You are currently viewing a new version of our website. To view the old version click .
Applied Sciences
  • Article
  • Open Access

13 January 2025

Conversion of 10 min Rain Rate Time Series into 1 min Time Series: Theory, Experimental Results, and Application in Satellite Communications

and
Dipartimento di Elettromica, Informazione e Bioingegneria (DEIB), Politecnico di Milano, 20133 Milano, Italy
*
Author to whom correspondence should be addressed.
This article belongs to the Special Issue Advanced Technologies in Optical and Microwave Transmission

Abstract

We propose a semi-empirical method—based on a filtered Markov process—to convert 10 min rain rate time series into 1 min time series, i.e., quasi-instantaneous rainfall—the latter to be used as input to the synthetic storm technique, which is a very reliable tool for calculating rain attenuation time series in satellite communication systems or for estimating runoff, erosion, pollutant transport, and other applications in hydrology. To develop the method, we used a very large data bank of 1 min rain rate time series collected in several sites with different climatic conditions. The experimental and simulated 1 min rain rate time series agree very well. Afterward, we used them to simulate rain attenuation time series at 20.7 GHz, in 35.5° slant paths to geostationary satellites. The two simulated annual rain attenuation probability distributions show very small differences. We conclude that the rain rate conversion method is very reliable.

1. Introduction

The purpose of this paper is to develop and propose a semi-empirical method to convert 10 min rain rate time series into 1 min rain rate time series, the latter to be used afterward in this paper—as an example application—as input to the synthetic storm technique (SST) for simulating rain attenuation time series [1], which is a very reliable tool that can even reconstruct missing intervals in time series [2]. The rationale for the need for such a method lies in the fact that several meteorological institutes make the time series of the quantity of water accumulated every 10 min (therefore, providing 10 min rain rate time series) available compared to the past when, at most, the quantity of water collected referred to that in the period from 1 day to 1 h. Our previous theory on the de-integration of the accumulated rainfall—from 1 day to 1 h—refers only to the probability distributions of the rain rate [3,4].
To develop the semi-empirical method, we used a very large data bank of 1 min rain rate time series collected in Spino d’Adda (Table 1) from 1993 to 2002, representing 10 years of practically all rain events. First, we converted them into 10 min rain rate time series for obtaining the measured data bank allegedly provided by meteorological institutes, and then we developed a method that can simulate 1 min rain rate time series. A comparison between the experimental and simulated 1 min time series elucidated how good and precise the method is. The conversion method was then studied and developed for the other sites listed in Table 1 to assess whether it also works well in different climatic regions.
Table 1. Geographical coordinates, altitude, number of years of continuous rain rate time series measurements, and wind speed at ~700 mb (this latter parameter is necessary for applying the SST locally) at the indicated sites.
The sites listed in Table 1 are useful study cases because (a) on-site 1 min rain rate time series were continuously recorded for several years; (b) important NASA and ESA satellite ground stations are located in these sites (Gera Lario, Fucino, Madrid, White Sands); (c) long-term radio propagation experiments were performed (Fucino, Gera Lario, Spino d’Adda, Madrid, Prague, White Sands); and (d) they are important cities (Madrid, Prague, Tampa, Vancouver).
Afterward, we used the two sets of 1 min rain rate time series (i.e., that measured and simulated 10 min rain rate time series) as the input to the SST for simulating—as an example application—rain attenuation time series at 20.7 GHz in 35.5° slant paths to geostationary satellites at the sites in Table 1. The conclusion of our exercise is that the two rain attenuation probability distributions in an average year show no significant differences that can affect satellite system design at centimeter or millimeter frequencies; so, the method can be used very reliably for this purpose.
The theory, however, can potentially be useful not only in satellite communications and radio propagation studies but also in other fields. In agriculture, for example, the measured daily rainfall needs to be disaggregated to predict runoff, erosion, and pollutant transport [5,6,7,8]. In hydrology, kinetic energy determines the potential ability of the rainfall to detach soil, and it is used as a rain erosivity index [6]. Kinetic energy is strictly linked to the rain rate; therefore, data on the instantaneous rain rate (as 1 min rain rate times series can be considered) could improve the estimates in these fields.
After this introductory section, in Section 2, we study the 1 min and 10 min rain rate data bank of Spino d’Adda; in Section 3, we develop a semi-empirical method for converting R 10 ( t ) into 1 min rain rate time series, termed R t , in Spino d’Adda; in Section 4, we develop and confirm the method for the other sites in Table 1; in Section 5, we recall the theory of the synthetic storm technique and report its application at the sites listed in Table 1; and in Section 6, we draw a conclusion.

