Next Article in Journal
Near-Field Aeroacoustics of Spanwise Forcing on a Transonic Wing: A DNS Study
Next Article in Special Issue
Preliminary Prediction of the Increase in Flood Hazard from Wind Surges for the City of Elbląg Due to Climate Change
Previous Article in Journal
Health Pods for Automated Triage Improve Efficiency and Satisfaction in Nurses and Patients
Previous Article in Special Issue
Computational Fluid Dynamics-Aided Simulation of Twisted Wind Flows in Boundary Layer Wind Tunnel
 
 
Font Type:
Arial Georgia Verdana
Font Size:
Aa Aa Aa
Line Spacing:
Column Width:
Background:
Article

Comparison of Aerodynamic Effects on the Commonwealth Advisory Aeronautical Research Council (CAARC) Tall Building Model Tested in Two Wind Tunnel Laboratories

1
Chongqing Key Laboratory of Wind Engineering and Wind Energy Utilization, School of Civil Engineering, Chongqing University, Chongqing 400045, China
2
China Northeast Architectural Design & Research Institute Co., Ltd., Shenyang 110003, China
3
Key Laboratory of Structures Dynamic Behavior and Control of the Ministry of Education, Harbin Institute of Technology, Harbin 150090, China
*
Authors to whom correspondence should be addressed.
Appl. Sci. 2025, 15(2), 811; https://doi.org/10.3390/app15020811
Submission received: 21 October 2024 / Revised: 20 November 2024 / Accepted: 14 January 2025 / Published: 15 January 2025
(This article belongs to the Special Issue City Resilience to Windstorm Hazard)

Abstract

Wind tunnel test results can be influenced by various factors such as the blockage ratio and scaling ratio. These factors may introduce errors in the experimental outcomes, impacting the accuracy and reliability of the data obtained. This study quantitatively assesses consistency and identifies uncertainty sources to enhance result uniformity across various wind tunnel laboratories. This study conducted a systematic comparison between different wind tunnels in terms of rigid model pressure measurement wind tunnel experiments on the same Commonwealth Advisory Aeronautical Research Council (CAARC) standard tall building model. The study analyzes and discusses the results of mean and root-mean-square (RMS) wind pressure coefficients, peak factors, extreme wind pressure coefficients, probability density distributions, and base overturning force coefficients. The results indicated that in the open-circuit wind tunnel laboratory, the mean wind pressure coefficient is underestimated in the positive pressure region and overestimated in the negative pressure region. This is due to the static pressure which significantly decreases the streamwise direction within the test section, and the difference in static pressure is logarithmically proportional to the mean wind speed. Additionally, dynamic pressure is uniformly distributed along the test section axis. The inaccurate measurement of static pressure leads to these results. To address this issue, an indirect measurement method was employed to correct the static pressure results and reduce the error in the mean wind pressure coefficient to within 10%. Furthermore, differences in turbulence integral scale result in an error of up to 16% in the RMS wind pressure coefficient. Therefore, when conducting rigid model pressure measurement wind tunnel experiments, especially in open-circuit wind tunnel laboratories, careful consideration should be given to the influence of static pressure drop and integral length scale of turbulence.

1. Introduction

The development of boundary layer wind tunnels (BLWTs) has provided a dependable methodology for quantifying wind characteristics and effects, overcoming previous barriers and solidifying wind engineering as a crucial discipline. It stands as the most direct, widely employed, and reliable method for conducting research in this field [1,2,3]. To enhance the credibility of wind tunnel test data, Wardlaw and Moss [4] proposed a Commonwealth Advisory Aeronautical Research Council (CAARC) standard tall building model. This model facilitates direct comparison of aerodynamic responses and surface pressure test results among different laboratories, aiming to standardize wind tunnel testing techniques and ensure consistency of test results among different laboratories. Furthermore, to enhance the accuracy of wind tunnel tests, related guidelines and standards are continuously evolving. The National Standard of the People’s Republic of China [5] specifies the experimental requirements for wind tunnel testing and the relevant guidelines for simulating atmospheric boundary layer wind fields. The wind tunnel laboratory is a systematic experimental facility where variations in wind tunnel size, flow field quality, model size, and test wind speed can lead to disparate experimental results for the same test model [6]. Even under the same guidelines, wind tunnel tests can still produce discrepancies that may lead to underestimating wind loads on buildings, thereby increasing the risk of underestimating the danger. Therefore, it is crucial to study the error analysis and correction of wind tunnel tests conducted by different laboratories. This research provides an important reference for improving wind tunnel testing standards, enhancing result consistency across different wind tunnel laboratories, and ultimately improving the safety of wind-engineered structures.
To improve the reliability of wind tunnel tests, numerous researchers have conducted parametric analysis studies on the CAARC model from both the aspects of the test model and the characteristics of the approaching wind field. Six wind tunnel laboratories conducted wind tunnel tests in boundary layer wind fields using different geometric scale ratios. Through the comparison of test results, it was found that differences in the power spectra of along-wind fluctuating wind speeds would cause variations in surface pressure measurement results. Moreover, for laboratories with model blockage ratios greater than 4%, the absolute values of the average wind pressure coefficients in the suction region were significantly larger [7]. Goliger and Milford [8] investigated the sensitivity of wind tunnel test results to changes in geometric scale ratios and along-wind turbulence intensity. The results showed that a 50% change in geometric scale ratio had a negligible effect on test results, whereas a 50% change in along-wind turbulence intensity resulted in smaller differences in structural response results. Regarding the turbulence integral scale, studies have indicated that it strongly influences the RMS wind pressure coefficient test results but has a minor impact on the average wind pressure coefficient. Increasing the turbulence integral scale enhances the fluctuation of surface wind pressure, leading to significant increases in RMS wind pressure coefficients, peak factor, and extreme wind loads [9,10,11]. The turbulence integral scale is a critical parameter in wind tunnel tests, typically ranging from a few meters to several hundred meters in actual atmospheric boundary layers (ABLs), as reported in field measurements [12,13,14]. However, due to the size limitations of conventional wind tunnels, it is difficult to accurately simulate large-scale turbulence in wind tunnel tests [15]. This turbulence integral scale plays a key role in evaluating wind loads on tall buildings exposed to atmospheric turbulence. Therefore, it can be concluded that, under the requirement of blockage ratio compliance, incoming wind field characteristics are the primary factors influencing wind tunnel test results, rather than changes in model geometric dimensions. The atmospheric boundary layer wind field is mainly simulated and generated within a wind tunnel laboratory using passive devices such as spires and roughness elements. The characteristics of the wind field are not only related to the selection and arrangement of these passive simulation devices but also influenced by the wind tunnel laboratory itself. Significant differences in boundary layer thickness have been observed under different laboratory flow field conditions [16]. The structural design of the wind tunnel laboratory, such as closed-circuit and open-circuit wind tunnels, also exhibits different turbulence levels in the boundary layer flow field of the test section [17,18]. In pressure measurement model tests, one of the key parameters is the reference static pressure, which is commonly defined as the mean static pressure of undisturbed wind at the top of the test structure [19,20]. The reference static pressure is essential for obtaining accurate wind tunnel test results. During the tests, the measured pressure at each tapping point is actually the difference between the test pressure and the reference static pressure. As such, any errors in determining the reference static pressure can lead to a global discrepancy in all the pressure measurements across the test points. He [21] found that in an open-circuit wind tunnel test section, there was a linear correlation between the average wind speeds at two distinct locations along the wind, whereas the static pressure difference exhibited a linear correlation with the square of the average wind speed. The research also suggested that there could be notable discrepancies in the linear correlation coefficients among different wind tunnel laboratories. As wind tunnel tests yield substantial information crucial for project management and planning [22], obtaining accurate and reliable test data is essential, which indicates that ensuring consistency in experimental results among various wind tunnel laboratories is imperative. The current wind tunnel testing standards do not provide detailed guidance on the aforementioned issues, and the presence of these issues can evidently affect the accuracy of wind tunnel tests.
As addressed herein, the primary objective of this study is to investigate whether the results of the same test are consistent across different wind tunnel laboratories and to analyze the specific reasons for any discrepancies, with the goal of improving repeatability between different wind tunnel facilities. This will be achieved by conducting detailed comparisons through pressure measurement wind tunnel tests on the same CAARC standard model, guided by the same standard, in both a closed-circuit wind tunnel and a return-flow wind tunnel. The statistical characteristics of the surface pressure, including the mean, RMS, probability density function (PDF), peak factor, extreme wind load, and aerodynamic base forces, are discussed. The rest of this paper is organized as follows. Section 2, “Experimental Setup”, details the experimental arrangement, including the parameter settings for the wind tunnel tests, specifics of the measurement equipment, and calibration procedures. This section also includes a description of the CAARC standard tall building model and the testing environment to ensure reproducibility. Section 3, “Results and Discussion”, presents the experimental results and provides an in-depth analysis of the findings. This section compares the differences in results across various wind tunnel laboratories, analyzes the causes of these discrepancies, and provides corrections for the relevant findings. Finally, Section 4, “Conclusion”, summarizes the major conclusions of this study.

