You are currently viewing a new version of our website. To view the old version click .
Applied Sciences
  • Article
  • Open Access

26 September 2025

An Adaptive Importance Sampling Method Based on Improved MCMC Simulation for Structural Reliability Analysis

,
and
1
Zhejiang Institute of Communications Co., Ltd., Hangzhou 310006, China
2
Faculty of Geosciences and Environment Engineering, Southwest Jiaotong University, Chengdu 610031, China
*
Author to whom correspondence should be addressed.
This article belongs to the Special Issue Reliability and Risk Analysis of Structures and Applications to Design and Optimization, 2nd Edition

Abstract

Constructing an effective importance sampling density is crucial for structural reliability analysis via importance sampling (IS), particularly when dealing with performance functions that have multiple design points or disjoint failure domains. This study introduces an adaptive importance sampling technique leveraging an improved Markov chain Monte Carlo (IMCMC) approach. The method begins by efficiently gathering distributed samples across all failure regions using IMCMC. Subsequently, based on the obtained samples, it constructs the importance sampling density adaptively through a kernel density estimation (KDE) technique that integrates local bandwidth factors. Case studies confirm that the proposed approach successfully constructs an importance sampling density that closely mirrors the theoretical optimum, thereby boosting both the accuracy and efficiency of failure probability estimations.

1. Introduction

Structural reliability analysis seeks to assess the safety of engineering systems under uncertainties, a process often hampered by the high computational cost of estimating small failure probabilities. Although direct Monte Carlo simulation (MCS) is conceptually simple and robust, its inefficiency in handling rare events has spurred the advancement of variance reduction strategies, among which importance sampling (IS) is prominently employed [1]. The essence of IS is to sample from a strategically selected importance sampling density that focuses on the failure region, thus lowering the estimator’s variance [2]. Traditional IS methods frequently employ a multivariate normal density centered at the design point [3], yet this approach is inadequate when confronting complex limit state surfaces or situations with multiple design points [4].
To tackle these issues, adaptive IS techniques have been devised. Au and colleagues [5] presented a method that integrates Markov chain Monte Carlo (MCMC) with kernel density estimation (KDE) to iteratively improve the sampling density. This work has led to many adaptations and enhancements. For example, subset simulation [6] and sequential Monte Carlo [7] were developed to more effectively manage high-dimensional problems. Concurrently, surrogate-assisted approaches [8,9,10] have become favored for lowering computational expenses by approximating the limit state function.
Despite these advances, accurately characterizing multimodal or disconnected failure regions remains challenging. Standard MCMC samplers often struggle to mix between isolated modes [11], and KDE-based methods can yield biased estimates when samples are not representative [12]. Several recent studies have aimed to address these issues. For example, Wu et al. [13] used Gaussian mixtures within MCMC, and Kurtz et al. [14] incorporated cross-entropy optimization to improve adaptive IS. Other researchers explored hybrid methods [15], Hamiltonian Monte Carlo [16], and adaptive proposal mechanisms [17] to enhance sampling efficiency.
Recent reviews and comparative studies [18,19,20,21,22,23,24,25] highlight the ongoing need for robust and efficient sampling strategies, particularly for systems with multiple failure modes. Methods such as reinforced adaptive IS [26], sequential importance sampling [27], and nonparametric adaptive IS [28] represent promising directions. Furthermore, techniques leveraging gradient information [29], conditional sampling [30], and adaptive Markov chains [31] have contributed to the state of the art.
To tackle these challenges, this article introduces an importance sampling approach founded on an improved MCMC and KDE. Initially, the morphological characteristics of the theoretical optimal importance sampling density in the importance sampling method are analyzed. An improved MCMC is proposed, using an n-dimensional annular uniform distribution function as the proposal distribution. This enables the efficient acquisition of distributed samples within all failure domains, even when the performance function’s failure domain has discontinuous regions. Then, an importance sampling density approximating the theoretical optimal model is adaptively constructed using a KDE method incorporating a local bandwidth factor. Lastly, the failure probability P f is computed via importance sampling. Numerical experiments indicate that the proposed technique can substantially enhance the precision and efficiency of reliability assessments using importance sampling.