2. Exploratory Data Analysis in Spino d’Adda

In this section, we use the 10-year 1 min rain rate data bank collected in Spino d’Adda to study how the experimental 1 min rain rate time series R 1 ( t ) (mm/h) are connected with the corresponding 10 min time series R 10 ( t ) (mm/h). The latter is generated by R 1 ( t ) , according to the following relationship, applied to disjoint and contiguous 10 min intervals during the rainfall event:
R 10 = 1 10 k = 1 10 R 1 ( k )
Figure 1 shows an example of this linear transformation. We notice, of course, that R 10 ( t ) is smoothed; therefore, any application using R 10 ( t ) will underestimate the effect of the “instantaneous” largest rain rates whose intensity can be significantly reduced.
Figure 1. R 1 ( t ) (cyan) and corresponding R 10 ( t ) (magenta). Both rain rates are expressed in mm/h. Spino d’Adda, 20 October 2000; the event starts at 10:32.
Since we transform R 10 ( t ) (mm/h) into an estimated/simulated R 1 ( t ) , the first step is to study the distribution of R 1 within intervals of 10 min conditioned to R 10 . These conditional distributions will be useful to simulate R 1 ( t ) from R 10 ( t ) . This is possible because, as shown in the example in Figure 1, both R 1 ( t ) and R 10 ( t ) are available for Spino d’Adda and the other sites listed in Table 1 for several years. By considering the full data bank of similar results, we therefore calculated the conditional histograms of R 1 within 10 min intervals in the following ranges of R 10 : 0–2, 2–4, 4–6, 6–8, 8–10, 10–15, 15–20, 20–30, 30–40, and >40 mm/h (samples with range maximum value are included in that range). Notice that the first range starts at 0.2 mm/h because of rain gauge technology. Figure 2, Figure 3, Figure 4, Figure 5 and Figure 6 show these histograms.
Figure 2. Histograms of R 1 ( t ) in the ranges of 0 2 mm/h of R 10 ( t ) (left panel) and 2 4 mm/h (right panel) of R 10 ( t ) .
Figure 3. Histograms of R 1 ( t ) in the ranges of 4 6 mm/h of R 10 ( t ) (left panel) and 6 8 mm/h (right panel) of R 10 ( t ) .
Figure 4. Histograms of R 1 ( t ) in the ranges of 8 10 mm/h of R 10 ( t ) (left panel) and 10 15 mm/h (right panel) of R 10 ( t ) .
Figure 5. Histograms of R 1 ( t ) in the ranges of 15 20 mm/h of R 10 ( t ) (left panel) and 20 30 mm/h (right panel) of R 10 ( t ) .
Figure 6. Histograms of R 1 ( t ) in the ranges of 30 40 mm/h of R 10 ( t ) (left panel) and > 40 mm/h (right panel) of R 10 ( t ) .
From these figures, we can reasonably assume that a log-normal probability density function (PDF) [9] can adequately model the central part of the experimental histograms—a model used since the years 1970’s (e.g., [10])—therefore, we calculated the mean value and standard deviation of l o g ( R 1 ) —the natural logarithm—and assumed a log-normal probability PDF characterized by the values reported in Table 2, together with the correlation coefficient between two successive l o g ( R 1 ) samples within the same 10 min interval. These parameters are fundamental because they will be used in Section 3 to simulate R 1 ( t ) from R 10 ( t ) .
Table 2. Mean value, standard deviation of l o g R 1 , and correlation coefficient between two successive l o g ( R 1 ) samples within the same 10 min interval for the indicated R 10 ranges. The first range starts at 0.2 mm/h.

3. From R 10 ( t ) to R ( t )

In this section, we describe how to convert R 10 ( t ) into the final 1 min rain rate series to R ( t ) . In Appendix A, we report the list of mathematical symbols. First, we show how to obtain the first version of R ( t ) , termed simulated R 1 , s i m ( t ) . First, we estimated the sample R 1 , s i m ( k + 1 ) from the previous sample R 1 , s i m ( k ) within a 10 min interval; then, we filtered R 1 , s i m ( t ) to reduce the high-frequency noise introduced by the simulation. In all cases, the experimental quantity of water collected in each 10 min interval is conserved by using a suitable scaling factor.

