Abstract
The aim of this study is to investigate a green and efficient hydrothermal synthesis method for obtaining a high-purity MIL-100(Fe) metal–organic framework (MOF) without using hazardous HF acid or other toxic reagents. The influence of various synthesis conditions (reactant ratios and reaction times) and washing protocols on the MOF’s properties and crystallinity was investigated. Additionally, the adsorption capacities of the synthesized MIL-100(Fe) for hydrogen (H2), carbon dioxide (CO2), and water vapor were evaluated at different temperatures and pressures. By analyzing the adsorption behavior, this research study aims to assess the potential of this material for thermal or specific gas storage applications. MF-S1 synthesis, using less iron and water, produces the purest MIL-100(Fe), as confirmed by XRD and FTIR. MF-S1-W2, with additional washing, is ideal for gas adsorption due to its crystallinity, purity, and high surface area. It effectively stores hydrogen (0.25 wt.% at 5 °C), CO2 (32.6 wt.% at 5 °C), and water vapor (47.5 wt.% at 30 °C).
1. Introduction
Metal–organic frameworks (MOFs) have emerged as a class of porous materials with exceptional potential for a wide range of applications, including gas storage, separation, and catalysis []. Their unique structural characteristics, namely the fact that they comprise inorganic metal ions or clusters connected by organic linkers, offer a high degree of tunability and flexibility [].
Among MOFs, MIL-100(Fe) has garnered significant attention due to its high surface area, large pore volume, and exceptional thermal and chemical stability [,]. Furthermore, its low toxicity, relatively low cost, and hydrothermal stability makes MIL-100(Fe) an ideal material for industrial applications []. In fact, iron-based metal–organic frameworks (e.g., MIL-100(Fe)) are particularly important due to their low toxicity, good stability, earth abundance, cost-effectiveness, and biocompatibility, making them ideal for several applications []. Their synthesis is generally more sustainable, aligning with green chemistry principles []. These features position Fe-MOFs as attractive candidates for various industrial applications, including drug delivery, sensing, catalysis, energy storage, and environmental remediation [,].
MIL-100(Fe) was synthesized for the first time hydrothermally by the authors of [], using HF as a mineralizing agent. The proposed synthesis conditions were rather harsh and employed metallic iron, hydrofluoric acid, nitric acid, trimesic acid, and water, and a reaction was carried out at 150 °C for six days. Seo et al. [] improved the hydrothermal synthesis procedure, obtaining fluoride-free MIL-100(Fe) in large quantities.
The chemical formula of MIL-100(Fe) was found to be as follows by elemental analysis []:
Among the various methods employed for the synthesis of MIL-100(Fe), including dry gel conversion synthesis, mechano-chemical synthesis, microwave-assisted synthesis, and low-temperature water-based synthesis, hydrothermal synthesis emerges as the most prominent and promising approach []. This technique, although not always characterized by green chemical constituents, stands out for its simplicity, scalability, and ability to produce MIL-100(Fe) with high crystallinity, phase purity, and controlled particle size [,,].
Hydrothermal synthesis is able to eliminate the need for harsh solvents and toxic reagents, making it a more environmentally friendly and efficient approach for MOF synthesis. It utilizes mild temperature and pressure conditions to facilitate controlled dissolution, crystallization, and growth of MOFs, resulting in high-quality, well-defined structures. Additionally, hydrothermal synthesis offers tunability over various parameters, such as temperature, pH, and reaction time, allowing for precise control over MOF properties and morphology [,].
However, despite the previously mentioned beneficial features, purification of MOFs in hydrothermal synthesis is crucial yet challenging due to structural complexities and impurities. Most MOFs are synthesized through slow cooling in hydrothermal or solvothermal methods. To maintain purity and minimize byproducts, selecting precise starting material molar ratios is vital []. The presence of unreacted constituents and the subsequent use of environmentally unfriendly solvents, such as DMF and NH4F, limit the ecological balance and industrial scalability of this synthesis technique [].
In light of this concern, extensive explorative research was carried out to develop additional green synthesis methods, with the primary goal of reducing safety hazards and cutting down on the environmental footprint stemming from manufacturing processes.
It is noteworthy that during the metal–organic frameworks synthesis process, the framework’s pores can capture solvent molecules, further highlighting the complexity and required reliability in producing such materials [,].
Pure crystalline materials characterized by high porosity and surface area play a fundamental role in influencing both the chemical and physical attributes and are crucial in various applications such as catalysis and gas sorption and energy storage application. Surface textural properties have a significant impact on the surface area. Furthermore, the pore size distribution also plays a key role in shaping the extent of hydrogen adsorption within these materials [,]. Moreover, it was observed that under high-pressure conditions, there exists a direct relationship between the capacity for CO2 adsorption and the BET surface area and the pore volume [].
Differences in the synthesis methods of MOFs result in variations in phase purity, crystal defects, and the presence of unreacted guest molecules within the pores of the as-synthesized MOFs. These variations are directly related to changes in the surface area [].
Souza et al. [] employed a MOF water reconstruction method to enhance the crystallinity and BET surface area of defective MIL-100(Fe) synthesized through a chemo-mechanical method. In another approach, Seo et al. [] used double purification to clean MIL-100(Fe) synthesized hydrothermally. The process involved hot water to dissolve ionic species and organic molecules and hot ethanol for the non-reacted acid linker. The purified sample showed a notably increased surface area compared with unwashed samples. The development of environmentally sustainable synthesis procedures employing, e.g., sustainable compounds or low energy consumption and coupled with efficient filtering and purification techniques represents a highly promising way for obtaining highly crystalline MOFs. This very stimulating challenge holds great potential for the assessment of high-performance adsorbent materials with suitable sustainability features such as gas capture and energy storage applications [,].
In light of this, the aim of this research study is, by following the green chemistry principles, to assess a green hydrothermal synthesis, without using HF acid or other toxic reagents to obtain a high-purity MIL-100(Fe) MOF. The use of HF in the synthesis of MIL-100(Fe) has several drawbacks. First, HF is a highly hazardous chemical that can cause severe burns and respiratory problems. Its toxicity and corrosive nature necessitate stringent safety measures, which can increase the complexity and cost of the synthesis process []. Furthermore, HF could contribute to impurities that may adversely affect performance, thus influencing the washing procedure and also limiting the scalability of MIL-100(Fe) production, as it requires specialized equipment and handling procedures [,].
To address these challenges, the present study focuses on exploring the impact of HF-free hydrothermal synthesis modifications on the purity, adsorption performance, and potential applications of MIL-100(Fe). In particular, we investigate the effect of synthesis conditions and washing protocols on the properties and crystallinity of MIL-100(Fe). In addition, the adsorption capacities of MIL-100 (Fe) for various gases, such as hydrogen, carbon dioxide, and water vapor, were examined in order to investigate the absorption–desorption capacities of said material in different environmental conditions. The magnetic properties of the MOF materials were not investigated in our study, as our focus was specifically on their sorption capacity, particularly toward water vapor and other gases relevant to our application. By analyzing the adsorption process, this study aims to better understand the potential applicability of this material for thermal energy or specific gas storage.
2. Materials and Methods
2.1. Materials
Iron (III) nitrate nonahydrate (Fe(NO3)3·9H2O, 98 wt.% metals basis) from Thermo Fisher (Waltham, MA, USA); trimesic acid (1,3,5-benzenetricarboxyc acid—H3BTC), 98% Alfa Aesar (Haverhill, MA, USA); ultrapure water (UPW); and absolute ethanol (100 wt.%) were purchased from Carlo Erba (Cornaredo, Italy). All chemicals were used as received without further treatment.
2.2. Hydrothermal Synthesis
The synthesis method follows the reported procedure reported by Fang et al. for MIL-100(Fe) synthesis []. Firstly, the syntheses reported in this work do not involve hydrofluoric acid (HF acid) as a mineralizing agent, which is beneficial to the environment. In addition, the hydrothermal reaction was undertaken at 160 °C for 12 h. Also, 36 mmol of Fe(NO)3 9H2O and 24 mmol of 1,3,5-benzentricarboxylic acid were mixed together in 36 mL UPW, and the mixture was stirred for 60 min in magnetic stirrer. The mixture was then transferred to a 300 mL Teflon-lined autoclave and hydrothermally treated at 160 °C for 12 h. After cooling to room temperature, the slurry was filtered via a dynamic vacuum and Buchner flask system and washed under stirring with hot water (70 °C) and hot ethanol at 65 °C.
In this study, the hydrothermal synthesis conditions for MIL-100(Fe) were systematically modified by changing the ratio of reactants and synthesis time. For all synthesis methods used, the iron precursor used was iron nitrate nonahydrate Fe(NO)3 9H2O, and the linker was 1,3,5-benzentricarboxylic acid (H3BTC).
To investigate the influence of different constituent ratios on the final product’s chemical and physical properties, diverse synthesis procedures were executed (as detailed in Table 1).

