Comparative Effects of Movement-Pattern-Oriented and Isometric Training on Neuromechanical Performance in Track and Field Athletes
Abstract
1. Introduction
2. Materials and Methods
2.1. Study Design
2.2. Participants
2.3. Training Protocol
2.3.1. ISO Group–Isometric Strength Protocol
- Hip Iso-Push (Supine Hip Extension)
- 2.
- Split-Squat Iso-Push (Isometric Lunge Position)
- 3.
- Ankle Iso-Push (Heel-Raised Plantarflexion)
2.3.2. MPT Group—Dynamic Pattern-Matched Protocol
- Knee-Dominant Exercise
- 2.
- Hip-Dominant Exercise (Single-Leg Dynamic Hip Thrust with Overhead Press)
- 3.
- Ankle-Dominant Exercise—Split-Stance Calf Power Hop with Overhead Press
Warm-Up Protocol
Performance Assessment
Justification of Selected Variables for Jump Performance Assessment
- Jump Height (cm): Calculated via the impulse–momentum method from vertical force–time data, this variable represents a validated indicator of explosive lower-limb power and overall jump performance.
- CMJ Stiffness (N/m): Quantifies the stiffness of the muscle–tendon complex during the eccentric loading phase. Higher stiffness reflects greater elastic energy storage and return, contributing to an efficient stretch–shortening cycle (SSC) function.
- Peak Power (W): The maximal instantaneous power output achieved during the concentric phase. This variable integrates both force and velocity, reflecting an athlete’s ability to produce explosive mechanical work.
- Peak Power/Body Mass (W/kg): Peak power normalized to body mass, allowing interindividual comparisons by accounting for differences in body size. It is a sensitive indicator of relative power.
- Concentric Peak Force (N): The highest vertical force recorded during the concentric phase, representing the maximal capacity of the neuromuscular system to generate force against the ground.
- Concentric Peak Force/Body Mass (N/kg): Absolute concentric peak force expressed relative to body mass. This normalization enables a fair comparison between athletes of different body sizes.
- Force at Zero Velocity (N): The vertical force measured at the instant when the upward velocity equals zero, representing the isometric transition point from eccentric to concentric contraction. This is critical for evaluating propulsion potential.
- Contraction Time (ms): The total duration from movement initiation to take-off. Shorter contraction times indicate more rapid force generation and enhanced neuromuscular efficiency.
- Braking Phase Duration/Contraction Time (%): The proportion of the total contraction time occupied by the eccentric braking phase. Lower ratios reflect a faster transition into propulsion, which is advantageous for the SSC efficiency.
- Concentric RFD (N/s): The slope of the force–time curve during the concentric phase, indicating the rate of force development. This variable is strongly linked to explosive strength and neural activity.
- Concentric RFD/Body Mass (N/s/kg): Rate of force development expressed relative to body mass, providing a normalized index of explosive capacity independent of body size.
- Concentric RFD at 50 ms (N/s): Early-phase RFD, largely determined by neural factors such as motor unit recruitment speed and firing frequency.
- Concentric RFD at 100 ms (N/s): Intermediate-phase RFD reflecting both neural and muscular contributions to force generation.
- Concentric RFD at 200 ms (N/s): Late-phase RFD, increasingly influenced by muscular contractile properties and tendon stiffness.
- Concentric Impulse (Ns): The total force-time integral during the concentric phase, reflecting the capacity to generate upward momentum and take-off velocity.
- Concentric Impulse/Body Mass (Ns/kg): Concentric impulse normalized to body mass, facilitating comparisons between athletes of different sizes.
- Eccentric Braking Impulse (Ns): The impulse generated during the braking phase of the downward movement, quantifying the athlete’s ability to absorb and control eccentric loading.
- Eccentric Deceleration Impulse (Ns): This reflects the impulse accumulated during the terminal deceleration phase, which is critical for optimizing the eccentric–concentric transition.
- Eccentric Unloading Impulse (Ns): Captures the reduction in force immediately preceding the downward movement, indicative of neuromuscular control at movement initiation.
- Eccentric-to-Concentric Mean Force Ratio (%): The ratio of the mean eccentric to concentric force. Higher values indicate effective transfer of eccentric loading to concentric propulsion, which is a hallmark of efficient SSC utilization.
