Comparative Study of Noise Control in Micro Turbojet Engines with Chevron and Ejector Nozzles Through Statistical, Acoustic and Imaging Insight
Abstract
1. Introduction
2. Theory Review
3. Experimental Test Bench
3.1. Ejector Nozzle Configuration
3.2. Chevron Nozzle Configuration
4. Results and Discussions
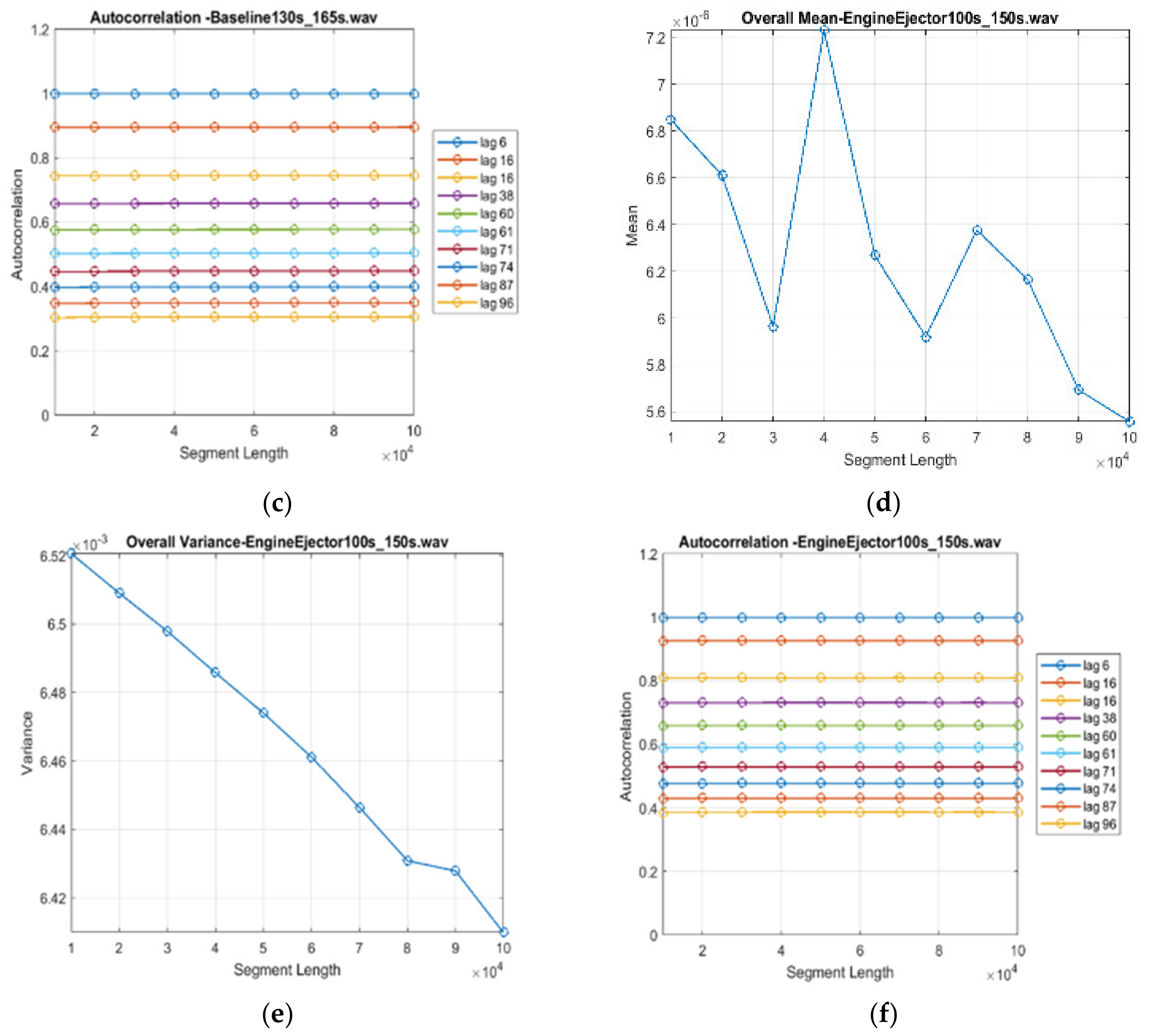
4.1. Ejector Nozzle
- Compute the mean, the variance, the standard deviation and the autocorrelation for the entire signal of length ;
 - Divide the signal into overlapping segments (n.b. the so-called shorter realizations) with 50% overlapping. Each segment should be of a reasonable length to capture meaningful data behavior. One chooses the segment length in the range of samples, with step ;
 - Examine if the random signal is stationary if the conditions presented in the theory section are satisfied. The expected value, the variance and the autocorrelation functions of the random signal in a discrete formulation are considered uniformly distributed. Numerically, it means that across all segments of size , at the same time that , one calculates the mean and the variance with the same probability (n.b. independent of time):where represent the signal’s value at the n-th realization of the random process . In the acoustic field, the signal represents the fluctuation in the pressure with regard to standard atmospheric pressure. Thus, one expects that the constants for the expectation and variance of the random process to be zero or very close to zero. As it is impossible to get the value zero in a real case, one should verify if the mean and the standard deviation are below a certain tolerance for all the random variables at each time:
 
4.1.1. Stationarity and Ergodicity
4.1.2. Time and Frequency Domain Analysis
4.2. Chevron Nozzle
4.2.1. Stationarity and Ergodicity
4.2.2. Time and Frequency Domain Analysis
4.3. Schlieren Imaging Analysis
- Images were normalized to enhance contrast across the density gradient spectrum, allowing for a more precise delineation of flow structures;
 - Grayscale intensity values were segmented into multiple iso-levels, each corresponding to specific density gradients, enabling detailed visualization of subtle flow features;
 - An apropiate color scheme was applied to the iso-levels, providing visual clarity and distinguishing fine-scale turbulence from larger coherent structures;
 - Contours were superimposed on the grayscale images to highlight regions of interest, such as shear layers and potential flow areas, automatically generating consistent visualizations for all configurations.
 
5. Conclusions
Author Contributions
Funding
