Abstract
As the strategic position of distributed photovoltaic (PV) power generation in multi-level distribution networks continues to rise, its impact on the stable operation of the grid is becoming increasingly significant. This study delves into the influence of two key factors, the integration location and penetration rate of PV systems, on the distribution and flow of energy and the steady-state performance of multi-level distribution networks. Based on this, the study proposes a simplified grid analysis framework for analyzing and optimizing the energy allocation strategy of distribution systems and develops a PV configuration strategy aimed at optimizing the energy planning and design process of engineering projects. Taking a typical PV-participating distribution system as an example, the study provides a detailed description of the typical three-layer distribution network structure and deduces the relationship of the PV, node voltage, and node voltage deviation. The study verifies the accuracy and practical value of the proposed simplified framework through real-time monitoring simulation of node voltages and line losses. Finally, to achieve optimal energy allocation, the study proposes a PV segmentation strategy applied to the system and compares it with the traditional reactive power control strategy, demonstrating the advantage of the strategy in improving the system’s clean energy ratio and reducing network losses. This paper’s research on the impact of PV systems and the proposed simplified theory for distribution networks is universally applicable, and it holds significant reference value for practical engineering design.
1. Introduction
With the increasing demand of the global environment change and regional sustainable development, grid-connected photovoltaic (PV) systems have been regarded as the substitute for expensive diesel fuels for power generation. Especially in recent years, the trend of using PV systems cannot be underestimated due to the declining costs of PV materials and power converters as well as the cumulative installations of utility-scale PV systems as well as residential and small commercial PV systems [1]. According to the International Energy Agency forecast, the global demand for solar PV modules will grow from 460 GW in 2023 to 675 GW in 2035. At the same time, solar PV power generation will account for half of the world’s nominal power generation capacity by 2050 [2].
The grid-connected PV system refers to the injection of the electricity generated by the PV generation system into the utility grid. With large-scale solar energy being integrated into the micro-grid, the PV power supply may contribute more than 50% of the system’s total generation. However, it should be noted that, in order to accommodate such a high penetration of PV power supply, the conventional synchronous generators will be reduced, leading to problems of insufficient system inertia and voltage support capability [3]. Detailed studies concerning the power quality due to the intermittent nature of the PV energy generation and grid operation of these generators can be seen in [4] and [5]. Meanwhile, if the distributed PV power sources with different penetration rates are installed in different locations of the power network in different ways, it can also cause serious problems, e.g., the large deviation of node voltage, line overload, and three-phase imbalance [6,7,8], and it can even affect the safety of the transformer (TR). Due to the randomness, volatility, and intermittency of the output of the PV power supply, the power network will fluctuate significantly or even become unstable. For example, in [9], the issue of the unexpected overloading of a PV grid was investigated for household appliances, proving the rise of the voltage in the period of peak power generation; in [10], the involved environmental conditions such as the passing clouds were also proven to cause intensive voltage fluctuations of grid-connected PV systems. Therefore, how the PV access point and PV penetration rate affect the safety, transient, and steady performances of grid-connected PV systems is an important but challenging issue to be addressed. But, unfortunately, most research work only focuses on one special case when investigating this issue [11,12,13].
For the grid-connected PV system, the special situation of islanded operation is characterized by randomness, unpredictability, and great destructiveness. Islanding refers to a phenomenon that occurs when the local demands of an area are supplied by PV power sources under a utility grid outage condition [14]. It is mainly related to the inverter between the PV power source and the utility grid for realizing the function of DC/AC conversion. When such faults as power failure or power trip happen, the utility grid will be disconnected, the inverter will switch to islanded operation, and the PV power source can still produce energy. It should be noted that the voltage and frequency of a PV power supply are different from the original, the condition that is defined as the so-called islanding effect [15,16,17]. This has negative effects, leading to the deterioration of the PV power source, utility grid, and the terminal equipment simultaneously. In order to overcome the influence of islanded operation, many studies focus on islanding detection techniques [18,19,20,21]. In [19], the recognition of islanding and operational events in a power system with renewable energy penetration was investigated, and a detailed study concerning the islanding estimation was undertaken. At present, its idea is mainly based on passive comparison; i.e., an appropriate threshold value is selected for the comparison purpose and performs the analysis. In [21], a serial of approaches based on the signal processing algorithms were utilized for renewable energy system applications. In [22], a comparative study was presented for often-used approaches in the aspects of merits, limitations, practical applicability, cost, and accuracy. Although the islanded operation in the grid-connected PV systems is preferentially avoided in advance, it is difficult to prevent. Therefore, if it occurs in an unexpected PV access point with different penetration rates, how it affects the performances of the PV power supply, node voltage, and branch loss is an interesting issue but one seldom investigated.
Based on the above analysis, this paper aims to investigate the effects of different PV integration points and PV penetration levels on the safety, steady-state performance, and system losses of grid-connected PV systems and proposes a simplified analytical method and PV configuration optimization approach suitable for practical engineering applications. The contributions of this paper can be summarized as follows:
- For the typical grid-connected PV power system with three-level structure, a network topological model is established;
- The relationship of the PV, node voltage, and node voltage deviation in accordance of different access points and penetration rates of PV power supply are deduced in cases of steady working condition;
- A simplified system model is proposed to study the relationship between system losses and PV energy, including the connection location, capacity, and reactive power of PV;
- A PV segmentation strategy for the integration of large-capacity PV is proposed.
This paper is organized as follows. Section 2 introduces a conventional distribution network, which will serve as the theoretical derivation proof and conclusion verification object for this article. Section 3 focuses on node voltage as an objective and presents the potential issues that distributed PV integration may introduce to the system’s energy distribution, along with a preliminary verification. Section 4 introduces the conversion of the power system into a simplified equivalent circuit and derives the formula for the maximum PV power that can be provided without causing voltage rise. Section 5 provides the calculation formula for the reactive power that the system needs to absorb when it is necessary to further increase the PV power output [23,24]. Section 6 introduces several methods for determining the size, separation, and operation of PV power sources within the distribution network using the formulas derived in Section 4.2.
2. The Typical PV Power System with Three-Level Structure
Figure 1 illustrates a typical three-level structure of a PV power system, where the PV power sources are PV1-1, PV1-2, PV2, and PV3, and the power factor is about 0.95. The generators G1, G2, and G3 are for normal working conditions, and the generator G4 is for emergency working condition. The battery represents the emergency power supply and provides power to the system until G4 starts in case of emergency. The processing logic represented by G4 and the battery is the most common. If the power grid is isolated from the power grid for some special faults, the system can still keep working, which is the so-called islanded operation.