2. Theoretical Optimal Importance Sampling Density

In structural reliability analysis, the importance sampling method has been introduced to enhance the computational performance of the MCS. Its formulation is provided in Equation (1).
P f = 1 N i = 1 N I ( g ( x i ) ) f ( x i ) h ( x i )
where, P f denotes the failure probability of the structure. g ( x ) represents the performance function of the structure. I ( g ( x ) ) serves as the indicator function for g ( x ) ; it equals 1 if g ( x ) < 0 , and 0 otherwise. f ( x ) is the joint probability density function (PDF) of the fundamental random variables in g ( x ) . h ( x ) refers to the importance sampling density. x i are random samples produced following h ( x ) . N indicates the total sample count.
Enhancing the computational efficacy and accuracy of the importance sampling method hinges on formulating an appropriate importance sampling density h ( x ) for sampling. This strategy ensures that a larger proportion of random sample points land in the “critical region,” which significantly influences the failure probability. Theoretically, an optimal importance sampling density h ( x ) o p t exists, expressed in Equation (2).
h ( x ) o p t = I ( g ( x ) ) f ( x ) P f
Employing the PDF from Equation (2) for importance sampling would ideally require only one sample to ascertain the precise P f . However, this is impractical in reality since P f in Equation (2) is the unknown target quantity, making the direct acquisition of h ( x ) o p t unfeasible. Nonetheless, Equation (2) offers insights into the properties of h ( x ) o p t , guiding the construction of an importance sampling density that approximates it.
Based on the indicator function I ( g ( x ) ) definition, Equation (2) can be rewritten as
h ( x ) o p t = 1 P f · f ( x ) , { x | g ( x ) < 0 }
Equation (3) reveals that h ( x ) o p t resembles the portion of f ( x ) within the failure domain, differing only by a scaling factor 1 / P f . Hence, if a sufficient set of distribution samples of f ( x ) within the failure domain can be gathered, an importance sampling density approximating h ( x ) o p t can be developed from them.

3. Obtaining Failure Domain Distribution Samples via IMCMC

3.1. MCMC Simulation

The most straightforward approach to obtain samples from the failure domain distribution is the MCS, but its sampling performance is very poor. To enhance sampling efficiency, Au [5] suggested using MCMC simulation to sample from the failure domain distribution, circumventing the creation of numerous invalid samples outside the failure region. The central concept is to establish a Markov chain with a stationary distribution defined by the PDF in Equation (2). Then, by traversing the Markov chain, samples adhering to the PDF in Equation (2) are acquired.
In the MCMC sampling procedure, the proposal distribution function f x ( ϵ | x ) , which governs the transition of the Markov chain from the current state to another state, is pivotal to the sampling outcome. Commonly, the multidimensional uniform distribution density function in Equation (4) is utilized as the proposal distribution.
f x ( ϵ | x ) = 1 i = 1 n l i if | ϵ i x i | l i 2 i = 1 , , n 0 , otherwise
where, x is the current state point of the Markov chain; ϵ is the candidate for the next state; ϵ i and x i are the i-th components of ϵ and x , respectively; l i can be viewed as the side length in the x i direction of an n-dimensional polyhedron centered at x . l i sets the maximum allowed distance between the subsequent sample point and the current one.
However, when the performance function’s failure domain has discontinuous regions, using Equation (16) as the proposal distribution function has shortcomings. If l i values are too small, the jumpiness of the sampling process will be insufficient, making it difficult for the sampled points to cover all failure domains of the performance function. If l i values are too large, the sampling range increases, but it may produce a large number of repeated samples. Both of these situations will result in the samples obtained by MCMC failing to comprehensively reflect the actual distribution characteristics of the performance function’s failure domain samples.

3.2. Improved Proposal Distribution Function

In the independent standard normal space, the variable joint distribution is a multidimensional standard normal. The characteristic of its PDF is that its contour lines are multidimensional spherical surfaces (circular rings in two dimensions) centered at the origin. If a proposal distribution function can be constructed such that MCMC sampling can perform rotational jumps around the origin, it can effectively cover all failure domains even when the failure domain of the performance function has discontinuous regions. Based on this idea, this paper proposes the n-dimensional annular uniform distribution function shown in Equation (5) as an improved proposal distribution function in the MCMC sampling process.
f x ( ϵ | x ) = 1 / 2 π n / 2 Γ ( n / 2 ) · l if x ϵ l 2 0 , otherwise
where n is the variable count. 2 π n / 2 Γ ( n / 2 ) refers to the surface area of the unit sphere in n-dimensional space, reducing to 2 π (the circumference of the unit circle) in two dimensions. l denotes the length of the radial segment centered at x . x and ϵ are the Euclidean norms of the sample point x and the candidate state point ϵ , respectively, i.e., their distances from the origin.
Under two-dimensional conditions, illustrations of the proposal distributions from Equations (4) and (5) are provided in Figure 1a,b.
Figure 1. Schematic of different proposal distributions in two dimensions. (a) Proposal distribution from Equation (4). (b) Enhanced proposal distribution from Equation (5).
The procedure for generating candidate states using the proposal distribution in Equation (5) is as follows:
(1)
Randomly generate a direction vector a uniformly distributed on the n-dimensional unit sphere. This is achieved by first generating an n-dimensional independent standard normal sample ξ , computing its norm ξ , and then normalizing to obtain a = ξ / ξ .
(2)
Given the current state x j 1 in the sampling process, generate a uniformly distributed random number k within the interval: x j 1 l 2 , x j 1 + l 2 .
(3)
Compute the candidate state ϵ as ϵ = k · a .
In Equation (5), for fixed dimension n and parameter l, 2 π n / 2 Γ ( n / 2 ) · l is constant. In the standard normal space, the proposal distribution from Equation (5) meets the symmetry condition, i.e., f x ( ϵ | x ) = f x ( x | ϵ ) . If the performance function is not in the independent standard normal space, appropriate space transformations are necessary.

