Alkali-Activated Copper Slag with Carbon Reinforcement: Effects of Metakaolinite, OPC and Surfactants
Abstract
Highlights
- Copper slag can be upcycled in alkali-activated carbon fabric-based composites;
- A 20 wt.% metakaolinite substitution of copper slag increases reaction heat and mechanical properties;
- Low reactivity at 20 °C, but instantaneous at 80 °C with K-solution SiO2/K2O of 2.25;
- Composites with an elastic modulus of 19 GPa and flexural strength of 88 MPa.
Abstract
1. Introduction
2. Materials and Methods
2.1. Materials
2.2. Sample Preparation
2.3. Characterization Methods
2.3.1. Differential and Isothermal Calorimetry
2.3.2. Scanning Electron Microscopy
2.3.3. Rheology
2.3.4. Mechanical Properties
2.3.5. Fiber Volume Fraction Estimation
3. Results and Discussion
3.1. Reactivity of Matrices
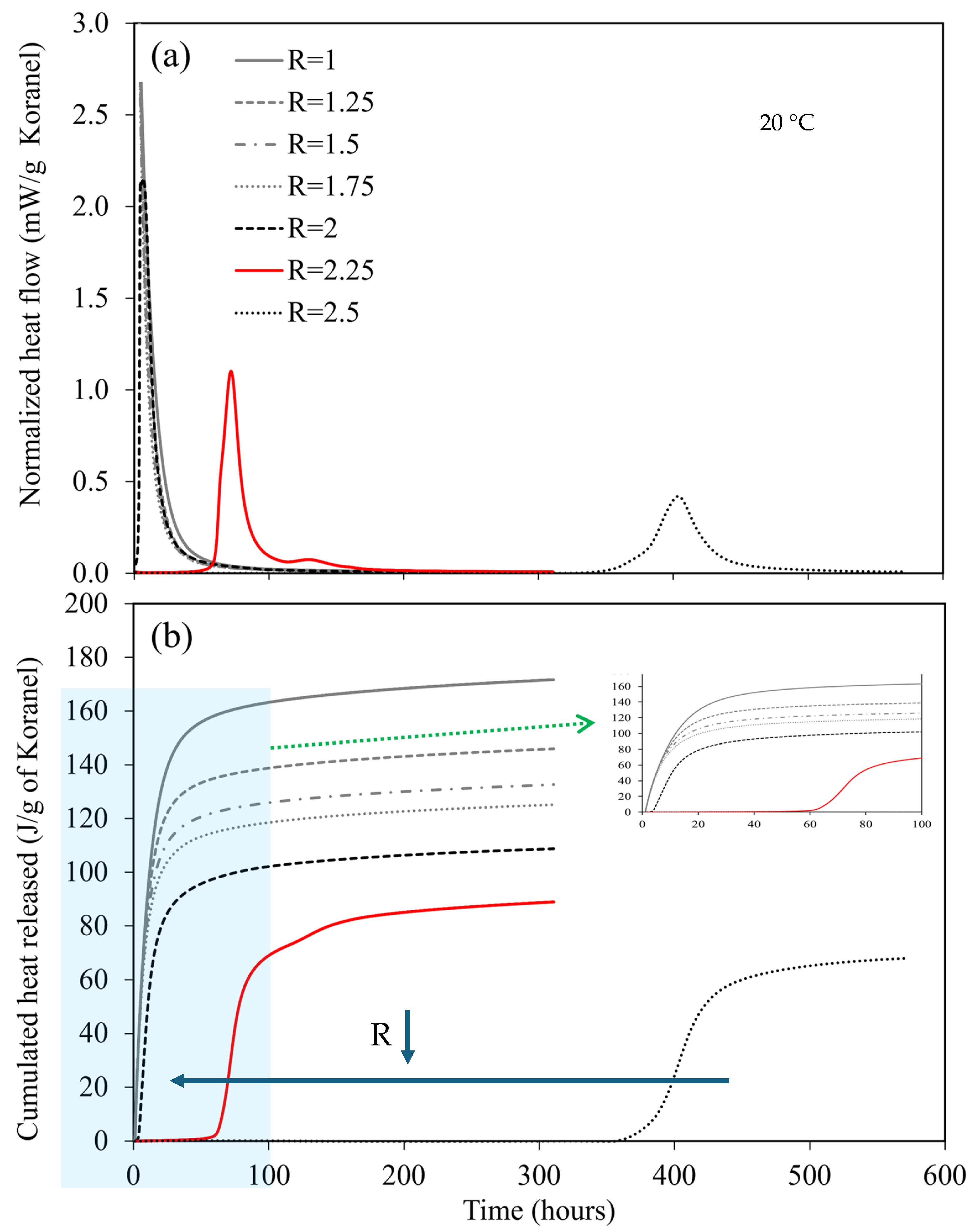
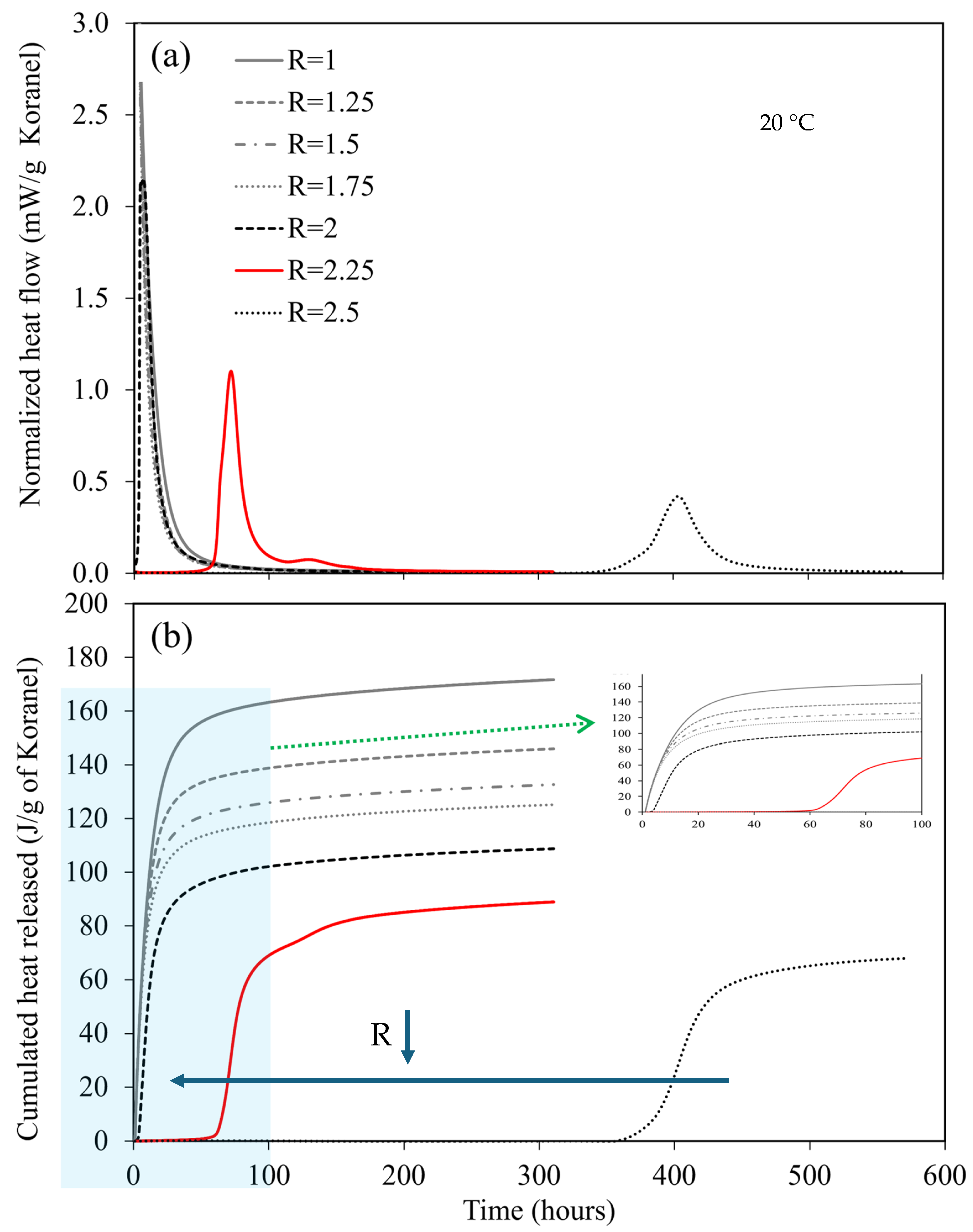
3.1.1. Influence of Solution Silica Modulus on Reactivity at Room Temperature
3.1.2. Influence of Additives and Koranel Replacement on Reactivity
3.1.3. Reactivity with Increasing Temperature
3.2. Effect of Surfactants on the Properties of Matrices
3.2.1. Rheology of Fresh Matrices
3.2.2. Mechanical Properties of Hardened Matrix Pastes
3.3. Mechanical Properties of Composites
3.4. Microstructural Observations
3.5. Thermal Stability of the Composites
4. Conclusions
Author Contributions
Funding
Institutional Review Board Statement
Informed Consent Statement
Data Availability Statement
Acknowledgments
Conflicts of Interest
References
- Brameshuber, W. Report 36: Textile Reinforced Concrete-State-of-the-Art Report of RILEM TC 201-TRC; RILEM Publications: Trondheim, Norway, 2006; Volume 36, ISBN 2-912143-99-3. [Google Scholar]
