Acute Effects of Drop Jumps on Lower Limb Stiffness and Mechanical and Kinematic Parameters During High-Speed Treadmill Running
Abstract
1. Introduction
2. Materials and Methods
2.1. Experimental Design
2.2. Participants
2.3. Procedures
2.4. Data Collection
2.5. Data Analysis
2.6. Statistical Analysis
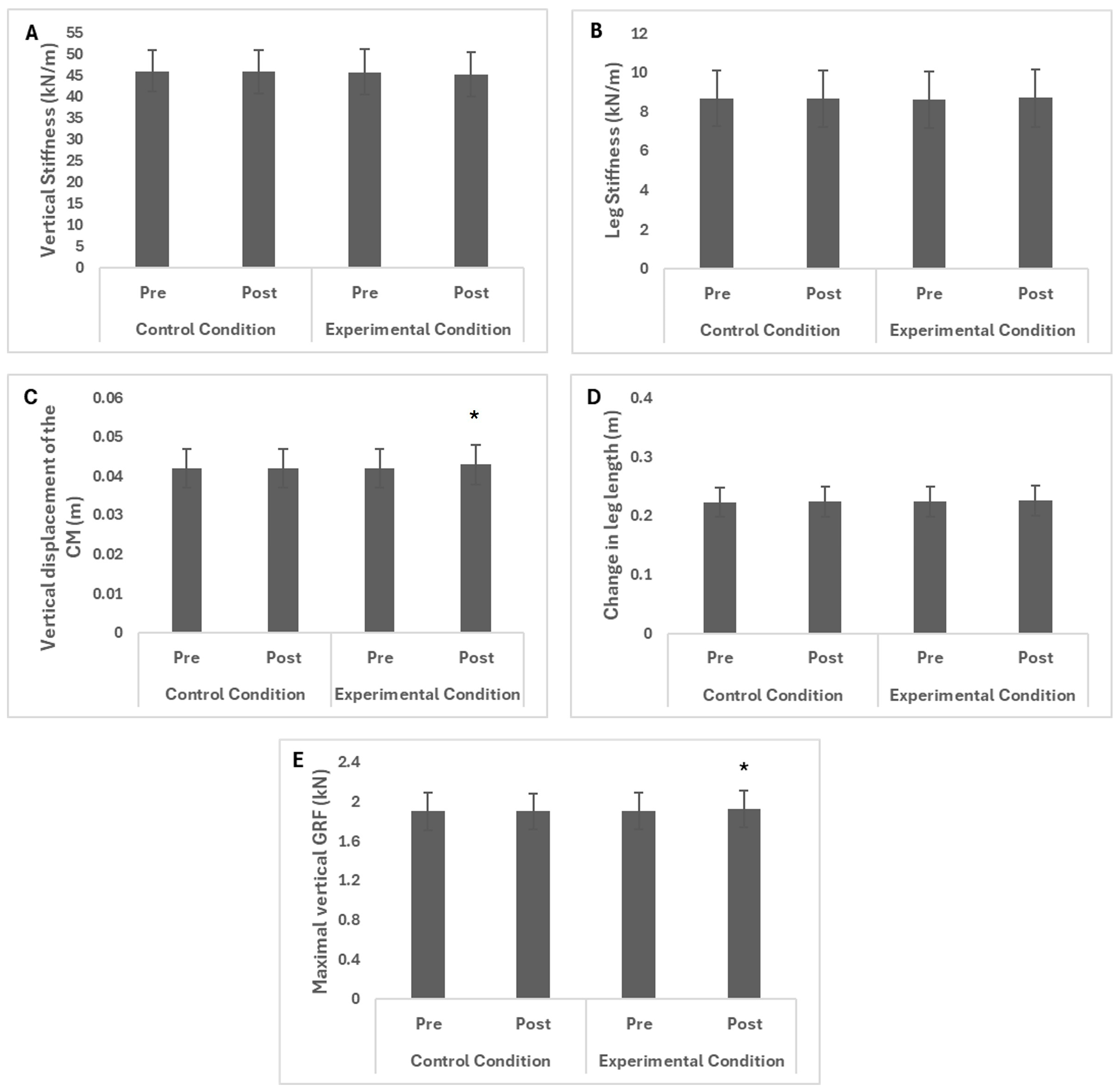
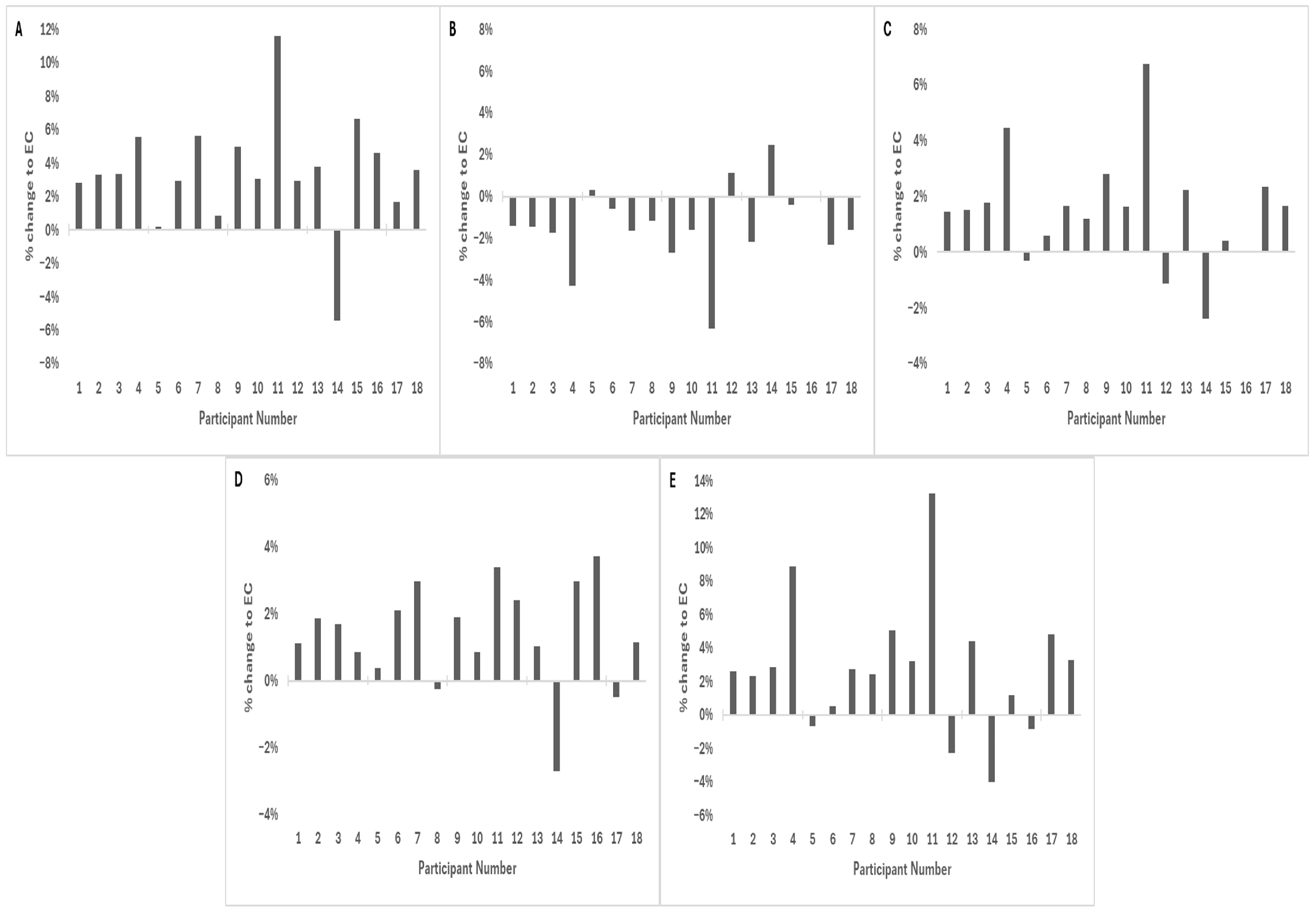
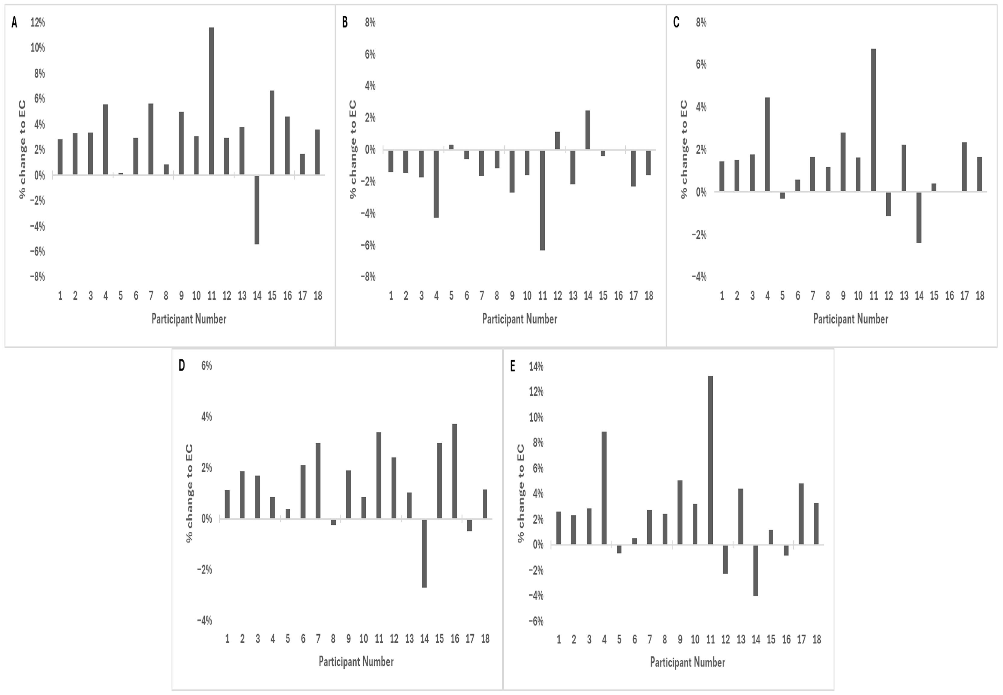
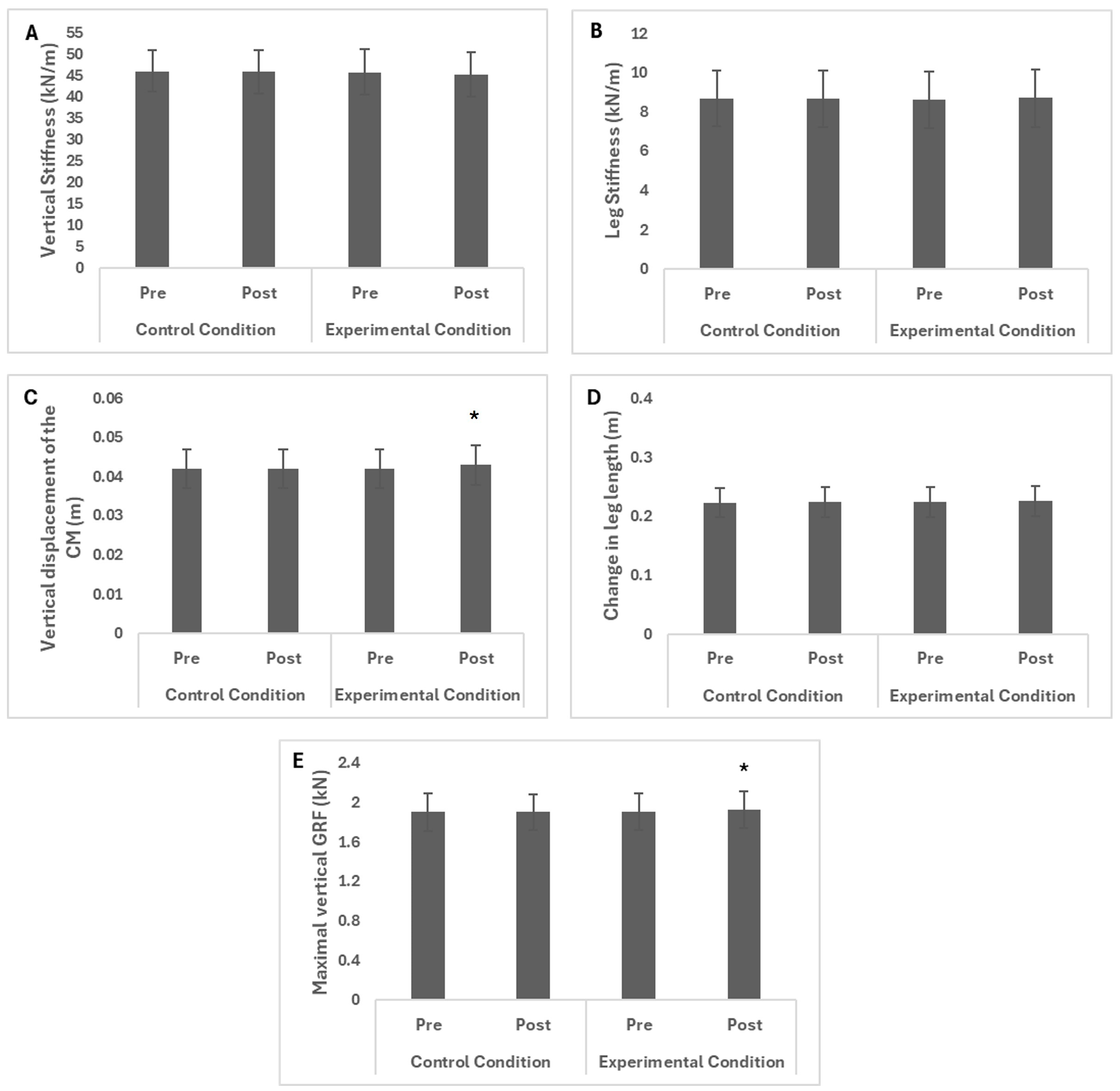
3. Results
4. Discussion
Limitations
5. Conclusions
Author Contributions
Funding
Institutional Review Board Statement
Informed Consent Statement
Data Availability Statement
Acknowledgments
Conflicts of Interest
References
- Blazevich, A.J.; Babault, N. Post-Activation Potentiation Versus Post-Activation Performance Enhancement in Humans: Historical Perspective, Underlying Mechanisms, and Current Issues. Front. Physiol. 2019, 10, 1359. [Google Scholar] [CrossRef] [PubMed]
- Tillin, N.A.; Bishop, D. Factors Modulating Post-Activation Potentiation and Its Effect on Performance of Subsequent Explosive Activities. Sports Med. 2009, 39, 147–166. [Google Scholar] [CrossRef]
- French, D.N.; Kraemer, W.J.; Cooke, C.B. Changes in Dynamic Exercise Performance Following a Sequence of Preconditioning Isometric Muscle Actions. J. Strength. Cond. Res. 2003, 17, 678–685. [Google Scholar] [CrossRef] [PubMed]
- Tsolakis, C.; Bogdanis, G.C.; Nikolaou, A.; Zacharogiannis, E. Influence of Type of Muscle Contraction and Gender on Postactivation Potentiation of Upper and Lower Limb Explosive Performance in Elite Fencers. J. Sports Sci. Med. 2011, 10, 577–583. [Google Scholar]