Statistical Analysis
3. Results
3.1. Subsection
3.1.1. Neuromuscular Performance Variables: Jump Performance and Stiffness, Eccentric Control and Force Ratios
3.1.2. Neuromuscular Performance Outcomes: Force and Power Outputs, Impulse and Timing Variables
3.1.3. Rate of Force Development (RFD)
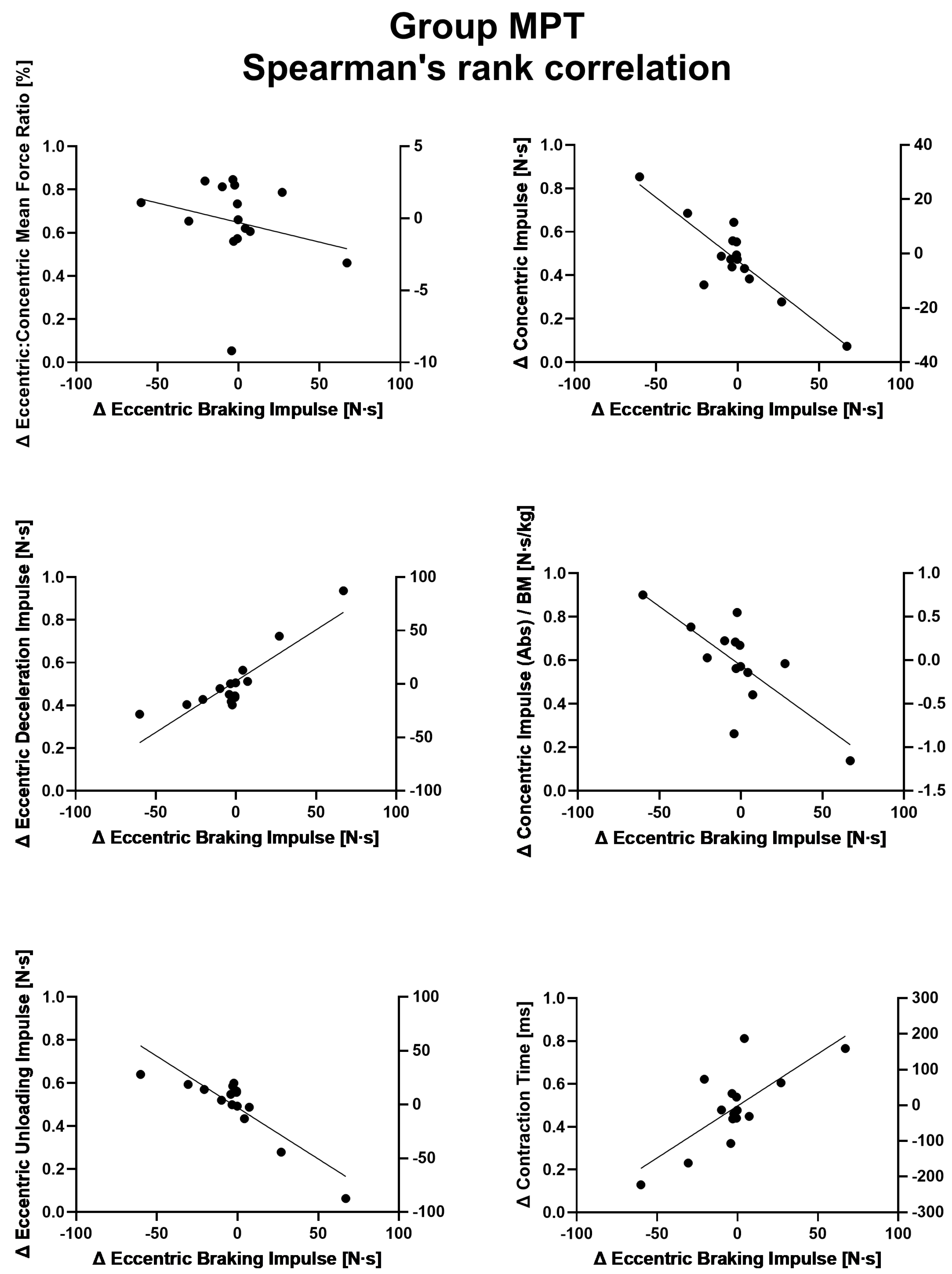
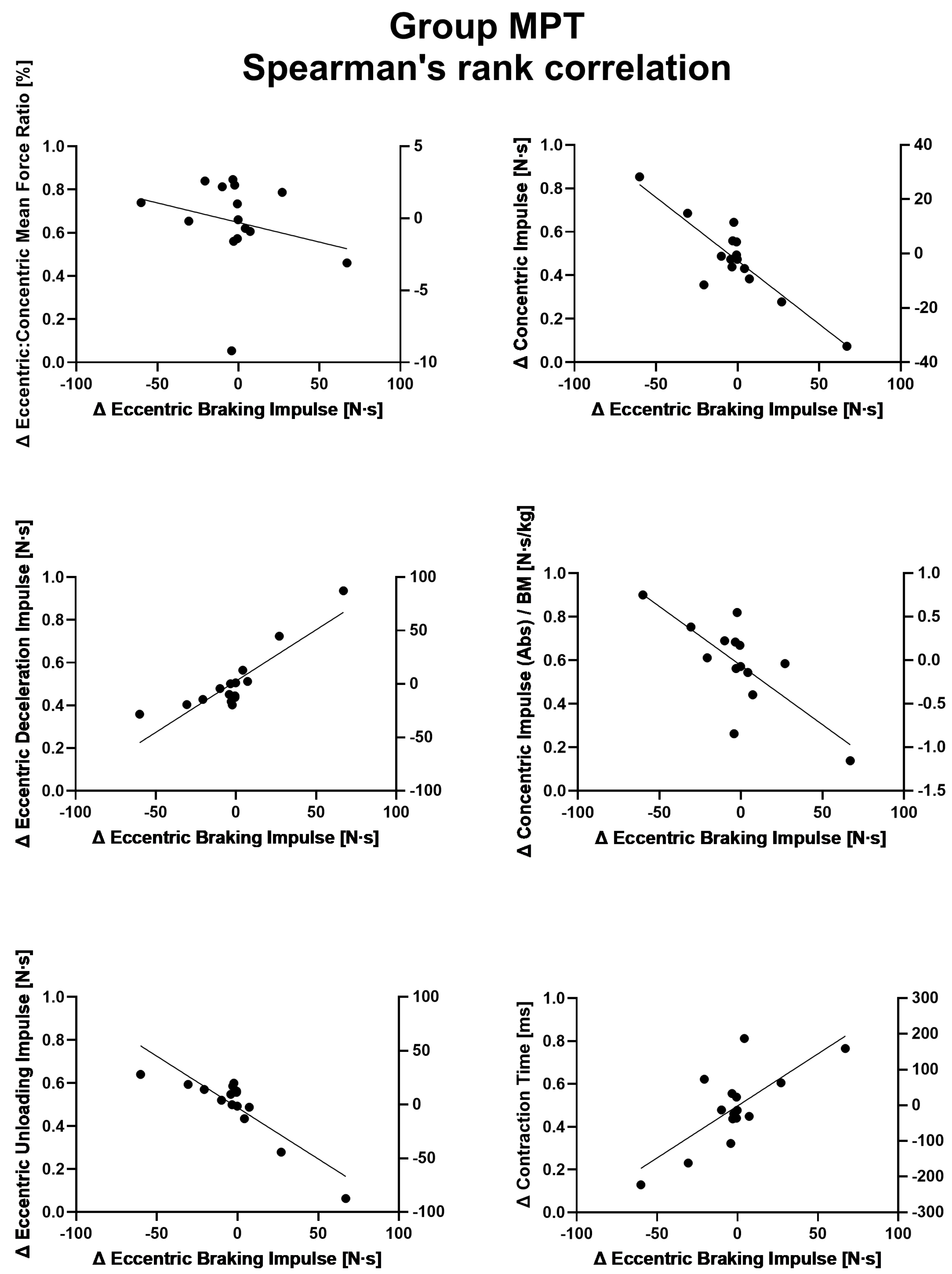
3.1.4. Correlation Findings
4. Discussion
5. Conclusions
5.1. Practical Implications
5.2. Future Research Directions
Author Contributions
Funding
Institutional Review Board Statement
Informed Consent Statement
Data Availability Statement
Conflicts of Interest
Abbreviations
| MPT | Movement Patterns Training |
| ITG | Isometric Training Group |
| CMJ | Countermovement Jump |
References
- Furrer, R.; Hawley, J.A.; Handschin, C. The molecular athlete: Exercise physiology from mechanisms to medals. Physiol. Rev. 2023, 103, 1693–1787. [Google Scholar] [CrossRef]
- Jiménez-Reyes, P.; Casado, A.; González, J.E.; Rodríguez-Fernández, C. Influence of Hurdling Clearance on Sprint Mechanical Properties in High-Level Athletes. J. Strength Cond. Res. 2022, 36, 827–831. [Google Scholar] [CrossRef]
- Stone, M.H.; Hornsby, W.G.; Suarez, D.G.; Duca, M.; Pierce, K.C. Training Specificity for Athletes: Emphasis on Strength-Power Training: A Narrative Review. J. Funct. Morphol. Kinesiol. 2022, 7, 102. [Google Scholar] [CrossRef]
- Šuc, A.; Šarko, P.; Pleša, J.; Kozinc, Ž. Resistance Exercise for Improving Running Economy and Running Biomechanics and Decreasing Running-Related Injury Risk: A Narrative Review. Sports 2022, 10, 98. [Google Scholar] [CrossRef]
- Oranchuk, D.J.; Storey, A.G.; Nelson, A.R.; Cronin, J.B. Isometric training and long-term adaptations: Effects of muscle length, intensity, and intent: A systematic review. Scand. J. Med. Sci. Sports 2019, 29, 484–503. [Google Scholar] [CrossRef] [PubMed]
- Widodo, A.F.; Tien, C.W.; Chen, C.W.; Lai, S.C. Isotonic and Isometric Exercise Interventions Improve the Hamstring Muscles’ Strength and Flexibility: A Narrative Review. Healthcare 2022, 10, 811. [Google Scholar] [CrossRef]
- Ríos Riquelme, M.; Denche-Zamorano, Á.; Salas-Gómez, D.; Castillo-Paredes, A.; Ferrari, G.; Marín-Guajardo, C.; Loro-Ferrer, J.F. Trends and Scientific Production on Isometric Training: A Bibliometric Analysis. Sports 2025, 13, 145. [Google Scholar] [CrossRef] [PubMed]
- Maffiuletti, N.A.; Aagaard, P.; Blazevich, A.J.; Folland, J.; Tillin, N.; Duchateau, J. Rate of force development: Physiological and methodological considerations. Eur. J. Appl. Physiol. 2016, 116, 1091–1116. [Google Scholar] [CrossRef]
- Lum, D.; Barbosa, T.M. Brief Review: Effects of Isometric Strength Training on Strength and Dynamic Performance. Int. J. Sports Med. 2019, 40, 363–375. [Google Scholar] [CrossRef] [PubMed]
- Williams, M.D.; Ramirez-Campillo, R.; Chaabene, H.; Moran, J. Neuromuscular Training and Motor Control in Youth Athletes: A Meta-Analysis. Percept. Mot. Skills 2021, 128, 1975–1997. [Google Scholar] [CrossRef]
- Hu, W.; Xiao, X.; Fu, Z.; Xie, D.; Tan, T.; Maybank, S. A system for learning statistical motion patterns. IEEE Trans. Pattern Anal. Mach. Intell. 2006, 28, 1450–1464. [Google Scholar] [CrossRef]
- Bright, T.E.; Handford, M.J.; Mundy, P.; Lake, J.; Theis, N.; Hughes, J.D. Building for the Future: A Systematic Review of the Effects of Eccentric Resistance Training on Measures of Physical Performance in Youth Athletes. Sports Med. 2023, 53, 1219–1254. [Google Scholar] [CrossRef]
- Harper, D.J.; McBurnie, A.J.; Santos, T.D.; Eriksrud, O.; Evans, M.; Cohen, D.D.; Rhodes, D.; Carling, C.; Kiely, J. Biomechanical and Neuromuscular Performance Requirements of Horizontal Deceleration: A Review with Implications for Random Intermittent Multi-Directional Sports. Sports Med. 2022, 52, 2321–2354. [Google Scholar] [CrossRef] [PubMed]
