Abstract
Tunnel deformation induced by excavation in brittle and quasi-brittle rock masses involves complex interactions among stress redistribution, plastic deformation, and fracture evolution. Existing numerical approaches often struggle to capture these coupled mechanisms, particularly under varying material properties such as Poisson’s ratio. This study aims to analyze tunnel deformation using an elastoplastic Discretized Virtual Internal Bond (DVIB) method embedded in a modified Stillinger–Weber (SW) potential. In this framework, plastic deformation is introduced through the two-body component, whereas the three-body angular potential governs Poisson’s ratio. A fracture-energy-based regularization strategy was implemented to reduce the mesh sensitivity and ensure energy consistency during bond failure. The model was evaluated through numerical simulations, including pre-cracked plates, center-split circular Brazilian discs, and tunnel models, under various in situ stress conditions and Poisson ratios. The findings indicate that higher Poisson’s ratios lead to increased deformation, with tunnel wall displacements rising from 0.45 mm at at . The deformation patterns and failure zones are consistent with theoretical expectations, confirming the applicability of the model to tunnel stability analysis in brittle geomaterials.
1. Introduction
1.1. Background
The long-term stability and operational safety of underground tunnels are critical concerns in mining, civil construction, and transportation infrastructure [1,2]. Inadequate assessment of rock mass behavior can lead to deformation and instability, and in severe cases, catastrophic failure can cause financial losses, safety risks, and operational delays. Understanding the deformation characteristics of a surrounding rock mass under diverse geological and loading conditions is essential for the design and maintenance of such structures [3,4,5,6]. As such, the development of accurate and robust numerical models for analyzing deformation and fracture behavior in rock formations, particularly in the context of tunnel engineering, has been a sustained focus of research [7]. Despite advances in numerical modeling techniques [8,9,10], capturing the nonlinear and discontinuous behavior of rock masses under excavation-induced stresses remains challenging [11,12,13].
Empirical methods such as the Q-system [14,15,16], Rock Mass Index (RMi) [17,18], Rock Mass Rating (RMR) [19,20], and Geological Strength Index (GSI) [21,22,23,24,25,26] have been extensively applied in preliminary tunnel design. These classification systems provide qualitative or semi-quantitative assessments based on geological features and observed performance. However, they lack the capacity to quantitatively evaluate stress redistribution, localized deformation, and failure mechanisms under complex boundary conditions, which limits their reliability in intricate geological environments.
To address these shortcomings, continuum-based numerical approaches, such as the Finite Element Method (FEM), Extended Finite Element Method (XFEM) [27,28,29], and Finite Difference Method (FDM) [30], have been extensively applied. These methods discretize rock formations as continuous entities and employ elastoplastic constitutive laws (e.g., Mohr–Coulomb, Drucker–Prager, Hoek–Brown) to simulate stress–strain responses [31]. Although effective in representing plastic flow and yielding, these models inherently assume material continuity, thereby restricting their ability to capture discrete crack initiation, propagation, and coalescence in brittle and quasi-brittle rock masses.
Beyond continuum models, lattice-based numerical approaches represent materials as networks of interacting mechanical elements such as springs or bars, where fractures evolve through progressive element failure [32,33,34,35,36]. Although lattice-based models provide valuable insights into brittle fracture mechanics and microstructural effects [37], they impose fixed Poisson’s ratios, rely on external failure criteria, and exhibit sensitivity to lattice topology, which affects numerical consistency and adaptability. Efforts to mitigate these limitations have included the introduction of beam and angular spring elements [38,39,40,41,42,43,44,45,46,47,48,49,50].
Despite advances in numerical modeling for tunnel stability assessments, accurately capturing plastic deformation, fracture evolution, and anisotropic failure mechanisms remains challenging. Traditional continuum-based approaches such as FEM, (XFEM), and FDM impose material continuity constraints, limiting their ability to simulate discontinuous cracking and stress redistribution. Lattice models, which are effective for brittle fracture representation, often suffer from fixed Poisson’s ratios and mesh sensitivity issues that affect the numerical consistency.
Compared to conventional continuum-based techniques, such as the Finite Element Method (FEM) and Finite Difference Method (FDM), the elastoplastic Stillinger–Weber (SW) potential-based Discretized Virtual Internal Bond (DVIB) framework eliminates the need for external fracture criteria and remeshes by modeling fractures through intrinsic bond failure mechanisms. This enables the direct simulation of crack initiation and propagation under large deformation conditions. Furthermore, unlike classical lattice models, which typically impose fixed Poisson’s ratios and rely on external failure conditions, the SW-DVIB approach incorporates plasticity at the bond level and utilizes both two-body and three-body interactions. This allows simultaneous control over the irreversible deformation and lateral stiffness, resulting in a physically consistent and topology-independent simulation framework. These characteristics make the SW-DVIB model a robust and computationally efficient alternative for analyzing the complex deformation and fracture behavior in tunnel stability analysis.
This paper proceeds as an outline below. After the Introduction, Section 2 introduces the proposed elastoplastic SW-DVIB method, including the model formulation and numerical implementation. Section 3 details the simulation results under various in situ stress conditions and Poisson’s ratios. Section 4 offers a critical discussion, including a comparison with previous studies, the drawbacks of the current research, and directions for future studies. Finally, Section 5 presents a summary of the main findings.
1.2. Literature Review
Discrete methods have been extensively explored to address the limitations of continuum-based numerical models in tunnel-stability analyses. Among these, lattice models [37,51,52,53] represent materials as interconnected networks of mechanical elements such as springs or bars, where fractures propagate through element failure processes. While advantageous for simulating brittle fracture and microstructural mechanics [37], lattice models often impose fixed Poisson’s ratios, rely on external failure criteria, and exhibit sensitivity to lattice topology, thereby affecting numerical robustness. Efforts to refine lattice-based models include the incorporation of beam elements and angular spring interactions to improve material response accuracy [38,39,40,41,42,43,45,46,47,48,49,50].
The Discretized Virtual Internal Bond (DVIB) method [45] introduced a more adaptable numerical framework by discretizing materials into bonded cell structures governed by hyperelastic potential functions. Unlike conventional lattice models, the DVIB enables the direct simulation of large deformations and fracture evolution without pre-defined failure criteria. However, early DVIB formulations relied on two-body interactions, resulting in fixed Poisson’s ratios that restricted the ability of the model to represent anisotropic deformation patterns. Zhang et al. [54] addressed this constraint by integrating rotational effects via bond angles, improving Poisson’s ratio representation in fracture mechanics applications.
For tunnel stability analysis, numerical models must capture elastoplastic deformation and fracture propagation to ensure realistic stress redistribution within rock formations. Although DVIB extensions have introduced plasticity [50], the issue of a fixed Poisson’s ratio persists, limiting the adaptability of modeling stress-dependent behaviors in underground environments. Zhang et al. [55] extended the Stillinger (SW) potential framework, enriching the constitutive relationship with microfracture mechanisms and improving the numerical accuracy of failure simulations.
In addition to discrete models, multiscale simulation methods such as the quasi-continuum (QC) approach [56,57], Coarse-Grained Molecular Dynamics (CGMD) [58], and bridge-scale (BS) models [59,60] aim to bridge microstructural mechanics with macroscopic deformation phenomena. Although effective in representing material behavior across different scales, these techniques often incur high computational costs and suffer from interface artifacts, such as ghost forces, which affect numerical precision [61]. Continuum-enhanced frameworks, such as Extended Finite Element Methods (XFEM) [27] and meshless methods [29], resolve remeshing challenges, but they require higher computational complexity and increased degrees of freedom for accuracy [28].
