Abstract
Understanding the mechanical behavior of frozen clay subgrade soils was essential for ensuring the safe and stable operation of transportation lines. However, the influence of remolding water content w on this behavior remained unclear. To address this gap, this study examined the effect of w through monotonic triaxial testing. Three typical remolding water contents (w = 19%, 27.5% and 35%) and three confining pressures (σ3 = 200 kPa, 700 kPa and 1200 kPa) were considered. Results showed that the mechanical behavior of frozen clay soils displayed a clear dependence on w, which was controlled by microstructural evolution. As w increased, the shear strength qmax, resilient modulus E0 and cohesion c increased, which resulted from the progressive development of ice bonding within the shear plane. A threshold w value was found at wopt = 27.5%, marking a structural transition and separating the variations of qmax, E0 and c into two regimes. When w ≤ 27.5%, the soil fabric was controlled by clay aggregates. As w increased, the growth in ice cementation was confined within these aggregates, leading to limited increase in qmax, E0 and c. However, as w exceeded 27.5%, the soil fabric transitioned into a homogeneous matrix of dispersed clay particles. In this case, increasing w greatly promoted the development of an interconnected ice cementation network, thus significantly facilitating the increase in qmax, E0 and c. The friction angle φ decreased with w increasing, primarily due to the lubrication effect caused by the growing ice. In addition, the enhanced lubrication effect in the clay particle-dominated fabric (w > 27.5%) resulted in a larger reduction rate of φ. Regarding Poisson’s ratio v and dilation angle ψ, the w increase led to growth in both parameters. This phenomenon could be explained by the increased involvement of solid ice into the soil structure.
1. Introduction
In China, the seasonal frozen soil region occupies about 53.5% of the country’s total land area. These regions were predominantly located in northern and northeastern China, with extensions into parts of the central and southwestern areas. Rapid economic and social development has caused an increase in transportation needs, resulting in expanded railway/highway construction in seasonal frozen soil area. As an essential part of the railway/highway structure, the subgrade played an important role in load bearing, and its mechanical behavior was crucial for ensuring the safe and stable operation of transportation lines. Till now, the relevant aspects have drawn many attentions and were widely investigated [1,2,3], and these studies were the basis for numerical modeling [4]. During the subgrade construction, the clay soils were usually used as fillings materials. According to the JTG D30-2015 [5], the compaction of clay soils should be carried out at optimum water content wopt. However, owing to complex in situ construction conditions, the actual remolding water content w during compaction could not be strictly controlled and differed across different sites, which caused variations in soil fabric [6,7,8]. Such variations in soil structure have been shown to significantly influence the mechanical behavior of thawed soils. Moreover, after being frozen, the mechanical behavior of frozen clay soils might exhibit variability. From a practical point of view, this aspect should be studied.
Till now, many investigations have been carried out on frozen fine-grained soils. Chang et al. [9] investigated the strength of the frozen clay soils at the water content corresponding to the in situ one, and found that under high confining pressure, the stress–strain behavior exhibited characteristic of strain hardening. In the study of Sun et al. [10] with silty clay at one given water content, it was found that the increase in confining pressure enhanced the plastic deformation capacity of frozen soils. Lai et al. [11] and Li et al. [12] reported that for frozen clay soils at saturated state, a strain softening pattern was identified for stress–strain relationship. Regarding the mechanical behavior of frozen fine-grained soils at various water contents, Ma et al. [13] carried out uniaxial compression creep test on frozen clay soils, and found that the peak strength occurred at the water content w = 40%, followed by w = 120%, while the minimum strength was observed at w = 80%. Zhang et al. [14] investigated the strength of silty clay using uniaxial compression test under various water contents. They reported that this type of frozen soil achieved its maximum strength when approaching the saturated state. Nevertheless, these studies were based on uniaxial testing condition, which failed to reflect the actual triaxial stress state encountered by the soils in the field. With regard to triaxial loading test, Sayles and Carbee [15] observed that, in silty clay, the water content increase resulted in a shift in stress–strain relationship from ductile to brittle behavior. In the study of Liu et al. [16] with a silty clay, a monotonic increase in qmax with w was observed. However, Zhang et al. [17] reported that the silty clay from Tibet Plateau exhibited a non-monotonic change in shear strength as water content increased, with an initial decrease followed by a subsequent increase. In summary, although numerous studies have investigated the mechanical behavior of frozen fine-grained soils, the majority have focused on silty clay soils with relatively low plasticity. The low plasticity of these soils rendered their soil fabric less sensitive to the variation in remolding water content w compared to clay soils with high plasticity. To the authors’ knowledge, the mechanical behavior of frozen clay soils under varying w values has not been systematically studied.
This study aimed to address this gap by providing a comprehensive experimental investigation into the influence of water content on the triaxial mechanical response of frozen clay soils. Three confining pressures (σ3 = 200 kPa, 700 kPa and 1200 kPa) and three typical w values (optimum water content wopt = 27.5% as well as its dry side wd = 19% and wet side ww = 35%) were considered. The mechanical parameters including shear strength qmax, Young’s modulus E0, cohesion c, friction angle φ, Poisson’s ratio v and dilatancy angle ψ were analyzed. In addition, scanning electron microscopy (SEM) and the mercury intrusion porosimetry (MIP) were jointly performed to identify the soil fabric. The obtained results allowed the effect of remolding water content on the mechanical behavior of frozen clay soils to be clarified.
2. Materials and Methods
2.1. Testing Materials
The clay soils used in this study were typical materials used in subgrade construction. The hydrometer method (ASTM D422) [18] was used to determine its grain size distribution, and the testing result was shown in Figure 1. Given that this clay soil exhibited a liquid limit wL of 63% and a plasticity index Ip of 26% (determined accroding to ASTM D4318-17 [19]), it was classified as CH under the Unified Soil Classification System (ASTM D2487-11 [20]). The specific gravity Gs of the clay soils were determiend as 2.6 according to ASTM D854-23 [21]. Standard proctor compaction tests (ASTM D698-12 [22]) revealed that the optimum water content wopt was 27.5% and the maximum dry density ρdmax was 1.50 Mg/m3, as shown in Figure 2. Table 1 summarizes the basic parameters of the tested clay soils.
Figure 1.
Grain size distribution of clay soils (determined in accordance with ASTM D422 [18]).
Figure 2.
Compaction curve of clay soils (determined in accordance with ASTM D698-12 [22]).
Table 1.
Soil properties.
2.2. Experimental Methods
2.2.1. Sample Preparation
Cylindrical samples were fabricated for triaxial testing, which had a diameter D of 39.1 mm and a height H of 80 mm. This dimension was selected aiming to adapt to the testing cell of triaxial apparatus. In addition, the sample diameter D significantly exceeded the maximum grain size dmax = 0.01 mm of the clay soils, which was consistent with the ASTM D2850 [23] specification that the D/dmax ratio should be larger than 6 to eliminate the scale effect.