- Aagaard, P.; Simonsen, E.B.; Andersen, J.L.; Magnusson, P.; Dyhre-Poulsen, P. Increased rate of force development and neural drive of human skeletal muscle following resistance training. J. Appl. Physiol. 2002, 93, 1318–1326. [Google Scholar] [CrossRef]
- Morin, J.B.; Samozino, P. Interpreting Power-Force-Velocity Profiles for Individualized and Specific Training. Int. J. Sports Physiol. Perform. 2016, 11, 267–272. [Google Scholar] [CrossRef]
- Suchomel, T.J.; Nimphius, S.; Stone, M.H. The Importance of Muscular Strength in Athletic Performance. Sports Med. 2016, 46, 1419–1449. [Google Scholar] [CrossRef]
- Schmidt, D.; Verderber, L.; Germano, A.M.C.; Nitzsche, N. Correlations Between Achilles Tendon Stiffness and Jumping Performance: A Comparative Study of Soccer and Basketball Athletes. J. Funct. Morphol. Kinesiol. 2025, 10, 112. [Google Scholar] [CrossRef] [PubMed]
- Hoffman, B.W.; Raiteri, B.J.; Connick, M.J.; Beckman, E.M.; Macaro, A.; Kelly, V.G.; James, L.P. Altered countermovement jump force profile and muscle-tendon unit kinematics following combined ballistic training. Scand. J. Med. Sci. Sports 2022, 32, 1464–1476. [Google Scholar] [CrossRef]
- Chang, C.C.; Chiang, C.Y. Using the Countermovement Jump Metrics to Assess Dynamic Eccentric Strength: A Preliminary Study. Int. J. Environ. Res. Public Health 2022, 19, 16176. [Google Scholar] [CrossRef] [PubMed]
- Buckthorpe, M.; Roi, G.S. The time has come to incorporate a greater focus on rate of force development training in the sports injury rehabilitation process. Muscles Ligaments Tendons J. 2018, 7, 435–441. [Google Scholar] [CrossRef]
- Loturco, I.; Kobal, R.; Kitamura, K.; Fernandes, V.; Moura, N.; Siqueira, F.; Cal Abad, C.C.; Pereira, L.A. Predictive Factors of Elite Sprint Performance: Influences of Muscle Mechanical Properties and Functional Parameters. J. Strength Cond. Res. 2019, 33, 974–986. [Google Scholar] [CrossRef] [PubMed]
- Badby, A.J.; Ripley, N.J.; McMahon, J.J.; Mundy, P.D.; Comfort, P. Scoping review of methods of monitoring acute changes in lower body neuromuscular function via force plates. PLoS ONE 2025, 20, e0322820. [Google Scholar] [CrossRef]
- Nishiumi, D.; Nishioka, T.; Saito, H.; Kurokawa, T.; Hirose, N. Associations of eccentric force variables during jumping and eccentric lower-limb strength with vertical jump performance: A systematic review. PLoS ONE 2023, 18, e0289631. [Google Scholar] [CrossRef] [PubMed]
- Jones, T.W.; Howatson, G.; Russell, M.; French, D.N. Performance and neuromuscular adaptations following differing ratios of concurrent strength and endurance training. J. Strength Cond. Res. 2013, 27, 3342–3351. [Google Scholar] [CrossRef] [PubMed]
- Aslam, S.; Habyarimana, J.D.; Bin, S.Y. Neuromuscular adaptations to resistance training in elite versus recreational athletes. Front. Physiol. 2025, 16, 1598149. [Google Scholar] [CrossRef]
- Van Hooren, B.; Aagaard, P.; Blazevich, A.J. Optimizing Resistance Training for Sprint and Endurance Athletes: Balancing Positive and Negative Adaptations. Sports Med. 2024, 54, 3019–3050. [Google Scholar] [CrossRef]
- Krzysztofik, M.; Kalinowski, R.; Trybulski, R.; Filip-Stachnik, A.; Stastny, P. Enhancement of Countermovement Jump Performance Using a Heavy Load with Velocity-Loss Repetition Control in Female Volleyball Players. Int. J. Environ. Res. Public Health 2021, 18, 11530. [Google Scholar] [CrossRef]
- Cormie, P.; McGuigan, M.R.; Newton, R.U. Developing maximal neuromuscular power: Part 1—Biological basis of maximal power production. Sports Med. 2011, 41, 17–38. [Google Scholar] [CrossRef]