Figure 1.
Typical three-layer structure distribution system.
In Figure 1, BRPV1-1, BRPV1-2, BRPV2, and BRPV3 represent the breakers between the DC/AC converters and the switchboards MS1, MS2, SS1, and TS; BRG1, BRG2, BRG3, and BRG4 represent the breakers connecting the generators with the switchboards; BR11 is the breaker between the main switchboards MS1 and MS2 for the purpose of auxiliary power supply. Meanwhile, the pairs of BR12-1 and BR12-2, BR12-3 and BR12-4, and BR23-1 and BR23-2 are all breakers for the purpose of individual auxiliary power supply. BR12-5 is the breaker between the main switchboard MS1 and the second switchboard SS3, and BRB is the breaker connecting the battery and the third switchboard TS. Load1-1, Load1-2 and Load1-3, Load2-1 and Load2-2, Load3-1, and Load3-2 and Load3-3 represent the user loads connecting to the switchboards.
2.1. Analysis of Energy Characteristics of Different PV Access Points
This paper focuses on the influences of different PV access points and different PV penetration rates on the safety and steady performances of the system. Therefore, four working conditions with energy flow can be obtained from Figure 1, each accompanied by the possible switch strategies of breakers, as detailed in Figure 2, Figure 3 and Figure 4.
Figure 2.
Energy flow diagram in the main switchboards: (a) PV1-1 and PV1-2 accessing the switchboard; (b) simplified flow diagram.
Figure 3.
Energy flow diagram in the second switchboard: (a) PV2 accessing the switchboard; (b) simplified flow diagram.

Figure 4.
Energy flow diagram in the third switchboard: (a) PV3 accessing the switchboard; (b) simplified flow diagram of (a); (c) PV3 and emergency generator G4 accessing the switchboard; (d) simplified flow diagram of (c).
2.1.1. PV Access Points Located in the Main Switchboards
First, consider the case of PV access points located in the main switchboards MS1 and MS2, whose function is to provide the energy for the whole islanded power system. In Figure 2a, assume that the PV power sources of PV1-1 and PV1-2 access the main switchboards, where uPV1-1, uPV1-2 and SPV1-1, SPV1-2 are the input voltages and apparent powers of the access points PV1-1 and PV1-2; uG1, uG2, and uG3 and SG1, SG2, and SG3 are the corresponding voltages and apparent powers produced by the generators G1, G2, and G3; YL1-1 and SL1-1, YL1-2 and SL1-2, and YL1-3 and SL1-3 are the corresponding admittances and apparent powers as the power flows through the cables to the user loads Load1-1, Load1-2, and Load1-3; Y12-1 and S12-1, Y12-2 and S12-2, Y12-3 and S12-3, Y12-4 and S12-4, and Y12-5 and S12-5 are the corresponding admittances and apparent powers as the power flows through the cables to the second switchboards SS1, SS2, and SS3. Note that the blue energy path indicates that two-way flow is allowed.
Here uPV1, SPV1 and uG, SG are the total input voltages and apparent powers of the PV power sources PV1-1 and PV1-2 and the three generators G1, G2, and G3; Yout1-1 and Sout1-1 as well as Yout1-2 and Sout1-2 are the sum of the total admittance and apparent power for the main switchboards MS1 and MS2. Therefore, Yout1 = Yout1-2 + Yout1-2, and Sout1 = Sout1-2 + Sout1-2. Figure 2a can be simplified into Figure 2b. It should be noted that, when MS1 is linked to MS2, PV1-1 and PV1-2 can be combined into a single PV model. Therefore, the influences of PV1-1 and PV1-2 on the main switchboard are the same. It is also the reason that PV1-1 and PV1-2 are connected to the main switchboard, as seen in Figure 2a. Similarly, for the generators, whether the three generators are all open or only one or two of them are depends on the control strategy of the system.
2.1.2. PV Access Point Located in the Second Switchboard
From Figure 1, it is seen that the user loads Load2-1 and Load2-2 are more important than those of Load3-1, Load3-2, and Load3-3 connecting to the third switchboard. For example, in a hospital, the function of the second switchboard is only to provide the power for the operating rooms of Load2-1 and Load2-2 so that a type of double-circuit power supply can be generally adopted by the voltage transformation of the grid directly. And due to the wide use of PV, it can also be regarded as a kind of auxiliary power supply in the electrical design. If the PV power system is isolated from the power grid for some special faults, Figure 3a belongs to the case where uPV2 and SPV2 are the input voltage and apparent power of the access point PV2, YL2-1 and SL2-1 are the corresponding admittance and apparent power as the power flows through the cables to the user load Load2-1, and other variables correspond to those in Figure 1 and Figure 2a.
2.1.3. PV Access Point Located in the Third Switchboard
In Figure 1, PV can be designed to access the third switchboard TS, i.e., PV3. TS could be a load of a bus, for example, a living area bus or a bus for daily electricity. Across the areas of China, many PV units have been installed on rooftops thanks to government subsidies. As a clean energy source, they have greatly contributed to the green goal of carbon neutrality.
While in the emergency working condition, generator G4 is put into service at the same time, as seen in Figure 4c, where uPV3 and SPV3 are the input voltage and apparent power of the access point PV3, YL23-1, SL23-1 and YL23-2, SL23-2 are the corresponding admittances and apparent powers as the power flows between the second switchboard SS3 and the third switchboard TS.
Switchboard TS and YB and SB are the admittance and apparent power during the charge and discharge of the battery [25]; YL3-1, YL3-2, and YL3-3 and SL3-1, SL3-2, and SL3-3 are the corresponding admittances and apparent powers as the power flows through the cables to the user load Load3-1, Load3-2, and Load3-3; and other variables correspond to those in Figure 1 and Figure 2a.
2.2. Design of Equivalent Structure of Three-Stage Distribution Network
According to Figure 2, Figure 3 and Figure 4, different PV access points will have different effects, but observing the energy flow, it can be seen that for PV access nodes j, their energy flow mainly consists of two parts: node injection power Sj and Power flowing to the next node Sjk. Due to the fact that nodes may be located at the beginning or end of the distribution network, Sij or Sjk may be 0. Therefore, the topology diagram of the distribution network nodes can be obtained as shown in Figure 5. Figure 5a,b show a simplified topology of the model, where Y represents the admittance, Ui represents the node voltage, and S = P + jQ represents the power. Figure 5c shows a system simulation model based on ETAP.
