Effects of Central Cut Width on the Dynamical Characteristics of Box Assembly Structure
Abstract
1. Introduction
2. Box Assembly Configurations and Experimental Techniques
3. Effect of the Central Cut on the Box Assembly Characteristics: Computational Modeling
4. Experimental Results Exploring Dynamics of Box Assembly Structure and Influence of the Cut Width
4.1. Influence of the Central Cut Width on the Dynamics of the Box Assembly Structure: Free Vibration Testing
4.2. Impacts of the Central Cut Width on the Dynamics of the Box Assembly Structure: Random Vibration Testing
4.2.1. Random Vibration Testing Investigating Results from the Y-Direction
4.2.2. Random Vibration Testing Investigating Results from the X-Direction


4.2.3. Discussion of the Impacts of the Central Cut Width on the Dynamics of the Box Assembly Structure Using Random Vibration Testing
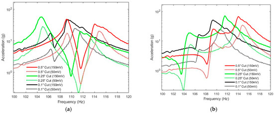
4.3. Influence of the Cut Width on the Dynamics of the Box Assembly Structure: Harmonic Vibration Testing
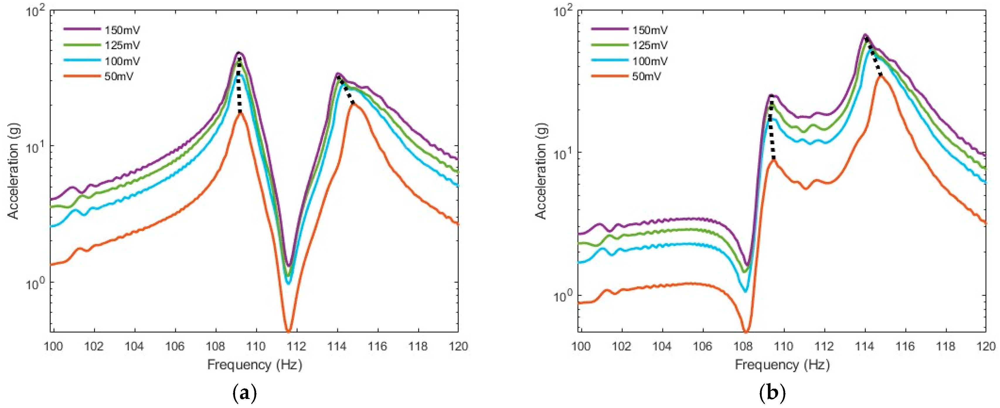
4.3.1. Harmonic Vibration Testing Investigating Results from the Y-Direction
4.3.2. Harmonic Vibration Testing Investigating Results from the X-Direction
4.3.3. Discussion of the Impacts of the Central Cut Width on the Dynamics of the Box Assembly Structure Using Harmonic Vibration Testing
5. Conclusions
Author Contributions
Funding
Institutional Review Board Statement
Informed Consent Statement
Data Availability Statement
Acknowledgments
Conflicts of Interest
References
- Braun, S.; Ewins, D.; Rao, S.; Leissa, A. Encyclopedia of vibration: Volumes 1, 2, and 3. Appl. Mech. Rev. 2002, 55, B45. [Google Scholar] [CrossRef]
- Keightley, W.O. Vibration Tests of Structures. Doctoral Dissertation, California Institute of Technology, Pasadena, CA, USA, 1964. [Google Scholar]
- Takeshita, A.; Madrid, J.; Granillo, E.; Abdelkefi, A. Insights on the impacts of accelerometer location on the dynamics and characteristics of complex structures. Sensors 2023, 23, 9830. [Google Scholar] [CrossRef] [PubMed]
- Chen, G.; Li, Q.-Y.; Li, D.-Q.; Wu, Z.-Y.; Liu, Y. Main frequency band of blast vibration signal based on wavelet packet transform. Appl. Math. Model. 2019, 74, 569–585. [Google Scholar] [CrossRef]
- Chen, G.; Yang, J.; Liu, Y.; Kitahara, T.; Beer, M. An energy-frequency parameter for earthquake ground motion intensity measure. Earthq. Eng. Struct. Dyn. 2022, 52, 271–284. [Google Scholar] [CrossRef]
- Varoto, P.S. Issues in laboratory simulation of field vibration data: Experimental results on a typical structure. In Sensors and Instrumentation, Aircraft/Aerospace, Energy Harvesting & Dynamic Environments Testing, Volume 7: Proceedings of the 37th IMAC, A Conference and Exposition on Structural Dynamics, Orlando, FL, USA, 28–31 January 2019; Springer International Publishing: Berlin/Heidelberg, Germany, 2020; pp. 347–354. [Google Scholar]
- He, R. Airborne Path Frequency Based Substructuring Method and Its Applications. Master’s Thesis, University of Kentucky, Lexington, KY, USA, 2015. [Google Scholar]
- Dilworth, B.J.; Karlicek, A.; Thibault, L. An approach to component testing: An analytical study. In Sensors and Instrumentation, Aircraft/Aerospace, Energy Harvesting & Dynamic Environments Testing, Volume 7: Proceedings of the 37th IMAC, A Conference and Exposition on Structural Dynamics, Orlando, FL, USA, 28–31 January 2019; Springer International Publishing: Berlin/Heidelberg, Germany, 2020; pp. 341–345. [Google Scholar]
