Hypoplastic Modeling of Soil–Structure Contact Surface Considering Initial Anisotropy and Roughness
Abstract
1. Introduction
2. Fundament of the Hypoplastic Constitutive Model for the Soil–Structure Contact Surface
2.1. Hypoplastic Model for Soil
2.2. Establishment for the Hypoplastic Constitutive Model of the Soil–Structure Contact Surface
2.3. Hypoplasticity Constitutive Expression of Soil–Structure Contact Surfaces
2.4. Contact Surface Model Considering Initial Anisotropy and Roughness
2.4.1. Quantitative Description of Initial Anisotropy
2.4.2. Quantitative Description of Roughness Effect
2.5. Model Parameters Determination
- Critical friction Angle
- 2.
- Particle hardness () and index
- 3.
- Upper void ratio, , at zero pressure
- 4.
- Lower bound void ratio, , at zero pressure
- 5.
- Critical void ratio, , at zero pressure
- 6.
- Index
- 7.
- Index
- 8.
- Anisotropic parameters: , , , and
- 9.
- Roughness,
2.6. Contact Surface Thickness
3. Model Validation
3.1. Experiment on Contact Surfaces of Toyoura Sand and Low Carbon Steel Plate
3.2. Experiment on Contact Surfaces of Changping Composite Gravel/Uniform Gravel and Artificial Steel Plate
3.3. Experiment on Contact Surfaces of Uniform Density Sand and Concrete
4. Finite Element Implementation of the Interface Constitutive Model
- Step 1: At each time step, utilize the user-defined FRIC subroutine within the ABAQUS interface to input model parameters and to retrieve response and displacement data.
- Step 2: Utilize the apparent shear modulus to convert shear displacement, u, to shear strain, .
- Step 3: Convert the inputs obtained from the FRIC subroutine into a format that is compatible with the UMAT subroutine framework.
- Step 4: Apply the UMAT subroutine to compute updated stress components.
- Step 5: Employ the Newton–Raphson iteration method to determine the normal strain rate, , using the normal contact stress rate, . After the UMAT subroutine execution, compute the difference in normal stress ratios.
- Step 6: If the error exceeds the tolerance threshold, implement the Newton–Raphson method to recalculate the stress ratio and return to the UMAT subroutine for further iterations, continuing this process until the error is reduced to an acceptable range.
- Step 7: When the error meets the tolerance criteria, update the interface pressure, , and return to the FRIC subroutine to compute the corresponding stress components, , and initiate the next calculation cycle.
4.1. Numerical Model
- (1)
- Application of gravity loading;
- (2)
- Application of normal stress, specified as 100 kPa;
- (3)
- Progressive application of shear displacement up to a maximum of 5 cm.
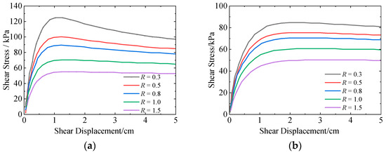
4.2. Results Analysis
5. Conclusions
- (1)
- A new hypoplasticity constitutive model for sandy soil–structure contact surfaces is proposed by incorporating the effects of initial anisotropy and surface roughness into the Gudehus–Bauer eight-parameter hypoplasticity model. This model consists of 13 fundamental parameters, which can be determined based on the particle size characteristics of granular materials.
- (2)
- The proposed model is validated by comparing its predictions with experimental results from various contact surface conditions, including Toyoura sand–steel plate, Changping composite gravel/uniform gravel–steel plate, and dense sand–concrete contact surfaces under different roughness conditions. The predicted results align well with experimental data, confirming that the model accurately captures the mechanical behavior of contact surfaces under varying roughness conditions.
- (3)
- A FRIC-UMAT subroutine was developed to implement the hypoplasticity model in finite element simulations. The modified subroutine was applied to typical direct shear tests on contact surfaces, and the simulation results were compared with experimental data. Additionally, the performance of the proposed model was compared with that of the Mohr–Coulomb contact surface model under varying initial deposition angles and surface roughness conditions. The results demonstrate the accuracy of the FRIC subroutine and validate the rationality and superiority of the proposed model.
