Collision Frequency and Energy Transfer Rate in e–He Scattering
Abstract
1. Introduction
2. Methods
2.1. Momentum-Transfer Cross-Sections via the Method of Phase Functions
2.2. Optical Potential
2.3. Effective Collision Frequency and Energy Transfer Rate
3. Results and Discussion
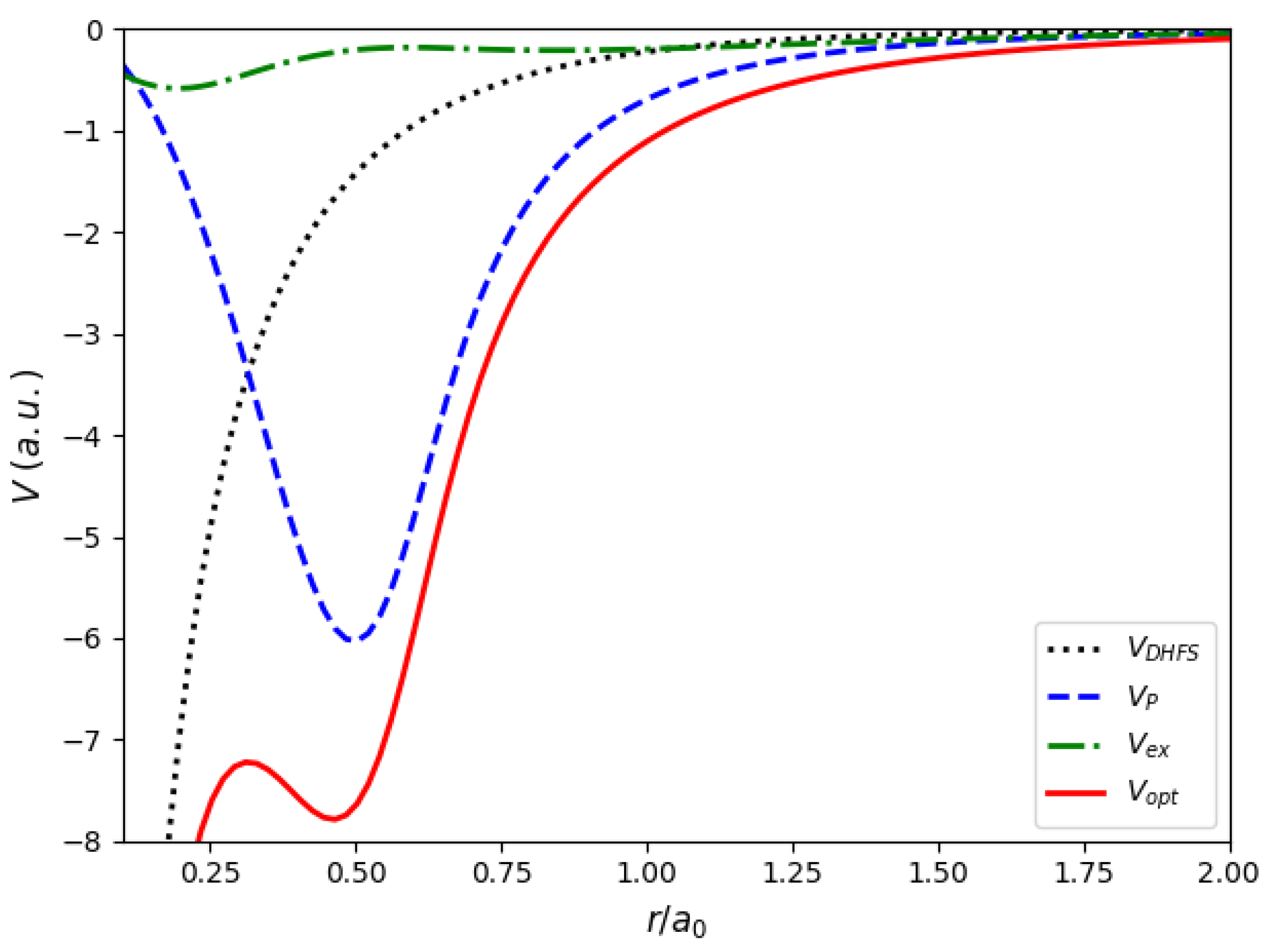
3.1. Interaction Potentials
3.2. Phase Shifts and Momentum Transfer Cross-Sections
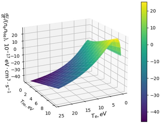
3.3. Effective Collision Frequency and Energy Transfer Rate
4. Conclusions
Author Contributions
Funding
Institutional Review Board Statement
Informed Consent Statement
Data Availability Statement
Conflicts of Interest
References
- Srivastava, R.; Fursa, D.V. Atoms Special Issue (Electron Scattering from Atoms, Ions, and Molecules). Atoms 2023, 11, 31. [Google Scholar] [CrossRef]
- Sahoo, B.K. Constructing Electron–atom Elastic Scattering Potentials Using Relativistic Coupled-Cluster Theory: A Few Case Studies. Atoms 2022, 10, 88. [Google Scholar] [CrossRef]
- Degrave, J.; Felici, F.; Buchli, J.; Neunert, M.; Tracey, B.; Carpanese, F.; Ewalds, T.; Hafner, R.; Abdolmaleki, A.; Casas, D.d.L.; et al. Magnetic control of tokamak plasmas through deep reinforcement learning. Nature 2022, 602, 414–419. [Google Scholar] [CrossRef] [PubMed]
- Trieschmann, J.; Vialetto, L.; Gergs, T. Machine Learning for Advancing Low-Temperature Plasma Modeling and Simulation. Mater. Metrol. 2023, 22, 041504. Available online: https://arxiv.org/abs/2307.00131 (accessed on 5 September 2024). [CrossRef]
- Pines, V.; Pines, M.; Chait, A.; Steinetz, B.M.; Forsley, L.P.; Hendricks, R.C.; Fralick, G.C.; Benyo, T.L.; Baramsai, B.; Ugorowski, P.B.; et al. Nuclear fusion reactions in deuterated metals. Phys. Rev. C 2020, 101, 044609. [Google Scholar] [CrossRef]
- Zhang, J.; Wang, W.M.; Yang, X.H.; Wu, D.; Ma, Y.Y.; Jiao, J.L.; Zhang, Z.; Wu, F.Y.; Yuan, X.H.; Li, Y.T.; et al. Double-cone ignition scheme for inertial confinement fusion. Phil. Trans. R. Soc. A 2020, 378, 20200015. [Google Scholar] [CrossRef] [PubMed]
- Hill, C.; Dipti; Heinola, K.; Dubois, A.; Sisourat, N.; Taoutioui, A.; Agueny, H.; Tőkési, K.; Ziaeian, I.; Illescas, C.; et al. Atomic collisional data for neutral beam modeling in fusion plasmas. Nucl. Fusion 2023, 63, 125001. [Google Scholar] [CrossRef]