- Li, Y.; Yin, S.; Lv, H. Combined effects of dry-wet cycles and sustained loads on the seismic behavior of TRC-strengthened RC columns. Structures 2021, 33, 2226–2237. [Google Scholar] [CrossRef]
- Mechtcherine, V.; Schneider, K.; Brameshuber, W. 2—Mineral-based matrices for textile-reinforced concrete. In Textile Fibre Composites in Civil Engineering; Triantafillou, T., Ed.; Woodhead Publishing: Sawston, UK, 2016; pp. 25–43. ISBN 978-1-78242-446-8. [Google Scholar]
- Ospitia, N.; Tsangouri, E.; Pourkazemi, A.; Stiens, J.H.; Aggelis, D.G. NDT inspection on TRC and precast concrete sandwich panels: A review. Constr. Build. Mater. 2021, 296, 123622. [Google Scholar] [CrossRef]
- Van Driessche, A.; Aggelis, D.G.; Tsangouri, E. Complex fracture on thin-wall textile reinforced cement (TRC) shells monitored by acoustic emission. Thin-Walled Struct. 2021, 167, 108216. [Google Scholar] [CrossRef]
- Mohan, A.; Madhavi, T.C. Development of binders for textile reinforced concrete. Mater. Today Proc. 2021, 46, 3297–3301. [Google Scholar] [CrossRef]
- Tekle, B.H.; Messerer, D.; Holschemacher, K. Bond induced concrete splitting failure in textile-reinforced fine-grained concrete. Constr. Build. Mater. 2021, 303, 124503. [Google Scholar] [CrossRef]
- Alzeer, M.I.M.; MacKenzie, K.J.D. Chapter 5—Fiber composites of inorganic polymers (geopolymers) reinforced with natural fibers. In Composite Materials; Low, I.-M., Dong, Y., Eds.; Elsevier: Amsterdam, The Netherlands, 2021; pp. 117–147. ISBN 978-0-12-820512-9. [Google Scholar]