Data Availability Statement
Conflicts of Interest
References
- Flight Operations Support and Line Assistance. In Getting to Grips with Aircraft Noise; Airbus: Leiden, France, 2003; Available online: https://www.theairlinepilots.com/forumarchive/aviation-regulations/aircraft-noise.pdf (accessed on 18 December 2024).
 - Merino-Martinez, R.; Besnea, I.; Hoff, B.V.D.; Snellen, M. Psychoacoustic Analysis of the Noise Emissions from the Airbus A320 Aircraft Family and its Nose Landing Gear System. In Proceedings of the 30th AIAA/CEAS Aeroacoustics Conference (2024), Rome, Italy, 4–7 June 2024. Article AIAA 2024-3398. [Google Scholar] [CrossRef]
 - Cumpsty, N.A. A Critical Review of Turbomaehinery Noise. J. Fluid. Eng. 1977, 99, 278–293.3. [Google Scholar] [CrossRef]
 - Smith, M.J.T. Aircraft Noise; Cambridge University Press: Cambridge, UK, 1989. [Google Scholar]
 - Moreau, S.; Roger, M. Turbomachinery Noise Review. Int. J. Turbomach. Propuls. Power 2024, 9, 11. [Google Scholar] [CrossRef]
 - Sadeghian, M.; Bandpy, M.G. Technologies for aircraft noise reduction: A review. J. Aeronaut. Aerosp. Eng. 2020, 9, 219. [Google Scholar]
 - Torija, A.; Self, R. Aircraft classification for efficient modelling of environmental noise impact of aviation. J. Air Transp. Manag. 2018, 67, 157–168. [Google Scholar] [CrossRef]
 - Sawyer, S.; Fleeter, S. Passive Control of Turbomachine Noise. In Proceedings of the International Compressor Engineering Conference, West Lafayette, IN, USA, 14–17 July 1998. Paper No. 1336. [Google Scholar]
 - Bianchi, S.; Corsini, A.; Sheard, A.G. A Critical Review of Passive Noise Control Techniques in Industrial Fans. J. Eng. Gas Turbines Power 2014, 136, 044001. [Google Scholar] [CrossRef]
 - Paruchuri, C.C.; Narayanan, S.; Joseph, P.; Kim, J.W. Leading edge serration geometries for significantly enhanced leading edge noise reductions. In Proceedings of the 22nd AIAA/CEAS Aeroacoustics Conference, Lyon, France, 30 May–1 June 2016. [Google Scholar]
 - Polacsek, C.; Clair, V.; Reboul, G.; Denia, H. Turbulence-Airfoil Interacțion Noise Reduction Using Wavy Leading Edge: An Experimental and Numerical Study; Institute of Noise Control Engineering/Japan & Acoustical Society of Japan: Osaka, Japan, 2011; pp. 170–180. [Google Scholar]
 - Biedermann, T.M.; Chong, T.P.; Kameier, F.; Paschereit, C.O. Airfoil Noise Subjected to Leading-Edge Serrations. AIAA J. 2017, 55, 3128–3142. [Google Scholar] [CrossRef]
 - Gruber, M. Airfoil Noise Reduction by Edge Treatments. Ph.D. Thesis, University of Southampton, Southampton, UK, 2012. Available online: https://eprints.soton.ac.uk/349012/ (accessed on 18 December 2024).
