Impact of Heat Exchanger Effectiveness and EGR on Energy and Emission Performance of a CI Engine
Abstract
1. Introduction
2. Materials and Methods
2.1. Methodology of Experimental Research
2.2. Methodology for Numerical Modeling of the Combustion Process
2.3. Exhaust Gas Analysis Methodology
3. Results and Discussion
3.1. Parameters of the Air–Exhaust Gas Mixture Supplied to the Engine Cylinder
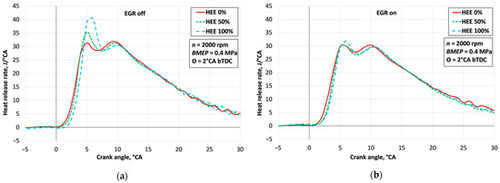
3.2. Numerical Analysis of the Combustion Process
3.3. Investigation of Engine Energy Indicators
3.4. Investigation of Engine Environmental Performance Indicators
4. Conclusions
- 1.
- EGR and air mass effects:
- -
- at BMEP levels of 0.2, 0.4, and 0.6 MPa, the ECU-controlled EGR rates were approximately 0.28, 0.22, and 0.19, respectively;
- -
- corresponding intake air mass reductions reached approximately 27%, 20%, and 18%;
- -
- with 100% HEE, intake manifold air temperature dropped by ~13 °C, while intercooler outlet temperature decreased by ~52 °C (EGR on) and ~48 °C (EGR off).
- 2.
- Air mass and ECU regulation:
- -
- the ECU maintains the EGR ratio by adjusting boost pressure and monitoring intake air mass.
- -
- under EGR on, intake air mass increased only by ~1.5% at full HEE, whereas under EGR off, it rose by up to ~4%.
- 3.
- Combustion and pressure dynamics:
- -
- under EGR off, enhanced air cooling raised compression pressure and ignition delay, boosting heat release rate and reducing exhaust gas temperature by up to 20 °C;
- -
- EGR on conditions, with higher CO2 concentration, suppressed combustion intensity, lowering peak temperature by ~16%.
- 4.
- Fuel consumption and efficiency:
- -
- EGR increased BSFC by 2–2.8% and exhaust gas temperature by 15–17% due to reduced combustion efficiency;
- -
- higher HEE partially mitigated these effects, improving combustion quality and reducing BSFC by up to 2.5%.
- 5.
- Emissions:
- -
- under EGR-off, 100% HEE reduced:
- ○
- smoke opacity by 15–18% due to increased air–fuel ratio (λ);
- ○
- specific NOx emissions by 14–41% due to lower combustion temperatures;
- -
- under EGR-on, smoke opacity increased 4.3–6 times, with HEE reducing smoke by up to 14% only under low loads;
- -
- NOx emissions decreased by 30–45% due to EGR alone, and up to 60% when combined with 100% HEE;
- -
- HC emission reduction with HEE was limited due to the offsetting effect of lower combustion temperature.
- -
- CO2 emissions:
- ○
- decreased by up to 3.0% under EGR off with higher HEE;
- ○
- increased by up to 4% under EGR on, partially offset by HEE at lower loads.
- 6.
- General implications:
- -
- under EGR off, high HEE intensity can partially substitute EGR by reducing NOx and enhancing combustion;
- -
- under EGR on, HEE effectiveness is limited by ECU-imposed intake air constraints.
- -
- combined control of EGR and HEE is essential for balancing NOx emissions and engine efficiency across operating ranges.
Author Contributions
Funding
Institutional Review Board Statement
Informed Consent Statement
Data Availability Statement
Acknowledgments
Conflicts of Interest
Abbreviations
| BMEP | Brake mean effective pressure |
| BSFC | Brake specific fuel consumption |
| BTE | Brake thermal efficiency |
| CA | Crank angle |
| CI | Compression ignition |
| CO | Carbon monoxide |
| CO2 | Carbon dioxide |
| ECU | Electronic control unit |
| EGR | Exhaust gas recirculation |
| HC | Hydrocarbons |
| HEE | Heat exchanger effectiveness |
| HRR | Heat release rate |
| ICE | Internal combustion engine |
| NOx | Nitrogen oxide |
| O2 | Oxygen |
| SI | Spark-ignition |
| SOI | Start of injection |
| TDC | Top dead center |
| pboost | Boost pressure |
| Tex | Exhaust gas temperature |
| Tin | Intake manifold temperature |
| ΔTcool | Intake air temperature drop |
| λ | The air excess air ratio—lambda |
References
- Energy Consumption in Transport at Pre-Pandemic Levels. Available online: https://ec.europa.eu/eurostat/web/products-eurostat-news/w/ddn-20241008-1 (accessed on 4 May 2025).