3.1. Simulation Steps

Since any conditional PDF is modeled as log-normal within each 10 min interval, we modeled the bivariate probability density function between two successive values R 1 , s i m ( k ) and R 1 , s i m ( k + 1 ) , in the 10 min interval, as log-normal—we think this modeling can adequately describe at least the central part of the bivariate probability density—therefore, R 1 , s i m ( k + 1 ) can be estimated from R 1 , s i m ( k ) by considering the conditional log-normal PDF, as follows.
Let x = l o g ( R 1 , s i m ( k ) ) and y = l o g ( R 1 , s i m ( k + 1 ) ) ; then, the conditional PDF has a mean value and standard deviation given by [10,11,12]:
m y / x = m y + r s y s x ( x m x )
s y / x = s y 1 r 2
Since within the same 10 min rain rate range (see Table 2), m x = m y = m and s x = s y = s , Equations (2) and (3) become:
m y / x = ( 1 r ) m + r x
s y / x = s 1 r 2
Now, we can detail the simulation steps:
  • Sample 1 of R 1 , s i m (t). According to sample 1 of R 10 ( t ) —in a real application, this would be the first R 10 value of the R 10 ( t ) provided by meteorological institutes—the mean value and the standard deviation of the conditional PDF and the correlation coefficient are selected from Table 1.
  • A standard Gaussian random number X is generated and denormalized according to the values of step 1, according to the following relationships:
    X = x m s
    x = s X + m = l o g ( R 1 , s i m )
    R 1 , s i m = e x p ( s X + m )
For example, let R 10 = 12 mm/h and X = 0.40 (randomly generated). Then, (from Table 2) m = 2.35 , s = 0.61 , r = 0.72 ; therefore, R 1 , s i m = e x p ( 0.61 × ( 0.4 ) + 2.35 ) = 8.21 mm/h.
3.
Samples 2 to 10. A standard Gaussian random number is generated for each sample as in step 2, but now it is denormalized according to Equations (4) and (5). Continuing the example of step 2: R 1 , s i m ( k ) = 8.21 mm/h. Let X = 0.62 (randomly generated); then, m y / x = ( 1 0.72 ) × 2.35 + 0.72 × l o g ( 8.21 ) = 2.17 and s y / x = 0.61 × 1 0.72 2 = 0.42 . Therefore, R 1 , s i m ( k + 1 ) = e x p ( 0.42 × 0.62 + 2.17 ) = 11.36 mm/h. Since the next sample depends only on the previous one, the simulation process is a first-order Markov process [13].
4.
The 1 min rain rate sample R 1 , s i m ( k )   is scaled to conserve the quantity of water Q T   of the original R 10 sample, the latter given by:
Q T = k = 1 10 R 1 ( k ) = 10 × R 10
Now, the quantity of water in the simulation is given by:
Q T , s i m = k = 1 10 R 1 , s i m ( k )
Since, in general, Q T , s i m Q T , to conserve the quantity of water, each 1 min sample must be scaled to obtain the rain rate time series R s i m ( t ) :
R s i m ( t ) = Q T Q T , s i m R 1 , s i m ( t )
5.
The simulation process is repeated by considering the successive value R 10 until the last sample of the rain event. The passage from sample 10 simulated from R 10 ( h ) to sample 1 of the next sample R 10 ( h + 1 ) is memoryless; therefore, step 1 is repeated without recalling sample 10 of the previous interval. Moreover, notice that we neglect the “border” distortion due to the last 10 min sample of R 10 ( t ) in a rain event because this interval may not be completely rainy (information lost, of course, also in real experimental data).
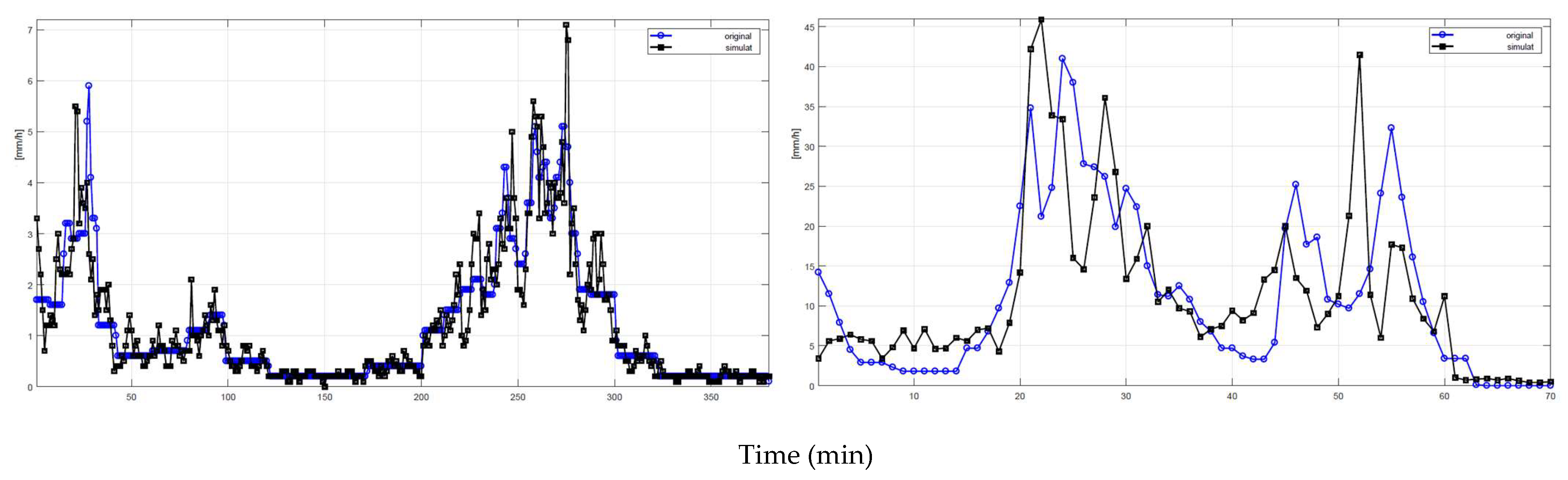
The one-sample memory steps 1–4 and the memoryless step 5 simplify the simulation but introduce high-frequency noise, as shown in Figure 7. This noise can be reduced by digital filtering, as we show in the next sub-section.
Figure 7. Experimental R 1 ( t ) (mm/h) (blue, original) and simulated R 1 , s i m ( t ) (mm/h) time series (black, simul). Left: low-intensity rain rate event. Right panel: high-intensity rain rate event. The 10 min quantity of water is conserved.