Figure 5.
Simplified topology and the model: (a) simplified distribution diagram; (b) simplified circuit: branch I; (c) system simulation model.
We select branch MS1-SS3-TS from Figure 5a for research and call it branch I. Although it appears quite simplified, it can be used to represent more complex power grids. Many branches and loads are connected to the main busbars MS1, MS2, SS1, and TS, and they are uniformly converted into an equivalent load, as shown in Equation (1). This expression refers to a constant impedance load type that consumes a given power when the terminal voltage is at its nominal value. However, in reality, other types of loads, such as constant power and constant current loads, may be encountered. Nevertheless, these types of loads can be reasonably approximated by appropriate constant impedance loads.
This representation takes into account the constant impedance load type that consumes a given power when the terminal voltage is at its nominal value. Here, Vreg serves as the reference voltage. Although the actual voltage across the load may not be precisely equal to the voltage Vreg, the error generated by this approximation is negligible. Additionally, in reality, other types of loads, such as constant power and constant current loads, may be encountered. These types of loads can be reasonably approximated by appropriate constant impedance loads as shown in Figure 5c.
3. Problem Description
The integration of PV systems will significantly impact the distribution network, with the most prominent features being the voltage levels at nodes and system losses. The increase in PV capacity is advantageous for achieving energy conservation objectives; however, the impact of PV on the energy distribution within the system needs to be considered, particularly issues such as voltage over-limitation at nodes and the increase in system losses leading to cost and safety concerns. These are hot topics in distribution network research.
3.1. Influence of PV on Distribution System
Analyzing Figure 5, the specific structure is shown in Figure 6. From the substation to the end of the feeder line, they are numbered according to the load nodes along the line in order of 0, 1, 2, 3, …, n. The impedance of each branch is Zi = Ri + Xi, and the load size and power supply size connected to each load node are Pi + jQi, PPVi + jQPVi, respectively.
Figure 6.
Feedline diagram with PV.
When the PV is not connected to the distribution network,
The current of each branch is as follows:
The voltage drop due to line impedance in each branch is as follows:
The voltage of each node is as follows:
When the PV is connected to the distribution network node k,
Assuming that distributed PV are connected to node k, the current of each branch becomes the following:
The voltage loss due to line impedance in each branch becomes the following:
is the equivalent current of the load; is the equivalent current of distributed PV.
By comparing Equations (4) and (7), it can be seen that after connecting PV, the voltage drop of each branch before node k decreases by ZlIPV, and the voltage of the connection point and previous nodes is raised due to the connection of PV. Although nodes after k are not directly affected by IPV, since the voltage of nodes before k is raised, nodes after k are also passively raised by Ui (i > k). According to Equation (6), when l > k, the voltage drop on the line decreases compared to before the PV is connected. Qualitative analysis shows that the node voltage after k is also raised. From the above analysis, it can be concluded that the integration of distributed PV can help improve the voltage quality of feeders [26].
When the connected PV capacity increases, the IPV will also increase accordingly. From Equations (6) and (7), it can be seen that the current and voltage drop of each branch before node k will decrease accordingly, causing the node voltage to be raised and the voltage quality to be improved. But when the capacity of PV is large enough, i.e., IPV > Iki, the power-reversal phenomenon will occur [27].
3.2. Analysis of PV Influence on Distribution Network
The power supply system is operating normally. The difference between the actual voltage of a node and the nominal voltage of the system as a percentage of the nominal voltage of the system is called the voltage deviation of that node.
∆U is the voltage deviation, Ure is the measured voltage, and UN is the reference voltage.
Below is an analysis of Figure 5, which verifies the impact of two factors, namely PV access capacity and PV installation location, on the node voltage in the system.
3.2.1. The Impact of Access Location
Case a. Not connected to PV power supply.
Case b. Connected to a PV power supply with a capacity of 144 kW and a power factor of 0.95 at node SS3.
Case c. Connected to a PV power supply with a capacity of 144 kW and a power factor of 0.95 at node TS.
By comparing theoretical calculation values with actual simulation results, the effectiveness of the method was verified. The error between the two remains within 1%.
Figure 7a–c show the unit voltage values of the bus node when the PV with the same capacity is connected to different positions. The data as shown in Table 1. Combining the analysis in Section 3.1, it can be clearly determined that the integration of PV will increase the voltage of the integration nodes. Furthermore, for PV power generation of the same capacity, the closer the integration location is to the end of the system wiring, the more significant its ability to increase voltage becomes. The voltage rise caused by case c is 200% of that caused by case b.
Figure 7.
The impact of PV access location on node voltage: (a) nodes MS1 and MS2; (b) nodes SS3; (c) nodes TS; (d) comparison of node voltage curves.
Table 1.
Node Voltage Data Sheet: The Impact of Access Location.
Figure 7d illustrates the voltage rise comparison of different nodes under three cases. It is evident that due to the distance from the power source, the voltage drop and rise at the end of the feeder are more pronounced. Under the same operating conditions, the voltage rise of bus SS3 is only 60% of that of TS. When integrating PV with the same capacity into the system, it is apparent that the system voltage is more likely to exceed the limit when integrating at the end of the feeder. When the voltage of bus TS in case c reaches 104.5% of the rated value, the voltage of bus TS in case b is only 101.5%.
Figure 8a–c show the voltage deviation of the bus node when the PV with the same capacity is connected to different positions. The data as shown in Table 2. Previous analysis has shown that the integration of PV can affect the voltage of nodes, thereby leading to changes in voltage deviations. Observing the curves, it can be found that in case b, the voltage deviation of node SS3 has significantly improved, decreasing by 25% compared to case a. It can be inferred that adjusting the reasonable capacity and integration location of the PV can improve the voltage deviation situation of any node in the system.
Figure 8.
The impact of PV access location on node voltage deviation: (a) nodes MS1 and MS2; (b) nodes SS3; (c) nodes TS; (d) comparison of node voltage deviation.
Table 2.
Node Voltage Deviation Data Sheet: The Impact of Access Location.
