Rainfall Erosivity Main Features and Their Associated Synoptic Conditions in North-Eastern Romania
Abstract
1. Introduction
2. Materials and Methods
2.1. Geographical Profile of the Study Area
2.2. Data Used
2.3. Methods
2.3.1. Fournier Index (FI) and Modified Fournier Index (MFI)
2.3.2. Self-Organizing Maps (SOM)
3. Results and Discussions
3.1. Spatial Distribution of Rainfall Aggressiveness in Northeastern Romania
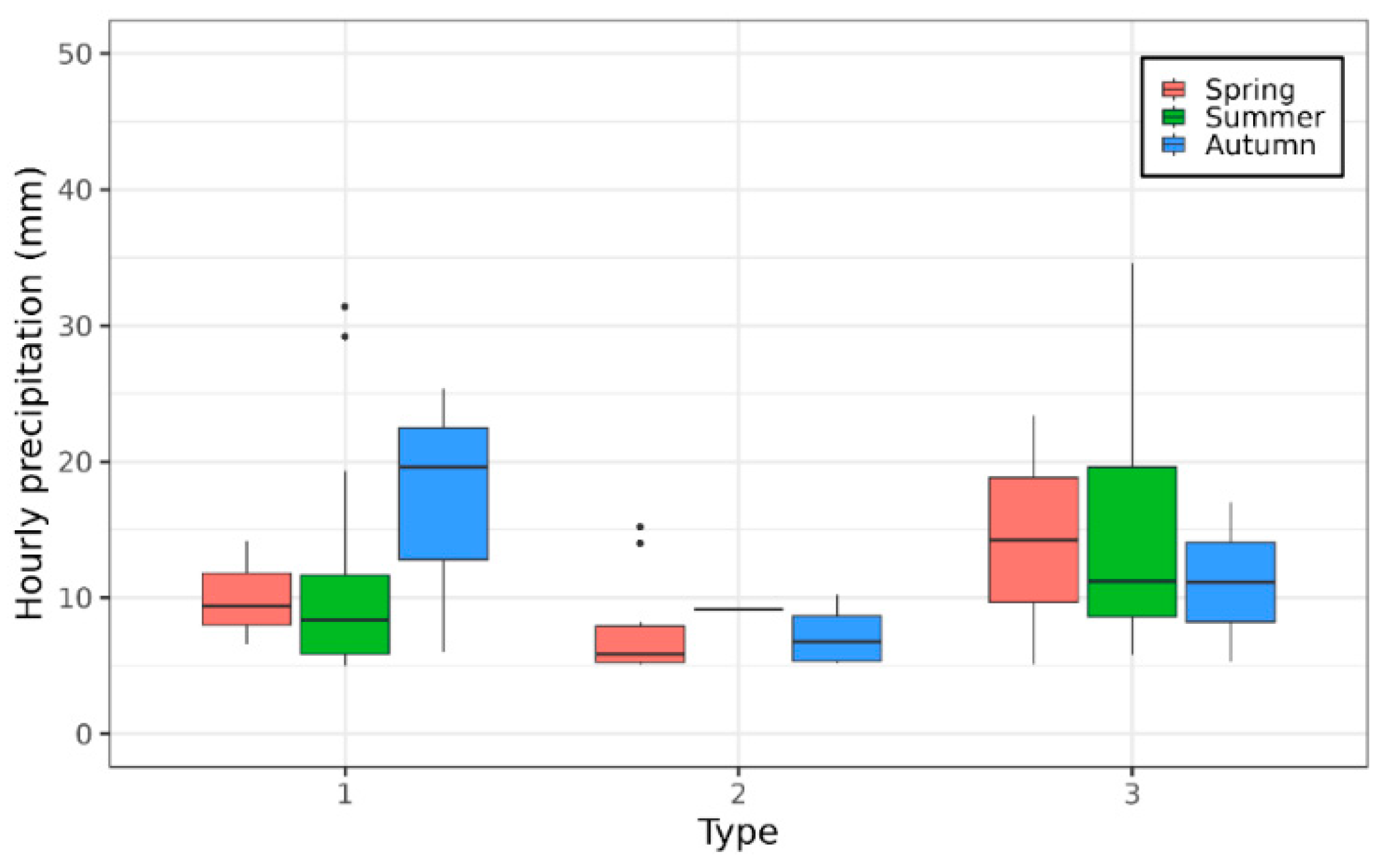
3.2. The Analysis of Hourly Precipitation Amounts
3.3. Synoptic Analysis of Days with Heavy Rainfalls
4. Conclusions
Author Contributions
Funding
Institutional Review Board Statement
Informed Consent Statement
Data Availability Statement
Acknowledgments
Conflicts of Interest
Abbreviations
| CAPE | Convective Available Potential Energy | 
| SLP | Sea Level Pressure | 
| SOM | Self-Organizing Maps | 
References
- Borrelli, P.; Robinson, D.A.; Panagos, P.; Lugato, E.; Yang, J.E.; Alewell, C.; Wuepper, D.; Montanarella, L.; Ballabio, C. Land Use and Climate Change Impacts on Global Soil Erosion by Water (2015–2070). Proc. Natl. Acad. Sci. USA 2020, 117, 21994–22001. [Google Scholar] [CrossRef] [PubMed]
- Ioniță, I. Procese de degradare a regiunilor deluroase. In Geomorfologie Aplicată; Editura Universității “Alexandru Ioan Cuza”: Iași, Romania, 2000. [Google Scholar]
- Panagos, P.; Borrelli, P.; Poesen, J.; Ballabio, C.; Lugato, E.; Meusburger, K.; Montanarella, L.; Alewell, C. The New Assessment of Soil Loss by Water Erosion in Europe. Environ. Sci. Policy 2015, 54, 438–447. [Google Scholar] [CrossRef]
- Panagos, P.; Borrelli, P.; Matthews, F.; Liakos, L.; Bezak, N.; Diodato, N.; Ballabio, C. Global Rainfall Erosivity Projections for 2050 and 2070. J. Hydrol. (Amst.) 2022, 610, 127865. [Google Scholar] [CrossRef]
- Li, R.; Gao, J.; He, M.; Jing, J.; Xiong, L.; Chen, M.; Zhao, L. Effect of Rock Exposure on Runoff and Sediment on Karst Slopes under Erosive Rainfall Conditions. J. Hydrol. Reg. Stud. 2023, 50, 101525. [Google Scholar] [CrossRef]
- Niacsu, L.; Sfica, L.; Ursu, A.; Ichim, P.; Bobric, D.E.; Breaban, I.G. Wind Erosion on Arable Lands, Associated with Extreme Blizzard Conditions within the Hilly Area of Eastern Romania. Environ. Res. 2019, 169, 86–101. [Google Scholar] [CrossRef]
- Alzahrani, A.J.; Alghamdi, A.G.; Ibrahim, H.M. Assessment of Soil Loss Due to Wind Erosion and Dust Deposition: Implications for Sustainable Management in Arid Regions. Appl. Sci. 2024, 14, 10822. [Google Scholar] [CrossRef]