- Cichocki, F.; Sciortino, V.; Giordano, F.; Minelli, P.; Taccogna, F. Two-dimensional collisional particle model of the diverter sheath with electron emissive walls. Nucl. Fusion 2023, 63, 086022. [Google Scholar] [CrossRef]
- Hesse, M.; Cassak, P.A. Magnetic Reconnection in the Space Sciences: Past, Present, and Future. J. Geophys. Res. Space Phys. 2020, 125, e2018JA025935. [Google Scholar] [CrossRef]
- Ripoll, J.-F.; Pierrard, V.; Cunningham, G.S.; Chu, X.; Sorathia, K.A.; Hartley, D.P.; Thaller, S.A.; Merkin, V.G.; Delzanno, G.L.; De Pascuale, S.; et al. Modeling of the Cold Electron Plasma Density for Radiation Belt Physics. Front. Astron. Space Sci. 2023, 10, 1096595. [Google Scholar] [CrossRef]
- Blackburn, T.G. Radiation Reaction in Electron-Beam Interactions with High-Intensity Lasers. Rev. Mod. Plasma Phys. 2020, 4, 5. [Google Scholar] [CrossRef]
- Gonoskov, A.; Blackburn, T.G.; Marklund, M.; Bulanov, S.S. Charged Particle Motion and Radiation in Strong Electromagnetic Fields. Rev. Mod. Phys. 2022, 94, 045001. [Google Scholar] [CrossRef]
- Gelfer, E.G.; Fedotov, A.M.; Klimo, O.; Weber, S. Coherent Radiation of an Electron Bunch Colliding with an Intense Laser Pulse. Phys. Rev. Res. 2024, 6, L032013. [Google Scholar] [CrossRef]
- Krüger, K.; Wang, Y.; Tödter, S.; Debbeler, F.; Matveenko, A.; Hertl, N.; Zhou, X.; Jiang, B.; Guo, H.; Wodtke, A.M.; et al. Hydrogen Atom Collisions with a Semiconductor Efficiently Promote Electrons to the Conduction Band. Nat. Chem. 2023, 15, 326–331. [Google Scholar] [CrossRef]
- Fletcher, J.D.; Park, W.; Ryu, S.; See, P.; Griffiths, J.P.; Jones, G.A.C.; Farrer, I.; Ritchie, D.A.; Sim, H.-S.; Kataoka, M. Time-Resolved Coulomb Collision of Single Electrons. Nat. Nanotechnol. 2023, 18, 727–732. [Google Scholar] [CrossRef] [PubMed]
- Knapen, S.; Kozaczuk, J.; Lin, T. Migdal Effect in Semiconductors. Phys. Rev. Lett. 2021, 127, 081805. [Google Scholar] [CrossRef] [PubMed]
- Howell, R.W. Advancements in the Use of Auger Electrons in Science and Medicine During the Period 2015–2019. Int. J. Radiat. Biol. 2023, 99, 2–27. [Google Scholar] [CrossRef] [PubMed]
- Choi, E.H.; Kaushik, N.K.; Hong, Y.J.; Lim, J.S.; Choi, J.S.; Han, I. Plasma Bioscience for Medicine, Agriculture and Hygiene Applications. J. Korean Phys. Soc. 2022, 80, 817–851. [Google Scholar] [CrossRef]