2. Experimental Setup

2.1. Simulations of Boundary Layer Wind Fields

The wind tunnel tests were conducted for the same CAARC model in the open-circuit wind tunnel at Chongqing University (CQU) and the closed-circuit wind tunnel at Harbin Institute of Technology (HIT), respectively. The test section of the CQU wind tunnel (turbulence intensity < 0.5%) has dimensions of 2.4 m × 1.8 m (width × height), with a wind speed range of 0.5–40 m/s. The test section of the HIT wind tunnel (turbulence intensity < 0.5%) has dimensions of 4.0 m × 3.0 m (width × height), with a wind speed range of 3–50 m/s. Spires and cube roughness elements [23] were used for simulating boundary layer wind fields in Category C, according to the load code for the design of building structures in China [24], with the scale ratio of 1:300. Category C refers to urban areas with dense building clusters. The power–law index of the wind speed profile for C-Category is 0.22. The model scale ratio was determined based on the sizes of the two wind tunnels, ensuring that the blockage ratio in both wind tunnels remains below 5%. The flow velocities were measured using a TFI Cobra probe made in Tallangatta, Australia at CQU, and the sampling frequency was 500 Hz and the measurement duration was 60 s, while HIT utilized a hot-wire anemometer made in Skovlunde, Denmark as the wind speed measurement instrument, with a data acquisition system of multi-channel MiniCTA, and the sampling frequency was set at 1000 Hz with a sampling time of 80 s. Typically, to capture accurate fluctuating wind speed values, the sampling frequency for wind speed measurements is generally no less than 100 Hz. In this study, both wind tunnel laboratories meet the required sampling frequency. The equipment used in both wind tunnel laboratories is commonly employed in wind tunnel testing, and the measured results exhibit good consistency. Therefore, the subsequent comparison can be considered valid.
Figure 1a shows the measured along-wind mean wind speed U and turbulence intensities Iu at various heights of the test section, as well as the corresponding vertical profiles of Category C guided by the code. The height Z and U are normalized by the model height H and corresponding mean wind speed UH, respectively. The scale ratio for wind field simulation is 1:300. The power–law index α was calculated by fitting the measured data to Equation (1). The power–law indices of the regression lines for the wind tunnel were 0.228 and 0.219, corresponding to CQU and HIT, respectively. Compared with the target value of 0.22, this indicates that the simulated wind fields align well with the C-Category terrain curves specified in the code. Figure 1b shows the power spectrum of the along-wind component at H, k 1 = f L u x / U demonstrating the reduced frequency and f is the frequency. Evidently, the measured spectra are concordant with the von Kármán spectrum.
U = U H ( Z Z H ) α
where ZH is the reference height, which is set as the model height H. UH is the wind speed at ZH, U is the wind speed at Z, and Z is the height above the ground.
The calculation of the turbulence integral scale ( L x u ) is based on the covariance function [25,26], as shown in Equation (2). Table 1 presents the main parameters of the longitudinal turbulence flow field at the height of 2/3 H. D represents the width of the windward face. Due to the larger dimensions of the test section at HIT, the measured turbulent integral scale is correspondingly larger, which is about 1.2 times that of CQU.
L x u = U 0 C u ( τ ) d τ / σ u 2
where Cu(τ) represents the autocovariance function of the turbulent wind velocity fluctuations u, and σu2 represents its variance.

