Substantiation of Prostate Cancer Risk Calculator Based on Physical Activity, Lifestyle Habits, and Underlying Health Conditions: A Longitudinal Nationwide Cohort Study
Abstract
1. Introduction
2. Materials and Methods
2.1. Data
2.2. Research Design
2.3. Variables
2.4. Definition of Diagnosis Codes
2.5. Statistical Analysis
2.6. Substantiation Methods
3. Results
3.1. Demographic and Health-Related Characteristics
3.2. Risk Calculator to Measure the Probability of PCa-Free Survival Observations for 5 Years
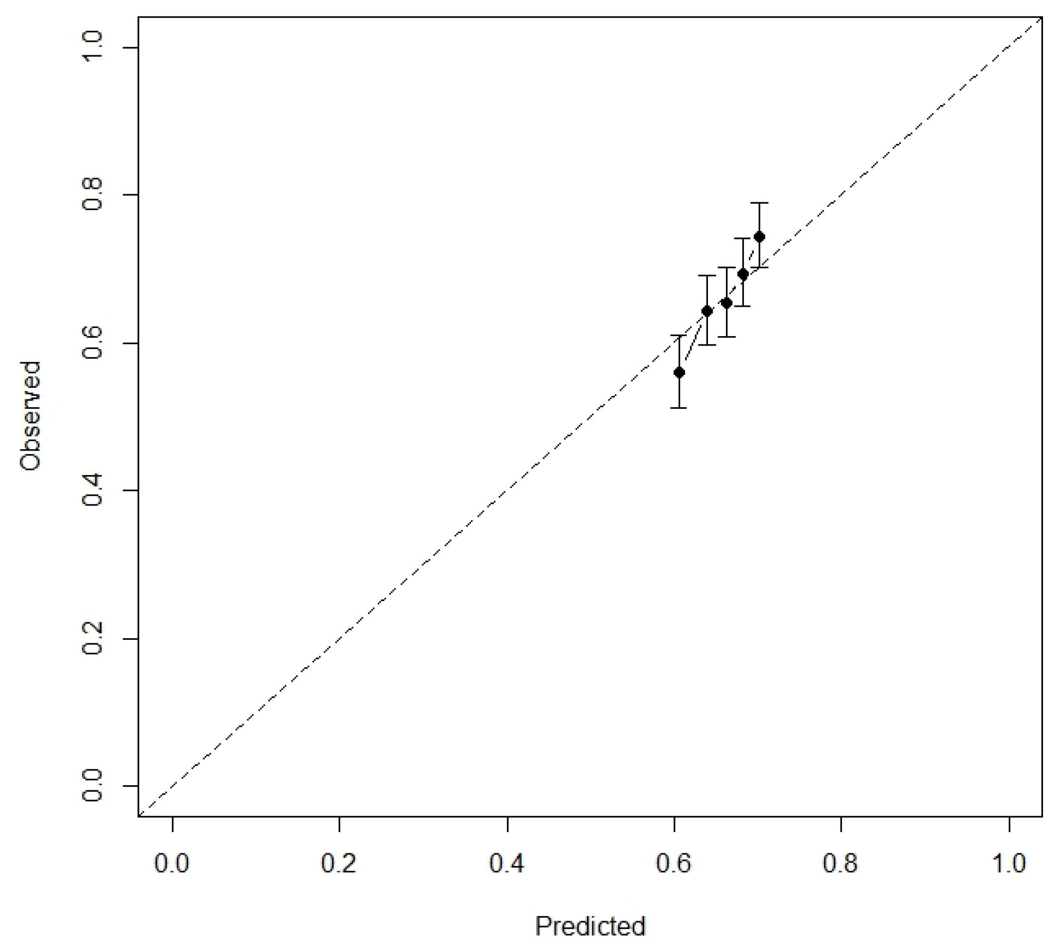
3.3. Substantiation with Public Big Data Sets
4. Discussion
5. Conclusions
Funding
Institutional Review Board Statement
Informed Consent Statement
Data Availability Statement
Conflicts of Interest
References
- Siegel, R.L.; Miller, K.D.; Wagle, N.S.; Jemal, A. Cancer statistics, 2023. CA A Cancer J. Clin. 2023, 73, 17–48. [Google Scholar]
- National Cancer Information Center. National Cancer Statistics 2021. Available online: https://www.cancer.go.kr/lay1/S1T639C641/contents.do (accessed on 16 May 2025).