- Kheradmand Saadi, M.; Machrafi, R. Development of a New Code for Stopping Power and CSDA Range Calculation of Incident Charged Particles, Part A: Electron and Positron. Appl. Radiat. Isot. 2020, 161, 109145. [Google Scholar] [CrossRef] [PubMed]
- Dalgarno, A.; Walker, J.C.G. Ion temperatures in the topside ionosphere. Planet. Space Sci. 1967, 15, 200–203. [Google Scholar] [CrossRef]
- Geisler, J.E. Ionospheric D-Region Absorption in a Proton Flare. J. Geophys. Res. 1965, 70, 1250–1255. [Google Scholar]
- Banks, P.M. Collision Frequencies and Energy Transfer in Aeronomy. Planet. Space Sci. 1966, 14, 1105–1122. [Google Scholar] [CrossRef]
- Schunk, R.W.; Walker, J.C.G. Transport Properties of the Ionosphere and Exosphere. Planet. Space Sci. 1970, 18, 1703–1729. [Google Scholar] [CrossRef]
- Baille, P.; Chang, J.-S.; Claude, A.; Hobson, R.M.; Ogram, G.L.; Yau, A.W. Effective Collision Frequency of Electrons in Noble Gases. J. Phys. B At. Mol. Phys. 1981, 14, 1485–1495. [Google Scholar] [CrossRef]
- Desloge, E.A. Energy Exchange between Different Species in a Gaseous Mixture. J. Chem. Phys. 1962, 36, 2431–2435. [Google Scholar]
- Itikawa, Y. Effective Collision Frequency for Energy Transfer between Electrons and Neutral Atoms. J. Phys. Soc. Jpn. 1971, 30, 1296–1300. [Google Scholar]
- Babikov, V.V. The Phase Function Method in Quantum Scattering Theory. Sov. Phys. Usp. 1967, 10, 271–286. [Google Scholar] [CrossRef]
- Calogero, F. A novel approach to elementary scattering theory. Il Nuovo Cimento (1955–1965) 1963, 27, 261–302. [Google Scholar] [CrossRef]
- Dzhumagulova, K.N.; Shalenov, E.O.; Ramazanov, T.S. Elastic scattering of low energy electrons in partially ionized dense semiclassical plasma. Phys. Plasmas 2015, 22, 082120. [Google Scholar] [CrossRef]
- Shalenov, E.O.; Seisembayeva, M.M.; Dzhumagulova, K.N.; Ramazanov, T.S. Kinetic ionization and recombination coefficients in the dense semiclassical plasmas on the basis of the effective interaction potential. J. Phys. Conf. Ser. 2019, 1400, 077035. [Google Scholar] [CrossRef]
- Salvat, F.; Martnez, J.D.; Mayol, R.; Parellada, J. Analytical Dirac–Hartree–Fock–Slater screening function for atoms (Z = 1–92). Phys. Rev. A 1987, 36, 467–474. [Google Scholar] [CrossRef] [PubMed]
- Arretche, F.; Barp, M.V.; Scheidt, A.; Popovicz Seidel, E.; Tenfen, W. Corrigendum: Semiempirical models for low energy positron scattering by Ar, Kr and Xe. J. Phys. B At. Mol. Opt. Phys. 2020, 53, 209501. [Google Scholar] [CrossRef]