Table 1.
Hydrothermal synthesis at different conditions.
Notably, all specimens were uniquely labeled using a prefix—“MF-S”—followed by a numerical code reflecting the specific synthesis conditions employed. A reference batch, characterized by a 1:0.1:56 (Fe3+/(H3BTC)/water ratio, was designated as MF-S0. Likewise, other syntheses (MF-S1, MF-S2, and MF-S3) were carried out with varying (H3BTC)-to-water ratios. Specifically, MF-S1 and MF-S3 had decreased and increased ratios, respectively. While MF-S2 shared the same constituent content as MF-S1, it differed in having a longer synthesis time.
Furthermore, to optimize the crystallinity and purity of the as-synthesized MOF, three different washing protocols were compared. The washed samples were coded by using the suffixes W1 and W2, depending on the applied washing procedure. The washing procedures were as follows:
- Washing procedure No. 1: The powder obtained from synthesis protocol No. 1 was dispersed in distilled water. Then, the solution was stirred at room temperature for different stirring times, namely 5 days, 10 days, and 15 days.
- Washing procedure No. 2: The powder obtained from synthesis protocol No. 1 was washed by stirring in hot water several times until the pH of the wastewater of washing became neutral. After that, the MOF was washed three times with hot ethanol. For each water wash, 700 mL of water with a temperature of 70 °C was used for 3 h. For the ethanol wash, 700 mL of ethanol was heated to 65 °C. All washing steps used a stirring speed of 200 rpm.
Therefore, the batch MF-S2-W2 is referred to as a MOF produced according to synthesis protocol No. 2 and washing procedure No. 2.
2.3. Chemo-Physical Characterization
A D8 Advance diffractometer (Bruker, Billerica, MA, USA) equipped with a copper Kα X-ray source (λ = 1.5406 Å) was employed to collect X-ray diffraction (XRD) data on the sample. The XRD pattern was recorded over a wide range of angles, spanning from 2θ = 2° to 50°. The instrument operated at 40 kV and 40 mA, acquiring data points at a step size of 0.01°. This proposed data collection ensures high-resolution, detailed information about the sample’s crystalline structure.
The specific surface area and pore characteristics of the specimens were further examined using N2 sorption/desorption isotherms at 77 K (liquid nitrogen temperature). This analysis was conducted using a NOVA 1200e analyzer (Quantachrome Instruments, Boynton Beach, FL, USA) specifically designed for such measurements. The surface areas and pores volumes were measured based on the standard nitrogen adsorption/desorption isotherms, after degassing samples at 150 °C for 12 h. The specific surface area was then calculated according to the Brunauer–Emmett–Teller (BET) method and indicated as SBET. The Barrett–Joyner–Halenda (BJH) approach was employed for pore volume measurement.
With the aim of assessing the chemical structure of individual molecules and the composition of compounds, a PerkinElmer spectrometer (Waltham, MA, USA) and the attenuated total reflectance (ATR) method were used to collect a Fourier-transform infrared spectroscopy (FTIR) spectrum within the 500–4000 cm−1 wavelength range with a resolution of 2 cm−1 and under open-air conditions. Background measurements were obtained under the same conditions.
The density of all samples was determined using an Ultrapyc 5000 gas pycnometer (Anton Paar, Graz, Austria) with helium as the purge gas. Both the reference and sample chambers were calibrated beforehand. A 1.8 cm3 microcell was chosen for sample density analysis.
The optimal MOF batch underwent morphological and compositional analysis using an environmental scanning electron microscope (ESEM), specifically a FEI Quanta 450 (FEI Inc., Hillsboro, OR, USA) operating at an accelerating voltage of 8 kV. Prior to imaging, the material was dehydrated in an oven at 80 °C for 12 h and then sputter-coated with chromium to enhance conductivity.
2.4. H2 and CO2 Adsorption Measurements
The hydrogen adsorption properties of the synthesized sample were studied using the high-pressure gas sorption analyzer i-Sorb HP1, Quantachrome (Boynton Beach, FL, USA). Approximately 500 mg of the sample material was loaded into the sample holder and degassed under high vacuum conditions (~10−6 mbar) at 80 °C for 2 h. The system was then cooled down to the desired temperature at which the measurement was to be performed, and the desired hydrogen flow was allowed into the chamber. The degassing process was automated by the instrument, and the weights of the gas-free samples were recorded. Before introducing each gas analyte, the dosing manifold was purged several times with the corresponding pure gas.
For the sample under study, the H2 sorption measurements were carried out within the pressure range of 1–40 bar and the temperature range of 5–30 °C. Due to the use of high pressures in this analysis, the van der Waals equations were employed instead of the ideal gas equation to accurately quantify the hydrogen uptake of the sample. CO2 sorption measurements were carried out within the pressure range of 1–10 bar and the temperature range of 5–30 °C.
2.5. Water Vapor Adsorption Measurements
Water adsorption was analyzed using a thermogravimetric Dynamic Vapor Sorption (DVS) analyzer (Surface Measurements Systems DVS Vacuum, London, UK) with a micro-balance (precision of 0.1 µg) in a temperature-controlled box. Additionally, 10 mg of each sample was added to the holder and dried at 80 °C for 2 h under vacuum. Water sorption isotherms were measured in the temperature range of 30–80 °C at vapor pressures of 8.6, 12.3, 17.0, and 20 mbar using a Dynamic Vapor Sorption instrument. The amount of adsorbed water (m) was measured as a function of temperature (T) and relative water pressure (P/P0). The uptake was calculated as wt.% = (m − m0)/m0, where m is the measured mass of water at (T, P/P0), and m0 is the mass of the dried sample.
3. Results and Discussion
3.1. Impact of Hydrothermal Synthesis Under Different Conditions
MIL-100(Fe) was prepared by the hydrothermal method at different reaction conditions. A comparison of the powder X-ray diffraction patterns of the as-prepared MIL-100(Fe) is shown in Figure 1. Furthermore, for comparison, experimental patterns of MIL-100(Fe) reported in the literature [,,] (CIF file No. 7102029) and those of α-F2O3 were also added.