2.2. Experimental Models

The dimensions of the CAARC high-rise building standard model are 101.6 mm × 152.4 mm × 609.6 mm (width × length × height). The arrangement of measurement points typically requires a denser distribution in areas with high local wind suction, such as corners, while other areas are evenly distributed. Therefore, the measurement point layout for each layer in this study is based on existing research [11]. The arrangement of the pressure measurement points is shown in Figure 2. For the measurement points on the model, a total of nine levels of measurement points were arranged along the height of the model. These levels are positioned at H/60, H/9, 2H/9, H/3, H/2, 2H/3, 7H/9, 8H/9, and 59H/60. Each level consists of 20 pressure taps, resulting in a total of 180 pressure taps, and the length of the tubing was below 0.2 m, avoiding the resonance and damping effects [27]. The experiments are conducted in the wind tunnel laboratories of Chongqing University with a blockage ratio of 2.15% and Harbin Institute of Technology with a blockage ratio of 0.77%.
The instantaneous pressures were measured utilizing a PSI synchronous multi-pressure sensing system with a sampling frequency of 330 Hz at CQU, whereas a Scanivalue system was employed with a sampling frequency of 550 Hz at HIT. The sampling time is consistently set to 120 s. All equipment used in both wind tunnel laboratories was calibrated and zeroed efficiently, ensuring the reliability of the instruments. The wind speed scale ratio in this study was chosen to be 1:5, with a time scale ratio of 1:60. The sampling interval for the full-scale structure was typically 1 s, so the actual sampling frequency should be no less than 60 Hz. Additionally, according to the Nyquist sampling theorem, the sampling frequency should be greater than twice the signal frequency, which means it should be at least 120 Hz. Due to differences in the equipment of the wind tunnel laboratories, the sampling frequencies could not be kept consistent, but they all meet the minimum requirement. Therefore, the results can be considered valid.

3. Results and Discussion

3.1. Wind Pressure Coefficients

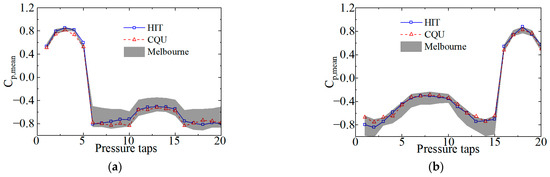
The wind pressure coefficients of the CAARC standard model serve as a benchmark for wind load testing in high-rise building wind tunnel laboratories and are commonly used to assess the reliability of wind tunnel experiments. The calculation process for the mean wind pressure coefficient (Cp,mean) and RMS wind pressure coefficient (Cp,rms) are given by Equations (3) and (4), respectively. Figure 3 presents the experimental results of the mean wind pressure coefficient at each measurement point at a height of 2/3 H, for wind directions β of 0° and 90°, respectively. Although more results were collected for different wind angles, this study mainly focuses on the direct differences between the two wind tunnel laboratories. Therefore, only the results for the typical wind angles of 0° and 90° are selected for analysis. The shaded region in Figure 3 represents the range of experimental results reported by researchers [7]. It can be observed that the mean wind pressure coefficients obtained from CQU exhibit some differences compared to the results obtained from HIT. At the wind direction angle of 0°, the mean error at each measurement point is approximately 13%, and at the wind direction angle of 90°, the mean error at each measurement point is approximately 11%. Compared to the results of the literature, it can be seen that the results of CQU are slightly lower on the windward face, while the results of HIT are in good agreement.
For pressure measurement experiments, the reference static pressure is typically defined as the average static pressure of undisturbed wind at the top of the test building. It is a critical parameter for the accuracy of wind tunnel test results. Inaccurate measurement of the reference static pressure can result in global errors in the pressure measurements at all test points. In the conventional tests, in order to avoid disturbing the flow field near the model, the pitot tube for measuring total pressure and static pressure is generally placed slightly away from the model, as shown in Figure 4, where P1 represents the location of the pitot tube. In an open-circuit wind tunnel, the pressure drop can cause a difference between the measured static pressure and the actual static pressure at the location of the model, which may cause the lower value obtained by CQU on the windward face. Therefore, it is necessary to correct the difference in static pressure to obtain an accurate reference static pressure at the location of the model and further adjust the results of the average wind pressure coefficients. This issue is similar to the research by He [21], who proposed an indirect measurement method to obtain accurate reference static pressure in wind tunnel experiments. The method involves measuring the relationship between the reference static pressure difference at the model location and the actual location as a function of wind speed. The measured difference is then used to calibrate the existing reference static pressure data, thereby refining the results of the mean wind pressure coefficient. The following section presents the correction of the error in the reference static pressure at the CQU wind tunnel laboratory. The correction results will be shown in Section 3.2.
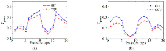
Figure 5 presents the RMS pressure coefficients at 2/3 H for the considered CAARC models in the 0° and 90° directions. The results indicate that the RMS wind pressure coefficient in the wind tunnel laboratory at CQU (Chongqing University) is generally lower than that in the wind tunnel laboratory at HIT (Harbin Institute of Technology), particularly on the windward and lateral sides. For instance, at the wind direction angle of 90°, the RMS wind pressure coefficient of the lateral separation point 3 in CQU is 0.25, while it is 0.31 in HIT, and the error reaches 16%. Similar results were made previously for different structures [28,29]. This phenomenon may be linked to the enhanced spanwise coherence of vortices and a reduction in perturbation frequency, which is caused by the increase in turbulence scale resulting in a higher level of pressure fluctuations within the separation bubble [30]. As a consequence, employing a smaller turbulence integral scale during testing will lead to a lower measured RMS wind pressure coefficient on the structure, potentially impacting the accurate estimating of wind load. The difference in turbulence integral scale may arise from the variations in the test section dimensions of the wind tunnel laboratories. Besides, as Yang [11] mentioned, the distributions of the RMS pressure coefficient depended on the ratio (i.e., L u x / D ) of the turbulent integral length scale to the width of the windward face. As the value of D decreases in the β = 90° direction, the differences between CQU and HIT increase, as shown in Table 1, which leads to larger discrepancies in the fluctuating pressure values at the 90° direction.
C p , m e a n = p i p p 0 p = p i p 0.5 ρ U H 2
C p , r m s = σ p i p 0 p = σ p i 0.5 ρ U H 2
where P i is the mean wind pressure value at each pressure measurement point, P 0 is the total pressure at the reference height, P is the static pressure at the reference height, ρ is the air density, and the value is usually 1.225 (kg/m3). U H is the wind velocity at the reference height, and σ P i is the root-mean-square value of the wind pressure at each measurement point.

