You Only Attack Once: Single-Step DeepFool Algorithm
Abstract
1. Introduction
- As shown in Figure 1, We enhanced the DeepFool algorithm by computing the gradient information of each class in input samples and comparing these gradient differences with the true class that generates adversarial samples in a single iteration, achieving a significant 68% increase in the success rate of adversarial sample generation compared to the original algorithm.
- We demonstrated through experiments that the algorithm has a simpler time complexity than the DeepFool algorithm. By conducting comparative experiments with other related research, we showed that the YOAO algorithm exhibits superior attack efficiency and is more effective at misleading various deep neural networks into misclassification.
2. Related Works
2.1. Adversarial Attacks
2.2. Adversarial Defense
3. Method
3.1. Introduction to the Primitive Method
3.1.1. Mathematical Representation of Adversarial Examples
3.1.2. The Relationship Between Adversarial Examples and Decision Boundaries
3.1.3. Introduction to the DeepFool Algorithm
3.2. Algorithm Improvement
Search for the Sample Point Closest to the Decision Boundary
| Algorithm 1 DeepFool algorithm determining the magnitude and direction of perturbations by calculating the minimum distance from the input sample to the nearest decision boundary |
|
| Algorithm 2 YOAO algorithm, based on DeepFool algorithm, optimizes the direction of searching for perturbations through gradient difference information |
|
4. Experiments
4.1. Datasets
4.2. Experimental Settings
4.3. Evaluation Metrics
4.4. Experimental Results
4.4.1. Experimental Comparison with Classical Algorithms
4.4.2. Performance Comparison Between the YOAO (You Only Attack Once) Algorithm and the DeepFool Algorithm