Author Contributions
Funding
Institutional Review Board Statement
Informed Consent Statement
Data Availability Statement
Conflicts of Interest
References
- Clough, G.W.; Duncan, J.M. Finite element analyses of retaining wall behavior. J. Soil Mech. Found. Div. 1971, 97, 1657–1673. [Google Scholar] [CrossRef]
- Lashkari, A. Prediction of the shaft resistance of nondisplacement piles in sand. Int. J. Numer. Anal. Methods Geomech. 2013, 37, 904–931. [Google Scholar] [CrossRef]
- Long, S.; Xu, S.; Zhang, Y.; Li, B.; Sun, L.; Wang, Y.; Wang, J. Method of soil-elastoplastic dem parameter calibration based on recurrent neural network. Powder Technol. 2023, 416, 118222. [Google Scholar] [CrossRef]
- Mortara, G.; Ferrara, D.; Fotia, G. Simple model for the cyclic behavior of smooth sand-steel interfaces. J. Geotech. Geoenviron. Eng. 2010, 136, 1004–1009. [Google Scholar] [CrossRef]
- Stutz, H.H. Hypoplastic Models for Soil-Structure Interfaces—Modelling and Implementation. Ph.D. Thesis, Kiel University, Kiel, Germany, 2016. [Google Scholar]
- ur Rehman, Z.; Zhang, G. Three-dimensional elasto-plastic damage model for gravelly soil-structure interface considering the shear coupling effect. Comput. Geotech. 2021, 129, 103868. [Google Scholar] [CrossRef]
- Zhou, Z.; Li, Z.; Gao, C.; Zhang, D.; Wang, M.; Wei, C.; Bai, S. Peridynamic micro-elastoplastic constitutive model and its application in the failure analysis of rock masses. Comput. Geotech. 2021, 132, 104037. [Google Scholar] [CrossRef]
- Kolymbas, D. A rate-dependent constitutive equation for soils. Mech. Res. Commun. 1977, 4, 367–372. [Google Scholar] [CrossRef]
- Dafalias, Y.F. Bounding surface plasticity. I: Mathematical foundation and hypoplasticity. J. Eng. Mech. 1986, 112, 966–987. [Google Scholar] [CrossRef]
- Kolymbas, D. An outline of hypoplasticity. Arch. Appl. Mech. 1991, 61, 143–151. [Google Scholar] [CrossRef]
- Wu, W.; Bauer, E. A simple hypoplastic constitutive model for sand. Int. J. Numer. Anal. Methods Geomech. 1994, 18, 833–862. [Google Scholar] [CrossRef]
- Gudehus, G. A comprehensive constitutive equation for granular materials. Soils Found. 1996, 36, 1–12. [Google Scholar] [CrossRef]
- Bauer, E. Calibration of a comprehensive hypoplastic model for granular materials. Soils Found. 1996, 36, 13–26. [Google Scholar] [CrossRef]
- Von Wolffersdorff, P.A. A hypoplastic relation for granular materials with a predefined limit state surface. Mech. Cohesive-Frict. Mater 1996, 1, 251–271. [Google Scholar] [CrossRef]
- Wu, W.; Lin, J.; Wang, X. A basic hypoplastic constitutive model for sand. Acta Geotech. 2017, 12, 1373–1382. [Google Scholar] [CrossRef]
- Qian, H.Y.; Wu, W.; Du, X.L.; Xu, C.S. A Hypoplastic Constitutive Model for Granular Materials with Particle Breakage. Int. J. Geomech. 2023, 23, 04023065. [Google Scholar] [CrossRef]
- Qian, H.Y.; Wu, W.; Xu, C.S.; Liao, D.; Du, X.L. An extended hypoplastic constitutive model considering particle breakage for granular material. Comput. Geotech. 2023, 159, 105503. [Google Scholar] [CrossRef]
- Subair, A.; Aljorany, A. Experimental and Numerical Analysis of Axially Loaded Slender Piles Implementing a Hypoplastic Model. In Proceedings of the IOP Conference Series: Materials Science and Engineering, Kerbala, Iraq, 5–6 December 2020; p. 012069. [Google Scholar]
- Tang, Y.L.; Wang, S.; Zhang, C.S. A gradation-dependent hypoplastic model for crushable sands. Acta Geotech. 2024, 19, 6937–6953. [Google Scholar] [CrossRef]
- Tian, H.; Zeng, K.; Zhang, H.; Lu, S. Research on Extended Hypoplastic Model and Its Verification for Deposits Soil. In Proceedings of the IOP Conference Series: Earth and Environmental Science, Beijing, China, 23–26 October 2020; p. 062034. [Google Scholar]
- Wang, S.; Fang, H.-J.; Kang, X.; Li, D.-Q.; Wu, W. Simhypo-sand: A simple hypoplastic model for granular materials and SPH implementation. Acta Geotech. 2024, 19, 4533–4555. [Google Scholar] [CrossRef]