- Naaman, A.E. 18—Thin TRC products: Status, outlook, and future directions. In Textile Fibre Composites in Civil Engineering; Triantafillou, T., Ed.; Woodhead Publishing: Sawston, UK, 2016; pp. 413–439. ISBN 978-1-78242-446-8. [Google Scholar]
- Valeri, P.; Fernàndez Ruiz, M.; Muttoni, A. Tensile response of textile reinforced concrete. Constr. Build. Mater. 2020, 258, 119517. [Google Scholar] [CrossRef]
- Alomayri, T.; Shaikh, F.U.A.; Low, I.M. Synthesis and mechanical properties of cotton fabric reinforced geopolymer composites. Compos. Part B Eng. 2014, 60, 36–42. [Google Scholar] [CrossRef]
- Ribero, D.; Kriven, W.M. Properties of Geopolymer Composites Reinforced with Basalt Chopped Strand Mat or Woven Fabric. J. Am. Ceram. Soc. 2016, 99, 1192–1199. [Google Scholar] [CrossRef]
- Samal, S.; Marvalová, B.; Petríková, I.; Vallons, K.A.M.; Lomov, S.V.; Rahier, H. Impact and post impact behavior of fabric reinforced geopolymer composite. Constr. Build. Mater. 2016, 127, 111–124. [Google Scholar] [CrossRef]
- Peys, A.; White, C.E.; Rahier, H.; Blanpain, B.; Pontikes, Y. Alkali-activation of CaO-FeOx-SiO2 slag: Formation mechanism from in-situ X-ray total scattering. Cem. Concr. Res. 2019, 122, 179–188. [Google Scholar] [CrossRef]
- Provis, J.L.; van Deventer, J.S.J. Alkali Activated Materials State-of-the-Art Report, RILEM TC 224-AAM; Springer: Dordrecht, The Netherlands, 2014; ISBN 978-94-007-7672-2. [Google Scholar]
- Flesoura, G.; Dilissen, N.; Dimitrakis, G.; Vleugels, J.; Pontikes, Y. A new approach for the vitrification of municipal solid waste incinerator bottom ash by microwave irradiation. J. Clean. Prod. 2021, 284, 124787. [Google Scholar] [CrossRef]
