A Novel Hybrid Die Design for Enhanced Grain Refinement: Vortex Extrusion–Equal-Channel Angular Pressing (Vo-CAP)
Abstract
1. Introduction
2. Materials and Method
2.1. Materials
2.1.1. Workpiece Material
2.1.2. Die and Other Components Materials
2.2. Die Design
2.3. Finite Element Analysis (FEA)
2.4. Optimization of Die Design
2.4.1. Optimization Objectives
2.4.2. Design of Experiments
2.4.3. Artificial Neural Network (ANN)
2.4.4. Non-Dominated Sorting Genetic Algorithm II (NSGA-II)
2.5. Experimental Setup
2.6. Mechanical Property Investigations
2.6.1. Hardness Tests
2.6.2. Tensile Tests
2.7. Microstructural Analysis
Optical Microscopy
3. Results and Discussion
3.1. Fem Results
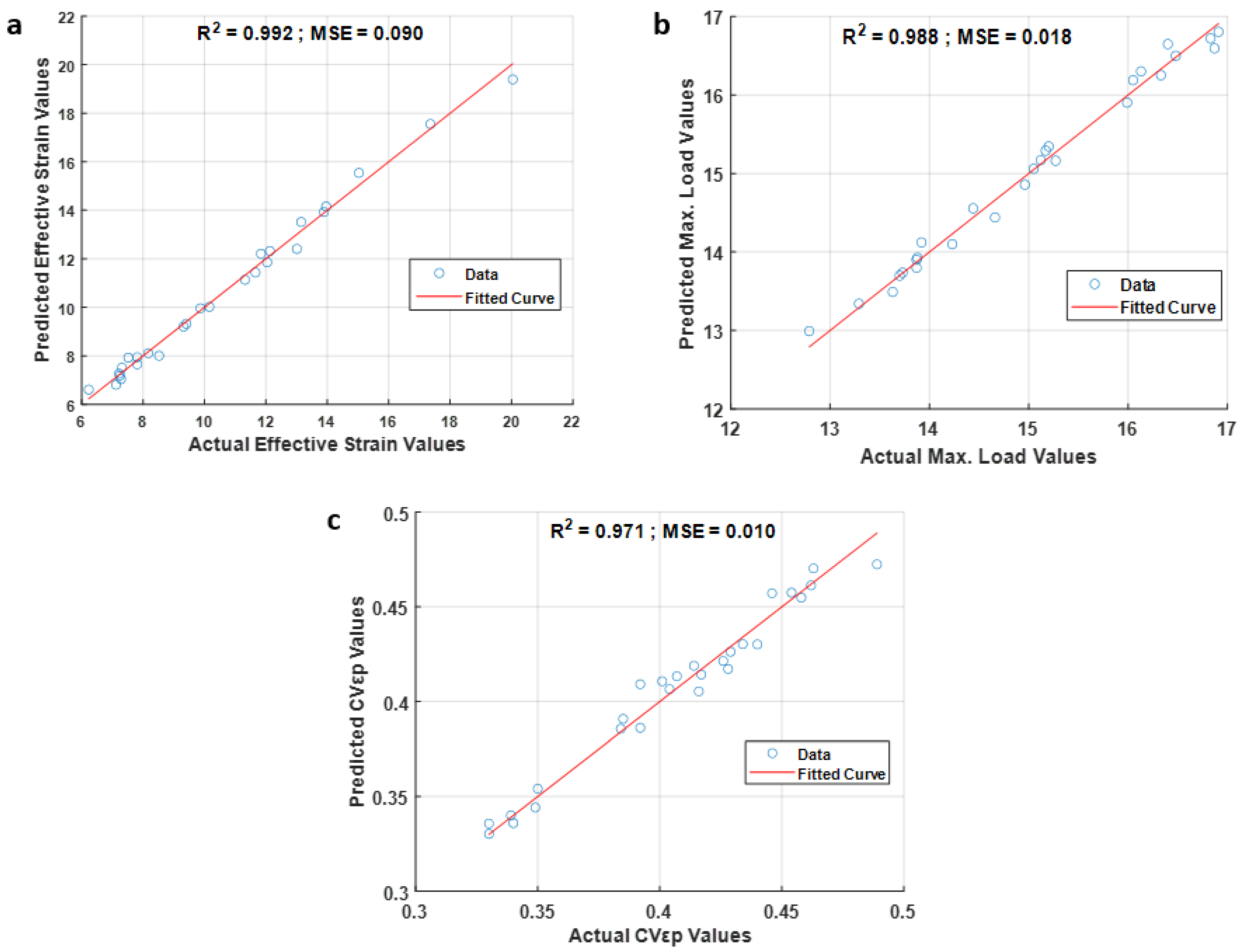
3.2. Optimization Results
3.3. Experimental Results
3.4. Mechanical Property Investigation Results
3.4.1. Hardness Test Results
3.4.2. Tensile Test Results
3.5. Microstructural Characterization Results
Optical Microscopy Characterization
4. Conclusions
- Hardness increased to 113.2 HV, representing a twofold improvement compared to the annealed state;
- Ultimate tensile strength reached 415.75 MPa, and yield strength increased to 248 MPa;
- Material toughness was improved compared to the annealed state, demonstrating an enhanced energy absorption capability;
- OM images clearly show the homogeneous distribution of the annealed material. In addition, orientations were clearly seen in the OM images obtained as a result of the Vo-CAP process. Since the OM images were adequate to see a grain size reduction and grain orientations, another detailed microstructural analysis was not required in this study;
- The strain distribution showed improved homogeneity across the processed workpieces;
- The single-pass processing capability reduced processing time and energy consumption;
- The assembly and operation were simplified through the innovative conical die design.
Author Contributions
Funding
Institutional Review Board Statement
Informed Consent Statement
Data Availability Statement
Conflicts of Interest
References
- Huang, Y.; Langdon, T.G. Advances in ultrafine-grained materials. Mater. Today 2013, 16, 85–93. [Google Scholar] [CrossRef]
- Valiev, R.Z.; Islamgaliev, R.K.; Alexandrov, I.V. Bulk nanostructured materials from severe plastic deformation. Prog. Mater. Sci. 2000, 45, 103–189. [Google Scholar] [CrossRef]
- Hall, E. The deformation and ageing of mild steel: III discussion of results. Proc. Phys. Society. Sect. B 1951, 64, 747. [Google Scholar] [CrossRef]
- Petch, N.J. The cleavage strength of polycrystals. J. Iron Steel Inst. 1953, 174, 25–28. [Google Scholar]
- Segal, V. Plastic working of metals by simple shear. Russ. Metall. (Engl. Transl.) 1981, 1, 99. [Google Scholar]