- Park, E.H.; Jung, K.-W.; Park, N.J.; Kang, M.J.; Yun, E.H.; Kim, H.-J.; Kim, J.-E.; Kong, H.-J.; Im, J.-S.; Seo, H.G. Cancer statistics in Korea: Incidence, mortality, survival, and prevalence in 2021. Cancer Res. Treat Off. J. Korean Cancer Assoc. 2024, 56, 357–371. [Google Scholar]
- Resnick, M.J.; Koyama, T.; Fan, K.-H.; Albertsen, P.C.; Goodman, M.; Hamilton, A.S.; Hoffman, R.M.; Potosky, A.L.; Stanford, J.L.; Stroup, A.M. Long-term functional outcomes after treatment for localized prostate cancer. N. Engl. J. Med. 2013, 368, 436–445. [Google Scholar]
- Hung, C.-F.; Yang, C.-K.; Ou, Y.-C. Robotic assisted laparoscopic radical prostatectomy following transurethral resection of the prostate: Perioperative, oncologic and functional outcomes. Prostate Int. 2014, 2, 82–89. [Google Scholar] [PubMed]
- Park, J.Y.; Yoon, S.; Park, M.S.; Cho, D.-Y.; Park, H.-S.; Moon, D.G.; Yoon, D.K. Initial biopsy outcome prediction in Korean patients-comparison of a noble web-based Korean prostate cancer risk calculator versus prostate-specific antigen testing. J. Korean Med. Sci. 2011, 26, 85. [Google Scholar] [PubMed]
- Gómez-Gómez, E.; Carrasco-Valiente, J.; Blanca-Pedregosa, A.; Barco-Sánchez, B.; Fernandez-Rueda, J.L.; Molina-Abril, H.; Valero-Rosa, J.; Font-Ugalde, P.; Requena-Tapia, M.J. European randomized study of screening for prostate cancer risk calculator: External validation, variability, and clinical significance. Urology 2017, 102, 85–91. [Google Scholar]
- Ankerst, D.P.; Hoefler, J.; Bock, S.; Goodman, P.J.; Vickers, A.; Hernandez, J.; Sokoll, L.J.; Sanda, M.G.; Wei, J.T.; Leach, R.J. Prostate Cancer Prevention Trial risk calculator 2.0 for the prediction of low-vs high-grade prostate cancer. Urology 2014, 83, 1362–1368. [Google Scholar]
- Kinnaird, A.; Brisbane, W.; Kwan, L.; Priester, A.; Chuang, R.; Barsa, D.E.; Delfin, M.; Sisk, A.; Margolis, D.; Felker, E. A prostate cancer risk calculator: Use of clinical and magnetic resonance imaging data to predict biopsy outcome in North American men. Can. Urol. Assoc. J. 2021, 16, E161. [Google Scholar]
- Hernandez, D.J.; Nielsen, M.E.; Han, M.; Partin, A.W. Contemporary evaluation of the D’amico risk classification of prostate cancer. Urology 2007, 70, 931–935. [Google Scholar]
- Birch, A.; Withington, J.; Kinsella, J.; Acher, P.; Challacombe, B. Use Of The Swop Calculator To Reduce Unnecessary Prostate Biopsies In Men With Elevated Psa: 0524. Int. J. Surg. 2012, 10, S97. [Google Scholar]
- Albright, F.; Stephenson, R.A.; Agarwal, N.; Teerlink, C.C.; Lowrance, W.T.; Farnham, J.M.; Albright, L.A.C. Prostate cancer risk prediction based on complete prostate cancer family history. Prostate 2015, 75, 390–398. [Google Scholar] [PubMed]
- Mohr, D.C.; Zhang, M.; Schueller, S.M. Personal sensing: Understanding mental health using ubiquitous sensors and machine learning. Annu. Rev. Clin. Psychol. 2017, 13, 23–47. [Google Scholar] [PubMed]
- National Health Insurance Sharing Service. National Health Insurance Sharing Service (NHISS) Bigdata Platform. 2017. Available online: https://nhiss.nhis.or.kr/ (accessed on 16 May 2025).