- Ionita, I. Gully Development in the Moldavian Plateau of Romania. Catena 2006, 68, 133–140. [Google Scholar] [CrossRef]
- Costea, M. Using the Fournier Indexes in estimating rainfall erosivity. Case study—The Secașul Mare Basin. Aerul Apa. Compon. Ale Mediu. 2012, 2012, 313–320. [Google Scholar]
- Vanmaercke, M.; Panagos, P.; Vanwalleghem, T.; Hayas, A.; Foerster, S.; Borrelli, P.; Rossi, M.; Torri, D.; Casali, J.; Borselli, L.; et al. Measuring, Modelling and Managing Gully Erosion at Large Scales: A State of the Art. Earth Sci. Rev. 2021, 218, 103637. [Google Scholar] [CrossRef]
- Wischmeier, W.; Smith, D.D. Predicting Rainfall Erosion Losses: A Guide to Conservation Planning; Agricultural Handbook nr. 537; United State Departement of Agriculture (USDA): Washington, DC, USA, 1978. [Google Scholar]
- Stângă, I. Rainfall aggressiveness in the eastern part of Romania. In Analele Științifice ale Universității “Al. I. Cuza” Iași; Universității “Alexandru Ioan Cuza”: Iași, Romania, 2011; Volume LVII, s. II-C, Geografie. [Google Scholar]
- Mega, M.; Damian, A.-D. Climate Seasonality and Its Relevance for Soil Erosion during Summer in Extra-Carpathian Moldova. Present Environ. Sustain. Dev. 2020, 14, 193–205. [Google Scholar] [CrossRef]
- Lal, R.; Ahmadi, M.; Bajracharya, R.M. Erosional Impacts on Soil Properties and Corn Yield on Alfisols in Central Ohio. Land Degrad. Dev. 2000, 11, 575–585. [Google Scholar] [CrossRef]
- Wang, C.; Huang, C.; Zhang, S.; Zhang, L.; Li, T.; Peng, J.; Zhang, L. Research Progress on Nitrogen and Phosphorus Loss in Small Watersheds: A Regional Review. Water 2023, 15, 2894. [Google Scholar] [CrossRef]
- Pimentel, D. Soil Erosion: A Food and Environmental Threat. Environ. Dev. Sustain. 2006, 8, 119–137. [Google Scholar] [CrossRef]
- Calvin, K.; Dasgupta, D.; Krinner, G.; Mukherji, A.; Thorne, P.W.; Trisos, C.; Romero, J.; Aldunce, P.; Barret, K.; Blanco, G.; et al. IPCC, 2023: Climate Change 2023: Synthesis Report, Summary for Policymakers. In Contribution of Working Groups I, II and III to the Sixth Assessment Report of the Intergovernmental Panel on Climate Change; Core Writing Team, Lee, H., Romero, J., Eds.; IPCC: Geneva, Switzerland, 2023; pp. 1–34. [Google Scholar]
- Borrelli, P.; Alewell, C.; Yang, J.E.; Bezak, N.; Chen, Y.; Fenta, A.A.; Fendrich, A.N.; Gupta, S.; Matthews, F.; Modugno, S.; et al. Towards a Better Understanding of Pathways of Multiple Co-Occurring Erosion Processes on Global Cropland. Int. Soil Water Conserv. Res. 2023, 11, 713–725. [Google Scholar] [CrossRef]
