closure at 40%) and for the small unit of fast closure at 60% in 2, 3.5, and 5 s (with slow closure at 40%). Thus, based on the differing closure times for the large and small units, combined operating conditions are established to study the maximum and minimum pressure variations of water hammer from the terminal valve to the main pipeline segment, with the specific operating conditions detailed in Table 1.

4. Result and Discussion

4.1. One-Stage Linear Shut-Off Valve Water Hammer Change Rule

4.1.1. Change Rule of Water Hammer Pressure Along the Pipeline

Figure 4 illustrates the variation of water hammer pressure along the pipeline under single-stage linear valve closure time conditions. Given that the main pipeline is shared among the units prior to branching at the junction, the water hammer pressure value in the shared segment remains constant. Thus, only the water hammer pressure situation along the shared main pipeline segment is presented in Figure 4a, while the subsequent Figure 4b–d depict different sections of the pipeline under various unit conditions, each exhibiting differing water hammer pressures. Figure 4 illustrates the variation in the water hammer pressure along the pipeline from the upstream pipeline to the valves of different units. To better represent the pressure changes in the latter section of the pipeline, Figure 4a shows the pressure variation along the entire pipeline, whereas Figure 4b–d focuses on the water hammer pressure variations from the 710 m point of the pipeline to the respective unit valve endpoints.
It can be observed that the closer the head along the pipeline is to the terminal equipment, the greater the fluctuation in the water hammer pressure, which tends to increase. The maximum water hammer pressures recorded along the pipeline ranged from 5 to 3932 KPa, 5 to 4123 KPa, 5 to 4735 KPa, and 5 to 11,149 KPa for conditions T1-4, T1-3, T1-2, and T1-1, respectively. When the valve closing time was short (i.e., rapid closure), a high transient peak pressure was generated at the initial moment of closure. Once the valve was fully closed, it remained in the closed state for the remainder of the time. Valves can generate excessive hammer pressures, mainly because of the conversion of liquid kinetic energy into pressure energy during the closing process, resulting in an increase in pressure within the pipeline. Longer pipelines may accumulate more reflected energy under specific boundary conditions; however, this must be analyzed in conjunction with actual reflection and superposition scenarios. The results of this study suggested potential strategies for mitigating the water hammer effect, such as optimizing the valve closing time and installing damping devices, to enhance the safety and reliability of pipeline operations [39]. Consequently, this study identified a phenomenon in which closing the valves compressed the fluid in front, creating a high-pressure zone that significantly increased the water hammer pressure at the terminal end. It was also determined that the maximum water hammer pressure occurred near the valve, situated between 1300 and 1450 m along the pipeline.
It is also noteworthy that during the valve closure time, which occurs near the water hammer wave phase (at 3 s), the pipeline under condition T1-1 exhibits a significant negative pressure of −98 kPa. Figure 5 illustrates the air volume distribution along the D1 unit pipeline at the moment when the maximum water hammer extreme occurred under the T1-1 condition. According to the software simulation results, the air volume within the pipeline reached its peak value at t = 8.76. This pressure is sufficient to induce cavitation, which poses a potential threat to system safety. It is important to emphasize that this negative pressure refers to a value below atmospheric pressure, rather than the absolute pressure. Under such conditions, cavitation or liquid column separation is highly likely to occur. However, this phenomenon can be mitigated by extending the valve closure time. Furthermore, as demonstrated in Figure 4a–d, under the same terminal pipeline conditions, the unit parameters and layout have minimal impact on the extreme values of water hammer pressure, with the variation range of extreme water hammer pressure among the overall units being between 0.2% and 0.7% when the unit parameters and layout differ. Therefore, it can be concluded that the magnitude of extreme water hammer pressure primarily depends on the valve closure time.
Although the excessive extreme water hammer pressure observed at the terminal of the unit in this study is attributed to short valve closure times, it is important to note that, with the exception of the T1-1 condition, all other conditions comply with the requirements specified in the Pump Station Design Code (GB/T 50265-2010) [40,41], which states that the pressure should not exceed 1.3 to 1.5 times the rated pressure; therefore, to further address the cavitation phenomenon induced by negative pressure during short valve closures, it is advisable to implement longer closure times that exceed the water hammer wave phase for unit management during the operational phase.

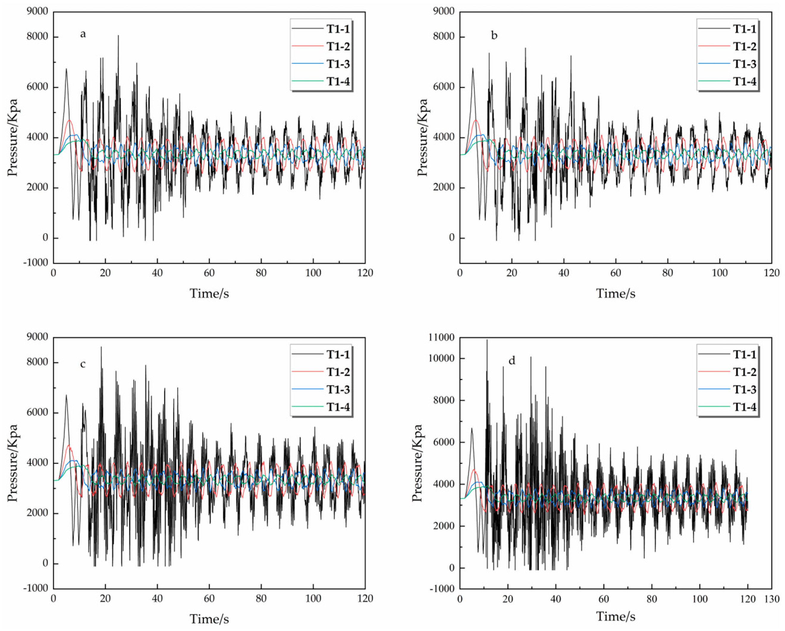
4.1.2. Variation Characteristics of Water Hammer Pressure near the End Valve