 - Ryi, J.; Choi, J. Estimation Method to Achieve a Noise Reduction Effect of Airfoil with a Serrated Trailing Edge for Wind Turbine Rotor. In Stability Control and Reliable Performance of Wind Turbines; InTech: Rijeka, Italy, 2018. [Google Scholar]
 - Al Tlua, B. Experimental Wind Tunnel Testing and Numerical Optimization Studies for Airfoil Trailing Edge Noise Reduction. Ph.D. Thesis, Ottawa-Carleton Institute for Mechanical and Aerospace Engineering, Ottawa, ON, Canada, 2021. [Google Scholar]
 - Ranjan, A.; Kaushik, M.; Deb, D.; Muresan, V.; Unguresan, M. Assessment of Short Rectangular-Tab Actuation of Supersonic Jet Mixing. Actuators 2020, 9, 72. [Google Scholar] [CrossRef]
 - Zaman, K.B.M.Q.; Bridges, J.E.; Castner, R.S.; Fagan, A.F. An Investigation of a Mixer-Ejector Nozzle for Jet Noise Reduction; NASA Techincal Reports; NASA Glenn Research Center: Cleveland, OH, USA, 2019. Available online: https://ntrs.nasa.gov/api/citations/20190025829/downloads/20190025829.pdf (accessed on 18 December 2024).
 - Hao, X.; Yan, J.; Gao, N.; Volovyk, O.; Zhou, Y.; Chen, G. Experimental investigation of an improved ejector with optimal flow profile. Case Stud. Therm. Eng. 2023, 47, 103089. [Google Scholar] [CrossRef]
 - He, Y.; Shi, X.; Ji, H. Optimal Design of Ejector Nozzle Profile with Internal and External Integrated Flow. Aerospace 2024, 11, 184. [Google Scholar] [CrossRef]
 - Cican, G.; Deaconu, M.; Crunţeanu, D.-E. Impact of Using Chevrons Nozzle on the Acoustics and Performances of a Micro Turbojet Engine. Appl. Sci. 2021, 11, 5158. [Google Scholar] [CrossRef]
 - Crispo, C.M.; Greco, C.S.; Cardone, G. Flow field features of chevron impinging synthetic jets at short nozzle-to-plate distance. Exp. Therm. Fluid Sci. 2019, 106, 202–214. [Google Scholar] [CrossRef]
 - Engel, R.C.; Silva, C.R.; Deschamps, C.J. Deschamps, Application of RANS-based method to predict acoustic noise of chevron nozzles. Appl. Acoust. 2014, 79, 153–163. [Google Scholar] [CrossRef]
 - Murugu, S.P.; Srikrishnan, A.R.; Krishnaraj, B.K.; Jayaraj, A.; Mohammad, A.; Velamati, R.K. Acoustic Modeling of Com-pressible Jet from Chevron Nozzle: A Comparison of URANS, LES and DES Models. Symmetry 2022, 14, 1975. [Google Scholar] [CrossRef]
 - Nandita, N.H.; Sruthi, R.; Prabha, S.; Sundaram, M.; Kumar, A.P. Flow visualization of the jet exiting a chevron nozzle. Aeronaut. Aerosp. Open Access J. 2018, 2, 62–65. [Google Scholar] [CrossRef]
 - Cican, G.; Frigioescu, T.-F.; Crunteanu, D.-E.; Cristea, L. Micro Turbojet Engine Nozzle Ejector Impact on the Acoustic Emission, Thrust Force and Fuel Consumption Analysis. Aerospace 2023, 10, 162. [Google Scholar] [CrossRef]
 - Cican, G.; Gall, M.; Bogoi, A.; Deaconu, M.; Crunțeanu, D.E. Experimental Investigation of a Micro Turbojet Engine Chevrons Nozzle by Means of the Schlieren Technique. Inventions 2023, 8, 145. [Google Scholar] [CrossRef]