- Cox, D.R. Regression models and life-tables. J. R. Stat. Soc. Ser. B (Methodol.) 1972, 34, 187–202. [Google Scholar]
- Fox, J.; Weisberg, S. Cox proportional-hazards regression for survival data. In An R and S-PLUS Companion to Applied Regression; SAGE Publications, Inc.: Thousand Oaks, CA, USA, 2002; Volume 2002. [Google Scholar]
- Steck, H.; Krishnapuram, B.; Dehing-Oberije, C.; Lambin, P.; Raykar, V.C. On ranking in survival analysis: Bounds on the concordance index. In Advances In Neural Information Processing Systems; MIT Press: Cambridge, MA, USA, 2007; Volume 20. [Google Scholar]
- Adam, A.; Hellig, J.C.; Perera, M.; Bolton, D.; Lawrentschuk, N. ‘Prostate Cancer Risk Calculator’mobile applications (Apps): A systematic review and scoring using the validated user version of the Mobile Application Rating Scale (uMARS). World J. Urol. 2018, 36, 565–573. [Google Scholar]
- Roobol, M.J.; van Vugt, H.A.; Loeb, S.; Zhu, X.; Bul, M.; Bangma, C.H.; van Leenders, A.G.; Steyerberg, E.W.; Schröder, F.H. Prediction of prostate cancer risk: The role of prostate volume and digital rectal examination in the ERSPC risk calculators. Eur. Urol. 2012, 61, 577–583. [Google Scholar]
- Wang, A.; Tseng, C.-c.; Rose, H.; Cheng, I.; Wu, A.H.; Haiman, C.A. Ambient air pollution and risk of prostate cancer: The multiethnic cohort study. Cancer Res. 2022, 82 (Suppl. S12), 1437. [Google Scholar]
- Pereira-Azevedo, N.; Osório, L.; Fraga, A.; Roobol, M.J. Rotterdam prostate cancer risk calculator: Development and usability testing of the mobile phone app. JMIR Cancer 2017, 3, e6750. [Google Scholar]
- Jeong, C.W.; Lee, S.; Jung, J.-W.; Lee, B.K.; Jeong, S.J.; Hong, S.K.; Byun, S.-S.; Lee, S.E. Mobile application-based Seoul National University Prostate Cancer Risk Calculator: Development, validation, and comparative analysis with two Western risk calculators in Korean men. PLoS ONE 2014, 9, e94441. [Google Scholar]
- Chen, I.-H.A.; Chu, C.-H.; Lin, J.-T.; Tsai, J.-Y.; Yu, C.-C.; Sridhar, A.N.; Sooriakumaran, P.; Loureiro, R.C.; Chand, M. Prostate Cancer Risk Calculator Apps in a Taiwanese Population Cohort: Validation Study. J. Med. Internet Res. 2020, 22, e16322. [Google Scholar]
- De Nunzio, C.; Lombardo, R.; Tema, G.; Cancrini, F.; Russo, G.I.; Chacon, R.; Garcia-Cruz, E.; Ribal, M.J.; Morgia, G.; Alcaraz, A. Mobile phone apps for the prediction of prostate cancer: External validation of the Coral and Rotterdam apps. Eur. J. Surg. Oncol. 2019, 45, 471–476. [Google Scholar]
- Røder, M.A.; Berg, K.D.; Loft, M.D.; Thomsen, F.B.; Ferrari, M.; Kurbegovic, S.; Rytgaard, H.C.; Gruschy, L.; Brasso, K.; Gerds, T.A. The CPC risk calculator: A new app to predict prostate-specific antigen recurrence during follow-up after radical prostatectomy. Eur. Urol. Focus 2018, 4, 360–368. [Google Scholar] [PubMed]
- De Nunzio, C.; Lombardo, R.; Baldassarri, V.; Cindolo, L.; Bertolo, R.; Minervini, A.; Sessa, F.; Muto, G.; Bove, P.; Vittori, M. Rotterdam mobile phone app including MRI data for the prediction of prostate cancer: A multicenter external validation. Eur. J. Surg. Oncol. 2021, 47, 2640–2645. [Google Scholar] [PubMed]