3.2. Reference Static Pressure Correction

To obtain more accurate results for the average wind pressure coefficients, the CQU wind tunnel laboratory conducted a correction experiment for the reference static pressure. As shown in Figure 6, all test models were removed from the wind tunnel, and two pitot tubes were placed at locations P1 and P2, respectively. The P2 location corresponds to the height above the footprint area of the target building that corresponds to the top of the model. After installing the pitot tubes at positions P1 and P2, calibration measurements were conducted to obtain the difference in reference static pressure between the two points, thereby quantifying the correlation of the reference static pressure at the two points. In reality, the distance between points P1 and P2 is only 1 m.
The results suggest that the static pressure contrast between locations P1 and P2 (i.e., P = P , P 1 P , P 2 ) exhibits a linear relationship with the square of the wind speed at point P1, hence a linear fit is performed to obtain the correction curve of static pressure between the two locations, as shown in Figure 7, and the result satisfies Equation (5) well, which can be utilized for pressure results correction [21]. At a certain wind speed, the static pressure at point P1 is higher than the actual static pressure, which will cause the calculated mean wind pressure coefficient to be lower than the actual value. The reason for this phenomenon is that the P2 point is closer to the outlet of the open-circuit wind tunnel laboratory. Furthermore, Figure 8 illustrates the differences in total pressure and static pressure between the two locations at various wind speeds; it is evident that the disparities in pressure between the two locations are minimal, indicating uniform mean wind speed along the wind direction. Therefore, considering that the RMS wind pressure coefficient is primarily influenced by mean wind speed and fluctuating wind pressure, it can be inferred that placing the pitot tube at point P1 in the CQU wind tunnel will not significantly impact the results of the RMS wind pressure coefficients. The variations between the two wind tunnels are predominantly attributed to differences in the turbulent integral length scale, which significantly affects the fluctuating wind pressure of the test model.
Δ P = 0.019 U 1 2 + 0.1175
Based on the obtaining relationship of reference static pressure between the two locations, as defined by Equation (5), the actual static pressure at the top of the test model can be calculated by adjusting the test data of the static pressure collected at location P1 during the wind tunnel experiment. The mean wind pressure coefficient is further calculated using the corrected reference static pressure, yielding the adjusted results, as illustrated in Figure 9. The results show that after correcting the reference static pressure, the subsequently calculated mean wind pressure coefficient exhibits strong consistency, particularly at the windward measurement points. To evaluate the impact of the correction on the mean wind pressure coefficients, the percentage error before and after correction was computed using the formula in Equation (6). Figure 10 displays the comparative results for each measurement point at 2/3 H. The errors at the majority of the measurement points were reduced to within 10%. Therefore, based on the correction effects, it can be concluded that the use of indirect measurement for correcting the reference static pressure is effective.
ψ = [ C p , m e a n ( H I T ) C p , m e a n ( C Q U ) ] / C p , m e a n ( H I T )
where ψ is the percentage error of CQU with respect to HIT.

3.3. Distribution Characteristic of the Fluctuating Pressure

In both wind tunnel experiments and field measurements, numerous instantaneous negative pulses, referred to as pressure peaks [31,32], are observed in the fluctuating wind pressures. These pressure signals from the tests can be utilized to assess the non-Gaussian nature of the fluctuating pressure by examining the PDF results. Figure 11 illustrates the PDF at three key pressure taps on the test model in the 0° direction: tap 3 on the windward side, tap 6 on the lateral side, and tap 13 on the leeward side, respectively. It is evident that the PDF results for the windward side point align with a Gaussian distribution, whereas the results for the lateral and leeward points exhibit non-Gaussian characteristics. Additionally, the non-Gaussian characteristics at tap 6 on the lateral side are notably more pronounced than those observed at tap 13 on the leeward side, indicating a higher presence of wind shear and vorticity on the lateral side [33]. Moreover, when comparing the PDF outcomes from different wind tunnel facilities, the discrepancies appear to be relatively insignificant. As previously highlighted, the primary impact of different wind tunnel systems on turbulent wind flow lies in the turbulence integral scale. Therefore, it can be inferred that the effect on the PDF of pressure fluctuation is minimal. Yang et al. in 2022 [11] studied the impact of turbulence integral scale on the non-Gaussian characteristics of surface pressure and extreme wind loads on the CAARC model. Similar phenomena were also observed in their study.
The extreme wind loads for engineering design are usually calculated as follows:
g = C p i C p , m e a n C p , r m s
C p , e x t r e m e = C p , m e a n ± g C p , r m s
where C p , e x t r e m e is the extreme value of the wind pressure coefficient and g is the peak factor. Obviously, the value of g is the key parameter for calculating the accurate extreme wind loads. In current design standards such as GB50009 (National Standard of the People’s Republic of China, 2012), ASCE 7–16 (ASCE, 2016), and AS/NZS 1170.2 (AS/NZS, 2011) [24,34,35], the peak factor is conventionally calculated under the classical Gaussian process assumption. However, as demonstrated by the aforementioned findings, significant non-Gaussian characteristics are observed in most areas of the structure surface, particularly in the separation zone. Consequently, wind loads are often underestimated, leading to frequent instances of structural damage and even failures in tall buildings subjected to strong winds [36,37,38]. For the Chinese code GB50009, a peak factor of 2.5 is employed with a non-exceedance probability of 99.38%, assuming a classical Gaussian process. To contrast this with the Chinese code’s peak factor, a non-Gaussian peak factor is calculated with the same non-exceedance probability, corresponding to a Cumulative Distribution Function (CDF) value of 0.9938. Figure 12 illustrates that the peak factor estimated at tap 6 on the lateral side at a wind angle of 0° is 3.2. In this analysis, the three-parameter Weibull distribution is chosen to represent the PDF, aligning well with the non-Gaussian nature of fluctuating pressure.
Figure 13 illustrates the comparison of calculated peak factors for each pressure tap at 2/3 H. The values exhibit variations among different pressure taps, particularly on the lateral and leeward sides, and demonstrate disparities between the two laboratories. Specifically, in the 0° direction, the peak factors for the windward and lateral sides of CQU are lower than those of HIT, while the peak factor for the leeward side slightly surpasses that of HIT. Values for the leeward are smaller than those for the lateral sides in the 0° direction, while the reverse results are observed in the 90° direction. Furthermore, compared to the 0° direction results, differences in g values for the leeward side between the two facilities are less pronounced in the 90° direction. The results of Yang [11] indicated that the values of the windward surface gradually increase with L u x / D , while the values of the side surface tend to decrease with increasing L u x / D in the range of 1.12 to 2.90. Considering the lower values of L u x / D at CQU compared to HIT, therefore, discrepancies in between the two laboratories are mainly attributable to turbulence integral scale variations. Additionally, variations in the depth-to-width ratio can influence flow separation and vortex shedding. At the 0° direction, the peak factors for the leeward side are smaller than those for the side values; however, at the 90° direction, the trend reverses, with the leeward side exhibiting larger peak factors. Meanwhile, the difference in the leeward at the 90° direction is less pronounced, primarily due to the larger depth-to-width ratio, which reduces the sensitivity of the leeward side to changes in the turbulence integral scale.
Figure 14 illustrates the computation of the extreme wind load coefficients using the estimated peak factor values, with the calculation formula provided by Equation (7). The depicted results reveal that the extreme value wind pressure coefficient of CQU is lower than that of HIT, indicating a more significant impact of RMS wind pressure coefficients on the extreme value wind load coefficients compared to peak factors. Additionally, the outcomes demonstrate an escalation in the extreme value wind load coefficients with an increase in the ratio of turbulent integral scale to windward face width. This trend is highly consistent with the study conducted by Yang et al. in 2022 [11]. In Figure 14, the extreme wind pressure coefficients for HIT were also calculated using the peak factor of 2.5 provided in the code. The results indicate that in non-Gaussian regions, such as the side and leeward surfaces, the values given by the code underestimate the extreme wind pressure coefficients.
The formulas for determining the error range of turbulent integral scale and extreme wind loads are outlined in Equations (9) and (10). Variations in turbulent integral scale between the two research facilities lead to the representation of the error range of extreme wind loads in Figure 15, where the left vertical axis signifies the error of extreme wind loads and the right vertical axis denotes the error of turbulent integral scale. With the HIT outcomes as the baseline, the magnitude of the error is evaluated. HIT’s turbulent integral scale measures 0.4, whereas CQU’s stands at 0.34, resulting in a 15% deviation in turbulent integral scale, and the corresponding calculated error range of extreme wind loads at 0° and 90° is projected to fall by 2.9% to 6.3% and 0.4% to 12.8%, respectively. Therefore, ensuring precise simulation of turbulent integral scale in wind tunnel experiments is important for the accurate estimating of wind loads for structures.
η = [ L u x ( H I T ) L u x ( C Q U ) ] / L u x ( H I T )
ψ = [ C p , e x t r e m e ( H I T ) C p , e x t r e m e ( C Q U ) ] / C p , e x t r e m e ( H I T )

