You are currently viewing a new version of our website. To view the old version click .
Applied Sciences
  • Article
  • Open Access

30 December 2024

Co-Digestion of Tea Extracts with Omega-3 Fatty Acids Enhances Digestive Stability and Intestinal Absorption of Omega-3 Fatty Acids by Increasing Antioxidant Activity and Micelle Stabilization

,
,
,
,
and
1
Department of Food Science and Biotechnology, Sejong University, 209 Neungdong-ro, Gwangjin-gu, Seoul 05006, Republic of Korea
2
AMOREPACIFIC Research and Innovation Center, 1920 Yonggu-daero, Yongin-si 17074, Gyeonggi-do, Republic of Korea
*
Author to whom correspondence should be addressed.
This article belongs to the Special Issue Nutrients and Functional Substances in Plant-Based Foods

Abstract

The current study hypothesized that omega-3 fatty acids ω-3 FAs consumed with various tea extracts, which included green tea extract comprising 35% and 65% catechin (GTE35 and GTE65), naturally fermented green tea (Heukcha) extract (NFGT), and a complex of heat-treated green tea and enzymatically-modified isoquercitrin (1:1, w:w) (AdiphenonTM) would enhance the digestive stability and intestinal absorption of ω-3 FAs. The digestive stability of eicosapentaenoic acid (EPA) and docosahexaenoic acid (DHA) co-digested with GTE65 using an in vitro digestion model system was improved by up to 20.76% and 23.22%, respectively, compared to ω-3 FAs. The oxidative stability, measured using peroxide values, was the lowest, whereas the DPPH radical scavenging capacity during digestion was the highest in Adiphenon™, showing 1.03 ± 0.25 meq O2/kg oil and 1251.96 ± 26.03 µmol TE/g. The deviation in zeta potential was reduced when ω-3 FAs were co-treated with various tea extracts, indicating that the micelle of ω-3 FAs is stable. The intestinal absorption in Caco-2 cells increased by up to 34.53% for EPA and 60.23% for DHA with various tea extracts compared to ω-3 FAs alone. The co-treatment with GTE35 and Adiphenon™ did not alter the expression of P-glycoprotein (P-gp) compared to ω-3 FAs alone, which implies the efflux of tea polyphenols, such as catechins, could be limited due to the suppression of P-gp by ω-3 FA. The results from the current study suggest that the co-intake of ω-3 FAs with various tea extracts could increase the bioavailability of ω-3 FAs by preventing oxidation, stabilizing micelle structures, and minimizing intestinal efflux.

1. Introduction

Omega-3 fatty acids (ω-3 FA) included in polyunsaturated fatty acids have a double bond because the third carbon in their backbone is derived from various marine species, such as salmon, sardines, tuna, halibut, and other seafood, including krill and algae, and plant-based sources [,]. α-linolenic acid (ALA) is primarily found in plant sources among ω-3 FA, whereas eicosapentaenoic acid (EPA) and docosahexaenoic acid (DHA) are predominantly derived from marine sources, such as fatty fish []. It was established that the health effects of ω-3 FAs are more influenced by EPA and DHA than they are from ALA []. For instance, EPA and DHA exhibit potent anti-inflammatory effects by reducing the adhesion molecule expression, leukocyte chemotaxis, and pro-inflammatory eicosanoids from arachidonic acid [,]. These actions collectively shift the inflammatory environment toward reduced cell responsiveness, such as neutrophils, monocytes, macrophages, T-cells, and endothelial cells, and promote the resolution of inflammation []. It was also demonstrated that EPA and DHA improved conditions such as meibomian gland dysfunction, which is where supplementation can reduce eyelid inflammation, stabilize the tear film, and enhance the quality of life in affected patients [].
ω-3 FAs are inherently unstable due to their chemical structure, particularly their multiple double bonds readily reacting with oxygen, making them highly susceptible to oxidation. Previous studies pointed out that ω-3 FAs are unstable in the gastrointestinal phase and have low intestinal absorption when orally consumed [,]. The acidic environment of the stomach also dissociates micelle structures that are essential for the absorption of ω-3 FA, which leads to a loss of stability before reaching the small intestine []. Furthermore, the micelle formation becomes incomplete when concentrations of bile salt are insufficient, which makes the absorption of ω-3 FAs more difficult []. ω-3 FAs are oxidized via lipid radical formation and subsequent peroxyl radical propagation, which leads to lipid hydroperoxide accumulation and accelerated degradation []. Antioxidants donate hydrogen atoms to neutralize free radicals in order to inhibit this process, thereby breaking the oxidative chain reaction and preventing further lipid oxidation [,]. The stability of micelle structures plays a crucial role in maintaining the digestive stability of ω-3 FAs, which significantly influences their overall bioavailability []. ω-3 FAs are incorporated into micelle structures in the small intestine, which facilitate their transport across the intestinal lining and absorption into the body [].
Several studies explored antioxidants, such as green tea extracts, in order to maximize the bioavailability of ω-3 FAs, which are prone to oxidation and have limited absorption [,]. Green tea extracts are a concentrated form of bioactive compounds, which are primarily rich in antioxidants, such as catechins, and offer various health benefits, including anti-inflammatory and antioxidant effects []. The antioxidant properties of catechins inhibit the oxidation of ω-3 FAs, stabilize micelle structures, and contribute to improved nutrient absorption [,]. The catechins of green tea extracts strengthen the selective barrier against potentially harmful substances while allowing beneficial nutrients to pass through []. They also alter the structure of the phospholipid bilayer, which leads to the downregulation of efflux proteins such as P-glycoprotein (P-gp) when ω-3 FA are absorbed into the small intestine []. This inhibition of P-gp reduces the efflux of beneficial compounds, such as catechins, thereby enhancing their overall absorption [].
It is widely believed that the co-intake of green tea and ω-3 FAs may reduce the digestive stability and absorption of ω-3 FAs due to potential inhibitory interactions []. However, contrary to this popular belief, previous studies have suggested that green tea extracts, which are rich in catechins, possess potent antioxidant properties that may prevent lipid oxidation, a major factor contributing to ω-3 FAs instability during digestion [,]. The study also implied that green tea extracts improved absorption in the small intestine by stabilizing micelle structures in animal models. The current study, therefore, hypothesized that ω-3 FAs treated with various tea extracts will increase (1) digestive stability of ω-3 FAs by preventing lipid oxidation, (2) the digestive stability of ω-3 FA by stabilizing micelles of ω-3 FA, (3) intestinal absorption of ω-3 FA by increasing the integrity of the epithelial membrane, and (4) intestinal absorption of catechins by suppressing ω-3 FA-induced expression of P-gp using a biomimicking system that is coupled with Caco-2 cells.