3.2. Optimum Filter

To reduce the noise produced by the simulation steps, R s i m ( t ) is filtered with a low-pass Butterworth filter of order 10 [14,15]—whose performance is very similar to that of the ideal filter—therefore producing R f i l t ( t ) . Also, R f i l t ( t ) must be scaled to conserve the experimental quantity of the water of the 10 min interval. In conclusion, by filtering and scaling R s i m t , we obtain the final 1 min rain rate time series R ( t ) , according to:
R = Q T Q T , R f i l t R f i l t
With:
Q T , R f i l t = k = 1 10 R f i l t ( k )
The only parameter that defines the transfer function of the filter is its cut-off frequency f c f N   ( m i n 1 ) , where f N = 0.5   m i n 1   is the Nyquist frequency [14,15].
To determine the optimum value f c = f o , we consider the error ε (mm/h) between the rain rate simulated   R and the rain rate measured R 1 at equal probability exceeded:
ε = R ( P ) R 1 ( P )
Figure 8 shows mean value and standard deviation of ε versus f c . It can be noted that (a) the mean error is very small in the entire range ( ε 0.6 mm/h) and (b) the standard deviation is minimum at about f c = 1 / 3   m i n 1 ; therefore, in the following, we fix f o = 1 / 3   m i n 1 for all simulations.
Figure 8. Mean value (left panel, mm/h) and standard deviation (right panel, mm/h) of ε versus f c .
Figure 9 show the same time series as Figure 7 after the full simulation process just described. Finally, Figure 10 shows the overall result of this exercise by drawing the probability distribution (PD) that the 1 min rain rate in abscissa is exceeded in the experimental data, i.e., P ( R 1 ) , and in the simulated 1 min data, P ( R ) . The two curves are almost indistinguishable, in agreement with the error and standard deviation reported in Figure 8 at f c = 1 / 3   m i n 1 .
Figure 9. Example of 1 min rain rate time series, measured (blue line, original) and simulated (red line, gener), after filtering and water conservation. (Left panel): a low rain rate event. (Right panel): a high-intensity rain rate event (see also Figure 7).
Figure 10. Probability distribution (PD) that the 1 min rain rate in abscissa is exceeded in the experimental data P ( R 1 ) ; blue line (original), and in the simulated 1 min data, P ( R ) , black line (simul).

4. From R 10 ( t ) to R ( t ) in Other Sites

In this section, we apply the method obtained in Spino d’Adda at the sites reported in Table 1, for which 1 min rate times series are available for many years. First, in Figure 11, we show the scatterplots between mean values, standard deviations, and correlation coefficients of Spino d’Adda (the values in Table 2) versus those of the other sites in Table 1 (Appendix B reports the numerical values). We can see a very tight relationship between the mean values. This means that the rain rate process, although in sites with different weather and rainfall intensity, can be modeled with log-normal PDFs with the same mean value. Differences arise in the standard deviation and correlation coefficient, although these differences do not significantly impact the simulation predictions, as we show next.
Figure 11. Scatterplots of mean values (left panel), standard deviations (central panel), and correlation coefficients (right panel) between the values of the sites in Table 1 and Spino d’Adda. Gera Lario: green; Fucino: blue; Madrid: cyan; Prague: yellow; Tampa: red; White Sands: magenta; Vancouver: black.
Figure 12, Figure 13, Figure 14, Figure 15, Figure 16, Figure 17 and Figure 18 show the probability distributions that the 1 min rain rate in abscissa is exceeded in the experimental data, i.e., P ( R 1 ) , and in the simulated 1 min data, P ( R ) , for the other sites.
Figure 12. Gera Lario. Probability distribution that the 1 min rain rate in abscissa is exceeded in the experimental data, P ( R 1 ) , blue line, and in the simulated 1 min data, P ( R ) , black line. Left panel: P ( R ) is obtained by using local values of the conditional PDFs. Right panel: P ( R ) is obtained by using Spino d’Adda conditional PDFs (Table 2).
Figure 13. Fucino. Probability distribution that the 1 min rain rate in abscissa is exceeded in the experimental data, P ( R 1 ) , blue line, and in the simulated 1 min data, P ( R ) , black line. Left panel: P ( R ) is obtained by using local values of the conditional PDFs. Right panel: P ( R ) is obtained by using Spino d’Adda conditional PDFs (Table 2).
Figure 14. Madrid. Probability distribution that the 1 min rain rate in abscissa is exceeded in the experimental data, P ( R 1 ) , blue line, and in the simulated 1 min data, P ( R ) , black line. Left panel: P ( R ) is obtained by using local values of the conditional PDFs. Right panel: P ( R ) is obtained by using Spino d’Adda conditional PDFs (Table 2).
Figure 15. Prague. Probability distribution that the 1 min rain rate in abscissa is exceeded in the experimental data, P ( R 1 ) , blue line, and in the simulated 1 min data, P ( R ) , black line. Left panel: P ( R ) is obtained by using local values of the conditional PDFs. Right panel: P ( R ) is obtained by using Spino d’Adda conditional PDFs (Table 2).
Figure 16. Tampa. Probability distribution that the 1 min rain rate in abscissa is exceeded in the experimental data, P ( R 1 ) , blue line, and in the simulated 1 min data, P ( R ) , black line. Left panel: P ( R ) is obtained by using local values of the conditional PDFs. Right panel: P ( R ) is obtained by using Spino d’Adda conditional PDFs (Table 2).
Figure 17. White Sands. Probability distribution that the 1 min rain rate in abscissa is exceeded in the experimental data, P ( R 1 ) , blue line, and in the simulated 1 min data, P ( R ) , black line. Left panel: P ( R ) is obtained by using local values of the conditional PDFs. Right panel: P ( R ) is obtained by using Spino d’Adda conditional PDFs (Table 2).
Figure 18. Vancouver. Probability distribution that the 1 min rain rate in abscissa is exceeded in the experimental data, P ( R 1 ) , blue line, and in the simulated 1 min data, P ( R ) , black line. Left panel: P ( R ) is obtained by using local values of the conditional PDFs. Right panel: P ( R ) is obtained by using Spino d’Adda conditional PDFs (Table 2).
From these figures, we notice that the simulation with the local conditional PDFs (Appendix B) gives better results than that with the parameters of Spino d’Adda (Table 2), as expected. However, notice that in the simulations with the data of Spino d’Adda, the largest errors mostly occur at the lowest probabilities. In real applications, such as the one we show in the next sections, these probabilities correspond to a few minutes. For example, in Madrid—Figure 14, representing the worst site for this comparison—in the arithmetic average year of the 9-year period here considered, R 1 0 for about 2.2% of the time, i.e., about 365 × 24 × 60 × 0.022 = 11,563 min. Now, Figure 14 shows that the error is less than 4 5 mm/h for probabilities smaller than 4 × 10 3 . Therefore, only for 4 × 10 3 × 11,563 = 46   min, the error is larger than 4 5 min. In other words, for almost all the time, the error is negligible.
In the next section, as an example of the possible applications, we apply the theory to the important case of estimating the rain attenuation in slant paths to satellites in the Geostationary orbit with a powerful tool, the synthetic storm technique.