- de Klerk, D.; Rixen, D.J.; de Jong, J. The frequency based substructuring (FBS) method reformulated according to the dual domain decomposition method. In Proceedings of the 24th International Modal Analysis Conference, A Conference on Structural Dynamics, St. Louis, MO, USA, 30 January–2 February 2006; pp. 1–14. [Google Scholar]
- Drozg, A.; Čepon, G.; Boltežar, M. Full-degrees-of-freedom frequency based substructuring. Mech. Syst. Signal Process. 2018, 98, 570–579. [Google Scholar] [CrossRef]
- Law, M.; Ihlenfeldt, S. A frequency-based substructuring approach to efficiently model position-dependent dynamics in machine tools. Proc. Inst. Mech. Eng. Part K J. Multi-Body Dyn. 2014, 229, 304–317. [Google Scholar] [CrossRef]
- de Klerk, D.; Rixen, D.J.; Voormeeren, S.N. General framework for dynamic substructuring: History, review and classification of techniques. AIAA J. 2008, 46, 1169–1181. [Google Scholar] [CrossRef]
- Rixen, D.J. A dual Craig–Bampton method for dynamic substructuring. J. Comput. Appl. Math. 2004, 168, 383–391. [Google Scholar] [CrossRef]
- Krattiger, D.; Wu, L.; Zacharczuk, M.; Buck, M.; Kuether, R.J.; Allen, M.S.; Tiso, P.; Brake, M.R. Interface reduction for Hurty/Craig-Bampton substructured models: Review and improvements. Mech. Syst. Signal Process. 2019, 114, 579–603. [Google Scholar] [CrossRef]
- Bari, N.A.; Serrano, M.; Shenouda, S.M.; Taylor, S.; Schultze, J.; Flynn, G. Quantifying Joint Uncertainties for Hybrid System Vibration Testing. In Dynamic Substructures, Volume 4: Proceedings of the 38th IMAC, A Conference and Exposition on Structural Dynamics, Houston, TX, USA, 10–13 February 2020; Springer International Publishing: Berlin/Heidelberg, Germany, 2021; pp. 131–138. [Google Scholar]
- MacNeal, R.H. A hybrid method of component mode synthesis. Comput. Struct. 1971, 1, 581–601. [Google Scholar] [CrossRef]
- Lion, P.M. Rapid identification of linear and nonlinear systems. AIAA J. 1967, 5, 1835–1842. [Google Scholar] [CrossRef]
- Baur, U.; Benner, P.; Feng, L. Model Order Reduction for Linear and Nonlinear Systems: A System-Theoretic Perspective. Arch. Comput. Methods Eng. 2014, 21, 331–358. [Google Scholar] [CrossRef]
- Elliott, S.J.; Tehrani, M.G.; Langley, R.S. Nonlinear damping and quasi-linear modelling. Philos. Trans. R. Soc. A Math. Phys. Eng. Sci. 2015, 373, 20140402. [Google Scholar] [CrossRef] [PubMed]
- Nayfeh, A.H.; Mook, D.T. Nonlinear Oscillations; John Wiley & Sons: Hoboken, NJ, USA, 2008. [Google Scholar]
- Touzé, C.; Thomas, O.; Chaigne, A. Hardening/softening behaviour in non-linear oscillations of structural systems using non-linear normal modes. J. Sound Vib. 2004, 273, 77–101. [Google Scholar] [CrossRef]
- Soine, D.E.; Jones, R.J.; Harvie, J.M.; Skousen, T.J.; Schoenherr, T.F. Designing hardware for the boundary condition round robin challenge. In Topics in Modal Analysis & Testing, Volume 9: Proceedings of the 36th IMAC, A Conference and Exposition on Structural Dynamics, Orlando, FL, USA, 12–15 February 2018; Springer International Publishing: Berlin/Heidelberg, Germany, 2019; pp. 119–126. [Google Scholar]
- Harvie, J.M.; Schoenherr, T.F.; Skousen, T.J. Boundary Conditions in Environmental Testing Round Robin (No. SAND2018-1275C); Sandia National Lab. (SNL-NM): Albuquerque, NM, USA, 2018.