2. Materials and Methods

2.1. Chemicals and Reagents

Green tea extracts that contain 35% catechin (GTE35), green tea extracts that contain 65% catechin (GTE65), naturally fermented green tea (Heukcha) extract (NFGT), and a complex of heat-treated green tea and enzymatically-modified isoquercitrin (1:1, w:w) (AdiphenonTM) were kindly provided by the AMOREPACIFIC Research and Innovation (R&I) Center (Gyeonggi-do, Korea). DMEM with phenol red was purchased from Biowest (Riverside, MO, USA). α-amylase from porcine pancreas, pepsin from human gastric mucosa, pancreatin from lipase from porcine pancreas, bile extract from porcine pancreas, and 2,2-diphenyl-1-picrylhydrazyl (DPPH) were supplied by Sigma-Aldrich Chemical Co. (St. Louis, MO, USA). Fetal bovine serum (FBS) was supplied by Cytiva (Marlborough, MA, USA). Dulbecco’s phosphate-buffered saline (DPBS) and penicillin/streptomycin (P/S) were supplied by Corning Inc. (Corning, NY, USA). All the chemicals were of analytical grade and were stored according to their required storage conditions. Analytical grades of eicosapentaenoic acid (EPA) and docosahexaenoic acid (DHA) were obtained from Sigma-Aldrich (≥98%, St. Louis, MO, USA). All chemicals were of liquid chromatography (LC) grade. An ELISA Kit for the permeability glycoprotein assay was purchased from CLOUD-CLONE CORP (Katy, TX, USA).

2.2. Analysis of EPA and DHA by HPLC-UV

Identification and quantification of EPA and DHA (ω-3 FAs) were performed using high-performance liquid chromatography equipped with an ultraviolet detector (HPLC-UV, Ultimate 3000, Thermofisher, Waltham, MA, USA). The systems were utilized with a CAPCELL PAK C18 MG II reverse phase column (250 × 4.6 mm, 5.0 μm). An aliquot of the standard sample (10 mg) was dissolved in 1 mL of 80% MeOH. The mobile phase comprised an isocratic solvent system using water/MeOH/trifluoroacetic acid (90/10/0.1, v/v/v), and it was eluted at a flow rate of 1.0 mL/minute. The analysis was conducted with a 10 μL injection volume and monitored at a wavelength of 215 nm. The peak area measurement was used to obtain the standard calibration curves in order to determine each standard solution.

2.3. Validation of HPLC Method

The HPLC-UV bio-analytical method of EPA and DHA was validated for linearity, accuracy, precision, limit of detection (LOD), and the limit of quantification (LOQ). The linearity was identified after injecting standard solutions of EPA and DHA at different concentration levels of 1, 5, 10, 25, and 50 μg/mL. Calibration curves for every compound with the correlation coefficient (r2) were calculated using the regression equation in Microsoft Excel 365. The calculation for the LOD and LOQ was conducted using the standard deviation (SD) of the y-intercept of the regression (r) and the slope (S) using the following equation: LOD = 3.3 × σ/S, LOQ = 10 × σ/S. The accuracy was expressed as the degree of agreement between the measured concentration and the nominal concentration. The repeatability of EPA and DHA was expressed as the relative standard deviation (RSD) in standard solutions of each component prepared for linearity. The precision was assessed based on the results for EPA and DHA standard solutions, and the average RSD of the values gained in the three replicates was calculated.

2.4. In Vitro Digestion Model System

An in vitro digestion model system was used with slight modifications from the previous studies in order to measure the digestive stability of ω-3 FAs either alone or combined with GTE35, GTE65, NFGT, and AdiphenonTM [,]. In this study, the ω-3 FAs were composed of EPA and DHA in a 1:1 (v:v) ratio. An aliquot of ω-3 FAs (300 µg), GTE35 (600 µg), GTE65 (600 µg), NFGT, which included 180 µg of NFGT30 and 600 µg of NFGT100, and 300 µg of AdiphenonTM were suspended in 1 mL of 20 mM PBS. The concentrations of samples were determined based on their recommended daily intake levels, as specified by the Ministry of Food and Drug Safety (MFDS, 2020). The digestive process that simulated human body digestion was conducted as follows: 700 µL of α-amylase, which included 2 unit/mL of 20 mM PBS, was added to the sample for the salivary digestion, and the pH was then adjusted to 6.9 ± 0.1. The samples were then mixed in a shaking water bath at 37 °C at 200 rpm for 5 min in order to mimic the masticatory motion. A volume of 1.4 mL of pepsin, which included 20 mg/mL in 0.1 M HCl, was added when the samples reached the gastric phase, and the pH was adjusted to 2.0 ± 0.1 with 1 M HCl. The samples were then shaken at 37 °C at 200 rpm for 60 min. The mixtures were progressed to a simulated small intestine phase. The pH was adjusted to 5.3 ± 0.1 for the upper small intestinal phase using 1 M NaHCO3. A volume of 700 µL of bile acid, 700 µL of lipase, and 700 µL of pancreatin were then added to the mixture, and the pH was increased to 7.0 ± 0.1 using 1 M NaOH. The mixtures were incubated for 120 min in a bath at 37 °C at 200 rpm. All samples were adjusted to the same volume after digestion by adding 20 mM of a phosphate buffer. The mixtures were subsequently centrifuged for 30 min at 4000 rpm at a refrigerated temperature of 4 °C. The separated supernatant was used for further analyses. The supernatants of the sample were measured using HPLC-UV.