Figure 6 shows the variation in the valve pressure at the pipeline end over time under single-stage linear valve closure. The figure shows the pressure fluctuations at the end valves of each unit under different operating conditions, with the pressure variation patterns being generally consistent across all four units. Over time, these fluctuations gradually stabilized and reached a steady state at approximately 30 s. As can be observed from Figure 6a–d, under the four-valve closure conditions (T1-1, T1-2, T1-3, and T1-4), the water hammer pressure ranges at the valve ends of the different units are as follows: −98 to 11,149 kPa, 2544 to 4735 kPa, 2845 to 4125 kPa, and 3104 to 3932 kPa. Under the T1-1 condition, the minimum value (−98 kPa) occurred at the ends of all units, while the maximum value (11,149 kPa) was observed in the X2 unit (Figure 6d). For the T1-2 condition, the minimum value (2544 kPa) appeared in the X2 unit (Figure 6d), and the maximum value (4735 kPa) occurred in the X1 unit (Figure 6c). In the T1-3 condition, the minimum value (2845 kPa) was found in the X1 unit (Figure 6c), while the maximum value (4125 kPa) was observed in the D1 unit (Figure 6a). Similarly, under the T1-4 condition, the minimum value (3104 kPa) occurred in the X1 unit (Figure 6c), and the maximum value (3932 kPa) was observed in the D1 unit (Figure 6a). Moreover, as the valve closure time increases, the extremes of the water hammer pressure gradually decrease, and the frequency of the peak occurrences decreases. This is primarily because the conversion of fluid kinetic energy into pressure energy occurs more gradually when the valve closure speed is lower. As a result, the peak values of the transient water hammer pressure and the amplitude of multiple wave superpositions are reduced, leading to fewer peak pressures and reflections within the pipeline. This phenomenon is consistent with that observed in previous studies that effectively revealed the transient flow characteristics of pressurized pipelines through CFD analyses. During valve closure, the flow velocity underwent three distinct phases: an initial slight change, followed by a sharp decrease, and finally, a gradual reduction [42].
Additionally, a comparison of the end valve pressures of the large units D1 and D2 with those of the small units X1 and X2 showed that the pressure wave patterns at the end valves of the small units X1 and X2 are more densely packed. This indicates that the initial pressure readings have a more chaotic flow oscillation at the small unit valves. This phenomenon can be preliminarily attributed to the smaller diameters of the branch pipelines associated with the small units. The flow velocity becomes turbulent as the main water supply pipeline’s flow enters the small unit branch lines, consequently leading to excessive oscillation frequencies of the water pressure within the pipeline when the valve suddenly closes.