- Global Transport CO2 Emissions 1970–2023. Available online: https://www.statista.com/statistics/1291615/carbon-dioxide-emissions-transport-sector-worldwide/ (accessed on 4 May 2025).
- IEA—International Energy Agency. Energy Technology Perspectives 2023; International Energy Agency: Paris, France, 2023; p. 464. [Google Scholar]
- Onukwuli, O.D.; Esonye, C.; Ofoefule, A.U. Combustion Exhaust Release Impact, Diesel Engine Performance, and Optimization Studies of Green Diesel-Petrodiesel Blend in a High Compression Ratio Direct-Injection Compression-Ignition Engine. Adv. Mech. Eng. 2021, 13, 16878140211018778. [Google Scholar] [CrossRef]
- Pourdarbani, R.; Ardabili, S.; Akbarpouran, E.; Hernandez-Hernandez, J.L. Exergo-Environmental Optimization of a Diesel Engine. Acta Technol. Agric. 2022, 25, 157–168. [Google Scholar] [CrossRef]
- Leach, F.; Kalghatgi, G.; Stone, R.; Miles, P. The Scope for Improving the Efficiency and Environmental Impact of Internal Combustion Engines. Transp. Eng. 2020, 1, 100005. [Google Scholar] [CrossRef]
- Thiruvengadam, A.; Pradhan, S.; Thiruvengadam, P.; Besch, M.; Carder, D.; Delgado, O. Heavy-Duty Vehicle Diesel Engine Efficiency Evaluation and Energy Audit; Center for Alternative Fuels, Engines & Emissions West Virginia University: Morgantown, WV, USA; Washington, DC, USA, 2014; p. 66. [Google Scholar]
- Mateichyk, V.; Kryshtopa, S.; Kryshtopa, L.; Smieszek, M.; Kostian, N.; Mosciszewski, J.; Marchuk, N. Research of Energy Efficiency and Environmental Performance of Vehicle Power Plant Converted to Work on Alternative Fuels. Machines 2024, 12, 285. [Google Scholar] [CrossRef]
- Greenhouse Gas Emissions from Transport in Europe. Available online: https://www.eea.europa.eu/en/analysis/indicators/greenhouse-gas-emissions-from-transport (accessed on 4 May 2025).
- Liu, J.; Li, J.; Wang, Y.; Dong, D.; Yin, Y.; Jin, H.; Sun, S.; Dou, H.; Shi, Y.; Fu, L.; et al. Technology Development Analysis on Low Carbon for Power of Heavy-Duty Commercial Vehicle. Automot. Innov. 2019, 2, 64–70. [Google Scholar] [CrossRef]
- Heywood, J. Internal Combustion Engine Fundamentals 2E, 2nd ed.; McGraw-Hill Education: New York, NY, USA, 2019; ISBN 978-1-260-11610-6. [Google Scholar]
- Alahmer, A.; Alahmer, H.; Handam, A.; Rezk, H. Environmental Assessment of a Diesel Engine Fueled with Various Biodiesel Blends: Polynomial Regression and Grey Wolf Optimization. Sustainability 2022, 14, 1367. [Google Scholar] [CrossRef]
- Paredes Rojas, J.C.; Torres San Miguel, C.R.; Vázquez Medina, R.; Leal Naranjo, J.A.; Ortiz Hernàndez, F.E.; Costa Castelló, R. Pollutant Emissions and Combustion Efficiency Assessment of Engines Using Biodiesel. Appl. Sci. 2020, 10, 8646. [Google Scholar] [CrossRef]
- Andrych-Zalewska, M.; Chłopek, Z.; Merkisz, J.; Pielecha, J. Assessment of the Internal Catalyst Efficiency in a Diesel Engine of a Vehicle under the Conditions Simulating Real Driving. Energies 2020, 13, 6569. [Google Scholar] [CrossRef]