2.5. Caco-2 Cell Culture

The Caco-2 monolayer cells were obtained from the Korean Cell Line Bank (KCLB, Seoul, Republic of Korea), and the passages number of Caco-2 cell used in this study were between 15 and 25. The cells were cultured in DMEM supplemented with 10% FBS and 1% P/S. The cells were incubated at 37 °C in 5% CO2, and the media was changed every 2–3 days.

2.6. Assessment of the Oxidative Status

The peroxide value (PV), which measures primary oxidation products in oil samples, was determined according to the AOAC official method 965.33 with some modifications (AOAC, 2016). An aliquot of the oil sample (1 g) was dissolved in 15 mL of the acetic acid–chloroform solution (3:2 v/v). A total of 0.25 mL of the saturated potassium iodide (KI) solution was then added to the mixture, shaken for 1 min, kept in the dark for 5 min, and 15 mL of distilled water was then added. Titration was conducted with a 0.1 N sodium thiosulfate solution until the yellow color almost disappeared. A total of 0.5 mL of the starch solution (1% w/v) was added, and titration was continued until the blue color disappeared. PV was calculated using the formula provided below.
P V m e q   O 2 / k g   o i l = V V b × N × 1000 m
where V and Vb are volumes (mL) of sodium thiosulfate for the sample and the blank, respectively, N is the normality of sodium thiosulfate, and m is the mass of oil (g).

2.7. Zeta Potential Distributions

The zeta potential measurements were performed using a Zetasizer nano ZS (Malvern Panalytical, Worcestershire, UK). About 0.7 mL of the particle suspension was carefully injected into a flow cell that was equipped with two gold-plated electrodes. The presence of any trapped air was removed by tapping the cell. The measurement was conducted by setting automatic scanning and a temperature of 25 °C.

2.8. DPPH Radical Scavenging Ability

The 2-Diphenyl-1-Picrylhydrazyl (DPPH) assay was performed as described in a previous study with slight modifications []. A 1 mM DPPH solution was prepared by adding 19.7 mg of DPPH into 50 mL 50% EtOH. ω-3 FAs either alone or ω-3 FAs with GTE35, GTE65, NFGT, and AdiphenonTM were dissolved into 50% EtOH. After that, 20 µL samples were dispensed into a 96-well plate. Then, 180 µL of 1 mM DPPH was added to each well, and the plate was incubated at 25 °C for 10 min. The samples were measured at 517 nm for the DPPH radical scavenging signal using a microplate reader. Various concentrations, ranging from 1–50 μg/mL of the Trolox standard solution, were prepared for the external calibration of the standard curve.

2.9. Epithelial Cellular Integrity and Intestinal Transport

The Caco-2 cells were seeded in a 12-transwell culture plate (Corning, New York, NY, USA) at a density of 1.0 × 105 cells/well, and were then left to sprout for 14–21 days in order to attain confluence and differentiation. The proper cell integrity and transport ability of the Caco-2 monolayer were analyzed by measuring the transepithelial electrical resistance (TEER) value using the Millicell ERS-2 system (Millipore, Bedford, MA, USA). The TEER value reached 300–500 Ω/cm2, which was confirmed as the proper cell integrity to be used for transport experiments. The TEER analysis was performed every 15, 45, 90, and 120 min, and calculated using the equation supplied below.
T E E R   ( %   o f   0   min ) = T E E R   v a l u e s   ( e a c h   t i m e p o i n t ) T E E R   v a l u e s   ( 0   m i n ) × 100
The transport experiments were conducted by adding the supernatant after digestion to the apical (AP) side. A total of 500 μL of the culture medium was removed from the basal (BA) side after incubating for 2 h, and refrigerated at 4 °C before performing the HPLC analysis.

2.10. P-gp ATPase Activity Assay

The permeability glycoprotein (P-gp) expression level was evaluated using the ELISA Kit for P-gp. The Caco-2 cells were seeded with 1 × 106 cells/well in a 6-well cell culture plate, and the plate was incubated at 5% CO2 and at 37 °C for 24 h. After that, the cells were treated with the DMEM containing ω-3 FAs, either alone or ω-3 FAs with GTE35, GTE65, NFGT, and AdiphenonTM for 24 h. An experiment was conducted following the ELISA kit instructions for the P-gp experiment method, and the optical density (OD) was then measured at 450 nm.

2.11. Statistical Analysis

All the data were expressed as mean ± SD in triplicate. A one-way analysis of variance (ANOVA) was applied in order to measure the significant differences among the samples at p < 0.05 using the GraphPad Prism 6.01 software (GraphPad, La Jolla, CA, USA). A p-value below 0.05 was considered statistically significant, and the post-hoc Tukey test was conducted at the 95% confidence level.