- Takeshita, A.; Sedillo, H.; Jankowski, K.; Barba, J.; Bouma, A.; Billingsley, E.; Abdelkefi, A. Effects of test fixture connections and interference of the BARC structure on its dynamical responses. Int. J. Mech. Sci. 2022, 221, 107186. [Google Scholar] [CrossRef]
- Bouma, A.; Campbell, A.; Roberts, T.; Taylor, S.; Haynes, C.; Harvey, D. Accumulated lifetimes in single-axis vibration testing. In Sensors and Instrumentation, Aircraft/Aerospace, Energy Harvesting & Dynamic Environments Testing, Volume 7: Proceedings of the 37th IMAC, A Conference and Exposition on Structural Dynamics, Orlando, FL, USA, 28–31 January 2019; Springer International Publishing: Berlin/Heidelberg, Germany, 2020; pp. 131–146. [Google Scholar]
- Musella, U.; Blanco, M.A.; Mastrodicasa, D.; Monco, G.; Emilio, D.L.; Simone, M.; Mucchi, E.; Guillaume, P. Combining test and simulation to tackle the challenges derived from boundary conditions mismatches in environmental testing. In Sensors and Instrumentation, Aircraft/Aerospace, Energy Harvesting & Dynamic Environments Testing, Volume 7: Proceedings of the 37th IMAC, A Conference and Exposition on Structural Dynamics, Orlando, FL, USA, 28–31 January 2019; Springer International Publishing: Berlin/Heidelberg, Germany, 2020; pp. 259–269. [Google Scholar]
- Schoenherr, T.F.; Clark, B.W.; Coffin, P. Improve Replication of in-Service Mechanical Environments (No. SAND2018-10187); Sandia National Lab. (SNL-NM): Albuquerque, NM, USA, 2018.
- Granillo, E.C.; Madrid, J.M.; Padilla, C.L.; Perez, J.; Abdelkefi, A. Insights on the scalability of the BARC structure on its dynamical characteristics. In Proceedings of the AIAA Scitech 2024 Forum, Orlando, FL, USA, 8–12 January 2024. [Google Scholar]
- Rohe, D.P.; Schultz, R.A.; Schoenherr, T.F.; Skousen, T.J.; Jones, R.J. Comparison of multi-axis testing of the BARC structure with varying boundary conditions. In Sensors and Instrumentation, Aircraft/Aerospace, Energy Harvesting & Dynamic Environments Testing, Volume 7: Proceedings of the 37th IMAC, A Conference and Exposition on Structural Dynamics, Orlando, FL, USA, 28–31 January 2019; Springer International Publishing: Berlin/Heidelberg, Germany, 2020; pp. 179–193. [Google Scholar]
- Rohe, D.P. Modal Data for the BARC Challenge Problem Test Report (No. SAND-2018-0640R); Sandia National Lab. (SNL-NM): Albuquerque, NM, USA, 2018.