- Žaglinskis, J.; Rimkus, A. Research on the Performance Parameters of a Compression-Ignition Engine Fueled by Blends of Diesel Fuel, Rapeseed Methyl Ester and Hydrotreated Vegetable Oil. Sustainability 2023, 15, 14690. [Google Scholar] [CrossRef]
- Afzal, A.; Soudagar, M.E.M.; Belhocine, A.; Kareemullah, M.; Hossain, N.; Alshahrani, S.; Saleel, C.A.; Subbiah, R.; Qureshi, F.; Mujtaba, M.A. Thermal Performance of Compression Ignition Engine Using High Content Biodiesels: A Comparative Study with Diesel Fuel. Sustainability 2021, 13, 7688. [Google Scholar] [CrossRef]
- Singh, M.K.; Chaudhary, V.P.; Lata, D.B. Experimental Investigations on the Performance and Emission Characteristics of Hydrogen Enriched Bio-CNG in a Common Rail Direct Injection Dual Fuel Diesel Engine. Int. J. Hydrogen Energy 2024, 88, 579–593. [Google Scholar] [CrossRef]
- Zhang, J.; Liu, G.; Xu, H. Research on Combustion and Emissions of Heavy Duty Diesel Engines under Low-Speed and Low-Load Conditions in Low Temperature Environments. PLoS ONE 2025, 20, e0318933. [Google Scholar] [CrossRef]
- Woo, C.; Kook, S.; Hawkes, E.R. Effect of Intake Air Temperature and Common-Rail Pressure on Ethanol Combustion in a Single-Cylinder Light-Duty Diesel Engine. Fuel 2016, 180, 9–19. [Google Scholar] [CrossRef]
- Liang, K.; Liang, J.; Li, G.; Shao, Z.; Jiang, Z.; Feng, J. Improvement of Engine Combustion and Emission Characteristics by Fuel Property Modulation. Sustainability 2024, 16, 10764. [Google Scholar] [CrossRef]
- Meenakshi, V.; Booma Devi, P.; Al Obaid, S. Exploring the Relationship between Fuel Injection Pressure and Nanoparticle Additives on the Combustion, Performance and Emission Characteristics of Diesel Engine Fueled with Animal Waste-Based Blends. Fuel 2024, 372, 132065. [Google Scholar] [CrossRef]
- Vargün, M.; Özsezen, A.N.; Botsalı, H.; Sayın, C. A Study on the Impact of Fuel Injection Parameters and Boost Pressure on Combustion Characteristics in a Diesel Engine Using Alcohol/Diesel Blends. Process Saf. Environ. Prot. 2023, 177, 29–41. [Google Scholar] [CrossRef]
- Wang, X.; Li, H.; Li, G.; Fan, J.; Bai, H.; Gao, Y.; Huo, H. Effect of Injection Pressure on Low-Temperature Fuel Atomization Characteristics of Diesel Engines under Cold Start Conditions. Int. J. Multiph. Flow 2024, 172, 104712. [Google Scholar] [CrossRef]
- Yao, X.; Dong, Y.; Li, X.; Ni, P.; Zhang, X.; Fan, Y. Exploring the Combustion Performance of a Non-Road Air-Cooled Two-Cylinder Turbocharged Diesel Engine. Sustainability 2024, 16, 6031. [Google Scholar] [CrossRef]
- Teoh, Y.H.; Huspi, H.A.; How, H.G.; Sher, F.; Din, Z.U.; Le, T.D.; Nguyen, H.T. Effect of Intake Air Temperature and Premixed Ratio on Combustion and Exhaust Emissions in a Partial HCCI-DI Diesel Engine. Sustainability 2021, 13, 8593. [Google Scholar] [CrossRef]
- Jiang, H.; Wang, H.; Jiang, F.; Hu, J.; Hu, L. Research on the Optimization of a Diesel Engine Intercooler Structure Based on Numerical Simulation. Processes 2024, 12, 276. [Google Scholar] [CrossRef]
- Yu, C.; Qin, S.; Chai, B.; Huang, S.; Liu, Y. The Effect of Compressible Flow on Heat Transfer Performance of Heat Exchanger by Computational Fluid Dynamics (CFD) Simulation. Entropy 2019, 21, 829. [Google Scholar] [CrossRef]