- Nam, R.K.; Kattan, M.W.; Chin, J.L.; Trachtenberg, J.; Singal, R.; Rendon, R.; Klotz, L.H.; Sugar, L.; Sherman, C.; Izawa, J. Prospective multi-institutional study evaluating the performance of prostate cancer risk calculators. J. Clin. Oncol. 2011, 29, 2959–2964. [Google Scholar]
- Patel, H.D.; Remmers, S.; Ellis, J.L.; Li, E.V.; Roobol, M.J.; Fang, A.M.; Davik, P.; Rais-Bahrami, S.; Murphy, A.B.; Ross, A.E. Comparison of magnetic resonance imaging–based risk calculators to predict prostate cancer risk. JAMA Netw. Open 2024, 7, e241516. [Google Scholar] [PubMed]
- Kim, S.H.; Kim, S.; Joung, J.Y.; Kwon, W.-A.; Seo, H.K.; Chung, J.; Nam, B.-H.; Lee, K.H. Lifestyle risk prediction model for prostate cancer in a Korean population. Cancer Res. Treat. Off. J. Korean Cancer Assoc. 2018, 50, 1194–1202. [Google Scholar]
- McDonald, A.C.; Gernand, J.; Geyer, N.R.; Wu, H.; Yang, Y.; Wang, M. Ambient air exposures to arsenic and cadmium and overall and prostate cancer–specific survival among prostate cancer cases in Pennsylvania, 2004 to 2014. Cancer 2022, 128, 1832–1839. [Google Scholar]
- Vigneswaran, H.T.; Jagai, J.S.; Greenwald, D.T.; Patel, A.P.; Kumar, M.; Dobbs, R.W.; Moreira, D.M.; Abern, M.R. Association between environmental quality and prostate cancer stage at diagnosis. Prostate Cancer Prostatic Dis. 2021, 24, 1129–1136. [Google Scholar]
- Youogo, L.M.-A.K.; Parent, M.-E.; Hystad, P.; Villeneuve, P.J. Ambient air pollution and prostate cancer risk in a population-based Canadian case-control study. Environ. Epidemiol. 2022, 6, e219. [Google Scholar]
- Tse, L.A.; Lee, P.M.Y.; Ho, W.M.; Lam, A.T.; Lee, M.K.; Ng, S.S.M.; He, Y.; Leung, K.-s.; Hartle, J.C.; Hu, H. Bisphenol A and other environmental risk factors for prostate cancer in Hong Kong. Environ. Int. 2017, 107, 1–7. [Google Scholar]
- Ekman, P.; Grönberg, H.; Matsuyama, H.; Kivineva, M.; Bergerheim, U.S.; Li, C. Links between genetic and environmental factors and prostate cancer risk. Prostate 1999, 39, 262–268. [Google Scholar]
- Ferrís-I-Tortajada, J.; Berbel-Tornero, O.; Garcia-i-Castell, J.; López-Andreu, J.; Sobrino-Najul, E.; Ortega-García, J. Non-dietary environmental risk factors in prostate cancer. Actas Urol. Esp. (Engl. Ed.) 2011, 35, 289–295. [Google Scholar]
- Ekman, P. Genetic and environmental factors in prostate cancer genesis: Identifying high-risk cohorts. Eur. Urol. 1999, 35, 362–369. [Google Scholar]
- He, B.-M.; Chen, R.; Sun, T.-Q.; Yang, Y.; Zhang, C.-L.; Ren, S.-C.; Gao, X.; Sun, Y.-H. Prostate cancer risk prediction models in Eastern Asian populations: Current status, racial difference, and future directions. Asian J. Androl. 2020, 22, 158–161. [Google Scholar] [PubMed]
- Di Pietro, G.; Chornokur, G.; Kumar, N.B.; Davis, C.; Park, J.Y. Racial differences in the diagnosis and treatment of prostate cancer. Int. Neurourol. J. 2016, 20, S112. [Google Scholar]
- Hinata, N.; Fujisawa, M. Racial differences in prostate cancer characteristics and cancer-specific mortality: An overview. World J. Men’s Health 2022, 40, 217. [Google Scholar]
