Next Article in Journal
Acoustic Emission Analysis of the Cracking Behavior in ECC-LWSCC Composites
Next Article in Special Issue
Research on Trust-Enhanced Recommender Algorithm Based on Weighting Approach
Previous Article in Journal
Comparative Study of Phytolacca Species Through Morphological, Chloroplast Genome, and Phylogenetic Analysis
Previous Article in Special Issue
A Meta-Analysis of the Review Literature on Multiple-Criteria Decision Aids for Environmental Issues
 
 
Font Type:
Arial Georgia Verdana
Font Size:
Aa Aa Aa
Line Spacing:
Column Width:
Background:
Article

Theory of Faults (ToF): Numerical Quality Management in Complex Systems

1
Department of Civil and Environmental Engineering, Faculty of Engineering Sciences, Ben-Gurion University, P.O. Box 653, Beer Sheva 8410501, Israel
2
Department of Civil and Construction Engineering, Chaoyang University of Technology, 168, Jifeng E. Rd., Wufeng District, Taichung 41349, Taiwan
*
Author to whom correspondence should be addressed.
Appl. Sci. 2025, 15(2), 595; https://doi.org/10.3390/app15020595
Submission received: 11 August 2024 / Revised: 30 December 2024 / Accepted: 3 January 2025 / Published: 9 January 2025
(This article belongs to the Special Issue Advanced Decision Support and Recommender Systems)

Abstract

The purpose of this manuscript is to provide general system theory concepts and practical tools for management under complexity. Built environments and infrastructure are produced, operated, and maintained by information systems; they are also integral components of information systems themselves. These systems are self-organized and teleonomic. The complexity inherent in built environments and infrastructure systems poses a challenge to research, hindering forecasting and the implementation of managerial tools. The use of faults, which are complex systems’ responses to penetrating risk, provide us with databases of and windows into complex systems. This manuscript presents an explicatory theory (ToF), develops it mathematically, expands it through numerical experiments, validates it by case studies, and relates it to practice by expert contributions. A statistical analysis provides a phase parameter, descriptive statistics elucidate trending and emergent behaviors, digital signal processing expounds the effects of signals on information overload, and a directed-network analysis portray morphology, entropy, and time effects. The novelty of ToF is in the application of complexity theory to construction to produce data analysis tools and a managerial framework.

1. Introduction

Complex systems are not random, they are teleonomic; they evolve, react, and interact; they are directed by chance and necessity [1]. These systems are treated within general systems theory methodologies [2], albeit global quality management systems are yet to be developed [3], a task to which this article contributes. Complex projects and infrastructure facilities (complex infrastructure systems, CISs) are protected from aleatoric risk by barriers: physical ones, such as dams; behavioral ones, such as peer review; and normative ones, such as standards and ethics [4]. A plethora of probability functions describe the stochastic manifestation of aleatoric events. When barriers are penetrated, incoming aleatoric risks cause system responses, here termed “faults”, which are unique to each system, perturbation, and time instance. Systems are injectively determined by their responses [5]; ergo, systems may be deciphered by faults analysis. Empirical evidence suggests that a log-normal distribution best characterizes the statistics of faults [6]. This stipulation has been corroborated here and in all our other works. Log-normal (LN) probability distribution is not a rare occurrence; it best fits most construction projects, designs, and infrastructure operation and maintenance (O&M). It is a product of WBS (Work Breakdown Structure), the recursive formations of infrastructure systems, and design work and rework loops [7]. The log-normal PDF is developed mathematically in this work to a power function representing faults’ magnitude probability distributions. When their magnitude distributions are described by power functions, phenomena are termed “complex”. Therefore, complexity is a trait of the construction industry. Complexity is manifested on the one hand in the phenomena of Chaos and on the other in trajectories, emergence, and universality. The butterfly effect, for one, stands for small perturbations that cause unpredictable, at times unlimited, effects recreated here in numerical experiment A.1. Black swan events are events of extreme magnitude that cannot be predicted from experience; a black swan event was encountered here in project 19. Emergent systemic behaviors arising from local interactions, such as risk affiliation and conservativeness, are described here. Also of interest are the phenomena of avalanches, which are energy dissipation events that progress unstopped until they reach the ends of networks. The phenomena of avalanches are presented here in project 1. A phase parameter and phase change are discussed here in detail. Here, we portray avalanches as a cause of phase changes. Phase changes may be directly predicted [8], at least for physical systems; in this work, we direct our efforts to bifurcation points and the trajectory prediction of avalanches.
Non-linearity, a hallmark of complexity, disrupts supply chains and undermines meticulous software-aided time management efforts [9]. Non-linearity is also generated by small-world interconnected networks that import risk, by sociological factors, and by signal processing effects. These effects are observed here, too; the case studies relate them to the construction industry. Modeling complex systems is precarious; we portray the limitations on modeling in the Discussion section and as pertinent to the development section and experiment A.1; in the context of CPM, we show the imminent collapse of modeling [9].
All systems [10], physical and behavioral alike, face aleatoric and epistemic uncertainties. The aleatoric risks are related to the unpredictability and the statistical nature of the events perturbating systems; the epistemic risk is caused by a lack of data and modeling shortcomings. In complex systems, the unpredictability of perturbation does not entail an unpredictability of outcome, and stochastic perturbation may be useful for systemic learning [11]. Following a behaviorist path, we address modeling shortcomings by deciphering the world, not modeling it [12]. However, it should be noted that notwithstanding our efforts, these are partial information systems we are deciphering, not the world. In this manuscript, the distinctions between design information systems, subsystems such as site management info-systems, and physical systems are blurred.
The data gap stems from limitations in data availability and bias. The gap in the availability of reliable data is associated in part with an intentional concealment of data due to risks of liability, responsibility allocation, and prestige, and in part it is related to systemic bias [13]. Even the quantity of faults reported in the literature [14] is inconsistent, whether owing to segmentation mismatches or intrinsic unreliability [15]. To address this gap, we used fault databases generated by QC.
The second gap is an epistemic gap in understanding [16]. The origin and inception of construction faults are poorly understood [17]. The literature suggests an information-related epistemological origin to faults [18,19]. A bank of literature suggests information overload as a cause of faults [20,21]. These suggestions do not provide an understanding of the mechanisms of the creation, inflation, or propagation of faults. The literature does not offer specific suggestions for operative means [22].
The gap in understanding and the need for implementable operative means motivate ToF and this manuscript. In this manuscript, we develop an information-based theoretical framework to address the second gap and enable the use of fault databases to address the first gap.
The conceptual framework emerges from an observation made in the literature: info-systems have a capacity limit (termed here an information constraint, IC). The IC is, therefore, a threshold of stability; past that threshold, systems avalanche. Putting it differently, complex systems with an IC are threshold phenomena. This threshold was validated here in Case Study 1. The literature suggests that complex systems self-organize at a threshold of stability (SOC = self-organizing criticality) [23]; in the context of CISs, this suggestion was refuted here. These systems are better modeled as complex dissipative systems [24]; these are open systems that exchange materials, energy, and entropy with the environment; those systems are not at equilibrium but rather seek stability in steady-state dissipative structures [25]. Systems are modeled here as information networks. Networks may be geospatial, model, or logical [26], yet all adjacencies are information adjacencies; the use of info-systems simplifies the exposition; all networks are but different presentations of the same phenomena. Networks with a power function degree distribution morphology are scale-free [27]; therefore, these networks are scale-free. Scale-free networks are a product of preferential attachment and the above-mentioned WBS, recursive and iterative work/rework processes, and social behaviors that generate preferential attachment, such as rank and bridges, portrayed here.
Another observation made in the literature is that the influencing factors that direct systems’ responses are within Internal Variable Theory (IVT [28]); IVT stipulates that these factors are local variables; some are unknown, some produce only fuzzy information [29], and some are elucidated here by numerical experiments and simulations.
Added to this are the effects of control signals that magnify the data load. We applied DSP (digital signal processing) theory to investigate these effects in numerical experiments.
Preventive Means are the sum effects of barriers: physical and normative protections, such as power breakers and their O&M; QC such as in its capacity of reporting faulty execution; test labs blocking bad materials; praxis such as foreman supervision; and BCBs (building control bodies) blocking design errors. Together, the normative means are here termed “the Via Trita”. Case Study 2 presents events that develop following a stray from the Via Trita.
Corrective means are applied to barriers. Info-systems act as suppliers of feedback, practices, and up-to-date code, drilling systems and performing audits. In the Time section, we lay out mathematics that shows how corrective means may proliferate malicious effects. Corrective means are relayed to Case Study 1 and remedial actions to Case Study 2; the concept of learning and feedback is developed in detail.
The mitigative means suggested in the literature for faults are behavioral; the application philosophies are of two primary schools: human in the loop and automated. The automated response is based on sensor networks, some wireless, some IT [30], and the other school promotes personnels’ energetic, rapid response, with open-mindedness [31] and a trouble-shooting culture [32,33]. We believe the two disciplines are complementary. Both are implemented here; the degree of automation is dependent on entropy and code. Usually, there is time to stop pernicious events before they avalanche. Physical faults propagate in physical networks, while the corrective means are developed in information networks. The Debora factor, which is the relative reaction time of the two systems, is the deciding factor. An example of the work of the two systems is the notorious pedestrian bridge collapse over SW 8th Street, Miami [34]; it is explained by our A.4 numeric experiment.
The graphical abstract (Figure 1) tracks the trajectory of faults in complex construction systems; it stipulates a system approach [10]. Projects and infrastructures, whether in design or maintenance, construction, or façade management, are viewed here as systems. All the modeled systems display similar topologies with common topological traits. Similar topologies are a cornerstone of the general systems theory and the grounds of the universality of our theoretical framework and of the application of similar means to all disciplines [10]. On the other end, general systems theory implies being part of ever more extensive systems that impose their effects and eventually limit the effectiveness of managerial planning and of our models [35]. The similarities of the failure modes, propagation, and avalanche of, for instance, power supply lines and road traffic, leave much room for expertise in relaying mathematics to the specifics of each discipline—in this example, a blackout vs. a roadblock or transformer fires vs. car accidents. The multiplication and propagation of faults on temporal maps is portrayed in numerical experiment A.2 in activity space, in numerical experiment A.3 in faults space, in numerical experiment A.4 in designer space, in Case Study 1 for open faults and in projects space, and in Case Study 2 in design discipline space.
In summation of the above, the entities explored are complex systems. Complex systems are protected from aleatoric risk by barriers. When barriers are penetrated, systems respond by faults. The statistics of faults are characterized by a log-normal PDF and power function magnitude probability distributions. Complex systems may be presented as scale-free networks of local variables. These systems are information systems; they generate threshold phenomena, and their threshold is the IC. Data signal processing augments the information load. Our goal is to provide databases for data analysis and a generate theoretical understanding and a means of practical applicable quality management.
This manuscript contributes to bridging both informational and theoretical gaps. We provide a mathematical analysis of the effects of risk in complex systems, conduct numerical experiments to investigate and predict systems’ response, link the theory to the reality of design and construction management using case studies, and provide support for mitigation, and corrective actions. ToF frameworks offer a means to locate barrier penetrations and suggest corrections, a post factum responsibility allocation, claims, and theoretical research. In this article, we apply a men-in-the-loop paradigm. In case studies, a data analysis system based on statistics, descriptive statistics, and PID (Proportional Integral Derivative control) produces real-time alerts and initiates remedial actions. As projects progress from design to construction to operation and maintenance (O&M), physical infrastructure is constructed, degrees of freedom are removed, and direct control and automation become possible. For an automated response and DSP controllers, refer to [36]; for project management, refer to [8]; for design, refer to [37]. A federated AI is developed for O&M.
Importance: The quality management of complex systems is made possible; this may impact on costs, time, quality, and human lives.
This article’s framework follows the progression of faults suggested in Figure 1, presenting a viewpoint of an open system that interacts with the environment and with its own subsystems [37]; this is a multi-strata framework comprising different models of various disciplines. The methodology section follows this introduction, then the development section where the PDF is researched, the power function developed, and the phase parameter presented, along with the entropy and DSP themes, time, and the presentation of IC. Next, the numerical experiments portray the implications of the theoretical suggestions, followed by case study research of real systems. The Discussion integrates and develops the disparate sections, and the Conclusion summarizes this work’s novelty, contribution, and implications.

2. Methodology and Methods

The first goal is to establish a theoretical basis that will enable a universal understanding of complex design, build, and O&M systems; this objective is developed mathematically and by simulations. Following [2], a system, a set of interconnected elements that work to achieve a common goal, is defined by its transformation of stimuli to response. Its constituents are treated here as black boxes [38]; only their effects and interactions are studied. This definition implies communication and cybernetics [5], and, according to [35], also learning and adaptation. Systems have digital and analogical parts; here, we assume that the analogical are within the physical sections and that the physical systems are well understood by the engineer, and that for the most part, digital processes, in which we include information system processes, are faster in such a way that enables control over the analogical parts. This assumption and its collapse are dealt with in detail in the Discussion part. The direct use of analog systems for control is portrayed in [36]. Following [24], the systems are dynamical systems, i.e., when input is applied to them, the systems change state, and the output is generated from the new state. States hold all historical implications; therefore, memory is retained within states, and time has only a forward direction.
The gained theoretical understanding is the basis for the development of a practical set of procedures that enable quality management under complexity. By the above discussion, it is apparent that a system theory must rely on system response, communication, cybernetics, learning, and adaptation.
The theory is developed mathematically in Section 3; in this work, we developed an entropy estimator for directed graphs [39]. A “practical knowing” [40] maps the results to construction and infrastructure design and build projects. Numerical simulations and experiments (in Section 4) sustain the presentation, and case study results (Section 5) present analysis tools and applications. In experiment A.1, we iterated a system with randomness and no correction to present a mechanism for bifurcation and avalanche; this mechanism usually applies to defects and, at times, to faults. A cellular automaton was used in numerical experiment A.2 to simulate and explain propagation and multiplication. A third numerical experiment (A.3) simulated DSP effects on complex systems through feedback loop amplification towards the IC threshold and avalanche; this contributes to the factors causing information overload and another failure mechanism. Numerical experiment A.4 simulated a synthetic design network generated from a construction project to highlight effects related to a forceful outside intervention, such as stopping or limiting the traffic of data, payments, approvals, etc. [41], denominated here “power plays” and manifested in A.4 in triadic links severance [42], bridge formation, and centrality. A simulation of convolution (in Section 3.4) contributed to the list of factors generating information overload. In Case Study 1, multiple lists of faults produced by QC for 27 projects were digitized. The statistics of the log-normal PDF and power function magnitude distribution were validated, and the IC, avalanche, emergent traits, and propagation were explored. Statistics, descriptive statistics, network analysis, information constraint, and DSP data analysis tools provided insight, meaning, responsibility allocation, trajectories, and predictions. In Case Study 2, a scale-free morphology is validated, and information entropy is coupled with descriptive statistics tools.
Descriptive statistics is a significant tool for the exploration of avalanches, correlations, IC, and trending; it is used here for projections and predictions. Statistics provide a phase parameter. Network presentation helps to find attractors and trajectories; it is used here to retrace propagation and reassign responsibility. DSP provides an understanding of time, relates it to activities, and provides us with a simple and effective tool called PID (Proportional Integral Derivative DSP controller). Entropy provides predictions, and the phase parameter provides a post factum understanding.

3. Development

There is an epistemic reliance of the physical systems discussed here on information. Information forms the physical edifices, the barriers, processes, and O&M. It is information that enables the addressing of faults. Info-systems are the source of information and the locus of its processing. Info-systems are the locus of learning and adaptation. Risk drives learning and learning reduces systemic risk [43]. The IC threshold is an information-processing phenomenon, and so is the DSP load.
Proposition. 
The cause of faults and catastrophes in the physical world are failures in information systems.
This proposition may be explained thus:
Events are blocked from penetrating systems by barriers. Barriers are generated by design, codes, praxis, drills, and by inspection procedures. Therefore, barriers are products of information systems. Information system errors enable the penetration of the barriers. Past the barriers, faults are met by QC in preparation to be administered to info-systems. Only info-system failure enables fault propagation past that point. Faults that are not directed to the info-system may have a chance to be treated by foremen and the like. In that capacity, site personnel were denominated here a second info-system, having a second IC. The phenomenon of a second IC was provisioned mathematically by [23]. A second IC is validated here in Case Study 1. Only second info-system failure facilitates faults’ onward propagation. Past that point, faults ripple, multiply, and propagate to avalanche.
Therefore, faults are info-system faults, and catastrophes are info-system faults.
This complementary sentence, that information is the only cause of faults, is an outcome of the role of the barriers and QC (Figure 1) that arrest all possibility of faults not being information faults. The veracity of the complementary statement is limited by the nature of black swan events, namely that of being unprecedented and unexpected.