- Kuitunen, S.; Komi, P.V.; Kyröläinen, H. Knee and ankle joint stiffness in sprint running. Med. Sci. Sports Exerc. 2002, 34, 166–173. [Google Scholar] [CrossRef]
- Li, Y.; Guo, Q.; Shao, J.; Gan, Y.; Zhao, Y.; Zhou, Y. Neuromuscular factors predicting lower limb explosive strength in male college sprinters. Front. Physiol. 2025, 15, 1498811. [Google Scholar] [CrossRef]
- Haugen, T.; Seiler, S.; Sandbakk, Ø.; Tønnessen, E. The Training and Development of Elite Sprint Performance: An Integration of Scientific and Best Practice Literature. Sports Med. Open 2019, 5, 44. [Google Scholar] [CrossRef]
- Walker, S.; Blazevich, A.J.; Haff, G.G.; Tufano, J.J.; Newton, R.U.; Häkkinen, K. Greater Strength Gains after Training with Accentuated Eccentric than Traditional Isoinertial Loads in Already Strength-Trained Men. Front. Physiol. 2016, 7, 149. [Google Scholar] [CrossRef] [PubMed]
- Behm, D.G.; Sale, D.G. Intended rather than actual movement velocity determines velocity-specific training response. J. Appl. Physiol. 1993, 74, 359–368. [Google Scholar] [CrossRef] [PubMed]
- Hedayatpour, N.; Falla, D. Physiological and Neural Adaptations to Eccentric Exercise: Mechanisms and Considerations for Training. Biomed. Res. Int. 2015, 2015, 193741. [Google Scholar] [CrossRef]
- Townsend, J.R.; Bender, D.; Vantrease, W.C.; Hudy, J.; Huet, K.; Williamson, C.; Bechke, E.; Serafini, P.; Mangine, G. Isometric Midthigh Pull Performance Is Associated With Athletic Performance and Sprinting Kinetics in Division I Men and Women’s Basketball Players. J. Strength Cond. Res. 2019, 33, 2665–2673, Erratum in J. Strength Cond. Res. 2020, 34, e274–e275. [Google Scholar] [CrossRef] [PubMed]
- Oleksy, Ł.; Mika, A.; Kuchciak, M.; Stolarczyk, A.; Adamska, O.; Szczudło, M.; Kielnar, R.; Wolański, P.; Deszczyński, J.M.; Reichert, P. Relationship between Countermovement Jump and Sprint Performance in Professional Football Players. J. Clin. Med. 2024, 13, 4581. [Google Scholar] [CrossRef]
- Martínez-Valencia, M.; Romero-Arenas, S.; Elvira, J.; González-Ravé, J.; Navarro-Valdivielso, F.; Alcaraz, P. Effects of Sled Towing on Peak Force, the Rate of Force Development and Sprint Performance During the Acceleration Phase. J. Hum. Kinet. 2015, 46, 139–148. [Google Scholar] [CrossRef]
- Alba-Jiménez, C.; Moreno-Doutres, D.; Peña, J. Trends Assessing Neuromuscular Fatigue in Team Sports: A Narrative Review. Sports 2022, 10, 33. [Google Scholar] [CrossRef]
- Kubo, K.; Morimoto, M.; Komuro, T.; Yata, H.; Tsunoda, N.; Kanehisa, H.; Fukunaga, T. Effects of plyometric and weight training on muscle-tendon complex and jump performance. Med. Sci. Sports Exerc. 2007, 39, 1801–1810. [Google Scholar] [CrossRef]
- Meeusen, R.; Duclos, M.; Foster, C.; Fry, A.; Gleeson, M.; Nieman, D.; Raglin, J.; Rietjens, G.; Steinacker, J.; Urhausen, A.; et al. Prevention, diagnosis, and treatment of the overtraining syndrome: Joint consensus statement of the European College of Sport Science and the American College of Sports Medicine. Med. Sci. Sports Exerc. 2013, 45, 186–205. [Google Scholar] [CrossRef]
- Silva, J.R.; Nassis, G.P.; Rebelo, A. Strength training in soccer with a specific focus on highly trained players. Sports Med. Open 2015, 1, 17. [Google Scholar] [CrossRef] [PubMed]
- Malisoux, L.; Francaux, M.; Nielens, H.; Theisen, D. Stretch-shortening cycle exercises: An effective training paradigm to enhance power output of human single muscle fibers. J. Appl. Physiol. 2006, 100, 771–779. [Google Scholar] [CrossRef]