The sample preparation began by directly adding the amount of water corresponding to the target water content (optimum water content wopt = 27.5% as well as its dry side wd = 19% and wet side ww = 35%) to the oven-dried clay soils. Then, the moistened soils were sealed in an airtight container for 24 h to achieve moisture homogenization. Subsequently, the homogenized clay soils were compacted in five layers to prepare a sample with D = 39.1 mm and H = 80 mm within a cylindrical mold (39.1 mm in diameter and 120 mm in height). The shape and size were selected to ensure the compatibility with the triaxial testing apparatus utilized. A static compaction method was utilized for the compaction procedure. Note that the soil mass used for each layer was carefully controlled to be the same, and to guarantee proper connection between adjacent layers, the surface of each layer was slightly scratched prior to placing the subsequent layer. These standardized protocols ensured that all samples exhibited consistent shape and size. Following compaction, the sample was carefully wrapped in a plastic membrane to prevent moisture loss and stored in a sealed container for 24 h for stabilization. Note that this stabilization period was determined by assessing the water content across the sample diameter. The water contents at the quarter diameter, half diameter and the diameter points were considered, and the results showed that 8 h equilibration duration was sufficient to achieve uniform water distribution. Also note that the compaction degree Dc of all the samples was controlled at Dc = 0.80. This level was selected based on the in situ measurement of the Dc of the subgrade by Liu et al. [24], which reported that Dc ranged between 0.79 and 0.96. A Dc value near the lower boundary of this range was chosen, aiming to represent the most unfavorable condition encountered in the field. The prepared samples are presented in Figure 3.
Figure 3.
Prepared soil samples: (a) w = 19%; (b) w = 27.5%; (c) w = 35%.
To ensure accurate measurement and control of water content w during the experiment, several standardized procedures were implemented. Before wetting the soils to the target water content, the clay soils were oven-dried at 105 °C for 24 h to remove any residual water. The target water content was then achieved by evenly spraying water onto the dry soils using a high-precision digital scale. The mixtures were sealed and left for 24 h to ensure full moisture homogenization. Prior to compaction, representative soils were taken and oven-dried to verify the actual water content. Any minor deviation from the target value was corrected by adjusting the amount of added water before final compaction. During the compaction stage, the moistened soils were placed into a rigid metal mold, and the compaction was achieved through a steel ram. Due to the enclosed nature of the mold and the relatively short duration of the compaction process, water loss via evaporation was considered negligible. After compaction, each sample was immediately wrapped in plastic membrane to prevent moisture loss and stored in a sealed container for 24 h to allow stabilization. Following this stabilization period, the water content of the sample was measured, and the results showed that the actual water content deviated from the target value by less than ±0.1%. After sample preparation, a pre-freezing process was conducted prior to the frozen soil triaxial test. This pre-freezing step was carried out while the sample was wrapped in plastic membrane. Once the water within the sample was fully frozen into ice, moisture evaporation became extremely limited. In addition, the triaxial tests were performed within rubber membrane, which also helped minimize any potential water loss. As a result, the water content of the sample can be considered unchanged throughout the entire testing process.
2.2.2. Triaxial Tests
In this study, the triaxial tests were carried out utilizing a triaxial testing apparatus with computerized control (see Figure 4). This apparatus comprised three primary components: a servo-controlled loading system, a multi-channel data acquisition unit equipped with precise sensors and a pressure chamber assembly.
Figure 4.
Monotonic triaxial testing system configured for frozen conditions.
The servo-controlled loading system incorporated a rigid structural frame integrated with a high-precision axial actuator, enabling the applications of both stress-controlled and strain-controlled loadings. The sensors equipped into the data acquisition unit encompassed a confining pressure sensor for measuring the radial pressure applied around the sample, an axial force transducer for measuring vertical force applied to the sample, a pore pressure transducer for monitoring the water pressure within the sample, a linear variable differential transformer (LVDT) for measuring axial displacement, and a volumetric change monitoring sensor for tracking the sample volume change.
The triaxial pressure chamber possessed a thermal insulation capability, which enabled the liquid (ethylene glycol) inside the chamber to be kept at a consistent negative temperature throughout the testing period. This insulation was achieved by enveloping the standard chamber wall with an external thermally insulating organic shell, creating an annular gap between the two shells that was also filled with ethylene glycol. Temperature regulation was managed through a closed-loop cryogenic system. In this process, the ethylene glycol in the annular area cooled down and its temperature dropped to the target value. This cooling effect was transferred to the ethylene glycol inside the chamber, causing its temperature to decrease to the desired level as well. Note that the temperature for all the triaxial tests carried out during this study was set at −10 °C.
Before being introduced to the triaxial chamber, the sample underwent a 48 h freezing period at −10 °C. Following installation of the sample, the coolant in the chamber were cooled to −10 °C as well. Then the sample stood for over 12 h for thermal equilibrium. Each sample was subjected to triaxial shearing at a constant axial strain rate of 1 mm/min under three confining pressure levels (σ3 = 200 kPa, 700 kPa and 1200 kPa). The three different confining pressures used in this study were selected based on both field conditions and experimental requirements. Specifically, the confining pressure of σ3 = 200 kPa corresponded to a high subgrade with a height of around 20 m. The mechanical behavior of high subgrade was critically important in road and railway engineering, as the failure of such structure often led to catastrophic engineering accidents.
The other two higher σ3 levels (σ3 = 700 kPa and 1200 kPa), although not directly representing typical field stress levels, were chosen to ensure reliable determination of the shear strength parameters of cohesion c and internal friction angle φ. Due to the significantly high cohesion of frozen soils, narrow spacing between σ3 levels may diminish the detectable influence of internal friction [25], making it difficult to accurately determine φ from the failure envelope. At the same time, the upper limit of the confining pressure was carefully selected to prevent excessive compression that could induce pressure melting, triggering additional mechanical responses of frozen soils [26], which fell outside the focus of this study. The testing procedure used in this study was made by referring to the previous studies (Xu et al., Yang et al.) [27,28]. The testing process was stopped when the axial strain ε1 reached 20%, which indicated that the failure had been achieved.