- Herle, I.; Nübel, K. Hypoplastic description of the interface behaviour. In Numerical Models in Geomechanics; Pande, G.N., Pietruszczak, S., Schweiger, H.F., Eds.; CRC Press: London, UK, 2020; pp. 53–58. [Google Scholar] [CrossRef]
- Gutjahr, S. Optimierte Berechnung von Nicht Gestützten Baugrubenwänden in Sand. Doctor’s Thesis, Universität Dortmund, Dortmund, Germany, 2003. [Google Scholar] [CrossRef]
- Herle, I.; Arnold, M. Hypoplastic description of the frictional behaviour of contacts. In Numerical Methods in Geotechnical Engineering; Schweiger, H.F., Ed.; Taylor & Francis: Graz, Austria, 2006; pp. 101–106. [Google Scholar] [CrossRef]
- Stutz, H.; Mašín, D.; Wuttke, F. Enhancement of a hypoplastic model for granular soil–structure interface behaviour. Acta Geotech. 2016, 11, 1249–1261. [Google Scholar] [CrossRef]
- Stutz, H.; Mašín, D. Hypoplastic interface models for fine—Grained soils. Int. J. Numer. Anal. Methods Geomech. 2017, 41, 284–303. [Google Scholar] [CrossRef]
- Jong, Y.; Ma, Y.; Liu, Y. Granular Hypoplastic Interface Model Considering Surface Roughness. In Proceedings of the Journal of Physics: Conference Series, Busan, Republic of Korea, 14–15 November 2020; p. 042004. [Google Scholar]
- Jong, Y.-G.; Liu, Y.; Chen, Z.; Mabe Fogang, P. Hypoplastic interface model considering plane strain condition and surface roughness. Adv. Civ. Eng. 2021, 2021, 1473181. [Google Scholar] [CrossRef]
- Staubach, P.; Machaček, J.; Wichtmann, T. Novel approach to apply existing constitutive soil models to the modelling of interfaces. Int. J. Numer. Anal. Methods Geomech. 2022, 46, 1241–1271. [Google Scholar] [CrossRef]
- Staubach, P.; Machaček, J.; Wichtmann, T. Mortar contact discretisation methods incorporating interface models based on Hypoplasticity and Sanisand: Application to vibratory pile driving. Comput. Geotech. 2022, 146, 104677. [Google Scholar] [CrossRef]
- Wu, W. Rational approach to anisotropy of sand. Int. J. Numer. Anal. Methods Geomech. 1998, 22, 921–940. [Google Scholar] [CrossRef]
- Yang, Z.; Liao, D.; Xu, T. A hypoplastic model for granular soils incorporating anisotropic critical state theory. Int. J. Numer. Anal. Methods Geomech. 2020, 44, 723–748. [Google Scholar] [CrossRef]
- Bauer, E.; Huang, W.; Wu, W. Investigations of shear banding in an anisotropic hypoplastic material. Int. J. Solids Struct. 2004, 41, 5903–5919. [Google Scholar] [CrossRef]
- Saberi, M.; Annan, C.-D.; Konrad, J.-M. On the mechanics and modeling of interfaces between granular soils and structural materials. Arch. Civ. Mech. Eng. 2018, 18, 1562–1579. [Google Scholar] [CrossRef]
- Stutz, H.H.; Martinez, A. Hypoplastic simulation of axisymmetric interface shear tests in granular media. In Proceedings of the China-Europe Conference on Geotechnical Engineering: Volume 1, Vienna, Austria, 3 August 2018; pp. 69–73. [Google Scholar]
- Wu, W.; Kolymbas, D. Numerical testing of the stability criterion for hypoplastic constitutive equations. Mech. Mater. 1990, 9, 245–253. [Google Scholar] [CrossRef]
- Li, S. The Macro-Micromechanical Analysis and Numerical Simulation of Shear Anisotropy in the Sand-Structure Contact Zone. Master’s Thesis, University of Science and Technology Beijing, Beijing, China, 2016. [Google Scholar]
- Uesugi, M.; Kishida, H.; Tsubakihara, Y. Behavior of sand particles in sand-steel friction. Soils Found. 1988, 28, 107–118. [Google Scholar] [CrossRef]
- Herle, I.; Gudehus, G. Determination of Parameters of a Hypoplastic Constitutive Model from Properties of Grain Assemblies. Mech. Cohesive-Frict. Mater 1999, 4, 461–486. [Google Scholar] [CrossRef]
- Youd, T. Factors Controlling Maximum and Minimum Densities of Sands. ASTM Spec. Tech. Publ. 1972, 523, 98–112. [Google Scholar] [CrossRef]