Recent studies, including Yuezong et al. [62], applied the plastic Stillinger–Weber DVIB (PSW-DVIB) model to tunnel deformation assessments, investigating lateral pressure coefficients, in situ stress effects, Poisson’s ratio variations, and tunnel geometry-dependent responses. Their findings reinforced the applicability of the DVIB-based models for fracture evolution and stress redistribution simulations. However, their approach implemented ideal plasticity, which did not achieve explicit decoupling between plastic flow and lateral stiffness control, a critical factor in tunnel deformation modeling under complex geological conditions.
This study builds upon a previously published work by Dina et al. [63], which introduced an elastoplastic SW-DVIB model incorporating variable Poisson’s ratios within the Stillinger–Weber potential framework. This study successfully embedded plasticity within the two-body interaction while maintaining the elastic behavior in the three-body component, enabling the simulation of fracture propagation and irreversible deformation in brittle materials. However, although it established the theoretical foundations of the model, its applicability to realistic geotechnical contexts, particularly for tunnel deformation under excavation-induced stress conditions, has not been assessed.
In this study, the SW-DVIB model was extended and applied to analyze tunnel deformation in brittle and quasi-brittle rock masses under varying in situ stresses and Poisson’s ratios. By independently controlling plastic yielding and volumetric deformation, the enhanced formulation enables a more accurate representation of anisotropic failure mechanisms, which is essential for tunnel stability analysis. Furthermore, the integration of the fracture energy calibration within the failure bond length determination significantly improves the mesh-size sensitivity, ensuring numerical consistency across different discretization resolutions. These advancements make the SW-DVIB model particularly well suited for tunnel stability assessments in heterogeneous geological environments, where plastic flow and fracture interact in a coupled manner.
2. Development of Elastoplastic SW-DVIB Method
2.1. Brief Description of SW-DVIB Model
The SW potential, originally presented in [64], accounts for both two-body and three-body potentials, where the interatomic potential energy varies with bond length and corresponding angle. Initially formulated for silicon modeling, the perfect tetrahedral angle is defined as the initial bond angle. In 2014, Zhang et al. [55] enhanced the SW interaction by establishing the initial bond angle in an undeformed setup, which was used as a baseline, broadening its applicability beyond silicon to encompass a wider range of materials (Figure 1).
Figure 1.
A bond cell reported via the revised SW potential.
For the bond cell illustrated in Figure 1, the overall energy is given as follows:
The constitutive model of the node force and stiffness matrix are derived, respectively, as follows:
The linear elastoplastic behavior of the bond is illustrated in Figure 2, where the bond deformation crosses a critical point, and the bond is ruptured.
Figure 2.
Description of bond crack criterion: (a) normal bond force vs bond length; (b) bond moment vs. bond angle.
A linear elastoplastic formulation of the SW-bond potential can be expressed in terms of both two-body and three-body interactions as follows:
2.2. Elastoplastic SW-DVIB Model
The SW potential is built from two components: two- and three-body potentials. In developing the elastoplastic SW-DVIB model, plasticity is incorporated into the two-body interaction, whereas the three-body interaction remains elastobrittle [63]. Consequently, the common constitutive model of the SW-DVIB retains the following structure, with the nodal force vector and stiffness matrix defined accordingly:
Ding et al. [50] incorporated plasticity into the two-body potential using the following equation presented in [65]:
Here, we take Equation (8) as the two-body interaction of the elastoplastic SW-DVIB. The first derivative of the bond potential function relative to the bond length can be expressed as follows:
A three-body potential representing linear elastic–brittle behavior was formulated in [65], and is presented in Equation (3). For the current elastoplastic SW-DVIB model, the three-body interaction used is as follows:
where represents the critical strain in the bond length beyond which the bond fails, and denotes the critical strain at which the bond angle no longer maintains its mechanical strength. The physical parameters in Equations (9) and (10) can be interpreted using Equation (8), and the diagram of the two-body potential is shown in Figure 3.
Figure 3.
Diagram of elastoplastic bond potential [55].
For ease of parameter analysis, the dimensionless parameters established in [50] were used.
The mechanical behavior of the bond is characterized by several dimensionless parameters: represents the ratio of plastic to elastic stiffness, and , , and denote the yield, plasticity-fracture transition, and failure strains, respectively. Using these parameters, the maximum plastic bond length can be determined using the following expressions: is expressed as , the yield strength of bond as , and the evolution of the bond resistance as , based on the geometric configuration depicted in Figure 3. The elastoplastic SW-DVIB parameters were calibrated as follows:
where is the volume, is Young’s modulus, and is the Poisson ratio of a unit cell. The calibration of the failure bond strain was as follows:
The ratio is linked to the distinct geometric configuration of the unit cell, as highlighted by [65], for the two-dimensional irregular triangular and for irregular tetrahedral cells in three dimensions. Regarding the remaining derivatives, such as , reference can be made to Zhang and Chen [55].
2.3. Numerical Implementation
Applying the SW-DVIB method to numerical simulations begins by discretizing the computational domain. Triangular elements are typically employed for two-dimensional analyses, whereas tetrahedral elements are preferred for three-dimensional problems. The governing system of equations for the model is ultimately expressed in matrix form, representing the equilibrium condition of the discretized structure as follows:
where represents the mass matrix in lumped form, denotes the matrix formulation for energy dissipation, indicates the refreshing force vector, corresponds to the vector representing displacements at each node, and is the external force vector. The iterative implicit algorithm is expressed as follows:
With .
3. Simulation Results of the Elastoplastic SW-DVIB Method
3.1. Parameter Sensitivity Analysis
To examine how the micro-bond parameters affect the macro-mechanical behavior of the material, a uniaxial tensile simulation was performed using The SW-DVIB model employed in the study of the 2D specimen, which was used in the simulation, as illustrated in Figure 4a, with dimensions of , and a three-node triangular cell was employed. Young’s modulus was set at , which was chosen because it represents the realistic macroscopic post-yield (plastic) stiffness of the material, providing an appropriate benchmark for capturing the elastoplastic behavior.

Figure 4.
Parameter sensitivity analysis: (a) simulation specimen; (b) influence of ; ; (c) influence of , ; (d) influence of , .
3.2. Plastic Deformation Simulation in a Cracked Plate
The simulated case involved the uniaxial tension of a rectangular plate featuring a pre-crack. As illustrated in Figure 5a, the sample used in the simulation measured with a centrally located pre-crack extending in length. The three-node triangular cell configuration comprising a total of 25,654 triangular cells is applied. The displacement loading path, depicted in Figure 5b, consists of a loading phase during the first 10 seconds, followed by an unloading phase from the 10 to the 20th second. The micro-bond parameters used as inputs were .
Figure 5.
Loading process of the case of the rectangular plate with a pre-crack: (a) model diagram; (b) displacement loading path.
The simulated stress–strain relationship is shown in Figure 6a. There is an obvious linear segment from point A to point B and a nonlinear segment from point B to point C in the loading phase. The unloading curve is parallel to the initial loading curve. This indicates that Young’s modulus in the unloading stage is corroborated by the initial Young’s modulus. When the axial stress decreased to , i.e., point E in Figure 6a, the specimen exhibited an obvious unrecoverable plastic deformation. The stress in the specimen changed from tensile to compressive as the strain decreased from Point E to Point F.