Figure 1.
XRD of MIL-100(Fe) samples synthesized hydrothermally under different synthesis conditions. Triangle marker: α-Fe2O3. Circle marker: MIL-100(Fe).
The XRD spectrum of MF-S0, which used a smaller trimesic acid-to-iron precursor ratio compared to MF-S1, did not exhibit clear, prominent peaks typically associated with the MIL-100(Fe) structure. However, upon closer inspection of the acquired diffraction pattern, subtle peaks can be identified around 4° and 6.5° and the peaks at approximately 10.2° and 11°, respectively, which can be attributed to the crystallographic features of MIL-100(Fe). These emerging peaks suggest the presence of this material, albeit not in a dominant form within the sample. In addition, some peaks at 24.1°, 33.1°, and 35.7° are clearly identifiable, related to the iron oxide phase (α-Fe2O3) [,]. This is consistent with the interpretation that the small amount of trimesic acid relative to the iron precursor led to the formation of MIL-100(Fe) with a high concentration of defects, impurities, and secondary reaction products.
The sample prepared using MF-S1 exhibited an XRD pattern consistent with the MIL-100(Fe) pattern. This suggests that the obtained structure is compatible with MIL-100(Fe). However, some purity concerns could be addressed, as the peaks at small angles (at 3.5° and 4.0°) are less prominent than in the experimental pattern, which suggests that there may be some residual impurities from the synthesis process in the sample.
The increase in the hydrothermal synthesis time up to 16 h in MF-S2 resulted in the formation of a mixture of MIL-100(Fe) and another crystalline phase. This phase was characterized by X-ray diffraction peaks at 2θ angles of 24.1°, 33.1°, and 35.7°, which, as previously discussed, correspond to the characteristic peaks of iron (III) oxide, specifically α-Fe2O3. This suggests that the extended synthesis time promoted the formation of α-Fe2O3, along with MIL-100(Fe).
Analogously, increasing the amount of water in the preparation recipe, a step employed for the MF-S3 batch, also resulted in the production of defective MIL-100(Fe) with α-Fe2O3 iron oxide particles. This was confirmed by its X-ray diffraction analysis, which showed that the material had weak peaks at 10° that were characteristic of MIL-100(Fe), but it also had strong peaks that corresponded to an iron oxide phase. This suggests that the excess water in the reaction mixture led to the precipitation of iron oxide nanoparticles, which were then incorporated into the MIL-100(Fe) structure.
Overall, the results of this study suggest that the formation of MIL-100(Fe) with iron oxide defects is sensitive to the amount of water used in the synthesis and the trimesic acid-to-iron precursor ratio. This is important to consider when optimizing the synthesis of MIL-100(Fe) for specific applications.
The MF-S1 protocol is distinguished from other protocols by its use of a low Fe3+/H3BTC ratio and a water solvent concentration in the synthesis mixture. The lower water solvent concentration is a crucial factor in achieving the desired purity of MIL-100(Fe). Moreover, the carefully controlled Fe3+/H3BTC ratio employed in this synthesis effectively postpones the formation of iron oxide precipitates during the reaction process. This delay in precipitation enables the production of a substantially purer MIL-100(Fe) material without the interference of iron oxide impurities after a synthesis duration of 12 h.
This statement directly emphasizes the impact of the lower water solvent concentration and iron ions on the purity of the resulting MIL-100(Fe). It compares the purity obtained using MF-S1 to that achieved with diluted conditions, demonstrating the potential suitability of this procedure.
In order to better assess the quality and purity of MIL-100(Fe)-synthetized MOFs, FTIR analysis was applied. Figure 2 compares FTIR spectra of MIL-100(Fe) samples synthesized hydrothermally under different synthesis conditions.

Figure 2.
FTIR Spectra of MIL-100(Fe) samples synthesized hydrothermally under different synthesis conditions.
All batches exhibit a quite similar spectrum. The region from 1200 cm−1 to 700 cm−1 in the infrared spectrum is called the fingerprint region. In Figure 2, characteristic peaks of MIL-100(Fe) samples can be observed, in particular the shift in the C=O stretching vibration peak from 1761 cm−1 (trimesic acid) to 1621 cm−1, corresponding to the coordination of trimesic acid with Fe (III), thus indicating the successful synthesis of MIL-100(Fe). []
However, the peak observed at 1710 cm−1 is described as the stretching vibration of an uncoordinated carboxylate; this indicates the presence of a non-reacted linker in the MOF []. For synthesis protocol 2 and synthesis protocol 3, the observed peak of 548 cm−1 is the vibrational band of the Fe–O bond in Fe2O3, thus indicating the presence of iron oxide []. These results are supported by the XRD spectrum (Figure 2). The broad band between 3700 and 2700 cm−1 is associated with the ν [O-H] stretching vibrations, originating from the water molecules’ coordination with the open metal site center in the MIL-100(Fe) structure. Furthermore, a peak at 1037 cm−1, more evident in MF-S0 than the other batches, probably ascribed to unreacted products, can also be identified.
The bands at 711 cm−1 and 760 cm−1 appear due to C–H stretching vibrations. Peaks at 1378 cm−1 and 1456 cm−1 appear due to C–O vibrations and the O–H bending, respectively. The stretching vibration of C=O is found around 1622 cm−1. The appearance of these characteristic bands match with previous reports for MIL-100(Fe) [].
The combined analysis of XRD and FTIR, presented in Figure 1 and Figure 2, respectively, allows for a comprehensive evaluation of the quality and purity of samples synthesized under different conditions. Based on this analysis, the order of purity and crystallinity is established as MF-S1 > MF-S2 > MF-S3 > MF-S0. This trend reveals that MF-S0 and MF-S3 exhibit lower crystallinity and purity compared to other samples. Consequently, only MF-S1 and MF-S2, identified as superior candidates based on their structural integrity and chemical homogeneity, were selected for further investigation through BET surface area analysis.
Assessing the potential of materials for gas storage hinges on having a deep understanding of their pore architecture, particularly the distribution of pore sizes. To delve into this aspect, we employed nitrogen adsorption isotherms at 77 K to characterize the prepared materials. This technique provides valuable insights into the total pore volume and how effectively different sized gas molecules can be accommodated within the material’s intricate pore network.
Figure 3 shows the nitrogen adsorption isotherms and pore size distribution of MIL-100(Fe) sample MF-S1.

Figure 3.
N2 adsorption–desorption isotherms and BJH pore size distribution of MIL-100(Fe) sample MF-S1.
The adsorption isotherm showed a steep increase at relative pressures below 0.2 and then became nearly saturated thereafter. This isotherm corresponds to type I(b) in the IUPAC classification, which is typically observed for solids containing wider micropores and narrow mesopores [].
The pore size distribution analysis of MIL-100(Fe), as depicted by the BJH pore size distribution curve, reveals distinct characteristics. Specifically, it exhibits two maxima at 1.678 nm and 2.116 nm. These two pores signify the openings within the MIL-100(Fe) framework, aligning closely with the literature [,]. Similar results were obtained for the other batches.
Furthermore, accordingly, and following the Rouquerol method [] for the determination of BET surface area, the selected points for BET fitting were in the range of 0.05 to 0.15. The results of the analysis are summarized in Table 2. In the table, PSD (pore size distribution) refers to the pore size at which the BJH pore size distribution reaches a maximum.