4.2. Two-Stage Linear Shut-Off Valve Water Hammer Change Rules

4.2.1. Change Rule of Water Hammer Pressure Along Pipelines

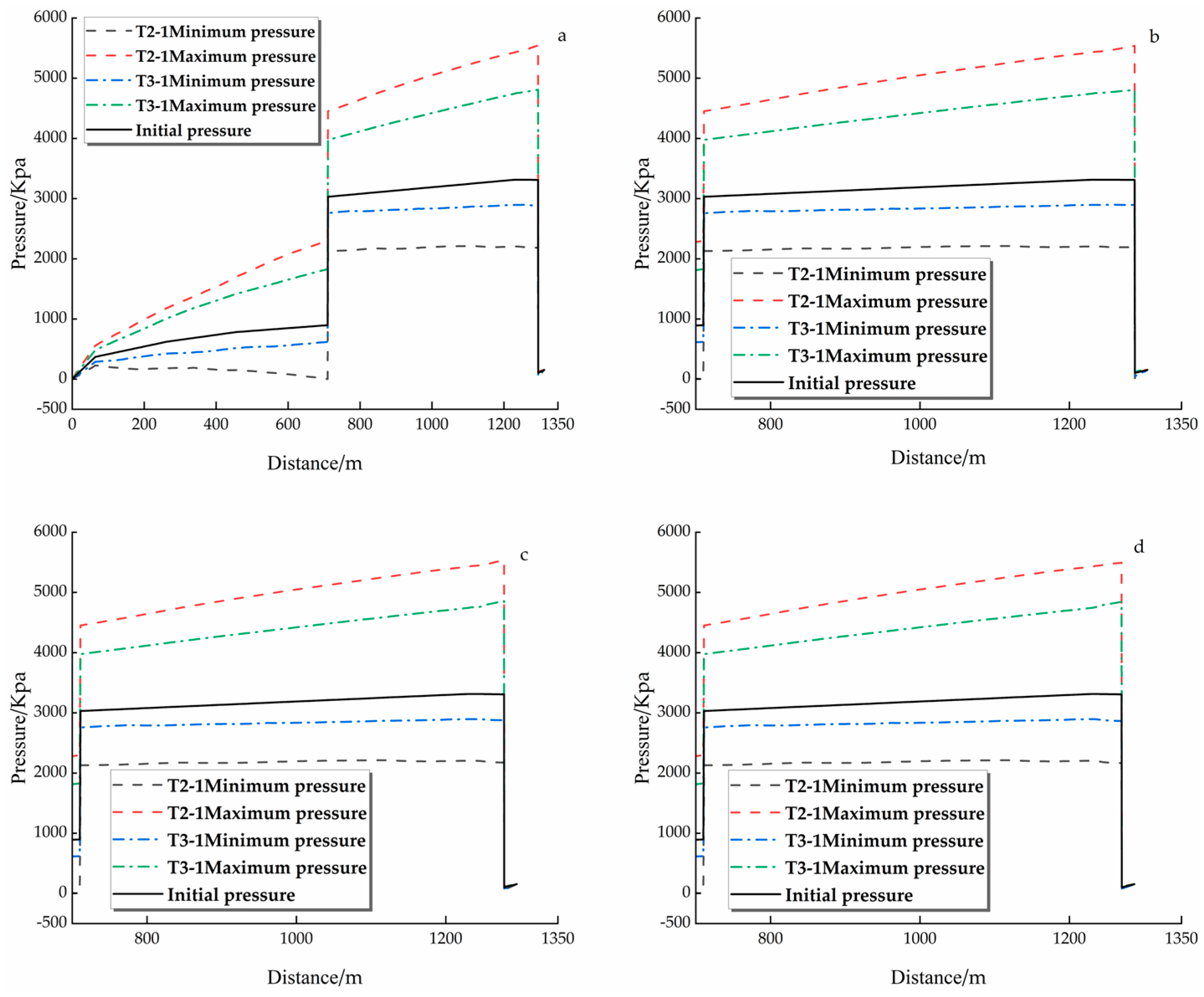
Figure 7 illustrates the variation patterns of the water hammer pressure along the pipeline under two-stage linear valve closure conditions, revealing that the water hammer pressure variation patterns of the four units are generally consistent, with the maximum water hammer pressure gradually increasing along the pipeline. Specifically, the T2-1 condition ranges from 5 to 5544 KPa, whereas the T3-1 condition ranges from 5 to 4857 KPa.
A comparison between the T2-1 and T3-1 closure conditions indicates that the maximum water hammer pressure in the latter is reduced by 12.4% compared with the former, demonstrating that the valve closure speed has a significant impact on the water hammer pressure, as different closure speeds lead to varying flow state changes. Notably, when the closure speed is excessively rapid, the oscillation of the water hammer waves within the pipeline becomes more intense.
Furthermore, the T2-1 condition exhibits negative pressure in the pipeline, indicating the occurrence of flow interruption, which suggests that a fast closure at 80% is more likely to induce negative pressure in the pipeline than a fast closure at 60%. Additionally, under a closure time of 6 s for the T2-1 condition, it is important to note that regardless of the speed of closure, the maximum water hammer pressure within the unit’s pipeline exceeds the pressure limit of 5 MPa for the steel pipe.
The maximum water hammer pressures corresponding to each pipeline are presented in Table 2. Within the same timeframe, a faster closure speed yields a higher water hammer peak with recorded pressures of 4264 KPa for T3-2, 4724 KPa for T2-2, 3985 KPa for T3-3, and 4303 KPa for T2-3. Specifically, under identical closure-time conditions, the maximum water hammer pressure observed in the pipeline under the 80% fast closure scenario is greater than that observed under the 60% fast closure scenario, with increases ranging from 7.4% to 9.7%. This phenomenon can be preliminarily attributed to the rapid conversion of the kinetic energy of the fluid into pressure energy resulting from the high closure speed, which consequently increases the peak pressure within the pipeline. However, as the closure time increases, the influence of the fast closure rate on the maximum water hammer pressure exhibits a diminishing trend. The results of this study are consistent with the conclusions obtained by previous researchers, who illustrated various cases of emergency closure and its effect on the water hammer pressure through simulation and analysis and verified the effectiveness of the fast valve under different operating conditions [43]. Furthermore, it was determined that when maintaining the same unit parameters, the position of the unit exerts a certain influence on the maximum water hammer pressure within the pipeline. In this study, the peak water hammer pressure recorded in the D1 unit was slightly higher than that in the D2 unit, with a range of variation between 0.07% and 0.18%. Similarly, the X1 unit showed a greater maximum water hammer pressure than that in the X2 unit, with differences ranging from 0.17% to 0.7%. This suggests that the closer a unit is to the terminus of the main water supply pipeline, the greater the resulting peak water hammer pressure, which can be preliminarily attributed to the increased fluid kinetic energy at the valve closure point, influenced by the act of valve closure, although the observed differences under identical unit parameters are not statistically significant.
In conclusion, to mitigate the risk of negative pressure within pipelines and avert operational accidents in real-world engineering applications, it is recommended that the percentage of fast closure be adjusted. Furthermore, the valve closure time should be extended to ensure that the maximum water hammer pressure within the pipeline units remains below the maximum pressure threshold.

4.2.2. Change Rule of Water Hammer Pressure at the End Valve

Based on the previous sections, it is evident that the differences in the maximum water hammer pressures among the four pipeline units were minimal. Consequently, this analysis focused on the variations in the water hammer pressure at the end valve of unit X2. Figure 8 illustrates the changes in the water hammer pressure at the end valve of the X2 pipeline unit under two-stage linear valve closure conditions. The extreme values of the water hammer pressure for closure conditions T2-1, T2-2, T2-3, T3-1, T3-2, and T3-3 ranged from 2180 to 5482 kPa, 2323 to 4680 kPa, 2676 to 4294 kPa, 2881 to 4845 kPa, 3009 to 4256 kPa, and 3138 to 3979 kPa, respectively. It can be observed that, at the same time, the water hammer pressure fluctuations at the end valve for the 80% fast closure were greater than those for the 60% fast closure. As time progressed, the amplitude of the water hammer pressure waves gradually stabilized. In this study, under the closure conditions T2-1 and T3-1, the maximum extreme value of the water hammer pressure ultimately approached 4500 kPa, exceeding 1.3 times the normal operating head, thereby failing to meet the safety requirements for the operation of the power station.
Therefore, the valve closure rate should not be excessively high to avoid generating a water pressure that surpasses the maximum allowable pressure of the unit in practical engineering operations.