5. Rain Attenuation in Slant Paths to Geostationary Satellites: The Synthetic Storm Technique

In this section, as an example of the possible applications of the conversion of R 10 ( t ) into R ( t ) , we use theory to estimate the rain attenuation in slant paths to geostationary satellites by using a very reliable tool available today, namely, the synthetic storm technique (SST), which needs as input 1 min rain rate time series [1]. We first briefly recall the SST theory; then, we apply it to the sites in Table 1 by simulating, at each site, reliable rain attenuation time series in 35.5° slant paths to a geostationary satellite with a 20.7 GHz carrier, representing circular polarization of the electromagnetic wave.

5.1. Synthetic Storm Technique

Satellite communication links at centimeter and millimeter wave frequencies are faded by rainfall. For a reliable link budget design, we need to know, at the very least, the annual probability distribution function  P A i.e., the fraction of time, in an average year, of rain attenuation A (dB) measured/predicted in the up- or down-links to a satellite. Instead of long and expensive measurements of beacon attenuation, prediction models are used for estimating P A from local, measured or estimated, annual probability distributions, P R , of the 1 min rain rate R . The synthetic storm technique [1] is a powerful and accurate tool, as is now recognized, that can produce all the necessary statistics of rain attenuation, not only P A but also fade durations and rate of change in attenuation because it provides reliable rain attenuation time series A ( t ) and their power spectra [16,17]. By knowing the rain rate time series R ( t ) (mm/h) recorded at a site, the SST can generate rain attenuation time series A ( t ) , with time resolution on the order of one second—at any frequency and polarization and for any slant path above about 10°. Because it reproduces reliable A ( t ) , it has been used in the last 30 years for many purposes by several researchers [18,19,20,21,22,23,24,25]. In this paper, we consider only P A ; fade durations and rate of change will be studied in our future work.

5.2. Application of the SST to All Sites

We applied the SST twice: first, by using as input the experimental 1 min rain rate time series, namely, R 1 ( t ) , and second, by using the simulated R ( t ) . Figure 19 shows the annual average rain attenuation probability distributions obtained with R 1 ( t ) and with R ( t ) . There are no appreciable differences that can impact the satellite system design.
Figure 19. Average annual probability distribution  P A —namely, the fraction of time of a year—that the rain attenuation A (dB) in abscissa is exceeded, estimated with the SST. Cyan line: experimental R 1 ( t ) ; magenta line: simulated R ( t ) .
Figure 20, Figure 21, Figure 22, Figure 23, Figure 24, Figure 25 and Figure 26 show the annual average rain attenuation probability distributions obtained with R 1 ( t ) and with R ( t ) for the other sites. Also, in these cases, we can see that there are no appreciable differences that can impact the satellite system design.
Figure 20. Gera Lario. Average annual probability distribution  P A that the rain attenuation A (dB) in abscissa is exceeded, estimated with the SST; blue line: experimental R 1 ( t ) , black line: simulated R ( t ) . Left panel: P ( A ) is obtained by using local values of the conditional rain rate PDFs. Right panel: P ( A ) is obtained by using Spino d’Adda conditional PDFs (Table 2).
Figure 21. Fucino. Average annual probability distribution P A that the rain attenuation A (dB) in abscissa is exceeded, estimated with the SST; blue line: experimental R 1 ( t ) , black line: simulated R ( t ) . Left panel: P ( A ) is obtained by using local values of the conditional rain rate PDFs. Right panel: P ( A ) is obtained by using Spino d’Adda conditional PDFs (Table 2).
Figure 22. Madrid. Average annual probability distribution P A that the rain attenuation A (dB) in abscissa is exceeded, estimated with the SST; blue line: experimental R 1 ( t ) , black line: simulated R ( t ) . Left panel: P ( A ) is obtained by using local values of the conditional rain rate PDFs. Right panel: P ( A ) is obtained by using Spino d’Adda conditional PDFs (Table 2).
Figure 23. Prague. Average annual probability distribution P A that the rain attenuation A (dB) in abscissa is exceeded, estimated with the SST; blue line: experimental R 1 ( t ) , black line: simulated R ( t ) . Left panel: P ( A ) is obtained by using local values of the conditional rain rate PDFs. Right panel: P ( A ) is obtained by using Spino d’Adda conditional PDFs (Table 2).
Figure 24. Tampa. Average annual probability distribution P A that the rain attenuation A (dB) in abscissa is exceeded, estimated with the SST; blue line: experimental R 1 ( t ) , black line: simulated R ( t ) . Left panel: P ( A ) is obtained by using local values of the conditional rain rate PDFs. Right panel: P ( A ) is obtained by using Spino d’Adda conditional PDFs (Table 2).
Figure 25. White Sands. Average annual probability distribution P A that the rain attenuation A (dB) in abscissa is exceeded, estimated with the SST; blue line: experimental R 1 ( t ) , black line: simulated R ( t ) . Left panel: P ( A ) is obtained by using local values of the conditional rain rate PDFs. Right panel: P ( A ) is obtained by using Spino d’Adda conditional PDFs (Table 2).
Figure 26. Vancouver. Average annual probability distribution P A that the rain attenuation A (dB) in abscissa is exceeded, estimated with the SST; blue line: experimental R 1 ( t ) , black line: simulated R ( t ) . Left panel: P ( A ) is obtained by using local values of the conditional rain rate PDFs. Right panel: P ( A ) is obtained by using Spino d’Adda conditional PDFs (Table 2).
Now, since for satellite communications, the tolerated outage probability due to rain attenuation, i.e., P ( A ) , is in the range of 10 1 10 2 (%) (i.e., annual average outage time from 525 to 52.5 min, respectively), from these figures, it turns out that for most probability ranges, there are no significant differences between the rain attenuation A estimated with local and with Spino d’Adda parameters.