- Kim, D.H.; Lee, J.-H.; Choi, J.Y.; Kwon, Y.C. Study on Heat Transfer and Pressure Drop Characteristics of Internal Heat Exchangers in CO2 System under Cooling Condition. Heat Mass Transf. 2009, 46, 187–196. [Google Scholar] [CrossRef]
- Miller, J.; Hoke, J.; Schauer, F. Effect of Unsteady Flow on Intercooler Performance. In Proceedings of the SAE 2014 Aerospace Systems and Technology Conference, Cincinnati, OH, USA, 16 September 2014; p. 8. [Google Scholar]
- Yang, K.; Jung, J.; Yang, S. Enhancement of Internal Pressure Drop Characteristic by Optimization of Intercooler Tank Shape for Improving the Turbocharger Efficiency. Trans. Korean Soc. Automot. Eng. 2019, 27, 1–6. [Google Scholar] [CrossRef]
- Yu, C.; Zhang, W.; Xue, X.; Lou, J.; Lao, G. Analysis of Water-Cooled Intercooler Thermal Characteristics. Energies 2021, 14, 8332. [Google Scholar] [CrossRef]
- Henriksson, L.; Dahl, E.; Gullberg, P.; Contet, A.; Skare, T.; Lofdahl, L. Experimental Investigation of Heat Transfer Rate and Pressure Drop through Angled Compact Heat Exchangers Relative to the Incoming Airflow. SAE Int. J. Commer. Veh. 2014, 7, 448–457. [Google Scholar] [CrossRef]
- Shaaban, S.; Seume, J. Impact of Turbocharger Non-Adiabatic Operation on Engine Volumetric Efficiency and Turbo Lag. Int. J. Rotating Mach. 2012, 2012, 625453. [Google Scholar] [CrossRef]
- Park, S.; Matsumoto, T.; Oda, N. Numerical Analysis of Turbocharger Response Delay Mechanism. In Proceedings of the SAE 2010 World Congress & Exhibition, Detroit, MI, USA, 12 April 2010; p. 11. [Google Scholar]
- Soliman, M.; Emara, A.; Abdel Razek, E.; Moneib, H. Modeling and CFD Analysis of Air Flow through Automotive Turbocharger Compressor: Analytical Approach and Validation. Int. Conf. Aerosp. Sci. Aviat. Technol. 2017, 17, 1–15. [Google Scholar] [CrossRef][Green Version]
- Sharif, P.M.; Hairuddin, A.A.; As’ary, A.; Md Rezali, K.A.; Noor, M.M.; Shareef, S.M. Development of Evaporative Intercooler Heat Exchanger for Vehicle Charge Air Enhancement Using CFD Simulation. J. Mech. Eng. Sci. 2019, 13, 6195–6217. [Google Scholar] [CrossRef]
- Li, D.; Zhang, G.; Sun, K.; Bai, S.; Li, G. CFD-Based Optimization of a Diesel Engine Waste Heat Recycle System. Fluid Dyn. Mater. Process. 2023, 19, 1479–1493. [Google Scholar] [CrossRef]
- Hwang, P.-W.; Wu, J.-H.; Chang, Y.-J. Optimization Based on Computational Fluid Dynamics and Machine Learning for the Performance of Diffuser-Augmented Wind Turbines with Inlet Shrouds. Sustainability 2024, 16, 3648. [Google Scholar] [CrossRef]
- Buck, K.M. Internal Combustion Engine with Hybrid Cooling System. Patent 7,287,493, 30 October 2007. [Google Scholar]
- Xu, Z.; Xia, Q.; Peng, C.; Wang, Y. Thermal Management Development for a Dedicated Hybrid Engine. In Proceedings of the WCX SAE World Congress Experience, Detroit, MI, USA, 9 April 2024; p. 16. [Google Scholar]
- ISO 3930/OIML R 99; Instruments for Measuring Vehicle Exhaust Emissions. ISO: Geneva, Switzerland, 2000.