4.3. Water Hammer Change Rule of End Valve Under Different Influencing Factors

Based on the above research results, during the first-stage linear valve closure process at the power station, when the shutdown time for large units is 12 s and for small units is 10 s, the valve closure program at the terminal valve meets the safety requirements outlined in the design and the water hammer pressure complies with the relevant standards. Furthermore, the study indicates that the maximum water hammer pressure occurs at the terminal valve in gravity-flow power stations.
Based on the results of a previous study, during the linear shutdown process at the power plant, a shutdown time of 12 s for the large unit and 10 s for the small unit ensures that the terminal valve closure procedure meets the design safety requirements, and the water hammer pressure complies with the relevant standards. Additionally, it was found that in gravity-flow power plants, the maximum water hammer pressure occurs at the terminal valve. To further explore the relationship between the valve diameter, distance, and quantity, this study compared and analyzed the closure of large- and small-diameter valves to assess their effect on the water hammer phenomenon at power stations [44]. To ensure the consistency of the research variables, we first conducted simulations using two-dimensional computational software under a 12 s single-stage linear valve closure scenario for fully closed conditions. The comparative results indicate minimal differences. Consequently, in the three-dimensional simulations, the valve closure strategies for all scenarios were standardized to a 12 s single-stage linear closure to better align the computational results with real-world conditions. Moreover, the study investigated the impact of valve quantity on the water hammer pressure by analyzing the closure of 2, 3, and 4 valves. Finally, three-dimensional flow patterns within the pipeline were simulated using CFD to provide a theoretical foundation for optimizing the valve closing procedure and mitigating the water hammer effect.
The pipeline geometry in the CFD analysis was based on the actual conditions. The main pipeline diameter was 4.1 m, whereas the valve and upstream pipeline diameters corresponded to the unit size, with the valve diameter set to 1.9 m for the large units and 1.1 m for the small units. An unstructured mesh generation method was employed to ensure the computational accuracy of the complex pipeline geometry. The material properties of the pressure steel pipes, including an elastic modulus of 2.06 GPa and Poisson’s ratio of 0.3, were based on the conditions at the New Longkou Hydropower Station and were used as boundary condition inputs to reflect the actual material characteristics. Additionally, the valve opening and closing processes were precisely controlled using user-defined function (UDF) technology, enabling the accurate simulation of various valve closure strategies.

4.3.1. Analysis of the Effect of Different Diameters of the Turn-Off Pipe on the Change of Water Hammer Pressure

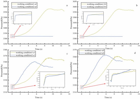
Positions a1, b1, c1, and d1 correspond to the centerline locations of the pipelines upstream of valves D1, D2, X1, and X2, respectively. For ease of detection, all monitoring points were positioned 2 m upstream of their respective valves. The specific locations are shown in Figure 3.
This figure illustrates the water hammer pressure responses for different pipeline diameters and valve closure configurations. Each subplot (I–IV) corresponds to different valve closure strategies, with conditions 1 and 2 in the figure representing the water hammer pressure curves at the terminal valves of pipelines with different diameters. In each subplot, curves a1, b1, c1, and d1 represent the pressure variations at the terminal valve monitoring points, whereas curves a, b, c, and d indicate the pressure variations at the monitoring points with the valve open. As shown in Figure 8, the pressure peaks at the closed valve end (a1, b1, c1, d1) are generally higher than those at the open valve end (a, b, c, d), and after a rapid rise in the initial phase, the pressure gradually stabilizes. In Figure 9a,b, the pressure increase rate for pipelines with larger diameters (Condition 1) is higher than that for pipelines with smaller diameters (Condition 2), reaching a stable value in a shorter time, indicating that larger-diameter pipelines are more prone to high transient pressures. In Figure 9c,d, the pressure at the closed valve end (c1, d1) exhibits significant oscillations after reaching the peak, reflecting the more pronounced volatility of larger-diameter pipelines under the water hammer effect. Figure 10 magnifies the pressure variation details in the initial phase (0–2 s), further illustrating the effects of different pipeline diameters and monitoring point locations on the transient water hammer response. These results indicate that the selection of different diameters and monitoring point locations significantly affects the water hammer effect, thereby providing theoretical support for optimizing valve control strategies and mitigating water hammer impacts.

4.3.2. Analysis of the Effect of Different Distances from the Turnpike on the Change of Water Hammer Pressure

Considering the influence of different branch pipe quantities and varying distances between branches on water hammer pressure variations, water hammer calculations were first conducted for four different distance scenarios. These scenarios correspond to Conditions 3–6, 3-D1X1 closure, 4-D1X2 closure, 5-D2X1 closure, and 6-D2X2 closure, to assess the impact of different branch pipe distances on water hammer pressure variations at this power station. The valve closure strategy for both the large and small units was a 12 s single-stage linear closure.
Based on the results under these four conditions shown in Figure 11, it was determined that the distance between the branch pipes in the Xinlongkou Power Station had little effect on the maximum water hammer pressure. Under the conditions involving the small and D1 unit valve closures, the maximum water hammer pressures at monitoring point a1 were 3416 and 3417 kPa, respectively. The corresponding maximum pressures at the small unit valve closure monitoring points c1 and d1 were 3393 and 3391 kPa, respectively. Under the conditions involving small and D2 unit valve closures, the maximum pressures at monitoring point b1 were 3405 and 3406 kPa, respectively, whereas the corresponding maximum pressures at the small unit valve closure monitoring points were 3399 and 3394 kPa, respectively. These results indicate that the varying distances between the small and large units at this power station had almost no effect on the maximum water hammer pressure in the pipeline.

4.3.3. Analysis of the Effect of Different Numbers of Turnouts on the Variation of Water Hammer Pressure

Based on the previous analysis of the impact of branch pipe distances on the maximum water hammer pressure at the Xinlongkou Hydropower Station, it was concluded that the distance had a minimal effect. To investigate the influence of the valve closure quantities on the increase in water hammer pressure, only the maximum water hammer conditions for each valve quantity were considered. Therefore, when examining a branch pipe quantity of 2, only condition 1 is considered; for a branch pipe quantity of 3, only the water hammer pressure resulting from the closure of two large and one small unit is considered. The results for the maximum water hammer pressure during load shedding for all units were then compared.
Figure 12 illustrates the effect of the number of valve closures on the maximum water hammer pressure. The horizontal axis represents the number of valve closures (2, 3, and 4), and the left vertical axis represents the maximum water hammer pressure (in kPa). For 2, 3, and 4 valve closures, the maximum water hammer pressures are 3367, 3680, and 3836 kPa, respectively. The vertical axis on the right represents the percentage increase in the maximum water hammer pressure relative to the steady-state water pressure for each number of valve closures. For 2, 3, and 4 closures, the pressures increased by 8.02%, 10.97%, and 15.68%, respectively. The results showed that as the number of valve closures increased, the water hammer pressure increased significantly, exhibiting an increasing trend. When the number of valve closures was 2, the maximum water hammer pressure was approximately 3250 kPa. As the number of closures increased to 3 and 4, the water hammer pressures increased to approximately 3750 and 4000 kPa, respectively, corresponding to pressure increases of 10% and 16%, respectively.
Based on the previous analysis, under different pipeline diameters and valve closure programs, increasing the number of valve closures leads to higher transient pressure peaks. However, considering that the transient water hammer pressure peaks in pressurized pipelines are influenced by factors such as the pipeline structure, operating conditions, and boundary conditions, and that this study does not account for more complex factors such as unsteady friction or fluid–structure interactions, the conclusion is only applicable to the specific conditions of the multi-branch pipeline and simultaneous closure of multiple valves at the Xialongkou Hydropower Station. This effect is likely due to the combined impact of fluid inertia and the simultaneous closure of multiple valves. Particularly in larger-diameter pipelines, the water hammer effect is more pronounced, thus increasing the transient pressure of the system. This figure provides quantitative support for optimizing the number of valve closures at the power station. It helps in designing a reasonable valve closure program, ensuring that the water hammer pressures meet the safety requirements and minimize the impact of transient pressure fluctuations on the pipeline system. To establish a universally applicable relationship between the number of valves and water hammer pressure, further validation with additional operational conditions and experimental data are required. Moreover, a broader range of influencing factors should be considered to provide a more comprehensive assessment of the mechanisms by which multi-valve closures affect the water hammer pressure.

