Stability Analysis of Three-Dimensional Tunnel Face Considering Linear and Nonlinear Strength in Unsaturated Soil
Abstract
1. Introduction
2. Strength Theory of Unsaturated Soil
2.1. Linear Shear Strength
2.2. Nonlinear Shear Strength
3. KLA in the 3D Horned Failure Mechanism
3.1. Three-Dimensional Horned Rotational Failure Mechanism
3.2. Balance Equation for Work and Energy
3.3. Implicit Solution for the FS
4. Results and Discussion
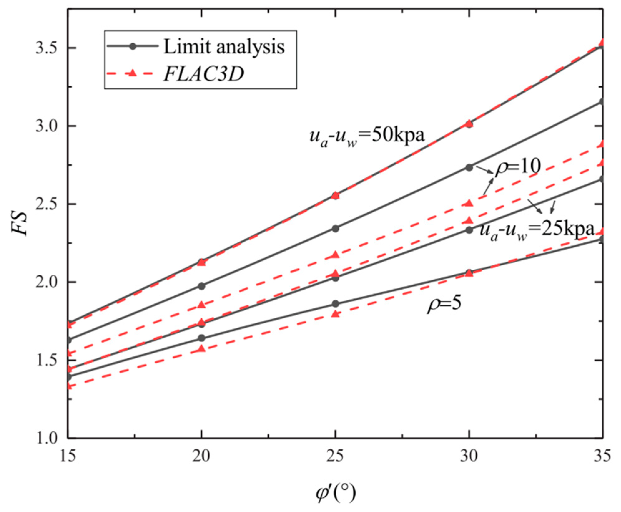
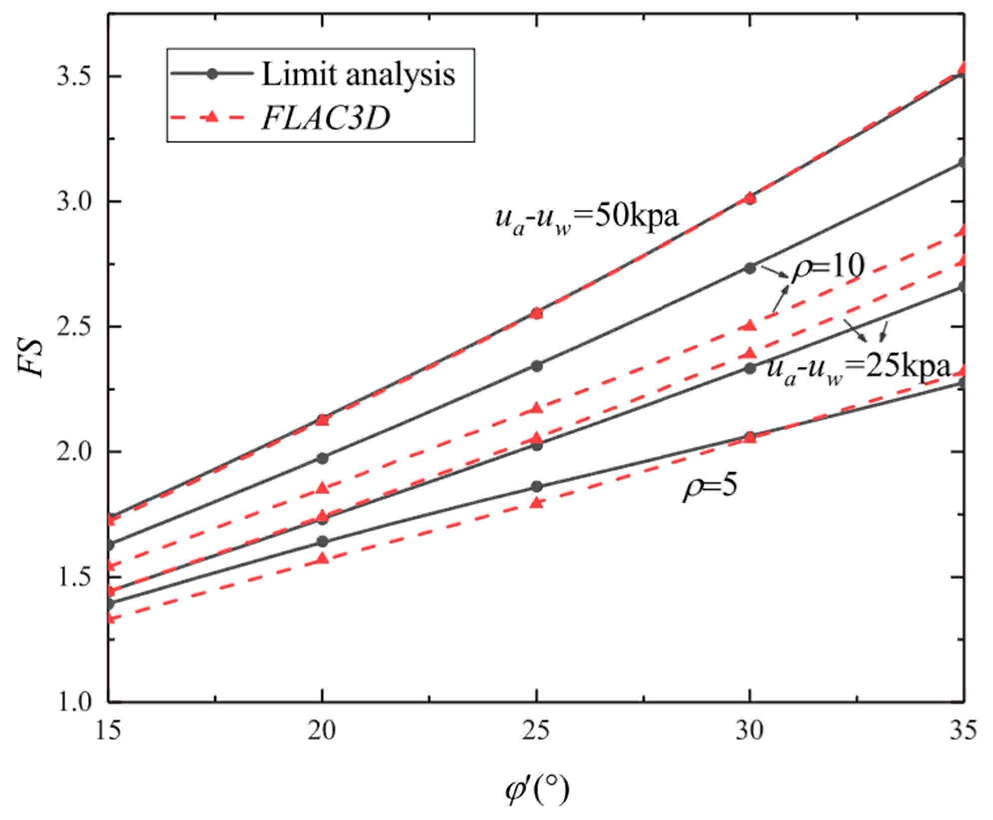
4.1. Comparisons
4.2. Parameters Analysis
4.2.1. Case 1—Uniformly Distributed Suction
4.2.2. Case 2—Linearly Increasing Suction
4.2.3. Case 3—Nonlinear Shear Strength
5. Conclusions
- (1)
- In the case of a linearly increasing matric suction distribution, the suction stress distribution initially increases linearly with the distance from the groundwater level and then gradually becomes less steep, transitioning to a nonlinear pattern. The suction stress curve derived from the nonlinear estimation equation for extremely fine-grained soil will degrade into a linear form. The suction stress distribution in fine-grained soil is more complex than in other soils, exhibiting a decreasing trend in suction stress when the distance from the groundwater level is sufficiently large.