3. Results and Discussion

3.1. Bio-Analytical Method Validation of EPA and DHA by HPLC-UV

The bio-analytical method for EPA and DHA from digesta and cell medium was validated in order to optimize the analysis, which is revealed in Table 1. The target compounds separated well, eluting at 7.59 min and 8.98 min for EPA and DHA, respectively, using HPLC-UV. Each standard solution of EPA and DHA was within the range of 1 to 50 µg/mL, which demonstrated a correlation coefficient (r2) that exceeded 0.9966 for EPA and 0.9981 for DHA. The accuracy (%) of the bio-analytical method was in the range of 85.80–101.83 for EPA and 91.78–100.31 for IQC. The precision (% RSD) ranged from 0.90–1.10 for EPA and 0.03–0.50 for DHA. The LOD and LOQ were determined to be 0.182 and 0.553 µg/mL for EPA, and 0.035 and 0.107 µg/mL for DHA, as shown in Table 1. These results confirmed that the bio-analytical method of EPA and DHA was well validated by the HPLC-UV.
Table 1. Bio-analytical methods validation of EPA and DHA using HPLC-UV.

3.2. Effect of Tea Extracts on Digestive Stability of ω-3 FA During In Vitro Digestion

An in vitro digestion simulation system was employed to measure the content of EPA and DHA from ω-3 FA at each phase, salivary, gastric, and small intestinal, as shown in Table 2, in order to evaluate the effect of various tea extracts on their digestive stability. The highest stability of EPA and DHA was observed with GTE65, where the digestive stability of EPA reached 57.59 ± 1.84%, 25.59 ± 1.00%, and 8.61 ± 0.39% in the salivary, gastric, and small intestinal phases, respectively, whereas DHA reached 49.11 ± 1.94%, 20.57 ± 0.51%, 8.12 ± 0.45% in each respective phase. In regards to the digestion of ω-3 FAs with GTE35, NFGT100, NFGT30, and AdiphenonTM, EPA and DHA exhibited no significant differences relative to GTE65 (p < 0.05). Overall, ω-3 FAs were relatively stable in the small intestinal phase during digestion. The digestive stability of both EPA and DHA was increased when they were co-treated with various tea extracts compared to ω-3 FAs alone in continuous in vitro digestion. All tea treatments specifically showed a significant difference compared to ω-3 FAs alone (p < 0.05) except for NFGT100. Similar findings were observed from a previous study that demonstrated that the bioavailability of ω-3 FAs can be enhanced when formulated as complexes with other compounds []. For instance, polyphenols prevented the oxidation of ω-3 FAs, supporting their intestinal uptake while preserving their bioactivity [,]. The results of the current study confirmed that ω-3 FAs become more stable during digestion when mixed with tea extracts, providing greater stability compared to ω-3 FAs alone.
Table 2. Digestive stability of EPA and DHA during in vitro digestion. An asterisk (*) indicates significant differences between a single substance and a complex mixture (p < 0.05).

3.3. Effect of Tea Extracts on Oxidative Status of ω-3 FA During Digestion

The peroxide value (PV) of ω-3 FAs was measured in order to determine whether the various tea extracts prevent the oxidation of ω-3 FA during digestion. It was found that the PV was higher in ω-3 FAs alone than when co-digested with various tea extracts. The values were 4.36 ± 0.36, 3.73 ± 0.47, 3.67 ± 0.56, 3.37 ± 0.87, 3.07 ± 0.80, and 1.03 ± 0.25 meq O2/kg oil for ω-3 FAs, GTE35, GTE65, NFGT100, NFGT30, and AdiphenonTM, respectively (p < 0.05), as illustrated in Figure 1. The co-treatment with Adiphenon™ showed the lowest PV, indicating a significant difference compared to ω-3 FAs alone (p < 0.05). The previous studies found that antioxidants, such as green tea extracts, enhanced the stability of ω-3 FAs by neutralizing free radicals, which accelerate lipid oxidation [,]. It was also revealed that supplementation with green tea extracts inhibited the oxidation of DHA by approximately 55% compared to DHA-rich oil without any added antioxidants []. The current study further confirmed that radical scavenging, measured using the DPPH assay and then expressed as Trolox equivalent antioxidant activity (TEAC, µmol TE/g sample), was significantly higher in ω-3 FAs combined with various tea extracts compared to ω-3 FAs alone (p < 0.05). The values obtained were 161.71 ± 11.73, 1036.61 ± 40.58, 1123.58 ± 4.68, 984.41 ± 47.18, 712.64 ± 14.98, 712.64 ± 14.98, and 1251.96 ± 26.03 µmol TE/g sample for ω-3 FAs, GTE35, GTE65, NFGT100, NFGT30, and AdiphenonTM, respectively (p < 0.05), as shown in Figure 2. The results from this study suggest that the antioxidant properties of various tea extracts inhibit the oxidation of ω-3 FAs, thereby enhancing their digestive stability.
Figure 1. Peroxide value of ω-3 FAs with and without various tea extracts. Different letters indicate significant differences among groups (p < 0.05). An asterisk (*) denotes significant differences between ω-3 FAs alone and those combined with each sample (p < 0.05).
Figure 2. Trolox equivalent antioxidant activity (TEAC) of ω-3 FAs with and without various tea extracts. Different letters indicate significant differences among groups (p < 0.05). An asterisk (*) denotes significant differences between ω-3 FAs alone and those combined with each sample (p < 0.05).