- Valiev, R.Z.; Langdon, T.G. Principles of equal-channel angular pressing as a processing tool for grain refinement. Prog. Mater. Sci. 2006, 51, 881–981. [Google Scholar] [CrossRef]
- Purcek, G.; Saray, O.; Kul, O.; Karaman, I.; Yapici, G.; Haouaoui, M.; Maier, H. Mechanical and wear properties of ultrafine-grained pure Ti produced by multi-pass equal-channel angular extrusion. Mater. Sci. Eng. A 2009, 517, 97–104. [Google Scholar] [CrossRef]
- Şahbaz, M.; Kaya, H.; Kentli, A.; Uçar, M.; Öğüt, S.; Özbeyaz, K. Analytical and numerical analysis comparison of equal channel angular pressing for Al5083 alloy. Adv. Sci. Eng. Med. 2019, 11, 1100–1103. [Google Scholar] [CrossRef]
- Kaya, H.; Özbeyaz, K.; Kentli, A. Mechanical property improvement of a AA6082 alloy by the TV-CAP process as a novel SPD method. Mater. Test. 2023, 65, 244–257. [Google Scholar] [CrossRef]
- Özbeyaz, K.; Kaya, H.; Kentli, A. Novel SPD method: Twisted variable channel angular extrusion. Met. Mater. Int. 2022, 28, 1290–1305. [Google Scholar] [CrossRef]
- Valiev, R.; Kuznetsov, O.; Musalimov, R.S.; Tsenev, N. Low-temperature superplasticity of metallic materials. Dokl. Akad. Nauk. SSSR. 1988, 301, 864–866. [Google Scholar]
- Zhilyaev, A.P.; Langdon, T.G. Using high-pressure torsion for metal processing: Fundamentals and applications. Prog. Mater. Sci. 2008, 53, 893–979. [Google Scholar] [CrossRef]
- Saito, Y.; Utsunomiya, H.; Tsuji, N.; Sakai, T. Novel ultra-high straining process for bulk materials—Development of the accumulative roll-bonding (ARB) process. Acta Mater. 1999, 47, 579–583. [Google Scholar] [CrossRef]
- Tsuji, N.; Saito, Y.; Lee, S.H.; Minamino, Y. ARB (Accumulative Roll-Bonding) and other new techniques to produce bulk ultrafine grained materials. Adv. Eng. Mater. 2003, 5, 338–344. [Google Scholar] [CrossRef]
- Derakhshan, J.F.; Parsa, M.; Jafarian, H. Microstructure and mechanical properties variations of pure aluminum subjected to one pass of ECAP-Conform process. Mater. Sci. Eng. A 2019, 747, 120–129. [Google Scholar] [CrossRef]
- Ghaforian Nosrati, H.; Khalili, K.; Gerdooei, M. Theoretical and numerical investigation of required torque in ECAP-Conform process. Metall. Mater. Trans. B 2020, 51, 519–528. [Google Scholar] [CrossRef]
- Xu, C.; Schroeder, S.; Berbon, P.B.; Langdon, T.G. Principles of ECAP–Conform as a continuous process for achieving grain refinement: Application to an aluminum alloy. Acta Mater. 2010, 58, 1379–1386. [Google Scholar] [CrossRef]
- Mckenzie, P.W.J.; Lapovok, R.; Estrin, Y. The influence of back pressure on ECAP processed AA 6016: Modeling and experiment. Acta Mater. 2007, 55, 2985–2993. [Google Scholar] [CrossRef]
- Stolyarov, V.; Lapovok, R. Effect of backpressure on structure and properties of AA5083 alloy processed by ECAP. J. Alloys Compd. 2004, 378, 233–236. [Google Scholar] [CrossRef]