2.2.3. Microscopic Tests
The microscopic structure of the clay soils was examined through the scanning electron microscopy (SEM) and the mercury intrusion porosimetry (MIP). The SEM test was concentrated on the geometrical appearance of the soil, while the MIP test was focused on the pore size distribution. Before carrying out each test, a freeze-drying technique was utilized to eliminate the water from the sample. During the freeze-drying process, each sample (around 2 g) was firstly placed in a freezer set at −80 °C for an initial freezing period of 24 h. Subsequently, the frozen samples were transferred to a freeze dryer, where the chamber temperature was also maintained at −80 °C, and a vacuum condition was applied. The drying phase then commenced, during which ice sublimated directly from the solid to the gaseous state without passing through the liquid phase. This sublimation process lasted approximately 48 h. Freezing the sample at −80 °C minimized the formation of large ice crystals that could damage the soil fabric, thereby preserving the original arrangement of soil particles and aggregates, which has been verified by many scholars (Gillott JE, 1970; Gillott JE, 1976; Shi et al., 1999) [29,30,31]. And the 48 h freeze-drying period ensured complete dehydration of the sample.
The MIP test was performed with consideration of optimum water content wopt = 27.5% as well as its dry side wd = 19% and wet side ww = 35% using Autopore IV 9510 porosimeter (Micrometritics Corporate, Georgia, America). The mercury intrusion process was carried out by progressively increasing the mercury pressure, during which mercury infiltrated gradually into the large pores at low pressure and into the small pores at high pressure. At a given pressure, the total volume of the infiltrated pores was measured and the corresponding pore diameter was calculated following the method used by Delage et al. [32].
Regarding SEM test, three remolding water contents (w = 19%, 27.5% and 35%) were considered. During the test, the apparatus of SU8020 (Hitachi Corporate, Tokyo, Japan) was run at a voltage of 5 kV with a magnification of 5000×. Prior to SEM observation, aurum was sprayed onto the soil surface to form a thin layer, with which the electric conductivity of the soil was enhanced, and thus the imaging clarity was improved.
3. Results
3.1. Shear Behavior
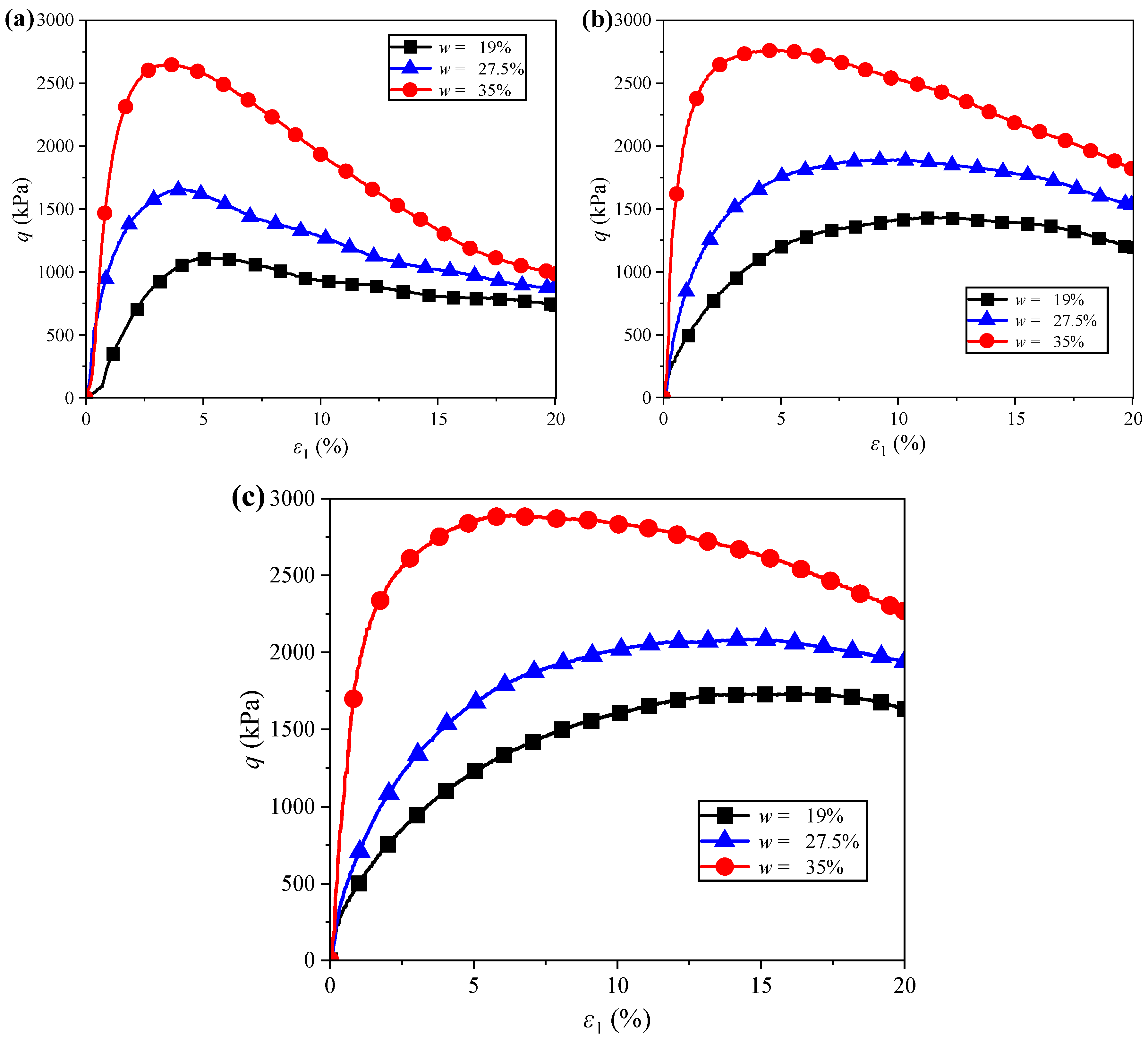
Figure 5 depicted the relationship between deviator stress q and the axial strain ε1 for samples with optimum water content wopt = 27.5%, dry side wd = 19%, and wet side ww = 35%. Figure 5a–c showed that for each sample, as ε1 increased, generally q exhibited a trend of initial growth followed by a reduction, defining a typical strain-softening pattern. This characteristic was also observed by Zhang et al. [10]. This mechanical response resulted from a dual-phase deformation mechanism: at the initial loading phase, the soil sample was densified through rearrangement of soil grains, ultimately reaching peak deviator stress qmax. Subsequently, the initiation and development of microcracks within the soil matrix triggered a progressive reduction in soil skeleton, resulting in macroscopic stress deterioration. In addition, this strain-softening characteristic was less pronounced at higher confining pressure σ3, manifested by a smaller attenuation of post-peak stress. This σ3-dependent characteristic can be explained by the more enhanced soil fabric densification under higher σ3 level, which more effectively restrained the fabric degradation. Additionally, Figure 5a–c demonstrated that at each σ3 value, the curve of the sample with higher water content lay above that of the sample with lower water content. Furthermore, the curve showed a more significant rise when w increased from 27.5% to 35%, compared with the increase in w from 19% to 27.5%.