5. Conclusions

This study primarily focused on the pressure pipeline system of the New Longkou Hydropower Station in the Kuitun River Diversion Project, utilizing the water hammer characteristic line method for calculations. The water hammer pressure and its variations were analyzed under different valve closing times and two-stage closure strategies while also considering potential load rejection scenarios. Furthermore, CFD simulations were employed to assess the impact of other factors on the flow patterns at the upstream end of the pipeline. Through a combination of two-dimensional and three-dimensional simulation methods, this study not only analyzed the overall pipeline water hammer but also investigated the changes in flow patterns at the pipeline valve locations. The main conclusions are as follows.
During the first-stage linear valve closure, the water hammer pressure increased progressively along the pipeline, with larger fluctuations occurring closer to the terminal units. Shorter valve closure times resulted in higher peak water hammer pressures, whereas extending the closure time effectively mitigated the negative pressure in the pipeline.
Extending the valve closure time reduced the peak water hammer pressure at the valve terminal and decreased the frequency of peak occurrences. For the same closure time, the smaller units experienced more frequent pressure fluctuations at the valve terminal.
Compared with the first-stage valve closure, the two-stage closure increased the water hammer pressure by 8% to 14.1%, potentially causing flow interruption, negative pressure, and exceeding the pipeline pressure limit. Based on the load-shedding conditions, it is recommended to implement a linear valve closure time greater than 9 s or to use a strategy of 60% fast closure and 40% slow closure.
The distance between the branch pipes at the Xinlongkou Hydropower Station had minimal impact on the maximum water hammer pressure, whereas the number of valves significantly influenced the pressure. The primary factors affecting the water hammer pressure, in order of significance, were valve closure time, valve quantity, valve diameter, and branch pipe distance.
The combination of two-dimensional and three-dimensional water hammer calculations offers advantages of both accuracy and efficiency. Compared with traditional one-dimensional or two-dimensional methods, it provides a more intuitive representation of the water hammer phenomenon within a pipeline, facilitating the analysis of flow field characteristics and the optimization of localized protection designs. This approach provides more comprehensive and reliable technical support for water hammer protection.
The combination of two-dimensional and three-dimensional water hammer calculation methods efficiently identified the key nodes. By using two-dimensional calculations for rapid system-wide simulation, followed by three-dimensional analysis for a detailed evaluation of high-risk areas, this approach allows for a comprehensive assessment of local flow fields and pressure distributions. This method balances computational efficiency with accuracy, optimizes protective designs, and enhances cost-effectiveness. It is applicable to complex conditions such as multibranch pipelines and pump station water transport, providing a reliable scientific tool for similar projects and contributing to improved design precision and operational safety.
It is worth noting that issues such as mutual coupling effects between valves in complex hydraulic circuit systems, fluid–structure interactions (FSI), and hydraulic vibrations require further in-depth investigation. In the future, we plan to conduct more comprehensive studies on these influencing factors by expanding the numerical simulation methods, for example, employing more advanced turbulence models and FSI algorithms, and performing field experiments for validation. In addition, we propose more systematic water hammer protection and control strategies tailored to water transport projects of varying scales and configurations. This study primarily relied on the elastic water hammer theory and a quasi-steady friction model. More complex hydraulic transient phenomena such as cavitation, unsteady friction, and viscoelastic pipeline lag strain effects have not been thoroughly investigated. Owing to the lack of sufficient field data for calibrating and verifying these phenomena under the current engineering design and operational conditions, higher-order water hammer analysis methods have not been introduced. Future research could further explore the conditions and mechanisms of cavitation in high-head pipelines, introduce unsteady friction models to improve the accuracy of the transient fluctuation amplitude and attenuation characterizations, and investigate the potential fluid–structure interaction effects in viscoelastic pipelines during large flow fluctuations. These efforts will provide more comprehensive and refined technical support for water hammer safety assessments and pipeline optimization designs.

Author Contributions

Conceptualization, Z.L., J.J. and Z.P.; methodology, Z.L. and J.J.; software, Z.L.; validation, Z.P. and J.S.; formal analysis, K.G. and Y.Q.; resources, J.J.; data curation, Z.L.; writing—original draft preparation, Z.L.; writing—review and editing, Z.L., J.J. and Z.P.; modify, J.J., Z.P. and K.G., contributed equally to this paper. All authors have read and agreed to the published version of the manuscript.

Funding

Supported by Bingtuan Science and Technology Program (2022CB002-05, 2023AB060, 2023AB016-02). Shihezi University Industry-Commissioned Project (Heng20240030).

Institutional Review Board Statement

Not applicable.

Informed Consent Statement

Not applicable.

Data Availability Statement

The original contributions presented in this study are included in the article. Further inquiries can be directed to the corresponding author.