- Chatzopoulos, D.E.; Michailidis, C.J.; Giannakos, A.K.; Alexiou, K.C.; Patikas, D.A.; Antonopoulos, C.B.; Kotzamanidis, C.M. Postactivation Potentiation Effects after Heavy Resistance Exercise on Running Speed. J. Strength. Cond. Res. 2007, 21, 1278–1281. [Google Scholar] [CrossRef]
- Kilduff, L.P.; Bevan, H.R.; Kingsley, M.I.C.; Owen, N.J.; Bennett, M.A.; Bunce, P.J.; Hore, A.M.; Maw, J.R.; Cunningham, D.J. Postactivation Potentiation in Professional Rugby Players: Optimal Recovery. J. Strength. Cond. Res. 2007, 21, 1134–1138. [Google Scholar] [CrossRef] [PubMed]
- Zisi, M.; Stavridis, I.; Agilara, G.-O.; Economou, T.; Paradisis, G. The Acute Effects of Heavy Sled Towing on Acceleration Performance and Sprint Mechanical and Kinematic Characteristics. Sports 2022, 10, 77. [Google Scholar] [CrossRef] [PubMed]
- Chen, Z.-R.; Wang, Y.-H.; Peng, H.-T.; Yu, C.-F.; Wang, M.-H. The Acute Effect of Drop Jump Protocols with Different Volumes and Recovery Time on Countermovement Jump Performance. J. Strength. Cond. Res. 2013, 27, 154–158. [Google Scholar] [CrossRef] [PubMed]
- Zisi, M.; Stavridis, I.; Bogdanis, G.; Terzis, G.; Paradisis, G. The Acute Effects of Plyometric Exercises on Sprint Performance and Kinematics. Physiologia 2023, 3, 295–304. [Google Scholar] [CrossRef]
- Esformes, J.I.; Cameron, N.; Bampouras, T.M. Postactivation Potentiation Following Different Modes of Exercise. J. Strength. Cond. Res. 2010, 24, 1911–1916. [Google Scholar] [CrossRef] [PubMed]
- Seitz, L.B.; Haff, G.G. Factors Modulating Post-Activation Potentiation of Jump, Sprint, Throw, and Upper-Body Ballistic Performances: A Systematic Review with Meta-Analysis. Sports Med. 2016, 46, 231–240. [Google Scholar] [CrossRef] [PubMed]
- Terzis, G.; Spengos, K.; Karampatsos, G.; Manta, P.; Georgiadis, G. Acute Effect of Drop Jumping on Throwing Performance. J. Strength. Cond. Res. 2009, 23, 2592–2597. [Google Scholar] [CrossRef]