- Hibbert, O.; Cheong, K.; Grant, A.; Beers, A.; Moizumi, T. A systematic review of the effectiveness of eccentric strength training in the prevention of hamstring muscle strains in otherwise healthy individuals. N. Am. J. Sports Phys. Ther. 2008, 3, 67–81. [Google Scholar]
- Claudino, J.G.; Cardoso Filho, C.A.; Bittencourt, N.F.N.; Gonçalves, L.G.; Couto, C.R.; Quintão, R.C.; Reis, G.F.; de Oliveira Júnior, O.; Amadio, A.C.; Boullosa, D.; et al. Eccentric Strength Assessment of Hamstring Muscles with New Technologies: A Systematic Review of Current Methods and Clinical Implications. Sports Med. Open 2021, 7, 10. [Google Scholar] [CrossRef]
- Rhodes, D.; Alexander, J.; Morgans, R.; Beere, M. Does the Eccentric Strength Profile of the Hamstrings Determine the Severity of Injury Sustained? Int. J. Sports Phys. Ther. 2025, 20, 1142–1151. [Google Scholar] [CrossRef]
- Lepley, L.K.; Butterfield, T.A. Shifting the Current Clinical Perspective: Isolated Eccentric Exercise as an Effective Intervention to Promote the Recovery of Muscle After Injury. J. Sport Rehabil. 2017, 26, 122–130. [Google Scholar] [CrossRef] [PubMed]
- Harris-Love, M.O.; Gollie, J.M.; Keogh, J.W.L. Eccentric Exercise: Adaptations and Applications for Health and Performance. J. Funct. Morphol. Kinesiol. 2021, 6, 96. [Google Scholar] [CrossRef]
- Elgueta-Cancino, E.; Evans, E.; Martinez-Valdes, E.; Falla, D. The Effect of Resistance Training on Motor Unit Firing Properties: A Systematic Review and Meta-Analysis. Front. Physiol. 2022, 13, 817631. [Google Scholar] [CrossRef]
- Del Vecchio, A.; Casolo, A.; Dideriksen, J.L.; Aagaard, P.; Felici, F.; Falla, D.; Farina, D. Lack of increased rate of force development after strength training is explained by specific neural, not muscular, motor unit adaptations. J. Appl. Physiol. 2022, 132, 84–94. [Google Scholar] [CrossRef]
- Rong, W.; Geok, S.K.; Samsudin, S.; Zhao, Y.; Ma, H.; Zhang, X. Effects of strength training on neuromuscular adaptations in the development of maximal strength: A systematic review and meta-analysis. Sci. Rep. 2025, 15, 19315. [Google Scholar] [CrossRef] [PubMed]
- Nakata, K.; Mishima, T. Plyometric Exercise Transiently Enhances Twitch Torque but Fails to Enhance the Rate of Force Development Evaluated Using the Isometric Midthigh Pull. J. Hum. Kinet. 2024, 94, 171–180. [Google Scholar] [CrossRef]
- Travis, S.K.; Ishida, A.; Taber, C.B.; Fry, A.C.; Stone, M.H. Emphasizing Task-Specific Hypertrophy to Enhance Sequential Strength and Power Performance. J. Funct. Morphol. Kinesiol. 2020, 5, 76. [Google Scholar] [CrossRef]
- Zabaloy, S.; Healy, R.; Pereira, L.A.; Tondelli, E.; Tomaghelli, L.; Aparicio, J.; Vega, F.; Medrano, J.; Giráldez, J.; Comyns, T.; et al. A Randomized Controlled Trial of Unresisted vs. Heavy Resisted Sprint Training Programs: Effects on Strength, Jump, Unresisted and Resisted Sprint Performance in Youth Rugby Union Players. J. Hum. Kinet. 2025, 95, 199–214. [Google Scholar] [CrossRef]
- Seitz, L.B.; Reyes, A.; Tran, T.T.; de Saez, V.E.; Haff, G.G. Increases in lower-body strength transfer positively to sprint performance: A systematic review with meta-analysis. Sports Med. 2014, 44, 1693–1709. [Google Scholar] [CrossRef]
- Kyröläinen, H.; Avela, J.; McBride, J.M.; Koskinen, S.; Andersen, J.L.; Sipilä, S.; Takala, T.E.S.; Komi, P.V. Effects of power training on muscle structure and neuromuscular performance. Scand. J. Med. Sci. Sports 2005, 15, 58–64. [Google Scholar] [CrossRef] [PubMed]
- Terzis, G.; Spengos, K.; Methenitis, S.; Aagaard, P.; Karandreas, N.; Bogdanis, G.C. Early phase interference between low-intensity running and power training in moderately trained females. Eur. J. Appl. Physiol. 2016, 116, 1063–1073. [Google Scholar] [CrossRef] [PubMed]