3.3. Selection of Initial State Point for MCMC

Besides the proposal distribution, the initial state point selection for MCMC also greatly affects sampling efficiency. Typically, a point within the failure region must be chosen as the initial state. Given that the performance function may exist in a high-dimensional space, this paper employs Latin Hypercube Sampling (LHS) [32] to generate sample points across the input domain of the performance function, facilitating quick selection of an initial state point for MCMC. These samples are evaluated sequentially through the performance function. The sample lying within the failure region with the maximum probability density is then selected as the initial point for MCMC.
In summary, the procedure for obtaining failure domain distribution samples using IMCMC is as follows:
(1)
Define the stationary distribution q x ( x ) of the Markov chain from h ( x ) o p t in Equation (2):
q x ( x ) = I [ g ( x ) 0 ] f ( x ) P f
(2)
Using Latin Hypercube Sampling, identify a sample point within the failure domain to act as the initial state x 0 for MCMC.
(3)
From the current Markov chain state x j 1 , generate a candidate state ϵ via the proposal distribution function f x ( ϵ | x ) from Equation (5). Compute the stationary distribution function values q x ( x j 1 ) and q x ( ϵ ) for x j 1 and ϵ , respectively, and determine their ratio r:
r = q X ( ϵ ) q X ( x j 1 )
(4)
Following the Metropolis–Hastings criterion [33], as in Equation (8), accept the candidate state ϵ as the next state x j with probability min(1, r), and retain the current state x j 1 with probability 1 − min(1, r).
x j = ϵ , min ( 1 , r ) > U [ 0 , 1 ] x j 1 , min ( 1 , r ) U [ 0 , 1 ]
In Equation (8), U [ 0 , 1 ] is a uniform random number on [0, 1].
(5)
Iterate steps (3) to (4) M times to yield a set of M samples { x 1 , x 2 , , x M } within the failure domain that adhere to the optimal distribution h ( x ) o p t .

4. Constructing the Importance Sampling Density via KDE

The goal of acquiring failure domain distribution samples is to build an importance sampling density that approximates the theoretical optimum. Given that the theoretical optimal importance sampling density may be multimodal, this paper uses the KDE method to estimate the PDF of the failure domain samples.
The PDF constructed by KDE, denoted f KDE ( x ) , is given by Equation (9):
f KDE ( x ) = 1 M i = 1 M 1 w n K x x i * w
where, x i * are M sample data points of the random variables. n is the sample dimension. w is the bandwidth parameter. K ( · ) is the kernel function. This paper employs the Gaussian kernel function, expressed in Equation (10).
K ( u ) = 1 ( 2 π ) n exp 1 2 u T u
Choosing an appropriate bandwidth w is critical for KDE. Sheather [34] suggested the bandwidth w formula in Equation (11).
w i = σ i 4 [ ( d + 2 ) M ] 1 / ( d + 4 ) , i = 1 , 2 , , d
where σ i denotes the standard deviation of the samples in the i-th dimension. d denotes the sample dimension. M denotes the sample count.
The bandwidth determination method in Equation (11) is mainly suitable for unimodal target functions. However, as noted, h ( x ) opt may be multimodal. To address this, a local bandwidth factor λ j is incorporated into Equation (9) to adaptively adjust the bandwidth w at each sample point. This allows employing a smaller bandwidth in high-density regions and a larger one in low-density regions. The specific formulas are shown in Equations (12) and (13).
f KDE ( x ) = 1 M j = 1 M 1 ( w λ j ) n K x x j * w λ j
λ j = k = 1 M h ( x k ) opt 1 / M h ( x j ) opt 0.5
When the performance function is in the independent standard normal space, f ( x ) in Equation (2) is the joint PDF of the multivariate normal distribution. Substituting Equation (2) into Equation (13), the local bandwidth factor λ j can be computed via Equation (14):
λ j = k = 1 M 1 ( 2 π ) n exp 1 2 x k T x k 1 / M 1 ( 2 π ) n exp 1 2 x j T x j 0.5
In summary, for a performance function in the independent standard normal space, the process for establishing the PDF using KDE is as follows:
(1)
Based on the failure domain distribution samples x * , calculate the bandwidth w using Equation (11).
(2)
Based on the failure domain distribution samples x * , calculate the local bandwidth factor λ j for each sample using Equation (14).
(3)
Substitute the failure domain samples x * , bandwidth w, and local bandwidth factors λ j into Equation (12) to establish the corresponding probability density function f KDE ( x ) .
It should be noted that if the performance function is not in the independent standard normal space, an appropriate transformation must be performed before proceeding with the calculations described above.