3.4. Coefficient of Basement Overturning Force

In wind tunnel experiments, the determination of the base overturning force coefficient is also crucial in structural design, especially for buildings with complex geometries. Underestimating the base overturning force can lead to design issues. Therefore, the base shear and moment are calculated based on the pressure measurement experiments conducted in the two wind tunnels, and the base overturning force coefficient is subsequently determined. Figure 16 and Figure 17 show the average overall force coefficient and RMS overall force coefficient at different wind directions, respectively. The calculation formulas for the overall force coefficient are given by Equations (11)–(14).
C F i = F ¯ i 1 / 2 ρ U H 2 H D y
C M i = M ¯ i 1 / 2 ρ U H 2 H 2 D y
C σ F i = F ˜ i 1 / 2 ρ U H 2 H D y
C σ M i = M ˜ i 1 / 2 ρ U H 2 H 2 D y
where CFi represent the mean value of the base overturning force coefficient in the x and y directions, respectively. CMi represent the mean value of the moment coefficient of base overturning in the x and y directions, respectively. C σ F i represent the RMS value of the base overturning force coefficient in the x and y directions, respectively. C σ M i represent the RMS value of the moment coefficient of base overturning in the x and y directions, respectively. F i ¯ represent the base mean forces in the x and y directions, respectively. M i ¯ represent the base mean moments in the x and y directions, respectively. F i ~ represent the base RMS forces in the x and y directions, respectively. M i ~ represent the base RMS moments in the x and y directions, respectively. These results are calculated based on the wind pressure coefficient results obtained from the pressure measurement tests. Dy represents the length of the longer side of the model’s cross-section.
From Figure 16, it can be observed that the experimental results from the two wind tunnel facilities are relatively consistent. It is important to note that these data results are obtained without reference to static pressure correction. In practice, the base overturning force is generally calculated by subtracting the negative pressure on the leeward face from the positive pressure on the windward face. Therefore, the error in the reference static pressure will not affect the overall results of the building. Additionally, it can be assumed that the error in the average wind pressure coefficient mentioned earlier is solely caused by the error in the reference static pressure. Figure 17 shows that the RMS values of the base overturning force coefficients for CQU are slightly smaller than those for HIT, which correspond to the results of the RMS wind pressure coefficients. This difference is due to the varying turbulent integral scales, which affect the RMS wind pressure coefficients and subsequently impact the RMS values of the base overturning force.
The above study indicates that in open-circuit wind tunnels, attention should be paid to the impact of static pressure errors on the mean wind pressure coefficient, and corrections for static pressure should be implemented when necessary. Furthermore, when simulating the target wind field, it is essential to accurately simulate the turbulence integral scale. Variations in the turbulence integral scale affect RMS wind pressure coefficients, peak factors, and extreme wind pressure coefficients, thereby impacting the consistency of results across different wind tunnel laboratories.

4. Conclusions

This study primarily compared experimental data from the HIT and CQU wind tunnel laboratories. The results indicate that, in open-circuit wind tunnels, static pressure errors have a significant impact on the mean wind pressure coefficient. Additionally, differences in the turbulence integral scale noticeably affect the results of the RMS wind pressure coefficient, peak factor, and extreme wind pressure coefficient. The specific conclusions are as follows.
(1)
In the open-circuit wind tunnel, reference static pressure errors can lead to a discrepancy in the mean wind pressure coefficient. This discrepancy can be corrected through indirect measurement experiments.
(2)
Differences in the ratio of turbulence integral scale to the windward width could lead to variations in the RMS wind pressure coefficient and the extreme wind pressure coefficient. Generally, as this ratio increases, both the RMS wind pressure coefficient and the extreme wind pressure coefficient tend to become larger.
(3)
The variation of the width-depth ratio makes the leeward surface of the model less affected by the integral scale of turbulence at 90° wind direction.
The purpose of this study is to investigate the differences between various wind tunnel laboratories and provide recommendations to improve the consistency of results. By analyzing discrepancies in experimental outcomes, this research aims to identify key influencing factors and offer guidance for more reliable wind tunnel testing practices. To address the observed discrepancies, it is recommended to implement systematic corrections for reference static pressure errors, as this is a significant source of variation in the mean wind pressure coefficient. Additionally, ensuring the appropriate simulation and consideration of the ratio of turbulence integral scale to windward width is crucial for minimizing differences in RMS and extreme wind pressure coefficients. These measures can help improve the comparability and accuracy of data across different wind tunnel laboratories. However, certain factors remain unexplored in this study, such as differences in instrument accuracy, and environmental influences like temperature and humidity variations.