Conflicts of Interest

The authors declare no conflicts of interest.

References

  1. Denn, M. Process Fluid Mechanics; Pearson: London, UK, 1980. [Google Scholar]
  2. Ghidaoui, M.S.; Zhao, M.; Mcinnis, D.A.; Axworthy, D.H. A Review of Water Hammer Theory and Practice. J. Appl. Mech. Rev. Assess. World Lit. Eng. Sci. 2005, 58, 49–76. [Google Scholar] [CrossRef]
  3. Besharat, M.; Tarinejad, R.; Ramos, H.M. The effect of water hammer on a confined air pocket towards flow energy storage system. J. Aqua 2016, 65, 116–126. [Google Scholar] [CrossRef]
  4. Tijsseling, A.S. Discussion of ’Effect of Boundary on Water Hammer Wave Attenuation and Shape’ by Huade Cao, loan Nistor, and Magdi Mohareb. J. Hydraul. Eng. 2021, 147. [Google Scholar] [CrossRef]
  5. Masaaki, N.; Ryutaro, N.; Kouji, N.; Nobukazu, I.; Tadahiro, O.; Kyousuke, D. 2006 Method for Closing Fluid Passage, and Water Hammerless Valve Device and Water Hammerless Closing Device Used in the Method. US-20050241697-A1, 14 June 2005. [Google Scholar]
  6. Mcinnis, D.A.; Karney, B.W.; Axworthy, D.H. Efficient Valve Representation in Fixed-Grid Characteristics Method. J. Hydraul. Eng. 1997, 123, 709–718. [Google Scholar] [CrossRef]
  7. Kaliatka, A.; Uspuras, E.; Vaisnoras, M. Uncertainty and sensitivity analysis of parameters affecting water hammer pressure wave behaviour. J. Kerntech. 2006, 71, 270–278. [Google Scholar]
  8. Qadi, E.L.A.; Goncalves, D.S.E.; Zeidan, D. Numerical studies of two-phase water hammer flows using Godunov methods. J. Ann. Nucl. Energy 2023, 182, 109578. [Google Scholar] [CrossRef]
  9. Tang, Y.; Cheng, Y.X.; Shen, L.X.; Wu, J.; Zhang, Y.; Li, Q.; Yuan, L. Analysis of the Effectiveness of Water Hammer Protection Programs for Complex Long-Distance and High-Head Water Supply Projects. Water 2024, 16, 1582. [Google Scholar] [CrossRef]
  10. Zhang, J.; Zhu, X.Q.; Xing-Hui, Q.U.; Ma, S.B. Arrangement of air-valve for water hammer protection in long-distance pipelines. J. Hydraul. Eng. 2011, 42, 1025–1033. [Google Scholar]
  11. Kou, Y.F.; Yang, J.M.; Kou, Z.M. A Water Hammer Protection Method for Mine Drainage System Based on Velocity Adjustment of Hydraulic Control Valve. J. Shock. Vib. 2016, 2016 Pt 1, 2346025. [Google Scholar] [CrossRef][Green Version]
  12. Chen, X.Y.; Zhang, J.; Yu, X.D.; Chen, S.; Shi, L. Study On Joint Protection of Air Tank and Air Valve in Long-Distance Water Supply System. J. Press. Vessel. Technol. 2022, 144, 061701. [Google Scholar] [CrossRef]
  13. Junginger, J.; Junginger, B.; Riedelbauch, S. Hydraulic short circuit in the Vianden power plant-plant dynamics and CFD simulations of the branches. J. Wasserwirtsch. 2019, 109, 48–51. [Google Scholar] [CrossRef]
  14. Moreno, E.D.R.; Muelas-Hurtado, R.D.; Acosta, E.A.P. Comparison of a single and two-armed hydraulic ram in parallel with vertical-radial supply pipe. J. Tecnol. Cienc. Agua 2024, 15, 128–185. [Google Scholar]
  15. Kumar, A.; Prasad, P.S.; Rao, M.R. Experimental studies of water hammer in propellant feed system of reaction control system. J. Propuls. Power Res. 2018, 7, 52–59. [Google Scholar] [CrossRef]
  16. Wan, W.Y.; Mehmood, K. Instantaneous acceleration-based modeling of pumping systems response under transient events. Int. J. Mech. Sci. 2022, 224, 107354. [Google Scholar] [CrossRef]
  17. Jian-Yong, H.U.; Zhang, H.; Suo, L.S. Study on air admission and exhaust characteristics of air valve in long water supply system. J. Hydraul. Eng. 2007. [Google Scholar]
  18. Tian, W.X.; Su, G.H.; Wang, G.P.; Qiu, S.; Xiao, Z. Numerical simulation and optimization on valve-induced water hammer characteristics for parallel pump feedwater system. J. Ann. Nucl. Energy 2008, 35, 2280–2287. [Google Scholar] [CrossRef]
  19. Feng, T.T.; Zhang, D.L.; Song, P.; Tian, W.; Li, W.; Su, G.H.; Qiu, S. Numerical research on water hammer phenomenon of parallel pump-valve system by coupling FLUENT with RELAP5. J. Ann. Nucl. Energy 2017, 109, 318–326. [Google Scholar] [CrossRef]
  20. Dai, Y.R.; Shi, W.D.; Yang, Y.F.; Xie, Z.; Zhang, Q. Numerical Analysis of Unsteady Internal Flow Characteristics in a Bidirectional Axial Flow Pump. J. Sustain. 2024, 16, 224. [Google Scholar] [CrossRef]
  21. Hu, J.Y.; Wang, Q.B.; Meng, Z.Z.; Song, H.; Chen, B.; Shen, H. Numerical Study of the Internal Fluid Dynamics of Draft Tube in Seawater Pumped Storage Hydropower Plant. J. Sustain. 2023, 15, 8327. [Google Scholar] [CrossRef]
  22. Wang, L.; Wang, F.J.; Huang, J. Filling transient analysis in pipelines with air valves. J. Hydraul. Eng. 2017, 48, 1240. [Google Scholar]
  23. Yang, S.; Chen, X.; Wu, D.Z.; Yan, P. Dynamic analysis of the pump system based on MOC–CFD coupled method. J. Ann. Nucl. Energy 2015, 78, 60–69. [Google Scholar] [CrossRef]
  24. Nikpour, M.R.; Nazemi, A.H.; Hosseinzadeh Dalir, A.; Shoja, F.; Varjavand, P. Experimental and Numerical Simulation of Water Hammer. J. Arab. J. Sci. Eng. 2014, 39, 2669–2675. [Google Scholar] [CrossRef]
  25. Kubrak, M. Modeling of Closing Functions for Gate Valves Fitted with V-Ports. J. Pipeline Syst. Eng. Pract. 2024, 15, 04024023. [Google Scholar] [CrossRef]
  26. Toumi, A.; Sekiou, F. Optimal valve closing law for improved water hammer control: A case from a water supply pipeline in Guelma, Algeria. J. Aqua-Water Infrastruct. Ecosyst. Soc. 2024, 73, 200–216. [Google Scholar] [CrossRef]
  27. Han, Y.; Shi, W.D.; Xu, H.; Wang, J.; Zhou, L. Effects of Closing Times and Laws on Water Hammer in a Ball Valve Pipeline. J. Water 2022, 14, 1497. [Google Scholar] [CrossRef]
  28. Kodura, A. An Analysis of the Impact of Valve Closure Time on the Course of Water Hammer. J. Arch. Hydro-Eng. Environ. Mech. 2016, 63, 35–45. [Google Scholar] [CrossRef]
  29. Xin, Q.L.; Du, J.Y.; Liu, M.S.; Liu, Y.; Huang, J.; Yu, W.; Yuan, F.; Wang, D.; Yang, X. Experimental study on the effects of two-stage valve closure on the maximum water hammer pressure in micro-hydroelectric system. J. Water Process Eng. 2024, 65, 105886. [Google Scholar] [CrossRef]
  30. Elkhatib, H.; Alyan, A.; Abdelrahman, A. Hydraulic transient simulation of primary cooling circuit in Egyptian second research reactor-ScienceDirect. J. King Saud Univ. Eng. Sci. 2020, 34, 139–146. [Google Scholar]
  31. Urbanowicz, K.; Haluch, I.; Bergant, A.; Deptuła, A.; Śliwiński, P. Initial Investigation of Wave Interactions During Simultaneous Valve Closures in Hydraulic Piping Systems. J. Water Resour. Manag. 2023, 37, 5105–5125. [Google Scholar] [CrossRef]
  32. Guo, H.L.; Chen, J. Simulation of Water Hammer in Long Distance Water Transmission Pipeline Based on Flowmaster. J. Phys. Conf. Ser. 2024, 2707, 012093. [Google Scholar] [CrossRef]