- Gourgoulis, V.; Aggeloussis, N.; Kasimatis, P.; Mavromatis, G.; Garas, A. Effect of a Submaximal Half-Squats Warm-up Program on Vertical Jumping Ability. J. Strength. Cond. Res. 2003, 17, 342–344. [Google Scholar] [CrossRef]
- Kümmel, J.; Bergmann, J.; Prieske, O.; Kramer, A.; Granacher, U.; Gruber, M. Effects of Conditioning Hops on Drop Jump and Sprint Performance: A Randomized Crossover Pilot Study in Elite Athletes. BMC Sports Sci. Med. Rehabil. 2016, 8, 1. [Google Scholar] [CrossRef]
- Yoshimoto, T.; Takai, Y.; Kanehisa, H. Acute Effects of Different Conditioning Activities on Running Performance of Sprinters. Springerplus 2016, 5, 1203. [Google Scholar] [CrossRef] [PubMed]
- Struzik, A.; Karamanidis, K.; Lorimer, A.; Keogh, J.W.L.; Gajewski, J. Application of Leg, Vertical, and Joint Stiffness in Running Performance: A Literature Overview. Appl. Bionics Biomech. 2021, 2021, 9914278. [Google Scholar] [CrossRef]
- Arampatzis, A.; Schade, F.; Walsh, M.; Brüggemann, G.P. Influence of Leg Stiffness and Its Effect on Myodynamic Jumping Performance. J. Electromyogr. Kinesiol. 2001, 11, 355–364. [Google Scholar] [CrossRef] [PubMed]
- Moir, G.L.; Mergy, D.; Witmer, C.; Davis, S.E. The Acute Effects of Manipulating Volume and Load of Back Squats on Countermovement Vertical Jump Performance. J. Strength. Cond. Res. 2011, 25, 1486–1491. [Google Scholar] [CrossRef] [PubMed]
- Witmer, C.A.; Davis, S.E.; Moir, G.L. The Acute Effects of Back Squats on Vertical Jump Performance in Men and Women. J. Sports Sci. Med. 2010, 9, 206–213. [Google Scholar] [PubMed]
- Barnes, K.R.; Hopkins, W.G.; McGuigan, M.R.; Kilding, A.E. Warm-up with a Weighted Vest Improves Running Performance via Leg Stiffness and Running Economy. J. Sci. Med. Sport. 2015, 18, 103–108. [Google Scholar] [CrossRef] [PubMed]