- Van De Sande, J.; Peys, A.; Hertel, T.; Rahier, H.; Pontikes, Y. Upcycling of non-ferrous metallurgy slags: Identifying the most reactive slag for inorganic polymer construction materials. Resour. Conserv. Recycl. 2020, 154, 104627. [Google Scholar] [CrossRef]
- Lemougna, P.N.; Yliniemi, J.; Adesanya, E.; Tanskanen, P.; Kinnunen, P.; Roning, J.; Illikainen, M. Reuse of copper slag in high-strength building ceramics containing spodumene tailings as fluxing agent. Miner. Eng. 2020, 155, 106448. [Google Scholar] [CrossRef]
- Siddique, R.; Singh, M.; Jain, M. Recycling copper slag in steel fibre concrete for sustainable construction. J. Clean. Prod. 2020, 271, 122559. [Google Scholar] [CrossRef]
- Saidi, M.; Reboul, N.; Gabor, A. Cyclic behaviour of textile-reinforced cementitious matrix composites (TRC) using distributed fibre optic sensors technology. Compos. Part Appl. Sci. Manuf. 2021, 149, 106531. [Google Scholar] [CrossRef]
- Shen, L.; Wang, J.; Xu, S.; Zhao, X.; Peng, Y. Flexural behavior of TRC contained chopped fibers subjected to high temperature. Constr. Build. Mater. 2020, 262, 120562. [Google Scholar] [CrossRef]
- Yin, S.; Cong, X.; Wang, C.; Wang, C. Research on flexural performance of composited RC beams with different forms of TRC permanent formwork. Structures 2021, 29, 1424–1434. [Google Scholar] [CrossRef]
- Beersaerts, G.; Ascensão, G.; Pontikes, Y. Modifying the pore size distribution in Fe-rich inorganic polymer mortars: An effective shrinkage mitigation strategy. Cem. Concr. Res. 2021, 141, 106330. [Google Scholar] [CrossRef]
- EN 196-6:2018; Methods of testing cement—Part 6: Determination of fineness. EN: Plzen, Czech Republic, 2018.