- Nishida, Y.; Arima, H.; Kim, J.-C.; Ando, T. Rotary-die equal-channel angular pressing of an Al–7 mass% Si–0.35 mass% Mg alloy. Scr. Mater. 2001, 45, 261–266. [Google Scholar] [CrossRef]
- Qarni, M.J.; Sivaswamy, G.; Rosochowski, A.; Boczkal, S. Effect of incremental equal channel angular pressing (I-ECAP) on the microstructural characteristics and mechanical behaviour of commercially pure titanium. Mater. Des. 2017, 122, 385–402. [Google Scholar] [CrossRef]
- Öğüt, S.; Kaya, H.; Kentli, A.; Uçar, M. Applying hybrid equal channel angular pressing (HECAP) to pure copper using optimized Exp.-ECAP die. Int. J. Adv. Manuf. Technol. 2021, 116, 3859–3876. [Google Scholar] [CrossRef]
- Shahbaz, M.; Ebrahimi, R.; Kim, H. Streamline approach to die design and investigation of material flow during the vortex extrusion process. Appl. Math. Model. 2016, 40, 3550–3560. [Google Scholar] [CrossRef]
- Shahbaz, M.; Pardis, N.; Ebrahimi, R.; Talebanpour, B. A novel single pass severe plastic deformation technique: Vortex extrusion. Mater. Sci. Eng. A 2011, 530, 469–472. [Google Scholar] [CrossRef]
- Shahbaz, M.; Pardis, N.; Kim, J.; Ebrahimi, R.; Kim, H. Experimental and finite element analyses of plastic deformation behavior in vortex extrusion. Mater. Sci. Eng. A 2016, 674, 472–479. [Google Scholar] [CrossRef]
- Ranjbari, G.; Doniavi, A.; Shahbaz, M. Numerical modelling and simulation of vortex extrusion as a severe plastic deformation technique using response surface methodology and finite element analysis. Met. Mater. Int. 2021, 27, 2898–2909. [Google Scholar] [CrossRef]
- Pardis, N.; Ebrahimi, R. Deformation behavior in Simple Shear Extrusion (SSE) as a new severe plastic deformation technique. Mater. Sci. Eng. A 2009, 527, 355–360. [Google Scholar] [CrossRef]
- Pardis, N.; Ebrahimi, R. Different processing routes for deformation via simple shear extrusion (SSE). Mater. Sci. Eng. A 2010, 527, 6153–6156. [Google Scholar] [CrossRef]
- Ebrahimi, M.; Djavanroodi, F. Experimental and numerical analyses of pure copper during ECFE process as a novel severe plastic deformation method. Prog. Nat. Sci. Mater. Int. 2014, 24, 68–74. [Google Scholar] [CrossRef]
- Ebrahimi, M.; Tiji, S.N.; Djavanroodi, F. Upper bound solution of equal channel forward extrusion process as a new severe plastic deformation method. Metall. Res. Technol. 2015, 112, 609. [Google Scholar] [CrossRef]
- Chen, Q.; Zhao, Z.; Zhao, Z.; Hu, C.; Shu, D. Microstructure development and thixoextrusion of magnesium alloy prepared by repetitive upsetting-extrusion. J. Alloys Compd. 2011, 509, 7303–7315. [Google Scholar] [CrossRef]
- Lianxi, H.; Yuping, L.; Erde, W.; Yang, Y. Ultrafine grained structure and mechanical properties of a LY12 Al alloy prepared by repetitive upsetting-extrusion. Mater. Sci. Eng. A 2006, 422, 327–332. [Google Scholar] [CrossRef]