 - Aidoun, Z.; Ameur, K.; Falsafioon, M.; Mehdi, F.; Badache, M. Current Advances in Ejector Modeling, Experimentation and Applications for Refrigeration and Heat Pumps. Part 2: Two-Phase Ejectors. Inventions 2019, 4, 16. [Google Scholar] [CrossRef]
 - Besagni, G. Ejectors on the cutting edge: The past, the present and the perspective. Energy 2019, 170, 998–1003. [Google Scholar] [CrossRef]
 - Hunter, C.; Presz, W.; Reynolds, G. Thrust augmentation with mixer/ejector systems. In Proceedings of the 40th AIAA Aerospace Sciences Meeting & Exhibit, Reno, NV, USA, 14–17 January 2002. [Google Scholar] [CrossRef][Green Version]
 - Greatrex, F.B. Jet Noise; Preprint No. 559; S.M.F. Publ. Fund Preprint; Institute of Aeronautical Sciences, Inc. June 1955. Available online: https://ntrs.nasa.gov/api/citations/19980228218/downloads/19980228218.pdf (accessed on 31 December 2024).
 - Moore, C.J. The Role of Shear-Layer Instability Waves in Jet Exhaust Noise. J. Fluid Mech. 1977, 80 Pt 2, 321–367. [Google Scholar] [CrossRef]
 - Krasheninnikov, Y.; Mironov, A.K. Aerodynamic and acoustic characteristics of turbulent jet flows in mixer-ejector exhaust systems. In Proceedings of the 5th International Symposium on Transport Noise and Vibration, St. Petersburg, Russia, 6–8 June 2000. [Google Scholar]
 - Krasheninnikov, S.Y.; Mironov, A.K. Effect of the Streamwise Component of the Vorticity Formed in a Turbulent Jet Source on the Acoustic Characteristics of the Jet. Fluid Dyn. 2003, 38, 698–711. [Google Scholar] [CrossRef]
 - Lee, I.; Zhang, Y.; Lin, D. Experimental investigation of jet noise from a high BPR dual-stream jet in a static model-scale test. Appl. Acoust. 2019, 150, 246–267. [Google Scholar] [CrossRef]
 - Crispo, C.M.; Greco, C.S.; Avallone, F.; Cardone, G. On the flow organization of a chevron synthetic jet. Exp. Therm. Fluid Sci. 2017, 82, 136–146. [Google Scholar] [CrossRef]
 - Pellessier, J.E.; Dillon, H.E.; Stoltzfus, W. Schlieren Flow Visualization and Analysis of Synthetic Jets. Fluids 2021, 6, 413. [Google Scholar] [CrossRef]
 - Simoncelli, E.; Stancampiano, A.; Boselli, M.; Gherardi, M.; Colombo, V. Experimental Investigation on the Influence of Target Physical Properties on an Impinging Plasma Jet. Plasma 2019, 2, 369–379. [Google Scholar] [CrossRef]
 - Veith, S.I.; Friege, G. Making sound visible—A simple schlieren imaging setup for schools. Phys. Educ. 2021, 56, 025024. [Google Scholar] [CrossRef]
 - Settles, G.S. Schlieren and Shadowgraph Techniques: Visualizing Phenomena in Transport Media; Springer: New York, NY, USA, 2001. [Google Scholar]
 - Torniainen, E.D.; Hinz, A.; Gouldin, F.C. Tomographic analysis of unsteady reacting Flows. AIAA J. 1998, 36, 1270–1278. [Google Scholar] [CrossRef]