- Dragotă, C.S. Precipitațiile Excedentare în România; Editura Academiei Române: Bucharest, Romania, 2006. [Google Scholar]
- Busuioc, A.; Caian, M.; Cheval, S.; Bojariu, R.; Boroneanț, C.; Baciu, M.; Dumitrescu, A. Variability and Climate Change in Romania; Editura PRO Universitaria București: Bucharest, Romania, 2010. [Google Scholar]
- Ioniță, I.; Chelaru, P.; Niacșu, L.; Butelcă, D.; Andrei, A. Landslide distribution and their recent development within the Central Moldavian Plateau of Romania. Carpathian J. Earth Environ. Sci. 2014, 9, 241–252. [Google Scholar]
- Sfîcă, L.; Istrate, V.; Hrițac, R.; Machidon, O. The Continental and Regional Synoptic Background Favorable for Hailstorms Occurrence in North-Eastern Romania. Prog. Phys. Geogr. 2023, 47, 3–31. [Google Scholar] [CrossRef]
- Ionita, I.; Niacsu, L.; Petrovici, G.; Blebea-Apostu, A.M. Gully development in eastern Romania: A case study from Falciu Hills. Nat. Hazards 2015, 79, 113–138. [Google Scholar] [CrossRef]
- Sandu, I.; Pescaru, V.-I.; Poiană, I. Climate of Romania; Romanian Academy Publishing House: Bucharest, Romania, 2008; 365p. (In Romanian) [Google Scholar]
- Dobri, R.-V.; Sfîcă, L.; Ichim, P.; Harpa, G.-V. The Distribution of the Monthly 24-Hour Maximum Amount of Precipitation in Romania According to Their Synoptic Causes. Geogr. Tech. 2017, 12, 62–72. [Google Scholar] [CrossRef][Green Version]
- Moțoc, M.; Ioniță, I.; Nistor, D. Erosion and climatic risk at the wheat and maize crops in the Moldavian Plateau. Rom. J. Hydrol. Water Resour. 1998, 5, 1–38. [Google Scholar]
- Ioniță, I.; Rădoane, M.; Mircea, S. 1.13 Romania. In Soil Erosion in Europe; Boardman, J., Poesen, J., Eds.; John Wiley: Chichester, UK, 2006; pp. 155–166. [Google Scholar]
- Niacsu, L.; Bucur, D.; Ionita, I.; Codru, I.-C. Soil Conservation Measures on Degraded Land in the Hilly Region of Eastern Romania: A Case Study from Puriceni-Bahnari Catchment. Water 2022, 14, 525. [Google Scholar] [CrossRef]
- Patriche, C.V. Applying RUSLE for Soil Erosion Estimation in Romania under Current and Future Climate Scenarios. Geoderma Reg. 2023, 34, e00687. [Google Scholar] [CrossRef]
- Prăvălie, R.; Patriche, C.; Săvulescu, I.; Sîrodoev, I.; Bandoc, G.; Sfîcă, L. Spatial Assessment of Land Sensitivity to Degradation across Romania. A Quantitative Approach Based on the Modified MEDALUS Methodology. Catena 2020, 187, 104407. [Google Scholar] [CrossRef]
- Niacșu, L.; Ioniță, I.; Curea, D. Optimum agricultural land use in the hilly area of Eastern Romania. Case study: Pereschiv catchment. Carpathian J. Earth Environ. Sci. 2015, 10, 183–192. [Google Scholar]