- Landgrebe, D.; Sterzing, A.; Schubert, N.; Bergmann, M. Influence of die geometry on performance in gradation extrusion using numerical simulation and analytical calculation. CIRP Ann. 2016, 65, 269–272. [Google Scholar] [CrossRef]
- Neugebauer, R.; Sterzing, A.; Selbmann, R.; Zachäus, R.; Bergmann, M. Gradation extrusion–Severe plastic deformation with defined gradient. Mater. Werkst. 2012, 43, 582–588. [Google Scholar] [CrossRef]
- Kaya, H.; Uçar, M.; Şahbaz, M.; Kentli, A.; Özbeyaz, K.; Öğüt, S. Microstructure development and mechanical behaviour of pure copper processed by the novel TWO-CAP procedure. Mater. Test. 2023, 65, 1209–1221. [Google Scholar] [CrossRef]
- Şahbaz, M.; Kaya, H.; Kentli, A. A new severe plastic deformation method: Thin-walled open channel angular pressing (TWO-CAP). Int. J. Adv. Manuf. Technol. 2020, 106, 1487–1496. [Google Scholar] [CrossRef]
- Şahbaz, M.; Kentli, A.; Kaya, H. Performance of novel TWO-CAP (thin-walled open channel angular pressing) method on AA5083. Met. Mater. Int. 2021, 27, 2430–2437. [Google Scholar] [CrossRef]
- Bisadi, H.; Mohamadi, M.R.; Miyanaji, H.; Abdoli, M. A modification on ECAP process by incorporating twist channel. J. Mater. Eng. Perform. 2013, 22, 875–881. [Google Scholar] [CrossRef]
- Mani, B.; Paydar, M. Application of forward extrusion-equal channel angular pressing (FE-ECAP) in fabrication of aluminum metal matrix composites. J. Alloys Compd. 2010, 492, 116–121. [Google Scholar] [CrossRef]
- Paydar, M.; Reihanian, M.; Bagherpour, E.; Sharifzadeh, M.; Zarinejad, M.; Dean, T. Consolidation of Al particles through forward extrusion-equal channel angular pressing (FE-ECAP). Mater. Lett. 2008, 62, 3266–3268. [Google Scholar] [CrossRef]
- Khelfa, T.; Muñoz-Bolaños, J.A.; Li, F.; Cabrera-Marrero, J.M.; Khitouni, M. Microstructure and mechanical properties of AA6082-T6 by ECAP under warm processing. Met. Mater. Int. 2020, 26, 1247–1261. [Google Scholar] [CrossRef]
- Baig, M.; El-Danaf, E.; Mohammed, J.A. A Study on the Synergistic Effect of ECAP and Aging Treatment on the Mechanical Properties of AA6082. J. Mater. Eng. Perform. 2016, 25, 5252–5261. [Google Scholar] [CrossRef]
- Balasubramanian, M.; Sadasivan, N.; Murali, S. Influence of processing route on bonding of AA6082 and MgAZ31B by severe plastic deformation process. Mater. Today Proc. 2021, 46, 3716–3722. [Google Scholar] [CrossRef]
- Agarwal, K.M.; Singh, P.; Dixit, S.; Sergeevna, M.T.; Soloveva, O.; Solovev, S.; Kumar, K. Optimization of die design parameters in ECAP for sustainable manufacturing using response surface methodology. Int. J. Interact. Des. Manuf. (IJIDeM) 2024, 18, 2903–2910. [Google Scholar] [CrossRef]