Figure 8d illustrates the voltage deviation comparison of different nodes under three cases. It demonstrates a phenomenon where the integration of the PV improves the voltage of nodes, but when the PV capacity is too large, the voltage condition of system nodes deteriorates. Comparing case a with case b, the voltage deviation of the system after integrating PV shows some improvement. Even in case c, high-capacity photovoltaics only increase the voltage deviation of SS3 and TS by 20%. In practical applications, this scenario that balances system stability and PV energy-saving characteristics is very meaningful.
3.2.2. The Impact of PV Penetration Rate
Case a. Not connected to PV power supply.
Case b. Connected to a PV power supply with a capacity of 72 kW and a power factor of 0.95 at node TS.
Case c. Connected to a PV power supply with a capacity of 144 kW and a power factor of 0.95 at node TS.
Figure 9 shows the voltage of the bus nodes when different capacities of PV are connected at the TS at the end of the system feeder. The data as shown in Table 3. Figure 9a–d demonstrate that the voltage-boosting effect of PV on the node voltage is proportional to the capacity of the PV units themselves, and there is an approximate linear relationship between the two. This relationship is further studied in Section 4.
Figure 9.
The impact of PV penetration rate on node voltage: (a) nodes MS1 and MS2; (b) nodes SS3; (c) nodes TS; (d) comparison of node voltage curves.
Table 3.
Node Voltage Data Sheet: The Impact of PV Penetration Rate.
Figure 10 shows the voltage deviation of the bus node when connecting PV systems of different capacities at the TS point at the end of the system feeder. The data as shown in Table 4. Compared to Figure 8, it is more evident that the impact of PV on node voltage and voltage deviation is closely related to the connected capacity. In scenario b, the voltage deviation at node TS decreased by 0.5%. However, in case c, due to a significant increase in PV capacity, the system’s voltage deviation increased by 3%. The voltage deviation in case b is smaller, but the connected PV capacity is 50% that of case c. From an economic cost perspective, this is clearly not suitable. The voltage deviation in case c is still within a reasonable range, and the PV capacity is larger, resulting in more considerable benefits. Therefore, the estimation method for voltage rise value has important value in practical engineering.
Figure 10.
The impact of PV penetration rate on node voltage deviation: (a) nodes MS1 and MS2; (b) nodes SS3; (c) nodes TS; (d) comparison of node voltage deviation.
Table 4.
Node Voltage Deviation Data Sheet.
4. Simplified Methods for Rapid Calculation in Distribution Networks
For local distribution networks, the integration of PV not only brings about changes in voltage but also represents significant changes in the flow of energy in the system. From an economic perspective, system losses are worth paying attention to. Different PV capacities, integration locations, and installation plans can all have significant impacts that are worth discussing.
4.1. Equivalent Methods for Topological Simplification
Still Choosing Branch I in Figure 5 for Research
To analyze the voltage rise caused by PV power supply, it is necessary to analyze the current of each branch and the voltage of each node in the system. Due to the potentially large number of branches and nodes in a typical power system, this process may not be able to yield fast and simple analysis. Developing concise formulas to detect whether voltage rise occurs in the power grid under certain operating conditions is of great value.
Consider the line segment in Figure 11a that includes nodes no, n1, and n2. Using the standard Y-Δ transform, this segment can be transformed into the graph shown in Figure 11b.
Figure 11.
Topology simplification process diagram: (a) before equivalence; (b) after equivalence.
In Equations (10) and (11), || represents the parallel connection of equivalent impedance:
For lines with more distribution levels, the process of Figure 11 can be repeated to obtain the form of Figure 12, which undoubtedly makes it easier to analyze voltage and losses. Although this form only reflects the topology of a radial network, it can also be applied to grid topology. For grid topology, two parallel paths can be considered starting from a certain point and meeting at the PV source node. Consider simplifying each of the two parallel branches as shown in Figure 11 and then merging them into a parallel impedance. The simplification obtained in Figure 11 is similar in nature to obtaining the Thevenin equivalent circuit. The use of the Thevenin equivalent circuit allows the PV side to be analyzed based on voltage and power, while the grid side will be embedded into the equivalent power source.
Figure 12.
Simplified topology diagram.
In Figure 12, PV is used as the current source, with the phase of node n0 as the reference, its amplitude is IPV, and the phase is δPV.
To analyze the possibility of voltage rise in Figure 12, we consider the superposition circuit analysis. Firstly, consider the reference node voltage and set the PV source as an open circuit. At this point, the circuit is shown in Figure 13a.
Figure 13.
PV superimposed schematic diagram: (a) generator power supply; (b) PV power supply.
At this time, the voltage of the PV node is as follows:
On the other hand, considering PV power sources, assuming the reference node voltage of the power grid is zero, the system is shown in Figure 13b. In this case, the voltage of the PV node is given by the following equation:
The actual voltage is obtained by combining the values of Equations (13) and (14):
In the formula, PB represents the capacity of the battery, and the system is in a constant float charging state with a power of 1.4 kw.
4.2. Validation of Model Equivalence Based on Node Voltage and System Losses
For the proposed system simplification method, Figure 5 is the object for verification, comparing from two aspects: PV impact on node voltage and system loss. PV is installed at the bus TS and gradually increases the PV penetration rate, including the following:
Case a. Not connected to PV power supply.
Case b. Connected to a 36 kW PV power source with a power factor of 0.95 to the TS node.
Case c. Connected to a 72 kW PV power source with a power factor of 0.95 to the TS node.
Case d. Connected to a 108 kW PV power source with a power factor of 0.95 to the TS node.
Case e. Connected to a 144 kW PV power source with a power factor of 0.95 to the TS node.
Case f. Connected to a 160 kW PV power source with a power factor of 0.95 to the TS node.
The data table and curve are as follows:
The system simplification method proposed in this section can transform a complex network into a simple impedance model structure, with the error in the estimated value of node voltage stabilized within 0.4%. The data as shown in Table 5. For practical engineering purposes, this error falls within the allowable range. The efficiency benefits brought by the simplification method to engineering calculations are quite significant.
Table 5.
Node Voltage and Ploss Data Sheet.
Observing Figure 14, at the end of the PV-integrated distribution network, as the PV penetration rate increases, the voltage changes at various nodes are shown in Figure 14a–d. When the PV capacity reaches 160 kw, node TS reaches the voltage upper limit of 1.05. According to the analysis in 3.1, the integration of PV reduces the demand for system power at the integration node, leading to a decrease in branch current before the node, thereby achieving the goal of improving node voltage and reducing line loss.
Figure 14.