- Nóbrega, S.R.; Libardi, C.A. Is Resistance Training to Muscular Failure Necessary? Front. Physiol. 2016, 7, 10. [Google Scholar] [CrossRef]
- Balshaw, T.G.; Massey, G.J.; Maden-Wilkinson, T.M.; Morales-Artacho, A.J.; McKeown, A.; Appleby, C.L.; Folland, J.P. Changes in agonist neural drive, hypertrophy and pre-training strength all contribute to the individual strength gains after resistance training. Eur. J. Appl. Physiol. 2017, 117, 631–640. [Google Scholar] [CrossRef] [PubMed]
- Miyake, Y.; Suga, T.; Terada, M.; Tanaka, T.; Ueno, H.; Kusagawa, Y.; Otsuka, M.; Nagano, A.; Isaka, T. No correlation between plantar flexor muscle volume and sprint performance in sprinters. Front. Sports Act. Living 2021, 3, 671248. [Google Scholar] [CrossRef]
- Hopkins, W.G.; Marshall, S.W.; Batterham, A.M.; Hanin, J. Progressive statistics for studies in sports medicine and exercise science. Med. Sci. Sports Exerc. 2009, 41, 3–13. [Google Scholar] [CrossRef]
- Swinton, P.A.; Shim, J.S.C.; Pavlova, A.V.; Moss, R.; Maclean, C.; Brandie, D.; Mitchell, L.; Greig, L.; Parkinson, E.; Tzortziou Brown, V.; et al. What are small, medium and large effect sizes for exercise treatments of tendinopathy? A systematic review and meta-analysis. BMJ Open Sport Exerc Med. 2023, 9, e001389. [Google Scholar] [CrossRef] [PubMed]





| Variable | MPT | Pre-Post | ITG | Pre-Post | Group | ||||
|---|---|---|---|---|---|---|---|---|---|
| M ± SD (−95%CI:95%CI) | p-Value | ES | M ± SD (−95%CI:95%CI) | p-Value | ES | p-Value | ES | ||
| Jump Height (Flight Time) [cm] | Pre-test | 62.96 ± 12.78 (56.39:69.54) | 0.047 * | rg = 0.48 | 47.82 ± 6.73 (44.36:51.28) | 0.64 | d = 0.05 | <0.001 * | rg = 0.63 |
| Post-test | 61.88 ± 12.71 (55.34:68.41) | 48.14 ± 6.28 (44.91:51.37) | <0.001 * | rg = 0.59 | |||||
| CMJ Stiffness [N/m] | Pre-test | 5317.29 ± 1390.89 (4602.17:6032.42) | 0.01 * | rg = 0.60 | 6802.00 ± 3240.39 (5135.95:8468.05) | 0.07 | rg = 0.31 | 0.10 | rg = 0.28 |
| Post-test | 6158.24 ± 1648.70 (5310.55:7005.92) | 6110.06 ± 3276.53 (4425.43:7794.69) | 0.19 | rg = 0.22 | |||||
| Peak Power [W] | Pre-test | 5867.06 ± 1188.74 (5255.86:6478.25) | 0.78 | d = 0.04 | 5478.29 ± 946.07 (4991.87:5964.72) | 0.52 | rg = 0.11 | 0.32 | rg = 0.17 |
| Post-test | 5819.82 ± 952.50 (5330.09:6309.55) | 5429.41 ± 806.82 (5014.58:5844.24) | 0.21 | d = 0.44 | |||||
| Peak Power/BM [W/kg] | Pre-test | 81.09 ± 10.90 (75.48:86.69) | 0.95 | d = 0.01 | 67.41 ± 3.75 (65.48:69.34) | 0.61 | d = 0.12 | <0.001 * | d = 1.87 |
| Post-test | 81.23 ± 9.57 (76.31:86.15) | 66.89 ± 4.59 (64.53:69.26) | <0.001 * | d = 2.03 | |||||
| Concentric Peak Force [N] | Pre-test | 2066.06 ± 299.93 (1911.85:2220.27) | 0.49 | d = 0.16 | 2102.00 ± 293.47 (1951.11:2252.89) | 0.003 * | d = 0.23 | 0.73 | d = 0.12 |
| Post-test | 2041.59 ± 246.74 (1914.73:2168.45) | 2035.82 ± 285.08 (1889.25:2182.40) | 0.95 | d = 0.02 | |||||
| Concentric Peak Force/BM [N/kg] | Pre-test | 28.65 ± 1.70 (27.77:29.52) | 0.77 | d = 0.08 | 25.96 ± 1.58 (25.15:26.77) | 0.004 * | d = 0.50 | <0.001 * | d = 1.64 |
| Post-test | 28.52 ± 1.54 (27.73:29.31) | 25.11 ± 1.85 (24.16:26.06) | <0.001 * | d = 2.01 | |||||
| Force at Zero Velocity [N] | Pre-test | 1659.53 ± 323.43 (1493.24:1825.82) | 0.91 | rg = 0.03 | 1571.18 ± 380.02 (1375.79:1766.56) | 0.79 | d = 0.05 | 0.61 | rg = 0.09 |
| Post-test | 1600.59 ± 463.78 (1362.13:1839.04) | 1551.59 ± 425.80 (1332.66:1770.52) | 0.75 | d = 0.11 | |||||
| Contraction Time [ms] | Pre-test | 802.24 ± 145.52 (727.41:877.06) | 0.18 | d = 0.39 | 817.71 ± 130.54 (750.59:884.82) | 0.30 | d = 0.22 | 0.75 | d = 0.10 |
| Post-test | 737.71 ± 188.36 (640.86:834.55) | 850.71 ± 170.42 (763.08:938.33) | 0.08 | d = 0.71 | |||||