- Dos Santos Silva, D.; Boullosa, D.; Moura Pereira, E.V.; de Jesus Alves, M.D.; de Sousa Fernandes, M.S.; Badicu, G.; Yagin, F.H.; Aidar, F.J.; Dos Santos, L.F.; do Nascimento, H.R.; et al. Post-Activation Performance Enhancement Effect of Drop Jump on Long Jump Performance during Competition. Sci. Rep. 2023, 13, 16993. [Google Scholar] [CrossRef]
- Boullosa, D.; Abad, C.C.C.; Reis, V.P.; Fernandes, V.; Castilho, C.; Candido, L.; Zagatto, A.M.; Pereira, L.A.; Loturco, I. Effects of Drop Jumps on 1000-m Performance Time and Pacing in Elite Male and Female Endurance Runners. Int. J. Sports Physiol. Perform. 2020, 15, 1043–1046. [Google Scholar] [CrossRef] [PubMed]
- Morin, J.B.; Dalleau, G.; Kyröläinen, H.; Jeannin, T.; Belli, A. A Simple Method for Measuring Stiffness during Running. J. Appl. Biomech. 2005, 21, 167–180. [Google Scholar] [CrossRef] [PubMed]
- Coleman, D.R.; Cannavan, D.; Horne, S.; Blazevich, A.J. Leg Stiffness in Human Running: Comparison of Estimates Derived from Previously Published Models to Direct Kinematic-Kinetic Measures. J. Biomech. 2012, 45, 1987–1991. [Google Scholar] [CrossRef]
- Pappas, P.; Paradisis, G.; Vagenas, G. Leg and Vertical Stiffness (a)Symmetry between Dominant and Non-Dominant Legs in Young Male Runners. Hum. Mov. Sci. 2015, 40, 273–283. [Google Scholar] [CrossRef] [PubMed]
- Pappas, P.; Dallas, G.; Paradisis, G. Reliability of Leg and Vertical Stiffness During High Speed Treadmill Running. J. Appl. Biomech. 2017, 33, 160–165. [Google Scholar] [CrossRef] [PubMed]
- Pappas, P.; Paradisis, G.; Tsolakis, C.; Smirniotou, A.; Morin, J.-B. Reliabilities of Leg and Vertical Stiffness during Treadmill Running. Sports Biomech. 2014, 13, 391–399. [Google Scholar] [CrossRef]