Author Contributions

Writing—original draft preparation, Y.Z.; writing—review and editing, X.Z.; funding acquisition and formal analysis, Y.C.; formal analysis, C.M. and L.W.; data curation, resource, C.Z.; Conceptualization, project administration, B.Y. All authors have read and agreed to the published version of the manuscript.

Funding

This research was funded by the National Natural Science Foundation of China (52221002, 52278483), 111 Project of China (B18062), Natural Science Foundation of Chongqing, China (cstc2022ycjh-bgzxm0050), and Fundamental Research Funds for the Central Universities (2024CDJZCQ-011).

Institutional Review Board Statement

Not applicable.

Informed Consent Statement

Not applicable.

Data Availability Statement

The original contributions presented in the study are included in the article, further inquiries can be directed to the corresponding authors.

Conflicts of Interest

Author Yong Chen was employed by the company China Northeast Architectural Design & Research Institute Co., Ltd. The remaining authors declare that the research was conducted in the absence of any commercial or financial relationships that could be construed as a potential no conflict of interest.

Nomenclature

U H Wind speed at Z H
Z Height above the ground
Z H Reference height
IuTurbulence intensity
L x u Turbulence integral scale
Cu(τ)Autocovariance function
σu2Wind velocity variance
D Width of the windward face
Cp,meanMean wind pressure coefficient
Cp,rmsRMS wind pressure coefficient
βWind direction
P i Mean wind pressure value
P Static pressure
P 0 Total pressure
U Wind speed at z
ρ Air density
σ P i RMS value of the wind pressure
gPeak factor
Cp,extremeExtreme wind pressure coefficient
CFiMean value of the base overturning force coefficient
CMiMean value of the moment coefficient of base overturning
C σ F i RMS value of the base overturning force coefficient
C σ M i RMS value of the moment coefficient of base overturning
F i ¯ Base mean forces
M i ¯ Base mean moments
F i ~ Base RMS forces
M i ~ Base RMS moments
DyLength of the longer side of the model’s cross-section