| Braking Phase Duration: Contraction Time | Pre-test | 40.46 ± 8.11 (36.29:44.63) | 0.43 | rg = 0.19 | 37.96 ± 8.35 (33.67:42.25) | 0.83 | rg = 0.04 | 0.38 | d = 0.30 |
| Post-test | 37.21 ± 10.78 (31.66:42.75) | 38.10 ± 10.65 (32.62:43.58) | 0.84 | rg = 0.04 | |||||
| Concentric RFD [N/s] | Pre-test | 2397.35 ± 1415.55 (1669.54:3125.16) | 0.82 | d = 0.04 | 3208.82 ± 2085.79 (2136.41:4281.24) | 0.10 | rg = 0.28 | 0.27 | rg = 0.19 |
| Post-test | 2447.19 ± 1137.08 (1841.28:3053.10) | 2335.38 ± 1169.48 (1712.21:2958.54) | 0.79 | d = 0.10 | |||||
| Concentric RFD/BM [N/s/kg] | Pre-test | 32.62 ± 17.70 (23.52:41.72) | 0.96 | rg = 0.01 | 39.79 ± 24.53 (27.18:52.40) | 0.06 | d = 0.53 | 0.34 | d = 0.34 |
| Post-test | 35.04 ± 18.51 (25.18:44.91) | 29.26 ± 15.27 (21.13:37.40) | 0.78 | rg = 0.05 | |||||
| Concentric RFD—50 ms [N/s] | Pre-test | −2335.76 ± 2287.19 (−3511.73:−1159.80) | 0.21 | rg = 0.30 | 890.82 ± 3273.27 (−792.14:2573.78) | 0.18 | d = 0.38 | 0.002 * | d = 1.16 |
| Post-test | −836.71 ± 4044.84 (−2916.37:1242.96) | −581.18 ± 4452.64 (−2870.51:1708.16) | 0.73 | rg = 0.06 | |||||
| Concentric RFD—100 ms [N/s] | Pre-test | −963.53 ± 2684.55 (−2343.8:416.74) | 0.36 | d = 0.30 | 1494.18 ± 2906.08 (0.01:2988.34) | 0.43 | d = 0.25 | 0.02 * | d = 0.88 |
| Post-test | −13.88 ± 3610.27 (−1870.11:1842.35) | 670.41 ± 3726.83 (−1245.75:2586.57) | 0.59 | d = 0.19 | |||||
| Concentric RFD—200 ms [N/s] | Pre-test | 1010.35 ± 2258.37 (−150.79:2171.50) | 0.28 | d = 0.22 | 1385.53 ± 1778.51 (471.11:2299.95) | 0.77 | d = 0.10 | 0.59 | d = 0.19 |
| Post-test | 467.24 ± 2592.94 (−865.93:1800.40) | 1227.29 ± 1236.58 (591.5:1863.08) | 0.59 | d = 0.19 | |||||
| Concentric Impulse [N·s] | Pre-test | 242.59 ± 43.77 (220.09:265.10) | 0.48 | d = 0.08 | 247.98 ± 47.08 (223.77:272.18) | 0.55 | rg = 0.10 | 0.73 | rg = 0.06 |
| Post-test | 246.11 ± 41.33 (224.85:267.36) | 249.39 ± 45.93 (225.78:273.01) | 0.77 | rg = 0.05 | |||||
| Concentric Impulse (Abs)/BM [N·s/kg] | Pre-test | 6.05 ± 0.43 (5.83:6.27) | 0.38 | d = 0.28 | 5.92 ± 0.65 (5.59:6.25) | 0.004 * | d = 0.40 | 0.50 | d = 0.24 |
| Post-test | 6.20 ± 0.66 (5.86:6.54) | 6.21 ± 0.80 (5.80:6.62) | 0.97 | d = 0.01 | |||||
| Eccentric Braking Impulse [N·s] | Pre-test | 56.32 ± 25.01 (43.46:69.18) | 0.78 | d = 0.02 | 53.81 ± 29.08 (38.86:68.77) | 0.90 | d = 0.03 | 0.79 | d = 0.09 |
| Post-test | 55.95 ± 19.06 (45.39:66.50) | 52.95 ± 34.79 (35.06:70.84) | 0.77 | d = 0.11 | |||||
| Eccentric Deceleration Impulse [N·s] | Pre-test | 98.68 ± 31.38 (82.54:114.81) | 0.91 | d = 0.12 | 91.45 ± 41.59 (70.06:112.83) | 0.92 | d = 0.01 | 0.57 | d = 0.20 |
| Post-test | 102.09 ± 23.77 (88.93:115.26) | 91.98 ± 47.59 (67.51:116.45) | 0.46 | d = 0.28 | |||||
| Eccentric Unloading Impulse [N·s] | Pre-test | −98.63 ± 31.24 (−114.69:−82.57) | 0.91 | d = 0.13 | −91.35 ± 41.62 (−112.75:−69.95) | 0.92 | d = 0.01 | 0.57 | d = 0.20 |
| Post-test | −102.09 ± 23.66 (−115.19:−88.98) | −91.84 ± 47.49 (−116.25:−67.42) | 0.46 | d = 0.29 | |||||
| Eccentric: Concentric Mean Force Ratio [%] | Pre-test | 44.59 ± 4.38 (42.34:46.84) | 0.38 | rg = 0.21 | 48.42 ± 3.73 (46.5:50.34) | <0.001 * | d = 0.50 | 0.01 * | d = 0.94 |
| Post-test | 44.62 ± 4.22 (42.45:46.79) | 50.41 ± 4.25 (48.22:52.59) | 0.006 * | d = 1.37 | |||||
| Variable | MPT | ITG | p-Value | ES |
|---|---|---|---|---|
| Δ Jump Height (Flight Time) [cm] | −1.09 ± 3.45 (−2.86:0.69) | 0.32 ± 2.79 (−1.11:1.76) | 0.03 * | rg = 0.38 |
| Δ CMJ Stiffness [N/m] | 840.94 ± 1302.21 (171.41:1510.48) | −691.94 ± 1414.41 (−1419.17:35.28) | 0.002 * | d = 1.18 |
| Δ Peak Power [W] | −47.24 ± 695.51 (−404.83:310.36) | −48.88 ± 324.26 (−215.60:117.84) | 0.99 | d < 0.001 |
| Δ Peak Power/BM [W/kg] | 0.14 ± 9.57 (−4.78:5.06) | −0.52 ± 4.08 (−2.62:1.58) | 0.80 | d = 0.10 |