- Cohen, J. Statistical Power Analysis for the Behavioral Sciences; Routledge: London, UK, 2013. [Google Scholar]
- Hunter, J.P.; Marshall, R.N.; McNair, P.J. Interaction of Step Length and Step Rate during Sprint Running. Med. Sci. Sports Exerc. 2004, 36, 261–271. [Google Scholar] [CrossRef] [PubMed]
- Weyand, P.G.; Sternlight, D.B.; Bellizzi, M.J.; Wright, S. Faster Top Running Speeds Are Achieved with Greater Ground Forces Not More Rapid Leg Movements. J. Appl. Physiol. 2000, 89, 1991–1999. [Google Scholar] [CrossRef] [PubMed]
- Heiderscheit, B.C.; Chumanov, E.S.; Michalski, M.P.; Wille, C.M.; Ryan, M.B. Effects of Step Rate Manipulation on Joint Mechanics during Running. Med. Sci. Sports Exerc. 2011, 43, 296–302. [Google Scholar] [CrossRef]
- Morin, J.B.; Samozino, P.; Zameziati, K.; Belli, A. Effects of Altered Stride Frequency and Contact Time on Leg-Spring Behavior in Human Running. J. Biomech. 2007, 40, 3341–3348. [Google Scholar] [CrossRef] [PubMed]
- Ferris, D.P.; Liang, K.; Farley, C.T. Runners Adjust Leg Stiffness for Their First Step on a New Running Surface. J. Biomech. 1999, 32, 787–794. [Google Scholar] [CrossRef]
- He, J.P.; Kram, R.; McMahon, T.A. Mechanics of Running under Simulated Low Gravity. J. Appl. Physiol. 1991, 71, 863–870. [Google Scholar] [CrossRef]
- Morin, J.-B.; Tomazin, K.; Samozino, P.; Edouard, P.; Millet, G.Y. High-Intensity Sprint Fatigue Does Not Alter Constant-Submaximal Velocity Running Mechanics and Spring-Mass Behavior. Eur. J. Appl. Physiol. 2012, 112, 1419–1428. [Google Scholar] [CrossRef] [PubMed]
- Auyang, A.G.; Yen, J.T.; Chang, Y.-H. Neuromechanical Stabilization of Leg Length and Orientation through Interjoint Compensation during Human Hopping. Exp. Brain Res. 2009, 192, 253–264. [Google Scholar] [CrossRef] [PubMed]