- (2)
- Considering the influence of suction stress is advantageous for enhancing the stability of tunnel faces. This impact varies across different soils, with the least effect on sandy soil, followed by fine-grained soil (silt), and the greatest impact on extremely fine-grained soil. When matric suction reaches a sufficiently high level, the increase in suction stress may slow down or even decrease, as observed in fine-grained soils, leading to the stabilization of or a reduction in the stability of tunnel faces. For extremely fine-grained soil, the contribution of suction stress to the stability of tunnel faces is nearly a linear function of .
- (3)
- Compared to the uniform matric suction distribution condition, the stability of tunnel faces under the condition of linearly increasing matric suction distribution is more influenced by the burial depth ratio C/D. For sandy and fine-grained soils, the stability of tunnel faces is less affected by C/D, and the difference is not significant under saturated conditions. For extremely fine-grained soil and clay, the factor of safety increases linearly with C/D until it stabilizes. The stability of the tunnel faces is significantly improved compared with that under saturated conditions. These two types of soil can significantly reduce the economic costs of practical tunnel construction.
Author Contributions
Funding
Institutional Review Board Statement
Informed Consent Statement
Data Availability Statement
Conflicts of Interest
References
- Zhai, Q.; Rahardjo, H.; Satyanaga, A.; Dai, G. Estimation of Unsaturated Shear Strength from Soil–Water Characteristic Curve. Acta Geotech. 2019, 14, 1977–1990. [Google Scholar] [CrossRef]
- Zhai, Q.; Xiang, K.; Rahardjo, H.; Satyanaga, A.; Dai, G.; Gong, W.; Zhao, X. A New Domain Model for Estimating Water Distribution in Soil Pores during the Drying and Wetting Processes. Eng. Geol. 2023, 322, 107180. [Google Scholar] [CrossRef]
- Michalowski, R.L.; Drescher, A. Three-Dimensional Stability of Slopes and Excavations. Geotechnique 2009, 59, 839–850. [Google Scholar] [CrossRef]
- Tarantino, A.; El Mountassir, G. Making Unsaturated Soil Mechanics Accessible for Engineers: Preliminary Hydraulic-Mechanical Characterisation & Stability Assessment. Eng. Geol. 2013, 165, 89–104. [Google Scholar] [CrossRef]
- Li, Z.W.; Yang, X.L. Active Earth Pressure for Soils with Tension Cracks under Steady Unsaturated Flow Conditions. Can. Geotech. J. 2018, 55, 1850–1859. [Google Scholar] [CrossRef]
- Hou, C.; Yang, X.L. Three-dimensional Face Stability of Tunnels in Unsaturated Soils with Nonlinear Soil Strength. Int. J. Geomech. 2021, 21, 06021006. [Google Scholar] [CrossRef]
- Houston, S.L.; Perez-Garcia, N.; Houston, W.N. Shear Strength and Shear-Induced Volume Change Behavior of Unsaturated Soils from a Triaxial Test Program. J. Geotech. Geoenviron. Eng. 2008, 134, 1619–1632. [Google Scholar] [CrossRef]
- Pan, Q.; Dias, D. Upper-Bound Analysis on the Face Stability of a Non-Circular Tunnel. Tunn. Undergr. Space Technol. 2017, 62, 96–102. [Google Scholar] [CrossRef]
- Zhang, X.; Wang, M.; Wang, Z.; Li, J.; Tong, J.; Liu, D. A Limit Equilibrium Model for the Reinforced Face Stability Analysis of a Shallow Tunnel in Cohesive-Frictional Soils. Tunn. Undergr. Space Technol. 2020, 105, 103562. [Google Scholar] [CrossRef]
- Pan, Q.; Chen, Z.; Wu, Y.; Dias, D.; Oreste, P. Probabilistic Tunnel Face Stability Analysis: A Comparison between LEM and LAM. Geomech. Eng. 2021, 24, 399–406. [Google Scholar] [CrossRef]
- Li, T.; Pan, Q.; Shen, Z.; Gong, W. Probabilistic Stability Analysis of a Tunnel Face in Spatially Random Hoek–Brown Rock Masses with a Multi-Tangent Method. Rock Mech. Rock Eng. 2022, 55, 3545–3561. [Google Scholar] [CrossRef]