Simplify system theory/simulation voltage curve: (a) nodes MS1 and MS2; (b) nodes SS3; (c) nodes TS; (d) comparison of node voltage curves.
Observing Figure 15, the total loss of the system exhibits a trend of high-low-high variation. This is due to the fact that when the PV capacity is relatively small, energy consumption is better, the branch current before the access node decreases, and the system loss decreases. As the PV capacity gradually increases, excess energy flows back, the branch current increases in reverse, and the loss increases accordingly. When the PV capacity increases from 36 kw to 160 kw, the loss of the system increases by 1725.6%. Therefore, calculating the balance between PV capacity and system loss should be an important step in planning costs.
Figure 15.
Simplify system theory/simulation Ploss curve.
5. Increase the Upper Limit of PV Capacity: Reactive Power Control
Given the discussions in Section 3 and Section 4, excessively high node voltage or system losses are clearly unacceptable, and the current effective solution is to reduce the participation of the PV units or increase their reactive power absorption. The latter allows for further increase in PV capacity while ensuring system stability and energy efficiency.
5.1. The Relationship Between Reactive Power Control and Upper Limit of Node Voltage
As the PV power supply increases, the voltage VL may exceed the upper voltage limit. To alleviate voltage rise, PV power sources can take one of the following two actions:
- Reduce its actual power generation (actual power rationing) [28];
- Absorb reactive power.
For the convenience of analyzing and absorbing the impact of reactive power, consider a simple case of integrating with the power grid through R-L lines, as shown in Figure 16. Concentrate the impedance of the circuit and transformer into one resistor Rlx and one reactance jXlc. Assuming the grid voltage is Vg, the PV voltage is VPV, the actual power generated by PV power generation is PPV, and the absorbed reactive power is QPV. By considering the voltage Vx at the node between Rlc and jXlc, the system can be easily analyzed. Due to the purely resistive impedance between PV point and x point, the actual power transfer between them is very close to the following:
Figure 16.
Circuit Power-Impedance model.
In reality, QPV represents the reactive power generated by the power source, but considering the practical situation, ∆QPV can be approximately equivalent to the reactive power absorption of PV.
As shown in (20), when QPV increases, VPV will be affected and decrease. However, the increase in QPV will also increase Ploss. Below is the calculation of QPV:
Δ is the phase difference between the PV output current and the access point voltage:
5.2. Comparative Analysis of PV Uplift and System Loss Uplift
For the proposed method, Figure 5 is again the verification object. After the bus TS reaches the upper limit of node voltage (105%), gradually increase the PV penetration rate, while attempting to adjust the reactive power absorption of PV to ensure that the voltage of TS remains below 105%.
Define ΔPPV/PPV-0 as the proportion of increase in PV capacity and ΔPloss/Ploss-0 as the proportion of system loss increase.
The basic situation is that the PV power supply operates at its voltage limit considering the unity power factor. At this point, the PV power and system losses are represented as PPV-0 and PLoss-0, respectively. When allowing PV to provide more electricity by absorbing reactive power, the value of PLoss should be determined and compared with PLoss-0 because in some cases, the increase in system losses will exceed the increase in PV injection power, i.e., (PLoss−Ploss-0)/PLoss-0 > (PPV−PPV-0)/PPV-0.
According to the analysis in Section 5.1, PV inverters can continue to increase PV capacity while maintaining the voltage within limits by absorbing reactive power. Figure 17 demonstrates the correctness of this analysis. The data as shown in Table 6. Furthermore, the amount of reactive power absorbed is not proportional to the increase in PV capacity. As can be observed from Figure 17, when the PV capacity increases by 13.75%, the amount of reactive power absorbed increases by 71.2%. This is unacceptable for practical systems. Therefore, it is crucial to use the method proposed in Section 5.1 to increase the PV upper limit within limits in special demand situations.
Figure 17.
ΔPPV/PPV-0 and ΔPloss/Ploss-0.
Table 6.
Reactive Power Absorption, System Losses, and PV Capacity.
6. Increase the Upper Limit of PV Capacity: PV Segmentation Strategy
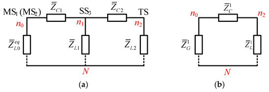
The theory proposed earlier determines the impact of installing PV at the end nodes of the distribution system. The research in this section can be used to determine the PV power that can be installed at various nodes within the power system while maintaining the same voltage at the terminal nodes [29,30,31]. Consider the PV installation shown in Figure 18, where the PV source provides a current of iPV-0.
Figure 18.
Schematic diagram of PV module disassembly: (a) before separation; (b) after separation.
6.1. Analysis of PV Segmentation Effects in Multi-Level Networks
The voltage difference ΔVPV can be determined as follows:
Among them, iL1 and iL2 are load absorption currents. The PV source can be installed in two positions, as shown in Figure 18b. The following equation determines node n1 and maintain ΔVPV constant:
It can be found that the closer the second PV power grid node is to the grid node, the smaller the value of ZC1 is, and thus, higher PV capacity can be installed. Therefore, the PV capacity obtained using this method can be divided into several parts. Each of these components can be moved to a node in the system, where its power can be calculated through computation. Using this method for analysis can determine the PV planning within the distribution system and effectively reduce the voltage difference between adjacent buses. In this article, there is iPV−b = 2(iPV−0−iPV−a).