3.4. Effect of Tea Extracts on Micellization of ω-3 FAs During In Vitro Digestion

The deviation in the zeta potential of ω-3 FAs with and without various tea extracts was measured in order to evaluate the stability of ω-3 FAs micelles after in vitro digestion. The ω-3 FAs exhibited a significantly higher deviation in the zeta potential compared to those combined with various tea extracts. The values were 14.47 ± 2.04 mV for ω-3 FAs alone, 8.82 ± 0.31 mV for GTE35, 11.80 ± 0.30 mV for GTE65, 9.22± 0.66 mV for NFGT100, 9.19 ± 0.57 mV for NFGT30, and 8.75 ± 0.47 mV for AdiphenonTM, as shown in Figure 3. A narrow deviation in the zeta potential indicated that the micelles were well-dispersed and stable within the suspension [,]. These results suggest that the micellar structures maintain a uniform distribution, contributing to their stability []. The observed stabilization of micelle structures can be attributed to the antioxidant properties of catechins in green tea extracts. Catechins are known to reduce lipid oxidation by neutralizing free radicals, thereby preserving the structural integrity of ω-3 FAs-containing micelles during digestion [,]. Additionally, catechins may interact with the lipid components of micelles through hydrogen bonding or hydrophobic interactions, enhancing micelle stability and preventing their dissociation under gastrointestinal conditions []. Consistent with these findings, the current study demonstrates that the antioxidant activity of various tea extracts significantly improved the digestive stability of ω-3 FAs by maintaining stable micelle structures.
Figure 3. Zeta potential deviation of ω-3 FAs with and without various tea extracts after in vitro digestion. The different letters indicate significant differences among groups (p < 0.05). An asterisk (*) denotes significant differences between the ω-3 FAs alone and those combined with each sample (p < 0.05).

3.5. Effect of Tea Extracts on the Integrity of the Intestinal Epithelium During ω-3 FAs Digestion in Caco-2 Cells

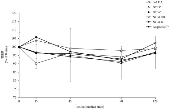
The TEER values were measured from Caco-2 cells at intervals of 15, 45, 90, and 120 min in order to assess the effect of ω-3 FAs with and without various tea extracts, on the integrity of intestinal epithelium after in vitro digestion, as depicted in Figure 4. The TEER values decreased to 90.17 ± 7.36 at 15 min for ω-3 FAs alone, but recovered to 99.53 ± 9.48 by 120 min, with no significant differences being observed at any time point compared to the initial values (p > 0.05). There were no significant differences across all time points when ω-3 FAs treated with GTE35 showed a slight increase in the TEER values to 103.89 ± 2.54 at 15 min, followed by a decrease to 98.89 ± 2.04 at 120 min, compared to the initial TEER values (p > 0.05). GTE65, NFGT100, and NFGT30 exhibited a similar pattern among the tea-treated groups. The TEER values for GTE65, NFGT100, and NFGT30 decreased to 90.51 ± 3.98, 92.83 ± 1.49, and 92.18 ± 1.98, respectively, at 90 min. However, the TEER values increased to 96.69 ± 6.29 for GTE65, 102.32 ± 5.79 for NFGT100, and 96.20 ± 0.99 for NFGT30 at 120 min. There were no significant differences compared to the initial values (p > 0.05) across all measured intervals. The TEER value decreased to 91.35 ± 3.21 at 90 min, which shows a significant difference from the initial values (p < 0.05) for Adiphenon™. However, the values increased to 96.90 ± 3.23 at 120 min, with no significant differences from the initial values (p > 0.05). There were no significant differences in the TEER values at 15 min between ω-3 FAs alone and those combined with various tea extracts. The previous studies demonstrated that the intestinal epithelial barrier tended to maintain its optimal integrity in the absence of external stimuli, such as inflammation or oxidative stress, which leads to minimal changes in the TEER values [,]. A study found that no significant changes in the TEER values were observed when quercetin was applied to stable small intestinal epithelial cells []. A similar finding was observed in the current study, which indicates that co-treating ω-3 FAs with various tea extracts did not have a noticeable impact on the TEER values.
Figure 4. Changes in the cellular integrity measured using TEER values of ω-3 FAs with and without various tea extracts during incubation in the Caco-2 monolayer. Transepithelial electrical resistance (TEER) values in the Caco-2 monolayers were estimated at various time points. The TEER values were calculated as the percentage of 0 min.

3.6. Effect of Tea Extracts on Intestinal Absorption of ω-3 FAs by Caco-2 Cells

The intestinal transport of EPA and DHA from ω-3 FAs, with and without various tea extracts, by Caco-2 cells was evaluated from the basolateral compartment after in vitro digestion and calculated as a percentage of the initial concentration, as shown in Figure 5. The values were 0.74 ± 0.01%, 1.00 ± 0.14%, 0.92 ± 0.10%, 0.81 ± 0.12%, 1.03 ± 0.16%, and 0.98 ± 0.01% for ω-3 FAs treated alone and co-treated with GTE35, GTE65, NFGT100, NFGT30, and AdiphenonTM, respectively. For EPA, the absorption from ω-3 FAs significantly increased with various teas, except for NFGT100, compared to ω-3 FAs alone (p < 0.05). The co-treatment with various teas resulted in significantly higher intestinal absorption compared to ω-3 fatty acids treated alone (p < 0.05) in regards to DHA, which included values of 0.81 ± 0.07% for ω-3 FA, 1.30 ± 0.03% for GTE35, 1.17 ± 0.06% for GTE65, 1.18 ± 0.15% for NFGT100, 1.20 ± 0.19% for NFGT30, and 1.21 ± 0.05% for AdiphenonTM. The previous studies demonstrated that various polyphenols significantly enhanced the intestinal absorption of ω-3 FAs [,]. For instance, when DHA was co-treated with grape seed extract, its absorption in Caco-2 cells increased two-fold, whereas co-treatment with epigallocatechin gallate resulted in a 50% increase []. The current study, similar to these findings, showed that intestinal absorption of ω-3 FAs was lower when administered alone compared to when co-treated with various tea extracts, suggesting that the antioxidant properties of the tea extracts could enhance the absorption of ω-3 FAs.
Figure 5. Intestinal transport of ω-3 FAs with and without various tea extracts followed by in vitro digestion. An asterisk (*, **) denotes significant differences between the ω-3 FAs alone and those combined with each sample (p < 0.05).
The findings of this study suggest that tea extracts could enhance the bioavailability of ω-3 FAs through mechanisms such as oxidation prevention, micelle stabilization, and intestinal efflux minimization. However, further studies, such as in vivo models, are required to confirm the observed effects and explore their broader implications for human health under physiological conditions.