5. Numerical Example Analysis

5.1. Two-Dimensional Example

To validate the proposed method, we first compute the P f using the two-dimensional performance function in Equation (15).
g 1 ( x ) = 2 x 2 + exp ( 0.1 x 1 2 ) + ( 0.2 x 1 ) 4 g 2 ( x ) = 4.5 x 1 x 2 g ( x ) = min ( g 1 ( x ) , g 2 ( x ) )
In Equation (15), the variables x 1 , x 2 are independent standard normal. Their joint PDF is
f ( x ) = 1 2 π exp 1 2 x 1 2 + x 2 2
The limit state curve of Equation (15) is shown in Figure 2. It has three design points and a discontinuous failure domain.
Figure 2. Limit state curve and failure domain of Equation (15).
The morphology of the joint PDF f ( x ) within the failure domain is depicted in Figure 3:
Figure 3. Morphology of the joint PDF in the failure domain. (a) Contour plot. (b) 3D surface plot.
Figure 3 shows that for the performance function in Equation (15), the corresponding theoretically optimal importance sampling density h ( x ) o p t has three “peaks,” indicating significant multimodality.
For this performance function, the direct MCS is first used to sample the failure domain. As shown in Figure 4, out of 10 6 total samples, 3473 points fall into the failure domain, comprising only 0.3473% of the total. Although MCS sampling is inefficient, it provides a relatively accurate P f estimate of 3.473 × 10 3 .
Figure 4. Distribution of failure domain samples from MCS. (a) Scatter plot. (b) Statistical histogram.
Figure 5 displays the evolution of the mean and variance of failure domain samples in the x 1 and x 2 directions with increasing sample size.
Figure 5. Evolution of mean and variance of failure domain samples from MCS. (a) Variance. (b) Mean.
From Figure 5, the mean and variance of the failure domain samples in the x 1 and x 2 directions stabilize at μ x 1 = 0.14 , μ x 2 = 1.46 , σ x 1 2 = 3.67 , and σ x 2 2 = 5.74 . These MCS results serve as a benchmark for evaluating other sampling methods.
Both conventional MCMC and the improved MCMC (IMCMC) method proposed here are used to sample the failure domain distribution of the performance function in Equation (15), each with 1000 samples.
The initial state point of the Markov chain is determined via Latin Hypercube Sampling: x 0 = ( 1.47 ,   2.89 ) . Following Au [5], the parameter l in the proposal distribution of Equation (4) for MCMC is set to 1.85. For the proposed IMCMC method using Equation (5), l is set to 0.32, determined based on sample size, initial state, and problem dimension, as detailed in Section 5.2. Scatter plots and histograms of the failure domain samples from both methods are shown in Figure 6 and Figure 7.
Figure 6. Failure domain distribution samples from MCMC. (a) Scatter plot. (b) Statistical histogram.
Figure 7. Failure domain distribution samples from IMCMC. (a) Scatter plot. (b) Statistical histogram.
The evolution of the mean and variance of the failure domain samples from both methods is shown in Figure 8 and Figure 9.
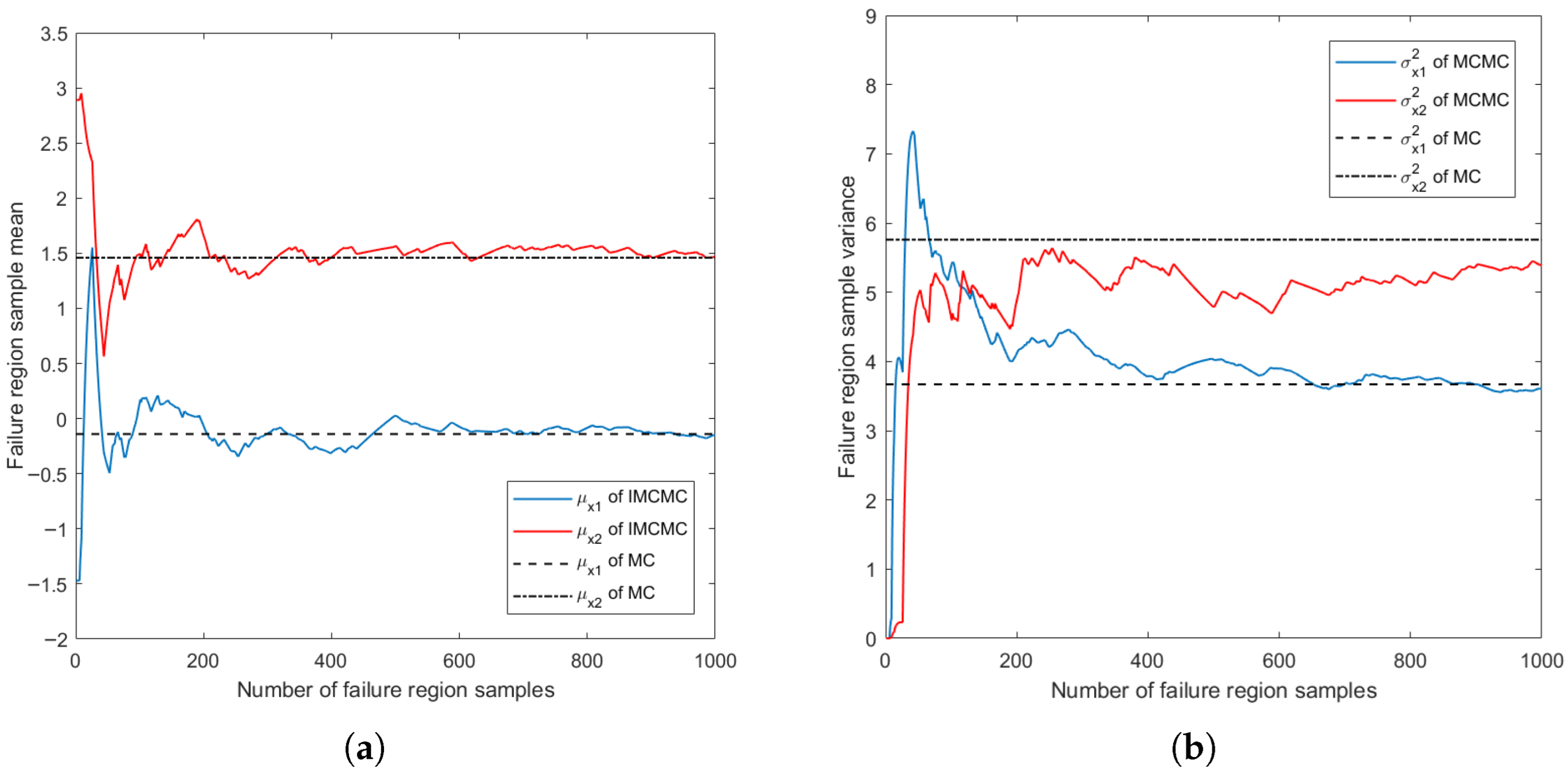
Figure 8. Evolution of mean and variance of failure domain samples from MCMC. (a) Mean. (b) Variance.
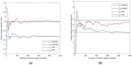
Figure 9. Evolution of mean and variance of failure domain samples from IMCMC. (a) Mean. (b) Variance.