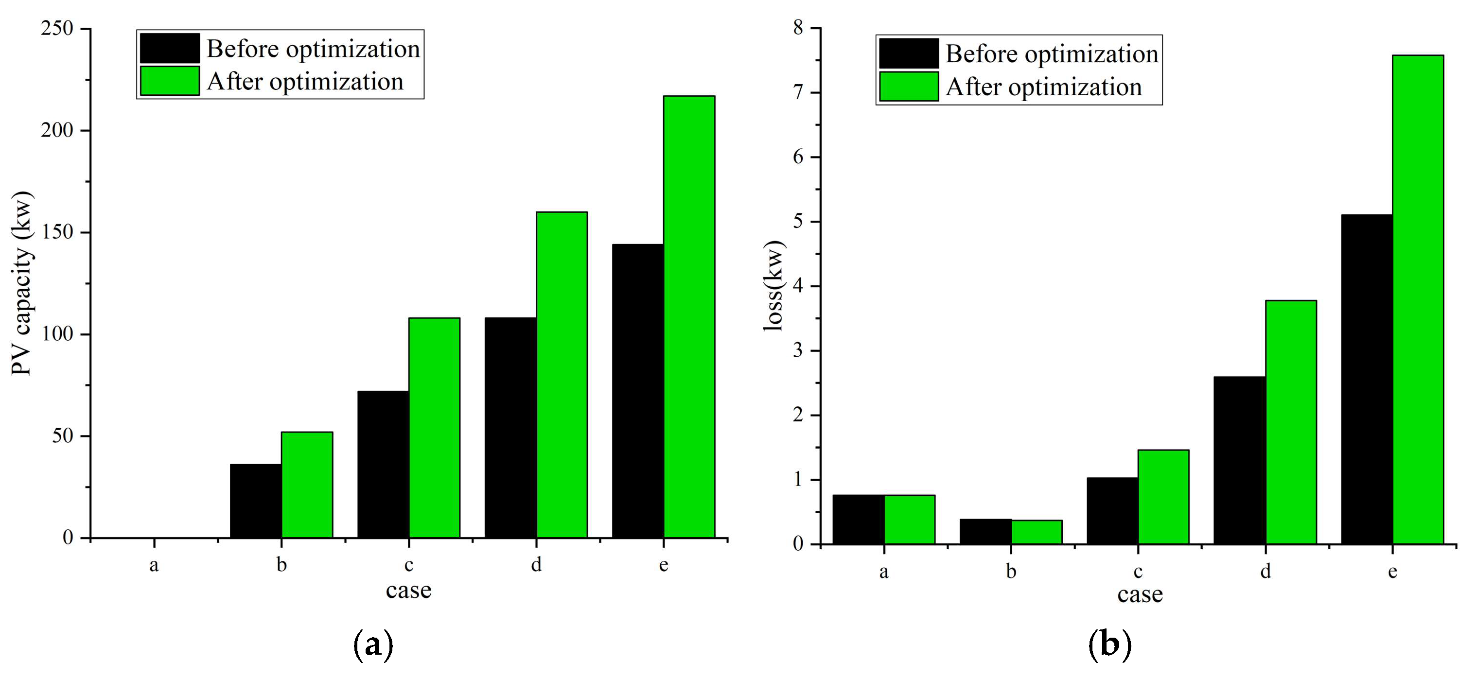
6.2. PV Restructuring Effect Analysis
For the proposed method, Figure 5 is again the validation object. The cases are as follows:
Case a. Not connected to PV power supply.
Case b. The initial PV capacity is 36 kw, which is divided into 16 kw of PV-a and 36 kw of PV-b, with a total capacity of 52 kw.
Case c. The initial PV capacity is 72 kw, which is divided into 36 kw of PV-a and 72 kw of PV-b, with a total capacity of 108 kw.
Case d. The initial PV capacity is 108 kw, which is divided into 52 kw of PV-a and 108 kw of PV-b, with a total capacity of 160 kw.
Case e. The initial PV capacity is 144 kw, which is divided into 73 kw of PV-a and 144 kw of PV-b, with a total capacity of 217 kw.
Splitting PV can maximize the accessible PV capacity of the system under node voltage constraints. Compared to using inverters to absorb reactive power, this approach is more feasible and economical.
Observing Figure 19, considering voltage constraints, the PV capacity can be increased to a maximum of 217 kw, with an efficiency significantly higher than the method described in Section 5.1, increasing the PV limit by 20%. The data as shown in Table 7. Additionally, multiple subsequent decompositions of PV systems remain valuable, and future research will focus on this aspect.
Figure 19.
PV separate effect: (a) PV capacity; (b) loss.
Table 7.
Node Voltage and System Loss Data Sheet.
Observing Figure 19b, under case e, when the PV capacity is increased to 150%, the total loss of the system only rises by 48.5%. This is of great significance for the rational use of clean energy.
6.3. Comparison with Existing Work
Section 5 and Section 6 of the research compare two approaches for raising the upper limit of PV through design. In numerous existing studies, many interesting concepts have also been put forward, which, from various perspectives, achieve the increase in PV upper limit. These methods vary in cost, effectiveness, and simplicity. The specific comparison is presented in Table 8:
Table 8.
Comparison with existing work.
The cost ratio represents the additional investment required for the original photovoltaic system. The method proposed in this study was field-tested in Port LEKKI, Nigeria, using data from the modified system. By comparison, the superiority of the proposed method (PV separate) is clearly demonstrated.
7. Conclusions
This paper thoroughly analyzes the impact of distributed PV power generation systems in multi-level distribution networks, with a particular focus on the research of PV penetration rates and their points of connection on the performance of low-voltage distribution systems.
- By comparing the operational performance of systems at different connection points, it was found that the impact of PV on voltage is more significant when the connection point is closer to the end of the feeder;
- Simultaneously, through the controlled analysis of the PV penetration rate variable, it was revealed that as the PV integration leads to an increase in node voltage, system losses exhibit a pattern of initially increasing, then decreasing, and finally increasing again, which has important practical guiding implications for the design of distribution networks;
- The paper proposes a simplified method for distribution systems. To validate its practicality and simplicity, the article illustrates two strategies that can increase the upper limit of PV generation system capacity, and these strategies were compared and analyzed, effectively solving the problem of the upper limit of PV capacity being restricted by node voltage and system losses;
- The paper derives the relationship between the increase in PV capacity limits and system losses by studying the reactive power absorbed by inverters, analyzing PV segmentation strategy, and deriving the correlation formulas between the segmented PV and the original PV, with simulations verifying the superiority of this strategy.
The simulation results, based on the ETAP 21.0.1 software platform, confirm that by segmenting the PV system into multiple units, it is possible to significantly increase the capacity limit of the PV power generation system while ensuring voltage stability and controlling losses.
The integration of PV systems is a complex process that requires balancing technology, regulation, and user demands. Technological advancements and favorable policies can support the sustainable growth of this sector. For the successful integration of distributed PV systems into electrical networks, the following indicators must be carefully controlled: penetration rate, production, consumption ratio, and the operating duration under surplus conditions. These factors have a positive promoting effect on energy planning and the widespread application of clean energy in the power grid. There is also significant application value for the optimization design and verification of actual engineering projects. The research results provide key theoretical foundations and calculation tools for the deepening application of distributed PV power sources in multi-level distribution networks, system stability assessment, and engineering economy analysis.
For future research plans, we will continue to focus on the effectiveness of our method in more special scenarios, and we hope it can also be applied in more engineering fields, such as stability verification and relay protection verification. Currently, our model was built using ETAP, which includes very detailed parameters and is sufficient to support most simulation tasks in power systems.