- Hoffman, R.M.; Gilliland, F.D.; Eley, J.W.; Harlan, L.C.; Stephenson, R.A.; Stanford, J.L.; Albertson, P.C.; Hamilton, A.S.; Hunt, W.C.; Potosky, A.L. Racial and ethnic differences in advanced-stage prostate cancer: The Prostate Cancer Outcomes Study. J. Natl. Cancer Inst. 2001, 93, 388–395. [Google Scholar]
- Jones, B.A.; Liu, W.-L.; Araujo, A.B.; Kasl, S.V.; Silvera, S.N.; Soler-Vilá, H.; Curnen, M.G.; Dubrow, R. Explaining the race difference in prostate cancer stage at diagnosis. Cancer Epidemiol. Biomark. Prev. 2008, 17, 2825–2834. [Google Scholar]





| Diagnosis Codes | C60 | C61 | C62 | C63 | None | p-Test * |
|---|---|---|---|---|---|---|
| N (Total = 347,575) | 5 | 1928 | 18 | 14 | 345,610 | |
| SICK_CODE (%) | 5 (0.001) | 1928 (0.555) | 18 (0.005) | 14 (0.004) | 345,610 (99.435) | |
| AGE (mean (SD)) | 58.60 (11.55) | 59.46 (7.78) | 53.56 (7.66) | 57.07 (6.57) | 52.76 (6.40) | <0.001 *** |
| BMI (mean (SD)) | 25.94 (1.91) | 23.86 (2.96) | 23.71 (3.50) | 24.15 (3.07) | 23.95 (2.92) | 0.393 |
| WSTC (mean (SD)) | 87.20 (5.93) | 84.11 (7.67) | 81.94 (8.54) | 82.50 (6.81) | 83.56 (7.51) | 0.013 * |
| PA_MD (mean (SD)) | 0.20 (0.45) | 1.40 (1.84) | 0.61 (1.14) | 0.79 (1.05) | 1.40 (1.72) | 0.093 |
| PA_VD (mean (SD)) | 0.00 (0.00) | 1.27 (1.72) | 0.61 (0.92) | 0.71 (0.91) | 1.30 (1.63) | 0.074 |
| PA_WALK (mean (SD)) | 4.20 (3.03) | 2.71 (2.43) | 1.61 (2.12) | 1.71 (1.82) | 2.60 (2.30) | 0.017 * |
| SMOKE_DRT (mean (SD)) | 30.40 (11.76) | 30.26 (11.95) | 24.72 (12.63) | 21.50 (13.39) | 25.36 (9.49) | <0.001 *** |
| STK = 1 (%) | 0 (0.0) | 15 (0.8) | 0 (0.0) | 0 (0.0) | 1774 (0.5) | 0.589 |
| HTDZ = 1 (%) | 0 (0.0) | 58 (3.0) | 0 (0.0) | 0 (0.0) | 5401 (1.6) | <0.001 *** |
| HTN = 1 (%) | 3 (60.0) | 583 (30.2) | 3 (16.7) | 4 (28.6) | 64,065 (18.5) | <0.001 *** |
| DM = 1 (%) | 0 (0.0) | 176 (9.1) | 1 (5.6) | 2 (14.3) | 27,714 (8.0) | 0.339 |
| DLD = 1 (%) | 0 (0.0) | 62 (3.2) | 0 (0.0) | 1 (7.1) | 10,066 (2.9) | 0.699 |
| ETC = 1 (%) | 0 (0.0) | 143 (7.4) | 0 (0.0) | 0 (0.0) | 11,382 (3.3) | <0.001 *** |
| Normal Group | PCa Group | p-Value (t-Test) | |
|---|---|---|---|
| Number of subjects | 286,293 | 434 | |
| AGE (%) | 0.006 | ||
| 45~49 | 60,688 (21.2) | 86 (19.8) | |
| 50~54 | 74,172 (25.9) | 110 (25.3) | |
| 55~59 | 50,187 (17.5) | 84 (19.4) | |
| 60~64 | 42,000 (14.7) | 40 (9.2) | |
| 65~69 | 22,884 (8.0) | 38 (8.8) | |
| 70~74 | 23,744 (8.3) | 46 (10.6) | |
| 75~79 | 8273 (2.9) | 19 (4.4) | |
| 80~84 | 3702 (1.3) | 8 (1.8) | |
| 85~ | 643 (0.2) | 3 (0.7) | |
| BMI (mean (SD)) | 24.00 (2.90) | 24.10 (2.83) | 0.494 |
| STK = 1 (%) | 13,151 (4.6) | 25 (5.8) | 0.296 |
| HTDZ = 1 (%) | 16,463 (5.8) | 24 (5.5) | 0.925 |
| ETC = 1 (%) | 273,524 (95.5) | 416 (95.9) | 0.842 |
| SMOKE_DRT (mean (SD)) | 12.47 (4.63) | 12.57 (4.82) | 0.642 |
| Variables | Hazard Ratios (Exp(Coef)) | Confidence Intervals (Lower 0.95–Upper 0.95) | |
|---|---|---|---|
| HTN | 1.007 | 0.8499 | 1.194 |
| STK | 1.444 | 0.7145 | 2.917 |
| HTDZ | 1.013 | 0.6643 | 1.544 |
| ETC | 1.041 | 0.7872 | 1.375 |