Figure 6 and Figure 8 reveal that MCMC sampling only covers one portion of the failure domain, leading to mean and variance estimates that deviate significantly from the MCS results. In contrast, Figure 7 and Figure 9 show that IMCMC sampling effectively covers both disconnected failure domains and concentrates near the three design points. As the sample size increases, the mean and variance from IMCMC converge to the MCS results, validating the effectiveness of the IMCMC method with the proposal distribution in Equation (5).
After obtaining failure domain samples, KDE is used to construct the PDF f ^ K D E ( x ) . The morphology of f ^ K D E ( x ) based on MCMC samples (Figure 6) is shown in Figure 10, and that based on IMCMC samples (Figure 7) is shown in Figure 11.
Figure 10. Morphology of importance sampling density from KDE based on MCMC samples. (a) Contour plot. (b) Surface plot.
Figure 11. Morphology of importance sampling density from KDE based on IMCMC samples. (a) Contour plot. (b) Surface plot.
Comparing Figure 10 and Figure 11 with Figure 3, the function f ^ K D E ( x ) from MCMC samples differs significantly from h ( x ) o p t , whereas that from IMCMC samples closely matches the morphology of h ( x ) o p t . This indicates that the importance sampling density built via KDE from IMCMC samples better approximates the theoretical optimum in Equation (2).
With f ^ K D E ( x ) established, it is substituted into Equation (1) for efficient P f calculation. Table 1 compares the P f and its coefficient of variation C o v P f computed by conventional importance sampling (IS), conventional adaptive importance sampling (AIS), and the proposed improved adaptive importance sampling (IAIS). The reference P f value is 3.473 × 10 3 from 10 6 MCS samples. C o v P f measures result stability; lower values indicate greater stability. To mitigate random error, each condition in Table 1 is averaged over 50 runs.
Table 1. Comparison of P f results from different methods.
As shown in Table 1, P f values calculated by the IS and AIS methods are consistently and significantly lower than the MCS benchmark across all sample sizes. This discrepancy is attributed to the structural features of the performance function, which possesses three design points and a discontinuous failure domain. Consequently, the importance sampling densities constructed by IS and AIS fail to adequately capture all crucial regions of the failure domain, leading to the systematic underestimation of P f .
In contrast, the proposed IAIS method yields P f values very close to the MCS result across sample counts. However, with a low number of IMCMC samples (e.g., 200), C o v P f remains high. This can be attributed to the fact that the effective application of the KDE method requires an adequate number of sample points to build a reliable density model. As the number of samples increases, its C o v P f gradually decreases. When using 5000 samples, its C o v P f is less than 0.03, indicating that the calculation results are very stable. This demonstrates that the importance sampling density function constructed under these conditions effectively approximates the theoretically optimal one, thereby significantly enhancing both the computational accuracy and efficiency.