- Rohe, D.P.; Smith, S.; Brake, M.R.; DeClerck, J.; Blanco, M.A.; Schoenherr, T.F.; Skousen, T.J. Testing summary for the box assembly with removable component structure. In Sensors and Instrumentation, Aircraft/Aerospace, Energy Harvesting & Dynamic Environments Testing, Volume 7: Proceedings of the 37th IMAC, A Conference and Exposition on Structural Dynamics, Orlando, FL, USA, 28–31 January 2019; Springer International Publishing: Berlin/Heidelberg, Germany, 2020; pp. 167–177. [Google Scholar]
- Schoenherr, T.F. Designing an Optimized Fixture for the BARC Hardware Using a Parameterized Model (No. SAND2019-12838C); Sandia National Lab. (SNL-NM): Albuquerque, NM, USA, 2019.
- Padilla, C.L.; Madrid, J.M.; Granillo, E.C.; Flores, A.; Abdelkefi, A. Dynamics and nonlinear characterization of BARC systems with varying central cut widths. In Proceedings of the AIAA SCITECH 2024 Forum, Orlando, FL, USA, 8–12 January 2024. [Google Scholar]
- Lu, K.; Jin, Y.; Chen, Y.; Yang, Y.; Hou, L.; Zhang, Z.; Li, Z.; Fu, C. Review for order reduction based on proper orthogonal decomposition and outlooks of applications in mechanical systems. Mech. Syst. Signal Process. 2019, 123, 264–297. [Google Scholar] [CrossRef]
- Paripovic, J.; Mayes, R.L. Reproducing a component field environment on a six degree of-freedom shaker. In Dynamic Substructures, Volume 4: Proceedings of the 38th IMAC, A Conference and Exposition on Structural Dynamics, Houston, TX, USA, 10–13 February 2020; Springer International Publishing: Berlin/Heidelberg, Germany, 2021; pp. 73–78. [Google Scholar]
- Cooper, S.B.; DiMaio, D.; Ewins, D.J. Integration of system identification and finite element modelling of nonlinear vibrating structures. Mech. Syst. Signal Process. 2018, 102, 401–430. [Google Scholar] [CrossRef]
- Avitabile, P. Modal Testing: A Practitioner’s Guide, 5th ed.; The Society for Experimental Mechanics; John Wiley & Sons Ltd.: Hoboken, NJ, USA, 2018. [Google Scholar]




















![]() | Mode 1 | Mode 2 | Mode 3 | Mode 4 |
|---|---|---|---|---|
| 0.5” Cut | ![]() (Dominant bending) | ![]() (Dominant torsional) | ![]() (Dominant bending) | ![]() (Dominant torsional) |
| 0.25” Cut | ![]() (Dominant bending) | ![]() (Dominant torsional) | ![]() (Dominant bending) | ![]() (Dominant torsional) |
| 0.1” Cut | ![]() (Dominant bending) | ![]() (Dominant torsional) | ![]() (Dominant bending) | ![]() (Dominant torsional) |
| No Cut | ![]() (Dominant bending) | ![]() (Dominant torsional) | ![]() (Dominant bending) | ![]() (Dominant torsional) |
| Mode 1 (Hz) | Mode 2 (Hz) | Mode 3 (Hz) | Mode 4 (Hz) | |
|---|---|---|---|---|
| 0.5” | 114.117 | 360.968 | 553.397 | 919.342 |
| * 0.375” | 113.484 | 352.823 | 538.902 | 919.423 |
| 0.25” | 112.25 | 344.438 | 524.14 | 913.763 |
| * 0.125” | 111.313 | 336.791 | 510.664 | 913.392 |
| 0.1” | 110.820 | 334.730 | 507.221 | 906.566 |