 - Semlitsch, B.; Malla, B.; Gutmark, E.J.; Mihăescu, M. The generation mechanism of higher screech tone harmonics in supersonic jets. J. Fluid Mech. 2020, 893, A9. [Google Scholar] [CrossRef]
 - Westerweel, J.; Elsinga, G.E.; Adrian, R.J. Particle image velocimetry for complex and turbulent flows. Annu. Rev. Fluid Mech. 2013, 45, 409–436. [Google Scholar] [CrossRef]
 - Proakis, J.G.; Manolakis, D.K. Digital Signal Processing Principles, Algorithms and Applications; Prentice Hall: Upper Saddle River, NJ, USA, 1995. [Google Scholar]
 - Marple, L.S., Jr. Digital Spectral Analysis, 2nd ed.; Dover Books on Electrical Engineering; Dover Publications: Mineola, NY, USA, 2019. [Google Scholar]
 - Jet Cat USA. Jet Cat Instruction Manual. U.S. Patent 6216440, 17 April 2001.
 - IEC 61094-4:1995; Measurement Microphones—Part 4: Specifications for Working Standard Microphones. IEC: Geneva, Switzerland, 1995.
 - Cican, G.; Mirea, R. An Experimental Insight into the Use of N-Butanol as a Sustainable Aviation Fuel. Fire 2024, 7, 313. [Google Scholar] [CrossRef]
 - Cican, G.; Mirea, R. Performance and environmental impact of ethanol-kerosene blends as sustainable aviation fuels in micro turbo-engines. Int. J. Engine Res. 2024, 25, 2204–2214. [Google Scholar] [CrossRef]
 























| Segment Length [Samples]  | Overlapped Segments  | Mean for All Segments | Standard Deviation of the Mean | Mean of the Variance of All Segments | Standard Deviation of the Variance | |
|---|---|---|---|---|---|---|
| B | 10,000 | 335 | −0.0000022 | 0.00476377 | 0.00789353 | 0.0005773 | 
| 20,000 | 167 | −0.0000011 | 0.00677244 | 0.00787076 | 0.0008311 | |
| 40,000 | 83 | −0.0000017 | 0.00973911 | 0.00782580 | 0.0011910 | |
| 80,000 | 41 | −0.0000015 | 0.01347090 | 0.00774198 | 0.0016813 | |
| 100,000 | 32 | −0.0000022 | 0.01558355 | 0.00768273 | 0.0019063 | |
| E | 10,000 | 479 | 0.0000068 | 0.00371549 | 0.00652053 | 0.0004123 | 
| 20,000 | 239 | 0.0000066 | 0.00521679 | 0.00650899 | 0.0005810 | |
| 40,000 | 119 | 0.0000072 | 0.00745629 | 0.00648578 | 0.0008262 | |
| 80,000 | 59 | 0.0000061 | 0.01070496 | 0.00643085 | 0.0011721 | |
| 100,000 | 47 | 0.0000055 | 0.01172369 | 0.00640985 | 0.0013073 | 
| Configuration | Mean | Variance | 
|---|---|---|
| B | −0.00000068 | 0.00791683 | 
| E | 0.00000668 | 0.00653186 | 
| Configuration | RMSE Mean | RMSE, Variance | RMSE, Autocorrelation | Is the Signal Ergodic? | 
|---|---|---|---|---|
| B | 0.00000131 | 0.00014134 | 0.00016418 | YES | 
| E | 0.00000065 | 0.00007448 | 0.00057095 | YES | 
| Type | SPL(Z) [dB]  | OASPL [dB(A)]  | SPL(C) [dB(C)]  | LAeq [dB(A)] | LCeq [dB(C)] | LZmax [dB]  | LAmax [dB(A)]  | LCmax [dB(C)] | 
|---|---|---|---|---|---|---|---|---|
| B | 118.49 | 117.33 | 118.08 | 117.34 | 118.08 | 119.59 | 118.15 | 119.27 | 
| E | 117.90 | 116.47 | 117.60 | 116.47 | 117.60 | 119.91 | 117.66 | 119.73 | 