3.7. Effect of ω-3 FAs on P-gp Expression Levels of Tea Extracts in Caco-2 Cells

The P-glycoprotein (P-gp) expression in the small intestine was measured after the co-digestion of ω-3 FAs with various tea extracts, as shown in Figure 6, to elucidate the mechanism behind the improved intestinal absorption of ω-3 FAs by various tea extracts. There were no significant differences when ω-3 FAs treated alone and co-treated with GTE35 or AdiphenonTM, with levels of 0.24 ± 0.05 ng/mL for ω-3 FAs, 0.27 ± 0.03 for GTE35, and 0.30 ± 0.01 ng/mL for AdiphenonTM. However, the P-gp expression levels were 0.42 ± 0.01, 0.47 ± 0.01, and 0.36 ± 0.03 ng/mL, which indicated significantly higher values compared to ω-3 FAs alone (p < 0.05) when ω-3 FAs were co-treated with GTE65, NFGT100, and NFGT30, respectively. It was found that ω-3 FAs altered the phospholipid bilayer structure and downregulated efflux proteins, such as P-gp, thereby reducing the efflux of beneficial compounds, including catechins, and enhancing their absorption [,]. A previous study demonstrated that ω-3 FAs decreased P-gp expression, thereby reducing the transport of cortisol and potentially mitigating the stress that was associated with depression []. The findings suggest that the suppression of P-gp by ω-3 FAs could enhance the bioavailability of catechins by reducing their efflux into the intestinal lumen, thereby increasing their absorption. These results highlight the potential interaction between ω-3 FAs and tea polyphenols, which could provide a mechanistic explanation for the improved absorption of catechins in the presence of ω-3 FAs and tea extracts.
Figure 6. Effect of the P-gp expression levels of ω-3 FAs with and without various tea extracts in Caco-2 cells. Different letters indicate significant differences among groups (p < 0.05). An asterisk (*) denotes significant differences between the ω-3 FAs alone and those combined with each sample (p < 0.05).

4. Conclusions

The current study investigated four hypotheses regarding the co-treatment of ω-3 FAs with various tea extracts using an in vitro digestion model system coupled with Caco-2 cells: (1) the digestive stability of ω-3 FAs will be improved by preventing lipid oxidation induced by various tea extracts, (2) the digestive stability of ω-3 FAs will be increased due to the stabilizing micelles induced by various tea extracts, (3) the intestinal absorption of ω-3 FAs will be enhanced by increasing the integrity of the epithelial membrane induced by various tea extracts, and (4) the intestinal absorption of catechins will be improved by suppressing the expression of P-gp expression induced by ω-3 FAs. The PV and DPPH radical scavenging assays demonstrated that the oxidation of ω-3 FAs was prevented by the antioxidant effects of various tea extracts. The reduced deviation in the zeta potential of ω-3 FAs with various tea extracts indicates that micelles of ω-3 FAs were more stable, leading to enhanced digestive stability of ω-3 FAs. The co-treatment of ω-3 FAs with various tea extracts showed no impact on the TEER values, indicating that the epithelial integrity is preserved. The intake of GTE35 or Adiphenon™ alongside ω-3 FAs resulted in no significant alteration in the P-gp expression, suggesting that ω-3 FAs could contribute to the enhanced absorption of tea polyphenols, such as catechins, via the modulation of P-gp expression. The results from the current study suggest that the co-treatment with tea extracts can maximize the health benefits of ω-3 FAs by enhancing digestive stability and intestinal absorption, which provides insight into potential dietary strategies in order to improve the bioavailability of ω-3 FAs.

Author Contributions

Conceptualization, I.-S.N., H.W.J., J.-O.C., B.-F.S., J.S. and S.-M.S.; Methodology, I.-S.N.; Formal analysis, I.-S.N.; Data curation, I.-S.N.; Writing—original draft, I.-S.N.; Writing—review & editing, H.W.J., J.-O.C., B.-F.S., J.S. and S.-M.S.; Visualization, S.-M.S.; Supervision, H.W.J., J.-O.C., B.-F.S., J.S. and S.-M.S. All authors have read and agreed to the published version of the manuscript.

Funding

This study was supported by the AMOREPACIFIC R&I Center in 2024 (Grant No. R23S200001 and R24Z400009).

Institutional Review Board Statement

Not applicable.

Data Availability Statement

Data is contained within the article.

Conflicts of Interest

The authors declare no conflicts of interest.