- Copernicus Climate Change Service (C3S). ERA5: Fifth Generation of ECMWF Atmospheric Reanalyses of the Global Climate; Copernicus Climate Change Service Climate Data Store (CDS): Brussels, Belgium, 2020; Volume 15. [Google Scholar]
- Copernicus Climate Change Service (C3S). Downscaled Bioclimatic Indicators for Selected Regions from 1979 to 2018 Derived from Reanalysis; Climate Data Store (CDS): Brussels, Belgium, 2021. [Google Scholar] [CrossRef]
- Schulzweida, U. CDO User Guide 2023. Available online: https://zenodo.org/records/10020800 (accessed on 12 October 2024).
- R Core Team. R: A Language and Environment for Statistical Computing; R Foundation for Statistical Computing: Vienna, Austria, 2024; Available online: https://www.R-project.org/ (accessed on 1 January 2025).
- Mankin, K.R.; Mehan, S.; Green, T.R.; Barnard, D.M. Review of Gridded Climate Products and Their Use in Hydrological Analyses Reveals Overlaps, Gaps, and the Need for a More Objective Approach to Selecting Model Forcing Datasets. Hydrol. Earth Syst. Sci. 2025, 29, 85–108. [Google Scholar] [CrossRef]
- Sfîcă, L.; Ichim, P.; Apostol, L.; Machidon, O. Three Years of Observations on Global Solar Radiation at Mădârjac Weather Station (270 m)—Central Moldavian Plateau. Present Environ. Sustain. Dev. 2017, 11, 109–117. [Google Scholar] [CrossRef]
- Sfîcă, L.; Ichim, P.; Ion, C.; Baltag, Ș.-E.; Ignat, A. Filling the Gap of Meteorological Data along the Prut River Valley, Romania—Cârja Experimental Weather Station. Aerul Apa Compon. Ale Mediu. 2021, 169–180. [Google Scholar] [CrossRef]
- Dumitraşcu, M.; Dragotă, C.-S.; Grigorescu, I.; Dumitraşcu, C.; Vlăduţ, A. Key Pluvial Parameters in Assessing Rainfall Erosivity in the South-West Development Region, Romania. J. Earth Syst. Sci. 2017, 126, 60. [Google Scholar] [CrossRef]
- Rusănescu, M.; Durbaca, I.; Stoian, E.V. The Indexes in Estimating Rainfall Erosivity—Case Study Bucharest. In Proceedings of the International Symposium “The Environment and the Industry”, Bucharest, Romania, 20–21 September 2018. [Google Scholar]
- Nedealcov, M. Agresivitatea Pluvială și Periculozitatea Exceselor Pluviometrice în Posibilitatea Declanșării Proceselor erozionale. Starea actuală a componentelor de mediu. 2019, 142–150. Available online: https://www.researchgate.net/publication/353904909_Agresivitatea_pluviala_si_periculozitatea_exceselor_pluviometrice_in_posibilitatea_declansarii_proceselor_erozionale (accessed on 1 January 2025).