- Zhang, G.; Zhang, J.M. Unified modeling of soil-structure interface and its test confirmation. Chin. J. Geotech. Eng. 2005, 27, 1175–1179. [Google Scholar] [CrossRef]
- Gómez, J.E.; Filz, G.M.; Ebeling, R.M. Extended hyperbolic model for sand-to-concrete interfaces. J. Geotech. Geoenviron. Eng. 2003, 129, 993–1000. [Google Scholar] [CrossRef]
















| Deposition Angle/° | Peak Stress/kPa (100 kPa) | Peak Stress/kPa (200 kPa) | Peak Stress/kPa (400 kPa) | Peak Stress/kPa (800 kPa) |
|---|---|---|---|---|
| 0 | 80 | 150 | 230 | 435 |
| 30 | 62 | 110 | 215 | 379 |
| 60 | 75 | 145 | 235 | 420 |
| 90 | 87 | 145 | 260 | 481 |
| Materials | Angle of Repose/° | Critical Friction Angle/° | Test |
|---|---|---|---|
| Hochstetten gravel | 35.7 | 36.5 | Direct shear |
| Hochstetten sand | 34.0 | 34.0 | Consolidation drained |
| Hostun sand | 32.0 | 32.0 | Consolidation drained |
| Karlsruhe sand | 29.1 | 30.0 | Consolidation drained |
| Lausitz sand | 33.0 | 32.2 | Consolidation drained |
| Toyoura sand | 30.4 | 30.9 | Consolidation undrained |
| Zbraslav sand | 30.8 | 29.7 | Direct shear |
| Parameters | /° | /MPa | |||||||
|---|---|---|---|---|---|---|---|---|---|
| Values | 30 | 2600 | 0.27 | 0.61 | 0.98 | 1.10 | 0.25 | 1.0 | 0.21/0.66/0.905 |
| Parameters | /° | /MPa | |||||||
|---|---|---|---|---|---|---|---|---|---|
| Composite gravel | 42 | 3800 | 0.2 | 0.61 | 0.9 | 1.08 | 0.2 | 1.5 | 1 mm/10 mm |
| Uniform gravel | 40 | 3200 | 0.2 | 0.61 | 0.9 | 1.08 | 0.2 | 1.0 | 1 mm/10 mm |
| Parameters | /° | /MPa | |||||||
|---|---|---|---|---|---|---|---|---|---|
| Values | 30 | 2600 | 0.27 | 0.61 | 0.98 | 1.10 | 0.25 | 1.0 | 0.21/0.66/0.905 |
| Initial Parameters | /° | /MPa | ||||||
| 31 | 1000 | 0.29 | 0.61 | 0.96 | 1.09 | 0.13 | 2.0 | |
| Anisotropic Parameters | Roughness Parameters | |||||||
| 1.15 | −0.28 | 422 | 2 | 0.3–1.5 | ||||
| Number | Normal Stress | Roughness | Angle of Repose | Load Amplitude/cm | Shear Path |
|---|---|---|---|---|---|
| 1 | 100 | 0.3 | 20 | 5 | Monotonic linear shear |
| 2 | 100 | 0.5 | 20 | 5 | Monotonic linear shear |
| 3 | 100 | 0.8 | 20 | 5 | Monotonic linear shear |
| 4 | 100 | 1.0 | 20 | 5 | Monotonic linear shear |
| 5 | 100 | 1.5 | 20 | 5 | Monotonic linear shear |
| 6 | 100 | 0.8 | 0 | 5 | Monotonic linear shear |
| 7 | 100 | 0.8 | 30 | 5 | Monotonic linear shear |
| 8 | 100 | 0.8 | 90 | 5 | Monotonic linear shear |
Disclaimer/Publisher’s Note: The statements, opinions and data contained in all publications are solely those of the individual author(s) and contributor(s) and not of MDPI and/or the editor(s). MDPI and/or the editor(s) disclaim responsibility for any injury to people or property resulting from any ideas, methods, instructions or products referred to in the content. |
© 2024 by the authors. Licensee MDPI, Basel, Switzerland. This article is an open access article distributed under the terms and conditions of the Creative Commons Attribution (CC BY) license (https://creativecommons.org/licenses/by/4.0/).
Share and Cite
Yu, J.; Cao, J.; Chen, Z.; Zhu, J.; Zhang, Y.; Yu, P. Hypoplastic Modeling of Soil–Structure Contact Surface Considering Initial Anisotropy and Roughness. Appl. Sci. 2025, 15, 244. https://doi.org/10.3390/app15010244
Yu J, Cao J, Chen Z, Zhu J, Zhang Y, Yu P. Hypoplastic Modeling of Soil–Structure Contact Surface Considering Initial Anisotropy and Roughness. Applied Sciences. 2025; 15(1):244. https://doi.org/10.3390/app15010244
Chicago/Turabian StyleYu, Jingtao, Junwang Cao, Zixuan Chen, Jintao Zhu, Yulong Zhang, and Pengqiang Yu. 2025. "Hypoplastic Modeling of Soil–Structure Contact Surface Considering Initial Anisotropy and Roughness" Applied Sciences 15, no. 1: 244. https://doi.org/10.3390/app15010244
APA StyleYu, J., Cao, J., Chen, Z., Zhu, J., Zhang, Y., & Yu, P. (2025). Hypoplastic Modeling of Soil–Structure Contact Surface Considering Initial Anisotropy and Roughness. Applied Sciences, 15(1), 244. https://doi.org/10.3390/app15010244