Author Contributions
Conceptualization, Y.W., H.Z. and W.Z.; methodology, H.Z.; software, H.Z., S.H. and Y.Y.; validation, Y.W., W.Z. and Y.Y.; formal analysis, H.Z. and Y.W.; investigation, W.Z., S.H. and Y.Y.; resources, Y.W., S.H. and Y.Y.; data curation, Y.W., S.H. and Y.Y.; writing—original draft preparation, Y.W. and H.Z.; writing—review and editing, Y.W. and H.Z.; visualization, H.Z.; supervision, Y.W. and W.Z.; project administration, Y.W., S.H. and Y.Y.; funding acquisition, Y.W. and W.Z. All authors have read and agreed to the published version of the manuscript.
Funding
This research was funded by the National Natural Science Foundation of China 62073095, 51307035, the Harbin Science and Technology Innovation Talent Project RC2024DY395, and Research on Key Technologies of Intelligent Microgrid for Port Self Power Sufficient Container Terminals 2023-ZGKJ-ZDYF-03.
Data Availability Statement
Restrictions apply to the availability of these data. Data were obtained from China Harbour Engineering Company Limit and are available from Yuzhuo Yang with the permission of China Harbour Engineering Company Limit.
Conflicts of Interest
Authors Song Han and Yuzhuo Yang are employed by the company China Harbour Engineering Company Limit. The remaining authors declare that the research was conducted in the absence of any commercial or financial relationships that could be construed as a potential conflict of interest.
References
- Vinnikov, D.; Chub, A.; Kosenko, R.; Sidorov, V.; Lindvest, A. Implementation of Global Maximum Power Point Tracking in Photovoltaic Microconverters: A Survey of Challenges and Opportunities. IEEE J. Emerg. Sel. Top. Power Electron. 2023, 11, 2259–2280. [Google Scholar] [CrossRef]
- International Energy Agency (IEA). Energy Technology Perspectives 2024; International Energy Agency (IEA): Paris, France, 2024; Available online: https://www.iea.org/reports/energy-technology-perspectives-2024 (accessed on 18 December 2024).
- Yeh, C.-C.; Chen, C.-S.; Ku, T.-T.; Lin, C.-H.; Hsu, C.-T.; Chang, Y.-R.; Lee, Y.-D. Design of special protection system for an offshore island with high PV penetration. In Proceedings of the 2016 IEEE/IAS 52nd Industrial and Commercial Power Systems Technical Conference (I&CPS), Detroit, MI, USA, 1–5 May 2016; pp. 1–7. [Google Scholar]
- Poulek, V.; Safránková, J.; Cerná, L.; Libra, M.; Beránek, V.; Finsterle, T.; Hrzina, P. PV Panel and PV Inverter Damages Caused by Combination of Edge Delamination, Water Penetration, and High String Voltage in Moderate Climate. IEEE J. Photovolt. 2021, 11, 561–565. [Google Scholar] [CrossRef]
- Jafari, M.-R.; Parniani, M.; Ravanji, M.-H. Decentralized Control of OLTC and PV Inverters for Voltage Regulation in Radial Distribution Networks with High PV Penetration. IEEE Trans. Power Deliv. 2022, 37, 4827–4837. [Google Scholar] [CrossRef]
- Cheng, D.; Mather, B.-A.; Seguin, R.; Hambrick, J.; Broadwater, R.-P. Photovoltaic (PV) Impact Assessment for Very High Penetration Levels. IEEE J. Photovolt. 2016, 6, 295–300. [Google Scholar] [CrossRef]
- Aziz, T.; Ketjoy, N. Enhancing PV Penetration in LV Networks Using Reactive Power Control and On Load Tap Changer with Existing Transformers. IEEE Access 2018, 6, 2683–2691. [Google Scholar] [CrossRef]
- Padullaparti, H.; Wang, J.; Veda, S.; Baggu, M.; Golnas, A. Evaluation of Data-Enhanced Hierarchical Control for Distribution Feeders with High PV Penetration. IEEE Access 2022, 10, 42860–42872. [Google Scholar] [CrossRef]
- Mokaribolhassan, A.; Nourbakhsh, G.; Ledwich, G.; Arefi, A.; Shafiei, M. Distribution System State Estimation Using PV Separation Strategy in LV Feeders with High Levels of Unmonitored PV Generation. IEEE Syst. J. 2023, 17, 684–695. [Google Scholar] [CrossRef]
- Rahman, S.; Saha, S.; Islam, S.N.; Arif, M.T.; Mosadeghy, M.; Oo, A.M.T.; Haque, M.E. Analysis of Power Grid Voltage Stability with High Penetration of Solar PV Systems. IEEE Trans. Ind. Appl. 2021, 57, 2245–2257. [Google Scholar] [CrossRef]
- Wang, L.; Bai, F.; Yan, R.; Saha, T.-K. Real-Time Coordinated Voltage Control of PV Inverters and Energy Storage for Weak Networks with High PV Penetration. IEEE Trans. Power Syst. 2018, 33, 3383–3395. [Google Scholar] [CrossRef]
- Hraiz, M.-D.; García, J.-A.-M.; Castañeda, R.-J.; Muhsen, H. Optimal PV Size and Location to Reduce Active Power Losses While Achieving Very High Penetration Level with Improvement in Voltage Profile Using Modified Jaya Algorithm. IEEE J. Photovolt. 2020, 10, 1166–1174. [Google Scholar] [CrossRef]
- Chatzipanagi, A.; Kakoulaki, G.; Szabó, S.; Jäger-Waldau, A. Overview and Perspective of Integrated Photovoltaics with a Focus on the European Union. Appl. Sci. 2024, 14, 10628. [Google Scholar] [CrossRef]
- Rohouma, W.; Metry, M.; Balog, R.-S.; Peerzada, A.-A.; Begovic, M.-M.; Zhou, D. Analysis of the Capacitor-Less D-STATCOM for Voltage Profile Improvement in Distribution Network with High PV Penetration. IEEE Open J. Power Electron. 2022, 3, 255–270. [Google Scholar] [CrossRef]
- Singh, S.; Pamshetti, V.-B.; Thakur, A.-K.; Singh, S.-P. Multistage Multiobjective Volt/VAR Control for Smart Grid-Enabled CVR With Solar PV Penetration. IEEE Syst. J. 2021, 15, 2767–2778. [Google Scholar] [CrossRef]