Figure 5.
Deviator stress–axial strain curves: (a) σ3 = 200 kPa; (b) σ3 = 700 kPa; (c) σ3 = 1200 kPa.
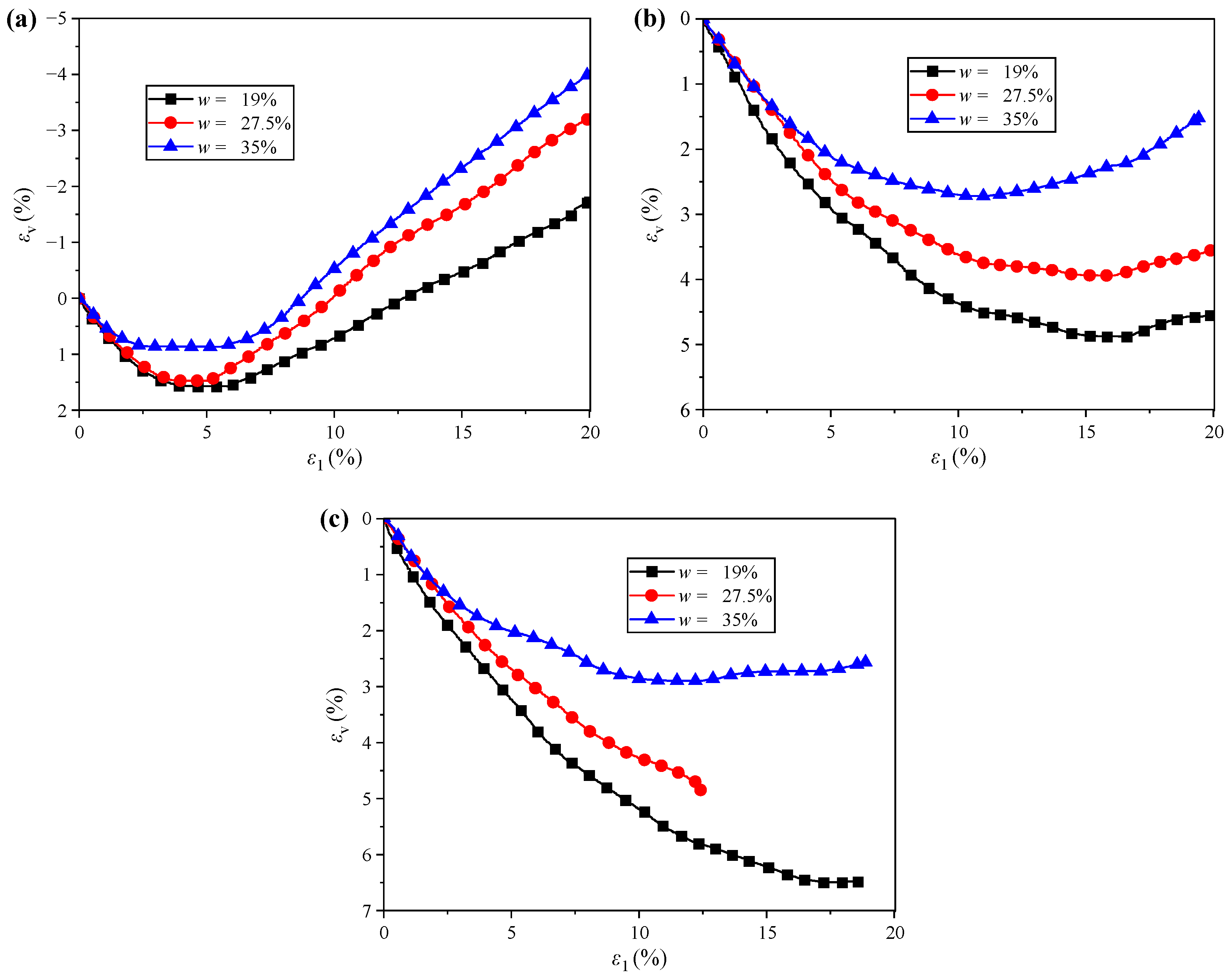
Regarding the volumetric strain εv, Figure 6 presents a visual view of samples after shearing under σ3 = 700 kPa. It could be observed that the increase in w favored dilation behavior. In this study, negative and positive values represent dilatancy and contraction, respectively. Figure 7 presents the εv–ε1 relationship at different σ3 levels. As can be observed, at a confining pressure σ3 = 30 kPa, each sample initially contracted and then exhibited dilation behavior. In addition, the increase in w led to a decrease in contraction and an increase in dilation. When σ3 increased, the sample displayed increased contraction and diminished dilation. This σ3 effect was also observed by Wang et al. [23]. At σ3 = 120 kPa, the sample with w = 19% even only presented pure contractive behavior without any dilation.
Figure 6.
Soil samples after shearing at σ3 = 700 kPa: (a) w = 19%; (b) w = 27.5%; (c) w = 35%.
Figure 7.
Volumetric strain–axial strain curves: (a) σ3 = 200 kPa; (b) σ3 = 700 kPa; (c) σ3 = 1200 kPa.