- Xu, S.; Zhao, G.; Ma, X.; Ren, G. Finite element analysis and optimization of equal channel angular pressing for producing ultra-fine grained materials. J. Mater. Process. Technol. 2007, 184, 209–216. [Google Scholar] [CrossRef]
- Wang, C.; Yoon, K. Multiple attribute decision making. Lect. Notes Econ. Math. Syst. 1981, 404, 287–288. [Google Scholar]
- Karabey, Ö. Design, Finite Element Analysis and Optimization of Helical Angular Pressing (HAP) Method as a Novel SPD Technique. Bitlis Eren Üniversitesi Fen Bilim. Derg. 2023, 12, 959–968. [Google Scholar] [CrossRef]
- Tkocz, M.; Kowalczyk, K.; Bulzak, T.; Jabłońska, M.B.; Hawryluk, M. Finite element analysis of material deformation behaviour during DRECE: The sheet metal SPD process. Arch. Civ. Mech. Eng. 2023, 23, 145. [Google Scholar] [CrossRef]
- Zhang, D.; Hu, H.; Pan, F.; Yang, M.; Zhang, J. Numerical and physical simulation of new SPD method combining extrusion and equal channel angular pressing for AZ31 magnesium alloy. Trans. Nonferrous Met. Soc. China 2010, 20, 478–483. [Google Scholar] [CrossRef]
- Öğüt, S.; Kaya, H.; Kentli, A.; ÖzBeYAz, K.; Şahbaz, M.; Uçar, M. Investigation of strain inhomogeneity in hexa-ECAP processed AA7075. Arch. Metall. Mater. 2021, 66, 431–436. [Google Scholar] [CrossRef]
- Eivani, A.R.; Rahimi, F. Inhomogeneity in deformation, microstructure, tensile properties and damage development in AA1050 during multiple cycles of pure shear extrusion. Mater. Sci. Eng. A 2019, 745, 159–167. [Google Scholar] [CrossRef]
- Fatemi-Varzaneh, S.; Zarei-Hanzaki, A.; Vaghar, R.; Cabrera, J. The origin of microstructure inhomogeneity in Mg–3Al–1Zn processed by severe plastic deformation. Mater. Sci. Eng. A 2012, 551, 128–132. [Google Scholar] [CrossRef]
- Basavaraj, V.P.; Chakkingal, U.; Kumar, T.P. Study of channel angle influence on material flow and strain inhomogeneity in equal channel angular pressing using 3D finite element simulation. J. Mater. Process. Technol. 2009, 209, 89–95. [Google Scholar] [CrossRef]
- Bakhtiari, H.; Karimi, M.; Rezazadeh, S. Modeling, analysis and multi-objective optimization of twist extrusion process using predictive models and meta-heuristic approaches, based on finite element results. J. Intell. Manuf. 2016, 27, 463–473. [Google Scholar] [CrossRef]
- Lotfan, S.; Ghiasi, R.A.; Fallah, M.; Sadeghi, M. ANN-based modeling and reducing dual-fuel engine’s challenging emissions by multi-objective evolutionary algorithm NSGA-II. Appl. Energy 2016, 175, 91–99. [Google Scholar] [CrossRef]
- Moré, J.J. The Levenberg-Marquardt algorithm: Implementation and theory. In Numerical Analysis: Proceedings of the Biennial Conference Held at Dundee, Dundee, Scotland, 28 June–1 July 1977; Springer: Berlin/Heidelberg, Germany; pp. 105–116.