- Fournier, F. Climat et Érosion: Relation Entre L’érosion du sol par L’eau et les Précipitations Atmosphériques. Ph.D. Thesis, et Sciences Humaines de L’Université de Paris, Paris, France, 1960. [Google Scholar]
- Arnoldus, H.M.J. An Approximation of the Rainfall Factor in the Universal Soil Loss Equation; John Wiley and Sons: New York, NY, USA, 1980; pp. 127–132. [Google Scholar]
- Vesanto, J.; Alhoniemi, E. Clustering of the Self-Organizing Map. IEEE Trans. Neural Netw. 2000, 11, 586–600. [Google Scholar] [CrossRef]
- Ponmalai, R.; Kamath, C. Self-Organizing Maps and Their Applications to Data Analysis; Office of Scientific and Technical Information (OSTI): Oak Ridge, TN, USA, 2019. [Google Scholar]
- Liu, Y.; Weisberg, R.H. A Review of Self-Organizing Map Applications in Meteorology and Oceanography. In Self Organizing Maps—Applications and Novel Algorithm Design; InTech: London, UK, 2011; ISBN 9789533075464. [Google Scholar]
- Philipp, A.; Bartholy, J.; Beck, C.; Erpicum, M.; Esteban, P.; Fettweis, X.; Huth, R.; James, P.; Jourdain, S.; Kreienkamp, F.; et al. Cost733cat—A Database of Weather and Circulation Type Classifications. Phys. Chem. Earth. 2010, 35, 360–373. [Google Scholar] [CrossRef]
- Philipp, A.; Beck, C.; Huth, R.; Jacobeit, J. Development and Comparison of Circulation Type Classifications Using the COST 733 Dataset and Software: Development and comparison of circulation type classificatios. Int. J. Climatol. 2016, 36, 2673–2691. [Google Scholar] [CrossRef]
- Philippopoulos, K.; Deligiorgi, D. A Self-Organizing Maps Multivariate Spatio-Temporal Approach for the Classification of Atmospheric Conditions. In Neural Information Processing; Springer: Berlin/Heidelberg, Germany, 2012; pp. 544–551. ISBN 9783642344770. [Google Scholar]
- Ioniță, I.; Ouatu, O. Sezonul critic de eroziune în Colinele Tutovei. In Analele Științifice ale Universității “Al. I. Cuza” Iași; Universității “Alexandru Ioan Cuza”: Iași, Romania, 1990; Volume XXXVI, s. IIC. [Google Scholar]
- Patriche, C.V. Quantitative assessment of rill and interrill soil erosion in Romania. Soil Use Manag. 2019, 35, 257–272. [Google Scholar] [CrossRef]
- Patriche, C.V.; Roșca, B.; Pîrnău, R.G.; Vasiliniuc, I.; Irimia, L.M. Simulation of Rainfall Erosivity Dynamics in Romania under Climate Change Scenarios. Sustainability 2023, 15, 1469. [Google Scholar] [CrossRef]
- Ionita, I.; Nistor, D. Soil Erosion Control in the Moldavian Plateau of Eastern Romania. In Proceedings of the International Symposium “Multidisciplinary Approaches to Soil Conservation Strategies”, Müncheberg, Germany, 11–13 May 2001; Book of Abstracts. p. 28. [Google Scholar]