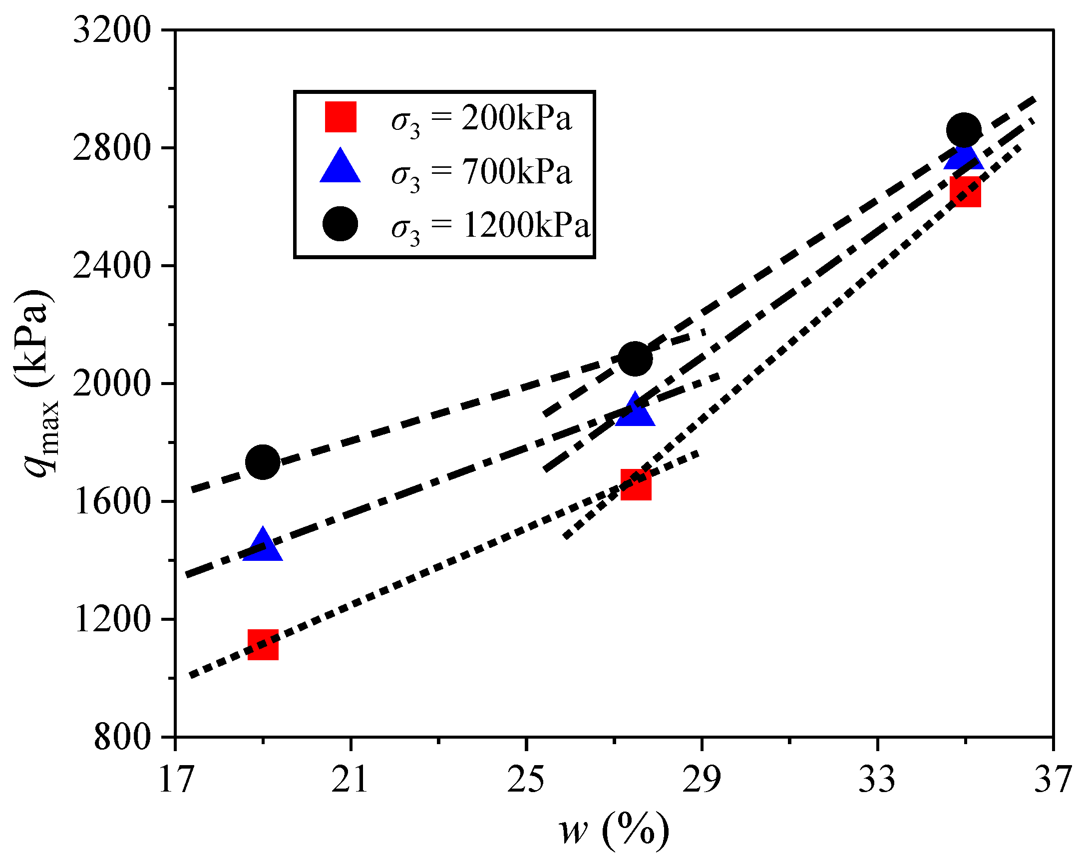
3.2. Shear Strength qmax
To further investigate the effect of remolding water content w, the qmax value of each curve was extracted and plotted against remolding water content w in Figure 8. Note that the shear strength qmax was determined as the peak shear stress observed in the stress–strain curve (see Figure 5). The peak shear stress represented the maximum resistance of the soil to shearing deformation under a given confining pressure, and was therefore commonly regarded as the shear strength in laboratory testing. This method was well-established and has been extensively used in many studies (Wang et al., 2018; Su et al., 2020) [33,34]. As could be observed, for each σ3 value, the variation of qmax with w exhibited a bi-linear pattern characterized by two distinct slopes, the transition between which occurred at w = 27.5%. In addition, the slope of w = 27.5–35% was obviously larger than that of w = 19–27.5%. Specifically, at σ3 = 200 kPa, the slope for w = 27.5–35% was k1 = 1.07 and for w = 19–27.5% it was k2 = 0.54. At σ3 = 700 kPa, the slope for w = 27.5–35% was k1 = 0.89 and for w = 19–27.5% it was k2 = 0.46. At σ3 = 1200 kPa, the slope for w = 27.5–35% was k1 = 0.80 and for w = 19–27.5% it was k2 = 0.38. Note that k1 and k2 refer to the slopes of the fitting lines corresponding to two different remolding water content ranges (w ≤ 27.5% and w > 27.5%). These values were derived from the angle between the trend line and the horizontal axis. The purpose of calculating these slopes was to qualitatively compare the variation trends of a given mechanical parameter with respect to w within the same coordinate system, under two distinct moisture regimes. Given that the comparison was limited to one single parameter and conducted within the same coordinate system, it was believed that this method was appropriate. The calculated results are summarized in Table 2.
Figure 8.
Variation of maximum deviator stress qmax with w.
Table 2.
Slopes of the variation of mechanical parameter.
In addition, it could be observed that the increasing rate of qmax, which reflected the sensitivity of mechanical behavior to w, decreased as σ3 increased. Specially, at w ≤ 27.5%, the slope decreased from 0.54 at σ3 = 200 kPa to 0.46 at σ3 = 700 kPa and further to 0.38 at σ3 = 1200 kPa. Similarly, for w > 27.5%, the slope declined from 1.07 to 0.89 and then to 0.80 with increasing σ3. This trend could be attributed to the relative contributions of cohesion and internal friction to the overall shear strength qmax. Under low σ3 level, qmax tended to be more sensitive to w variation because cohesion (primarily attributed to ice cementation between particles) contributed more significantly to the overall qmax. In contrast, at higher σ3 level, the contribution of internal friction increased, thereby reducing the relative influence of water-induced cohesion on qmax.
3.3. Cohesion c and Friction Angle φ
To better understand the effect of remolding water content w on shear strength qmax, the cohesion c and friction angle φ, which determined the magnitude of qmax, were calculated using the critical state method [35]:
where M and S, respectively, correspond to the slope and intercept of the critical state line established in the p-q plane. p represented the bulk stress.
The results of calculated c and φ are plotted in Figure 9a,b as a function of w, respectively. As can be observed, when remolding water content w rose, cohesion c increased, while friction angle φ exhibited a decreasing trend. In addition, similar to the case of qmax, the increasing trend of c and decreasing trend of φ could be divided into two stages with w = 27.5% as the boundary. Moreover, for both c and φ, the slope within the range of w = 27.5–35% was larger than the slope within the range of w = 19–27.5%. Specifically, regarding c, the slopes in the intervals of w = 27.5–35% and w = 19–27.5% were 1.38 and 0.42, respectively. For φ, the corresponding slopes were, respectively, 0.65 and 0.98.
Figure 9.
(a) Variation in cohesion c with w; (b) variation in friction angle φ with w.
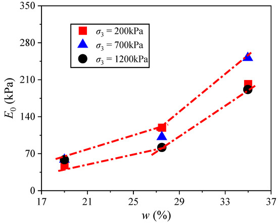
3.4. Young’s Modulus E0
The Young’s modulus E0 was defined as the ratio between deviator stress q and axial strain ε1 when ε1 ranged from 0 to 1% [33]:
This strain range of 0–1% corresponded to the early stage of loading, during which complex particle rearrangement and initial stress adjustment occurred. Despite this inherent complexity, the variation of all testing E0 values with w fell within a bounded range (Figure 10) and exhibited a non-linear trend that could be regarded as bi-linear. Notably, the transition point in this behavior coincided with the threshold water content wopt = 27.5%, which was also identified in other mechanical parameters.
Figure 10.
Variation in Young’s modulus E0 with w.
3.5. Poisson’s Ratio v and Dilation Angle ψ
The Poisson’s ratio v and dilation angle ψ were calculated based on the volumetric strain εv–axial strain ε1 relationship according to the equations below:
where kC and kD, respectively, represent the slopes of the contraction phase and dilation phase of the volumetric strain–axial strain curve.