  33. Zuo, Q.L.; Qiu, S.Z.; Lu, W.; Tian, W.; Su, G.; Xiao, Z. Water hammer characteristics of integral pressurized water reactor primary loop. J. Nucl. Eng. Des. 2013, 261, 165–173. [Google Scholar] [CrossRef]
  34. Akpan, P.U.; Jones, S.; Eke, M.N.; Yeung, H. Modelling and transient simulation of water flow in pipelines using WANDA Transient software. Ain Shams Eng. J. 2017, 8, 457–466. [Google Scholar] [CrossRef]
  35. Xing, L.; Sela, L. Transient simulations in water distribution networks: TSNet python package. J. Adv. Eng. Softw. 2020, 149, 102884. [Google Scholar] [CrossRef]
  36. Brown, F.T. Fluid Transients. J. Fluids Eng. 1975, 84, 4. [Google Scholar] [CrossRef]
  37. Urbanowicz, K.; Bergant, A.; Stosiak, M.; Karpenko, M.; Bogdevičius, M. Developments in Analytical Wall Shear Stress Modelling for Water Hammer Phenomena. J. Sound Vib. 2023, 562, 117848. [Google Scholar] [CrossRef]
  38. Wang, X.T.; Zhang, J.; Yu, X.D.; Chen, S.; Zhao, W.; Xu, H. Effect of multi-valve closure on superposed pressure in a tree-type long distance gravitational water supply system. J. AQUA 2019, 68, 420–430. [Google Scholar] [CrossRef]
  39. Zhang, Q.P.; Tian, Z.F.; Lu, S.J.; Kang, H. Numerical Simulation of Water Hammer in Pipeline System Using Efficient Wave Tracking Method. J. Water Resour. Manag. 2023, 37, 3053–3068. [Google Scholar] [CrossRef]
  40. Chao, L.; Fan, Y.; Yan, J. Numerical Study on High Efficiency S-Shaped Shaft Extension Tubular Pump System. J. Hydroelectr. Eng. 2014, 33, 198r203. [Google Scholar]
  41. GB/T 50265-2010; Design Code for Pumping Station. MOHURD. AQSIQ: Beijing, China, 2010.
  42. Cao, Y.; Zhou, L.; Liu, F.D. 3D cfd simulation and analysis of transient flow in a water pipeline. J. Aqua Water Infrastruct. Ecosyst. Soc. 2022, 71, 751–767. [Google Scholar] [CrossRef]
  43. Prasser, H.M.; Dudlik, A.; Schnfeld, S.B.H.; Fahlenkamp, H.; Schlüter, S. Prevention of Water Hammer in Pipelines in Case of Emergency Shut-Off by Fast Acting Valves. J. Chem. Ing. Tech. 2001, 73, 611–612. [Google Scholar] [CrossRef]
  44. Bergant, A.; Tijsseling, A.S.; Vitkovsky, J.P.; Covas, D.I.; Simpson, A.R.; Lambert, M.F. Parameters affecting water-hammer wave attenuation, shape and timing—Part 1: Mathematical tools. J. Hydraul. Res. 2008, 46, 373–381. [Google Scholar] [CrossRef]
Figure 1. Three-dimensional section of the model.
Figure 1. Three-dimensional section of the model.
Applsci 15 00897 g001
Figure 2. Two-dimensional modeling profile of the pipeline.
Figure 2. Two-dimensional modeling profile of the pipeline.
Applsci 15 00897 g002
Figure 3. Schematic Diagram of Branch Pipe Arrangement and Monitoring Point Locations.
Figure 3. Schematic Diagram of Branch Pipe Arrangement and Monitoring Point Locations.
Applsci 15 00897 g003
Figure 4. Variations in pipeline pressure along the line for different units at different times: (a) Unit D1; (b) Unit D2; (c) Unit X1; (d) Unit X2.
Figure 4. Variations in pipeline pressure along the line for different units at different times: (a) Unit D1; (b) Unit D2; (c) Unit X1; (d) Unit X2.
Applsci 15 00897 g004
Figure 5. Variation diagram of air/steam volume of unit D1 under T1-1 condition.
Figure 5. Variation diagram of air/steam volume of unit D1 under T1-1 condition.
Applsci 15 00897 g005
Figure 6. Pressure wave variations at the valve end for different units at four different times: (a) Unit D1; (b) Unit D2; (c) Unit X1; (d) Unit X2.
Figure 6. Pressure wave variations at the valve end for different units at four different times: (a) Unit D1; (b) Unit D2; (c) Unit X1; (d) Unit X2.
Applsci 15 00897 g006
Figure 7. Water hammer pressure along the pipeline during two-stage linear closure (6 s for large units and 4 s for small units): (a) Unit D1; (b) Unit D2; (c) Unit X1; (d) Unit X2.
Figure 7. Water hammer pressure along the pipeline during two-stage linear closure (6 s for large units and 4 s for small units): (a) Unit D1; (b) Unit D2; (c) Unit X1; (d) Unit X2.
Applsci 15 00897 g007
Figure 8. Variation of end water hammer pressure under two-stage shut-off valve at different times of X2.
Figure 8. Variation of end water hammer pressure under two-stage shut-off valve at different times of X2.
Applsci 15 00897 g008
Figure 9. Variations in water hammer pressure for different branch pipe diameters: (a) Unit D1; (b) Unit D2; (c) Unit X1; (d) Unit X2.
Figure 9. Variations in water hammer pressure for different branch pipe diameters: (a) Unit D1; (b) Unit D2; (c) Unit X1; (d) Unit X2.
Applsci 15 00897 g009
Figure 10. Pressure cloud of monitoring points before closing the valves of large-diameter units (2s).
Figure 10. Pressure cloud of monitoring points before closing the valves of large-diameter units (2s).
Applsci 15 00897 g010
Figure 11. Variations in maximum water hammer pressure with different branch pipe distances: (a) Unit D1; (b) Unit D2; (c) Unit X1; (d) Unit X2.
Figure 11. Variations in maximum water hammer pressure with different branch pipe distances: (a) Unit D1; (b) Unit D2; (c) Unit X1; (d) Unit X2.
Applsci 15 00897 g011
Figure 12. Variation of water hammer pressure with different numbers of shut-off valves.
Figure 12. Variation of water hammer pressure with different numbers of shut-off valves.
Applsci 15 00897 g012
Table 1. One-phase and two-phase linear shutoff condition settings.
Table 1. One-phase and two-phase linear shutoff condition settings.
Closure TypeConditionLarge Unit (s)Small Unit (s)
Single-Stage Linear Valve ClosureT1-133
T1-264
T1-397
T1-41210
Two-Stage Linear Valve Closure (Fast Closure at 80%)T2-132
T2-24.53.5
T2-365
Two-Stage Linear Valve Closure (Fast Closure at 60%)T3-132
T3-24.53.5
T3-365
Table 2. Characteristic pressure table of each pipeline under two-stage shut-off mode (unit: Kpa).
Table 2. Characteristic pressure table of each pipeline under two-stage shut-off mode (unit: Kpa).
Valve Closure ConditionMax Pressure to D1 (KPa)Max Pressure to D2 (KPa)Max Pressure to X1 (KPa)Max Pressure to X2 (KPa)Max Pipeline Pressure (KPa)Negative Pressure Occurrence
T2-247244718469246805000No
T2-342804277430342945000No
T3-242634260426442565000No
T3-339853983398539795000No
Disclaimer/Publisher’s Note: The statements, opinions and data contained in all publications are solely those of the individual author(s) and contributor(s) and not of MDPI and/or the editor(s). MDPI and/or the editor(s) disclaim responsibility for any injury to people or property resulting from any ideas, methods, instructions or products referred to in the content.