- Tudose, T.; Croitoru, A.E.; Haidu, I. Some Aspects on Rainfall Maximuk Intensity in Northwestern Romania. In Proceedings of the International Multidisciplinary Scientific GeoConference: SGEM, Albena, Bulgaria, 16–22 June 2013; p. 771. [Google Scholar]
- Irașoc, A.; Ionac, N.; Dumitrescu, A.; Beteringhe, A. Extreme Rainfall Intensities at Sub-Hourly Temporal Scale in Dobrudja (Romania). Geogr. Tech. 2024, 19, 103–120. [Google Scholar] [CrossRef]
- Mihu-Pintilie, A.; Urzică, A.; Stoleriu, C.C.; Pricop, C.I. Integrating LiDAR-derived DEM, rainfall radar data, and SAR imagery for 2D HEC-RAS modelling to assess the severity of pluvial flash floods induced by Storm Boris in SE Romania. Geomat. Nat. Hazards Risk 2025, 16, 2488190. [Google Scholar] [CrossRef]
- Sreekanth, T.S.; Varikoden, H.; Sukumar, N.; Mohan Kumar, G. Microphysical Characteristics of Rainfall during Different Seasons over a Coastal Tropical Station Using Disdrometer. Hydrol. Process. 2017, 31, 2556–2565. [Google Scholar] [CrossRef]
- Dobri, R.-V.; Apostol, L.; Istrate, V. Characteristics of precipitations distribution induced by cut-off low cyclone activity in Romania during the warm semester. Air Pollut. Clim. Change 2019, 19, 907–913. [Google Scholar]
- Apostol, L. Precipitațiile Atmosferice în Subcarpații Moldovei; Editura Universității din Suceava: Bucharest, Romania, 2000. [Google Scholar]
- Tudose, T.; Haidu, I. Some aspects of the relationship between synoptic-scale wind and convective cells’motion generating heavy rains in the north-western Romania. Aerul Apa. Compon. Ale Mediu. 2012, 1, 276–281. [Google Scholar]
- Ionițe, I.; Sfîcă, L. The Black Sea as Contributor to the Precipitation Amount on Moldova Region. In Proceedings of the 2nd Intenational Scientific Conference Geobalcanica, Skopje, Macedonia, 10–12 June 2016; pp. 51–58. [Google Scholar] [CrossRef]









| Erosion Class | Fournier Index | Soil Loss (t/ha/year) | 
|---|---|---|
| Very Low | 0–20 | 0–5 | 
| Low | 20–40 | 5–12 | 
| Moderate | 40–60 | 12–50 | 
| Severe | 60–80 | 50–100 | 
| Very severe | 80–100 | 100–200 | 
| Extremely severe | >100 | >200 | 
| Erosion Class | Fournier Index | 
|---|---|
| Very Low | 0–60 | 
| Low | 60–90 | 
| Moderate | 90–120 | 
| High | 120–160 | 
| Very high | >160 | 
| Month/Year | 2013 | 2014 | 2015 | 2016 | 2017 | 2018 | 2019 | Average | 
|---|---|---|---|---|---|---|---|---|
| March | 0.07 | 0.03 | 0.02 | 0.03 | 0.06 | 0.02 | 0.01 | 0.03 | 
| April | 0.09 | 0.07 | 0.03 | 0.03 | 0.10 | - | 0.08 | 0.05 | 
| May | 0.25 | 0.11 | 0.02 | 0.09 | 0.08 | 0.08 | 0.16 | 0.11 | 
| June | 0.58 | 0.04 | 0.06 | 0.15 | 0.29 | 0.18 | 0.51 | 0.26 | 
| July | 0.21 | 0.03 | 0.03 | 0.04 | 0.32 | 0.17 | 0.25 | 0.15 | 
| August | 0.33 | 0.01 | 0.03 | 0.03 | 0.06 | 0.05 | 0.12 | 0.09 | 
| September | 0.42 | - | 0.02 | 0.02 | 0.34 | 0.04 | 0.10 | 0.16 | 
| October | 0.08 | 0.04 | 0.01 | 0.11 | 0.04 | 0.05 | 0.17 | 0.07 | 