- Mitroy, J.; Bromley, M.W.J.; Zhang, J.Y. Semiempirical Exchange Potentials for Electron Scattering from Atoms. Phys. Rev. A 2002, 65, 032507. [Google Scholar]
- Kunc, J.A. Low-Energy Electron–atom Scattering in a Field of Model Potentials. J. Phys. B At. Mol. Opt. Phys. 1999, 32, 607–619. [Google Scholar] [CrossRef]
- Rosmej, S.; Reinholz, H.; Röpke, G. Contribution of Electron–atom Collisions to the Plasma Conductivity of Noble Gases. Phys. Rev. E 2017, 95, 063208. [Google Scholar] [CrossRef] [PubMed]
- Mittleman, M.H.; Watson, K.M. Effects of the Pauli Principle on the Scattering of High-Energy Electrons by Atoms. Ann. Phys. 1960, 10, 268–279. [Google Scholar] [CrossRef]
- McEachran, R.P.; Stauffer, A.D. Polarisation and Exchange Effects on Elastic Scattering of Electrons from Helium. J. Phys. B: At. Mol. Phys. 1983, 16, 25. [Google Scholar] [CrossRef]
- Williams, J.F. A Phase Shift Analysis of Experimental Angular Distributions of Electrons Elastically Scattered from He, Ne, and Ar over the Range 0.5 to 20 eV. J. Phys. B: At. Mol. Phys. 1979, 12, 265. [Google Scholar] [CrossRef]
- Wellner, M. Levinson’s Theorem (an Elementary Derivation). Am. J. Phys. 1964, 32, 787–789. [Google Scholar] [CrossRef]
- Dzhumagulova, K.N.; Shalenov, E.O.; Tashkenbayev, Y.A.; Ramazanov, T.S. Study of the electron–atom collisions in dense semiclassical plasma of noble gases. J. Plasma Phys. 2022, 88, 905880119. [Google Scholar] [CrossRef]
- Milloy, H.B.; Crompton, R.W. Momentum-transfer cross section for electron–helium collisions in the range 4–12 eV. Phys. Rev. A 1977, 15, 1847–1850. [Google Scholar] [CrossRef]
- Crompton, R.W.; Elford, M.T.; Robertson, A.G. The momentum transfer cross section for electrons in helium derived from drift velocities at 77K. Aust. J. Phys. 1970, 23, 667. [Google Scholar] [CrossRef]
- Register, D.F.; Trajmar, S.; Srivastava, S.K. Absolute elastic differential electron scattering cross sections for He: A proposed calibration standard from 5 to 200 eV. Phys. Rev. A 1980, 21, 1134–1151. [Google Scholar] [CrossRef]
- Adibzadeh, M.; Theodosiou, C.E. Elastic Electron Scattering from Inert-Gas Atoms. At. Data Nucl. Data Tables 2005, 91, 8–76. [Google Scholar] [CrossRef]
- Sokolov, V.F.; Sokolova, Y.A.; Khalimulina, V.D. Frequency of Collisions between Electrons and Gas and Vapor Atoms and Molecules. Sov. Phys. J. 1983, 26, 869–873. [Google Scholar] [CrossRef]