Table 2.
Surface area and pore volume of MF-S1, MF-S2, and MF-S3 batches.
The MF-S2 batch is characterized by a slight lower specific surface area (1067 m2/g) compared to the MF-S1 sample (1199 m2/g). This lower surface area in MF-S2 can be attributed to its lower purity, as reported in [] for the decrease in surface area due to the impurities in, and less regular crystalline structure of, MIL-100(Fe). However, MF-S3 exhibited the lowest BET surface area (500 m2/g). This material was prepared under diluted synthesis conditions compared to MF-S1. These findings agree with [], which reported that diluted synthesis conditions for MIL-100(Fe) resulted in a lower BET surface area.
In summary, the MF-S1 batch has emerged as the most promising choice regarding synthesis procedure based on the previously discussed evaluation process. Compared to alternative batches, MF-S1 consistently demonstrated higher outcomes in terms of crystallinity, purity, and sorption performance. This indicates its potential to produce high-quality MOFs with optimal characteristics for the intended application. Furthermore, this batch exhibited consistent results across multiple syntheses, suggesting a well-defined and reliable procedure. This is crucial for ensuring reproducible outcomes and facilitating further research and development. Therefore, the MF-S1 batch was identified as a reference point for subsequent analyses designed to assess the impact of the washing procedure on the performances of the synthetized MOF. This approach lays a simplified strategy for a clear evaluation of the washing procedure’s impact on the MOF’s key properties in order to contribute to the development of an optimized effective synthesis protocol for this application field.
3.2. Impact of Washing Procedure
According to the previous section, X-ray diffraction analysis was initially employed to investigate how different washing procedures (W1 and W2) affect the purity and crystallinity of the MF-S1 batch. The results are presented in Figure 4, which compares the XRD patterns of samples synthesized using protocol No. 1 S1 and subjected to varying washing procedures. Additionally, the spectrum of the MF-S1 batch (MOF material without any washing) is included as a reference point for comparison.

Figure 4.
XRD results of the sample synthesized by synthesis protocol No. 1 S1 before and after washing by protocols W1 and W2.
The X-ray diffraction patterns of MF-S1-W1 and MF-S1-W2 indicate an enhancement in crystallinity compared to the unwashed MF-S1 batch. For example, the intensity of the primary diffraction peak at 2θ ≈ 4°, characteristic of MIL-100(Fe), is more pronounced after washing. The improved crystallinity is clearly reflected in the well-defined crystallographic spectrum, which features sharper and more intense peaks, even at low angles of incidence.
The effect is more pronounced in MF-S1-W2 compared to MF-S1-W1, as the former displays sharper and more defined peaks, suggesting a higher level of crystallinity. This distinction indicates that MF-S1-W2 has undergone a more effective structural formation, resulting in a more well-ordered and refined structural formation compared to MF-S1-W1. This observation strongly indicates that the washing procedures applied may be effective in removing impurities and unreacted byproducts (such as ionic species and unreacted acid linkers), resulting in a purer and more crystalline structure in these particular samples. This enhanced structural purity is likely a key factor influencing the material’s properties and its potential applications.
With the aim to better evaluate the impact of the W2 washing protocol on the crystallinity of the MF-S1 batch, Figure 5 compares the XRD patterns of the MF-S2-W1 material, subjected to different washing durations (5 days, 10 days, and 15 days).

Figure 5.
XRD results of MIL-100(Fe) samples synthesized by synthesis protocol No. 1 and washed by washing protocol No. 1.
The results demonstrate that a minimal immersion time of 5 days in distilled water does not induce significant alterations in the material’s crystallinity. Conversely, a remarkable improvement in crystallinity is observed following a 10-day immersion period, resulting in a sample with an XRD pattern closely resembling that of the experimental MIL-100(Fe) framework. This finding suggests that extended immersion in distilled water facilitates the crystallization process within the MF-S1-W1 material, potentially leading to enhanced structural integrity and improved material properties.
Figure 6a shows the FTIR spectra of samples prepared using protocol No. 1 (MF-S1 batch) and treated with various washing techniques. For comparison, the spectrum of an unwashed MF-S1 batch (MOF material) is also included.

Figure 6.
FTIR spectra of (a) samples before and after washing of MIL-100(Fe) produced by protocol No. 1 and (b) MIL-100(Fe) samples washed by washing protocol No. 1.
As previously mentioned, the spectrum of the unwashed MF-S1 sample showed a peak at 1037 cm−1, which is not characteristic of MIL-100(Fe). This extraneous peak disappeared after the application of washing protocol No. 1. Additionally, the peak at 1710 cm−1, associated with the stretching vibration of unreacted linker molecules, diminished. Similar observations were made for the MF-S1-W2 batch. However, washing procedure MF-S1-W1 is able to eliminate the peak at 1710 cm−1 assigned to C=O stretching vibrations of non-reacted carboxylate, making it the most effective cleaning method. While the other procedures also demonstrated sufficient cleaning ability to remove impurities and unreacted synthesis compounds, MF-S1-W1 stands out as the superior choice.
Figure 6b depicts the FTIR spectra of samples subjected to the W1 washing protocol for durations of 5, 10, and 15 days.
As the immersion time increased, the peak at 1710 cm⁻1, characteristic of C=O stretching in non-reacted carboxylate groups, progressively diminished, indicating its complete removal after 15 days. While positive effects were observed even after 5 days, the complete disappearance of the peak confirms the optimal performance of this washing method with extended immersion periods in distilled water. This extended immersion not only ensures thorough cleaning but also avoids potential harm caused by shorter washing times, making it a more suitable and effective approach.
In order to give further details concerning the structure of the solid sorbents under varying washing treatments, BET surface area and pore volume results are summarized in Table 3.

Table 3.
Surface area and pore volume of MF-S1-W1 and MF-S1-W2 samples.
Table 3 compares the BET surface area and pore volume of the washing protocols used. The samples washed by washing protocol No. 1 at different immersion times (5 days, 10 days, 15 days) showed a decrease in BET surface area and pore volume compared to the MIL-100(Fe) sample washed by washing protocol No. 2, MF-S1-W2. For instance, regarding the results after 15 days of washing, the nitrogen adsorption isotherm changes considerably relative to the MF-S1-W2 sample, indicating a strong decrease in both the surface area (from 1162 m2/g to 871 m2/g) and the pore volume (from 0.377 to 0.257 cm3/g).
This effect may be attributed to reduced pore accessibility resulting from the prolonged removal of species or unreacted precursors during the reflux treatment of MIL-100(Fe). Simultaneously, as confirmed in [], changes in the material’s optical properties indicate microstructural transformations in MIL-100(Fe), likely due to MOF reconstruction caused by extended immersion in water. Consequently, this treatment yields a surface area that remains below 1000 m2/g []. Therefore, these observations highlight the MF-S1-W2 washing procedure as the preferred option over MF-S1-W1, as it better preserves the structural integrity and porosity of the material while effectively removing residual species.
The BET results indicate that although washing protocol No. 1 is increasing the crystallinity of MIL-100(Fe), it has a negative impact on the surface area and porosity. Washing protocol No. 2 showed BET surface area and pore volume comparable to the unwashed samples. This indicates washing protocol No. 2 maintains the BET surface area and porosity.
The obtained surface area is comparable to that of the MIL-100(Fe) values listed in Table 4. For context, additional solid sorbents have been included for comparison. Notably, MIL-100(Fe) is recognized for its high surface area, a characteristic that is generally advantageous for enhancing sorption capacity.