| November | 0.04 | 0.03 | - | 0.14 | 0.05 | - | 0.03 | 0.05 | 
| Annual average | 0.23 | 0.05 | 0.03 | 0.07 | 0.15 | 0.07 | 0.16 | 0.11 | 
| Maximum/hour | 34.6 | 6.60 | 3.56 | 9.10 | 20.4 | 10.7 | 30.4 | 16.5 | 
| Month/Year | 2013 | 2014 | 2015 | 2016 | 2017 | 2018 | 2019 | Average | 
|---|---|---|---|---|---|---|---|---|
| March | 0.06 | 0.14 | 0.07 | 0.04 | - | 0.13 | 0.03 | 0.08 | 
| April | 0.10 | 0.13 | 0.04 | 0.31 | 0.06 | 0.10 | 0.10 | 0.12 | 
| May | 0.26 | 0.39 | 0.05 | 0.09 | 0.10 | 0.08 | 0.20 | 0.17 | 
| June | 0.45 | 0.20 | 0.16 | 0.32 | - | 0.56 | 0.33 | 0.34 | 
| July | 0.14 | 0.42 | 0.02 | 0.17 | 0.17 | 0.20 | 0.09 | 0.17 | 
| August | 0.17 | 0.10 | 0.08 | 0.21 | 0.15 | 0.07 | 0.16 | 0.13 | 
| September | 0.08 | 0.07 | 0.11 | 0.13 | 0.37 | 0.07 | 0.31 | 0.16 | 
| October | 0.02 | 0.09 | 0.06 | 0.15 | - | 0.04 | 0.13 | 0.08 | 
| November | 0.09 | 0.05 | - | 0.07 | 0.03 | 0.01 | 0.01 | 0.04 | 
| Annual average | 0.23 | 0.18 | 0.07 | 0.16 | 0.15 | 0.14 | 0.15 | 0.14 | 
| Maximum/hour | 27.2 | 25.2 | 9.6 | 18.8 | 22.0 | 33.6 | 19.6 | 22.3 | 
| Disclaimer/Publisher’s Note: The statements, opinions and data contained in all publications are solely those of the individual author(s) and contributor(s) and not of MDPI and/or the editor(s). MDPI and/or the editor(s) disclaim responsibility for any injury to people or property resulting from any ideas, methods, instructions or products referred to in the content. | 
© 2025 by the authors. Licensee MDPI, Basel, Switzerland. This article is an open access article distributed under the terms and conditions of the Creative Commons Attribution (CC BY) license (https://creativecommons.org/licenses/by/4.0/).
Share and Cite
Hrițac, R.; Sfîcă, L.; Mega, M.; Ichim, P.; Breabăn, I.-G.; Niacșu, L. Rainfall Erosivity Main Features and Their Associated Synoptic Conditions in North-Eastern Romania. Appl. Sci. 2025, 15, 6785. https://doi.org/10.3390/app15126785
Hrițac R, Sfîcă L, Mega M, Ichim P, Breabăn I-G, Niacșu L. Rainfall Erosivity Main Features and Their Associated Synoptic Conditions in North-Eastern Romania. Applied Sciences. 2025; 15(12):6785. https://doi.org/10.3390/app15126785
Chicago/Turabian StyleHrițac, Robert, Lucian Sfîcă, Mădălina Mega, Pavel Ichim, Iuliana-Gabriela Breabăn, and Lilian Niacșu. 2025. "Rainfall Erosivity Main Features and Their Associated Synoptic Conditions in North-Eastern Romania" Applied Sciences 15, no. 12: 6785. https://doi.org/10.3390/app15126785
APA StyleHrițac, R., Sfîcă, L., Mega, M., Ichim, P., Breabăn, I.-G., & Niacșu, L. (2025). Rainfall Erosivity Main Features and Their Associated Synoptic Conditions in North-Eastern Romania. Applied Sciences, 15(12), 6785. https://doi.org/10.3390/app15126785
 
        

 
       