5.2. Analysis of Parameter l Value

In the proposal distribution function shown in Equation (5), the parameter l controls the radial jump capability of IMCMC. As shown in Figure 12, for the performance function shown in Equation (15), under the same initial state point (0, 10) and sampling count (1000 times) conditions, the samples obtained by IMCMC are significantly different when parameter l takes different values. This has a direct impact on the subsequent failure probability calculation.
Figure 12. Failure domain samples from IMCMC with different l values.
Theoretically, l should be chosen considering the initial state point position, sample count, and performance function dimension. When the dimension is high and the initial point is far from design points, l should be larger to expedite exploration near design points. When the IMCMC sample count is large, l should be smaller to enable refined exploration within the failure domain. Based on this, we propose the empirical formula in Equation (17) for preliminary l selection.
l = D M 1 / ( n + 1 )
where D is the distance from the Markov chain’s initial state point to the origin. M is the number of IMCMC samples. n is the performance function dimension.
To validate Equation (17), for the performance function in Equation (15), under different initial states x 0 and sample counts M, l is set via Equation (17), and P f and C o v P f are computed. Conditions and results are in Table 2. The importance sampling sample count for each case is 2000. The reference P f is 3.473 × 10 3 from 10 6 MCS samples.
Table 2. P f results under different conditions.
Table 2 shows that for different x 0 and M, using Equation (17) to set l yields P f values close to the MCS result, with C o v P f below 0.05, indicating stable results. These calculations verify the validity of Equation (17).

5.3. High-Dimensional Example

To validate the proposed IAIS method for high-dimensional performance functions, reliability is assessed for the function in Equation (18). The basic random variables in the equation all follow independent standard normal distributions. The geometric meaning of this performance function can be regarded as follows: In the standard normal space, there are two disconnected n-dimensional hyperspheres. The interior of the spheres is the failure domain, and other areas are the safe domain.
g 1 ( x ) = i = 1 n ( x i 4 ) 2 5 g 2 ( x ) = i = 1 n ( x i + 4 ) 2 5 g ( x ) = min ( g 1 ( x ) , g 2 ( x ) )
For the performance function in Equation (18), with dimensions n = 3 , 4 , 5 , the proposed IAIS method is used to compute P f and C o v P f . The exact P f is estimated via 10 8 MCS samples. The results are shown in Table 3.
Table 3. P f results for different dimensions.
Table 3 shows that for n = 3 , 4 , 5 , the P f from the proposed method is very close to the MCS result, with C o v P f below 0.05. This indicates high computational accuracy and efficiency for high-dimensional problems. The table also shows that as dimension increases, the number of IMCMC samples should be increased to allow KDE to effectively construct the target density, achieving lower C o v P f .

6. Conclusions

This paper presents an importance sampling method for structural reliability analysis based on IMCMC simulation and KDE. The key conclusions are as follows:
(1)
Based on the morphological features of the theoretical optimal importance sampling density in standard normal space, an n-dimensional annular uniform distribution function is proposed as the proposal distribution in MCMC simulation, enabling efficient sampling in discontinuous failure domains.
(2)
Using collected complex failure domain samples, KDE with a local bandwidth factor effectively constructs an importance sampling density that approximates the theoretical optimum.
(3)
Comparisons with other methods confirm that the proposed approach offers good accuracy and efficiency for the reliability analysis of complex and high-dimensional performance functions.