References

  1. Gammone, M.A.; Riccioni, G.; Parrinello, G.; D’Orazio, N. Omega-3 polyunsaturated fatty acids: Benefits and endpoints in sport. Nutrients 2019, 11, 46. [Google Scholar] [CrossRef] [PubMed]
  2. Saini, R.K.; Prasad, P.; Sreedhar, R.V.; Akhilender Naidu, K.; Shang, X.; Keum, Y.-S. Omega−3 polyunsaturated fatty acids (PUFAs): Emerging plant and microbial sources, oxidative stability, bioavailability, and health benefits—A review. Antioxidants 2021, 10, 1627. [Google Scholar] [CrossRef] [PubMed]
  3. Salem, N., Jr.; Eggersdorfer, M. Is the world supply of omega-3 fatty acids adequate for optimal human nutrition? Curr. Opin. Clin. Nutr. Metab. Care 2015, 18, 147–154. [Google Scholar] [CrossRef]
  4. Calder, P.C. Omega-3 fatty acids and inflammatory processes. Nutrients 2010, 2, 355–374. [Google Scholar] [CrossRef]
  5. Lorente-Cebrián, S.; Costa, A.G.; Navas-Carretero, S.; Zabala, M.; Laiglesia, L.M.; Martínez, J.A.; Moreno-Aliaga, M.J. An update on the role of omega-3 fatty acids on inflammatory and degenerative diseases. J. Physiol. Biochem. 2015, 71, 341–349. [Google Scholar] [CrossRef]
  6. Calder, P.C. Omega-3 polyunsaturated fatty acids and inflammatory processes: Nutrition or pharmacology? Br. J. Clin. Pharmacol. 2013, 75, 645–662. [Google Scholar] [CrossRef]
  7. Oleñik, A.; Mahillo-Fernández, I.; Alejandre-Alba, N.; Fernández-Sanz, G.; Pérez, M.A.; Luxan, S.; Quintana, S.; Martínez de Carneros Llorente, A.; García-Sandoval, B.; Jiménez-Alfaro, I. Benefits of omega-3 fatty acid dietary supplementation on health-related quality of life in patients with meibomian gland dysfunction. Clin. Ophthalmol. 2014, 8, 831–836. [Google Scholar] [CrossRef]
  8. Wang, J.; Han, L.; Wang, D.; Sun, Y.; Huang, J.; Shahidi, F. Stability and stabilization of omega-3 oils: A review. Trends Food Sci. Technol. 2021, 118, 17–35. [Google Scholar] [CrossRef]
  9. Punia, S.; Sandhu, K.S.; Siroha, A.K.; Dhull, S.B. Omega 3-metabolism, absorption, bioavailability and health benefits—A review. PharmaNutrition 2019, 10, 100162. [Google Scholar] [CrossRef]
  10. Manusama, K.; Balvers, M.; Diepeveen-de Bruin, M.; Headley, L.; Bosi, R.; Schwarm, M.; Witkamp, R. In vitro dissolution behaviour and absorption in humans of a novel mixed L-lysine salt formulation of EPA and DHA. Prostaglandins Leukot. Essent. Fat. Acids 2021, 164, 102232. [Google Scholar] [CrossRef]
  11. Bornfeldt, K.E. Triglyceride lowering by omega-3 fatty acids: A mechanism mediated by N-acyl taurines. J. Clin. Investig. 2021, 131, 6. [Google Scholar] [CrossRef] [PubMed]
  12. Ayala, A.; Muñoz, M.F.; Argüelles, S. Lipid peroxidation: Production, metabolism, and signaling mechanisms of malondialdehyde and 4-hydroxy-2-nonenal. Oxidative Med. Cell. Longev. 2014, 2014, 360438. [Google Scholar] [CrossRef] [PubMed]
  13. Kazuo, M. Prevention of fish oil oxidation. J. Oleo Sci. 2019, 68, 1–11. [Google Scholar] [CrossRef]
  14. Nain, C.W.; Berdal, G.; Thao, P.T.P.; Mignolet, E.; Buchet, M.; Page, M.; Larondelle, Y. Green tea extract enhances the oxidative stability of DHA-rich oil. Antioxidants 2021, 10, 982. [Google Scholar] [CrossRef]
  15. Zhou, Q.; Lane, K.E.; Li, W. Evaluating the Stability and Digestibility of Long-Chain Omega-3 Algal Oil Nanoemulsions Prepared with Lecithin and Tween 40 Emulsifiers Using an In Vitro Digestion Model. Foods 2024, 13, 2407. [Google Scholar] [CrossRef]
  16. Beltrame, G.; Ahonen, E.; Damerau, A.; Gudmundsson, H.G.; Haraldsson, G.G.; Linderborg, K.M. Lipid structure influences the digestion and oxidation behavior of docosahexaenoic and eicosapentaenoic acids in the simulated digestion system. J. Agric. Food Chem. 2023, 71, 10087–10096. [Google Scholar] [CrossRef]
  17. Albert, B.B.; Cameron-Smith, D.; Hofman, P.L.; Cutfield, W.S. Oxidation of marine omega-3 supplements and human health. BioMed Res. Int. 2013, 2013, 464921. [Google Scholar] [CrossRef]
  18. Chevalier, L.; Plourde, M. Comparison of pharmacokinetics of omega-3 fatty acid supplements in monoacylglycerol or ethyl ester in humans: A randomized controlled trial. Eur. J. Clin. Nutr. 2021, 75, 680–688. [Google Scholar] [CrossRef]
  19. Farhan, M. Green tea catechins: Nature’s way of preventing and treating cancer. Int. J. Mol. Sci. 2022, 23, 10713. [Google Scholar] [CrossRef]