Figure 6.
Reproduced deformation procedure: (a) stress–strain relation; fracture opening deformation at (b): (A) ; (B) ; (C) ; (D) ; (E) ; (F) .
The crack-opening deformation is shown in Figure 6b(B–D), corresponding to points A–F, respectively, as shown in Figure 6a. In the loading stage, the crack opening deformation increased with an increase in displacement. When the axial stress dropped to , the crack did not close, as shown in Figure 6b(F), which was caused by unrecoverable plastic deformation. These simulated phenomena demonstrate that the model can be used to model irreversible material deformation.
3.3. Fracture Energy Conservation
This approach incorporates fracture energy into the fracture model to ensure that the results remain unaffected by mesh-size sensitivity. To examine the impact of fracture energy, three-point bending tests were conducted using two different methods: accounting for fracture energy and disregarding it. The dimensions of the specimen and meshing configuration are illustrated in Figure 7, where three types of meshes were applied: coarse, middle, and fine.

Figure 7.
Three-point bending test configuration and mesh refinement strategy: (a) geometry and dimensions of the specimen; (b) coarse discretization; (c) medium-level mesh; (d) fine mesh resolution.
In the initial case, the fracture energy was excluded by setting with the parameters of the micro-bonds defined as and . In the second case, the micro-bond parameters remained unchanged from those in Case I, except for the inclusion of fracture energy, specified as . The load–displacement behavior at the loading point is depicted in Figure 8. The simulated results for Case I without considering the fracture energy are illustrated in Figure 8a. It is evident that the highest force diminishes gradually with a decrease in element size. In Case II, in which the fracture was considered, as shown in Figure 8b, the simulated results were unaffected by the element dimensions.
Figure 8.
Relationship between applied force and displacement at the loading point: (a) without crack energy; (b) with crack energy.
The inclusion of fracture energy not only eliminates mesh independence for the force–displacement curve of the loading point but also ensures that the simulated fracture morphology remains unaffected by the element size. In Case I, because the fracture energy was not incorporated, the fracture condition for micro-scale bonds was determined by a predefined bond length or its associated force. When either of these thresholds is satisfied, bonds break. As illustrated in Figure 9, reducing the element size resulted in a rougher fracture morphology. Conversely, in Case II, in which the fracture energy was considered, the fracture condition for the micro-scale bonds was directly linked to the fracture energy. Consequently, as shown in Figure 10, the fracture shape remains consistent regardless of the element dimensions.
Figure 9.
Simulated fracture morphology by the method without fracture energy: (a) coarse mesh; (b) middle mesh; (c) fine mesh.
Figure 10.
Simulated fracture morphology by the method with fracture energy: (a) coarse mesh; (b) middle mesh; (c) fine mesh.
3.4. Elastoplastic SW-DVIB Fracture Simulation
To assess the effectiveness of the model in simulating material fractures, a uniaxial tension test was performed on a rock specimen containing a pre-crack [66]. A simplified representation of the material samples is shown in Figure 11. The primary objective of this test was to examine the effect of the pre-crack dip angle on the failure condition of the material. According to test result [66], the micro bond parameters are confirmed as and .
Figure 11.
Uniaxial tension model of a pre-cracked rock specimen.
As shown in Figure 12a, the simulated uniaxial stress–strain relationship for various pre-crack cases reveals a decrease in the specimen tensile strength with an increase in the pre-crack dip angle. The corresponding simulated relationship between the uniaxial tensile strength and pre-crack dip angle (Figure 12b) is largely consistent with experimental observations [66].
Figure 12.
Simulated outcomes for cases with various pre-crack dip angles: (a) stress–strain curves; (b) peak stresses [67].
The simulated fracture process is illustrated in Figure 13. The model findings indicate that tensile fracture is the primary failure mechanism for pre-cracked specimens subjected to uniaxial tensile loading. Although the crack-propagation process remained consistent across varying pre-crack dip angles, the resulting propagation trajectories differed. Specifically, at the and angles, the first crack growth exhibited a slight horizontal deviation. By contrast, at , the initial propagation was horizontal. The comparison between the simulated fracture status and the experimental results [66] is shown in Figure 14. It is seen that the simulated fracture status is consistent with experimental observation.
Figure 13.
Simulated fracture process where the pre-crack exhibits varying dip angle: (a) ; (b) ; (c) .
Figure 14.
Validation of fracture simulation through experimental benchmarks [67]: (a) ; (b) ; (c) . (Simulation results are displayed on the left side, and experimental outcomes on the right).
Simulation examples suggest that the proposed method can be used to simulate the fracture behavior of a material.
3.5. Crack Growth and Linkage in Pre-Cracked Rock Disks
To rigorously validate the predictive capabilities of the SW-DVIB framework for simulating fracture mechanics, a central straight-through-crack Brazilian disk (CSCBD) test was conducted. This test enables a systematic investigation of the crack initiation, propagation, and coalescence in brittle materials under controlled loading conditions. The geometric configuration and boundary conditions of the CSCBD specimens are shown in Figure 15, where the displacement-controlled loading was imposed along the vertical axis. The micromechanical input parameters were calibrated as follows: and . This parameter selection ensures consistency with experimental benchmarks and theoretical fracture mechanics principles.
Figure 15.
Model diagram of the CSCBD test; displacement loading is adopted.