- Tomlinson, K.A.; Hansen, K.; Helzer, D.; Lewis, Z.H.; Leyva, W.D.; McCauley, M.; Pritchard, W.; Silvestri, E.; Quila, M.; Yi, M.; et al. The Effects of Loaded Plyometric Exercise during Warm-Up on Subsequent Sprint Performance in Collegiate Track Athletes: A Randomized Trial. Sports 2020, 8, 101. [Google Scholar] [CrossRef] [PubMed]
- Moir, G.L.; Dale, J.R.; Dietrich, W.W. The Acute Effects of Heavy Back Squats on Mechanical Variables during a Series of Bilateral Hops. J. Strength. Cond. Res. 2009, 23, 1118–1124. [Google Scholar] [CrossRef]
- Wilson, J.M.; Duncan, N.M.; Marin, P.J.; Brown, L.E.; Loenneke, J.P.; Wilson, S.M.C.; Jo, E.; Lowery, R.P.; Ugrinowitsch, C. Meta-Analysis of Postactivation Potentiation and Power: Effects of Conditioning Activity, Volume, Gender, Rest Periods, and Training Status. J. Strength. Cond. Res. 2013, 27, 854–859. [Google Scholar] [CrossRef]




| Variable | CC | EC | ||||
|---|---|---|---|---|---|---|
| Pre | Post | ES | Pre | Post | ES | |
| CT (s) | 0.166 ± 0.010 | 0.166 ± 0.011 | 0.14 | 0.167 ± 0.011 | 0.167 ± 0.010 | 0.03 | 
| FT (s) | 0.126 ± 0.021 | 0.126 ± 0.020 | 0.02 | 0.126 ± 0.022 | 0.130 ± 0.021 * | 0.99 | 
| SF (Hz) | 3.442 ± 0.218 | 3.436 ± 0.206 | 0.09 | 3.429 ± 0.228 | 3.379 ± 0.212 * | 0.72 | 
| SL (m) | 1.945 ± 0.128 | 1.948 ± 0.120 | 0.07 | 1.953 ± 0.133 | 1.981 ± 0.127 * | 0.74 | 
| Fmax (kN) | 1.906 ± 0.190 | 1.904 ± 0.183 | 0.06 | 1.907 ± 0.189 | 1.932 ± 0.186 * | 0.82 | 
| Δy (m) | 0.042 ± 0.005 | 0.042 ± 0.005 | 0.02 | 0.042 ± 0.005 | 0.043 ± 0.005 * | 0.71 | 
| ΔL (m) | 0.222 ± 0.025 | 0.224 ± 0.026 | 0.21 | 0.224 ± 0.026 | 0.226 ± 0.026 | 0.15 | 
| Kvert (kN/m) | 45.983 ± 4.832 | 45.823 ± 5.150 | 0.14 | 45.724 ± 5.332 | 45.140 ± 5.179 | 0.33 | 