3.1. PDF

The log-normal PDF concepts used here are (1)–(5).
f X x = 1 x · 1 σ · 2 π e 0.5 ln x μ σ 2
M e a n X = e μ + 0.5 · σ 2
S . D . X = e μ + 0.5 · σ 2 · e σ 2 1
M o d e X = e μ σ 2
x = e μ + z · σ x X
where z = ln x is normally distributed N( μ , σ ).
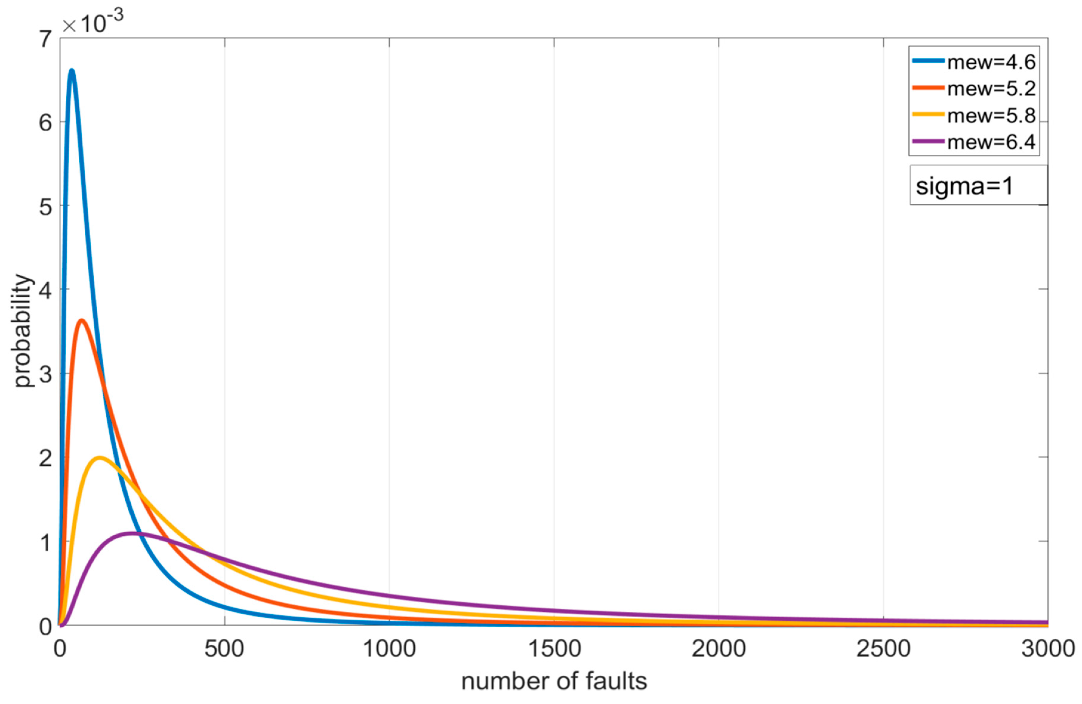
Figure 2 presents a superposition of multiple LN PDFs, each of which may account for the number of faults reported in the literature. The same results are generated by different combinations of (μ, σ). This outcome is a strong discouragement for modeling.
In Case Study 1 a log-normal PDF LN (μ = 4.8, σ = 1.6) was machine fitted to the database. μ = 4.8 implies that the Figure 2 range of μ is realistic, yet Figure 2 σ = 1 down-estimates the likelihood of faults. Projects with a lower μ (Figure 2) will have a higher probability of rare events; this is termed by [44] the curse of good projects.

3.2. Power Function

The quantity of faults of the log-normal variable is exponentially related to z (Equation (5)):
x = e μ + z · σ = e μ · e z · σ ~ e z · σ
Say z has an exponential distribution such as a normal distribution N ( 0 , 1 ):
P z z ~ e 1 2 z 2
Thus,
P X = P z d z d x ~ e 1 2 z 2 e σ z = x 1 z 2 σ , x X
Let   b = 1 + z 2 σ
P X = a x b , x X
Therefore, the probability distribution (Equation (10)) of the magnitude of LN distribution faults is a power function; In this chapter and in numerical experiment A.3, this is our prior (Bayesian) probability; in the case studies and numerical experiment A.4, it is the posterior probability.
Ref. [45] reports the work of [46], where the probability estimator (likelihood) of words “q” and the error probability (1 − q) is divided between “m” letters:
P x = 1 q m x X
To produce the power parameter,
b = 2 ln m ln 1 q ln m ln 1 q
Following [46]’s footsteps, we used the post factum project mean for the probability estimator “1 − q”. It is important to note that “1 − q” is not a measure for aleatoric risk but rather of system response. “1 − q” is an estimator for systemic risk. We interpreted “m” as the number of activities; thus, the risk is equally distributed between the activities, in concert with the MaxEntropy principle that suggests a uniform distribution for discrete systems [9,47]. Figure 3 is generated for a project of a duration of n = 192 weeks (3.5 years) and X = x = 100 faults in m = 50 activities. The time-averaged probability of having a fault in any discrete time period is X n = 1 q = 0.52 .
“b” was calculated using Equation (12). The scaling parameter “a” was calculated by integrating Equation (10) by Fun 1 to produce Figure 3:
Although synthetic, the power function and its graph (Figure 3) give us a first window into fault magnitude likelihood distribution functions.
Power functions were machine fitted directly to case study data of all the different construction projects, validating that the degree distributions are power functions.
We used the “synthetic” “1 − q”-generated power functions as a yardstick for comparison against the actual curves (Case Study 1).
The relation generated by Equation (12) between b and q is presented in Figure 4:
For q < 0, there is a certainty (1 − q > 1) of faults on every n N . This is the prevalent case in design and construction [48].
Within the range 3 q 1 , Figure 4 may represent a project of m = 50, n = 150 weeks, and a total between 300 and 600 faults; this is equal to 2 1 q 4 and 2.2 b 2.5 . This is the range in which one expects to find the mode of construction projects.
1 < b < 2 relates to well-managed projects and b > 2 to private sector projects such as residential buildings. Projects with b > 2 accumulate a long tail of small effect faults and a diminishing probability for events of low probability. According to [23], b > 2 implies two attractors: here, two ICs. For b > 3, there is a mathematical possibility for the mean and S.D. (Standard Deviation):
V a r X = x m i n x 2 p x d x = a x m i n x 2 b = a 3 b x 3 b x m i n ,   x , b R ; x 0 ,   b 3 .
b>> is related to avalanched projects. 0 < b < 1 is machine fitted to many large infrastructure error logs [36]. This is a “b” characteristic of scale-free networks organized in one big cluster, such as design networks.
As x m i n goes to zero, the magnitude of faults goes to infinity.
There is an implicit assumption that X may be dealt with as a continuous variable.
X < 1 implies faults that may occur once in every few projects. When “a” scales the function to costs, it becomes evident that the cost of a single fault may be greater than the cost of the entire project. In [Fun1], a = f(Xmin). This statement has a meaning only post factum. As long as the project commences, Xmin is not bound toward zero; ergo, “y” is not bound, and there is no mean or S.D. to the PDF. This outcome may be explained also by ergodicity; at all-time, systems may contain subsystems that are at all possible different phases.
It is useful to present the function on a log–log scale (Figure 5).
Power functions are scale-free. Events have the same traits on any scale; for instance, avalanches occur on any scale. A scale-free morphology is validated in experiment A.4 and in Case Study 2 . Repetitive sub-formations are validated in experiment A.4 and in Case Study 1 (in timeline and fft); avalanches occur on any scale validation is in Experiment A.1.
Definition: Scale-free networks are defined by power function magnitude distribution [49]; here, we used centrality distributions as parameters of choice (in most cases degree distribution, in some hub centrality) for the degree K of nodes N, N K ~ K b .
Systems described by scale-free networks are complex. This statement is a derivative of the definition in the introduction of complexity by a power function magnitude distribution.
Figure 5 presents power functions for a scaled “ x ”. Where the ordinate stands for systemic risk, “a” is scaler that adjusts the ordinate to the population. “c” may represent different risk scales: cost, time, and probability. This does not imply the opposite sentence that costs and durations share the same power function but with but different scalers; it only attests to their similar statistics.
Figure 6 presents power functions for a scaled power parameter (“b”, m = 50; (1 − q) = 0.8, which corresponds to the well-managed project on the verge of a phase change portrayed in Case Study 1 data).
“c” changes may represent a move from high quality (lower “b”) to lower quality (higher “b”).
This move may represent the same project at different times (b = b(t) such as is shown in A.4 and validated in Case Study 2) or different segments of the industry (Case Study 1). b = b(q, m), q = q(m) because entropy inflates with m, q = q(morphology) (Experiment A.4), q = q(t) (Experiment A.3 and Case Study 1), m = m(t) (Case Study 2). A move from high fault probability projects to lower probability projects is a move to the right on the “b” curve of Figure 4 and a move down between the curves of Figure 6. This represents a move from a renovation project to residential construction to infrastructure and to high-impact projects, such as a nuclear reactor. “b” is a phase parameter; it implies risk and it quantifies network stability and vulnerability.

3.3. Entropy

Information entropy is a measure of the amount of information needed to define the state of the system; it is a measure of (a normalized) change in the “internal energy” of the system (Equation (17)). Graph entropy is a measure of the morphological information content of a graph [50].
Shannon’s entropy (Equation (14)) is an extensive variable S = S(k), where “k” is the number of states. When a system is presented as a network, the degree of nodes is a possible candidate for state variable (information functional [51]) and its proportional likelihood distribution an estimator of the degree of probability distribution.
Entropy has maxima for a total number of states “k”, with an equally distributed probability:
S x = 1 k p ( x ) l o g ( p ( x ) ) = 1 k l o g 1 k = k k l o g k = l o g ( k )
This is the maximum possible entropy for “k”. “k” itself is not bound; it inflates entropy. A move to the right on Figure 4 entails information gain. It entails an investment of energy, and it is possible only in subsystems. h ( p x = l o g ( p ( x ) is the information content of an event [29]; it is the surprise in its occurrence. The generation of entropy from degree distribution highlights the Figure 5 log power function as a presentation of the magnitude of the surprise in the event.
The space G(M,E,T) is a graph where the nodes [M] are activities, agents, or locations, and the edges [E] are their information links. In Case Study 2, network nodes represent activities, and in the numerical experiment A.4, network nodes represent design agents. In directed networks, edges present precedence, therefore directed networks are a timeline snapshot. Networks are in constant flux; the morphological changes’ trend is to inflate the graph:
d G d t = G M M t + G E E t 0
For example, in infrastructure such as HVAC systems, nodes may be machines and in drainage systems, conduits and manholes—nodes are added, and links (physical and info-links) are generated, never to be deleted. In construction projects, activities generate a multiplicity of procurement activities, QC, redesigns, and claims; each ripple causes ever more activities, ever more edges.
Entropy is introduced to the system externally (“e”) or produced internally (“i”):
d S d t = d e S d t + d i S d t
In synchronous production, constant efforts are invested at keeping d S d t = 0 , design changes are not allowed, and barriers are high to minimize d e S d t . Internal faults are corrected in each discrete unit of time d i S d t = 0   ,   t N . In synchronous production lines, entropy production is at its minimum. From a thermodynamic point of view, this is possible because energy is invested and information gained in a persistent effort to correct faults (Equation (17)). Attempts to benefit site production from industrial synchronized low entropy, by transferring production to off-site prefabrication factories, enlarge total entropy. This is an outcome of the first law of thermodynamics (Equation (17)): there is a conservation of energy law that reduction of energy in one part of a system is but an energy transfer elsewhere; here entropy is transferred from a subsystem to the system, i.e., from factory to site. The commonsense explanation of this phenomenon is that the number of possible states on site (to be designed and coordinated) increases. The thermodynamic concept of a closed system is not directly applicable here; on the one hand, complex projects are partially open to an influx of incoming information, and on the other, the export of data entropy does not reduce its systemic content.
Internal variables (IV), denominated χ α , are partly unknown; they are the system’s local state variables, where “ α is a chosen set of the known variables that is used in modeling efforts to gain an understanding of entropy. The first two laws of thermodynamics written for that “ α set [52] are as follows:
1 .       d E = đ W + đ Q     ,     đ W = α A α d χ α     ,   đ Q = α B α d χ α 2 .       d S = đ Q θ 0 , S = S χ α , θ = θ χ α , θ > 0
In this presentation, E , W, and Q are extensive variables; the assumption of extensivity is not correct for interacting statistical systems [53]. The energy d E invested in the system generates some work (W), and the rest is dissipated in the system (Q), translated to the system’s extensive state variables [ χ α ]. d E is the “free” energy; it is related to open faults, added states, and entropy inflation; faults are change agents. đ Q is the path-related dissipative effect, directly related to the state variables and entropy. These equations portray a transformation of faults to morphology. The second law states that entropy is not limited; there is a systemic minimum to entropy, but there is no maximum to its function. From the above equations, we gather that S = S (m, t χ α ). Entropy and θ (Temperature) are thermodynamically conjugated variables of the storage function; a high θ enables a reduced translation of free energy to entropy; in our systems, θ is related to variance and quality, and entropy to risk, thus the conjugate may hint at a negative correlation between quality and risk. In dissipative systems, Equation (17) is an inequality; a part of the energy influx is dissipated.
The nominal magnitude of entropy is an outcome of decisions about the time scale and the traits chosen (α). It bears little meaning [39]; its relevance is within a system, and even within a system caution is advised because systems evolve, and the relative value of entropy erodes. Entropy trending and entropy change (dS) are our parameters of interest.
Entropy is a real-time means to monitor trendlines, flag bifurcation points, and predict avalanches. In the system transfer from of Experiment A.4, a reduction in entropy is a sign for small-world collapse. In Case Study 1, entropy was calculated for successive network time snapshots to generate entropy trending. Entropy peak and collapse is traced to the collapse of QC. Entropy combined with descriptive statistics is a potent tool for responsibility allocation, and in real time, it is a tool to direct mitigative efforts.
Notes: Shannon entropy was invariably used here, although entropy additivity in scale-free networks is contested [54], MaxEntropy yields exponential magnitude probability distributions rather than power functions, and the applicability of generalized entropies is suggested [53]. For example, total entropy trajectory projections cannot be distributed between site and precast subsystem, for precast entropy causes site entropy and its effects are complex (non-extensivity; in Equation (17), E is not proportional to the quantity of χ α ); on the other hand, there may be an over-notation owing to joint entropy between the systems (the non-additive is manifested by the mutual information I: S(A,B) = S(A) + S(B) − I(A;B)); ergodicity breakdown is manifested in Experiment A.4. An analogy to the additivity of historic [accounting] costs may be misleading; while the causes of cost overflow have complex effects, the accounting is not complex.
The relationship between entropy and the phase parameter is left for further study. It is noted, though, that the series representation of l n p = a x b x > 0 in Shannon’s entropy has a discontinuity in x = 1; at the same time, our studies showed continuity for all x > 0; a generalized entropy is called for.
The calculation of entropy out of one or a few snapshots of centrality likelihood distribution does not account for the spectrum of possibilities, only for a chance morphological arraignment; here an ensemble approach suggests itself [9].