| No | 186.122 | 676.673 | 759.663 | 928.357 |
![]() | Mode 1 | Mode 2 | ||
|---|---|---|---|---|
| 0.5” Cut | ![]() (a) | ![]() (b) | ![]() (a) | ![]() (b) |
| 0.25” Cut | ![]() (a) | ![]() (b) | ![]() (a) | ![]() (b) |
| 0.1” Cut | ![]() (a) | ![]() (b) | ![]() (a) | ![]() (b) |
| No Cut | ![]() | ![]() | ||
![]() | Mode 3 | Mode 4 | ||
|---|---|---|---|---|
| 0.5” Cut | ![]() (a) | ![]() (b) | ![]() (a) | ![]() (b) |
| 0.25” Cut | ![]() (a) | ![]() (b) | ![]() (a) | ![]() (b) |
| 0.1” Cut | ![]() (a) | ![]() (b) | ![]() (a) | ![]() (b) |
| No Cut | ![]() | ![]() | ||
| Mode 1 (Hz) | Mode 2 (Hz) | Mode 3 (Hz) | Mode 4 (Hz) | |||||
|---|---|---|---|---|---|---|---|---|
| (a) | (b) | (a) | (b) | (a) | (b) | (a) | (b) | |
| 0.5” | 111.153 | 112.617 | 344.427 | 360.032 | 527.676 | 555.512 | 887.401 | 914.904 |
| * 0.375” | 110.242 | 111.684 | 336.679 | 352.031 | 513.882 | 540.998 | 887.825 | 915.082 |
| 0.25” | 121.084 | 123.031 | 373.261 | 392.969 | 552.876 | 583.865 | 981.876 | 1010.030 |
| * 0.125” | 108.152 | 109.643 | 321.424 | 336.236 | 487.028 | 512.659 | 882.920 | 908.901 |
| 0.1” | 107.668 | 109.174 | 319.515 | 334.126 | 483.774 | 509.095 | 876.082 | 902.446 |
| No | 183.117 | 663.664 | 749.612 | 913.189 | ||||
| Mode 1 (Hz) | Mode 2 (Hz) | Mode 3 (Hz) | ||||
|---|---|---|---|---|---|---|
| (a) | (b) | (a) | (b) | (a) | (b) | |
| 0.5” | 97.656 | 103.906 | 296.875 | 305.469 | 467.188 | 489.062 |
| 0.25” | 104.69 | 106.25 | 318.75 | 326.562 | 475.00 | 495.312 |
| 0.1” | 96.25 | 101.25 | 286.25 | 296.25 | 447.50 | 455.00 |
| No | 171.88 | 581.25 | 696.875 | |||
| 0.5” Cut (Hz) | 0.25” Cut (Hz) | 0.1” Cut (Hz) | No Cut (Hz) | |||||
|---|---|---|---|---|---|---|---|---|
| Mode 1 | Mode 3 | Mode 1 | Mode 3 | Mode 1 | Mode 3 | Mode 1 | Mode 3 | |
| 1e−7 V2/Hz | 116.406 | 564.062 | 114.453 | 545.312 | 113.281 | 513.281 | 179.297 | 747.656 |
| 1e−6 V2/Hz | 115.625 | 566.406 | 114.062 | 544.141 | 112.109 | 508.203 | 167.188 | 738.281 |
| 1e−5 V2/Hz | 115.234 | 557.812 | 114.062 | 536.328 | 112.109 | 508.203 | 159.766 | 732.422 |
| 1e−4 V2/Hz | 114.062 | 550.781 | 112.891 | 528.906 | 110.547 | 497.656 | 173.047 | 716.406 |
| % Change | 2.01% | 2.35% | 1.36% | 3.01% | 2.41% | 3.04% | 3.49% | 4.18% |
| 0.5” Cut (Hz) | 0.25” Cut (Hz) | 0.1” Cut (Hz) | No Cut (Hz) | |
|---|---|---|---|---|
| Mode 2 | Mode 2 | Mode 2 | Mode 2 | |
| 1e−7 V2/Hz | 301.953 | 287.5 | 287.5 | 596.094 |
| 1e−6 V2/Hz | 301.562 | 286.719 | 287.109 | 593.75 |
| 1e−5 V2/Hz | 300 | 285.938 | 284.375 | 590.625 |
| 1e−4 V2/Hz | 292.188 | 276.953 | 277.734 | 586.719 |
| % Change | 3.23% | 3.67% | 3.40% | 1.57% |
| 0.5” Cut (Hz) | 0.25” Cut (Hz) | 0.1” Cut (Hz) | No Cut (Hz) | ||||
|---|---|---|---|---|---|---|---|
| L Peak | R Peak | L Peak | R Peak | L Peak | R Peak | Peak | |
| 50 mV | 109.5 | 114.8 | 105.2 | 113.4 | 106.9 | 110.6 | 166.0 |
| 100 mV | 109.3 | 114.3 | 105.1 | 112.7 | 106.9 | 109.9 | 164.8 |