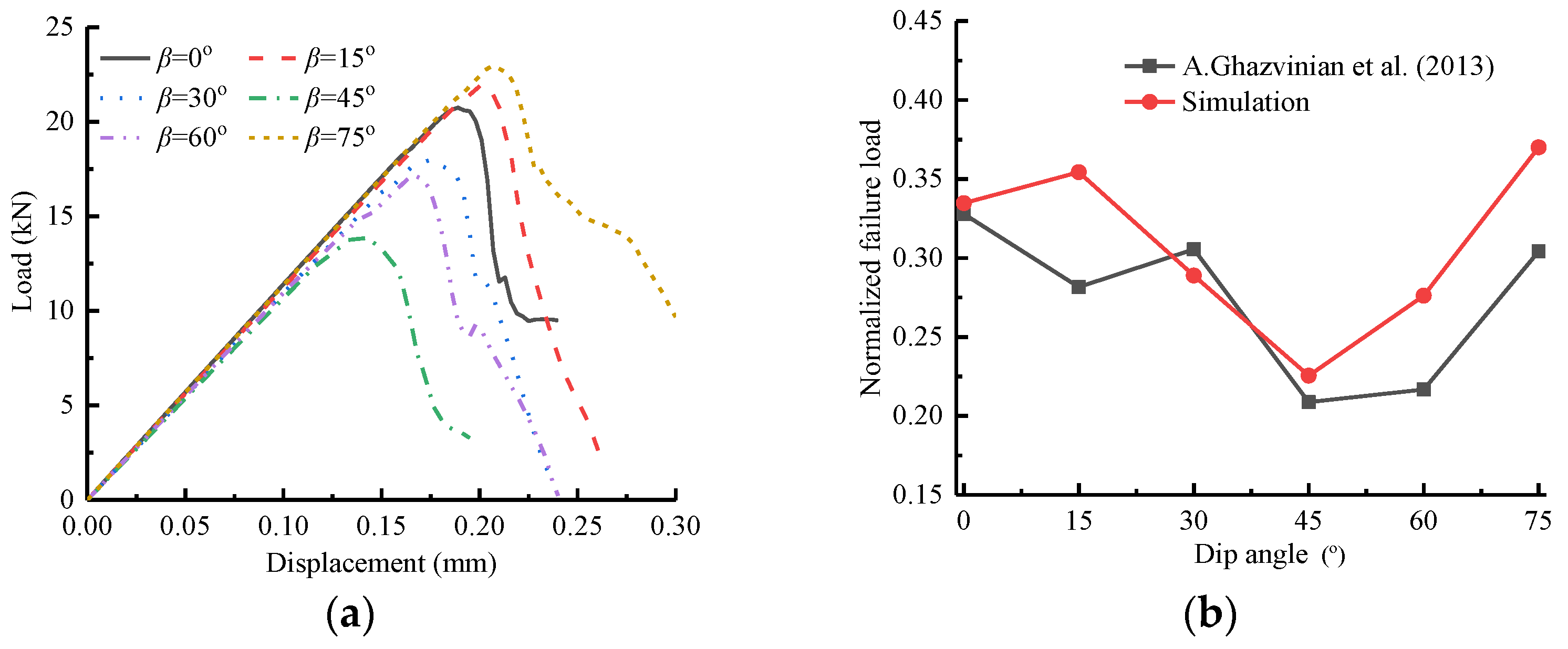
The simulated load–displacement behavior of the pre-cracked specimens subjected to vertical compressive loading is presented in Figure 16a. The numerical results indicated that the failure load exhibited a strong dependency on the crack inclination owing to variations in the stress redistribution across the specimen. To quantify this effect, the normalized failure load was computed following the experimental formulation [48], which expresses the ratio between the failure load of the pre-cracked specimens and the corresponding failure load of the intact specimens. The computed failure load for the uncracked specimens was determined using , which served as the reference condition. A comparison between the simulated normalized failure loads and the experimental observations is shown in Figure 16b. The numerical model accurately reproduced the experimentally observed trends, confirming that pre-existing cracks introduced structural weakening and reduced the load-bearing capacity of CSCBD specimens. Notably, the minimum failure load was observed at , confirming previous findings on the critical influence of crack orientation on fracture toughness.
Figure 16.
Simulated outcomes for scenarios with various pre-crack dip angles: (a) load–displacement relation; (b) Comparison of normalized failure load vs pre-crack dip angle between the simulated method and the findings of Ghazvinian et al. [68].
3.5.1. Crack Growth and Fracture Mode Transition
The evolution of the fracture processes in the CSCBD specimens with varying pre-crack inclinations is presented in Figure 17, demonstrating the distinct transition between tensile and shear-dominated failure modes. Crack initiation consistently occurred at the pre-crack tips and progressed along the principal stress trajectories. The failure mechanisms exhibited the following characteristics:
Figure 17.
Simulated fracture process for CSCBD with different pre-crack dip angles: (a) ; (b) ; (c) .
- Mode I tensile failure was dominant at and , where crack propagation extended vertically under maximal tensile stress conditions. This aligns with the typical fracture patterns observed in brittle materials under purely tensile loading conditions.
- Mixed-mode fracture (I + II) occurred at and , where tensile and shear interactions jointly governed crack propagation, leading to complex stress redistribution effects. This fracture mode represents the transition zone, where shear contributions significantly influence crack evolution.
- Mode II shear-dominated failure emerged at , characterized by a substantial crack path deviation due to localized shear stress concentration. The crack trajectory exhibited pronounced branching and irregular fracture surfaces, indicative of shear-driven instability.
These observations are in close agreement with the findings of Dehestani et al. [69], who demonstrated that mixed-mode fractures () exhibited the lowest fracture toughness values owing to the simultaneous tensile and shear contributions. The present numerical results reaffirm this trend, with the minimum failure load occurring during , thereby reinforcing the predictive accuracy of the model.
The fracture surfaces produced in the CSCBD specimens exhibit self-affine scaling properties, as predicted by Seppälä et al. [48]. Their study showed that brittle fractures follow a roughness exponent of approximately 2/3, which is a characteristic that is replicated in the current numerical model. Additionally, finite-size effects influence crack coalescence dynamics, particularly in specimens exhibiting shear-dominated failure at larger inclination angles. The integration of scaling principles reinforces the robustness of the SW-DVIB approach in capturing fracture roughness and energy dissipation mechanisms.
3.5.2. Scaling Effect and Crack Coalescence Mechanisms
As noted by Picallo et al. [49], fracture evolution in disordered materials can transition between brittle and ductile regimes owing to strain-localization effects. Although CSCBD tests primarily exhibit brittle failure mechanisms, the presence of shear interactions in mixed-mode scenarios () suggests local plasticity effects analogous to the strain band formation observed in ductile fracture models. Furthermore, the energy release rate surpassed the critical threshold for crack coalescence, confirming that linkage occurred through localized stress redistribution rather than purely brittle failure criteria. The numerical and experimental fracture modes [49] are compared in Figure 18, revealing a high degree of consistency between the simulated crack paths and the empirical observations. The SW-DVIB model successfully captured the transition from Mode I tensile fracture at lower inclinations to Mode II shear-dominated failure at larger angles, reinforcing its applicability for brittle material characterization.
Figure 18.
Simulated failure mode vs experimental outcomes [49]: (a) , (b) , (c) .
The findings presented in this section substantiate the robustness of the SW-DVIB framework in accurately predicting the fracture mechanics behavior. By explicitly incorporating crack inclination effects, the model effectively reproduced experimentally validated fracture-toughness dependencies and scaling phenomena. The agreement between the numerical results and experimental benchmarks strengthens the confidence in the predictive accuracy of the model, ensuring its relevance for failure characterization in brittle geomaterials.
3.6. Analysis of Tunnel Deformation
Empirical methods have been widely used by rock engineers to assess rock mass properties and design preliminary support systems, owing to their simplicity [24]. These methods often rely on systems for rock mass characterization, such as the Q-system [15], Rock Mass Index (RMi) [18], Rock Mass Rating (RMR) [20], and Geological Strength Index (GSI) [21], to evaluate rock mass characteristics. However, these classification systems are limited in their ability to analyze rock mass stability, understand fundamental mechanisms, and resolve practical failure modes. In such cases, numerical methods are essential for quantitative analysis. This section extends the elastoplastic SW-DVIB model to analyze tunnel wall deformation. The object of the analysis was a tunnel, as shown in Figure 19a. The domain of interest was . The dimensions of this tunnel are . The arch diameter is 3 m. The mesh generation strategy is illustrated in Figure 19b. In situ stress was applied to the outer boundary.
Figure 19.
Simulation object for the tunnel wall deformation analysis: (a) geometry of the interesting domain; (b) meshing scheme.
3.6.1. In Situ Stress and Its Effects on Tunnel Deformation
To evaluate the influence of in situ stress on tunnel deformation, numerical simulations were conducted for four distinct cases, each characterized by varying in situ stress conditions. The input parameters are as follows: , , , , , and . The simulation incorporated in situ stress values obtained from direct field measurements [70]. Statistical analysis indicates that vertical in situ stress typically exceeds the horizontal in situ stress. Figure 20 illustrates the relationship between the in situ stress and depth.
Figure 20.
Relationship between in situ stress and depth [70].