  20. Wang, P.; Chai, X.; Chen, C.; Duan, X.; Wu, K.; Fu, X. Enhanced in vitro bioavailability of resveratrol-loaded emulsion stabilized by β-lactoglobulin-catechin with excellent antioxidant activity. Int. J. Biol. Macromol. 2024, 267, 131304. [Google Scholar] [CrossRef]
  21. Shi, M.; Ying, D.; Hlaing, M.M.; Ye, J.; Sanguansri, L.; Augustin, M.A. Oxidative stability of spray dried matcha-tuna oil powders. Food Res. Int. 2020, 132, 109050. [Google Scholar] [CrossRef] [PubMed]
  22. Lee, D.-H.; Kim, W.-H.; Lee, K.; Na, I.; Fu, X.; Jeong, H.W.; Chung, J.-O.; Roh, J.; Kim, W.; Shim, S.-M. Green tea extracts rich in epicatechins inducing aggregation and inhibiting absorption of amine surface functionalized polystyrene microplastics in vitro mimick system. J. Hazard. Mater. Adv. 2024, 15, 100437. [Google Scholar] [CrossRef]
  23. Grosso, G.; Galvano, F.; Marventano, S.; Malaguarnera, M.; Bucolo, C.; Drago, F.; Caraci, F. Omega-3 fatty acids and depression: Scientific evidence and biological mechanisms. Oxidative Med. Cell. Longev. 2014, 2014, 313570. [Google Scholar] [CrossRef] [PubMed]
  24. Cai, Z.-Y.; Li, X.-M.; Liang, J.-P.; Xiang, L.-P.; Wang, K.-R.; Shi, Y.-L.; Yang, R.; Shi, M.; Ye, J.-H.; Lu, J.-L. Bioavailability of tea catechins and its improvement. Molecules 2018, 23, 2346. [Google Scholar] [CrossRef]
  25. Wang, S.; Noh, S.K.; Koo, S.I. Green tea catechins inhibit pancreatic phospholipase A2 and intestinal absorption of lipids in ovariectomized rats. J. Nutr. Biochem. 2006, 17, 492–498. [Google Scholar] [CrossRef]
  26. Choi, E.-H.; Lee, D.-Y.; Kim, S.; Chung, J.-O.; Choi, J.-K.; Joo, K.-M.; Jeong, H.W.; Kim, J.K.; Kim, W.G.; Shim, S.-M. Influence of flavonol-rich excipient food (onion peel and Dendropanax morbifera) on the bioavailability of green tea epicatechins in vitro and in vivo. Food Funct. 2017, 8, 3664–3674. [Google Scholar] [CrossRef]
  27. Choi, E.-H.; Rha, C.-S.; Balusamy, S.R.; Kim, D.-O.; Shim, S.-M. Impact of bioconversion of gallated catechins and flavonol glycosides on bioaccessibility and intestinal cellular uptake of catechins. J. Agric. Food Chem. 2019, 67, 2331–2339. [Google Scholar] [CrossRef]
  28. Sun, T.; Powers, J.R.; Tang, J. Evaluation of the antioxidant activity of asparagus, broccoli and their juices. Food Chem. 2007, 105, 101–106. [Google Scholar] [CrossRef]
  29. Méndez, L.; Medina, I. Polyphenols and fish oils for improving metabolic health: A revision of the recent evidence for their combined nutraceutical effects. Molecules 2021, 26, 2438. [Google Scholar] [CrossRef]
  30. Dasilva, G.; Boller, M.; Medina, I.; Storch, J. Relative levels of dietary EPA and DHA impact gastric oxidation and essential fatty acid uptake. J. Nutr. Biochem. 2018, 55, 68–75. [Google Scholar] [CrossRef]
  31. Maestre, R.; Douglass, J.D.; Kodukula, S.; Medina, I.; Storch, J. Alterations in the intestinal assimilation of oxidized PUFAs are ameliorated by a polyphenol-rich grape seed extract in an in vitro model and Caco-2 cells. J. Nutr. 2013, 143, 295–301. [Google Scholar] [CrossRef] [PubMed]
  32. Abe, M. Zeta (ζ) Potential for Micelle and Microemulsion. In Measurement Techniques and Practices of Colloid and Interface Phenomena; Abe, M., Ed.; Springer: Singapore, 2019; pp. 101–109. [Google Scholar] [CrossRef]
  33. Engwayu, J.; Pawlik, M. Adsorption of anionic polymers on hematite—A study of zeta potential distributions. Miner. Eng. 2020, 148, 106225. [Google Scholar] [CrossRef]
  34. Cornelius, V.; Droessler, L.; Amasheh, S. Quercetin Improves Barrier Properties in Porcine Small Intestine but Not in Peyer’s Patches. Int. J. Mol. Sci. 2024, 25, 1530. [Google Scholar] [CrossRef] [PubMed]
  35. Nicolas, A.; Schavemaker, F.; Kosim, K.; Kurek, D.; Haarmans, M.; Bulst, M.; Lee, K.; Wegner, S.; Hankemeier, T.; Joore, J. High throughput transepithelial electrical resistance (TEER) measurements on perfused membrane-free epithelia. Lab Chip 2021, 21, 1676–1685. [Google Scholar] [CrossRef]
Disclaimer/Publisher’s Note: The statements, opinions and data contained in all publications are solely those of the individual author(s) and contributor(s) and not of MDPI and/or the editor(s). MDPI and/or the editor(s) disclaim responsibility for any injury to people or property resulting from any ideas, methods, instructions or products referred to in the content.

Article Metrics

Citations

Article Access Statistics

Multiple requests from the same IP address are counted as one view.