6. Conclusions

We developed a semi-empirical method—a filtered Markov process—to convert 10 min rain rate time series into 1 min rain rate time series, the latter to be used as input in the synthetic storm technique to calculate rain attenuation time series in satellite communication systems in hydrology and to estimate runoff, erosion, and pollutant transport. The rationale for the need for such a method lies in the fact that now, several meteorological institutes provide time series of the quantity of water collected every 10 min, compared to the past, when the minimum collecting interval was 1 h. To develop and validate the method, we used a very large data bank of 1 min rain rate time series collected in sites of different climatic conditions, which we converted into 10 min time series to simulate the alleged data provided by meteorological institutes. From them, we obtained an estimate of the original 1 min rain rate time series. The simulated 1 min rain rate time series are very similar to the original ones; therefore, we think that the method can be reliably used in the fields mentioned above.
In conclusion, we have reached two important results:
(a)
The conversion of R 10 ( t ) into R ( t ) is very accurate, even using the rain rate conversion parameters of Spino d’Adda.
(b)
P ( A ) obtained by using the rain rate parameters of Spino d’Adda as the SST input is indistinguishable from that simulated with the local conversion parameters, in a large probability range useful for practical applications in satellite communications.

Author Contributions

Conceptualization, E.M.; methodology, E.M.; software, E.M. and C.R.; validation, E.M. and C.R.; investigation, E.M. and C.R.; data curation, E.M. and C.R.; writing—original draft preparation, E.M. and C.R.; writing—review and editing, E.M. and C.R.; visualization, E.M. and C.R. All authors have read and agreed to the published version of the manuscript.

Funding

This research received no external funding.

Institutional Review Board Statement

Not applicable.

Data Availability Statement

The raw data supporting the conclusions of this article will be made available by the authors on request.

Acknowledgments

We wish to thank Roberto Acosta, at NASA years ago, for providing the rain rate data for Tampa, White Sands, and Vancouver; Ondrej Fiser, Institute of Atmospheric Physics in Prague, for providing the rain rate data for Prague; and José Manuel Riera, Universidad Politécnica de Madrid, for providing the rain rate data for Madrid.

Conflicts of Interest

The authors declare no conflicts of interest.

Appendix A. List of Mathematical Symbols

SymbolDefinition
A rain attenuation
f c digital filter cut-off frequency
f N Nyquist frequency
f o optimum digital filter cut-off frequency
m log average value
m y / x log conditional average value
Q T quantity of water accumulated in 10 min, experimental
Q T , s i m quantity of water accumulated in 10 min, simulated
Q T , R f i l t quantity of water accumulated in 10 min, simulated and filtered.
P A annual average probability distribution of rain attenuation, simulated
P ( R 1 ) probability distribution of 1 min rain rate, experimental
P ( R ) probability distribution of 1 min rain rate, simulated
R 1 ( t ) 1 min rain rate time series, experimental
R 10 ( t ) 10 min rain rate time series, experimental
R 1 , s i m ( t ) 1 min rain rate time series, simulated, not filtered, not scaled
R s i m ( t ) 1 min rain rate time series, simulated, not filtered, scaled
R f i l t ( t ) 1 min rain rate time series, simulated, filtered, scaled
R ( t ) 1 min rain rate time series, simulated, double-filtered, scaled: final simulated time series.
s log standard deviation
s y / x conditional log standard deviation
X standard Gaussian random variable
x denormalized Gaussian random variable
ε error at equal probability