- UNECE. Uniform Provisions Concerning the Approval of Engines with Regard to the Emission of Visible Pollutants and the Measurement of Engine Power; Regulation No. 24; United Nations Economic Commission for Europe: Geneva, Switzerland, 2006. [Google Scholar]
- AVL BOOST Theory PDF|PDF|Internal Combustion Engine|Combustion. Available online: https://www.scribd.com/document/244788918/BOOST-Theory-pdf (accessed on 14 May 2025).
- Shahridzuan Abdullah, I.; Khalid, A.; Jaat, N.; Saputra Nursal, R.; Koten, H.; Karagoz, Y. A Study of Ignition Delay, Combustion Process and Emissions in a High Ambient Temperature of Diesel Combustion. Fuel 2021, 297, 120706. [Google Scholar] [CrossRef]
- Agarwal, D.; Singh, S.K.; Agarwal, A.K. Effect of Exhaust Gas Recirculation (EGR) on Performance, Emissions, Deposits and Durability of a Constant Speed Compression Ignition Engine. Appl. Energy 2011, 88, 2900–2907. [Google Scholar] [CrossRef]
- Gu, W.; Su, W. Study on the Effects of Exhaust Gas Recirculation and Fuel Injection Strategy on Transient Process Performance of Diesel Engines. Sustainability 2023, 15, 12403. [Google Scholar] [CrossRef]
- Liu, S.; Zhang, Y. Research on the Integrated Intercooler Intake System of Turbocharged Diesel Engine. Int. J. Automot. Technol. 2020, 21, 339–349. [Google Scholar] [CrossRef]



















| Parameter | Value | Units |
|---|---|---|
| Number of cylinders | 4 | - |
| Bore | 79.5 | mm |
| Stroke | 95.5 | mm |
| Displacement | 1896 | cm3 |
| Compression ratio | 19.5 | - |
| Rated power | 66 | kW |
| Rated speed | 4000 | rpm |
| Peak torque | 180 | Nm |
| Peak torque speed | 2000–2500 | rpm |
| Parameter | Measurement Limits | Resolution | Units |
|---|---|---|---|
| CO | 0–10 | 0.01 | % Vol. |
| CO2 | 0–20 | 0.1 | % Vol. |
| O2 | 0–25 | 0.01 | % Vol. |
| HC | 0–20,000 | 1 | ppm Vol. |
| NOx | 0–5000 | 1 | ppm Vol. |
| Lambda, λ | 0–9.999 | 0.001 | - |
| Absorption (K-Value) | 0–99.99 | 0.01 | m−1 |
| Opacity | 0–100 | 0.1 | % |
Disclaimer/Publisher’s Note: The statements, opinions and data contained in all publications are solely those of the individual author(s) and contributor(s) and not of MDPI and/or the editor(s). MDPI and/or the editor(s) disclaim responsibility for any injury to people or property resulting from any ideas, methods, instructions or products referred to in the content. |
© 2025 by the authors. Licensee MDPI, Basel, Switzerland. This article is an open access article distributed under the terms and conditions of the Creative Commons Attribution (CC BY) license (https://creativecommons.org/licenses/by/4.0/).
Share and Cite
Rimkus, A.; Matulis, A.; Pukalskas, S. Impact of Heat Exchanger Effectiveness and EGR on Energy and Emission Performance of a CI Engine. Appl. Sci. 2025, 15, 8780. https://doi.org/10.3390/app15168780
Rimkus A, Matulis A, Pukalskas S. Impact of Heat Exchanger Effectiveness and EGR on Energy and Emission Performance of a CI Engine. Applied Sciences. 2025; 15(16):8780. https://doi.org/10.3390/app15168780
Chicago/Turabian StyleRimkus, Alfredas, Audrius Matulis, and Saugirdas Pukalskas. 2025. "Impact of Heat Exchanger Effectiveness and EGR on Energy and Emission Performance of a CI Engine" Applied Sciences 15, no. 16: 8780. https://doi.org/10.3390/app15168780
APA StyleRimkus, A., Matulis, A., & Pukalskas, S. (2025). Impact of Heat Exchanger Effectiveness and EGR on Energy and Emission Performance of a CI Engine. Applied Sciences, 15(16), 8780. https://doi.org/10.3390/app15168780