| % | 0.51% | 0.74% | 0.41% | 0.74% | 0.42% | 0.27% | 0.41% | 0.39% | 
| Configuration | SPL(Z) [dB]  | SPL[dB] Spectrogram Power  | SPL[dB] STFT from Spectrogram  | SPL[dB] Welch Periodogram  | SPL[dB] In-House  | 
|---|---|---|---|---|---|
| B | 118.49 | 118.49 | 118.75 | 118.49 | 118.49 | 
| E | 117.90 | 117.90 | 118.15 | 117.90 | 117.90 | 
| Type | SPL(Z) [dB]  | OASPL [dB(A)]  | SPL(C) [dB(C)]  | LAeq [dB(A)]  | LCeq  [dB(C)]  | LZmax [dB]  | LAmax [dB(A)]  | LCmax  [dB(C)]  | 
|---|---|---|---|---|---|---|---|---|
| B | 118.42 | 117.80 | 116.68 | 117.80 | 116.68 | 118.81 | 118.27 | 117.13 | 
| C | 116.89 | 116.37 | 115.34 | 116.37 | 115.33 | 117.75 | 117.40 | 116.31 | 
| % | 1.28% | 1.21% | 1.15% | 1.21% | 1.15% | 0.89% | 0.73% | 0.70% | 
| Type | SPL(Z) [dB]  | SPL [dB] Spectrogram Power  | SPL [dB] STFT from Spectrogram  | SPL[dB] Welch Periodogram  | SPL [dB] In-House  | 
|---|---|---|---|---|---|
| B | 118.42 | 118.42 | 118.67 | 118.42 | 118.42 | 
| C | 116.89 | 116.88 | 117.14 | 116.88 | 116.88 | 
Disclaimer/Publisher’s Note: The statements, opinions and data contained in all publications are solely those of the individual author(s) and contributor(s) and not of MDPI and/or the editor(s). MDPI and/or the editor(s) disclaim responsibility for any injury to people or property resulting from any ideas, methods, instructions or products referred to in the content.  | 
© 2025 by the authors. Licensee MDPI, Basel, Switzerland. This article is an open access article distributed under the terms and conditions of the Creative Commons Attribution (CC BY) license (https://creativecommons.org/licenses/by/4.0/).
Share and Cite
Bogoi, A.; Cican, G.; Gall, M.; Totu, A.; Crunțeanu, D.E.; Levențiu, C. Comparative Study of Noise Control in Micro Turbojet Engines with Chevron and Ejector Nozzles Through Statistical, Acoustic and Imaging Insight. Appl. Sci. 2025, 15, 394. https://doi.org/10.3390/app15010394
Bogoi A, Cican G, Gall M, Totu A, Crunțeanu DE, Levențiu C. Comparative Study of Noise Control in Micro Turbojet Engines with Chevron and Ejector Nozzles Through Statistical, Acoustic and Imaging Insight. Applied Sciences. 2025; 15(1):394. https://doi.org/10.3390/app15010394
Chicago/Turabian StyleBogoi, Alina, Grigore Cican, Mihnea Gall, Andrei Totu, Daniel Eugeniu Crunțeanu, and Constantin Levențiu. 2025. "Comparative Study of Noise Control in Micro Turbojet Engines with Chevron and Ejector Nozzles Through Statistical, Acoustic and Imaging Insight" Applied Sciences 15, no. 1: 394. https://doi.org/10.3390/app15010394
APA StyleBogoi, A., Cican, G., Gall, M., Totu, A., Crunțeanu, D. E., & Levențiu, C. (2025). Comparative Study of Noise Control in Micro Turbojet Engines with Chevron and Ejector Nozzles Through Statistical, Acoustic and Imaging Insight. Applied Sciences, 15(1), 394. https://doi.org/10.3390/app15010394
        