Figure 21 shows the simulated displacement contours of the surrounding rock under varying in situ stress conditions. The results indicate that as the in situ stress increases, the degree of deformation in the surrounding rock intensifies. When the vertical in situ stress exceeds the horizontal in situ stress, the primary areas of damage are concentrated at the top and bottom sections of the tunnel.
Figure 21.
Displacement contour of surrounding rock under various in situ stresses (a) , ; (b) , ; (c) , ; (d) , .
The simulated results of the tunnel deformation in cases with different in situ stresses are illustrated in Figure 22. Tunnel deformation mainly manifests as distortion at the bottom of the tunnel wall. When the in situ stress was sufficiently high, upheaval occurred at the bottom of the tunnel (Figure 22c,d). This indicates that more attention should be paid to the bottom support of tunnels.
Figure 22.
Tunnel deformation under different in situ stresses (a) , ; (b) , ; (c) , ; (d) , . (The node displacements are magnified 20 times.).
3.6.2. Effect of Poisson’s Ratio on Tunnel Deformation
Poisson’s ratio is an important parameter that affects material deformation. To investigate the impact of Poisson’s ratio of the adjacent rock mass on tunnel deformation, three cases of surrounding rock with various Poisson’s ratios and , were considered. The other input parameters were , , , , , and . The simulated results for cases with various Poisson’s ratios are shown in Figure 23 and Figure 24. It was found that when Poisson’s ratio of the surrounding rock was larger, the damage extent of the confining rock layer was larger (Figure 23), and the tunnel deformation was larger (Figure 24). This indicates that when Poisson’s ratio of the enclosing rock mass is large, it is necessary to adopt longer rock bolts to support the surrounding rock.
Figure 23.
Displacement contour of model with diverse Poisson’s ratios: (a) ; (b) ; (c) .
Figure 24.
Tunnel deformation with diverse Poisson’s ratios: (a) ; (b) ; (c) . (Nodal displacements have been magnified by a factor of 20 for enhanced visualization).
4. Discussion
In this study, an elastoplastic Discretized Virtual Internal Bond (DVIB) model embedded within a modified Stillinger–Weber (SW) potential was used to investigate tunnel deformation in brittle and quasi-brittle geomaterials. The model introduces a bilinear two-body force–displacement law that governs plastic deformation, permitting bond stretching beyond the yield prior to rupture. In conjunction, a three-body angular stiffness component controls the lateral expansion and volumetric deformation, thereby capturing the Poisson’s ratio effects. Together, these features allow for the independent regulation of normal and shear responses, effectively representing the coupling between the plastic flow and anisotropic fracture evolution in brittle rocks.
Numerical simulations showed that the SW-DVIB model successfully captured plastic deformation, crack initiation and propagation, and stress redistribution under varying in situ stress conditions and Poisson ratios. The radial displacements of the tunnel wall increased with both vertical and lateral stress magnitudes and aligned well with excavation-induced damage patterns. Specifically, displacements increased from at at , confirming the amplifying role of Poisson’s ratio in deformation response. The integration of fracture energy calibration ensured mesh-independent failure behavior, lending physical realism and numerical robustness to the model.
A significant contribution of this work is the explicit inclusion of pre-crack inclination effects via Compact Shear Cracked Brazilian Disk (CSCBD) simulations. As detailed in Section 3.5, the model accurately captured the dependence of fracture toughness on the crack angle, corroborating the findings of Dehestani et al. [69]. Their machine learning-based study showed a minimum fracture toughness at specific crack angles owing to the combined influence of tensile and shear stresses. The SW-DVIB model independently reproduced this behavior through physics-based simulations, identifying a critical angle corresponding to the minimum failure load. Moreover, the model captured the transition from Mode I tensile fracture at low crack inclinations to Mode II shear-dominated fracture at higher angles, demonstrating its capability to simulate complex crack coalescence without predefined damage paths.
Earlier plastic models, such as those developed by Seppala et al. [48] and Picallo et al. [49], lacked angular interactions, limiting their ability to represent anisotropic deformation and ductile flow, which are both essential for an accurate tunnel stability assessment. In contrast, the SW-DVIB model incorporates softening behavior through decoupling of the plasticity (two-body) and lateral stiffness (three-body) components. This allows for greater flexibility in the post-yield response tuning. Unlike the PSW-DVIB model [62], which assumes ideal plasticity, the present model allows for independent manipulation of the normal and shear components, thus reflecting a more accurate representation of the interactions governing brittle fracture.
Traditional continuum approaches, such as the Finite Element Method (FEM) and Finite Difference Method (FDM), typically require external remeshing or damage-tracking algorithms to simulate the fracture evolution. Similarly, lattice-based methods often impose fixed Poisson’s ratios and depend on pre-defined failure criteria [37,51,52,53]. The SW-DVIB model mitigates these limitations by enabling both plasticity and fracture to evolve naturally through interparticle interactions. Its fracture energy regularization strategy minimizes mesh sensitivity and produces consistent load–displacement behavior and crack propagation paths, representing an improvement over earlier DVIB implementations [55,63]. These advancements firmly place the model within the domain of mesoscale fracture mechanics and reinforce its applicability to tunnel-stability problems [71].
Mesh sensitivity analyses confirmed that when the fracture energy was properly calibrated, the resulting load–displacement curves and crack trajectories were consistent across the discretization levels. The displacement trends around the tunnel crowns and sidewalls corresponded well with the expected excavation-induced stress redistribution, thus further validating the physical accuracy of the model. These results underscore the benefits of a potential-driven elastoplastic framework for tunnel-deformation analysis.
Unlike conventional continuum models, which assume material homogeneity and require complex remeshing, the SW-DVIB model naturally captures the initiation and evolution of brittle failure. Its ability to represent material anisotropy and post-peak softening behavior without mesh dependence makes it particularly suitable for the design and assessment of tunnel support systems in brittle and strain-softening geological environments.
Despite its strengths, this study has several limitations. The simulations were limited to two dimensions, which restricted their ability to capture the full three-dimensional stress redistribution and out-of-plane effects. Although Poisson’s ratio effects were explored, further sensitivity analyses targeting other parameters such as fracture energy, yield stretch, and angular stiffness are necessary. In addition, the computational performance of the model was not explicitly evaluated. Quantifying runtime and memory demands is essential for assessing their feasibility in large-scale applications.
To address these limitations, future research should include (1) comprehensive model validation, including direct comparative studies with continuum or lattice-based methods, systematic mesh sensitivity analyses, and verification against experimental data, such as the CSCBD tests from Dehestani et al. [69]; (2) expanded parametric investigations, including full sensitivity and ablation analyses of Poisson’s ratio, fracture energy regularization, yield stretch, angular stiffness, and the impact of rock bolt optimization strategies on tunnel stability; (3) methodological enhancements, including the extension of the model to three-dimensional simulations for realistic tunnel geometries and stress redistributions, and the evaluation of computational complexity in terms of runtime and memory efficiency for large-scale geomechanical applications.
These initiatives will further establish the SW-DVIB framework as a robust tool for simulating complex failure mechanisms and enhancing the predictive capabilities of tunnel stability assessments in geotechnical engineering.