- Deb, K.; Pratap, A.; Agarwal, S.; Meyarivan, T. A fast and elitist multiobjective genetic algorithm: NSGA-II. IEEE Trans. Evol. Comput. 2002, 6, 182–197. [Google Scholar] [CrossRef]
- Maganti, N.R.; Kumar, K.N. Effect of equal channel angular pressing process on the hardness and microstructure of copper and Al-6082 alloy: A preliminary investigation. Mater. Today Proc. 2017, 4, 8400–8408. [Google Scholar] [CrossRef]
- El-Danaf, E.A. Mechanical properties, microstructure and texture of single pass equal channel angular pressed 1050, 5083, 6082 and 7010 aluminum alloys with different dies. Mater. Des. 2011, 32, 3838–3853. [Google Scholar] [CrossRef]
- Özdoğru, E.F.; KAYALI, E.S. Eş kanallı açısal pres yöntemiyle üretilen Zr ve Sc ile modifiye edilmiş AA 6082 alüminyum alaşımının karakterizasyonu. İtüdergİsİ/D 2011, 10, 99–106. [Google Scholar]
- Dadbakhsh, S.; Taheri, A.K.; Smith, C. Strengthening study on 6082 Al alloy after combination of aging treatment and ECAP process. Mater. Sci. Eng. A 2010, 527, 4758–4766. [Google Scholar] [CrossRef]
- Winter, L.; Hockauf, K.; Winter, S.; Lampke, T. Equal-channel angular pressing influencing the mean stress sensitivity in the high cycle fatigue regime of the 6082 aluminum alloy. Mater. Sci. Eng. A 2020, 795, 140014. [Google Scholar] [CrossRef]
- Öğüt, S. İnvestigation on Mechanical Properties of Magnesium and Copper Alloys Processed by Expansion Equal Channel Angular Extrusion. Doctoral Thesis, Marmara Universitesi, İstanbul, Turkey, 2021. [Google Scholar]





















| Elements | Si | Mg | Mn | Fe | Cr | Cu | Zn | Al |
|---|---|---|---|---|---|---|---|---|
| Weight (%) | 1.2 | 0.78 | 0.5 | 0.3 | 0.14 | 0.08 | 0.05 | balance |
| Design Variables | Range | Unit | Symbol |
|---|---|---|---|
| Twist angle | [30°–180] | ° | β |
| Twist length | [10–40] | mm | TL |
| Transition Channel Length | [10–50] | mm | TCL |
| Case Num. | Variables | Objectives | ||||
|---|---|---|---|---|---|---|
| β | TL | TCL | ε̅ | ML | CVεp | |
| case 1 | 30 | 10 | 10 | 11.84 | 12.79 | 0.434 |
| case 2 | 30 | 10 | 25 | 11.66 | 13.29 | 0.440 |
| case 3 | 30 | 10 | 50 | 9.32 | 13.87 | 0.350 |
| case 4 | 30 | 20 | 10 | 11.32 | 13.63 | 0.429 |
| case 5 | 30 | 20 | 25 | 9.41 | 13.7 | 0.414 |
| case 6 | 30 | 20 | 50 | 6.23 | 13.88 | 0.330 |
| case 7 | 30 | 40 | 10 | 7.81 | 14.96 | 0.407 |
| case 8 | 30 | 40 | 25 | 7.22 | 15.05 | 0.416 |
| case 9 | 30 | 40 | 50 | 7.12 | 15.27 | 0.330 |
| case 10 | 90 | 10 | 10 | 13.15 | 13.73 | 0.401 |
| case 11 | 90 | 10 | 25 | 12.13 | 14.23 | 0.392 |
| case 12 | 90 | 10 | 50 | 9.87 | 14.44 | 0.349 |