- Anderson, J.M.; Goldstein, L. Interaction of Electromagnetic Waves of Radio-Frequency in Isothermal Plasmas: Collision Cross Section of Helium Atoms and Ions for Electrons. Phys. Rev. 1955, 100, 1037–1046. [Google Scholar] [CrossRef]
- Dumont, R.J.; Phillips, C.K.; Smithe, D.N. Effects of non-Maxwellian species on ion cyclotron waves propagation and absorption in magnetically confined plasmas. Phys. Plasmas 2005, 12, 042508. [Google Scholar] [CrossRef]
- Livadiotis, G. Kappa Distributions: Theory and Applications in Plasmas; Elsevier: Amsterdam, The Netherlands, 2017; pp. 1–724. [Google Scholar]
- Rubab, N.; Murtaza, G. Debye length in non-Maxwellian plasmas. Phys. Scr. 2006, 74, 145. [Google Scholar] [CrossRef]








| Z | ||||
|---|---|---|---|---|
| 2 | −0.2259 | 1.2259 | 5.5272 | 2.3992 |
Disclaimer/Publisher’s Note: The statements, opinions and data contained in all publications are solely those of the individual author(s) and contributor(s) and not of MDPI and/or the editor(s). MDPI and/or the editor(s) disclaim responsibility for any injury to people or property resulting from any ideas, methods, instructions or products referred to in the content. |
© 2024 by the authors. Licensee MDPI, Basel, Switzerland. This article is an open access article distributed under the terms and conditions of the Creative Commons Attribution (CC BY) license (https://creativecommons.org/licenses/by/4.0/).
Share and Cite
Seitkozhanov, Y.; Dzhumagulova, K.; Shalenov, E.; Jumagulov, M. Collision Frequency and Energy Transfer Rate in e–He Scattering. Appl. Sci. 2025, 15, 227. https://doi.org/10.3390/app15010227
Seitkozhanov Y, Dzhumagulova K, Shalenov E, Jumagulov M. Collision Frequency and Energy Transfer Rate in e–He Scattering. Applied Sciences. 2025; 15(1):227. https://doi.org/10.3390/app15010227
Chicago/Turabian StyleSeitkozhanov, Yeldos, Karlygash Dzhumagulova, Erik Shalenov, and Murat Jumagulov. 2025. "Collision Frequency and Energy Transfer Rate in e–He Scattering" Applied Sciences 15, no. 1: 227. https://doi.org/10.3390/app15010227
APA StyleSeitkozhanov, Y., Dzhumagulova, K., Shalenov, E., & Jumagulov, M. (2025). Collision Frequency and Energy Transfer Rate in e–He Scattering. Applied Sciences, 15(1), 227. https://doi.org/10.3390/app15010227