The variation in Poisson’s ratio v with w under different σ3 levels are illustrated in Figure 11a. As can be observed, at each w value, the σ3 increase led to a decrease in v. This could be explained by the fact that the stiffness of the sample at higher σ3 value was larger, which led to a smaller lateral strain. In addition, the increase in w led to an increase in v: when w increased from 19% to 35%, v grew from 0.25–0.28 to 0.31–0.39. The dependency of dilation angle ψ on w is shown in Figure 11b. It can be seen that no dilation behavior was observed under σ3 = 1200 kPa. In addition, the dilation angle ψ was larger at higher w values.
Figure 11.
(a) Variation in Poisson’s ratio v with w; (b) variation in dilatancy angle ψ with w.
4. Discussion
4.1. Microscopic Mechanism of the Mechanical Behavior
The above phenomena could be explained by the variations of soil fabrics at various remolding water contents. As can be observed from SEM testing results (Figure 12), clay particles at wopt and its dry side exhibited a tendency to cluster, forming clay aggregate. For both wopt and its dry side, the pore structure could be categorized into two distinct types: macro-pores located between clay aggregates and micro-pores situated within clay aggregate. In contrast, on the wet side, clay particles remained dispersed without aggregation, and micro-pores were relatively uniformly distributed among particles.
Figure 12.
SEM results of clay soils at various w values: (a) w = 19%; (b) w = 27.5%; (c) w = 35%.
Although the SEM testing offered qualitative observation of the soil morphology, a precise quantification of the pore size distribution was achieved through MIP testing, as shown in Figure 13. During MIP testing, mercury intrusion was performed by incrementally increasing the applied pressure. As the intrusion pressure increased, mercury progressively filled the pores from smaller ones to larger ones within the sample. The cumulative volume of mercury intruded at each pressure step was carefully recorded. The corresponding pore diameter d was calculated using the following equation:
where σ = mercury–solid interfacial tension (0.484 N/m); γ = mercury–solid contact angle (141.3°); and p = intrusion pressure. Based on these measurements, the cumulative pore size distribution curve was firstly constructed by plotting the cumulative intruded pore volume against pore diameter on a logarithmic scale. Subsequently, the differential pore size distribution curve was obtained by differentiating the cumulative data with respect to the logarithm of pore diameter (Figure 13). This differential curve illustrates the percentage of pores at a specific pore diameter d.
d = 4σcosγ/p
Figure 13.
Pore size distribution of clay soils at various w values.
Figure 13 indicated that the clay soils at optimum water content (wopt) and its dry side exhibited a bimodal pore structure, consisting of micro-pores (d ≤ 0.4 μm) and macro-pores (d > 0.4 μm). Compared to the dry side, the clay soils at wopt contained fewer macro-pores and a higher proportion of micro-pores. However, on the wet side of wopt, the pore structure became unimodal, predominantly composed of micro-pores.
The pore structure variation was consistent with the soil fabric evolution, as illustrated in Figure 14. When on the dry side of wopt, large clay aggregates were formed due to high matric suction [36]. Consequently, the soil fabric was defined by an aggregate-aggregate structure with numerous large pores between aggregates (Figure 14a). When reaching wopt, the aggregation tendency was reduced, and the quantity of clay particles remaining in dispersed state increased, partially occupying the large pores between aggregates. This resulted in an aggregate-dispersed structure (Figure 14b). After wopt, the formation of clay aggregate was inhibited due to the insufficient matric suction. In this case, the soil fabric was dominated by dispersed clay particles (Figure 14c). Based on the testing results of SEM and MIP, the soil fabric evolution with increasing w could be inferred [32,36], as illustrated in Figure 14. On the dry side of wopt, the soil fabric was controlled by an aggregate–aggregate structure (Figure 14a), with water primarily confined within the micro-pores inside the clay aggregate. At wopt, part of the clay aggregate disintegrated into dispersed clay particles, leading to a transition in soil fabric towards an aggregate-dispersed structure (Figure 14b). In this case, most of the water was still retained within the aggregate, while a portion was distributed among the dispersed clay particles. On the wet side of wopt, the soil fabric was dominated by dispersed structure (Figure 14c), with water occupying the micro-pores between dispersed clay particles.
Figure 14.
Schematic illustration of soil fabric: (a) w = 19%; (b) w = 27.5%; (c) w = 35%.
The shear strength qmax, resilient modulus E0 and cohesion c of frozen clay soils were observed to increase with w increasing, which was predominantly governed by the variation of microstructural property of the shear plane. The remolding water content w exerted its influence through varying the formation of ice cementation within this plane. As remolding water content w increased, the overall quantity of ice cementation on the shear plane grew, reinforcing the shear plane and leading to an increase in cohesion c. As a result, the qmax and E0 increased correspondingly. When w ≤ 27.5%, the soil fabric was dominated by clay aggregates. Since water mainly resided inside the aggregate, ice cementation merely reinforced the connections between clay particles inside aggregate. Since numerous large pores (non-cemented zones) existed between aggregates, the effective cemented area induced by the moisture increase remained limited. As a result, cohesion c, qmax and E0 increased at a relatively low increasing rate. When w > 27.5%, the soil structure transitioned to a homogeneous system dominated by dispersed clay particles with uniformly distributed small pores. In this case, increased moisture content w induced full development of ice cementation networks within inter-clay space. As a result, cohesion c as well as qmax and E0 increased in a high rate.
Regarding friction angle φ, it was observed to diminish with increasing w, possibly due to the fact that growing ice exerts a lubricating effect within the soil skeleton, thus reducing the friction angle φ. And since this lubricating effect was smaller in aggregate-dominated skeletons compared with particle-dominated skeletons, the decreasing rate of φ at w ≤ 27.5% was smaller. Note that in frozen soils, the shear strength qmax and E0 were predominantly controlled by cohesion c; this decrease in φ had little effect on qmax and E0, which still exhibited increasing trends.
When it came to the parameters related to the volumetric variation (Poisson’s ratio v and dilation angle ψ), both showed a tendency to increase as w increased. This was due to the involvement of more ice at higher w values, which introduced more solid materials into the soil structure, favoring horizontal deformation and volumetric expansion.
4.2. Comparison with the Previous Studies
A comparison of the current testing results with the previous studies is summarized in Figure 15. Previous studies have primarily focused on silty clay with plasticity index Ip ranging from 11.7 to 14.43, which was significantly lower than the Ip = 37 of the clay used in this study. These studies with silty clay soils showed that similar to clay soils, their mechanical behaviors were also highly dependent on w. In the case of silty clay, the peak strength qmax exhibited varying trends (either increasing then decreasing (Niu et al.) [37], continuously increasing (Liu et al. [16]), or continuously decreasing (Zhang et al. [17])) as the water content shifted from the dry side to the wet side of wopt. These discrepancies might be attributed to the differences in sample dry density. In contrast, the clay used in this study was controlled at one dry density level. The effect of dry density on the relationship between qmax and w was not clear and should be studied in the future.