5. Conclusions
In this study, an enhanced elastoplastic Discretized Virtual Internal Bond (DVIB) model based on a modified Stillinger–Weber (SW) potential was used to analyze tunnel deformation in brittle and quasi-brittle geomaterials under excavation-induced stress conditions. The results confirm that the model effectively captures the coupled processes of plastic deformation and fracture evolution, enabling the independent control of plastic flow and Poisson’s ratio through a bilinear force–displacement relationship in the two-body potential, while maintaining angular rigidity in the three-body component. Additionally, fracture-energy calibration in the failure bond length determination ensures mesh-insensitive fracture propagation, enhancing numerical consistency across discretization resolutions.
These findings establish the SW-DVIB model as a significant advancement in the numerical geomechanics. Unlike previous DVIB-based models, which either impose fixed Poisson’s ratios or rely on ideal plastic formulations, this approach provides a unified framework capable of simulating anisotropic deformation and progressive failure mechanisms. Tunnel simulations demonstrate that the Poisson’s ratio influences the deformation magnitude and damage distribution, further validating the physical basis of the angular interaction component and reinforcing its importance in tunnel stability assessments.
Beyond its theoretical contributions, the proposed model offers practical advantages for numerical analysis and underground excavation designs. Conventional continuum-based approaches often struggle to capture discontinuous failure patterns and stress-induced anisotropy, and they require remeshing or predefined fracture paths to simulate fracture evolution. In contrast, this model enables direct calibration using physically meaningful parameters, such as Young’s modulus, fracture energy, and Poisson’s ratio, making it particularly effective for applications in heterogeneous geological conditions. By offering a computationally efficient and physically consistent framework, this study strengthens the predictive modeling of tunnel stability in brittle rock masses, thereby addressing key challenges in underground engineering.
Author Contributions
Conceptualization, D.K.; Methodology, D.K.; Software, D.K. and A.K.; Validation, S.J.; Writing—original draft, D.K.; Writing—review and editing, D.K., S.J., A.K., and D.M. All authors have read and agreed to the published version of the manuscript.
Funding
This study did not receive external funding.
Institutional Review Board Statement
Not applicable.
Informed Consent Statement
Not applicable.
Data Availability Statement
Data are contained within the article. The data are presented in this study are available in insert article.
Conflicts of Interest
The authors declare no conflicts of interest.
References
- Su, Y.; Su, Y.; Zhao, M.; Vlachopoulos, N. Tunnel Stability Analysis in Weak Rocks Using the Convergence Confinement Method. Rock. Mech. Rock. Eng. 2021, 54, 559–582. [Google Scholar] [CrossRef]
- Xiaoming, W.; Yuanjie, X.; Wenbing, S.; Juanjuan, R.; Zhengxing, C.; Hua, L. Research on Meso-Scale Deformation and Failure Mechanism of Fractured Rock Mass Subject to Biaxial Compression. Arab. J. Geosci. 2021, 14, 1390. [Google Scholar] [CrossRef]
- Zhou, C.; Han, Y.; Liu, G.-F.; Mu, H.-Q.; Tie, J.-K.; Feng, G.-L. Risk Analysis of Progressive Cracking and Failure of Hard Rock around Deep Underground Caverns with High Sidewall. IOP Conf. Ser. Earth Environ. Sci. 2021, 861, 042019. [Google Scholar] [CrossRef]
- Yang, H. Numerical Calculation of Instability of Tunnel Surrounding Rock Based on Elastic Hole Theory. IOP Conf. Ser. Earth Environ. Sci. 2019, 283, 012047. [Google Scholar] [CrossRef]
- Ren, Q.; Xu, L.; Zhu, A.; Shan, M.; Zhang, L.; Gu, J.; Shen, L. Comprehensive Safety Evaluation Method of Surrounding Rock during Underground Cavern Construction. Undergr. Space 2021, 6, 46–61. [Google Scholar] [CrossRef]
- Guo, X.; Zhao, Z.; Gao, X.; Ma, Z.; Ma, N. The Criteria of Underground Rock Structure Failure and Its Implication on Rockburst in Roadway: A Numerical Method. Shock Vib. 2019, 2019, 7509690. [Google Scholar] [CrossRef]
- Duan, S.; Liu, G.; Gao, P.; Sun, Y.; Xu, L.; Cao, B.; Jiang, Q. Stability Prediction and Analysis for Large Underground Cavern Controlled by Weak Interlayer Zone under High Geostress. IOP Conf. Ser. Earth Environ. Sci. 2021, 861, 042014. [Google Scholar] [CrossRef]
- Yang, X.L.; Zhang, R. Collapse Analysis of Shallow Tunnel Subjected to Seepage in Layered Soils Considering Joined Effects of Settlement and Dilation. Geomech. Eng. 2017, 13, 217–235. [Google Scholar] [CrossRef]
- Yang, X.L.; Xu, J.S.; Li, Y.X.; Yan, R.M. Collapse Mechanism of Tunnel Roof Considering Joined Influences of Nonlinearity and Non-Associated Flow Rule. Geomech. Eng. 2016, 10, 21–35. [Google Scholar] [CrossRef]
- Huang, X.; Zhou, Z.; Yang, X.L. Roof Failure of Shallow Tunnel Based on Simplified Stochastic Medium Theory. Geomech. Eng. 2018, 14, 571–580. [Google Scholar] [CrossRef]
- Protosenya, A.; Vilner, M. Assessment of Excavation Intersections’ Stability in Jointed Rock Masses Using the Discontinuum Approach. Rud.-Geološko-Naft. Zbornik 2022, 37, 137–147. [Google Scholar] [CrossRef]
- Mboussa, D.J.W.; Sun, S. Analysis of Rock Mass Behavior with Empirical and Numerical Method for the Construction of Diversion Tunnel, Laos. IOP Conf. Ser. Mater. Sci. Eng. 2022, 1212, 012028. [Google Scholar] [CrossRef]
- Mao, Z.T.; Zhu, Y.P. Study of Stability Assessment Method for Deep Surrounding Rock. Appl. Mech. Mater. 2014, 638–640, 565–569. [Google Scholar] [CrossRef]
- Barton, N.; Løset, F.; Lien, R.; Lunde, J. Application of Q-System in Design Decisions Concerning Dimensions and Appropriate Support for Underground Installations. In Subsurface Space; Elsevier: Amsterdam, The Netherlands, 1981; pp. 553–561. [Google Scholar]