References

  1. Cermak, J.E. Advances in physical modeling for wind engineering. J. Eng. Mech. 1987, 113, 737–756. [Google Scholar] [CrossRef]
  2. Morrison, M.J.; Kopp, G.A. Effects of turbulence intensity and scale on surface pressure fluctuations on the roof of a low-rise building in the atmospheric boundary layer. J. Wind Eng. Ind. Aerodyn. 2018, 183, 140–151. [Google Scholar] [CrossRef]
  3. He, Y.C.; Liang, Q.S.; Li, Z.; Fu, J.Y.; Wu, J.R.; Deng, T. Accurate estimation of tube-induced distortion effects on wind pressure measurements. J. Wind Eng. Ind. Aerodyn. 2019, 188, 260–268. [Google Scholar] [CrossRef]
  4. Wardlaw, R.L.; Moss, G.F. A Standard Tall Building Model for the Comparison of Simulated Natural Winds in Wind Tunnels; Commonwealth Advisory Aeronautical Research Council: London, UK, 1970. [Google Scholar]
  5. JGJ/T 338-2014; Standard for Wind Tunnel Test of Buildings and Structures. China Academy of Building Research: Beijing, China, 2014.
  6. Lin, N.; Letchford, C.; Tamura, Y.; Liang, B.; Nakamura, O. Characteristics of wind forces acting on tall buildings. J. Wind Eng. Ind. Aerodyn. 2005, 93, 217–242. [Google Scholar] [CrossRef]
  7. Melbourne, W.H. Comparison of measurements on the CAARC standard tall building model in simulated model wind flows. J. Wind Eng. Ind. Aerodyn. 1980, 6, 73–88. [Google Scholar] [CrossRef]
  8. Goliger, A.M.; Milford, R.V. Sensitivity of the CAARC standard building model to geometric scale and turbulence. J. Wind Eng. Ind. Aerodyn. 1988, 31, 105–123. [Google Scholar] [CrossRef]
  9. Hillier, R.; Cherry, N.J. The effects of stream turbulence on separation bubbles. J. Wind Eng. Ind. Aerodyn. 1981, 8, 49–58. [Google Scholar] [CrossRef]
  10. Du, S.; Li, M.; Yang, Y. Effects of turbulence integral scales on characteristics of fluctuating wind pressures. J. Wind Eng. Ind. Aerodyn. 2020, 204, 104245. [Google Scholar] [CrossRef]
  11. Yang, X.; Du, S.; Li, M.; Qin, C.; Zhang, H.; Yu, J. Effects of the Turbulence Integral Scale on the Non-Gaussian Properties and Extreme Wind Loads of Surface Pressure on a CAARC Model. J. Struct. Eng. 2022, 148, 04022174. [Google Scholar] [CrossRef]
  12. Bastos, F.; Caetano, E.; Cunha, A.; Cespedes, X.; Flamand, O. Characterisation of the wind properties in the Grande Ravine viaduct. J. Wind Eng. Ind. Aerodyn. 2018, 173, 112–131. [Google Scholar] [CrossRef]
  13. Li, Q.S.; Hu, S.Y.; Dai, Y.M.; He, Y.C. Field measurements of extreme pressures on a flat roof of a low-rise building during typhoons. J. Wind Eng. Ind. Aerodyn. 2012, 111, 14–29. [Google Scholar] [CrossRef]
  14. Li, S.W.; Hu, Z.Z.; Chan, P.W.; Hu, G. A study on the profile of the turbulence length scale in the near-neutral atmospheric boundary for sea (homogeneous) and hilly land (inhomogeneous) fetches. J. Wind Eng. Ind. Aerodyn. 2017, 168, 200–210. [Google Scholar] [CrossRef]
  15. Irwin, P.A. Bluff body aerodynamics in wind engineering. J. Wind Eng. 2008, 96, 701–712. [Google Scholar] [CrossRef]
  16. Vikneshvaran, V.; Zaki, S.A.; Rahmat, N.A.; Mat Ali, M.S.; Yakub, F. Evaluation of Atmospheric Boundary Layer in Open-Loop Boundary Layer Wind Tunnel Experiment. J. Adv. Res. Fluid Mech. Therm. Sci. 2020, 72, 79–92. [Google Scholar] [CrossRef]
  17. Jiménez-Portaz, M.; Chiapponi, L.; Clavero, M.; Losada, M.A. Air flow quality analysis of an open-circuit boundary layer wind tunnel and comparison with a closed-circuit wind tunnel. Phys. Fluids 2020, 32, 125120. [Google Scholar] [CrossRef]
  18. Trush, A.; Pospil, S.; Kozmar, H. Comparison of turbulence integral length scale determination methods. Adv. Fluid Mech. 2020, 128, 113–123. [Google Scholar]
  19. Sun, X.; Liu, H.; Su, N.; Wu, Y. Investigation on wind tunnel tests of the Kilometer skyscraper. Eng. Struct. 2017, 148, 340–356. [Google Scholar] [CrossRef]
  20. Zhang, J.W.; Li, Q.S. Field measurements of wind pressures on a 600 m high skyscraper during a landfall typhoon and comparison with wind tunnel test. J. Wind Eng. Ind. Aerodyn. 2018, 175, 391–407. [Google Scholar] [CrossRef]
  21. He, Y.C.; Cheung, J.; Li, Q.S.; Fu, J.Y. Accurate determination of reference wind speed and reference static pressure in wind tunnel tests. Adv. Struct. Eng. 2020, 23, 578–583. [Google Scholar] [CrossRef]
  22. Azzawi, I.D.J.; Hasan, A.F. Comparison and optimization design methodology for open-loop subsonic wind tunnel. In Proceedings of the 2018 1st International Scientific Conference of Engineering Sciences-3rd Scientific Conference of Engineering Science (ISCES), Diyala, Iraq, 10–11 January 2018; IEEE: Piscataway, NJ, USA, 2018; pp. 186–191. [Google Scholar]
  23. Liu, Z.; Zheng, C.; Wu, Y.; Flay, R.G.J.; Zhang, K. Wind tunnel simulation of wind flows with the characteristics of thousand-meter high ABL. Build. Environ. 2019, 152, 74–86. [Google Scholar] [CrossRef]
  24. GB50009; Load Code for the Design of Building Structures. Part 2: Wind actions. Revision Group of National Standard Code for Building Load. National Standard of the People’s Republic of China: Beijing, China, 2012.
  25. Taylor, G.I. The Spectrum of Turbulence. Proc. R. Soc. London. Ser. A Math. Phys. Sci. 1938, 164, 476–490. [Google Scholar] [CrossRef]
  26. Azevedo, R.; Rojas Solórzano, L.R.; Bento Leal, J.O. Turbulent structures, integral length scale and turbulent kinetic energy (TKE) dissipation rate in compound channel flow. Flow Meas. Instrum. 2017, 57, 10–19. [Google Scholar] [CrossRef]
  27. Ma, C.; Wang, J.; Li, Q.S.; Liao, H. 3D aerodynamic admittances of streamlined box bridge decks. Eng. Struct. 2019, 179, 321–331. [Google Scholar] [CrossRef]
  28. Hölscher, N.; Niemann, H. Towards quality assurance for wind tunnel tests: A comparative testing program of the Windtechnologische Gesellschaft. J. Wind Eng. Ind. Aerodyn. 1998, 74–76, 599–608. [Google Scholar] [CrossRef]
  29. Stathopoulos, T.; Zisis, I.; Xypnitou, E. Wind Loads on Solar Collectors: A Review. In Structures Congress; ASCE: Riston, VA, USA, 2012; pp. 1169–1179. [Google Scholar]
  30. Saathoff, P.J.; Melbourne, W.H. Effects of free-stream turbulence on surface pressure fluctuations in a separation bubble. J. Fluid Mech. 1997, 337, 1–24. [Google Scholar] [CrossRef]
  31. Ham, H.J.; Bienkiewicz, B. Characteristics of roof peak pressures on model of the TTU test building. In Proceedings of the 11th International Conference on Wind Engineering, Lubbock, TX, USA, 2–5 June 2003; p. 11. [Google Scholar]
  32. Kawai, H. Local peak pressure and conical vortex on building. J. Wind Eng. Ind. Aerodyn. 2002, 90, 251–263. [Google Scholar] [CrossRef]
  33. Suresh Kumar, K.; Stathopoulos, T. Synthesis of non-Gaussian wind pressure time series on low building roofs. Eng. Struct. 1999, 21, 1086–1100. [Google Scholar] [CrossRef]
  34. ASCE 7-16; Minimum Design Loads and Associated Criteria for Buildings and Other Structures. ASCE: Reston, VA, USA, 2016.
  35. AS/NZS 1170.2; Australian/New Zealand Standard for Structural Design Actions, Part 2: Wind Actions. AS/NZS (Standards Australia and Standards New Zealand): Sydney, Australia, 2011.
  36. Kareem, A. Performance of Cladding in Hurricane Alicia. J. Struct. Eng. 1986, 112, 2679–2693. [Google Scholar] [CrossRef]
  37. Pande, M.; Ho, T.C.E.; Mikitiuk, M.; Kopp, G.A.; Surry, D. Implications of Typhoon York on the design wind speeds in Hong Kong. J. Wind Eng. Ind. Aerodyn. 2002, 90, 1569–1583. [Google Scholar] [CrossRef]
  38. Williams, T.; Kareem, A. Performance of building cladding in urban environments under extreme winds. In Proceedings of the 11th International Conference on Wind Engineering, Lubbock, TX, USA, 2–5 June 2003. [Google Scholar]
Figure 1. (a) Mean wind velocity and turbulence intensity profiles; (b) the longitudinal wind speed spectra.
Figure 1. (a) Mean wind velocity and turbulence intensity profiles; (b) the longitudinal wind speed spectra.
Applsci 15 00811 g001
Figure 2. Dimensions of the CAARC model and tap distributions for the CAARC model.
Figure 2. Dimensions of the CAARC model and tap distributions for the CAARC model.
Applsci 15 00811 g002
Figure 3. Mean pressure coefficients for the considered CAARC models: (a) in the 0° direction; (b) in the 90° direction.
Figure 3. Mean pressure coefficients for the considered CAARC models: (a) in the 0° direction; (b) in the 90° direction.
Applsci 15 00811 g003
Figure 4. Schematic diagram of the pressure measurement experiment in the CQU wind tunnel laboratory.
Figure 4. Schematic diagram of the pressure measurement experiment in the CQU wind tunnel laboratory.
Applsci 15 00811 g004
Figure 5. RMS pressure coefficients for the considered CAARC models: (a) in the 0° direction; (b) in the 90° direction.
Figure 5. RMS pressure coefficients for the considered CAARC models: (a) in the 0° direction; (b) in the 90° direction.
Applsci 15 00811 g005
Figure 6. Schematic diagram of the reference static pressure correction experiment.
Figure 6. Schematic diagram of the reference static pressure correction experiment.
Applsci 15 00811 g006
Figure 7. Results of the reference static pressure correction.
Figure 7. Results of the reference static pressure correction.
Applsci 15 00811 g007
Figure 8. Variation of the total pressure and reference static pressure difference between points P1 and P2 at different wind speeds.
Figure 8. Variation of the total pressure and reference static pressure difference between points P1 and P2 at different wind speeds.
Applsci 15 00811 g008
Figure 9. Corrected average wind pressure coefficient: (a) in the 0° direction; and (b) in the 90° direction.
Figure 9. Corrected average wind pressure coefficient: (a) in the 0° direction; and (b) in the 90° direction.
Applsci 15 00811 g009
Figure 10. Percentage errors before and after correction: (a) in the 0° direction; and (b) in the 90° direction.
Figure 10. Percentage errors before and after correction: (a) in the 0° direction; and (b) in the 90° direction.
Applsci 15 00811 g010
Figure 11. PDF at 0° wind angle: (a) tap 3 on the windward side; (b) tap 6 on the lateral side; (c) tap 13 on the leeward side.
Figure 11. PDF at 0° wind angle: (a) tap 3 on the windward side; (b) tap 6 on the lateral side; (c) tap 13 on the leeward side.
Applsci 15 00811 g011
Figure 12. CDF of measurement point 6 at 0° wind direction angle.
Figure 12. CDF of measurement point 6 at 0° wind direction angle.
Applsci 15 00811 g012
Figure 13. Peak factors of fluctuating pressure: (a) in the 0° direction; and (b) in the 90° direction.
Figure 13. Peak factors of fluctuating pressure: (a) in the 0° direction; and (b) in the 90° direction.
Applsci 15 00811 g013
Figure 14. Extreme wind load coefficients: (a) in the 0° direction; and (b) in the 90° direction.
Figure 14. Extreme wind load coefficients: (a) in the 0° direction; and (b) in the 90° direction.
Applsci 15 00811 g014
Figure 15. Error range of extreme wind load at different wind direction angles.
Figure 15. Error range of extreme wind load at different wind direction angles.
Applsci 15 00811 g015
Figure 16. The mean value of the base overturning force and the base overturning moment of the CAARC building model: (a) base overturning force; (b) base overturning moment.
Figure 16. The mean value of the base overturning force and the base overturning moment of the CAARC building model: (a) base overturning force; (b) base overturning moment.
Applsci 15 00811 g016
Figure 17. The RMS value of the base overturning force and the base overturning moment of the CAARC building model: (a) base overturning force; (b) base overturning moment.
Figure 17. The RMS value of the base overturning force and the base overturning moment of the CAARC building model: (a) base overturning force; (b) base overturning moment.
Applsci 15 00811 g017
Table 1. Main parameters of the longitudinal turbulent flow fields at (2/3) H.
Table 1. Main parameters of the longitudinal turbulent flow fields at (2/3) H.
LaboratoryScale Ratio Turbulence   Integral   Scale   ( m )   L u x D (m) L u x / D
β = 0°β = 90°β = 0°β = 90°
HIT1/3000.4000.15240.10162.6253.937
CQU1/3000.3400.15240.10162.2313.346
Disclaimer/Publisher’s Note: The statements, opinions and data contained in all publications are solely those of the individual author(s) and contributor(s) and not of MDPI and/or the editor(s). MDPI and/or the editor(s) disclaim responsibility for any injury to people or property resulting from any ideas, methods, instructions or products referred to in the content.