Figure 15.
Comparison of the current testing results with the previous studies [16,17,37].
5. Conclusions
Monotonic triaxial tests were carried out on frozen clay soils under three confining pressures σ3 (σ3 = 200 kPa, 700 kPa and 1200 kPa). The effect of remolding water content w was investigated with three typical w values (optimum water content wopt = 27.5% as well as its dry side wd = 19% and wet side ww = 35%). In addition, the microstructures of the tested samples were examined through MIP and SEM tests. The results allowed the following conclusions to be drawn.
The mechanical behavior of frozen clay soils exhibited distinct remolding water content w-dependent characteristic governed by microstructural evolution. The shear strength qmax, resilient modulus E0 and cohesion c increased as w increased, which was driven by the progressive increase in ice cementation within the shear plane. Notably, a threshold w value was identified at wopt = 27.5%, which marked a structural transition and divided the variation of qmax, E0 and c into two zones. When w ≤ 27.5%, clay aggregate dominated the soil fabric and ice cementation was limited within the clay aggregate, resulting in subdued growth of qmax, E0 and c. As w increased beyond 27.5%, the soil fabric transitioned into a homogeneous matrix of dispersed clay particles, where increased w facilitated the interconnected ice cementation network, thereby accelerating the enhancements of qmax, E0 and c.
Regarding friction angle φ, it decreased with w increasing due to lubrication effect exerted by the growing ice. In addition, since this lubrication effect was enhanced at clay particle-dominated fabric (w > 27.5%), the decreasing rate of φ was larger at w > 27.5%. As for volumetric parameters (Poisson’s ratio v and dilation angle ψ), both exhibited an increasing trend as w increased. This can be attributed to the more involvement of solid ice into the soil structure, which enhanced the horizontal deformation and volumetric expansion.
Author Contributions
Conceptualization, S.Q.; methodology, S.Q. and J.L.; validation, J.L., W.M. and J.W.; formal analysis, S.Q., J.L. and W.M.; investigation, S.Q., J.L. and J.W.; data curation, J.L. and J.W.; writing—original draft preparation, S.Q., J.L. and W.M.; writing—review and editing, H.B. and S.W.; supervision, S.Q.; project administration, S.Q., J.L. and W.M.; funding acquisition, S.Q. All authors have read and agreed to the published version of the manuscript.
Funding
This work was financially supported by the National Natural Science Foundation Youth Fund of China (52108295), Young Teacher Training Program of Beijing University of Civil Engineering and Architecture (Grant X24023), and Pyramid Talent Training Project of Beijing University of Civil Engineering and Architecture (Grant JDYC20220811).
Institutional Review Board Statement
Not applicable.
Informed Consent Statement
Not applicable.
Data Availability Statement
The data presented in this study are available from the corresponding author upon request.
Conflicts of Interest
Author Wei Ma was employed by the company Ningxia Road & Bridge Construction Co., Ltd. The remaining authors declare that the research was conducted in the absence of any commercial or financial relationships that could be construed as a potential conflict of interest.
Abbreviations
The following abbreviations are used in this manuscript:
| c | cohesion |
| d | pore diameter |
| dmax | maximum diameter of clay |
| D | diameter of sample |
| Dc | compaction degree |
| E0 | Young’s modulus |
| H | height of sample |
| Ip | plasticity index |
| M | slope of the critical state line |
| KC | slope at the contraction phase of volumetric strain-axial strain curve |
| KD | slope at the dilation phase of volumetric strain-axial strain curve |
| qmax | maximum deviator stress |
| q | deviator stress |
| S | intercept of the critical state line |
| v | Poisson’s ratio |
| w | remolding water content |
| wd | dry side of optimum water content |
| wL | liquid limit |
| wopt | optimum water content |
| ww | wet side of optimum water content |
| σ3 | confining pressure |
| ψ | dilation angle |
| ρdmax | maximum dry density |
| φ | friction angle |
| ε1 | axial stress |
| εv | volumetric strain |
References
- Sun, M.M.; Huang, Z.G.; Liu, Z.Y.; Liu, G.G.; Hu, C.B.; Liu, J.Y. Experimental and Microscopic Analysis for Impact of Compaction Coefficient on Plastic Strain Characteristic of Soft Clay in Seasonally Frozen Soil Regions. Fractal Fract. 2025, 9, 214. [Google Scholar] [CrossRef]
- Odemis, M.N.; Firat, M.E. Enhancing clay soil stability in seasonal freezing areas through waste cherry marble powder and geotextile reinforcement. Constr. Build. Mater. 2024, 436, 137001. [Google Scholar] [CrossRef]
- Luan, X.H.; Han, L.L. Variation Mechanism and Prediction of Soil-Water Characteristic Curve Parameters of Low Liquid-Limit Silty Clay under Freeze-Thaw Cycles. Appl. Sci. 2022, 12, 10713. [Google Scholar] [CrossRef]
- Shastri, A.; Sánchez, M.; Gai, X.; Lee, M.; Dewer, T. Mechanical behavior of frozen soils: Experimental investigation and numerical modeling. Comput. Geotech. 2021, 138, 104361. [Google Scholar] [CrossRef]
- JTG D30-2015; Specifications for Design of Highway Subgrade. Ministry of Communications, People’s Republic of China: Beijing, China, 2015.