- Barton, N. Rock Mass Classification and Tunnel Reinforcement Selection Using the Q-System. In Rock Classification Systems for Engineering Purposes; ASTM International: West Conshohocken, PA, USA, 1988; pp. 59–88. ISBN 978-0-8031-0988-9. [Google Scholar]
- Barton, N.; Lien, R.; Lunde, J. Engineering Classification of Rock Masses for the Design of Tunnel Support. Rock Mech. 1974, 6, 189–236. [Google Scholar] [CrossRef]
- Dhang, P.C. Rock Mass Index (RMI) to Estimate the Shear Strength Parameters of the Rockmass: Case Study from Lesser Himalayas, Jammu & Kashmir, India. In Stability of Slopes and Underground Excavations; Satyanarayana Reddy, C.N.V., Muthukkumaran, K., Vaidya, R., Eds.; Lecture Notes in Civil Engineering; Springer Singapore: Singapore, 2022; Volume 185, pp. 209–219. ISBN 978-981-16-5600-2. [Google Scholar]
- Palmstrøm, A. Characterizing Rock Masses by the RMi for Use in Practical Rock Engineering. Tunn. Undergr. Space Technol. 1996, 11, 175–188. [Google Scholar] [CrossRef]
- Ismail, A.; A Rashid, A.S.; Sa’ari, R.; Rasib, A.W.; Mustaffar, M.; Abdullah, R.A.; Kassim, A.; Mohd Yusof, N.; Abd Rahaman, N.; Mohd Apandi, N.; et al. Application of UAV-Based Photogrammetry and Normalised Water Index (NDWI) to Estimate the Rock Mass Rating (RMR): A Case Study. Phys. Chem. Earth Parts A/B/C 2022, 127, 103161. [Google Scholar] [CrossRef]
- Bieniawski, Z.T. Classification of Rock Masses for Engineering: The RMR System and Future Trends. In Rock Testing and Site Characterization; Elsevier: Amsterdam, The Netherlands, 1993; pp. 553–573. ISBN 978-0-08-042066-0. [Google Scholar]
- Hussian, S.; Mohammad, N.; Ur Rehman, Z.; Khan, N.M.; Shahzada, K.; Ali, S.; Tahir, M.; Raza, S.; Sherin, S. Review of the Geological Strength Index (GSI) as an Empirical Classification and Rock Mass Property Estimation Tool: Origination, Modifications, Applications, and Limitations. Adv. Civ. Eng. 2020, 2020, 6471837. [Google Scholar] [CrossRef]
- Pachri, H.; Safruddim; Fajrin, M. Study of Weathering and Rock Mass Quality Using the Geological Strength Index (GSI) Method on the Tuntun Mine Road Banggai Regency Central Sulawesi Province. IOP Conf. Ser. Earth Environ. Sci. 2024, 1378, 012008. [Google Scholar] [CrossRef]
- Marinos, V.; Marinos, P.; Hoek, E. The Geological Strength Index: Applications and Limitations. Bull. Eng. Geol. Environ. 2005, 64, 55–65. [Google Scholar] [CrossRef]
- Hoek, E.; Kaiser, P.K.; Bawden, W.F. Support of Underground Excavations in Hard Rock; CRC Press: Boca Raton, FL, USA, 2000; ISBN 978-0-429-07889-7. [Google Scholar]
- Brown, E.T.; Hoek, E. Underground Excavations in Rock; CRC Press: Boca Raton, FL, USA, 1980; ISBN 978-1-4822-8892-6. [Google Scholar]
- Hoek, E.; Brown, E.T. Practical Estimates of Rock Mass Strength. Int. J. Rock Mech. Min. Sci. 1997, 34, 1165–1186. [Google Scholar] [CrossRef]
- Menouillard, T.; Belytschko, T. Dynamic Fracture with Meshfree Enriched XFEM. Acta Mech. 2010, 213, 53–69. [Google Scholar] [CrossRef]
- Belytschko, T.; Lu, Y.Y.; Gu, L.; Tabbara, M. Element-Free Galerkin Methods for Static and Dynamic Fracture. Int. J. Solids Struct. 1995, 32, 2547–2570. [Google Scholar] [CrossRef]
- Belytschko, T.; Tabbara, M. Dynamic Fracture Using Element-Free Galerkin Methods. Int. J. Numer. Meth. Eng. 1996, 39, 923–938. [Google Scholar] [CrossRef]
- Cundall, P.A. A Discontinuous Future for Numerical Modelling in Geomechanics? Proc. Inst. Civ. Eng.-Geotech. Eng. 2001, 149, 41–47. [Google Scholar] [CrossRef]
- Scavia, C.; Comina, C.; Ferrero, A.M.; Ferrero, A.M.; Bonetto, S. Continuous and discontinuous approaches in rock mechanics and rock engineering. Riv. Ital. Geotecnica 2019, 1169, 8–36. [Google Scholar] [CrossRef]
- Alnaggar, M.; Pelessone, D.; Cusatis, G. Lattice Discrete Particle Modeling of Reinforced Concrete Flexural Behavior. J. Struct. Eng. 2019, 145, 04018231. [Google Scholar] [CrossRef]
- Del Prete, C.; Boumakis, I.; Wan-Wendner, R.; Vorel, J.; Buratti, N.; Mazzotti, C. A Lattice Discrete Particle Model to Simulate the Viscoelastic Behaviour of Macro–Synthetic Fibre Reinforced Concrete. Constr. Build. Mater. 2021, 295, 123630. [Google Scholar] [CrossRef]
- Jia, D.; Brigham, J.C.; Fascetti, A. An Efficient Static Solver for the Lattice Discrete Particle Model. Comput. Aided Civil. Eng. 2024, 39, 3531–3551. [Google Scholar] [CrossRef]
- He, W.; Zhang, Z. Modeling Creep Fracture in Rock by Using Kelvin Discretized Virtual Internal Bond. Adv. Civ. Eng. 2018, 2018, 8042965. [Google Scholar] [CrossRef]
- Ju, Y.; Chen, J.; Wang, Y.; Gao, F.; Xie, H. Numerical Analysis of Hydrofracturing Behaviors and Mechanisms of Heterogeneous Reservoir Glutenite, Using the Continuum-Based Discrete Element Method While Considering Hydromechanical Coupling and Leak-Off Effects. J. Geophys. Res. Solid Earth 2018, 123, 3621–3644. [Google Scholar] [CrossRef]
- Jenq, Y.; Shah, S.P. Two Parameter Fracture Model for Concrete. J. Eng. Mech. 1985, 111, 1227–1241. [Google Scholar] [CrossRef]
- Arslan, A.; Ince, R.; Karihaloo, B.L. Improved Lattice Model for Concrete Fracture. J. Eng. Mech. 2002, 128, 57–65. [Google Scholar] [CrossRef]
- Buehler, M.J.; Abraham, F.F.; Gao, H. Hyperelasticity Governs Dynamic Fracture at a Critical Length Scale. Nature 2003, 426, 141–146. [Google Scholar] [CrossRef]
- Ostoja-Starzewski, M.; Sheng, P.Y.; Alzebdeh, K. Spring Network Models in Elasticity and Fracture of Composites and Polycrystals. Comput. Mater. Sci. 1996, 7, 82–93. [Google Scholar] [CrossRef]
- Wang, G.; Al-Ostaz, A.; Cheng, A.H.-D.; Mantena, P.R. Hybrid Lattice Particle Modeling: Theoretical Considerations for a 2D Elastic Spring Network for Dynamic Fracture Simulations. Comput. Mater. Sci. 2009, 44, 1126–1134. [Google Scholar] [CrossRef]
- Zhao, S.-F.; Zhao, G.-F. Implementation of a High Order Lattice Spring Model for Elasticity. Int. J. Solids Struct. 2012, 49, 2568–2581. [Google Scholar] [CrossRef][Green Version]
- Zhao, G.; Fang, J.; Zhao, J. A 3D Distinct Lattice Spring Model for Elasticity and Dynamic Failure. Int. J. Numer. Anal. Methods Geomech. 2011, 35, 859–885. [Google Scholar] [CrossRef]