7. Discussion

Regarding the selection of the Markov chain’s initial state point, this paper uses Latin Hypercube Sampling to find a point in the failure domain with high probability density. This method is straightforward but somewhat random. Future work could explore swarm intelligence optimization algorithms like PSO to identify points near design points as initial states, further improving accuracy and efficiency.
For parameter l in Equation (5), an empirical formula considering the initial point position, sample count, and dimension is proposed. Future research could refine the determination of l to enhance performance.
As the performance function dimension n increases, both the number of IMCMC samples M and importance sampling iterations N should be increased to maintain high accuracy and stability. Additional numerical studies are needed to quantitatively explore the relationships between n , M , N , and P f estimation accuracy.

Author Contributions

Conceptualization, Y.Z.; methodology, Y.Z.; software, Y.Z.; validation, Y.Z.; formal analysis, Y.Z.; investigation, Y.Z.; resources, C.W. and X.H.; data curation, Y.Z.; writing—original draft preparation, Y.Z.; writing—review and editing, Y.Z.; visualization, Y.Z.; supervision, C.W. and X.H.; project administration, C.W. and X.H.; funding acquisition, C.W. and X.H. All authors have read and agreed to the published version of the manuscript.

Funding

This research received no external funding.

Data Availability Statement

The original contributions presented in this study are included in the article. Further inquiries can be directed to the corresponding author.

Conflicts of Interest

Authors Yue Zhang and Changjiang Wang were employed by the Zhejiang Institute of Communications Co., Ltd. The remaining authors declare that the research was conducted in the absence of any commercial or financial relationships that could be construed as a potential conflict of interest.