Appendix B. Conditional PDFs Parameters

Table A1. Gera Lario. Mean value, standard deviation of l o g R 1 , and correlation coefficient between two successive l o g ( R 1 ) samples within the same 10 min interval for the indicated R 10 ranges. The first range starts at 0.2 mm/h.
Table A1. Gera Lario. Mean value, standard deviation of l o g R 1 , and correlation coefficient between two successive l o g ( R 1 ) samples within the same 10 min interval for the indicated R 10 ranges. The first range starts at 0.2 mm/h.
R 10 (mm/h)MeanStandard Deviation Correlation Coefficient
0–2−0.680.810.94
2–40.940.460.71
4–61.500.450.65
6–81.820.550.63
8–102.080.540.71
10–152.300.770.70
15–202.640.780.66
20–303.020.710.73
30–403.201.030.58
>403.641.070.72
Table A2. Fucino. Mean value, standard deviation of l o g R 1 , and correlation coefficient between two successive l o g ( R 1 ) samples within the same 10 min interval for the indicated R 10 ranges. The first range starts at 0.2 mm/h.
Table A2. Fucino. Mean value, standard deviation of l o g R 1 , and correlation coefficient between two successive l o g ( R 1 ) samples within the same 10 min interval for the indicated R 10 ranges. The first range starts at 0.2 mm/h.
R 10 (mm/h)MeanStandard Deviation Correlation Coefficient
0–2−0.690.790.92
2–40.910.530.67
4–61.470.510.65
6–81.830.500.63
8–102.080.510.60
10–152.330.590.61
15–202.630.780.58
20–302.860.970.61
30–402.800.950.75
>403.770.920.75
Table A3. Madrid. Mean value, standard deviation of l o g R 1 , and correlation coefficient between two successive l o g ( R 1 ) samples within the same 10 min interval for the indicated R 10 ranges. The first range starts at 0.2 mm/h.
Table A3. Madrid. Mean value, standard deviation of l o g R 1 , and correlation coefficient between two successive l o g ( R 1 ) samples within the same 10 min interval for the indicated R 10 ranges. The first range starts at 0.2 mm/h.
R 10 (mm/h)MeanStandard Deviation Correlation Coefficient
0–2−0.360.660.85
2–40.900.500.70
4–61.430.590.68
6–81.770.630.65
8–101.970.770.60
10–152.160.960.66
15–202.490.980.68
20–302.850.960.73
30–403.250.950.78
>403.570.780.72
Table A4. Prague. Mean value, standard deviation of l o g R 1 , and correlation coefficient between two successive l o g ( R 1 ) samples within the same 10 min interval for the indicated R 10 ranges. The first range starts at 0.2 mm/h.
Table A4. Prague. Mean value, standard deviation of l o g R 1 , and correlation coefficient between two successive l o g ( R 1 ) samples within the same 10 min interval for the indicated R 10 ranges. The first range starts at 0.2 mm/h.
R 10 (mm/h)MeanStandard Deviation Correlation Coefficient
0–2−0.700.740.91
2–40.910.520.72
4–61.470.550.65
6–81.710.740.61
8–102.020.670.77
10–152.250.870.7
15–202.630.760.56
20–302.871.160.75
30–403.320.740.68
>403.900.830.69
Table A5. Tampa. Mean value, standard deviation of l o g R 1 , and correlation coefficient between two successive l o g ( R 1 ) samples within the same 10 min interval for the indicated R 10 ranges. The first range starts at 0.2 mm/h.
Table A5. Tampa. Mean value, standard deviation of l o g R 1 , and correlation coefficient between two successive l o g ( R 1 ) samples within the same 10 min interval for the indicated R 10 ranges. The first range starts at 0.2 mm/h.
R 10 (mm/h)MeanStandard Deviation Correlation Coefficient
0–2−0.500.770.82
2–40.900.620.69
4–61.400.700.71
6–81.630.940.70
8–101.930.830.69
10–152.200.910.67
15–202.491.010.70
20–302.940.880.69
30–403.250.910.71
>403.870.810.69
Table A6. White Sands. Mean value, standard deviation of l o g R 1 , and correlation coefficient between two successive l o g ( R 1 ) samples within the same 10 min interval for the indicated R 10 ranges. The first range starts at 0.2 mm/h.
Table A6. White Sands. Mean value, standard deviation of l o g R 1 , and correlation coefficient between two successive l o g ( R 1 ) samples within the same 10 min interval for the indicated R 10 ranges. The first range starts at 0.2 mm/h.
R 10 (mm/h)MeanStandard Deviation Correlation Coefficient
0–2−0.580.750.85
2–40.930.510.68
4–61.490.60.67
6–81.780.690.69
8–101.990.710.68
10–152.151.050.72
15–202.60.80.69
20–302.880.910.65
30–403.480.510.75
>403.88 0.710.69
Table A7. Vancouver. Mean value, standard deviation of l o g R 1 , and correlation coefficient between two successive l o g ( R 1 ) samples within the same 10 min interval for the indicated R 10 ranges. The first range starts at 0.2 mm/h.
Table A7. Vancouver. Mean value, standard deviation of l o g R 1 , and correlation coefficient between two successive l o g ( R 1 ) samples within the same 10 min interval for the indicated R 10 ranges. The first range starts at 0.2 mm/h.
R 10 (mm/h) MeanStandard Deviation Correlation Coefficient
0–2−0.400.710.92
2–40.930.370.74
4–61.520.370.70
6–81.780.490.55
8–102.050.480.60
10–152.420.520.75
15–202.590.580.69
20–302.720.960.82
30–40––––––
>40––––––