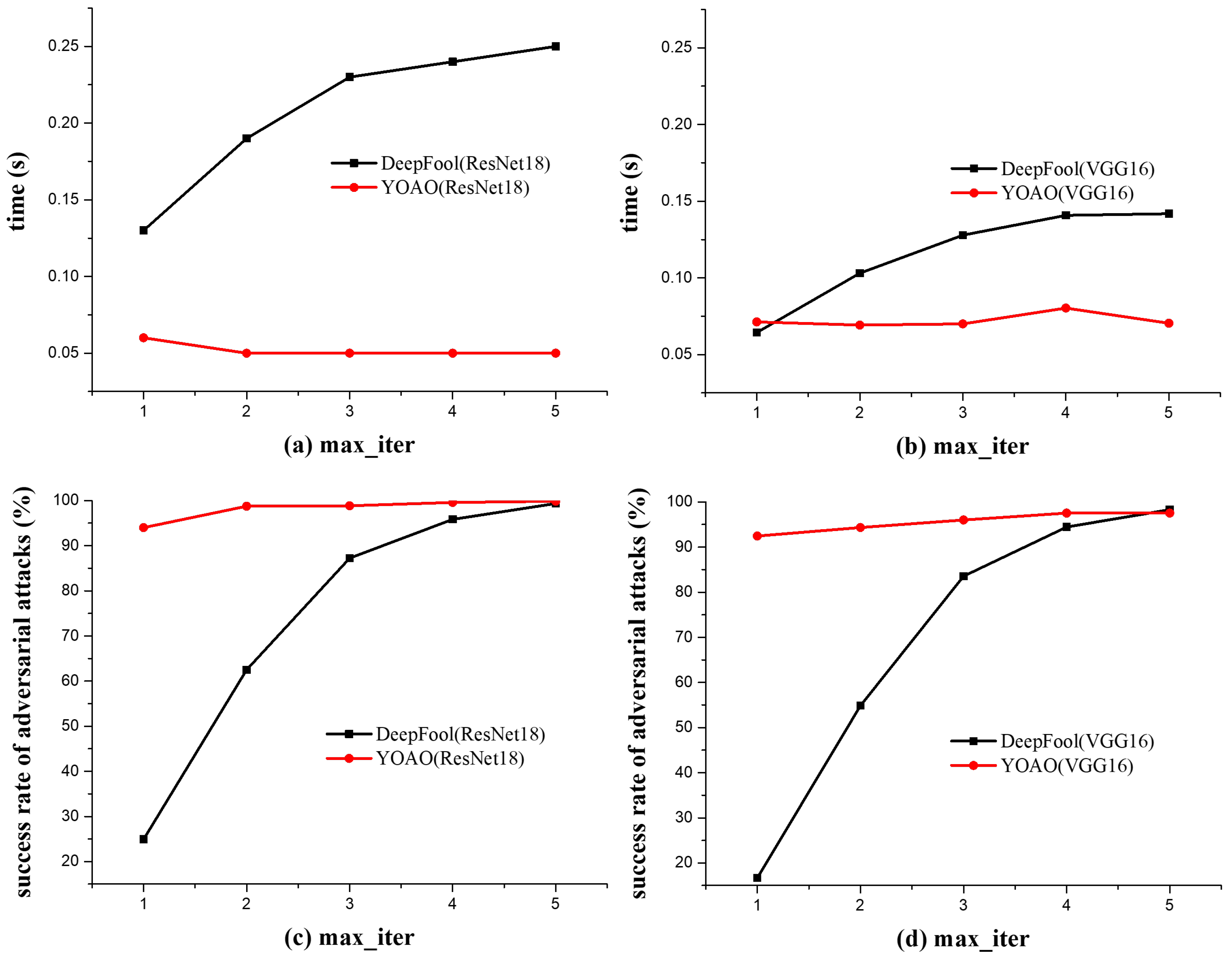
4.4.3. Performance Variation in YOAO and DeepFool Algorithms Under Different Parameters
4.4.4. Visualization of Adversarial Samples Generated by YOAO and DeepFool Algorithm
5. Discussion and Future Work
5.1. Discussion on Experiments
5.2. Discussion on the Model
5.3. Limitations and Future Works
6. Conclusions
Author Contributions
Funding
Institutional Review Board Statement
Informed Consent Statement
Data Availability Statement
Conflicts of Interest
References
- Jumaatuden, D.M.H.; Ali, M.A.M.; Isa, H.N. Balancing Efficiency and Effectiveness: Adversarial Example Generation in Pneumonia Detection. In Proceedings of the 2024 IEEE Symposium on Wireless Technology & Applications (ISWTA), Kuala Lumpur, Malaysia, 20–21 July 2024; pp. 206–210. [Google Scholar] [CrossRef]
- Vyas, D.; Kapadia, V.V. Designing defensive techniques to handle adversarial attack on deep learning based model. PeerJ Comput. Sci. 2024, 10, e1868. [Google Scholar] [CrossRef]
- Wang, C.; Rahman, A. Quantum-Enabled 6G Wireless Networks: Opportunities and Challenges. IEEE Wirel. Commun. 2022, 29, 58–69. [Google Scholar] [CrossRef]
- Rozenman, G.G.; Kundu, N.K.; Liu, R.; Zhang, L.; Maslennikov, A.; Reches, Y.; Youm, H.Y. The quantum internet: A synergy of quantum information technologies and 6G networks. IET Quantum Commun. 2023, 4, 147–166. [Google Scholar] [CrossRef]
- Moosavi-Dezfooli, S.M.; Fawzi, A.; Frossard, P. Deepfool: A simple and accurate method to fool deep neural networks. In Proceedings of the IEEE Conference on Computer Vision and Pattern Recognition, Las Vegas, NV, USA, 26 June–1 July 2016; pp. 2574–2582. Available online: https://openaccess.thecvf.com/content_cvpr_2016/html/Moosavi-Dezfooli_DeepFool_A_Simple_CVPR_2016_paper.html (accessed on 28 December 2024).