| Δ Concentric Peak Force [N] | −24.47 ± 143.13 (−98.06:49.12) | −66.18 ± 77.45 (−106.00:−26.35) | 0.30 | d = 0.38 |
| Δ Concentric Peak Force/BM [N/kg] | −0.13 ± 1.81 (−1.06:0.80) | −0.85 ± 1.03 (−1.37:−0.32) | 0.17 | d = 0.51 |
| Δ Force at Zero Velocity [N] | −58.94 ± 295.83 (−211.04:93.16) | −19.59 ± 300.58 (−174.13:134.96) | 0.89 | rg = 0.02 |
| Δ Contraction Time [ms] | −64.53 ± 190.32 (−162.38:33.33) | 33.00 ± 127.84 (−32.73:98.73) | 0.13 | rg = 0.26 |
| Δ Braking Phase Duration: Contraction Time | −3.26 ± 12.39 (−9.63:3.12) | 0.14 ± 9.62 (−4.81:5.09) | 0.65 | rg = 0.08 |
| Δ Concentric RFD [N/s] | −82.94 ± 1429.43 (−844.63:678.75) | −854.88 ± 1901.99 (−1868.37:158.62) | 0.30 | rg = 0.18 |
| Δ Concentric RFD/BM [N/s/kg] | 0.61 ± 20.66 (−10.40:11.62) | −11.04 ± 22.01 (−22.77:0.68) | 0.13 | d = 0.55 |
| Δ Concentric RFD—50 ms [N/s] | 1499.06 ± 3998.06 (−556.56:3554.67) | −1472.00 ± 4335.84 (−3701.28:757.28) | 0.09 | rg = 0.29 |
| Δ Concentric RFD—100 ms [N/s] | 949.65 ± 4138.84 (−1178.35:3077.64) | −823.76 ± 4217.65 (−2992.28:1344.75) | 0.22 | d = 0.42 |
| Δ Concentric RFD—200 ms [N/s] | −543.12 ± 2012.45 (−1577.82:491.59) | −158.24 ± 2232.23 (−1305.94:989.47) | 0.60 | d = 0.18 |
| Δ Concentric Impulse [N·s] | 3.51 ± 19.93 (−6.73:13.76) | 1.42 ± 8.20 (−2.80:5.64) | 0.69 | d = 0.15 |
| Δ Concentric Impulse (Abs)/BM [N·s/kg] | 0.15 ± 0.69 (−0.21:0.51) | 0.29 ± 0.36 (0.10:0.47) | 0.47 | d = 0.27 |
| Δ Eccentric Braking Impulse [N·s] | −1.98 ± 27.21 (−17.05:13.09) | −0.86 ± 28.28 (−15.40:13.68) | 0.96 | rg = 0.01 |
| Δ Eccentric Deceleration Impulse [N·s] | 0.84 ± 29.54 (−15.52:17.20) | 0.53 ± 20.29 (−9.90:10.96) | 0.17 | rg = 0.24 |
| Δ Eccentric Unloading Impulse [N·s] | −0.87 ± 29.52 (−17.22:15.47) | −0.48 ± 20.21 (−10.87:9.91) | 0.17 | rg = 0.23 |
| Δ Eccentric:Concentric Mean Force Ratio [%] | 0.03 ± 2.93 (−1.48:1.54) | 1.99 ± 1.88 (1.02:2.95) | 0.04 * | rg = 0.36 |
Disclaimer/Publisher’s Note: The statements, opinions and data contained in all publications are solely those of the individual author(s) and contributor(s) and not of MDPI and/or the editor(s). MDPI and/or the editor(s) disclaim responsibility for any injury to people or property resulting from any ideas, methods, instructions or products referred to in the content. |
© 2025 by the authors. Licensee MDPI, Basel, Switzerland. This article is an open access article distributed under the terms and conditions of the Creative Commons Attribution (CC BY) license (https://creativecommons.org/licenses/by/4.0/).
Share and Cite
Mariola, G.; Krzysztof, K.; Jan, W.; Jakub, J.; Nicola, B.; Artur, G. Comparative Effects of Movement-Pattern-Oriented and Isometric Training on Neuromechanical Performance in Track and Field Athletes. Appl. Sci. 2025, 15, 10724. https://doi.org/10.3390/app151910724
Mariola G, Krzysztof K, Jan W, Jakub J, Nicola B, Artur G. Comparative Effects of Movement-Pattern-Oriented and Isometric Training on Neuromechanical Performance in Track and Field Athletes. Applied Sciences. 2025; 15(19):10724. https://doi.org/10.3390/app151910724
Chicago/Turabian StyleMariola, Gepfert, Kotuła Krzysztof, Walencik Jan, Jarosz Jakub, Brzęczek Nicola, and Gołaś Artur. 2025. "Comparative Effects of Movement-Pattern-Oriented and Isometric Training on Neuromechanical Performance in Track and Field Athletes" Applied Sciences 15, no. 19: 10724. https://doi.org/10.3390/app151910724
APA StyleMariola, G., Krzysztof, K., Jan, W., Jakub, J., Nicola, B., & Artur, G. (2025). Comparative Effects of Movement-Pattern-Oriented and Isometric Training on Neuromechanical Performance in Track and Field Athletes. Applied Sciences, 15(19), 10724. https://doi.org/10.3390/app151910724