Share and Cite

MDPI and ACS Style

Zhu, Y.; Zhou, X.; Chen, Y.; Ma, C.; Wang, L.; Zheng, C.; Yan, B. Comparison of Aerodynamic Effects on the Commonwealth Advisory Aeronautical Research Council (CAARC) Tall Building Model Tested in Two Wind Tunnel Laboratories. Appl. Sci. 2025, 15, 811. https://doi.org/10.3390/app15020811

AMA Style

Zhu Y, Zhou X, Chen Y, Ma C, Wang L, Zheng C, Yan B. Comparison of Aerodynamic Effects on the Commonwealth Advisory Aeronautical Research Council (CAARC) Tall Building Model Tested in Two Wind Tunnel Laboratories. Applied Sciences. 2025; 15(2):811. https://doi.org/10.3390/app15020811

Chicago/Turabian Style

Zhu, Yuhao, Xu Zhou, Yong Chen, Chenyan Ma, Lingjun Wang, Chaorong Zheng, and Bowen Yan. 2025. "Comparison of Aerodynamic Effects on the Commonwealth Advisory Aeronautical Research Council (CAARC) Tall Building Model Tested in Two Wind Tunnel Laboratories" Applied Sciences 15, no. 2: 811. https://doi.org/10.3390/app15020811

APA Style

Zhu, Y., Zhou, X., Chen, Y., Ma, C., Wang, L., Zheng, C., & Yan, B. (2025). Comparison of Aerodynamic Effects on the Commonwealth Advisory Aeronautical Research Council (CAARC) Tall Building Model Tested in Two Wind Tunnel Laboratories. Applied Sciences, 15(2), 811. https://doi.org/10.3390/app15020811

Note that from the first issue of 2016, this journal uses article numbers instead of page numbers. See further details here.

Article Metrics

Back to TopTop