- Lemougna, P.N.; Dilissen, N.; Hernandez, G.M.; Kingne, F.; Gu, J.; Rahier, H. Effect of Sodium Disilicate and Metasilicate on the Microstructure and Mechanical Properties of One-Part Alkali-Activated Copper Slag/Ground Granulated Blast Furnace Slag. Materials 2021, 14, 5505. [Google Scholar] [CrossRef]
- Ranjbar, N.; Zhang, M. Fiber-reinforced geopolymer composites: A review. Cem. Concr. Compos. 2020, 107, 103498. [Google Scholar] [CrossRef]
- De Baere, I.; Van Paepegem, W.; Degrieck, J.; Sol, H.; Van Hemelrijck, D.; Petreli, A. Comparison of different identification techniques for measurement of quasi-zero Poisson’s ratio of fabric-reinforced laminates. Compos. Part Appl. Sci. Manuf. 2007, 38, 2047–2054. [Google Scholar] [CrossRef]
- Messiry, M.E. Theoretical analysis of natural fiber volume fraction of reinforced composites. Alex. Eng. J. 2013, 52, 301–306. [Google Scholar] [CrossRef]
- Kriskova, L.; Machiels, L.; Pontikes, Y. Inorganic Polymers from a Plasma Convertor Slag: Effect of Activating Solution on Microstructure and Properties. J. Sustain. Metall. 2015, 1, 240–251. [Google Scholar] [CrossRef]
- Onisei, S.; Lesage, K.; Blanpain, B.; Pontikes, Y. Early Age Microstructural Transformations of an Inorganic Polymer Made of Fayalite Slag. J. Am. Ceram. Soc. 2015, 98, 2269–2277. [Google Scholar] [CrossRef]
- Yao, X.; Zhang, Z.; Zhu, H.; Chen, Y. Geopolymerization process of alkali–metakaolinite characterized by isothermal calorimetry. Thermochim. Acta 2009, 493, 49–54. [Google Scholar] [CrossRef]
- Caron, R.; Patel, R.A.; Dehn, F. Activation kinetic model and mechanisms for alkali-activated slag cements. Constr. Build. Mater. 2022, 323, 126577. [Google Scholar] [CrossRef]
- Rahier, H.; Van Mele, B.; Biesemans, M.; Wastiels, J.; Wu, X. Low-temperature synthesized aluminosilicate glasses. J. Mater. Sci. 1996, 31, 71–79. [Google Scholar] [CrossRef]
- Peys, A.; White, C.E.; Olds, D.; Rahier, H.; Blanpain, B.; Pontikes, Y. Molecular structure of CaO–FeOx–SiO2 glassy slags and resultant inorganic polymer binders. J. Am. Ceram. Soc. 2018, 101, 5846–5857. [Google Scholar] [CrossRef]
- Luukkonen, T.; Abdollahnejad, Z.; Yliniemi, J.; Kinnunen, P.; Illikainen, M. One-part alkali-activated materials: A review. Cem. Concr. Res. 2018, 103, 21–34. [Google Scholar] [CrossRef]
- Suda, V.B.R.; Priyatham Paul, S. Relationship between compressive, split tensile and flexural strengths of ternary blended concrete. Int. Conf. Adv. Constr. Mater. Struct. 2022, 65, 1112–1119. [Google Scholar] [CrossRef]
- Vilaplana, J.L.; Baeza, F.J.; Galao, O.; Alcocel, E.G.; Zornoza, E.; Garcés, P. Mechanical properties of alkali activated blast furnace slag pastes reinforced with carbon fibers. Constr. Build. Mater. 2016, 116, 63–71. [Google Scholar] [CrossRef]