| Kleg (kN/m) | 8.693 ± 1.407 | 8.658 ± 1.454 | 0.14 | 8.639 ± 1.451 | 8.705 ± 1.476 | 0.15 | 
| Disclaimer/Publisher’s Note: The statements, opinions and data contained in all publications are solely those of the individual author(s) and contributor(s) and not of MDPI and/or the editor(s). MDPI and/or the editor(s) disclaim responsibility for any injury to people or property resulting from any ideas, methods, instructions or products referred to in the content. | 
© 2024 by the authors. Licensee MDPI, Basel, Switzerland. This article is an open access article distributed under the terms and conditions of the Creative Commons Attribution (CC BY) license (https://creativecommons.org/licenses/by/4.0/).
Share and Cite
Pappas, P.; Stavridis, I.; Paradisis, G. Acute Effects of Drop Jumps on Lower Limb Stiffness and Mechanical and Kinematic Parameters During High-Speed Treadmill Running. Appl. Sci. 2025, 15, 242. https://doi.org/10.3390/app15010242
Pappas P, Stavridis I, Paradisis G. Acute Effects of Drop Jumps on Lower Limb Stiffness and Mechanical and Kinematic Parameters During High-Speed Treadmill Running. Applied Sciences. 2025; 15(1):242. https://doi.org/10.3390/app15010242
Chicago/Turabian StylePappas, Panagiotis, Ioannis Stavridis, and Giorgos Paradisis. 2025. "Acute Effects of Drop Jumps on Lower Limb Stiffness and Mechanical and Kinematic Parameters During High-Speed Treadmill Running" Applied Sciences 15, no. 1: 242. https://doi.org/10.3390/app15010242
APA StylePappas, P., Stavridis, I., & Paradisis, G. (2025). Acute Effects of Drop Jumps on Lower Limb Stiffness and Mechanical and Kinematic Parameters During High-Speed Treadmill Running. Applied Sciences, 15(1), 242. https://doi.org/10.3390/app15010242
 
        




 
       