3.4. DSP

In this section, we trace the path of control signals.
The specifics of control signals, such as LTI, are relevant to the signals and their filters but not to the monitored system, which is non-linear and complex.
The communication effects are superimposed on the complex system, adding to information load in the info-system.
Definition: On construction sites, for each discrete unit of time, a work order is issued to workers, suppliers, and subcontractors, specifying work, means, and materials. Each specific assemblage constitutes an “activity”. When the execution of an activity is completed, a signal that delivers the information “DONE” is produced.
QC may approve = “Ok”,
or “Reject”  = to be rectified prior to approval,
or not approve  = “Rework”.
The QC rulings are DSP control operators (portrayed in Table 1):
> Pass              (“Ok”),
>>  Reject =  one feedback loop    (1FB) (“Reject”),
>>> Rework = double feedback loop  (2FB)  (“Rework”).
Definition: A “Fault” is what causes a reject or a rework in the info-system.
A “Defect” is a small fault that is small enough not to cause an info-system response.
Together they are referred to as faults.
Change orders cause rework in the info-system; therefore, change orders are faults.
Designs “published” are faults.
The DSP operators are called “Filters.” The filters are Linear Time-Invariant (LTI). A unit signal is represented here by the Kronecker delta δ [0] = 1. The control signals δ[n] are LTI; signals only accumulate, scale, and time-shift.
Time units n , n N , a discrete time set.
δ[n] signals entering the 1FB loop produce a constant outcome of 1, 1, 1, 1… as long as it is not terminated. The signal is augmented to the system’s current data load.
The 2FB loops are amplification sequences generated by the accumulation of previous gains. The 2FB loops cause a Fibonacci amplification: 1, 1, 2, 3, 5, 8, 13… [55].
The magnitude of the faults is determined by power functions. QC must scale the control signal in accordance with the fault’s magnitude; this process may be biased by competence and interest. In our simulation, the control signals are directly scaled by a power function. The PDF determines the recurrence of the signal. The scaled and timed signals produced by QC pass through the filters, where they are scaled, shifted, and accumulated; the outgoing signal is fed into the information system, where the information constraint determines the eventual outcome (numeric experiment A.3).
The response of LTI systems are functions called “Impulse Response”, annotated h[n]. LTI systems are injectively determined by their impulse responses. The outcome y[n] of a specific fault signal vector x n passing through the LTI is the convolution (denoted by “ ”) of the impulse response h[n] and the fault signal vector x n :
y n = x n h n = k = 0 K 1 h k x n k
This entails breaking down the vector to its respective spectrum (=K phases), a procedure made simple by choosing a δ[n] signal. The time domain is as follows:
x n = k z δ n k
The frequency domain is the Fourier transform of the time domain, or Z transform for discrete signals. The lowercase variables stand for the time domain x(t), y(t), h[n], etc. the uppercase (X(s), Y(s), H z ) stand for the transform:
X ( ω ) = 2 π N k z δ [ ω 2 π N k ]
A specific phase ( 2 π N k ) matches a specific activity (k).
The Z transforms that interest us are
X z = n = + x n z n
H z k = + h k z k
Y[z] = H[z] X[z]
.
For an eigenvector signal x n = z n ,
y n = k = + h k x n k = z n k = + h k z k
y n = H z z n = λ z n
H[z] is the eigenvalue of z n .
H[z] is called the Frequency Response.
Any signal can be synthesized from eigenvectors:
x n = k = + X k z n
y n = k = + H k z X k z n
z n is the eigenvector of all LTIs. Z may be any complex number in the region of convergence (ROC).
f o r   n = k , z n k = δ n k
Therefore, δ n K are eigenvectors of all LTIs.
The difference equation for the 1FB loop is
y n y n 1 = x
Z transform on the difference equation yields
1 z 1 · Y z = X z
From Equations (22) and (28),
H z = Y z X z = 1 1 z 1
Table 1 summarizes the DSP tools used here.
Table 1. The DSP control operators.
Table 1. The DSP control operators.
The OperatorsThe Difference Equations [55]Equation Numbers
Passy[n] = x[n](31)
Reject
feedback loop
y[n] = x[n] + ρ 1 y[n − 1](32)
Rework
double feedback loop
y[n] = x[n] + ρ 1 y[n − 1] + ρ 2 y[n − 2](33)
Reject
transfer function
H z = 1 1 z 1 (34)
Rework
transfer function
H z = 1 1 z 1 z 2   (35)
A delay in the signal causes a delay in the system response:
δ n τ h n = h n τ
The phase shift is
φ = a r g   H ( s )
The signal, a linear combinate of the “k” activities, has one frequency (Equation (20)). The outgoing signal has the same frequency, unaltered by the LTI systems (Equation (23)).
Complex systems are not LTI; they do affect frequency. If site activities, subcontractors, or supply chains work on different periods, there are delays when a new period evolves to the lowest common denominator. When a difference in periods causes the system to be out of sync, stuttering halts in the work sequence occur, accompanied by constrained resources and collisions [56].
In Figure 7, we simulated a convolution to show its effect on a system like design offices. We created a vector of random generated numbers with an LN (μ = 4.8, σ = 1.6) distribution (Figure 7b) in green; this distribution was found in the Case Study 1; it “averaged” 27 system responses. The PDF was fed into the power function of Figure 3 to create a scaler for an eigenvector of δ n k ; this is the control signal of Figure 7a. The signal was convoluted with an impulse response function in Figure 7b. We assumed a step function for h(t), which is an oversimplified impulse response. The convolution holds the meaning of a design workload generated by faults. Another distribution LN (μ = 5, σ = 1) was taken from the Figure 2 range. The results (Figure 7b in blue color) are dramatically different. This is another deterrent for modeling.
The outcome is a doubling of the timeline (the exit signal abscise length is the sum of the incoming and impulse function abscissa’s length), and the workload (ordinate) is stacked two degrees of magnitude higher than the entry magnitude. The amplification is the multiplying of magnitudes of “x” and “h” summed over the length of “h”, that is, summed over the number activities.

3.5. Time

Complexity portrays a world in flux. It is a Heraclitean world where time changes all.
Time was found here to be a parameter in all parameters: b = b(t), m = m(t), q = q(t), etc. This observation is declarative, it does not advance our understanding. We found that b = b(m,q) and m,q are related to morphology; “m” is but nodes in a network and “q” is a product of its morphology. The morphologies of info-systems evolve in time; there are teleonomic changes and entropic ones; “b” reflects these changes and responds with the move towards a higher “b” curve in Figure 6. Graph degree probability distribution is a function of time; some changes are teleonomic (Case Study 2), some entropic [Case Study 1], while others are power struggle oriented (Experiment A.4). The morphology has loops, representing rework and repetitive processes. Repetitive processes with a non-diminishing fault additive and no correction bifurcate rapidly (Experiment A.1). Time is therefore an agent of destruction.
The above discussion implies a behavioristic attitude towards social and psychological effects. The development of a convolution in a design office is one example (Figure 7). There are sociological and psychological effects of time, affected by the duration of activities and processes: time is an entropic agent causing fatigue, carelessness, pressure, outdated design, inadequate code assimilation, and deterioration in infrastructure [48]. Time changes the response durations.
A time shift causes a phase shift, and vice versa [57]:
D T F T { k Z δ n k N } = ω 0 k Z δ ( ω ω 0 k )
The phase represents activities; therefore, the projects are out of the designated activity; this causes time delays and cost inflation. Rapid energetic actions taken to make up for the time lost worsen the situation: A “corrective” action of scaling down the duration of activities such as “crashing time” causes the following:
Information loss; therefore, entropy gain.
The delay of an incoming fault is scaled up by the scaling factor ( γ ).
For γ > 1 and a delay in time of τ ,
y n = x γ n ,
y n τ = x γ n γ τ
Added costs [58].
We reiterate our above statement that signal mathematics is applicable to signals. In info-systems, the Universal Scalability Law by Gunther [59] and the Ringelmann effect cause the non-linearity of crashing effects on time and cost; moreover, the pressure on shared resources may eventually prolong the total durations.

3.6. Information Constraint (IC)

Definition: Information constraint is a system’s limit of fault load processing capacity. Rather than directly calculating that limit, we counted the number of faults causing the load and noted the IC = the number of faults at threshold points, acknowledging the oversimplification in the underlying assumption of an equal load per fault. The IC is a stability threshold—when IC thresholds are traversed, systems avalanche. There is little redundancy in information systems, because resources are optimized for minimum cost [17]. We case-studied IC in design and construction projects. In Case Study 1, all three projects the IC < 7; IC = 5 was found in our case study of design projects [36].
The phenomenon of a second IC provisioned in [22] was validated in Case Study 1. On site, the second IC is overseen by foremen.
Related factors that aggravate the information load on info-systems are as follows:
I.
Allocation: The convolution of fault vectors in info-systems causes stacking (Figure 7) and resource idling. Designers and contractors optimize resources by undertaking multiple projects, thus attempting to attain full capacity employment at the expense of constantly delaying and deferring tasks, transferring resource idling and inefficiency to their associates.
II.
Morphology: Information systems are scale-free networks. Scale-free network morphologies propagate data faster due to small-world effects and centrality.
III.
Scale-free networks are characterized by preferential attachment. Preferential attachment manifests in rank (Experiment A.4). Rank causes a higher burden on the higher ranked nodes; the burden has a power function magnitude distribution function. Experiment A.4 showed that the degree of centrality grows with time and that not only do hub centralities grow, but new hubs appear.
IV.
Morphological changes: Info-system networks’ morphology evolves with time and by faults, most notably generating higher-order loops, upsetting the effects of buffers and planning, causing more rework, and causing vexation and apathy. An in-depth study of networks evolution was carried out in [36].
V.
Liability and prestige (Experiment A.4): High-ranked individuals not only carry a burden scaled by centrality but also must deal with contractual, litigation, insurance, and prestige implications. Experiment A.4 highlights the effects of liability and prestige on severing triadic connections, the formation of bridges, and the inflation of degree.

4. Numerical Experiments

In this section, four numerical experiments are reported. Experiment A.1 is a time-dependent Markovian process of a second degree with randomness and no correction mechanism, to produce bifurcations and an avalanche. Experiment A.2 is of cellular automata with a grid morphology and a Markovian process with a spatial randomness additive; the goal is to produce multiplication and propagation. A.3 is a numerical experiment, where power function-scaled eigenvalue vectors propagate a second-degree Markovian system to produce a system collapse; the goal is to elucidate the effect of the DSP filters on information load and produce by signal processing generated overloads. Experiment A.4 portrays a modeled design information network that reorganizes in response to a redo order; the goal is to show morphology evolution, teleonomy, and centrality.
The first experiment deals with an effect of randomness, the second adds morphology effects to randomness, the third deals with the inflation of the error signal overload, and the last depicts a social impact on networks; eventually all those impacts superimpose themselves within systems to create meta-complexity.
A.1 Discrete time (DT) numerical experiment with randomness and no correction mechanism.
There are additive processes such as the DSP filters portrayed in A.3, processes involving multiplicity are presented in the Time section, and there are processes of multiplicity + additivity, such as the convolution process of sequential design and production.
The mathematical operator used here is multiplicity; The multiplication rule is
X[n + 1] = X[n]·X[n − 1] + q;
the entering fault vector is in the magnitude of δ[N] = 1, N 0 (Figure 8).
This experiment may portray a deterministic system with randomness caused by rounding rules. All iterations resulted in bifurcation and avalanche. The DT time unit in this work is a week. Therefore, after a few months, all systems with randomness and no correction collapse. All iterations exhibit the same phenomenon on different scales. The factors in this experiment are lenient considering the reality of design and construction: “q” is very small relative to site “q” (discussed in Figure 4); the operator chosen is multiplication rather than convolution; propagation is not by linear trajectories, but rather in multiplication loops (coupled, Case Study 2).
The effect of a minor, almost negligible, random additive is the butterfly effect. This effect limits modeling and simulations’ predictive value.
A.2 Cellular automaton—a bounded random walk.
The morphology chosen is a grid; activities form one edge of the grid and time the other. There are m = 50 activities. There is a propagation for every discrete time “n”. The experiments were stopped at 15-timeframe iterations; continuation was uninformative.
The propagation rule used here is as follows:
Propagation Rule:
  for i = 1:m
  z(n + 1,i) = z(n + 1,i) + z(n,i);
  j = i + 1;
  if j > m
   j = randi([2,(m − 1)]);
  end
   z(n + 1,j) = z(n + 1,j) + z(n,i);
   j = i − 1;
   if j < 1
    j = randi([2,(m − 1)]);
  end
  z(n + 1,j) = z(n + 1,j) + z(n,i);
  end
  
end
Propagation is commanded to three adjacent neighbors. The relocation decision taken at the boundaries is random; thus, the random additive is spatial. There are no corrections. The operator is addition, and the effect of proliferation is multiplicity. With no correction, the accumulated possible effect is the proliferation ratio (here 3) in the power of time [n]. After a few iterations, all activities are affected (Figure 9b); an assumption of dissipative ergodicity suggests itself here. CSI systems form dissipative structures [60] or, in our case, have deliberately designed steady states, where time-averaged measurements converge to system averages [61]. Ergodicity in engineering systems has many implications, such as the vindication of the use of partial [unbiased] datasets and, because all networks are interconnected, the percolation of technologies, the rippling of faults, and the emergence of universal traits [62].
The grid morphology down-estimates the reality of small-world networks. Case Study 2 generated a network that is one cluster with a diameter of 2; therefore, in the Case Study 2 morphology, the whole network may be affected in two iterations.
A.3 Numerical experiment FB loops.
In these experiments, signals were delivered through 1FB and 2FB loops.
The entering signals were generated from eigenvectors of δ[n] = 1 with a uniform probability distribution. The signals were scaled by a Figure 3 power function (Figure 10a). The signals were amplified by the filters to generate outgoing signals; these signals were added to the current signal load.
The 1FB loop (Figure 10b) had little effect of magnification, even to an event as big as 0.25. In the Figure 10c simulation run, the 1FB loop magnification of an extreme event of 0.98 magnitude was not enough to reach IC.
In the next experiments, a vector signal of length 5, with uniform probability and power function scaling, was issued into a 2FB loop. At every time (that is, in every row), a new vector was added to the filter. The results are in Table 2.
The magnitude of event time = 1, event = 4, highlighted in the red frame, was sufficient to cause an avalanche in a three-time-unit sequence; the other vectors were too small to add to its effect, therefore the outcome would be the same for any combination of this event.
The results are that the 1FB loop adds little to the overload; in processing defects, its effect is negligible. Figure 2 shows that even with high-magnitude events such as 0.253 or even 0.98 values, the accumulation rarely causes an avalanche. Yet, this experiment is negligent of the enormity of the number of faults; the noise generated would drown the second IC system. Systems must have a mechanism to dub the noise. The mechanism is suggested in Equation (32) for 1FB loops; Equation (33) suggests a similar mechanism for 2FB loops; the first suggestion, for the 1FB loop, is sustained by expert opinion, but the second one is not. Defects are often ignored. Events of potential high magnitude are not ignored; they may be left untreated owing to system overload, not to neglect [63]. The results of the 2FB loop experiment stress the importance of treating faults without delay, a justification for a trouble-shooting culture and for the above directive to apply an energetic, rapid response.
A.4 Information net morphology and transformation.
In this section, a “super” network of a design + construction info-system was simulated. A public project was studied by experts, and an adjacency matrix was generated for 61 of the participants in the design + site information network. The participants are designers introduced by discipline and their site correspondents in the contractor and QC. A network was generated for time = 0, the time of commencement of works on site (Figure 11).
The same procedure was carried out after encountering a design fault (Figure 12).
The Matlab curve fitter app fitted degree probability distributions to the graphs; the relevant function is presented in Figure 12c. The function is a power function, therefore the networks are scale-free.; its b,b < 1, which is characteristic of networks that form one big cluster.
In summation of the findings:
Figure 11 has the morphology of one big cluster; finishing works form a subcluster [on the left], and all other design and construction works form another on the right. The color scale of outdegree highlights preferential attachment. The site engineer (SE) and the general contractor office (GC) had the same degree. This is in concert with the observation that all participants must communicate with the SE and all participants must communicate with the GC (payments, contracts, etc.). The “SE” and “GE” share the same location in the graph at t = 0. This is an outcome of their position as being a vertex for the two subclusters.
The possible number of directed edges is ( ) · 2 2 n , where n = number of nodes; here, 66 · 65 = 4290 possible edges. The number of edges in the Figure 12 adjacency matrix is 629, that is, 15% of the number of possibilities. Yet, a small-world network with one cluster formation and a minimal radius was formed. The number of edges needed to form a giant cluster of random graph nodes is n/2 [64], here 33; the max degree of separation within that cluster is log(n). The minimal connected network of n nodes has n − 1 edges; adding n/2 edges to assure small-world status can be achieved within 100 edges, well below our 629-edge graph. The added edges work to magnify centrality and synchronization; in Figure 12, for each added node an edge is formed to Sc and to Gc, this is Albert and Barabási’s [49] preferential attachment model with a probability of 1. Synchronized networks were found in [9] to be more stable at the cost of larger diameters (longer critical paths). Even within the confines of viability kernels, there is large room for permutations, making expertise a parameter of stability [9]. Self-adjustment to enlarge “b” reduces synchronization pressures; the formation of sub-graphs reduces the sync basin size [65]; synchronization is required within local clusters rather than globally.
Information network morphology evolution after a redo order originating in a design error is portrayed in Figure 12. Figure 12 presents a considerable change. The number of participants grows to 67, and the morphology changes. Triadic connections are severed, bridges are formed. Information that passed directly in Figure 11 is communicated through relay activities denominated as bridge activities [36]. This is a form of learning, though far remote from the self-healing networks suggested by [64].
In Figure 12, subclusters are defined by bridge activities that relate to architect and constructor. The degree of distribution is now tilted towards the site engineer, because the site response is faster, and the site is central to a solution. Although the diameter is bigger and connections are severed, the network is still one big cluster, and b < 1.
Hub centrality is another estimator of rank (Figure 12d). Hub centrality suggests that although of equal degree at time = 0, SE centrality is higher than GC. After the change, the rank of the SE and GE grew; SE centrality was still ranked first, but new entities gained hub centrality owing to the severing of edges and the formation of bridges (S6 Figure 12d).