Table 4.
BET surface area of obtained MIL-100(Fe) with other porous materials.
Furthermore, to assess the morphological and compositional characteristics of the synthesized adsorbent, the results of scanning electron microscopy (SEM) and energy-dispersive X-ray spectroscopy (EDX) analyses are presented in Figure 7. In Supplementary Material, a comparison of SEM images for MF-S1-W1 and MF-S1-W2 is reported. Furthermore, dynamic light scattering (DLS) measurements for the MF-S1-W2 sample were also carried out.

Figure 7.
SEM image (a) and EDX spectrum (b) of MF-S1-W2 sample.
The MIL-100(Fe) crystals exhibit an irregular morphology, deviating from a uniform, well-defined shape. Furthermore, a significant poly-dispersity in grains is observed, with diameters ranging from approximately 50 to 500 nm []. Complementary EDX analysis, summarized in Table 5, quantified the elemental composition of the MIL-100(Fe) material. Elemental analysis indicated that the particles were predominantly composed of carbon and oxygen, with iron as a minor component, consistent with the expected composition of MIL-100(Fe) [,,], providing insight into the elemental stoichiometry and confirming the successful incorporation of these elements within the adsorbent’s structure.

Table 5.
The atomic percentages of MF-S1-W2 composition.
The comparison of the performed analyses demonstrates that the MIL-100(Fe) sample washed by protocol No. 2 is characterized by a good compromise between crystallinity, purity, and surface area, distinguishing this batch as a suitable candidate for the subsequent gas and water vapor sorption analysis.
3.3. Adsorption Performances
H2 adsorption–desorption isotherms at 5 °C and 30 °C for the MF-S1-W2 batch are shown in Figure 8.

Figure 8.
H2 uptake isotherms (5 °C and 30 °C) for the MF-S1-W2 sample.
The isotherms clearly exhibit a varying uptake of hydrogen (H2), with the most significant and effective results observed for the isotherm at 5 °C. Each curve follows a continuous pattern, showing a gradual increase in H2 uptake with increasing pressure. It is noteworthy that upon comparing the sorption and desorption trends, no significant hysteresis effects can be identified.
Looking closely at the H2 adsorption–desorption isotherms, we notice a remarkable uptake of H2 by the MF-S1-W2 sample, reaching a maximum of 0.25 wt.% under conditions of 5 °C and 40 bar. This level of uptake is notably consistent with the performance of numerous MOF materials in terms of H2 adsorption at similar temperature–pressure conditions [,,].
Moreover, the calculation of heats of hydrogen adsorption, derived from the fully reversible hydrogen isotherms obtained at 5 °C and 30 °C, was executed by using the Clausius–Clapeyron equation []. The value determined for the heat of adsorption was 5 kJ/mol.
In addition to examining the hydrogen adsorption properties, our research delved into understanding how carbon dioxide interacts with the MIL(100)(Fe) MF-S1-W2 batch. Notably, a comparison between the adsorption/desorption isotherms of CO2 at two distinct temperatures, 5 °C and 30 °C, is presented in Figure 9.

Figure 9.
CO2 uptake isotherms (5 °C and 30 °C) for MF-S1-W2 sample.
Similarly to the hydrogen absorption results, there is a consistent upward trend in CO2 absorption with increasing pressure levels. Notably, the isotherm recorded at the lowest temperature stands out for its significantly higher absorption rates across various pressure ranges. The most favorable outcomes were notably achieved under specific conditions of 5 °C and 10 bar, resulting in a carbon dioxide absorption rate of about 32.6 wt.%. Contrastingly, the absorption capacity experienced a considerable drop of about 27% when the temperature condition was increased to 30 °C, with a maximum absorption of 23.9 wt.% found at higher pressures. This result is comparable to the CO2 uptake on MIL-100(Fe) achieved by the authors of [], who measured a CO2 adsorption capacity of approximately 25 wt.% at 25 °C and 10 bar. Furthermore, we employed the Clausius–Clapeyron equation [] to calculate the heats of CO2 adsorption from the fully reversible CO2 isotherms obtained at 5 °C and 30 °C, obtaining heats of adsorption equal to 20kJ/mol.
MOF materials characterized by their hydrophilic metal sites have garnered attention for their promising applications in water-related fields. Specifically, these materials show significant potential in crucial areas like water harvesting, desalination, and adsorption heat pumps (AHPs). The achievement of high water vapor adsorption capabilities by these solid sorbents could play a relevant role in enhancing their utility and effectiveness in this field.
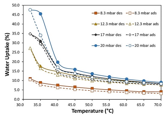
Figure 10 shows the water vapor sorption isobars (8.3 mbar, 12.3 mbar, 17 mbar, 20 mbar) for the MF-S1-W2 sample in the 30–70 °C temperature range.

Figure 10.
Water vapor sorption isobars (8.3 mbar, 12.3 mbar, 17 mbar, 20 mbar) for MF-S1-W2 sample; adsorption (dashed line) and desorption (solid line).
The water uptake curves exhibit a distinctive S-shaped adsorption trend, which becomes more pronounced with increasing partial pressure. At around 35 °C, there is a notable sudden rise in water uptake. The peak water absorption occurs at the lowest temperature, especially evident at 20 bar, where a maximum vapor uptake of 47.5 wt.% was recorded, demonstrating the optimal sorption capacity of these sorbent materials. Equilibrium isobars were also measured during desorption, gradually increasing the temperature up to 70 °C, showing no notable hysteresis effect. This finding proves crucial for assessing the energy efficiency of adsorption cycles.
Table 6 shows a comparative overview of the maximum water vapor uptake capacities of various porous materials and those of the MIL-100(Fe) synthesized in this study. The obtained MIL-100(Fe) shows an absorption of 47.5%, which is consistent and exceeds the lower end of the range reported for MIL-100(Fe) in the literature [,]. This suggests that the synthesized material exhibits competitive sorption performance. Compared to other materials, MIL-100(Fe) (both from this study and others in the literature) demonstrates higher water vapor uptake than MIL-53(Al) (34.0%), SAPO-34 zeolite (31.7%), and silica gel (32.5%). This highlights the material’s promise for sorption applications (i.e., moisture capture, adsorption-driven cooling, and humidity control) where high water uptake is crucial.