- Wang, G.; Al-Ostaz, A.; Cheng, A.H.-D.; Mantena, P.R. Hybrid Lattice Particle Modeling of Wave Propagation Induced Fracture of Solids. Comput. Methods Appl. Mech. Eng. 2009, 199, 197–209. [Google Scholar] [CrossRef]
- Zhang, Z. Discretized Virtual Internal Bond Model for Nonlinear Elasticity. Int. J. Solids Struct. 2013, 50, 3618–3625. [Google Scholar] [CrossRef]
- Xu, Y.; Chen, J.; Li, H. Finite Hyperelastic–Plastic Constitutive Equations for Atomistic Simulation of Dynamic Ductile Fracture. Int. J. Plast. 2014, 59, 15–29. [Google Scholar] [CrossRef]
- Zapperi, S.; Vespignani, A.; Stanley, H.E. Plasticity and Avalanche Behaviour in Microfracturing Phenomena. Nature 1997, 388, 658–660. [Google Scholar] [CrossRef]
- Seppälä, E.T.; Räisänen, V.I.; Alava, M.J. Scaling of Interfaces in Brittle Fracture and Perfect Plasticity. Phys. Rev. E 2000, 61, 6312–6319. [Google Scholar] [CrossRef] [PubMed]
- Picallo, C.B.; López, J.M.; Zapperi, S.; Alava, M.J. From Brittle to Ductile Fracture in Disordered Materials. Phys. Rev. Lett. 2010, 105, 155502. [Google Scholar] [CrossRef]
- Ding, J.; Zhang, Z.; Yang, F.; Zhao, Y.; Ge, X. Plastic Fracture Simulation by Using Discretized Virtual Internal Bond. Eng. Fract. Mech. 2017, 178, 169–183. [Google Scholar] [CrossRef]
- Hrennikoff, A. Solution of Problems of Elasticity by the Framework Method. J. Appl. Mech. 1941, 8, A169–A175. [Google Scholar] [CrossRef]
- Bažant, Z.P.; Tabbara, M.R.; Kazemi, M.T.; Pijaudier-Cabot, G. Random Particle Model for Fracture of Aggregate or Fiber Composites. J. Eng. Mech. 1990, 116, 1686–1705. [Google Scholar] [CrossRef]
- Karihaloo, B.L.; Shao, P.F.; Xiao, Q.Z. Lattice Modelling of the Failure of Particle Composites. Eng. Fract. Mech. 2003, 70, 2385–2406. [Google Scholar] [CrossRef]
- Zhang, Z.N.; Ge, X.R. Micromechanical Consideration of Tensile Crack Behavior Based on Virtual Internal Bond in Contrast to Cohesive Stress. Theor. Appl. Fract. Mech. 2005, 43, 342–359. [Google Scholar] [CrossRef]
- Zhang, Z.; Chen, Y.; Zheng, H. A Modified Stillinger–Weber Potential-Based Hyperelastic Constitutive Model for Nonlinear Elasticity. Int. J. Solids Struct. 2014, 51, 1542–1554. [Google Scholar] [CrossRef]
- Tadmor, E.B. The Quasicontinuum Method. Ph.D. Thesis, Brown University, Providence, RI, USA, 1996. [Google Scholar]
- Curtin, W.A.; Miller, R.E. Atomistic/Continuum Coupling in Computational Materials Science. Model. Simul. Mater. Sci. Eng. 2003, 11, R33–R68. [Google Scholar] [CrossRef]
- Umeno, Y.; Kubo, A.; Albina, J.-M. Coarse-Grained Molecular Dynamics Simulation of Deformation and Fracture in Polycarbonate: Effect of Molar Mass and Entanglement. Theor. Appl. Fract. Mech. 2020, 109, 102699. [Google Scholar] [CrossRef]
- Wagner, G.J.; Liu, W.K. Coupling of Atomistic and Continuum Simulations Using a Bridging Scale Decomposition. J. Comput. Phys. 2003, 190, 249–274. [Google Scholar] [CrossRef]
- Park, H.S.; Karpov, E.G.; Liu, W.K.; Klein, P.A. The Bridging Scale for Two-Dimensional Atomistic/Continuum Coupling. Philos. Mag. 2005, 85, 79–113. [Google Scholar] [CrossRef]
- Shilkrot, L.E.; Curtin, W.A.; Miller, R.E. A Coupled Atomistic/Continuum Model of Defects in Solids. J. Mech. Phys. Solids 2002, 50, 2085–2106. [Google Scholar] [CrossRef]
- Yang, Y.; Shao, Z.; Wu, K.; Wang, Y. A Plastic Stillinger-Weber Potential-Based Discretized Virtual Internal Bond Approach for Modeling Soft Rock Fracture and Its Application in Tunnel Failure. Eng. Fract. Mech. 2024, 301, 110056. [Google Scholar] [CrossRef]
- Kon, D.; Kakanda, A.; Mbako, D.; Jisen, S. Elastoplastic Discretized Virtual Internal Bond Model and Its Application to Dynamic Fracture Simulation in Rock. In Proceedings of the Rocscience International Conference (RIC 2023), Toronto, ON, Canada, 24–26 April 2023; Atlantis Press: Paris, France, 2023; pp. 720–730. [Google Scholar]
- Stillinger, F.H.; Weber, T.A. Computer Simulation of Local Order in Condensed Phases of Silicon. Phys. Rev. B 1985, 31, 5262, Erratum in Phys. Rev. B 1986, 33, 1451. [Google Scholar] [CrossRef]
- Zhang, Z.; Ding, J.; Ghassemi, A.; Ge, X. A Hyperelastic-Bilinear Potential for Lattice Model with Fracture Energy Conservation. Eng. Fract. Mech. 2015, 142, 220–235. [Google Scholar] [CrossRef]
- Feng, Y.; Zou, J.; Zheng, X. No AccessAnalysis of an Elliptical Tunnel Affected by Surcharge Loading. Proc. Inst. Civ. Eng.-Geotech. Eng. 2019, 172, 312–319. [Google Scholar]
- Li, S.; Li, M.; Zhang, N. Influences of 3D Internal Crack Dip Angle on Tensile Mechanical Properties and Fracture Features of Rock-like Material. Chin. J. Rock. Mech. Eng. 2009, 28, 281–289. [Google Scholar]
- Ghazvinian, A.; Nejati, H.R.; Sarfarazi, V.; Hadei, M.R. Mixed Mode Crack Propagation in Low Brittle Rock-like Materials. Arab. J. Geosci. 2013, 6, 4435–4444. [Google Scholar] [CrossRef]
- Dehestani, A.; Kazemi, F.; Abdi, R.; Nitka, M. Prediction of Fracture Toughness in Fibre-Reinforced Concrete, Mortar, and Rocks Using Various Machine Learning Techniques. Eng. Fract. Mech. 2022, 276, 108914. [Google Scholar] [CrossRef]
- Jing, F.; Yang, H.P.; Liu, Y.K. In-Situ Stress Measurement and Rock Burst Prediction Analysis in Deep and Long Tunnels. Yangtze River 2008, 39, 80–93. (In Chinese) [Google Scholar]
- Chan, K.; Ke, W.; Im, S. Particle–Mesh Coupling in the Interaction of Fluid and Deformable Bodies with Screen Space Refraction Rendering. Comput. Animat. Virtual 2018, 29, e1787. [Google Scholar] [CrossRef]
Disclaimer/Publisher’s Note: The statements, opinions and data contained in all publications are solely those of the individual author(s) and contributor(s) and not of MDPI and/or the editor(s). MDPI and/or the editor(s) disclaim responsibility for any injury to people or property resulting from any ideas, methods, instructions or products referred to in the content. |
© 2025 by the authors. Licensee MDPI, Basel, Switzerland. This article is an open access article distributed under the terms and conditions of the Creative Commons Attribution (CC BY) license (https://creativecommons.org/licenses/by/4.0/).