5. Case Studies

Two databases were analyzed, database-1 of 27 projects and database-2 of one storage facility. The projects are construction projects; they are of different market segments such as infrastructure, industrial, residentials, and utilities, ranging in cost from millions to billions.
The databases are QC faults tables containing faults, with additional data supplied sparsely: dates, locations, time to closure, disciplines. The dataset was loaded to an off-site server service. The available data are a partial download of it. The number of faults in the database studied here is ~104. The timeline of the database is 8 years. Biased data are a common occurrence in the construction industry, and a recurrent finding in our studies and here. Six of the projects (about 20%) have little or no QC entries, attesting to a phenomenon that QC does not always keep orderly, consistent, and scalable logs (Case Study 1). Another notation found to cause bias is that open fault entries were uploaded en bloc in repetitive time sequences. This caused recurrent formations in the fft analysis and emergent formations in trending in Case Study 1. The significance of quantity of faults–fft to the phenomena of faults is therefore questionable; It may represent notation practices. The partiality of databases posed some limitations. For one, where locations were not listed, avalanche locations and spatial trajectories could not be developed.
The data quality varied also in time within projects; this behavior is salient in Case Study 2.
The barriers here are codes and regulations, the contracts, inspection practices, testing labs, and praxis (=best practice).
The analysis follows the methodological constituents: PDF, power function, DSP, statistics (variance and entropy trending), descriptive statistics analysis, IC assessments, network analysis, morphology, and trajectories. The order of presentation is dictated by the rendering needs.
Case Study 1
The Matlab distribution fitter app was applied to database-1. The resulting Figure 13 validates that the database is under a log-normal probability as provisioned.
The extremity of variance noted in Figure 13 and the high R2 are traits of functions resembling exponentials such as LN distributions and power functions.
The inconsistencies of the data, apparent from the blue histogram in Figure 13, are a product of the inconsistent timeline of faults and inconsistencies between segments and within projects. These alleged inconsistencies are not random; their occurrence, causes and trajectories are investigated further on.
The estimator for the magnitude of faults used here is open fault duration. Power functions were machine fitted to all projects (some are presented within the figures), validating the theoretical provisions that magnitude distributions are power functions and networks are scale-free. All project power functions were compared to Figure 3. The mathematical traits attributed to the phases presented next by the phase parameter are referred to from [23]. The range 1 < b < 2 is a range for high-quality projects, such as well-managed and quality-controlled civil works, such are project 2 and project 3 here. The 2 < b < 3 projects are expected to be the most abundant projects, this is “b” generated from the number of faults reported (Figure 4); 2 < b < 3 projects are of lesser quality, clusters overlap only partially, and there is a possibility for avalanches to happen on every scale, and also a possibility of a second IC. Such are project 5, project 7, project 11, project 15, project 17, project 19, and project 23, all heavy civil engineering works. Projects with 3 < b < 4 may have a theoretical mean and S.D., such as project 8 and project 10. The rest of the accounted for projects have b > 4. They number almost half of the projects. If this finding is representative, then the number of faults in the industry is much higher than that prevalent in the literature. b > 4 projects are characterized by clusters that do not override each other, management is lax, and quality neglected. b>>, such as b > 10, projects are characteristic of avalanched projects; such an avalanched project is project 1 here. The variance of projects 1,22,23 is dramatically higher (Figure 14a). Project 1 was found to be correlated with projects 22 and 23 (Figure 15). These are three subprojects of one mega-infrastructure light rail project. Project 1’s avalanche is manifest in the quantity of open faults and in their magnitude (presented next). The magnitude of the avalanche inflates both the quantity and magnitude scales; thus the mean and S.D. shoot up at these projects. Project 23 is a showcase of a project in the process of avalanching, where its 2 < b < 3 is yet to be inflated. The proportion of open faults trending presented in Figure 15 gives us a prediction tool. The S.D. suggests itself as a predictive tool too; ref. [9] falsified S.D. in the capacity of a predictive tool.
The Figure 15a timeline shows that faults started on project 22 (“systems”), prior to project 1’s commencement of works (construction works); it is evident, therefore, that the three projects are not correlated via site faults. This is a design-generated avalanche. Design is the common denominator of all three projects.
Expert intervention identified the problem in the interoperability of the three systems.
Figure 15b enables us to view the IC. IC < 5 in all three projects (pointed out with solid arrows). There is a second IC for all three projects (pointed out with dashed arrows in Figure 15b).
The IC presents itself here as a predictive tool. Another parameter suggested in Figure 15 for a predictive tool is gradient change on the function of open faults (the derivative).
Remedial actions here are in design interoperability, matching, and coordination. It is paramount that the designers of the three projects sit together and produce one coordinated proofed version of the design. This remedial action was implemented, albeit late. The late implementation loss was a half-year delay in the project and residual problems in the signaling and braking systems.
Preventive actions: when systems pass the IC threshold, or when the proportional or derivative of open fault duration indicates avalanche, project management must intervene. The number of open faults must be kept at the IC. The tools presented here raise alarm at IC thresholds and at bifurcation points, and before avalanche, causes and locations are found. Remedial activities here are within the praxis.
Figure 16 presents open faults trending for database-1. In Figure 16a, the binned quantity of open faults in all projects is superposed; their open fault durations’ total power function is presented in Figure 16b, and magnitude segmentation in Figure 16c.
Figure 16c is another way to present power functions; it portrays the different traits of segments in the database. The significance of Figure 16c is dubious owing to small dataset bias. The high number of industrial faults and the small jitter in the residential segment are incidental. A high jitter lowers S.D., and a low jitter with high fault durations generates a high S.D. This is an indication of the relative heaviness of the power function tail.
Figure 17 delves into the specifics of projects 1 and 19. The nominal number of faults in project 19 (Figure 16) is incidental. Figure 17c indicates that project 19, which overwhelmed Figure 16a, is not avalanched; on the contrary, project 19 is fairly well managed (b = 2.03), and the apparent avalanche of Figure 16a is but a superfluous notation of overzealous-inspector-produced defects.
Figure 17a portrays the trait of an avalanched project of b>>; Figure 17b shows that an avalanche is relative to the project specifics; here, the quantity of faults is high only relative to that project; the nominal number of open faults is small relative to project 19; hence, the overwhelming of Figure 16a was made possible. The repetitive magnitude frequency of Figure 17d, reminiscent of a sinusoid, is a recurrent phenomenon in our case studies; in the avalanched project 1, the weight of low-frequency events is higher than that of many high-frequency events.
A move from Figure 17c to Figure 17a is a phase transition.
Figure 16a is overwhelmed by a black swan event. This event also overwhelms the entire database “b” value (Figure 16b b = 2.05, Figure 17c b = 2.03). Project 19 QC introduced a relatively vast number of defects entries to scale all the other entries together. This is a phenomenon never seen before; it was not anticipated. The noted entries are defects, they cause noise, and, as shown in the numerical experiments of A.3, they have no real effect on the project.
Case Study 2
Database-2 adds sociological and contractual effects. The methodology is the same, and the networks are the same. Only the content of nodes is different. This is the advantage of a behavioral approach. The error origin of faults, whether it be a design error or contract breach, are treated for their response.
The Matlab curve fitter app applied to the Figure 18a graph node degree distribution fitted the function: 88 x 0.47 , R 2 = 0.97 . Therefore, this is a scale-free morphology. The graph has one cluster, justifying the magnitude of b < 1. The diameter of the graph is 2; this is a small-world graph. The entropy in Nats (1.44 bits) was calculated for successive snapshots from the outdegree distributions.
Figure 18a complements the analytical experiment A.2 (Figure 9) with a small-world morphology.
The graph was researched for propagation trajectories; the outcome is portrayed in brown arrows numbered by precedence. Faults commenced from “contractual”. The relations between QC and contractor reached a breakup point, after which QC stalled. The entropy trending of Figure 19b shows this story in detail: entropy peaked fast and then collapsed, mirroring the collapse of the site communication system. The diagonal termination line of Figure 19a attests to the fact that faults were left open for prolonged durations until resolved en masse, and in the last period, the diagonal termination line stands for unresolved faults throughout the remaining duration of the project; these lines are emergent dissipative structures also found in our other researches.
Preventive actions: The catastrophe presented in this case study is a barrier failure. Differences in language and culture between QC and the SE enabled that nefarious propagation. For future cases, contractual dictates and safety rules must be enforced vigorously without exception. The Via Trita must be followed.
Remedial actions: An energetic, rapid response is called for. Halt all activities. Stop all payments. All contractual breaches and all safety problems must be corrected prior to commencement of work. The relations between QC personnel and the contractors’ SE must be amended. This full stop action is needed when a system is on a trajectory of avalanche. There is no way that a partial or targeted action can stop a catastrophe at that stage. This measure, extreme in this context, is the common one in concurrent production lines of coupled activities. Neglecting to implement these suggestions resulted in the collapse portrayed in Figure 19.