Table 6.
Maximum water vapor uptake of obtained MIL-100(Fe) and other porous materials.
This study successfully synthesized a high-purity MIL-100(Fe) MOF through a carefully controlled iron precursor ratio and washing procedure. The resulting material showcased promising gas uptake for hydrogen, CO2, and water vapor.
This optimized MIL-100(Fe) demonstrated the achievement of high gas uptake and water adsorption. These promising results pave the way for further exploration of its potential in clean energy technologies. Future research will delve deeper into optimizing pore size and functionality for targeted gas capture and energy storage processes.
4. Conclusions
This study investigated the optimal synthesis conditions and post-synthesis washing procedures for the creation of a high-purity and high-performance MIL-100(Fe) metal–organic framework for gas capture and energy storage applications. The following conclusions can be drawn:
- A high-quality MIL-100(Fe) MOF was successfully synthesized using an HF-free hydrothermal method, demonstrating a sustainable and environmentally friendly approach. Optimized synthesis conditions (Fe3+/(H3BTC)/water ratio of 1:0.67:56) and a 12 h reaction time were identified as crucial for maximizing the yield and purity of the MOF.
- Washing protocol No. 2 (multiple washes with hot water and ethanol) proved most effective in maintaining high crystallinity, surface area (1162 m2/g), and pore volume (0.377 cm3/g) while minimizing the presence of impurities. Washing protocol No. 1 (extended immersion in distilled water) enhanced crystallinity but led to a significant decrease in surface area and pore volume. This highlights the importance of optimizing both synthesis and washing procedures for obtaining high-quality MOFs.
- The MOF sample washed with a sequential hot water and ethanol washing procedure (MF-S1-W2) was identified as the most promising candidate for further gas adsorption studies due to its superior crystallinity, purity, and surface area. The optimized MIL-100(Fe) exhibited a remarkable hydrogen adsorption capacity, reaching 0.25 wt.% at 5 °C and 40 bar. The material demonstrated significant CO2 adsorption, reaching 32.6 wt.% at 5 °C and 10 bar and 23.9 wt.% at 30 °C and 10 bar. Heats of adsorption were calculated to be 5 kJ/mol for H2 and 20 kJ/mol for CO2. The MOF also displayed an excellent water vapor adsorption capacity, reaching a maximum of 47.5 wt.% at 20 mbar and 30 °C. The observed S-shaped adsorption isotherms and minimal hysteresis during desorption indicate the potential of this material for efficient water vapor sorption applications.
These preliminary results not only suggest valid application potential but also open a promising path for further exploration of the material in clean energy technologies. Future research will focus on optimizing the microstructure and functional properties of the material to better meet the specific demands of gas capture and energy storage applications. Moreover, repeated cycle tests and durability assessments are essential for a comprehensive evaluation of the MF-S1-W2 batch. These will include investigations into structural stability and working adsorption capacity over extended cycling (up to 1000 cycles), which are planned as key components of our upcoming studies to confirm the material’s long-term performance and practical viability.
Supplementary Materials
The following supporting information can be downloaded at: https://www.mdpi.com/article/10.3390/app15116097/s1, Figure S1: SEM image of (a) MF-S1-W2 and (b) MF-S1-W1 samples; Table S1: DLS analysis on MF-S1-W2 sample.
Author Contributions
Conceptualization, L.C. and E.M.; methodology, M.I., L.C. and E.M.; validation, L.C. and E.M.; formal analysis, L.C. and E.P.; investigation, M.I. and E.P.; resources, L.C.; data curation, M.I. and L.C.; writing—original draft preparation, L.C.; writing—review and editing, E.M. and C.M.; visualization, E.M.; supervision, C.M. and L.C. All authors have read and agreed to the published version of the manuscript.
Funding
This research received no external funding.
Institutional Review Board Statement
Not applicable.
Informed Consent Statement
Not applicable.
Data Availability Statement
The raw data supporting the conclusions of this article will be made available by the authors on request.
Acknowledgments
The authors would like to thank Giulia Calabrese and Antonio Fotia for their precious contributions to the hydrogen and water vapor adsorption measurements.
Conflicts of Interest
The authors declare no conflicts of interest.
References
- Felix Sahayaraj, A.; Joy Prabu, H.; Maniraj, J.; Kannan, M.; Bharathi, M.; Diwahar, P.; Salamon, J. Metal–Organic Frameworks (MOFs): The Next Generation of Materials for Catalysis, Gas Storage, and Separation. J. Inorg. Organomet. Polym. Mater. 2023, 33, 1757–1781. [Google Scholar] [CrossRef]
- He, T.; Kong, X.-J.; Li, J.-R. Chemically Stable Metal–Organic Frameworks: Rational Construction and Application Expansion. Acc. Chem. Res. 2021, 54, 3083–3094. [Google Scholar] [CrossRef]
- Chen, Y.-R.; Liou, K.-H.; Kang, D.-Y.; Chen, J.-J.; Lin, L.-C. Investigation of the Water Adsorption Properties and Structural Stability of MIL-100(Fe) with Different Anions. Langmuir 2018, 34, 4180–4187. [Google Scholar] [CrossRef] [PubMed]
- Chu, H.; Wang, C.-C. MIL-100(Fe)-Based Functional Materials for Water Decontamination: A State of the Art Review. Prog. Nat. Sci. Mater. Int. 2023, 33, 386–406. [Google Scholar] [CrossRef]
- Zhong, G.; Liu, D.; Zhang, J. Applications of Porous Metal–Organic Framework MIL-100(M) (M = Cr, Fe, Sc, Al, V). Cryst. Growth Des. 2018, 18, 7730–7744. [Google Scholar] [CrossRef]
- Joseph, J.; Iftekhar, S.; Srivastava, V.; Fallah, Z.; Zare, E.N.; Sillanpää, M. Iron-Based Metal-Organic Framework: Synthesis, Structure and Current Technologies for Water Reclamation with Deep Insight into Framework Integrity. Chemosphere 2021, 284, 131171. [Google Scholar] [CrossRef]
- Severino, M.I.; Freitas, C.; Pimenta, V.; Nouar, F.; Pinto, M.L.; Serre, C. Cost Estimation of the Production of MIL-100(Fe) at Industrial Scale from Two Upscaled Sustainable Synthesis Routes. Ind. Eng. Chem. Res. 2025, 64, 2708–2718. [Google Scholar] [CrossRef]