| AGE | 1.026 | 1.0146 | 1.038 |
| PA_VD | 1.028 | 0.983 | 1.075 |
| BMI | 1.009 | 0.9822 | 1.036 |
| SMOKE_DRT | 1.006 | 0.9992 | 1.014 |
| STK | Points | BMI | Points |
|---|---|---|---|
| 0 | 0 | 15 | 0 |
| 1 | 60 | 20 | 7 |
| HTDZ | Points | 25 | 13 |
| 0 | 0 | 30 | 20 |
| 1 | 20 | 35 | 26 |
| ETC | Points | 40 | 33 |
| 0 | 0 | 45 | 40 |
| 1 | 6 | 50 | 46 |
| AGE | Points | SMOKE_DRT | Points |
| 45 | 0 | 0 | 0 |
| 50 | 11 | 5 | 3 |
| 55 | 22 | 10 | 6 |
| 60 | 33 | 15 | 9 |
| 65 | 44 | 20 | 12 |
| 70 | 56 | 25 | 15 |
| 75 | 67 | 30 | 18 |
| 80 | 78 | 35 | 21 |
| 85 | 89 | 40 | 24 |
| 90 | 100 | 45 | 27 |
| PA_VD | Points | 50 | 30 |
| 0 | 0 | 55 | 33 |
| 1 | 2 | 60 | 36 |
| 2 | 3 | Total Points | Prob of 5-year Overall Survival |
| 3 | 5 | ||
| 4 | 7 | ||
| 5 | 9 | 198 | 0.4 |
| 6 | 10 | 100 | 0.6 |
| 7 | 12 | 39 | 0.7 |
| Reference | |||
| Normal group | Prostate cancer group | ||
| Prediction | Normal group | 124,311 | 171 |
| Prostate cancer group | 161,982 | 263 | |
| Desc | Value |
|---|---|
| Accuracy | 0.434 |
| 95% CI | (0.432, 0.436) |
| No Information Rate | 0.998 |
| p-Value | 1 |
| Kappa | 2 × 10−4 |
| Mcnemar’s Test p-Value | <2 × 10−16 |
| Sensitivity | 0.605 |
| Specificity | 0.434 |
| Pos Pred Value | 0.263 |
| Neg Pred Value | 0.767 |
| Prevalence | 0.250 |
| Detection Rate | 0.000 |
| Detection Prevalence | 0.565 |
| Balanced Accuracy | 0.520 |
| ‘Positive’ Class | PCa |
Disclaimer/Publisher’s Note: The statements, opinions and data contained in all publications are solely those of the individual author(s) and contributor(s) and not of MDPI and/or the editor(s). MDPI and/or the editor(s) disclaim responsibility for any injury to people or property resulting from any ideas, methods, instructions or products referred to in the content. |
© 2025 by the author. Licensee MDPI, Basel, Switzerland. This article is an open access article distributed under the terms and conditions of the Creative Commons Attribution (CC BY) license (https://creativecommons.org/licenses/by/4.0/).
Share and Cite
Park, J. Substantiation of Prostate Cancer Risk Calculator Based on Physical Activity, Lifestyle Habits, and Underlying Health Conditions: A Longitudinal Nationwide Cohort Study. Appl. Sci. 2025, 15, 7845. https://doi.org/10.3390/app15147845
Park J. Substantiation of Prostate Cancer Risk Calculator Based on Physical Activity, Lifestyle Habits, and Underlying Health Conditions: A Longitudinal Nationwide Cohort Study. Applied Sciences. 2025; 15(14):7845. https://doi.org/10.3390/app15147845
Chicago/Turabian StylePark, Jihwan. 2025. "Substantiation of Prostate Cancer Risk Calculator Based on Physical Activity, Lifestyle Habits, and Underlying Health Conditions: A Longitudinal Nationwide Cohort Study" Applied Sciences 15, no. 14: 7845. https://doi.org/10.3390/app15147845
APA StylePark, J. (2025). Substantiation of Prostate Cancer Risk Calculator Based on Physical Activity, Lifestyle Habits, and Underlying Health Conditions: A Longitudinal Nationwide Cohort Study. Applied Sciences, 15(14), 7845. https://doi.org/10.3390/app15147845