- Chakraborty, A.; Alam, M.; Dey, V.; Chattopadhyay, A.; Mukhopadhyay, D. A survey on adversarial attacks and defences. CAAI Trans. Intell. Technol. 2021, 6, 25–45. [Google Scholar] [CrossRef]
- Goodfellow, I.J.; Shlens, J.; Szegedy, C. Explaining and harnessing adversarial examples. arXiv 2015, arXiv:1412.6572. [Google Scholar]
- Kurakin, A.; Goodfellow, I.; Bengio, S. Adversarial machine learning at scale. arXiv 2017, arXiv:1611.01236. [Google Scholar]
- Naseem, M.L. Trans-IFFT-FGSM: A novel fast gradient sign method for adversarial attacks. Multimed. Tools Appl. 2024, 83, 72279–72299. [Google Scholar] [CrossRef]
- Moosavi-Dezfooli, S.M.; Fawzi, A.; Fawzi, O.; Frossard, P. Universal adversarial perturbations. In Proceedings of the IEEE Conference on Computer Vision and Pattern Recognition, Honolulu, HI, USA, 21–26 July 2017; pp. 1765–1773. Available online: https://openaccess.thecvf.com/content_cvpr_2017/html/Moosavi-Dezfooli_Universal_Adversarial_Perturbations_CVPR_2017_paper.html (accessed on 28 December 2024).
- Gajjar, S.; Hati, A.; Bhilare, S.; Mandal, S. Generating Targeted Adversarial Attacks and Assessing their Effectiveness in Fooling Deep Neural Networks. In Proceedings of the 2022 IEEE International Conference on Signal Processing and Communications (SPCOM), Bangalore, India, 11–15 July 2022; pp. 1–5. [Google Scholar] [CrossRef]
- Labib, S.; Mondal, J.J.; Manab, M.A. Tailoring Adversarial Attacks on Deep Neural Networks for Targeted Class Manipulation Using DeepFool Algorithm. arXiv 2024, arXiv:2310.13019. [Google Scholar]
- Ling, J.; Chen, X.; Luo, Y. Improving the transferability of adversarial samples with channel switching. Appl. Intell. 2023, 53, 30580–30592. [Google Scholar] [CrossRef]
- Costa, J.C.; Roxo, T.; Proença, H.; Inácio, P.R. How deep learning sees the world: A survey on adversarial attacks & defenses. IEEE Access 2024, 12, 61113–61136. [Google Scholar] [CrossRef]
- Deng, Y.; Mu, T. Understanding and improving ensemble adversarial defense. Adv. Neural Inf. Process. Syst. 2024, 36, 58075–58087. Available online: https://proceedings.neurips.cc/paper_files/paper/2023/file/b589d92785e39486e978fa273d0dc343-Paper-Conference.pdf (accessed on 28 December 2024).
- Szegedy, C.; Zaremba, W.; Sutskever, I.; Bruna, J.; Erhan, D.; Goodfellow, I.; Fergus, R. Intriguing properties of neural networks. arXiv 2014, arXiv:1312.6199. [Google Scholar]
- Qin, C.; Martens, J.; Gowal, S.; Krishnan, D.; Dvijotham, K.; Fawzi, A.; De, S.; Stanforth, R.; Kohli, P. Adversarial robustness through local linearization. Adv. Neural Inf. Process. Syst. 2019, 32, 13824–13833. Available online: https://proceedings.neurips.cc/paper_files/paper/2019/file/0defd533d51ed0a10c5c9dbf93ee78a5-Paper.pdf (accessed on 28 December 2024).
- Najafi, A.; Maeda, S.I.; Koyama, M.; Miyato, T. Robustness to adversarial perturbations in learning from incomplete data. Adv. Neural Inf. Process. Syst. 2019, 32, 5541–5551. Available online: https://proceedings.neurips.cc/paper_files/paper/2019/file/60ad83801910ec976590f69f638e0d6d-Paper.pdf (accessed on 28 December 2024).