6. Discussion

Design is produced in information systems, and so are construction, operations, and maintenance. Built environments and infrastructure are segments of information systems. Data entropy dependence on local state variables attests that physical systems are part of information systems. Physical systems are information captured in substance, petrified; yet, like any part of the system, they produce information and self-organize. Physical systems are infrastructures that proliferate faults, enabling fault rippling, propagation, and inflation. Barriers, physical and normative, are part of those information edifices; their failures are systemic; they are information system failures. The Via Trita constitutes the behavioral and normative barriers that shield projects and infrastructures from aleatoric risk. In the case of divergence from the Via Trita, even small deviations may cause consequences of unlimited magnitude (Figure 8); this is one explanation for the conservativeness of the construction business. Barriers are constraints, they incur costs and time effects, and they limit viability kernels; this is a strong motivation to stray off the Via Trita. Past the barriers, information systems have another opportunity to check faults and defects. Case Study 2 follows a project trajectory in which contractual barriers were cast aside, correction was neglected, and the system collapsed. The reasoning that faults are generated in information systems and propagate and proliferate within them, and that information systems are the origin of barriers and fault corrections, vindicates the proposition that the causes of faults and catastrophes in the physical world are failures in information systems.
A variety of PDFs may manifest aleatoric risks, but system response is always log-normal. This statement was corroborated here. Repetitive sub-formations and the WBS that Horvath [7] suggested as causes of log-normal PDFs are cornerstones of design and building; these formations attest to the deterministic origin of our scale-free networks [66]. A log-normal PDF is a probability distribution of faults that generate more faults, of brooks that converge into rivers, of design that is developed into sub-designs, of assembly lines with additive processes. A log-normal PDF was machine fitted here [Figure 13] for the Case Study 1 database. A high S.D. and R2 were generated; high S.D.s are recurring in our findings (Figure 14). A high S.D. and high R2 are traits of functions resembling exponentials, such as log-normal distributions and power functions. Rather than reducing the time-normalized variance σ 2 τ , choosing a larger timespan for the LN range generated higher variances; this is an indication that the central limit theorem does not apply in our cases; the reader is referred to Large Deviation Theory [61].
In Equations (5)–(10), we have shown mathematically that power functions are the magnitude probability distributions of log-normal PDFs. Power functions are scale-free; scale-free morphologies are defined by having a power function centrality distribution; all the networks generated here are scale-free. In [9], we showed that the smallest variations in morphology yield an emergence of varied responses, modifying critical paths, criticality indices, entropy, and Laplacian S.D.; morphologic changes were generated here in numerical experiments A.4 and portrayed in Case Study 2. This adds to the above discussion about the relation of morphology to complexity. Power functions were fitted here by the Matlab curve fitter application to all projects and to all their derivatives; all networks had a centrality power function magnitude distribution. Each power fit is unique, proving that each response is unique to a system, and for the same system to the specific time; this statement is outstanding in Figure 15, where coupled systems show different responses to the same change. The causes of variability are numerous: random, morphological, systemic, and social. These ideas were developed in the numerical experiments, where the same systems were perturbated with a negligible randomness additive (A.1), with randomness in location (A.2), with a random control signal (A.3), and with a social effect (A.4).
Power function magnitude distributions indicate complexity. It is a realm where the central limit theorem does not apply. Complex systems are not linear. Non-linearity is caused by the very iterative and recursive structures and processes that cause the scale-free morphology, such as perturbation-specific rework loops (Figure 12) and WBS (Figure 18); non-linearity is also caused by such traits of complexity as emergent behaviors like risk affinity and its manifestation in the “b” trajectory (Figure 6) and threshold phenomena (Figure 15), and also by bias (Figure 16) and segmentation (Figure 16). There are added non-linear effects of communication (such as the Fibonacci scaling of filters presented here in experiment A.3), convolution (Figure 7), degradation [36], and human factors (such as spite—project 18, laxity—Case Study 2, negligence—Figure 14b, and the bridge formation of experiment A.4).
Complexity is a morphologic phenomenon; scale-free morphologies are complexity generators. Moreover, morphologies constantly evolve, affecting PDFs, power functions, and entropy. Complex systems are teleonomic; they evolve under ecosystems’ pressures to inflate centrality and improve synchronization. These propositions are produced in experiment A.4 and in Case Study 2, though A.4 shows that under duress synchronization decreased.
The Markovian assumption invariably leads to frustration. The finding that, rather than current states, previous states may influence the future suggests itself repeatedly [67]. This is evidence of our (epistemic) modeling shortcomings. In [9], it was shown that CPM paths are a post factum accumulation of snapshots and that decisions are local; that is, in every discrete time interval, decisions are taken locally, considering the state of the system, the production adjacencies, and trajectories of what transpired and what could have transpired [68]. IVT suggests that current states condense all historical data into their values. The difficulty is that the data are contained in the values of internal variables. The number of these variables may increase with the size of the network due to their locality [28]; they are predominantly unknown to us; therefore, seemingly identical systems produce disparate responses (such as projects 2 and 3 in Case Study 1, that are similar in content, time, code, owner, contract, and phase parameter). To S = S χ α (Equation (17)) we add the understanding that χ α = χ α t to suggest a thermodynamic explanation for the connection between time, entropy and morphology (entropy–time, Figure 19b; entropy–time–morphology, Figure 12 and Figure 13). Internal variables’ thermodynamics unify time (Equation (16)), morphology, and entropy (Equation (17)) within one methodological system. Equation (17) vindicates the reliance of ToF on faults, because, by definition, only faults generate free energy. Entropy presents yet another explication for the influence of faults on morphology (via “Q” in Equation (17)). Equation (17) suggests that entropy is an extensive quantity of state variables. System response, presented as đ W + đ Q , is a product of morphology ( đ W = α A α d χ α ,   đ Q = α B α d χ α ). Although ergodicity, additivity and the conservation of entropy were rejected in Section 3, generalized entropy models and dissipative structures that replace the above models (Equation (17)) retain the general ideas presented here.
Power functions demonstrate multidimensionally; they manifest temporally in Figure 18b, spatially in Figure 9 and Figure 16c, and on axes such as agents in Figure 12a; they are manifested in market segmentation (Figure 16) and in each of their subdivisions (here: projects, Figure 17); they are all different presentations of the same phenomena. Time and money effects, for one, are a manifestation of the same phenomenon; both have a Figure 5 presentation. The power parameter “a” is a scaler, adjusting dimensions to the domain. The exponential “b” is an extensive variable; this is the parameter that reflects the local work of internal variables. In Figure 3, Equation (12), “b” was generated from an average likelihood of faults, an average post factum measure of system response. Equation (12) provided a useful approximation in our study and had a reasonable match within the case studies’ range of “m” and “q.” A key discrepancy arises with higher values of “m”: while “q” can be kept small by restricting the time range, in Equation (12), “b” tends to approach 2 as “m” increases. However, in case studies with high “m” values, particularly in infrastructure projects, “b” trends towards zero. This divergence suggests that the equation fails to account for the unique behavior observed in large-scale infrastructure projects. Power functions never reach zero, validating the assertion [69] that no processes, agents, or locations are devoid of faults. When applied to states or events, this statement entails an ergodic universe: there is zero probability that a state or event would not materialize. The power function node–degree distributions generated here validated the scale-free network morphology. The scale-free trait is the reason why uneven, biased, and partial datasets (Case Study 1) still produce reliable results, as long as a line can be traced in a log–log graph (Figure 17). Scale-free morphologies are an outcome of preferential attachment [49], generated by WBS, rework cycles, and rank. The emergence of repetitive sub-formations (Figure 17d) is a cause and outcome of complexity. Small-world networks are interlinked, importing risk from outside networks (Figure 15). A scale-free morphology is characteristic of infrastructure networks, design, construction, and O&M; moreover, they all share design and info-systems. Scale invariance enables the paradigm of autonomous agents being responsible for their invariant role, and it enables the prevalence of laissez-aller management. Together, they facilitate the free exchange of personnel, equipment, sub-contractors, and also know-how, mems, and paradigms between companies and projects, making the whole industry interconnected [70]. Complex systems share an attribute of universality [71]; their traits and outcomes are general. This universality enables the free exchange of means discussed above, although each company is different, and each project is unique. This universality also manifests itself in universal behaviors such as the bridge formation of Figure 12, IC magnitude (Figure 15), the emergent trait of risk affinity, the trending of the phase parameter “b”, and more. Universality is manifested also in the similar topologies of the different networks. Nodes represent conduits, agents, faults, or documents in diverse environments such as BIM databases, construction sites, or built infrastructures. The barriers vary from code and conduct to physical systems such as dams and electrical circuit breakers. However, all are treated with the same equations and the same tools to produce topologically similar networks and outcomes: the PDF is log-normal just the same; the magnitude distribution is a power function; the phase parameter is similar in infrastructure systems, it is within the same margins in design networks and CPM [9]; networks are scale-free; avalanched systems present similar traits; the IC of Figure 15 is similar to the one produced in [37] for design networks. We put universality to use by employing the same paradigm, tools, and procedures in various market sectors and to different systems, from façade management to BIM-based design, from construction project quality management to maintenance in an office park, from power grid analysis to drainage system management. The applicability in these different fields is demonstrated here in the Case Studies. Having been mined, cleansed, and transformed into arrays, the varied databases are similar: in this manuscript, we used QC faults logs loaded to a server service, in [35] we used error logs accumulated in a municipal call center, and in [37] a BIM meta database was mined. These are discipline-adjusted solutions to the same information gap. All databases of different origins share the same problems of bias, partiality, and satisfaction. The procedure overcomes those problems all the same.
Power functions explain the stupendous number of small effect faults (Figure 18a and Figure 19c) and the high magnitude faults of low probability (log x < 0). Xmin is not bound toward zero; therefore, the magnitude of faults (“y”) is not bound. Power functions are not symmetrical; the distance to the abscise diminishes more rapidly than the distance to the ordinate. The long tail of diminishing effect explains the negligence of quality: there is an overwhelming abundance of faults, the potential damage of defects is small, the cost of quality control is certain, and the damage is mostly calculated in, insured against, and reducible to others downstream. Construction site systems are the pinnacle of this effect; their preference is to adjust to poor quality. This preference is vindicated by the steep diminishing effect of faults (Figure 3) and by system robustness, manifested in a high tolerance to defects, defect insurance [72], compensation and litigation procedures, and a “start–fail–flee” strategy that is the subcontractor’s recourse to incidents of high-magnitude failures [73]. Figure 6 suggest a risk in that policy: in the low-probability parts of the graph, low-quality projects are more dangerous. The magnitude of a fault with a recurrence of one in ten projects in a = 1, b = 3 project of 200 weeks (x = 1/2000) would be ~1010; for the same conditions, a better managed project of b = 1.5, the max magnitude would be ~105. This is not what happens in actuality: there are two avenues to collapse: by avalanche or by a single event. When b > 2, there is a partial overlap of clusters (discussed next); therefore an avalanche may happen on any scale, such as in a single-element collapse, where energy is dissipated locally to the farthest limits of the cluster, not to the whole system, while for well-managed b < 2 projects, avalanches would be inflated by the magnification of the whole system to the farthest extremes of it. Moreover, avalanches are of different magnitudes: a fault causing the recall of a whole product line is an avalanche; so is a detail change in design that affects the whole design network but can be administered by a keystroke; the difference in magnitude may be decided by chance (in the above example, by the availability of a technology). The other avenue is a mega event. Perturbations must penetrate a high barrier to contest well-protected projects. Therefore, penetrating events are rare, and their magnitude may be as high as the Fukushima disaster. In less well-protected projects, a lesser-magnitude event may penetrate; therefore, smaller effects would cause a collapse before mega events have a chance at exercising the mathematical potential of disaster. Yet in O&M, when physical barriers are in place, high-magnitude and low-probability disasters happen to all. Notably, at the O&M stages, all the systems I researched had a b < 1 small-world one-cluster morphology, which explains the universality of that outcome. In summary of quality–risk relations, there is a correlation between low quality and reduced risk; projects with better quality have lower amounts of faults but of a higher magnitude (Figure 2) The negative correlation between quality and risk and the diminishing effects of faults are “justifications” for the neglect of quality in construction. This neglect comes with a “price” of high entropy and information loss.
Power functions are a measure of risk. The power function exponential “b” is a phase parameter; it facilitates the transition of networks and the segmentation of the market (Figure 7 and Figure 18c). A range of 1 < b < 2 implies well-managed projects, such as projects 2 and 3 of Case Study 1. Similarly, 2 < b < 3 stands for fairly well-managed projects, of which a considerable number are present in the Case Study 1 dataset; in that range, there is a possibility for a second IC; the notion of a second IC was validated in Figure 15. According to [27], in this “b”, finite sub-graphs are formed, and in the presence of randomness, the spatial overlap between the subsequent avalanches becomes insignificant, and ultimately, a critical state is not reached. The last part of this statement was proved wrong here (project 23); if at all, the presence of randomness enables overlapping [8]. “b” > 3 mathematically allows a mean and S.D.; that possibility is meaningless as events are unlimited. It is a fact, though, that insurance companies and big contractors have established largely reliable means; this reliability is for entire market segments or a multitude of projects. “b”>> appears in avalanched projects. An avalanche changes the morphology, causing phase transition and aftershocks [23]; such is the transformation from the b = ~2 of project 23 to the b >> 10 of project 1. The aftershocks of that avalanche are reported below. On a smaller scale of magnitude, the move to the left in Figure 4 or down in Figure 6 within the lifespan of construction projects is common, perhaps indicating that self-organization finds an avenue to reduce risk and the load on info-systems through the enlargement of “b”; such is the dynamic portrayed in Figure 17. b < 1 was found in the degree distributions of design networks and of infrastructure networks; it implies that the whole network forms one cluster [64]; this was validated in Figure 18.
Signal processing is another mechanism that influences info-systems. We investigated the trajectory of control signals in numerical experiments (A.3); we showed that the filters magnify the impact of control signals, 1FB loops cause incessant noise, and 2FB loops generate a Fibonacci magnification; simulations showed how filters cause info-system overload. The noise created by 1FB loops scaled by the enormity of the power function tail would drown any system. The effects of 2FB loops are not confined to the site systems; signals may propagate the info-systems to designers ,where they have a convolution effect on information workload (simulated in Figure 6) and a potential to cause psychological effects such as fatigue and resentment [74] and sociological effects such as bridge formation (Figure 12). Small-world interconnected networks facilitate the importation of information overload; thus, one project overload may stall or delay information processing in another project. Site systems act on QC signals as a low-pass filter (LPS). The effect of the noise reduction of LPSs for faults of frequency w = w0 is −3 dB (0.7 scaling); lower frequency signals are practically unaffected. Unlike LTI, sites are non-additive time-variant dissipative systems, and calculating a site transformation function is not feasible for us. We addressed that limitation by adding ρ 1 1 to the 1FB transfer functions of Equation (32) to allow for signal decay and the precedence of new faults over open ones; the amendment of Equation (32) would explain the trending of the like of project 19 in Figure 16. ρ 2 1 in difference Equation (33) goes a long way in explaining Figure 15; yet the mechanism it suggests is not correct; this is not the way an LPS works on low-frequency signals, and not the way site information systems work: low-frequency faults, that is, potentially high-magnitude fault signals, do not diminish; on the contrary, they stall systems, as seen in [33]. The corresponding noise reduction process for defects on second IC systems is physical: succeeding activities correct and cover the previous ones; in faults, this mechanism is not possible. Dissipative systems and a high storage capacity contribute another explanation to the resilience of low-quality systems. The formation of dissipative structures was noted in Figure 19a; these formations were inflating, hinting at self-organization at higher entropy production rates. Diminishing signals help protect the info-system. The price is that while the signal diminishes, faults cascade through physical systems, affecting morphology and phase parameters, detaching the info-system from reality.
In juxtaposition to the effect of signal processing 2FB loops, common practice advocates 2FB loops as accommodators of learning. Learning within information systems causes different trajectories of faults and defects and the difference between big and small companies. Big companies own the info-system and enjoy 2FB loop-enabled learning [75] and the management of faults, while small companies are destined to subcontract procedural works and deal with defects. Therefore, faults are related to epistemic authority (agents), and defects are related to epistemic rationality (means, norms) [16]. In PSO (Particle Swarm Optimization) nomenclature, big companies perform exploration, and small companies and site personnel contribute exploitation, the same concepts used in human evolutionary optimization [76]. Hence, big companies may adapt [77]; they may be modified by learning [78], molded by their own complex environments and needs. Small companies are at the mercy of chance and of the big guy’s info-systems; their role is to die with their paradigms and to be substituted (competency trap). The products of organizational learning [79] are routines that guide subcontractor and staff behavior [80]. The optimization of the beneficial effects of learning and the nefarious effect of change is a factor in organizational survival. Thus, 2FB loops facilitate learning, and the gain in knowledge reduces entropy; therefore, the same mechanism that inflates entropy to avalanche is the mechanism of the contrary effect. Data entropy gives a new meaning to the epistemic reliance of physical systems on information.
The assertion that network graphs have a non-negative time derivative (Equation (15)) implies that nodes and edges may only be added during the design and construction process and even as late as in the operation and maintenance period, when the nodes represent fixed physical locations and the edges their information links. The assertion is clearly too vast. This statement is not correct for the move between life cycle stages, such as between those of design, construction, and maintenance; as projects are built, the number of possible states is reduced, and entropy declines; this explains why entropy trending is relevant only within systems and as long as the morphology is constant. A phase change may also be caused by an avalanche; it may portray a collapse of a system such as is portrayed in Case Study 2 and as seen above, a phase change between construction stages. Moreover, an entropy gain within homogenous systems of all scales over a relatively short period of time is reversible to some degree but at a high cost to the larger systems that contain them, such is the investment of energy and information in renovations. Entropy transfer explains why off-site production enlarges site entropy. The enlargement of site entropy has a commonsense explanation: transferring site production to prefab introduces design into the processes, coordination, interoperability problems [81], and mismatching periods, and it ads activities (especially notorious are those outside the unsynchronized systems such as transportation). Systems such as prefab factories may be modeled as “closed” systems where the design is fixed, elements do not vary, production lines are fixed, and barriers are high. When in such systems, correction and improvement processes proceed relatively fast (the Debora factor D e = τ i τ 1 , where τ is the process period = 1/frequency, and τ i the processes–changes duration), enabling fast relaxation; internal entropy may be reduced by corrections and information gains. Entropy may also be reduced by reducing the number of states and edges, such as by eliminating redundancies and integrating subsystems and design; this process happens “naturally” when systems evolve down a learning curve; in [9], Yonat found that expert time management scheduling reduces entropy owing to concurrent production with coupled parallel paths; these paths exhibit better eigenvector clustering; they are designed as time-invariant constant-flow dissipative structures of minimum entropy production [82]. On the juxtaposing end, we have shown a crash in the entropy trending owing to the system collapse of Case Study 2, and in the numerical experiment A.4 we observed a system losing part of its small-world links, acquiring a higher diameter, losing coupling and teleonomic formations, and forming new centralities by means of bridge formation.