- Liu, X.; Zhou, Y.; Zhang, J.; Tang, L.; Luo, L.; Zeng, G. Iron Containing Metal-Organic Frameworks: Structure, Synthesis, and Applications in Environmental Remediation. ACS Appl. Mater. Interfaces 2017, 9, 20255–20275. [Google Scholar] [CrossRef]
- Horcajada, P.; Surblé, S.; Serre, C.; Hong, D.Y.; Seo, Y.K.; Chang, J.S.; Grenèche, J.M.; Margiolaki, I.; Férey, G. Synthesis and Catalytic Properties of MIL-100(Fe), an Iron(III) Carboxylate with Large Pores. Chem. Commun. 2007, 27, 2820–2822. [Google Scholar] [CrossRef]
- Seo, Y.K.; Yoon, J.W.; Lee, J.S.; Lee, U.H.; Hwang, Y.K.; Jun, C.H.; Horcajada, P.; Serre, C.; Chang, J.S. Large Scale Fluorine-Free Synthesis of Hierarchically Porous Iron(III) Trimesate MIL-100(Fe) with a Zeolite MTN Topology. Microporous Mesoporous Mater. 2012, 157, 137–145. [Google Scholar] [CrossRef]
- Shi, J.; Hei, S.; Liu, H.; Fu, Y.; Zhang, F.; Zhong, Y.; Zhu, W. Synthesis of MIL-100(Fe) at Low Temperature and Atmospheric Pressure. J. Chem. 2013, 2013, 792827. [Google Scholar] [CrossRef]
- Fang, Y.; Yang, Z.; Li, H.; Liu, X. MIL-100(Fe) and Its Derivatives: From Synthesis to Application for Wastewater Decontamination. Environ. Sci. Pollut. Res. 2020, 27, 4703–4724. [Google Scholar] [CrossRef] [PubMed]
- Yuan, B.; Wang, X.; Zhou, X.; Xiao, J.; Li, Z. Novel Room-Temperature Synthesis of MIL-100(Fe) and Its Excellent Adsorption Performances for Separation of Light Hydrocarbons. Chem. Eng. J. 2019, 355, 679–686. [Google Scholar] [CrossRef]
- Han, L.; Qi, H.; Zhang, D.; Ye, G.; Zhou, W.; Hou, C.; Xu, W.; Sun, Y. A Facile and Green Synthesis of MIL-100(Fe) with High-Yield and Its Catalytic Performance. New J. Chem. 2017, 41, 13504–13509. [Google Scholar] [CrossRef]
- Hong, D.Y.; Hwang, Y.K.; Serre, C.; Férey, G.; Chang, J.S. Porous Chromium Terephthalate MIL-101 with Coordinatively Unsaturated Sites: Surface Functionalization, Encapsulation, Sorption and Catalysis. Adv. Funct. Mater. 2009, 19, 1537–1552. [Google Scholar] [CrossRef]
- Tan, F.; Liu, M.; Li, K.; Wang, Y.; Wang, J.; Guo, X.; Zhang, G.; Song, C. Facile Synthesis of Size-Controlled MIL-100(Fe) with Excellent Adsorption Capacity for Methylene Blue. Chem. Eng. J. 2015, 281, 360–367. [Google Scholar] [CrossRef]
- Chakraborty, D.; Yurdusen, A.; Mouchaham, G.; Nouar, F.; Serre, C. Large-Scale Production of Metal–Organic Frameworks. Adv. Funct. Mater. 2024, 34, 2309089. [Google Scholar] [CrossRef]
- Lin, R.-B.; Zhang, Z.; Chen, B. Achieving High Performance Metal–Organic Framework Materials through Pore Engineering. Acc. Chem. Res. 2021, 54, 3362–3376. [Google Scholar] [CrossRef]
- Ji, Z.; Wang, H.; Canossa, S.; Wuttke, S.; Yaghi, O.M. Pore Chemistry of Metal–Organic Frameworks. Adv. Funct. Mater. 2020, 30, 2000238. [Google Scholar] [CrossRef]
- Yurduşen, A.; Yürüm, A.; Yürüm, Y. A Remarkable Increase in the Adsorbed H2 Amount: Influence of Pore Size Distribution on the H2 Adsorption Capacity of Fe-BTC. Int. J. Hydrogen Energy 2020, 45, 12394–12407. [Google Scholar] [CrossRef]
- Hirscher, M.; Panella, B. Nanostructures with High Surface Area for Hydrogen Storage. J. Alloys Compd. 2005, 404–406, 399–401. [Google Scholar] [CrossRef]
- Ghanbari, T.; Abnisa, F.; Wan Daud, W.M.A. A Review on Production of Metal Organic Frameworks (MOF) for CO2 Adsorption. Sci. Total Environ. 2020, 707, 135090. [Google Scholar] [CrossRef] [PubMed]
- Souza, B.; Moslein, A.; Titov, K.; Taylor, J.D.; Rudic, S.; Tan, J.-C. Green Reconstruction of MIL-100 (Fe) in Water for High Crystallinity and Enhanced Guest Encapsulation. ACS Sustain. Chem. Eng. 2020, 8, 8247–8255. [Google Scholar] [CrossRef]
- Yao, J.; Han, H.; Yang, Y.; Song, Y.; Li, G. A Review of Recent Progress of Carbon Capture, Utilization, and Storage (CCUS) in China. Appl. Sci. 2023, 13, 1169. [Google Scholar] [CrossRef]
- Wang, H.; Wang, Z.; Liang, C.; Carriveau, R.; Ting, D.S.-K.; Li, P.; Cen, H.; Xiong, W. Underwater Compressed Gas Energy Storage (UWCGES): Current Status, Challenges, and Future Perspectives. Appl. Sci. 2022, 12, 9361. [Google Scholar] [CrossRef]
- Sobhani, D.; Djahaniani, H.; Duong, A.; Kazemian, H. Efficient Removal of Microcystin-LR from Contaminated Water Using Water-Stable MIL-100(Fe) Synthesized under HF-Free Conditions. Environ. Sci. Pollut. Res. 2024, 31, 24512–24524. [Google Scholar] [CrossRef]
- Du, M.; Xu, G.; Zhang, J.; Guan, Y.; Guo, C.; Chen, Y. Hierarchically Porous MIL-100(Fe) with Large Mesopores for Cationic Dye Adsorption. J. Solid. State Chem. 2023, 322, 123950. [Google Scholar] [CrossRef]
- Fang, Y.; Wen, J.; Zeng, G.; Jia, F.; Zhang, S.; Peng, Z.; Zhang, H. Effect of Mineralizing Agents on the Adsorption Performance of Metal–Organic Framework MIL-100(Fe) towards Chromium(VI). Chem. Eng. J. 2018, 337, 532–540. [Google Scholar] [CrossRef]
- Zhang, F.; Shi, J.; Jin, Y.; Fu, Y.; Zhong, Y.; Zhu, W. Facile Synthesis of MIL-100(Fe) under HF-Free Conditions and Its Application in the Acetalization of Aldehydes with Diols. Chem. Eng. J. 2015, 259, 183–190. [Google Scholar] [CrossRef]
- Chávez, A.M.; Rey, A.; López, J.; Álvarez, P.M.; Beltrán, F.J. Critical Aspects of the Stability and Catalytic Activity of MIL-100(Fe) in Different Advanced Oxidation Processes. Sep. Purif. Technol. 2021, 255, 117660. [Google Scholar] [CrossRef]
- Asoufi, H.M.; Al-Antary, T.M.; Awwad, A.M. Green Route for Synthesis Hematite (α-Fe2O3) Nanoparticles: Toxicity Effect on the Green Peach Aphid, Myzus Persicae (Sulzer). Environ. Nanotechnol. Monit. Manag. 2018, 9, 107–111. [Google Scholar] [CrossRef]
- Hjiri, M. Highly Sensitive NO2 Gas Sensor Based on Hematite Nanoparticles Synthesized by Sol–Gel Technique. J. Mater. Sci. Mater. Electron. 2020, 31, 5025–5031. [Google Scholar] [CrossRef]
- Lestari, W.W.; Yunita, L.; Saraswati, T.E.; Heraldy, E.; Khafidhin, M.A.; Krisnandi, Y.K.; Arrozi, U.S.F.; Kadja, G.T.M. Fabrication of Composite Materials MIL-100(Fe)/Indonesian Activated Natural Zeolite as Enhanced CO2 Capture Material. Chem. Pap. 2021, 75, 3253–3263. [Google Scholar] [CrossRef]
- Zhou, M.; Tang, T.; Qin, D.; Cheng, H.; Wang, X.; Chen, J.; Wågberg, T.; Hu, G. Hematite Nanoparticle Decorated MIL-100 for the Highly Selective and Sensitive Electrochemical Detection of Trace-Level Paraquat in Milk and Honey. Sens. Actuators B Chem. 2023, 376, 132931. [Google Scholar] [CrossRef]
- Ambroz, F.; Macdonald, T.J.; Martis, V.; Parkin, I.P. Evaluation of the BET Theory for the Characterization of Meso and Microporous MOFs. Small Methods 2018, 2, 1800173. [Google Scholar] [CrossRef]