- Kuang, H.; Liu, H.; Lin, X.; Ji, R. Defense against adversarial attacks using topology aligning adversarial training. IEEE Trans. Inf. Forensics Secur. 2024, 19, 3659–3673. [Google Scholar] [CrossRef]
- Shi, C.; Liu, Y.; Zhao, M.; Pun, C.M.; Miao, Q. Attack-invariant attention feature for adversarial defense in hyperspectral image classification. Pattern Recognit. 2024, 145, 109955. [Google Scholar] [CrossRef]
- Jung, S.; Chung, M.; Shin, Y.G. Adversarial example denoising and detection based on the consistency between Fourier-transformed layers. Neurocomputing 2024, 606, 128351. [Google Scholar] [CrossRef]
- Shi, L.; Liu, W. Adversarial self-training improves robustness and generalization for gradual domain adaptation. Adv. Neural Inf. Process. Syst. 2024, 36, 37321–37333. Available online: https://proceedings.neurips.cc/paper_files/paper/2023/file/75b0edb869e2cd509d64d0e8ff446bc1-Paper-Conference.pdf (accessed on 28 December 2024).
- Russakovsky, O.; Deng, J.; Su, H.; Krause, J.; Satheesh, S.; Ma, S.; Huang, Z.; Karpathy, A.; Khosla, A.; Bernstein, M.; et al. Imagenet large scale visual recognition challenge. Int. J. Comput. Vis. 2015, 115, 211–252. [Google Scholar] [CrossRef]
- Krizhevsky, A.; Hinton, G. Learning Multiple Layers of Features from Tiny Images; University of Toronto: Toronto, ON, Canada, 2009; pp. 1–58. [Google Scholar]
- LeCun, Y.; Bottou, L.; Bengio, Y.; Haffner, P. Gradient-based learning applied to document recognition. Proc. IEEE 1998, 86, 2278–2324. [Google Scholar] [CrossRef]
- Mądry, A.; Makelov, A.; Schmidt, L.; Tsipras, D.; Vladu, A. Towards deep learning models resistant to adversarial attacks. Stat 2017, 1050, 1–27. [Google Scholar]
- Kurakin, A.; Goodfellow, I.J.; Bengio, S. Adversarial examples in the physical world. In Artificial Intelligence Safety and Security; Chapman and Hall/CRC: Boca Raton, FL, USA, 2018; pp. 99–112. Available online: https://www.taylorfrancis.com/chapters/edit/10.1201/9781351251389-8/adversarial-examples-physical-world-alexey-kurakin-ian-goodfellow-samy-bengio (accessed on 28 December 2024).
- Wong, E.; Rice, L.; Kolter, J.Z. Fast is better than free: Revisiting adversarial training. arXiv 2020, arXiv:2001.03994. [Google Scholar]
- Croce, F.; Hein, M. Reliable evaluation of adversarial robustness with an ensemble of diverse parameter-free attacks. In Proceedings of the International Conference on Machine Learning, Virtual, 13–18 July 2020; pp. 2206–2216. Available online: https://proceedings.mlr.press/v119/croce20b.html (accessed on 28 December 2024).
- Modas, A.; Moosavi-Dezfooli, S.M.; Frossard, P. Sparsefool: A few pixels make a big difference. In Proceedings of the IEEE/CVF Conference on Computer Vision and Pattern Recognition, Long Beach, CA, USA, 15–20 June 2019; pp. 9087–9096. Available online: https://openaccess.thecvf.com/content_CVPR_2019/html/Modas_SparseFool_A_Few_Pixels_Make_a_Big_Difference_CVPR_2019_paper.html (accessed on 28 December 2024).