Time is a factor in all the influencing parameters. A PDF is a function of time; μ, σ are f(t). Figure 17 and Figure 18 demonstrate why projects mean increases with time. Entropy is a function of time (Figure 19); we added time to the thermodynamic laws of Equation (17); learning curves’ time functions impact entropy timelines. Signals are a time series, that time is convertible to frequency which is transformable to activities (Equation (20)). Morphologies evolve in time (Figure 18), adjust (Figure 12), and phase change (Figure 17); the progression between Figure 6’s curves in project timelines reflects risk adaptation. “b” is a function of time; we have shown that b = b(q,m), q = q(t), m = m(t) (Equation (12)); this statement may be restated as “b” is a morphological response, therefore “b” is affected by time-generated morphological changes in systems. Time also affects things directly; it was shown (Section 3.4) that time shifts cause phase shifts, which is equated here to activities; this causes delays, cost inflation, and clashes such as supply mismatches. Time crashing causes information loss and scaled delays; activity prolongation causes resentment and fatigue [4].
The time crashing effect on the scaling of time (Equation (39)) has a sound, intuitive meaning: on account of a time crash, when a discrete time unit is crashed by γ , an incoming event affect is scaled by γ ; this is a measure of the scaled number of activities affected in that timespan. But there is a more general implication. A Debora number of D e τ i τ = γ 1 ,   γ 1 1 : where τ i τ is the site process time (period) divided by the design process time (period) has an inherent γ . This γ scales the effects of design change durations. Often, when there is a clear and present eventuality of a catastrophe, owing to responsibility transfer from local info-systems to designers and/or expert systems, site info-systems stall, “De” metamorphs to De > 1, physical faults propagate unchecked, and catastrophes are enabled; such was the case in [34]. Time and morphology are interchangeable (Equation (38)). This has a commonsense logic: time changes morphology, and morphological changes alter time (periods and durations). Unlike the direct transformation of time and morphology in signals, within info-systems a transformation is complex. We suggest bypassing that obstacle by the direct use of entropy as a measure of time-generated morphological changes.
What is time in the context of project management? Time is discrete; a unit of time is a period (T = 1/frequency); a timeline is a sequence of periods. When info-systems are not functional, such as at vacations or weekends, project time stops. Calendric time has an entropic effect on project info-systems, physical faults continue to progress, and supply line calendric time mismatches accrue in line to be fed into the system.
QC is an external controller added to the production system. The analysis in the DSP section portrays activation scaled by power functions and magnified by filters. QC’s interest is, first and foremost, safety and quality, while management is preoccupied with time and money. This discrepancy adds noise and friction. The critical role of QC and the devastating potential of QC negligence may lead to an expectation that QC would be applied to all projects with the utmost vigilance. The case studies proved otherwise: Case Study 1 showed that QC was overzealous in project 19 and negligent in projects 4, 12, 14, 16, 18, and 24 (Figure 14); Case Study 2 showed that QC was active at the start of the project and nonexistent towards its end. In Figure 16a, project 19 overtook all the accumulated gain. Figure 17c shows that Project 19 is not avalanched, on the contrary, its b = 2.03 attests to a fairly well-managed project. This discrepancy was traced to a schism between QC and the contractor. A similar schism led to a diametrically different outcome in Case Study 2 and experiment A.4.
Sociologically biased data are a persistent finding in the literature [74] and in our research. Four different processes that cause avalanches were portrayed in four numerical experiments. A.1 portrayed a process of faults generating faults; the experiment was carried over for multiplicity operation, which down-estimates convolution. A.2 experimented on the effect of morphology; the morphology chosen was a grid morphology, which underestimates small-world effects. A.3 experimented with filters using a power function magnitude scaled signal of 5 values in every discrete time unit, which is a down-estimate for defects. Experiment A.4 dealt with the effects of power plays on morphology, manifesting in bridge and hub formation, generating centrality and severance of links; A.4 dealt with one fault while, per the IC discussion, there are five at any time. All the experiments reached an avalanche after but a few iterations; after between 5 and 10 iterations, the systems bifurcated in A.1, avalanched in A.2, passed IC in A.3, and stalled in A.4. All the experiments were carried out without correction; therefore, the nominal number of repetitions is not indicative. In Case Study 1, Figure 15 bifurcated after 6 months; Figure 19 bifurcated after three months and collapsed after 6. On a side note, Figure 8 suggests that the bifurcation point is a product of scale. Scale-free phenomena are expected to have a bifurcation point on any scale. Unlike their mathematic representation, the actual phenomena have a minimum quantity and a noticeable minimum bifurcation, here denominated the IC. Scale collapse [83] suggests itself; it may also explain the transit from various PDFs such as the Poisson and exponential to the systemic ubiquitous LNs. Scale collapse and its ramifications are left to further research.
Information systems are expected to be a Self-Organizing Criticality (SOC) [84], meaning that systems self-organize to be barely stable at the system’s attractor [23]; the critical parameter portrayed here is the IC. Our finding did not sustain this assertion, except in the trivial observation that info-systems work at full capacity, that is, at the IC; this does not indicate stability, because the number of faults far exceeds the info-systems’ capacity; systems are not stable; they do not show a capacity to organize for stability at any given entropic stage; we did note, though, that “b” evolves to gain a state of meta-stability. Meta-stability is gained in most cases when change, proliferation, and inflation become negligible in respect to the immensity of faults and when sub-graphs dissipate faults’ energy. The IC was researched in our design manuscript and found to be IC = 5. It was not an intentionally attributed capacity, but rather, the smallest of all participant designers’ ICs. For the IC found here (Figure 15) to be smaller than 5, that finding suggests that the smallest contributor’s IC is the limit on the IC. The statement in the literature that the IC is just right [85] because systems optimize it, or because the IC “self-adjusts” to be correct [86], was not sustained here. In [87], it was shown that BIM design exacerbated information overload, and [88] portrayed interoperability problems, while [89] showed that in BIM design, personnel are reduced; in concert with [90], we showed in [9] that expertise is a factor deciding time, costs and morphology, Lopez et al. [13] found that skilled personnel capacity is diverted to “managerial” tasks.
The IC is a product of the capacity that remains accessible to the project in a multiple-project competition on resources, and its (available) magnitude is an outcome of power plays. To understand the origins of this discrepancy with the literature, one should contemplate self-regulatory systems, natural and man-made systems alike, such as the cybernetic systems portrayed by Weiner [86] and the evolutionary ones portrayed by Dawkins [77]. Those systems have negative feedback, while the infrastructure systems portrayed here are positive FB systems. Positive FB systems inflate to infinity, while negative FB systems have a chance at regulation. Building negative FB mechanisms into systems could vindicate the above statement of self-regulation and alter the predicament of engineered environments; we found that federated intelligence makes negative FB attainable.
The noise generated by 1FB loops is overwhelming, owing to the enormity of the quantity of small faults and defects. There are two mechanisms described here that deal with this threat. The first is dubbing, portrayed above, and the second is another info-system for defects. The second IC was provisioned in the literature, and it was validated in our Case Study 1, Figure 15. In construction sites, there is one IC for faults and another for defects; the first is in the site info-system, and the second is in site personnel. In Figure 15, when the IC was traversed, faults were treated by the second info system to the capacity limit of the second IC; Figure 15 is a testament to a phase transition into a metastable state and, further on, to avalanche. From this presentation, IC monitoring arises as a simple real-time tool for prediction. Preventive action at this stage is to keep the number of open faults at the IC. In design, this entails halting design processes and restarting after a coordinated set of design documents is negotiated and proofed [37]. Past the IC, faults are unstoppable, propagating through the system while inflating, multiplying, and infecting other systems.
The causes of info-system overload [91] are well researched; they include morphological, communication, and social causes. The power function governs the number of faults burdening the system; time adds its effects; sociology adds causes such as liability and prestige; morphological entropic and teleonomic changes are added; small-world networks import risk, rank degree distributions, and bridge formation; and we added convolution and DSP filters to that list (Figure 6 and Experiment A.3, respectively). The literature suggests that design is the paramount fountain of faults, specifically the large-magnitude ones ([92] and here Figure 15). Unlike other faults, the products of design are not processed by QC, but rather enter directly into information systems to become faults. Figure 11 and Figure 12 portray design network evolution, where timelines are generated from a sequence of states; there is no distinction between site and design nodes. The morphology of the networks is scale-free. The formation of clusters, bridges, and Pareto degree were noted. Rank, clustering, and bridge formation are mechanisms generating information overload. Design morphologies form bridges that limit information flow for reasons of liability and prestige (Figure 12b); the nefarious effects of liability and prestige to sever triadic connections and form bridges of delayed and biased connectivity (Figure 12) also inflate centrality; the hub centrality and degree centrality were calculated; it was shown that not only degree centrality rises, but by severing triadic links and forming bridges, new hubs are formed (Figure 12d). Yonat and Shohet [9] showed that the possible effects of the smallest morphological changes, such as the severance of a link, are beyond prediction, to the possible detriment of design evolution and to selective disadvantage.
The propagation and multiplication of faults were simulated in experiment A.2 by a cellular automaton (Figure 9). All experimental runs ended in an avalanche. The experiment was performed on a grid morphology and with adjacency rules of three neighbors. Design networks are small-world; the initial diameter found here for the design info-systems was two; thus, the effect simulated is underrated for design. On top of it, the laxity of control, the latency of design faults, rework processes, rank, and bridges, all work to inflate the effects of propagation and multiplication. BIM amplifies the effects of centrality and convolution by the enlargement of the information traffic volume and speed [93]. Designers participate in multiple projects, causing systems to be interconnected, import risk and rank, constrain resource availability, cause systemic information faults, and extend pernicious effects of time. Most design errors are latent [44], manifested at the stages of construction and even as late as the operation stages. This fact enables the designers and owners to assign the risk to downstream companies, thus enjoying a risk-free culture. Some design errors are detected by the site info-system before construction commencement, causing friction, extra costs, and litigation [87]; some are detected throughout the construction process, causing power struggles, safety issues, and more cost and time overruns; design faults generate faulty physical systems, where faults are embedded in physical morphologies. The global effect of this proclivity to sever cooperative relations and set aside embedded faults unattended is to cause risk-dominant strategies in the entire industry and thus produce universal sub-optimality [94]. Building contractors adapt by offering discounts on their asking prices on tender designs with “claimable” faults. Owners adjust by issuing DBs [design–build projects] with the expectation of partaking in the margin between risk and payoff-dominant design strategies [95].
Cost overruns are related to entropy. Cost overruns are a systemic response to change; they may also be imported and imposed; their magnitude distribution is a power function [96] (Figure 5). Therefore, their traits and effects are similar to other complex phenomena. Cost overruns may be used for entropy estimators, but caution is advised; the trajectories and impact of cost overruns differ for big and small companies; overruns are affected by barriers, contractual and other, such as the means to transfer costs to others by insurance, financial tools, litigation, and by force; this is the ultimate Casus Belli.
Claims: Change orders are identical to faults (Section 3.3); often, they are triggered by design faults; change orders change activities, morphology, and time, sending ripples of entropic changes throughout systems. The prevailing compensations cover direct costs and some overhead, not accounting for activity changes and activities driven out of sync, causing clashes and stuttering halts to work and constrained resources. Claims reimbursement should compensate for all the implications incurred in and generated by the info-systems portrayed here and the risk instigated by the added information load.
Assuming a level of managerial competence that enables equating means with needs, the problems to be solved are analysis and prediction [97].
Prevention is maintained by barriers. Analysis serves prevention by supplying the means to correct and maintain barriers and to improve and adjust them by learning; the above discussion addresses analysis.
Mitigation: mitigation is achieved by real-time proactive actions; mitigation is made possible by real-time prediction. Prediction is limited by complexity, manifested in non-linear phenomena such as black swan and the butterfly effects (presented in Case Study 1 project 19 and experiment A.1, respectively), randomness (Figure 2), emergent behaviors (Figure 6), and threshold effects (Figure 15); therefore, trajectories cannot be predicted, only projected. However, there is a possibility for some measure of prediction, benefitting from complexity traits such as the inclination of systems toward attractors and the restrictions of viability kernels on state spaces. Complex behavior is confined within the limitations of design and physical predispositions; for instance, physical fault propagation must obey adjacency rules, gradients, and entropy. This means that not every outcome is possible, but rather, outcomes are limited within viability kernels. This is why in many cases, heuristics work, and this is why a rule-based response is effective. Moreover, trajectories abide by rules of conduct, and emergent behaviors are predictable to some degree; these give expertise an added effect and prospects for federated intelligence; in [21] heuristics were part of the attractor-based prediction, and in [5], experts produced lower entropy scheduling. Another approach is to trace propagation trajectories; this was put to practical use in our BIM design research [37] and here in Figure 19. In Figure 19, a spatio-temporal trajectory of faults is traced (within a discipline space), projecting the progression of faults to avalanche. In this specific example, the cause was traced back to a contractual breach. Another approach is the use of data analysis tools. Figure 15 traced a plot of the sum of open faults; a correlated avalanche immediately sallies forth. The avalanche commenced at the systems part of the project (brown), crashed through the civil engineering works (blue), and eventually rippled to the control systems (red graph). The origin of this disaster was an erroneous subletting of the systems to DB entities, a decision that significantly hindered coordination efforts. The ominous change in gradient (=the derivative of Figure 15) should have been a stop sign, and immediate corrective measures should have been applied to design coordination and interoperability long before the avalanche on the open faults cumulative graph became evident. Regrettably, corrective means were late in being implemented, and this mega-project was late, and problems in the signaling and braking system persisted after the inauguration, causing repetitive shutdowns. Simulation as a predictive tool was vehemently contested in our different publications owing to modeling limitations, yet, as we often search for extreme events or events within some high Pareto percentile, for cases of fixed or ensemble morphologies, the creation of simulation ensembles may prove beneficial [98]. A possible application of the Figure 14 trending of variance as a prediction tool was rejected in [9]. The predictive value of the phase parameter is limited [99]. First, as seen in Case Study 1 project 23, its reaction to change is late; second, the Matlab fit app finds a constant additive to power functions a x b + c , attesting to the limitations of the dataset and the app. Entropy is used here as a predictive tool. It is our tool of choice. Figure 19 presents an application of entropy trending to post factum analysis; this tool enables real-time applications and automation. Entropy is joined here with the application of data analysis tools to pinpoint the locations of faults on the different space maps (discipline, activity, place). We do follow “b” trending to map phase changes. This practice does have value, most notably for post factum analysis and learning. Together, these tools sustain real-time prevention and mitigation, and in post factum analysis, they provide for barrier maintenance and improvement and for responsibility reallocation and claims. Yet, learning does not imply hindsight nor a directing hand; learning and the ensuing morphology changes may abide by the principles of SOC portrayed above. A managerial paradigm of local decisions and a global view is the outcome of this discussion.
Faults also manifest at the O&M stages. At this stage, entropy is comparably lower, the physical system is set, barriers are partially physical, morphological changes are smaller and slower. Lower entropies enable automatic responses and AI-directed responses. For physical systems like stormwater systems, there is no need for AI. Having deciphered the modus operandi of complex infrastructure systems, DSP control is straightforward; at times, even analogic control is possible. Water level (and hence pressure) gauges are an analogic integrator, and water velocity is a measure of the proportional of systems. Derivative controllers are found in circuit breakers. Based on systems deciphering, analogic PI controllers were suggested in [36]. An automated PID controller was introduced in [24] for seasonal drainage pond management. The integral is indicative of the past (Figure 14), the proportional of the present (Figure 5), and the derivative of the future (Figure 15). Evidently, the integral was diminishingly small, the proportional was a magnitude order larger, and the derivative was two magnitude orders larger. This finding relates to PSO, where only the current and derivative play a part in optimization. The reservoir of which the water intake was optimized was monitored for one parameter only, that of water level, which is a measure of the integral; therefore, the PID integral intake was immaterial. In analogy, the current state of a complex system is integral to its past. Alternatively, past states are immaterial. Complex systems that incorporate humans pose the utmost challenge; here, where entropy is large [100], PID analysis was presented as a simple analytical tool that gives some good results for projections, thus enabling decision support and proactive action generation (remedial and preventive actions are presented in the case studies).
AI applications should be considered with care. Although promising for single-component maintenance apps [101], an ANN for systemic modeling is limited owing to non-linearity and one-to-many systems. Non-linear AIs, such as the model-free reservoir [102], successful for low-dimensional complexity, are confronted with issues relating to the complex effects of morphology generation decisions and perturbation effects which are explained in detail in [9]. A logical agent-based AI is impaired by ripple effects generated when adding statements to the KB; maintaining an operational KB is challenging even in small systems; first-order logic is challenged owing to IVT, and second-order logic because of morphological changes. Federated AI (swarm intelligence—SI) is an answer to the federated morphologies of complex networks; its frame problem is small enough to be solved by first-order logic; local responses prevent proliferation and multiplication and prevent the need for complex problem solving. Swarm intelligence alters the predicament of stochastic events. Rather than being a frustration to planning and nefarious to stability, under SI, randomness becomes a tool for exploration and exploitation, opening venues for learning [103] and adjustment [11]. In a future release, a federated AI developed for HVAC operation will be presented.
There are limitations to the predictions offered by ToF; such limitations are explained by the general system theory that posits that systems are open to entropy transfer and therefore cannot be predicted [10]; these phenomena were referred to here as “imported risk”. In [37], we portrayed the effects of multi-project imported risk, in [8] the risk effects of supply chains, in [36] a system was affected by the illegal connectivity of another system, and here, imported risk was identified in power plays depicted in an analytic experiment in Figure 12 and in two case studies, one on project 19 and one on Case Study 2. The outcomes of the power plays differed in the two cases; although they seem similar in origin, our mathematical tools cannot predict these outcomes. This statement can be generalized: autonomous agents with contradicting agendas interpret every change and trajectory to their advantage; at times, contrary to the interest of total utility maximization, their actions cannot be predicted from the system’s utility/fitness function.
In summary, the ToF procedure was developed based on the above assertion that systems are injectively determined by their faults response. Fault databases relating to diverse fields were mined. All databases were explored for statistics and descriptive statistics, with special care taken to create entropy and phase parameter trending. The fault database analysis produced digital twins of the systems. A network analysis provided trajectories of avalanches and propagation for post factum analysis, barriers correction, maintenance, claims, and entropy predictions. The ToF framework was applied to the diverse fields of design, construction, operation, and maintenance; their entropic content dictated different managerial implications.