- He, P.; Jia, D.; Lin, T.; Wang, M.; Zhou, Y. Effects of high-temperature heat treatment on the mechanical properties of unidirectional carbon fiber reinforced geopolymer composites. Ceram. Int. 2010, 36, 1447–1453. [Google Scholar] [CrossRef]
- Mechtcherine, V.; Michel, A.; Liebscher, M.; Schneider, K.; Großmann, C. Mineral-impregnated carbon fiber composites as novel reinforcement for concrete construction: Material and automation perspectives. Autom. Constr. 2020, 110, 103002. [Google Scholar] [CrossRef]
- Li, H.; Liebscher, M.; Ranjbarian, M.; Hempel, S.; Tzounis, L.; Schröfl, C.; Mechtcherine, V. Electrochemical modification of carbon fiber yarns in cementitious pore solution for an enhanced interaction towards concrete matrices. Appl. Surf. Sci. 2019, 487, 52–58. [Google Scholar] [CrossRef]
- Lu, M.; Xiao, H.; Liu, M.; Li, X.; Li, H.; Sun, L. Improved interfacial strength of SiO2 coated carbon fiber in cement matrix. Cem. Concr. Compos. 2018, 91, 21–28. [Google Scholar] [CrossRef]
- Raphael, N.; Namratha, K.; Chandrashekar, B.N.; Sadasivuni, K.K.; Ponnamma, D.; Smitha, A.S.; Krishnaveni, S.; Cheng, C.; Byrappa, K. Surface modification and grafting of carbon fibers: A route to better interface. Prog. Cryst. Growth Charact. Mater. 2018, 64, 75–101. [Google Scholar] [CrossRef]
- Růžek, V.; Dostayeva, A.M.; Walter, J.; Grab, T.; Korniejenko, K. Carbon Fiber-Reinforced Geopolymer Composites: A Review. Fibers 2023, 11, 17. [Google Scholar] [CrossRef]
- Rahman, A.S.; Jackson, P.; Radford, D.W. Improved toughness and delamination resistance in continuous fiber reinforced geopolymer composites via incorporation of nano-fillers. Cem. Concr. Compos. 2020, 108, 103496. [Google Scholar] [CrossRef]
- Huang, L.; Tang, L.; Bachinger, A.; Li, Y.; Yang, Z. Improving the performance of alkali-activated slag mortar with electro/chemically treated carbon fiber textile. J. Clean. Prod. 2023, 418, 138214. [Google Scholar] [CrossRef]
- Raza, A.; Azab, M.; Baki, Z.A.; El Hachem, C.; El Ouni, M.H.; Kahla, N.B. Experimental study on mechanical, toughness and microstructural characteristics of micro-carbon fibre-reinforced geopolymer having nano TiO2. Alex. Eng. J. 2023, 64, 451–463. [Google Scholar] [CrossRef]
- Funke, H.; Gelbrich, S.; Kroll, L. The Durability and Performance of Short Fibers for a Newly Developed Alkali-Activated Binder. Fibers 2016, 4, 11. [Google Scholar] [CrossRef]
- Lemougna, P.N.; Madi, A.B.; Kamseu, E.; Melo, U.C.; Delplancke, M.-P.; Rahier, H. Influence of the processing temperature on the compressive strength of Na activated lateritic soil for building applications. Constr. Build. Mater. 2014, 65, 60–66. [Google Scholar] [CrossRef]
- Behera, P.; Baheti, V.; Militky, J.; Louda, P. Elevated temperature properties of basalt microfibril filled geopolymer composites. Constr. Build. Mater. 2018, 163, 850–860. [Google Scholar] [CrossRef]