| 125 mV | 109.4 | 114.1 | 105.1 | 112 | 106.9 | 109.5 | 164.5 |
| 150 mV | 109.4 | 114 | 105.1 | 111.5 | 106.7 | 109.4 | 164.1 |
| % Change | 0.09% | 0.70% | 0.10% | 1.68% | 0.19% | 1.08% | 1.14% |
| 0.5” Cut (g/V) | 0.25” Cut (g/V) | 0.1” Cut (g/V) | No Cut (g/V) | ||||
|---|---|---|---|---|---|---|---|
| L Peak | R Peak | L Peak | R Peak | L Peak | R Peak | Peak | |
| 50 mV | 179.20 | 685.33 | 151.53 | 706.63 | 104.27 | 492.21 | 158.22 |
| 100 mV | 175.41 | 531.31 | 120.06 | 444.04 | 107.73 | 414.06 | 104.00 |
| 125 mV | 173.51 | 482.87 | 119.72 | 451.21 | 111.22 | 381.48 | 92.976 |
| 150 mV | 168.59 | 447.98 | 125.33 | 474.42 | 106.68 | 338.04 | 85.813 |
| % Change | 5.92% | 34.63% | 17.24% | 32.86% | -2.31% | 31.32% | 45.76% |
| 0.5” Cut (Hz) | 0.25” Cut (Hz) | 0.1” Cut (Hz) | No Cut (Hz) | ||||
|---|---|---|---|---|---|---|---|
| L Peak | R Peak | L Peak | R Peak | L Peak | R Peak | Peak | |
| 50 mV | 109.2 | 114.8 | 104.9 | 113.4 | 106.4 | 110.5 | 166.3 |
| 100 mV | 109.1 | 114.3 | 104.8 | 113.3 | 106.4 | 109.9 | 165.8 |
| 125 mV | 109.1 | 114.3 | 104.8 | 113.5 | 106.4 | 109.8 | 165.4 |
| 150 mV | 109.1 | 114 | 104.7 | 113.1 | 106.2 | 109.3 | 164.6 |
| % Change | 0.09% | 0.70% | 0.19% | 0.26% | 0.19% | 1.09% | 1.02% |
Disclaimer/Publisher’s Note: The statements, opinions and data contained in all publications are solely those of the individual author(s) and contributor(s) and not of MDPI and/or the editor(s). MDPI and/or the editor(s) disclaim responsibility for any injury to people or property resulting from any ideas, methods, instructions or products referred to in the content. |
© 2025 by the authors. Licensee MDPI, Basel, Switzerland. This article is an open access article distributed under the terms and conditions of the Creative Commons Attribution (CC BY) license (https://creativecommons.org/licenses/by/4.0/).
Share and Cite
Padilla, C.; Flores, A.; Granillo, E.; Madrid, J.; Abdelkefi, A. Effects of Central Cut Width on the Dynamical Characteristics of Box Assembly Structure. Appl. Sci. 2025, 15, 417. https://doi.org/10.3390/app15010417
Padilla C, Flores A, Granillo E, Madrid J, Abdelkefi A. Effects of Central Cut Width on the Dynamical Characteristics of Box Assembly Structure. Applied Sciences. 2025; 15(1):417. https://doi.org/10.3390/app15010417
Chicago/Turabian StylePadilla, Christopher, Antonio Flores, Ezekiel Granillo, Jonah Madrid, and Abdessattar Abdelkefi. 2025. "Effects of Central Cut Width on the Dynamical Characteristics of Box Assembly Structure" Applied Sciences 15, no. 1: 417. https://doi.org/10.3390/app15010417
APA StylePadilla, C., Flores, A., Granillo, E., Madrid, J., & Abdelkefi, A. (2025). Effects of Central Cut Width on the Dynamical Characteristics of Box Assembly Structure. Applied Sciences, 15(1), 417. https://doi.org/10.3390/app15010417
















