7. Conclusions

In this manuscript, we introduced ToF, a theoretical framework and a multidisciplinary methodology for complex system quality management and analysis. We directed our attention to infrastructure systems; these systems are complex entropy-dissipative systems that form minimum-entropy metastable structures. CISs are interlinked; they are part of bigger systems that provide them with normative platforms, directives, information, manpower, and supply and production means and introduce to them ripples and pathogens. Each system has a unique morphology and responses directed by chance and necessity (teleonomy). CISs have inherent epistemic limitations of data and modeling. These are challenges addressed by ToF: faults databases are mined to facilitate digital twins that enable the generation of spatio-temporal snapshots of agents/locations/activities in the nodes time/spatial/logical adjacencies in the edges; descriptive statistics provide timelines and trending and emergent behaviors; the system’s entropy change is numerically calculated to provide a predictive tool; and the system’s phase parameter is quantified for risk assessment.
The novelty of ToF is in substantiating that CIS physical systems are part of info-systems and in leveraging fault databases to address the gap in data availability, and in the use of info-system digital twins to provide snapshots of reality. The generation of systems’ traits and statistics substantiated modeling and simulations. Complexity in CISs is transformed from a chaotic to an explainable and, to a degree, forecastable state.
ToF contributes to quality management in complex systems a theoretical framework and a practical application of general system theory themes: statistics to assess the inherent risk in a design, using the phase parameter to sort out the phase category of construction and to monitor its phase changes; descriptive statistics to pinpoint locations and recreate trajectories and avalanches; and network analysis to advance cause–effect examination, rippling, and coupling. With expert aid, generic network presentations were given the relevant infrastructure-specific meaning using viability kernels, heuristics, and rule-based response; the prevention and real-time mitigation of risks and the identification of corrective actions were enabled; and entropy-based prediction was made possible. Claims of indirect costs and incurred costs are established by backtracking fault trajectories and ripple effects.
Implications: This is a paradigm shift from quality control to analytical numerical quality management, providing data analysis-based prevention by barrier betterment and morphology and practice enhancement and advancing an innovative real-time mitigation measure. To complex project time management, ToF contributes the falsification of linear time management modeling such as CPM and the redirecting of project management to the good-practice time management Via Trita.
As a contribution to research, ToF offers a concise theoretical framework and methodology for complex infrastructure analysis without modeling intermediacy. Modeling was used here for the presentation: digital signal processing to present the effects of time, recurrence (fft), and information overload through convolution and filters; numerical experiments to explain ripple effects and the predicament of avalanches in the absence of correction; the role of QC in info-systems was developed through DSP; and the human influences presented by network modeling suggesting morphogenic effects such as triadic link severing, and bridge/hub formation. Case studies validated LN PDFs, traced avalanches, generated power functions in multiple categories, and visualized the IC and recurrent formations by fft; Case study datasets were used to generate networks, validate their scale-free traits, trace trajectories, coupling, and emergent phenomena, and to press the importance of the Debora factor. Theoretical concepts were related to CIS such as threshold-related scale collapse (here IC), the effects of time, and non-linear IVT-generated entropy. Ergodicity was rejected, most notably by the role of info-systems in shaping the different fates of big and small companies, by the phase change of b > 2, and by socially induced discontinuity such as in morphological changes.
Applicability: The methodology is universally applicable; it was applied to various fields: BIM design, construction management, electrical power supply systems’ blackout analysis, hazardous building identification, drainage system operation layout and correction, and HVAC maintenance.
Future research is directed at two avenues: First, to the study of phase–entropy correlations using non-linear entropy. Second, to research the automation of analysis by AI.

Author Contributions

Conceptualization, N.Y. and I.M.S.; methodology, I.M.S.; software, N.Y.; validation, N.Y.; investigation, N.Y.; resources, Sagie. I.M.S.; data curation, N.Y.; writing—original draft preparation, N.Y.; review I.M.S.; supervision, I.M.S. All authors have read and agreed to the published version of the manuscript.

Funding

This research was funded by Sagie J.A. Engineering and Construction LTD 51-040-128-4.

Institutional Review Board Statement

Not applicable.

Informed Consent Statement

Not applicable.

Data Availability Statement

Due to privacy issues, for case study data please contact the corresponding author.

Acknowledgments

The authors express their gratitude to SAGIE J.A. for its generous support.

Conflicts of Interest

The authors declare no conflicts of interest.