| Samples | SiO2 | Al2O3 | Fe2O3 | CaO | MgO | Cr2O3 | K2O | TiO2 | P2O5 | SO3 | Others * | LOI ** |
|---|---|---|---|---|---|---|---|---|---|---|---|---|
| K | 26.6 | 9.5 | 57.4 | 2.8 | 0.9 | 0.7 | 0.2 | 0.2 | 0.8 | 0.9 | 0.0 | - |
| MK | 51.9 | 40.9 | 1.7 | 0.1 | 0.1 | 0 | 1 | 2.1 | 0 | 0 | 0.3 | 1.9 |
| OPC | 19.7 | 5.2 | 3.0 | 64.2 | 1.7 | 0 | 0 | 0.3 | 0 | 2.7 | 1.6 | 1.6 |
| Area Density (g/m2) | Tensile Strength (MPa) | Tensile Modulus/E-Modulus (GPa) | Elongation at Break (%) | |
|---|---|---|---|---|
| Carbon (Plain woven) | 200 | 4410 | 235 | 1.9 |
| Sample Codes | Koranel (g) | Potassium Silicate Solution R = 2.25 (g) | Metakao-Linite (g) | OPC (g) | 2-Methyl 2,4-Pentanediol (g) | PEG 600 (g) |
|---|---|---|---|---|---|---|
| K | 100 | 55 | - | - | - | - |
| Kp | 100 | 55 | - | - | - | 2 |
| Km | 100 | 55 | - | - | 2 | - |
| 90K10MK | 90 | 55 | 10 | - | - | - |
| 80K20MK | 80 | 55 | 20 | - | - | - |
| 80K20MKm | 80 | 55 | 20 | - | 2 | - |
| 80K20MKp | 80 | 55 | 20 | - | - | 2 |
| 95K5OPC | 95 | 55 | - | 5 | - | - |
| 90K10OPC * | 90 | 55 | - | 10 | - | - |
Disclaimer/Publisher’s Note: The statements, opinions and data contained in all publications are solely those of the individual author(s) and contributor(s) and not of MDPI and/or the editor(s). MDPI and/or the editor(s) disclaim responsibility for any injury to people or property resulting from any ideas, methods, instructions or products referred to in the content. |
© 2024 by the authors. Licensee MDPI, Basel, Switzerland. This article is an open access article distributed under the terms and conditions of the Creative Commons Attribution (CC BY) license (https://creativecommons.org/licenses/by/4.0/).
Share and Cite
Lemougna, P.N.; Hernandez, G.M.; Dilissen, N.; Kingne, F.; Gu, J.; Rahier, H. Alkali-Activated Copper Slag with Carbon Reinforcement: Effects of Metakaolinite, OPC and Surfactants. Appl. Sci. 2024, 14, 2081. https://doi.org/10.3390/app14052081
Lemougna PN, Hernandez GM, Dilissen N, Kingne F, Gu J, Rahier H. Alkali-Activated Copper Slag with Carbon Reinforcement: Effects of Metakaolinite, OPC and Surfactants. Applied Sciences. 2024; 14(5):2081. https://doi.org/10.3390/app14052081
Chicago/Turabian StyleLemougna, Patrick Ninla, Guillermo Meza Hernandez, Nicole Dilissen, Felicite Kingne, Jun Gu, and Hubert Rahier. 2024. "Alkali-Activated Copper Slag with Carbon Reinforcement: Effects of Metakaolinite, OPC and Surfactants" Applied Sciences 14, no. 5: 2081. https://doi.org/10.3390/app14052081
APA StyleLemougna, P. N., Hernandez, G. M., Dilissen, N., Kingne, F., Gu, J., & Rahier, H. (2024). Alkali-Activated Copper Slag with Carbon Reinforcement: Effects of Metakaolinite, OPC and Surfactants. Applied Sciences, 14(5), 2081. https://doi.org/10.3390/app14052081