- Kaushik, R.; Mahela, O.P.; Bhatt, P.K.; Khan, B.; Garg, A.R.; Alhelou, H.H.; Siano, P. Recognition of Islanding and Operational Events in Power System with Renewable Energy Penetration Using a Stockwell Transform-Based Method. IEEE Syst. J. 2022, 16, 166–175. [Google Scholar] [CrossRef]
- Di, L.; Lv, Z.; Chang, H.; Cai, J. Distributed Photovoltaic Communication Anomaly Detection Based on Spatiotemporal Feature Collaborative Modeling. Appl. Sci. 2024, 14, 9820. [Google Scholar] [CrossRef]
- de la Parra, I.; Muñoz, M.; Lorenzo, E.; García, M.; Marcos, J.; Martínez-Moreno, F. PV performance modelling: A review in the light of quality assurance for large PV plants. Renew. Sustain. Energy Rev. 2017, 78, 780–797. [Google Scholar] [CrossRef]
- Saffar, M.-A.; Musilek, P. Reinforcement Learning-Based Distributed BESS Management for Mitigating Overvoltage Issues in Systems with High PV Penetration. IEEE Trans. Smart Grid 2020, 11, 2980–2994. [Google Scholar] [CrossRef]
- Wang, H.; Binti Mansor, N.N.; Mokhlis, H.B. Novel Hybrid Optimization Technique for Solar Photovoltaic Output Prediction Using Improved Hippopotamus Algorithm. Appl. Sci. 2024, 14, 7803. [Google Scholar] [CrossRef]
- Ali, A.; Mahmoud, K.; Raisz, D.; Lehtonen, M. Probabilistic Approach for Hosting High PV Penetration in Distribution Systems via Optimal Oversized Inverter with Watt-Var Functions. IEEE Syst. J. 2021, 15, 684–693. [Google Scholar] [CrossRef]
- Li, H.L.; Zhao, L.; Zhou, C.L.; Liu, Z.G.; Wang, W.J. PV demand and supply in China. Prog. Photovolt. 2013, 21, 1286–1291. [Google Scholar] [CrossRef]
- Aboshady, F.-M.; Pisica, I.; Zobaa, A.-F.; Taylor, G.-A.; Ceylan, O.; Ozdemir, A. Reactive Power Control of PV Inverters in Active Distribution Grids with High PV Penetration. IEEE Access 2023, 11, 81477–81496. [Google Scholar] [CrossRef]
- Najafabadi, S.-R.-K.; Fani, B.; Sadeghkhani, I. Optimal Determination of Photovoltaic Penetration Level Considering Protection Coordination. IEEE Syst. J. 2022, 16, 2121–2124. [Google Scholar] [CrossRef]
- Atmaja, W.Y.; da Silva, F.F.; Bak, C.L.; Putranto, L.M. PV/PV-Battery hosting capacity estimation method based on hidden Markov model for effective stochastic computation. Electr. Power Syst. Res. 2024, 234, 110752. [Google Scholar] [CrossRef]
- Ahmadi, M.; Lotfy, M.-E.; Shigenobu, R.; Howlader, A.-M.; Senjyu, T. Optimal Sizing of Multiple Renewable Energy Resources and PV Inverter Reactive Power Control Encompassing Environmental, Technical, and Economic Issues. IEEE Syst. J. 2019, 13, 3026–3037. [Google Scholar] [CrossRef]
- Yu, H.; Lee, J.; Wi, Y.-M. Day-Ahead PV Generation Scheduling in Incentive Program for Accurate Renewable Forecasting. Appl. Sci. 2024, 14, 228. [Google Scholar] [CrossRef]
- Singhal, A.; Ajjarapu, V.; Fuller, J.; Hansen, J. Real-Time Local Volt/Var Control Under External Disturbances with High PV Penetration. IEEE Trans. Smart Grid 2019, 10, 3849–3859. [Google Scholar] [CrossRef]
- Voglitsis, D.; Papanikolaou, N.-P.; Kyritsis, A.-C. Active Cross-Correlation Anti-Islanding Scheme for PV Module-Integrated Converters in the Prospect of High Penetration Levels and Weak Grid Conditions. IEEE Trans. Power Electron. 2019, 34, 2258–2274. [Google Scholar] [CrossRef]
- Almeida, M.P.; Muñoz, M.; de la Parra, I.; Perpiñán, O. Comparative study of PV power forecast using parametric and nonparametric PV models. Sol. Energy 2017, 155, 854–866. [Google Scholar] [CrossRef]
- Lu, Q.; Yu, H.; Zhao, K.L.; Leng, Y.J.; Hou, J.C.; Xie, P.J. Residential demand response considering distributed PV consumption: A model based on China’s PV policy. Energy 2019, 172, 443–456. [Google Scholar] [CrossRef]
- Angelin, M.J.; Geetha, R. Increasing the Power in Photovoltaic Systems using a Floating PV System compared with a Rooftop PV System by Limiting the Temperature Loss. In Proceedings of the 2023 6th International Conference on Contemporary Computing and Informatics (IC3I), Gautam Buddha Nagar, India, 14–16 September 2023; pp. 1506–1510. [Google Scholar]
- Elserougi, A.A.; Diab, M.S.; Massoud, A.M.; Abdel-Khalik, A.S.; Ahmed, S. A Switched PV Approach for Extracted Maximum Power Enhancement of PV Arrays During Partial Shading. IEEE Trans. Sustain. Energy 2015, 6, 767–772. [Google Scholar] [CrossRef]
- Liu, X.; Aichhorn, A.; Liu, J.; Li, H. Coordinated Control of Distributed Energy Storage System with Tap Changer Transformers for Voltage Rise Mitigation Under High Photovoltaic Penetration. IEEE Trans. Smart Grid 2012, 2, 897–906. [Google Scholar] [CrossRef]
Disclaimer/Publisher’s Note: The statements, opinions and data contained in all publications are solely those of the individual author(s) and contributor(s) and not of MDPI and/or the editor(s). MDPI and/or the editor(s) disclaim responsibility for any injury to people or property resulting from any ideas, methods, instructions or products referred to in the content. |
© 2024 by the authors. Licensee MDPI, Basel, Switzerland. This article is an open access article distributed under the terms and conditions of the Creative Commons Attribution (CC BY) license (https://creativecommons.org/licenses/by/4.0/).