References

  1. Monod, J. Chance and Necessity: An Essay on the Natural Philosophy of Modern Biology; Vintage Books: New York, NY, USA, 1971; ISBN 0394718259. [Google Scholar]
  2. Mesarovic, M.D.; Takahara, Y. General Systems Theory: Mathematical Foundations; Academic Press: Cambridge, MA, USA, 1975. [Google Scholar]
  3. Agmon, N.; Kordova, S.; Shoval, S. Global quality management system (G-QMS) in systems of systems (SoS)—Aspects of definition, structure and model. Systems 2022, 10, 99. [Google Scholar] [CrossRef]
  4. Reason, J. Understanding adverse events: Human factors. BMJ Qual. Saf. 1995, 4, 80–89. [Google Scholar] [CrossRef] [PubMed]
  5. Pichler, F. On Modeling Complex Systems by Means of System Theory. In International Conference on Computer Aided Systems Theory; Part of the book series: Lecture Notes in Computer Science ((LNCS,volume 13789)); Springer Nature: Cham, Switzerland, 2022; pp. 629–634. [Google Scholar] [CrossRef]
  6. Darren, G.; Smith, S.; Dunlop, P. Lognormal distribution provides an optimum representation of the concrete delivery and placement process. J. Constr. Eng. Manag. 2005, 131, 230–238. [Google Scholar] [CrossRef]
  7. Horvath, W.J. Applicability of the lognormal distribution to servicing times in congestion problems. Oper. Res. 1959, 7, 126–128. [Google Scholar] [CrossRef]
  8. Liu, Z.; Zhang, X.; Ru, X.; Gao, T.; Moore, J.M.; Yan, G. Early predictor for the onset of critical transitions in networked dynamical systems. Phys. Rev. X 2024, 14, 031009. [Google Scholar] [CrossRef]
  9. Yonat, N. Shohet CPM Stability in Complex Projects and Systems. Engrxiv 2022. [CrossRef]
  10. Senekal, B. Carrying Von Bertalanffy’s baton: Systems, complexity and network science, Part 1. Ensovoort 2021, 42, 5. [Google Scholar]
  11. Nachbagauer, A.G.; Schirl-Boeck, I. Managing the unexpected in megaprojects: Riding the waves of resilience. Int. J. Manag. Proj. Bus. 2019, 12, 694–715. [Google Scholar] [CrossRef]
  12. Brooks, R.A. Intelligence without representation. Artif. Intell. 1991, 47, 139–159. [Google Scholar] [CrossRef]
  13. Lopez, R.; Love, P.E.; Edwards, D.J.; Davis, P.R. Design error classification, causation, and prevention in construction engineering. J. Perform. Constr. Facil. 2010, 24, 399–408. [Google Scholar] [CrossRef]
  14. Flyvbjerg, B.; Skamris, H.; Mette, K.; Buhl, S.L. How common and how large are cost overruns in transport infrastructure projects? Transp. Rev. 2003, 23, 71–88. [Google Scholar] [CrossRef]
  15. Selcuk, O.; Turkoglu, H.; Polat, G.; Hajdu, M. An integrative literature review on the causes of delays in construction projects: Evidence from developing countries. Int. J. Constr. Manag. 2024, 24, 610–622. [Google Scholar] [CrossRef]
  16. Broncano, B.; Vega, E. A taxonomy of types of epistemic dependence: Introduction to the Synthese special issue on epistemic dependence. Synthese 2019, 197, 2745–2763. [Google Scholar] [CrossRef]
  17. Bagdiya, N.V.; Wadalkar, S. Review paper on construction defects. IOSR J. Mech. Civ. Eng. 2015, 12, 88–91. [Google Scholar]
  18. Streufert, S.C. Effects of information relevance on decision making in complex environments. Mem. Cogn. 1973, 1, 224–228. [Google Scholar] [CrossRef]
  19. Haksever, A.M. A model to predict the occurrence of information overload of project managers. In Proceedings of the International Conference on Construction Information, Reykjavik, Iceland, 28–30 June 2000; Volume 13. [Google Scholar]
  20. Aljassmi, H.; Han, S.; Davis, S. Project pathogens network: New approach to analyzing construction-defects-generation mechanisms. J. Constr. Eng. Manag. 2014, 140, 04013028. [Google Scholar] [CrossRef]
  21. Pinto, J.K.; Mantel, S.J. The causes of project failure. IEEE Trans. Eng. Manag. 1990, 37, 269–276. [Google Scholar] [CrossRef]
  22. Rokooei, S. Building Information Modeling in Project Management: Necessities, Challenges and Outcomes. Procedia Soc. Behav. Sci. 2015, 210, 87–95. [Google Scholar] [CrossRef]
  23. Newman, M.; Sneppen, K. Avalanches, scaling, and coherent noise. Phys. Rev. E 1996, 54, 6226. [Google Scholar] [CrossRef]
  24. Willems, J.C. Dissipative dynamical systems. Eur. J. Control 2007, 13, 134–151. [Google Scholar] [CrossRef]
  25. Sieniutycz, S. Complexity and Complex Thermo-Economic Systems; Elsevier: Amsterdam, The Netherlands, 2019. [Google Scholar]
  26. Chen, L.; Whyte, J. Understanding design change propagation in complex engineering systems using a digital twin and design structure matrix. Eng. Constr. Arch. Manag. 2022, 29, 2950–2975. [Google Scholar] [CrossRef]
  27. Albert, R.; Barabasi, A. Statistical mechanics of complex networks. Rev. Mod. Phys. 2001, 74, 47–97. [Google Scholar] [CrossRef]
  28. Maugine, G. The Thermonechrnics of Nonlinear Irreversible Behrviors an Introduction; World Scientific Publishing Co. Pte. Ltd.: Singapore, 1999. [Google Scholar]
  29. Karmeshu. Entropy Measures, Maximum Entropy Principle and Emerging Applications; Part of the book series: Studies in Fuzziness and Soft Computing ((STUDFUZZ,volume 119)); Springer: Berlin/Heidelberg, Germany, 2003. [Google Scholar] [CrossRef]
  30. Sun, W.; Tang, M.; Zhang, L.; Huo, Z.; Shu, L. A survey of using swarm intelligence algorithms in IoT. Sensors 2020, 20, 1420. [Google Scholar] [CrossRef] [PubMed]
  31. Hare, W. Socratic open-mindedness. Philosophical Inquiry in Education. J. Can. Philos. Educ. Soc. 2009, 18, 5–16. [Google Scholar] [CrossRef]
  32. Müller, R.; Jugdev, K. Critical success factors in projects: Pinto, Slevin, and Prescott-the elucidation of project success. Int. J. Manag. Proj. Bus. 2012, 5, 757–775. [Google Scholar] [CrossRef]
  33. Pinto, J.K.; Slevin, D.P. Critical factors in successful project implementation. IEEE Trans. Eng. Manag. 1987, 1, 22–27. [Google Scholar] [CrossRef]
  34. Ayub, M. Pedestrian Bridge Collapse Over SW 8th Street Miami, Florida March 15, 2018; NTSB: Washington, DC, USA, 2019; 152p. Available online: https://www.ntsb.gov/investigations/AccidentReports/Reports/HAR1902.pdf (accessed on 10 August 2024).
  35. Tabilo Alvarez, J.; Ramírez-Correa, P. A brief review of systems, cybernetics, and complexity. Complexity 2023, 2023, 8205320. [Google Scholar] [CrossRef]
  36. Yonat, N.; Isaac, S.; Shohet, I.M. Complex infrastructure systems analysis and management: The theory of faults. Smart Sustain. Built Environ. 2023. [Google Scholar] [CrossRef]
  37. Yonat, N.; Shohet, I.M. Digital Design Quality Management: The Theory of Faults. Buildings 2024, 14, 2921. [Google Scholar] [CrossRef]
  38. Von Neumann, J. The general and logical theory of automata. In Systems Research for Behavioral Science; Routledge: Abingdon, UK, 2017. [Google Scholar]
  39. Dehmer, M.; Mowshowitz, A. A history of graph entropy measures. Inf. Sci. 2011, 181, 57–78. [Google Scholar] [CrossRef]
  40. Heron, J.; Reason, P. A participatory inquiry paradigm. Qual. Inq. 1997, 3, 274–294. [Google Scholar] [CrossRef]
  41. Sadat, H.; Thomas, N. An integrated approach to investigate the causes of time delays and cost overruns in Afghanistan construction projects. Int. J. Constr. Manag. 2024, 1–11. [Google Scholar] [CrossRef]
  42. Easley, D.; Kleinberg, J. Networks, Crowds, and Markets: Reasoning about a Highly Connected World; Cambridge University Press: Cambridge, UK, 2010. [Google Scholar]
  43. Cerezo-Narváez, A.; Pastor-Fernández, A.; Otero-Mateo, M.; Ballesteros-Pérez, P. The influence of knowledge on managing risk for the success in complex construction projects: The IPMA approach. Sustainability 2022, 14, 9711. [Google Scholar] [CrossRef]
  44. Reason, J. The contribution of latent human failures to the breakdown of complex systems. Philos. Trans. R. Soc. London. B Biol. Sci. 1990, 327, 475–484. [Google Scholar]
  45. Newman, M. Power laws, Pareto distributions and Zipf’s law. Contemp. Phys. 2005, 46, 323–351. [Google Scholar] [CrossRef]
  46. Miller, G. Some effects of intermittent silence. Am. J. Psychol. 1957, 70, 311–314. [Google Scholar] [CrossRef]
  47. Martyushev, L.M. Maximum entropy production principle: History and current status. Phys. -Uspekhi 2021, 64, 558. [Google Scholar] [CrossRef]
  48. Love, P.E.; Lopez, R.; Edwards, D.J.; Goh, Y.M. Error begat error: Design error analysis and prevention in social infrastructure projects. Accid. Anal. Prev. 2012, 48, 100–110. [Google Scholar] [CrossRef]
  49. Barabási, A.; Albert, R. Emergence of scaling in random networks. Rev. Mod. Phys. 1999, 286, 509–512. [Google Scholar] [CrossRef]
  50. Dehmer, M. A novel method for measuring the structural information content of networks. Cybern. Syst. Int. J. 2008, 39, 825–842. [Google Scholar] [CrossRef]
  51. Fabila-Carrasco, J.S.; Tan, C.; Escudero, J. Permutation entropy for graph signals. IEEE Trans. Signal Inf. Process. Over Netw. 2022, 8, 288–300. [Google Scholar] [CrossRef]
  52. Lebon, G.; Jou, D.; Casas-Vázquez, J. Understanding Non-Equilibrium Thermodynamics; Springer: Berlin/Heidelberg, Germany, 2008. [Google Scholar]
  53. Hanel, R.; Thurner, S. When do generalized entropies apply? How phase space volume determines entropy. Europhys. Lett. 2011, 96, 50003. [Google Scholar]
  54. Tsallis, C. Beyond Boltzmann–Gibbs–Shannon in physics and elsewhere. Entropy 2019, 21, 696. [Google Scholar] [CrossRef] [PubMed]
  55. Freeman, D. Z Transform- MIT 6.003 Signals and Systems, Fall 2011. Open Course Ware MIT 2011, UTUBE, 15. [Google Scholar]
  56. Hosny, A.; Nik-Bakht, M.; Moselhi, O. Workspace planning in construction: Non-deterministic factors. Autom. Constr. 2020, 116, 103222. [Google Scholar] [CrossRef]
  57. Trigo, T. Numerical Signal Processing, pre ed.; TAU University SCE college: Tel Aviv, Israel, 2019; p. 184. [Google Scholar]
  58. Ballesteros-Pérez, P.; Elamrousy, K.M.; González-Cruz, M.C. Non-linear time-cost trade-off models of activity crashing: Application to construction scheduling and project compression with fast-tracking. Autom. Constr. 2019, 97, 229–240. [Google Scholar] [CrossRef]
  59. Hamann, H. Swarm Robotics: A Formal Approach; Springer: Berlin/Heidelberg, Germany, 2018. [Google Scholar]
  60. Kondepudi, D.K.; De Bari, B.; Dixon, J.A. Dissipative structures, organisms and evolution. Entropy 2020, 22, 1305. [Google Scholar] [CrossRef]
  61. Jack, R.L. Ergodicity and large deviations in physical systems with stochastic dynamics. Eur. Phys. J. B 2020, 93, 74. [Google Scholar] [CrossRef]
  62. Peters, O. The ergodicity problem in economics. Nat. Phys. 2019, 15, 1216–1221. [Google Scholar] [CrossRef]
  63. Ayub, M. February 1, 2014 Collapse of a Telecommunication Tower at the Summit Park; U.S. Department of Labor Occupational Safety and Health Administration Directorate of Construction USA: Washington, DC, USA, 2014. [Google Scholar]
  64. Strogatz, S.H. Exploring complex networks. Nature 2001, 410, 268–276. [Google Scholar] [CrossRef]
  65. Wiley, D.A.; Strogatz, S.H.; Girvan, M. The size of the sync basin. Chaos Interdiscip. J. Nonlinear Sci. 2006, 16, 015103. [Google Scholar] [CrossRef] [PubMed]
  66. Barabási, A.; Ravasz, E.; Vicsek, T. Deterministic scale-free networks. Phys. A Stat. Mech. Its Appl. 2001, 299, 559–564. [Google Scholar] [CrossRef]
  67. Busemeyer, J.R.; Kvam, P.D.; Pleskac, T.J. Comparison of Markov versus quantum dynamical models of human decision making. Wiley Interdiscip. Rev. Cogn. Sci. 2020, 11, e1526. [Google Scholar] [CrossRef]
  68. Simon, H.A. A behavioral model of rational choice. Q. J. Econ. 1955, 69, 99–118. [Google Scholar] [CrossRef]
  69. Mills, A.; Love, P.E.; Williams, P. Defect Costs in Residential Construction. J. Constr. Eng. Manag. 2009, 135, 12–16. [Google Scholar] [CrossRef]
  70. Gidado, K.; Wood, H. An overview of complexity theory and its application to the construction industry. In Proceedings of the 24th Annual ARCOM Conference, Cardiff, UK, 1–3 September 2008; pp. 677–686. [Google Scholar]
  71. Kadanoff, L.P. Scaling and universality in statistical physics. Phys. A Stat. Mech. Its Appl. 1990, 163, 1–14. [Google Scholar] [CrossRef]
  72. Ilozor, B.D.; Okoroh, M.I.; Egbu, C.E. Understanding residential house defects in Australia from the State of Victoria. Build. Environ. 2004, 39, 327–337. [Google Scholar] [CrossRef]
  73. Abdul-Aziz, A. The realities of applying total quality management in the construction industry. Struct. Surv. 2002, 20, 88–96. [Google Scholar] [CrossRef]
  74. Love, P.E.; Teo, P.; Smith, J.; Ackermann, F.; Zhou, Y. The nature and severity of workplace injuries in construction: Engendering operational benchmarking. Ergonomics 2019, 62, 1273–1288. [Google Scholar] [CrossRef]
  75. Owen, R.; Koskela, L. An agile step forward in project management. In Proceedings of the 2nd Specialty Conference on Leadership and Management in Construction and Engineering, Grand Bahama Island, Bahamas, 4–6 May 2006; pp. 216–224. [Google Scholar]
  76. Lian, J.; Hui, G. Human evolutionary optimization algorithm. Expert Syst. Appl. 2024, 241, 122638. [Google Scholar] [CrossRef]
  77. Dawkins, R. The Blind Watchmaker: Why the Evidence of Evolution Reveals a Universe without Design; WW Norton & Company: New York, NY, USA, 1996. [Google Scholar]
  78. Nonaka, I. A dynamic theory of organizational knowledge creation. Organ. Sci. 1994, 5, 14–37. [Google Scholar] [CrossRef]
  79. Pawlowsky, P. Management science and organizational learning. Handb. Organ. Learn. Knowl. 2000, 1, 61–88. [Google Scholar]
  80. Levitt, B.; March, J.G. Organizational learning. Annu. Rev. Sociol. 1988, 14, 319–338. [Google Scholar] [CrossRef]
  81. Gomes, A.M.; Azevedo, G.; Sampaio, A.Z.; Lite, A.S. BIM in structural project: Interoperability analyses and data management. Appl. Sci. 2022, 12, 8814. [Google Scholar] [CrossRef]
  82. Polettini, M. Macroscopic constraints for the minimum entropy production principle. Phys. Rev. E Stat. Nonlinear Soft Matter Phys. 2011, 84, 051117. [Google Scholar] [CrossRef]
  83. Wilber, M.Q.; Kitzes, J.; Harte, J. Scale collapse and the emergence of the power law species–area relationship. Glob. Ecol. Biogeogr. 2015, 24, 883–895. [Google Scholar] [CrossRef]
  84. Kadanoff, L.P.; Nagel, S.R.; Wu, L.; Zhou, S. Scaling and universality in avalanches. Phys. Rev. A 1989, 39, 6524. [Google Scholar] [CrossRef]
  85. Heyligen, F. Complexity and self organization. In Encyclopedia of Information Systems and Technology, 2008th ed.; Laplante, P.A., Ed.; CRC Press: Brussels, Belgium, 2002; pp. 250–260. [Google Scholar]
  86. Wiener, N. The Human Use of Human Beings: Cybernetics and Society; Da Capo Press: Boston, MA, USA, 1988. [Google Scholar]
  87. Faraji, A.; Rashidi, M.; Meydani Haji Agha, T.; Rahnamayiezekavat, P.; Samali, B. Quality management framework for housing construction in a design-build project delivery system: A BIM-UAV approach. Buildings 2022, 12, 554. [Google Scholar] [CrossRef]
  88. Castellano-Román, M.; Garcia-Martinez, A.; Pérez López, M.L. Social housing life cycle management: Workflow for the enhancement of digital management based on building information modelling (bim). Sustainability 2022, 14, 7488. [Google Scholar] [CrossRef]
  89. Shin, M.; Jung, J.; Kim, H. Quantitative and Qualitative Analysis of Applying Building Information Modeling (BIM) for Infrastructure Design Process. Buildings 2022, 12, 1476. [Google Scholar] [CrossRef]
  90. Gómez-Cabrera, A.; Gutierrez-Bucheli, L.; Muñoz, S. Causes of time and cost overruns in construction projects: A scoping review. Int. J. Constr. Manag. 2024, 24, 1107–1125. [Google Scholar] [CrossRef]
  91. Li, T.; Li, M. An Investigation and Analysis of Information Overload in Manager’s Work. iBusiness 2011, 34, 49–52. [Google Scholar] [CrossRef][Green Version]
  92. Rosenfeld, Y. Root cause analysis of construction cost overruns. J. Constr. Eng. Manag. 2013, 140, 7862. [Google Scholar] [CrossRef]
  93. Jupp, J. 4D BIM for environmental planning and management. Procedia Eng. 2017, 180, 190–201. [Google Scholar] [CrossRef]
  94. Carlsson, H.; Van Damme, E. Global games and equilibrium selection. Econom. J. Econom. Soc. 1993, 989–1018. [Google Scholar] [CrossRef]
  95. Perkins, R.A. Sources of changes in design–build contracts for a governmental owner. J. Constr. Eng. Manag. 2009, 135, 588–593. [Google Scholar] [CrossRef]
  96. Wright, T.P. Factors Affecting the Cost of Airplanes; American Institute of Aeronautics and Astronautics (AIAA): Reston, VA, USA, 1936; pp. 122–128. [Google Scholar]
  97. Parsamehr, M.; Perera, U.S.; Dodanwala, T.C.; Perera, P.; Ruparathna, R. A review of construction management challenges and BIM-based solutions: Perspectives from the schedule, cost, quality, and safety management. Asian J. Civ. Eng. 2023, 24, 353–389. [Google Scholar] [CrossRef]
  98. Gao, X. The mathematics of the ensemble theory. Results Phys. 2022, 34, 105230. [Google Scholar] [CrossRef]
  99. Zhukov, D.S.; Kanishchev, V.V.; Lyamin, S.K. Application of the theory of self-organized criticality to the investigation of historical processes. Sage Open 2016, 6, 2158244016683216. [Google Scholar] [CrossRef]
  100. Csernoch, M.; Nagy, T.; Nagy, K.; Csernoch, J.; Hannusch, C. Human-centered digital sustainability: Handling enumerated lists in digital texts. IEEE Access 2024, 12, 30544–30561. [Google Scholar] [CrossRef]
  101. Cheng, J.C.P.; Chen, W.; Chen, K.; Wang, Q. Data-driven predictive maintenance planning framework for MEP components based on BIM and IoT using machine learning algorithms. Autom. Constr. 2020, 112, 103087. [Google Scholar] [CrossRef]
  102. Pathak, J.; Hunt, B.; Girvan, M.; Lu, Z.; Ott, E. Model-Free Prediction of Large Spatiotemporally Chaotic Systems from Data: A Reservoir Computing Approach. Phys. Rev. Lett. 2018, 120, 024102. [Google Scholar] [CrossRef] [PubMed]
  103. De Vincenzo, I.; Giannoccaro, I.; Carbone, G.; Grigolini, P. Criticality triggers the emergence of collective intelligence in groups. Phys. Rev. E 2017, 96, 022309. [Google Scholar] [CrossRef] [PubMed]
Figure 1. Fault progression through a system.
Figure 1. Fault progression through a system.
Applsci 15 00595 g001
Figure 2. PDF(X) for σ = 1, different μ .
Figure 2. PDF(X) for σ = 1, different μ .
Applsci 15 00595 g002
Figure 3. Power function generated using Equations (10) and (12) and Fun (1) for m = 50, X N = 0.52, y = a∙x−b, a = 0.86, b = 1.84.
Figure 3. Power function generated using Equations (10) and (12) and Fun (1) for m = 50, X N = 0.52, y = a∙x−b, a = 0.86, b = 1.84.
Applsci 15 00595 g003aApplsci 15 00595 g003b
Figure 4. Power function phase parameter as a function of q.
Figure 4. Power function phase parameter as a function of q.
Applsci 15 00595 g004
Figure 5. Log–log graph of power function.
Figure 5. Log–log graph of power function.
Applsci 15 00595 g005
Figure 6. Log–log graph of scaled power values, b = 1.946.
Figure 6. Log–log graph of scaled power values, b = 1.946.
Applsci 15 00595 g006
Figure 7. Information convolution in info-system. Entering signal (a), system response (b). Legend: Magnitude in % blue LN (5, 1), green LN (4.8, 1.6). Time—days.
Figure 7. Information convolution in info-system. Entering signal (a), system response (b). Legend: Magnitude in % blue LN (5, 1), green LN (4.8, 1.6). Time—days.
Applsci 15 00595 g007
Figure 8. Time effects via repetitions [“bifurcation”]. q = 0.0002 (a,b,d), q = 0.2 (c). Legend: X—number of states.
Figure 8. Time effects via repetitions [“bifurcation”]. q = 0.0002 (a,b,d), q = 0.2 (c). Legend: X—number of states.
Applsci 15 00595 g008
Figure 9. Cellular automaton, at time 15: graphical presentation (a), tabular presentation (b). Legend: Green, zero faults; yellow, up to ~104 faults; light red, ~105; red ~106.
Figure 9. Cellular automaton, at time 15: graphical presentation (a), tabular presentation (b). Legend: Green, zero faults; yellow, up to ~104 faults; light red, ~105; red ~106.
Applsci 15 00595 g009
Figure 10. A 1FB loop amplification of extreme events: the entering power function (a) and the amplification (b); 1FB loop amplification of an extreme event (c).
Figure 10. A 1FB loop amplification of extreme events: the entering power function (a) and the amplification (b); 1FB loop amplification of an extreme event (c).
Applsci 15 00595 g010
Figure 11. Information net morphology at t = 0 (a). Nodes degree distribution (b), their degree distribution power function, R2 = 0.9365. Legend: Nodes represent autonomous agents (such as designers and subcontractors). GC = general contractor, SE = structure engineer.
Figure 11. Information net morphology at t = 0 (a). Nodes degree distribution (b), their degree distribution power function, R2 = 0.9365. Legend: Nodes represent autonomous agents (such as designers and subcontractors). GC = general contractor, SE = structure engineer.
Applsci 15 00595 g011
Figure 12. Information morphology evolution after a redo order originating in a design error (a). Degree histogram (b) and degree probability distribution (R2 = 0.94) (c) and hub centrality (d).
Figure 12. Information morphology evolution after a redo order originating in a design error (a). Degree histogram (b) and degree probability distribution (R2 = 0.94) (c) and hub centrality (d).
Applsci 15 00595 g012
Figure 13. PDF for 27 projects. Legend: The histogram is the database distribution, in red the PDF.
Figure 13. PDF for 27 projects. Legend: The histogram is the database distribution, in red the PDF.
Applsci 15 00595 g013
Figure 14. Cumulative variance of 27 projects (a), accumulated by ordinal sequence of projects (b).
Figure 14. Cumulative variance of 27 projects (a), accumulated by ordinal sequence of projects (b).
Applsci 15 00595 g014
Figure 15. (a) Open rejects for three subprojects: (b) the IC marked by solid arrows and second IC marked by dashed arrows. Legend: Project “1”—civil engineering works; project “22”—systems; and project “23”—control.
Figure 15. (a) Open rejects for three subprojects: (b) the IC marked by solid arrows and second IC marked by dashed arrows. Legend: Project “1”—civil engineering works; project “22”—systems; and project “23”—control.
Applsci 15 00595 g015
Figure 16. Clockwise: (a) superposed number of faults histograms, (b) power function magnitude distribution for the whole database, confidence interval 95%, (c) segmented time to correction of faults and their S.D. analogy. Legend: Figure 3 jitter is proportional to open faults.
Figure 16. Clockwise: (a) superposed number of faults histograms, (b) power function magnitude distribution for the whole database, confidence interval 95%, (c) segmented time to correction of faults and their S.D. analogy. Legend: Figure 3 jitter is proportional to open faults.
Applsci 15 00595 g016
Figure 17. Power functions (a) for project 1 and (c) for project 19; a constant additive was omitted here. The histogram (b) pinpoints the time of avalanche in project 1 and the free Fourier transform of the project 1 error signal (d).
Figure 17. Power functions (a) for project 1 and (c) for project 19; a constant additive was omitted here. The histogram (b) pinpoints the time of avalanche in project 1 and the free Fourier transform of the project 1 error signal (d).
Applsci 15 00595 g017
Figure 18. Network with fault category at the nodes (a), successive snapshots at different stages (b,c). Legend: Fault categories at the nodes; the brown arrows portray trajectories; the numbers portray precedence.
Figure 18. Network with fault category at the nodes (a), successive snapshots at different stages (b,c). Legend: Fault categories at the nodes; the brown arrows portray trajectories; the numbers portray precedence.
Applsci 15 00595 g018
Figure 19. Scatter plot of open fault duration dates (a). Entropy trending (b). Legend: Timeline in months, entropy in Nats.
Figure 19. Scatter plot of open fault duration dates (a). Entropy trending (b). Legend: Timeline in months, entropy in Nats.
Applsci 15 00595 g019
Table 2. The 2FB loop random iterations.
Table 2. The 2FB loop random iterations.
Fault Vector
Time12345Total
00.00130.0070.02970.00130.01350.0465
10.00790.00120.03020.2530.01590.3082
20.01420.00270.06050.25670.07170.4058
30.02330.00730.09150.51410.08880.725
40.04310.01130.155770.78430.16251.15697
Disclaimer/Publisher’s Note: The statements, opinions and data contained in all publications are solely those of the individual author(s) and contributor(s) and not of MDPI and/or the editor(s). MDPI and/or the editor(s) disclaim responsibility for any injury to people or property resulting from any ideas, methods, instructions or products referred to in the content.

Share and Cite

MDPI and ACS Style

Yonat, N.; Shohet, I.M. Theory of Faults (ToF): Numerical Quality Management in Complex Systems. Appl. Sci. 2025, 15, 595. https://doi.org/10.3390/app15020595

AMA Style

Yonat N, Shohet IM. Theory of Faults (ToF): Numerical Quality Management in Complex Systems. Applied Sciences. 2025; 15(2):595. https://doi.org/10.3390/app15020595

Chicago/Turabian Style

Yonat, Niv, and Igal M. Shohet. 2025. "Theory of Faults (ToF): Numerical Quality Management in Complex Systems" Applied Sciences 15, no. 2: 595. https://doi.org/10.3390/app15020595

APA Style

Yonat, N., & Shohet, I. M. (2025). Theory of Faults (ToF): Numerical Quality Management in Complex Systems. Applied Sciences, 15(2), 595. https://doi.org/10.3390/app15020595

Note that from the first issue of 2016, this journal uses article numbers instead of page numbers. See further details here.

Article Metrics

Back to TopTop