References

  1. Matricciani, E. Physical–mathematical model of the dynamics of rain attenuation based on rain–rate time series and a two–layer vertical structure of precipitation. Radio Sci. 1996, 31, 281–295. [Google Scholar] [CrossRef]
  2. Matricciani, E.; Riva, C. The search for the most reliable long-term rain attenuation cdf of a slant path and the impact on prediction models. IEEE Trans. Antennas Propag. 2005, 53, 3075–3079. [Google Scholar] [CrossRef]
  3. Matricciani, E. A Mathematical Theory of De–Integrating Long–Time Integrated Rainfall and Its Application for Predicting 1–Min Rain Rate Statistics. Int. J. Satell. Commun. Netw. 2011, 29, 501–530. [Google Scholar] [CrossRef]
  4. Matricciani, E. A mathematical theory of de-integrating long-time integrated rainfall statistics. Part II: From 1 day to 1 minute, Int. J. Satell. Commun. Netw. 2013, 31, 77–102. [Google Scholar]
  5. Connolly, R.D.; Schirmer, J.; Dunn, P.K. A daily rainfall disaggregation model. Agric. For. Meteorol. 1998, 92, 105–117. [Google Scholar] [CrossRef]
  6. Salles, C.; Poesen, J. Sempere–Torres. D. Kinetic energy and its functional relationship with intensity. J. Hydrol. 2002, 257, 256–270. [Google Scholar] [CrossRef]
  7. Van Dijk, A.I.J.M.; Bruijnzeel, L.A.; Rosewell, C.J. Rainfall intensity–kinetic energy relationships: A critical literature appraisal. J. Hydrol. 2002, 261, 1–23. [Google Scholar] [CrossRef]
  8. Ali, S.; Rahman, A.; Shaik, R. A Review of Event–Based Conceptual Rainfall–Runoff Models: A Case for Australia. Encyclopedia 2024, 4, 966–983. [Google Scholar] [CrossRef]
  9. Papoulis, A. Probability & Statistics; Prentice Hall: Hoboken, NJ, USA, 1990. [Google Scholar]
  10. Matricciani, E. Earth–space rain–cell modelling through SIRIO propagation data. Electron. Lett. 1980, 6, 81–82. [Google Scholar] [CrossRef]
  11. Lindgren, B.W. Statistical Theory, 2nd ed.; MacMillan Company: New York, NY, USA, 1968. [Google Scholar]
  12. Bury, K.V. Statistical Models in Applied Science; John Wiley & Sons: New York, NY, USA, 1975. [Google Scholar]
  13. Kleinrock, L. Queueing Systems; John Wiley & Sons: New York, NY, USA, 1975. [Google Scholar]
  14. Haykin, S.; Van Veen, B. Signals and Systems, 2nd ed.; John Wiley & Sons: New York, NY, USA, 2003. [Google Scholar]
  15. Haykin, S. Communication Sysyems, 4th ed.; John Wiley & Sons: New York, NY, USA, 2001. [Google Scholar]
  16. Matricciani, E. Prediction of fade durations due to rain in satellite communication systems. Radio Sci. 1997, 32, 935–941. [Google Scholar] [CrossRef]
  17. Matricciani, E. Physical–mathematical model of dynamics of rain attenuation with application to power spectrum. Electron. Lett. 1994, 30, 522–524. [Google Scholar] [CrossRef]
  18. Kanellopoulos, S.; Panagopoulos, A.; Matricciani, E.; Kanellopoulos, J. Annual and Diurnal Slant Path Rain Attenuation Statistics in Athens Obtained With the Synthetic Storm Technique. IEEE Trans. Antennas Propag. 2006, 54, 2357–2364. [Google Scholar] [CrossRef]
  19. Sánchez-Lago, I.; Fontán, F.P.; Mariño, P.; Fiebig, U.C. Validation of the Synthetic Storm Technique as Part of a Time-Series Generator for Satellite Links. IEEE Antennas Wirel. Propag. Lett. 2007, 6, 372–375. [Google Scholar] [CrossRef]
  20. Mahmudah, H.; Wijayanti, A.; Mauludiyanto, A.; Hendrantoro, G.; Matsushima, A. Analysis of Tropical Attenuation Statistics using Synthetic Storm for Millimeter-Wave Wireless Network Design. In Proceedings of the 5th IFIP International Conference on Wireless and Optical Communications Networks (WOCN ’08), Surabaya, East Java, Indonesia, 5-7 May 2008. [Google Scholar]
  21. Lyras, N.K.; Kourogiorgas, C.I.; Panagopoulos, A.D.; Ventouras, S. Rain Attenuation Statistics at Ka and Q band in Athens using SST and Short Scale Dynamic Diversity Gain Evaluation. In Proceedings of the 2016 Loughborough Antennas & Propagation Conference (LAPC), Loughborough, UK, 14–15 November 2016. [Google Scholar]
  22. Nandi, A. Prediction of Rain Attenuation Statistics from Measured Rain Rate Statistics using Synthetic Storm Technique for Micro and Millimeter Wave Communication Systems. In Proceedings of the 2018 IEEE MTT-S International Microwave and RF Conference (IMaRC), Kolkata, India, 28-30 November 2018. [Google Scholar]
  23. Jong, S.L.; Riva, C.; D’Amico, M.; Lam, H.Y.; Yunus, M.M.; Din, J. Performance of synthetic storm technique in estimating fade dynamics in equatorial Malaysia. Int. J. Satell. Commun. Netw. 2018, 36, 416–426. [Google Scholar] [CrossRef]
  24. Papafragkakis, A.Z.; Kourogiorgas, C.I.; Panagopoulos, A.D. Performance Evaluation of Ka- and Q-band Earth–Space Diversity Systems in Attica, Greece using the Synthetic Storm Technique. In Proceedings of the 13th European Conference on Antennas and Propagation (EuCAP 2019), Krakow, Poland, 31 March–5 April 2019. [Google Scholar]
  25. Das, D.; Animesh Maitra, A. Application of Synthetic Storm Technique to Predict Time Series of Rain Attenuation from Rain Rate Measurement for a Tropical Location. In Proceedings of the 5th International Conference on Computers and Devices for Communication (CODEC), Kolkata, India, 17–19 December 2021. [Google Scholar]
Disclaimer/Publisher’s Note: The statements, opinions and data contained in all publications are solely those of the individual author(s) and contributor(s) and not of MDPI and/or the editor(s). MDPI and/or the editor(s) disclaim responsibility for any injury to people or property resulting from any ideas, methods, instructions or products referred to in the content.

Article Metrics

Citations

Article Access Statistics

Multiple requests from the same IP address are counted as one view.