- Guesh, K.; Caiuby, C.A.D.; Mayoral, Á.; Díaz-García, M.; Díaz, I.; Sanchez-Sanchez, M. Sustainable Preparation of MIL-100(Fe) and Its Photocatalytic Behavior in the Degradation of Methyl Orange in Water. Cryst. Growth Des. 2017, 17, 1806–1813. [Google Scholar] [CrossRef]
- Rouquerol, J.; Llewellyn, P.; Rouquerol, F. Is the Bet Equation Applicable to Microporous Adsorbents? In Studies in Surface Science and Catalysis; Llewellyn, P.L., Rodriquez-Reinoso, F., Rouqerol, J., Seaton, N., Eds.; Elsevier: Amsterdam, The Netherlands, 2007; Volume 160, pp. 49–56. ISBN 978-0-444-52022-7. [Google Scholar]
- Delgado-Marín, J.J.; Narciso, J.; Ramos-Fernández, E.V. Effect of the Synthesis Conditions of MIL-100(Fe) on Its Catalytic Properties and Stability under Reaction Conditions. Materials 2022, 15, 6499. [Google Scholar] [CrossRef]
- Ahmed, I.; Jeon, J.; Khan, N.A.; Jhung, S.H. Synthesis of a Metal-Organic Framework, Iron-Benezenetricarboxylate, from Dry Gels in the Absence of Acid and Salt. Cryst. Growth Des. 2012, 12, 5878–5881. [Google Scholar] [CrossRef]
- Canioni, R.; Roch-Marchal, C.; Sécheresse, F.; Horcajada, P.; Serre, C.; Hardi-Dan, M.; Férey, G.; Grenèche, J.M.; Lefebvre, F.; Chang, J.S.; et al. Stable Polyoxometalate Insertion within the Mesoporous Metal Organic Framework MIL-100(Fe). J. Mater. Chem. 2011, 21, 1226–1233. [Google Scholar] [CrossRef]
- Qian, X.; Yadian, B.; Wu, R.; Long, Y.; Zhou, K.; Zhu, B.; Huang, Y. Structure Stability of Metal-Organic Framework MIL-53 (Al) in Aqueous Solutions. Int. J. Hydrogen Energy 2013, 38, 16710–16715. [Google Scholar] [CrossRef]
- Gong, F.; Wang, X.; Wang, P.; Xuan, L.; Li, Z.; Zhu, Y. Facile Synthesis of SAPO-34 with Excellent Methanol-to-Olefin Activity in a Short Time via a Conventional Hydrothermal Method. New J. Chem. 2020, 44, 10410–10417. [Google Scholar] [CrossRef]
- Yetgin, S.; Balkose, D. Calf Thymus DNA Characterization and Its Adsorption on Different Silica Surfaces. RSC Adv. 2015, 5, 57950–57959. [Google Scholar] [CrossRef]
- Forghani, M.; Azizi, A.; Livani, M.J.; Kafshgari, L.A. Adsorption of Lead(II) and Chromium(VI) from Aqueous Environment onto Metal-Organic Framework MIL-100(Fe): Synthesis, Kinetics, Equilibrium and Thermodynamics. J. Solid. State Chem. 2020, 291, 121636. [Google Scholar] [CrossRef]
- Chaturvedi, G.; Kaur, A.; Umar, A.; Khan, M.A.; Algarni, H.; Kansal, S.K. Removal of Fluoroquinolone Drug, Levofloxacin, from Aqueous Phase over Iron Based MOFs, MIL-100(Fe). J. Solid. State Chem. 2020, 281, 121029. [Google Scholar] [CrossRef]
- Cobian-Solorio, G.A.; Aguayo-Villarreal, I.A.; Rojas-Mayorga, C.K.; Muñiz-Valencia, R.; Emparan-Legaspi, M.J.; Davila Guzman, N.E. Non-Steroidal Anti-Inflammatory Drugs Adsorption from Aqueous Solution by MOFs MIL-100(Fe), ZIF-8 and UiO-66: Synthesis, Characterization, and Comparative Study. J. Mol. Struct. 2025, 1321, 139698. [Google Scholar] [CrossRef]
- Mohammadifard, Z.; Saboori, R.; Mirbagheri, N.S.; Sabbaghi, S. Heterogeneous Photo-Fenton Degradation of Formaldehyde Using MIL-100(Fe) under Visible Light Irradiation. Environ. Pollut. 2019, 251, 783–791. [Google Scholar] [CrossRef]
- Adhikari, A.K.; Lin, K.-S.; Chang, C.-S. Improved Hydrogen Storage Capacity by Hydrogen Spillover and Fine Structural Characterization of MIL-100 Metal Organic Frameworks. Res. Chem. Intermed. 2015, 41, 7655–7667. [Google Scholar] [CrossRef]
- Villajos, J.A.; Orcajo, G.; Martos, C.; Botas, J.Á.; Villacañas, J.; Calleja, G. Co/Ni Mixed-Metal Sited MOF-74 Material as Hydrogen Adsorbent. Int. J. Hydrogen Energy 2015, 40, 5346–5352. [Google Scholar] [CrossRef]
- Orcajo, G.; Montes-Andrés, H.; Villajos, J.A.; Martos, C.; Botas, J.A.; Calleja, G. Li-Crown Ether Complex Inclusion in MOF Materials for Enhanced H2 Volumetric Storage Capacity at Room Temperature. Int. J. Hydrogen Energy 2019, 44, 19285–19293. [Google Scholar] [CrossRef]
- Nuhnen, A.; Janiak, C. A Practical Guide to Calculate the Isosteric Heat/Enthalpy of Adsorption via Adsorption Isotherms in Metal–Organic Frameworks, MOFs. Dalton Trans. 2020, 49, 10295–10307. [Google Scholar] [CrossRef]
- Alfe, M.; Policicchio, A.; Lisi, L.; Gargiulo, V. Solid Sorbents for CO2 and CH4 Adsorption: The Effect of Metal Organic Framework Hybridization with Graphene-like Layers on the Gas Sorption Capacities at High Pressure. Renew. Sustain. Energy Rev. 2021, 141, 110816. [Google Scholar] [CrossRef]
- Luo, Y.; Tan, B.; Liang, X.; Wang, S.; Gao, X.; Zhang, Z.; Fang, Y. Dry Gel Conversion Synthesis of Hierarchical Porous MIL-100(Fe) and Its Water Vapor Adsorption/Desorption Performance. Ind. Eng. Chem. Res. 2019, 58, 7801–7807. [Google Scholar] [CrossRef]
- Said, S.A.M.; Qadir, N.U.; Mansour, R.B.; Mezghani, K.; Irshad, H.M. Synthesis and Water Sorption Properties of a Series of Exfoliated Graphene/MIL-100(Fe) Composites. RSC Adv. 2017, 7, 17353–17356. [Google Scholar] [CrossRef]
- Bahri, M.; Haghighat, F.; Kazemian, H.; Rohani, S. A Comparative Study on Metal Organic Frameworks for Indoor Environment Application: Adsorption Evaluation. Chem. Eng. J. 2017, 313, 711–723. [Google Scholar] [CrossRef]
- Calabrese, L.; Bonaccorsi, L.; Freni, A.; Proverbio, E. Synthesis of SAPO-34 Zeolite Filled Macrocellular Foams for Adsorption Heat Pump Applications: A Preliminary Study. Appl. Therm. Eng. 2017, 124, 1312–1318. [Google Scholar] [CrossRef]
- Pajdak, A.; Kulakowska, A.; Liu, J.; Berent, K.; Kudasik, M.; Krzywanski, J.; Kalawa, W.; Sztekler, K.; Skoczylas, N. Accumulation and Emission of Water Vapor by Silica Gel Enriched with Carbon Nanotubes CNT-Potential Applications in Adsorption Cooling and Desalination Technology. Appl. Sci. 2022, 12, 5644. [Google Scholar] [CrossRef]
Disclaimer/Publisher’s Note: The statements, opinions and data contained in all publications are solely those of the individual author(s) and contributor(s) and not of MDPI and/or the editor(s). MDPI and/or the editor(s) disclaim responsibility for any injury to people or property resulting from any ideas, methods, instructions or products referred to in the content. |
© 2025 by the authors. Licensee MDPI, Basel, Switzerland. This article is an open access article distributed under the terms and conditions of the Creative Commons Attribution (CC BY) license (https://creativecommons.org/licenses/by/4.0/).