| case 13 | 90 | 20 | 10 | 12.04 | 13.87 | 0.428 |
| case 14 | 90 | 20 | 25 | 10.16 | 13.92 | 0.404 |
| case 15 | 90 | 20 | 50 | 8.17 | 14.66 | 0.340 |
| case 16 | 90 | 40 | 10 | 7.31 | 15.12 | 0.426 |
| case 17 | 90 | 40 | 25 | 7.28 | 15.17 | 0.417 |
| case 18 | 90 | 40 | 50 | 7.25 | 15.2 | 0.339 |
| case 19 | 180 | 10 | 10 | 20.04 | 16.05 | 0.463 |
| case 20 | 180 | 10 | 25 | 17.36 | 16.87 | 0.489 |
| case 21 | 180 | 10 | 50 | 13.96 | 16.91 | 0.385 |
| case 22 | 180 | 20 | 10 | 15.03 | 15.99 | 0.462 |
| case 23 | 180 | 20 | 25 | 13.89 | 16.13 | 0.446 |
| case 24 | 180 | 20 | 50 | 13.01 | 16.4 | 0.392 |
| case 25 | 180 | 40 | 10 | 8.52 | 16.33 | 0.454 |
| case 26 | 180 | 40 | 25 | 7.81 | 16.48 | 0.458 |
| case 27 | 180 | 40 | 50 | 7.52 | 16.83 | 0.384 |
| Sample | YS (MPa) | UTS (MPa) | Elongation at Break (%) | Hardness (HV) | Toughness MJ/m3 |
|---|---|---|---|---|---|
| Annealed AA6082 | 92 | 143.94 | 22.43 | 49.5 | 27.74 |
| Vo-CAP AA6082 | 248 | 415.75 | 8.12 | 113.2 | 30.09 |
Disclaimer/Publisher’s Note: The statements, opinions and data contained in all publications are solely those of the individual author(s) and contributor(s) and not of MDPI and/or the editor(s). MDPI and/or the editor(s) disclaim responsibility for any injury to people or property resulting from any ideas, methods, instructions or products referred to in the content. |
© 2025 by the authors. Licensee MDPI, Basel, Switzerland. This article is an open access article distributed under the terms and conditions of the Creative Commons Attribution (CC BY) license (https://creativecommons.org/licenses/by/4.0/).
Share and Cite
Beytüt, H.; Özbeyaz, K.; Temiz, Ş. A Novel Hybrid Die Design for Enhanced Grain Refinement: Vortex Extrusion–Equal-Channel Angular Pressing (Vo-CAP). Appl. Sci. 2025, 15, 359. https://doi.org/10.3390/app15010359
Beytüt H, Özbeyaz K, Temiz Ş. A Novel Hybrid Die Design for Enhanced Grain Refinement: Vortex Extrusion–Equal-Channel Angular Pressing (Vo-CAP). Applied Sciences. 2025; 15(1):359. https://doi.org/10.3390/app15010359
Chicago/Turabian StyleBeytüt, Hüseyin, Kerim Özbeyaz, and Şemsettin Temiz. 2025. "A Novel Hybrid Die Design for Enhanced Grain Refinement: Vortex Extrusion–Equal-Channel Angular Pressing (Vo-CAP)" Applied Sciences 15, no. 1: 359. https://doi.org/10.3390/app15010359
APA StyleBeytüt, H., Özbeyaz, K., & Temiz, Ş. (2025). A Novel Hybrid Die Design for Enhanced Grain Refinement: Vortex Extrusion–Equal-Channel Angular Pressing (Vo-CAP). Applied Sciences, 15(1), 359. https://doi.org/10.3390/app15010359