- Delage, P.; Audiguier, M.; Cui, Y.J. Microstructure of a compacted silt. Can. Geotech. J. 1996, 33, 150–158. [Google Scholar] [CrossRef]
- Thom, R.; Sivakumar, R.; Sivakumar, V. Pore size distribution of unsaturated compacted kaolin: The initial states and final states following saturation. Géotechnique 2007, 57, 469–474. [Google Scholar] [CrossRef]
- Tang, C.S.; Pei, X.J.; Wang, D.Y. Tensile strength of compacted clayey soil. J. Geotech. Geoenviron. Eng. 2015, 141, 04014122. [Google Scholar] [CrossRef]
- Chang, X.; Ma, W.; Wang, D. Study on the strength of frozen clay at high confining pressure. Front. Earth Sci. China 2008, 2, 240–242. [Google Scholar] [CrossRef]
- Sun, X.L.; Wang, R.; Hu, M.J. Triaxial strength and deformation properties of frozen silty clay under low confining pressure. Rock Soil Mech. 2005, 10, 102–106. [Google Scholar]
- Lai, Y.; Li, S.; Qi, J. Strength distributions of warm frozen clay and its stochastic damage constitutive model. Cold Reg. Sci. Technol. 2008, 53, 200–215. [Google Scholar] [CrossRef]
- Li, S.; Lai, Y.; Zhang, S. An improved statistical damage constitutive model for warm frozen clay based on Mohr–Coulomb criterion. Cold Reg. Sci. Technol. 2009, 57, 154–159. [Google Scholar] [CrossRef]
- Ma, X.J.; Zhang, J.M.; Chang, X.X. Experimental study on creep of warm and ice-rich frozen soil. Chin. J. Geotech. Eng. 2007, 29, 848–852. [Google Scholar]
- Zhang, Y.; Yang, P.; Jiang, W. Effect of water content and strain rate on the strength characteristics of frozen silty clay. J. Zhengzhou Univ. (Eng. Ed.) 2020, 41, 79–84. [Google Scholar]
- Sayles, F.H.; Carbee, D.L. Strength of frozen silt as a function of ice content and dry unit weight. Eng. Geol. 1981, 18, 55–66. [Google Scholar] [CrossRef]
- Liu, Z.Y.; Liu, J.K.; Li, X.; Fang, H.J. Experimental study on the volume and strength change of an unsaturated silty clay upon freezing. Cold Reg. Sci. Technol. 2019, 157, 1–12. [Google Scholar] [CrossRef]
- Zhang, S.; Kuang, H.; Jin, Z.Y. An experimental study of the stress-strain characteristics of frozen silty clay with high moisture content. Hydrogeol. Eng. Geol. 2020, 47, 116–124. [Google Scholar]
- ASTM D422–63; Standard Test Method for Particle-Size Analysis of Soils. ASTM: West Conshohocken, PA, USA, 2007.
- ASTM D431; Soil Moisture Content Liquid Limit Plastic Limit Test Set. ASTM: West Conshohocken, PA, USA, 2025.
- ASTM D2487-11; Standard Practice for Classification of Soils for Engineering Purposes (Unified Soil Classification System). ASTM: West Conshohocken, PA, USA, 2011.
- ASTM D854-23; Standard Test Methods for Specific Gravity of Soil Solids by the Water Displacement Method. ASTM: West Conshohocken, PA, USA, 2023.
- ASTM D698-12; Standard Test Methods for Laboratory Compaction Characteristics of Soil Using Standard Effort. ASTM: West Conshohocken, PA, USA, 2021.
- ASTM D2850-15; Standard Test Method for Unconsolidated-Undrained Triaxial Compression Test on Cohesive Soils. ASTM: West Conshohocken, PA, USA, 2019.
- Liu, J.K.; Xiao, J.H. Experimental study on the stability of railroad silt subgrade with increasing train speed. J. Geotech. Geoenvironm. Eng. 2010, 136, 833–841. [Google Scholar] [CrossRef]
- Zhang, S.J.; Lai, Y.J.; Sun, Z.Z.; Gao, Z.H. Volumetric strain and strength behavior of frozen soils under confinement. Cold Reg. Sci. Technol. 2007, 47, 263–270. [Google Scholar] [CrossRef]
- Ma, W.; Wu, Z.; Zhang, L.; Chang, X. Analyses of process on the strength decrease in frozen soils under high confining pressures. Cold Reg. Sci. Technol. 1999, 29, 1–7. [Google Scholar] [CrossRef]
- Xu, X.; Wang, Y.; Yin, Z. Effect of temperature and strain rate on mechanical characteristics and constitutive model of frozen Helin loess. Cold Reg. Sci. Technol. 2017, 136, 44–51. [Google Scholar] [CrossRef]
- Yang, Y.; Lai, Y.; Chang, X. Laboratory and theoretical investigations on the deformation and strength behaviors of artificial frozen soil. Cold Reg. Sci. Technol. 2010, 64, 39–45. [Google Scholar] [CrossRef]
- Gillott, J.E. Fabric of Leda clay investigated by optical, electron-optical and X-ray diffraction methods. Eng. Geol. 1970, 4, 133–153. [Google Scholar] [CrossRef]
- Gillott, J.E. Importance of Specimen Preparation in Microscopy: Soil Preparation for Laboratory Testing; ASTM Special Technical Publication: West Conshohocken, PA, USA, 1976; Volume 599, pp. 289–307. [Google Scholar]
- Shi, B.; Inyang, H.; Chen, J.; Wang, B. Preparation of soil specimens for SEM analysis using freeze-cut-drying. Bull. Eng. Geol. Environ. 1999, 58, 1–7. [Google Scholar] [CrossRef]
- Delage, P.; Marcial, D.; Cui, Y.J.; Ruiz, X. Ageing effects in a compacted bentonite: A microstructure approach. Géotechnique 2006, 56, 291–304. [Google Scholar] [CrossRef]
- Wang, H.L.; Cui, Y.J.; Lamas-Lopez, F.; Calon, N.; Saussine, G.; Dupla, J.C.; Canou, J.; Aimedieu, P.; Chen, R.P. Investigation on the mechanical behavior of track-bed materials at various contents of coarse grains. Constr. Build. Mater. 2018, 164, 228–237. [Google Scholar] [CrossRef]
- Su, Y.; Cui, Y.J.; Dupla, J.C.; Canou, J. Investigation of the effect of water content on the mechanical behavior of track-bed materials under various coarse grain contents. Constr. Build. Mater. 2020, 263, 120206. [Google Scholar] [CrossRef]
- Lamas-Lopez, F. Field and Laboratory Investigation on the Dynamic Behaviour of Conventional Railway Track-Bed Materials in the Context of Traffic Upgrade. Ph.D. Thesis, Ecole Des Ponts Pari Tech, Champs-sur-Marne, France, 2016. [Google Scholar]
- Su, Y.; Cui, Y.J.; Dupla, J.C.; Canou, J. Developing a Sample Preparation Approach to Study the Mechanical Behavior of Unsaturated Fine/Coarse Soil Mixture. Geotech. Test. J. 2021, 44, 912–928. [Google Scholar] [CrossRef]
- Niu, Y.; Wang, X.; Liao, M.; Chang, D. Strength criterion for frozen silty clay considering the effect of initial water content. Cold Reg. Sci. Technol. 2022, 196, 103521. [Google Scholar] [CrossRef]
Disclaimer/Publisher’s Note: The statements, opinions and data contained in all publications are solely those of the individual author(s) and contributor(s) and not of MDPI and/or the editor(s). MDPI and/or the editor(s) disclaim responsibility for any injury to people or property resulting from any ideas, methods, instructions or products referred to in the content. |
© 2025 by the authors. Licensee MDPI, Basel, Switzerland. This article is an open access article distributed under the terms and conditions of the Creative Commons Attribution (CC BY) license (https://creativecommons.org/licenses/by/4.0/).