- Su, J.; Vargas, D.V.; Sakurai, K. One pixel attack for fooling deep neural networks. IEEE Trans. Evol. Comput. 2019, 23, 828–841. [Google Scholar] [CrossRef]
- Pomponi, J.; Scardapane, S.; Uncini, A. Pixle: A fast and effective black-box attack based on rearranging pixels. In Proceedings of the 2022 International Joint Conference on Neural Networks (IJCNN), Padua, Italy, 18–23 July 2022; pp. 1–7. [Google Scholar] [CrossRef]
- Gao, L.; Zhang, Q.; Song, J.; Shen, H.T. Patch-wise++ perturbation for adversarial targeted attacks. arXiv 2020, arXiv:2012.15503. [Google Scholar]







| Algorithms | Datasets | Success Rate | L2 Norm | Steps | Time |
|---|---|---|---|---|---|
| PGD [26] | CIFAR-10 | 72.5% | 41.25 | 10 | 0.005 s |
| FGSM [7] | CIFAR-10 | 63.5% | 41.26 | 1 | 0.003 s |
| BIM [27] | CIFAR-10 | 55.2% | 17.49 | 10 | 0.004 s |
| FFGSM [28] | CIFAR-10 | 72.1% | 41.25 | 1 | 0.003 s |
| APGD [29] | CIFAR-10 | 58.19% | 10.42 | 10 | 0.004 s |
| Sparsefool [30] | CIFAR-10 | 91.0% | 54.18 | 10 | 1.962 s |
| OnePixel [31] | CIFAR-10 | 47.9% | 2.58 | 10 | 0.076 s |
| Pixel [32] | CIFAR-10 | 52.9% | 12.66 | 10 | 0.129 s |
| PIFGSMPP [33] | CIFAR-10 | 82.3% | 0.05 | 10 | 0.003 s |
| DeepFool [5] | CIFAR-10 | 23.15% | 0.05 | 1 | 0.056 s |
| YOAO (Ours) | CIFAR-10 | 93.81% | 3.83 | 1 | 0.062 s |
| PGD | MNIST | 3.5% | 0.61 | 10 | 0.003 s |
| FGSM | MNIST | 3.5% | 0.65 | 1 | 0.003 s |
| BIM | MNIST | 4.1% | 0.63 | 10 | 0.003 s |
| FFGSM | MNIST | 3.4% | 0.64 | 1 | 0.003 s |
| APGD | MNIST | 4.1% | 0.02 | 10 | 0.003 s |
| OnePixel | MNIST | 1.7% | 0.16 | 10 | 0.616 s |
| Pixel | MNIST | 89.9% | 6.04 | 10 | 0.723 s |
| DeepFool | MNIST | 30.2% | 1.53 | 1 | 0.040 s |
| YOAO (Ours) | MNIST | 66.5% | 9.01 | 1 | 0.091 s |
Disclaimer/Publisher’s Note: The statements, opinions and data contained in all publications are solely those of the individual author(s) and contributor(s) and not of MDPI and/or the editor(s). MDPI and/or the editor(s) disclaim responsibility for any injury to people or property resulting from any ideas, methods, instructions or products referred to in the content. |
© 2024 by the authors. Licensee MDPI, Basel, Switzerland. This article is an open access article distributed under the terms and conditions of the Creative Commons Attribution (CC BY) license (https://creativecommons.org/licenses/by/4.0/).
Share and Cite
Li, J.; Xu, Y.; Hu, Y.; Ma, Y.; Yin, X. You Only Attack Once: Single-Step DeepFool Algorithm. Appl. Sci. 2025, 15, 302. https://doi.org/10.3390/app15010302
Li J, Xu Y, Hu Y, Ma Y, Yin X. You Only Attack Once: Single-Step DeepFool Algorithm. Applied Sciences. 2025; 15(1):302. https://doi.org/10.3390/app15010302
Chicago/Turabian StyleLi, Jun, Yanwei Xu, Yaocun Hu, Yongyong Ma, and Xin Yin. 2025. "You Only Attack Once: Single-Step DeepFool Algorithm" Applied Sciences 15, no. 1: 302. https://doi.org/10.3390/app15010302
APA StyleLi, J., Xu, Y., Hu, Y., Ma, Y., & Yin, X. (2025). You Only Attack Once: Single-Step DeepFool Algorithm. Applied Sciences, 15(1), 302. https://doi.org/10.3390/app15010302