References

  1. Melchers, R.E.; Beck, A.T. Structural Reliability Analysis and Prediction; John Wiley & Sons: Hoboken, NJ, USA, 2018. [Google Scholar]
  2. Rubinstein, R.Y.; Kroese, D.P. Simulation and the Monte Carlo Method; John Wiley & Sons: Hoboken, NJ, USA, 2016. [Google Scholar]
  3. Madsen, H.O.; Krenk, S.; Lind, N.C. Methods of Structural Safety; Courier Corporation: North Chelmsford, MA, USA, 2006. [Google Scholar]
  4. Rackwitz, R. Reliability analysis—A review and some perspectives. Struct. Saf. 2001, 23, 365–395. [Google Scholar] [CrossRef]
  5. Au, S.K.; Beck, J.L. A new adaptive importance sampling scheme for reliability calculations. Struct. Saf. 1999, 21, 135–158. [Google Scholar] [CrossRef]
  6. Au, S.K.; Beck, J.L. Subset simulation and its application to seismic risk based on dynamic analysis. J. Eng. Mech. 2003, 129, 901–917. [Google Scholar] [CrossRef]
  7. Del Moral, P.; Doucet, A.; Jasra, A. Sequential monte carlo samplers. J. R. Stat. Soc. Ser. B Stat. Methodol. 2006, 68, 411–436. [Google Scholar] [CrossRef]
  8. Echard, B.; Gayton, N.; Lemaire, M. AK-MCS: An active learning reliability method combining Kriging and Monte Carlo simulation. Struct. Saf. 2011, 33, 145–154. [Google Scholar] [CrossRef]
  9. Dubourg, V.; Sudret, B.; Deheeger, F. Metamodel-based importance sampling for structural reliability analysis. Probabilistic Eng. Mech. 2013, 33, 47–57. [Google Scholar] [CrossRef]
  10. Hu, W.; Yan, J.; Zhao, F.; Jiang, C.; Liu, H.; Cho, H.; Lee, I. Surrogate-based time-dependent reliability analysis for a digital twin. J. Mech. Des. 2023, 145, 091708. [Google Scholar] [CrossRef]
  11. Andrieu, C.; De Freitas, N.; Doucet, A.; Jordan, M.I. An introduction to MCMC for machine learning. Mach. Learn. 2003, 50, 5–43. [Google Scholar] [CrossRef]
  12. Silverman, B.W. Density Estimation for Statistics and Data Analysis; Routledge: London, UK, 2018. [Google Scholar]
  13. Wu, D.; Ma, J. An effective EM algorithm for mixtures of Gaussian processes via the MCMC sampling and approximation. Neurocomputing 2019, 331, 366–374. [Google Scholar] [CrossRef]
  14. Kurtz, N.; Song, J. Cross-entropy-based adaptive importance sampling using Gaussian mixture. Struct. Saf. 2013, 42, 35–44. [Google Scholar] [CrossRef]
  15. Yang, X.; Cheng, X.; Wang, T.; Mi, C. System reliability analysis with small failure probability based on active learning Kriging model and multimodal adaptive importance sampling. Struct. Multidiscip. Optim. 2020, 62, 581–596. [Google Scholar] [CrossRef]
  16. Neal, R.M. MCMC using Hamiltonian dynamics. In Handbook of Markov Chain Monte Carlo; CRC Press: Boca Raton, FL, USA, 2011; Volume 2, p. 2. [Google Scholar]
  17. Haario, H.; Saksman, E.; Tamminen, J. An adaptive metropolis algorithm. Bernoulli 2001, 7, 223–242. [Google Scholar] [CrossRef]
  18. Geyer, C.J. Introduction to markov chain monte carlo. In Handbook of Markov Chain Monte Carlo; CRC Press: Boca Raton, FL, USA, 2011; Volume 20116022, p. 22. [Google Scholar]
  19. Robert, C.P.; Casella, G.; Casella, G. Monte Carlo Statistical Methods; Springer: Berlin/Heidelberg, Germany, 1999; Volume 2. [Google Scholar]
  20. Shen, L.; Zhang, Y.; Song, B.; Song, K. Reliability evaluation and importance analysis of structural systems considering dependence of multiple failure modes. Eng. Comput. 2022, 38, 1053–1070. [Google Scholar] [CrossRef]
  21. Zhang, Y.; Ma, J. Meta-model based sequential importance sampling method for structural reliability analysis under high dimensional small failure probability. Probabilistic Eng. Mech. 2024, 76, 103620. [Google Scholar] [CrossRef]
  22. Liu, P.L.; Der Kiureghian, A. Optimization algorithms for structural reliability. Struct. Saf. 1991, 9, 161–177. [Google Scholar] [CrossRef]
  23. Valdebenito, M.A.; Schuëller, G.I. A survey on approaches for reliability-based optimization. Struct. Multidiscip. Optim. 2010, 42, 645–663. [Google Scholar] [CrossRef]
  24. Kumar, A.; Sangeeta, P.; Ram, M. Complex system reliability analysis and optimization. In Advanced Mathematical Techniques in Science and Engineering; River Publishers: Gistrup, Denmark, 2022; pp. 185–199. [Google Scholar]
  25. Liu, X.; Li, D.Q.; Cao, Z.J.; Wang, Y. Adaptive Monte Carlo simulation method for system reliability analysis of slope stability based on limit equilibrium methods. Eng. Geol. 2020, 264, 105384. [Google Scholar] [CrossRef]
  26. Shayanfar, M.A.; Barkhordari, M.A.; Barkhori, M.; Barkhori, M. An adaptive directional importance sampling method for structural reliability analysis. Struct. Saf. 2018, 70, 14–20. [Google Scholar] [CrossRef]
  27. Liu, J.S.; Liu, J.S. Monte Carlo Strategies in Scientific Computing; Springer: Berlin/Heidelberg, Germany, 2001. [Google Scholar]
  28. Hurtado, J.E. Filtered importance sampling with support vector margin: A powerful method for structural reliability analysis. Struct. Saf. 2007, 29, 2–15. [Google Scholar] [CrossRef]
  29. Fauriat, W.; Gayton, N. AK-SYS: An adaptation of the AK-MCS method for system reliability. Reliab. Eng. Syst. Saf. 2014, 123, 137–144. [Google Scholar] [CrossRef]
  30. Cadini, F.; Santos, F.; Zio, E. An improved adaptive kriging-based importance technique for sampling multiple failure regions of low probability. Reliab. Eng. Syst. Saf. 2014, 131, 109–117. [Google Scholar] [CrossRef]
  31. Xiao, S.; Nowak, W. Reliability sensitivity analysis based on a two-stage Markov chain Monte Carlo simulation. Aerosp. Sci. Technol. 2022, 130, 107938. [Google Scholar] [CrossRef]
  32. Shields, M.D.; Zhang, J. The generalization of Latin hypercube sampling. Reliab. Eng. Syst. Saf. 2016, 148, 96–108. [Google Scholar] [CrossRef]
  33. Rosenthal, J.S. Optimal proposal distributions and adaptive MCMC. In Handbook of Markov Chain Monte Carlo; CRC Press: Boca Raton, FL, USA, 2011; Volume 4, pp. 93–111. [Google Scholar]
  34. Sheather, S.J. An improved data-based algorithm for choosing the window width when estimating the density at a point. Comput. Stat. Data Anal. 1986, 4, 61–65. [Google Scholar] [CrossRef]
Disclaimer/Publisher’s Note: The statements, opinions and data contained in all publications are solely those of the individual author(s) and contributor(s) and not of MDPI and/or the editor(s). MDPI and/or the editor(s) disclaim responsibility for any injury to people or property resulting from any ideas, methods, instructions or products referred to in the content.

Article Metrics

Citations

Article Access Statistics

Multiple requests from the same IP address are counted as one view.