Share and Cite

MDPI and ACS Style

Li, Z.; Jin, J.; Pan, Z.; Sun, J.; Geng, K.; Qiao, Y. Impact of Branch Pipe Valve Closure Procedures on Pipeline Water Hammer Pressure: A Case Study of Xinlongkou Hydropower Station. Appl. Sci. 2025, 15, 897. https://doi.org/10.3390/app15020897

AMA Style

Li Z, Jin J, Pan Z, Sun J, Geng K, Qiao Y. Impact of Branch Pipe Valve Closure Procedures on Pipeline Water Hammer Pressure: A Case Study of Xinlongkou Hydropower Station. Applied Sciences. 2025; 15(2):897. https://doi.org/10.3390/app15020897

Chicago/Turabian Style

Li, Zilong, Jin Jin, Zhanpeng Pan, Jianren Sun, Kaiqiang Geng, and Yu Qiao. 2025. "Impact of Branch Pipe Valve Closure Procedures on Pipeline Water Hammer Pressure: A Case Study of Xinlongkou Hydropower Station" Applied Sciences 15, no. 2: 897. https://doi.org/10.3390/app15020897

APA Style

Li, Z., Jin, J., Pan, Z., Sun, J., Geng, K., & Qiao, Y. (2025). Impact of Branch Pipe Valve Closure Procedures on Pipeline Water Hammer Pressure: A Case Study of Xinlongkou Hydropower Station. Applied Sciences, 15(2), 897. https://doi.org/10.3390/app15020897

Note that from the first issue of 2016, this journal uses article numbers instead of page numbers. See further details here.

Article Metrics

Back to TopTop