- Fu, J.; Safaei, M.R.; Haeri, H.; Sarfarazi, V.; Fatehi, M.; Xu, L.; Arefnia, A. Experimental Investigation on Deformation Behavior of Circular Underground Opening in Hard Soil Using a 3D Physical Model. J. Min. Environ. 2022, 13, 727–749. [Google Scholar] [CrossRef]
- Di, Q.; Li, P.; Zhang, M.; Guo, C.; Wang, F.; Wu, J. Three-Dimensional Theoretical Analysis of Seepage Field in Front of Shield Tunnel Face. Undergr. Space 2022, 7, 528–542. [Google Scholar] [CrossRef]
- Gkikas, V.I.; Nomikos, P.P. Longitudinal Deformation Profiles for Sequentially Supported Deep Tunnels in Strain-Softening Hoek-Brown Rock Mass. Geotech. Geol. Eng. 2021, 39, 2239–2257. [Google Scholar] [CrossRef]
- Yang, X.L.; Huang, F. Collapse Mechanism of Shallow Tunnel Based on Nonlinear Hoek-Brown Failure Criterion. Tunn. Undergr. Space Technol. 2011, 26, 686–691. [Google Scholar] [CrossRef]
- Shiau, J.; Al-Asadi, F. Determination of Critical Tunnel Heading Pressures Using Stability Factors. Comput. Geotech. 2020, 119, 103345. [Google Scholar] [CrossRef]
- Yang, Y.S.; Zhou, D. Seismic Stability for 3D Two-Step Slope Governed by Non-Linearity in Soils Using Modified Pseudo-Dynamic Approach. Appl. Sci. 2022, 12, 6482. [Google Scholar] [CrossRef]
- Yang, X.L.; Yin, J.H. Slope Stability Analysis with Nonlinear Failure Criterion. J. Eng. Mech. 2004, 130, 267–273. [Google Scholar] [CrossRef]
- Oreste, P.P.; Dias, D. Stabilisation of the Excavation Face in Shallow Tunnels Using Fibreglass Dowels. Rock Mech. Rock Eng. 2012, 45, 499–517. [Google Scholar] [CrossRef]
- Anagnostou, G.; Perazzelli, P. The Stability of a Tunnel Face with a Free Span and a Non-Uniform Support. Geotechnik 2013, 36, 40–50. [Google Scholar] [CrossRef]
- Lu, X.; Zhou, Y.; Huang, M.; Li, F. Computation of the Minimum Limit Support Pressure for the Shield Tunnel Face Stability Under Seepage Condition. Int. J. Civ. Eng. 2017, 15, 849–863. [Google Scholar] [CrossRef]
- Gong, W.; Tang, H.; Juang, C.H.; Wang, L. Optimization Design of Stabilizing Piles in Slopes Considering Spatial Variability. Acta Geotech. 2020, 15, 3243–3259. [Google Scholar] [CrossRef]
- McQuillan, A.; Canbulat, I.; Oh, J. Methods Applied in Australian Industry to Evaluate Coal Mine Slope Stability. Int. J. Min. Sci. Technol. 2020, 30, 151–155. [Google Scholar] [CrossRef]
- Li, Z.W.; Yang, X.L.; Li, T.Z. Static and Seismic Stability Assessment of 3D Slopes with Cracks. Eng. Geol. 2019, 265, 105450. [Google Scholar] [CrossRef]
- Leca, E.; Dormieux, L. Upper and Lower Bound Solutions for the Face Stability of Shallow Circular Tunnels in Frictional Material. Géotechnique 1990, 40, 581–606. [Google Scholar] [CrossRef]
- Mollon, G.; Dias, D.; Soubra, A.-H. Face Stability Analysis of Circular Tunnels Driven by a Pressurized Shield. J. Geotech. Geoenviron. Eng. 2010, 136, 215–229. [Google Scholar] [CrossRef]
- Subrin, D.; Wong, H. Stabilité Du Front d’un Tunnel En Milieu Frottant: Un Nouveau Mécanisme de Rupture 3D. Comptes Rendus Mécanique 2002, 330, 513–519. [Google Scholar] [CrossRef]
- Yang, X.L.; Wang, J.M. Ground Movement Prediction for Tunnels Using Simplified Procedure. Tunn. Undergr. Space Technol. 2011, 26, 462–471. [Google Scholar] [CrossRef]
- Li, T.; Gong, W.; Tang, H. Three-Dimensional Stochastic Geological Modeling for Probabilistic Stability Analysis of a Circular Tunnel Face. Tunn. Undergr. Space Technol. 2021, 118, 104190. [Google Scholar] [CrossRef]
- Conte, E.; Pugliese, L.; Troncone, A. A Simple Method for Predicting Rainfall-Induced Shallow Landslides. J. Geotech. Geoenviron. Eng. 2022, 148, 04022079. [Google Scholar] [CrossRef]
- Troncone, A.; Pugliese, L.; Parise, A.; Conte, E. A Simple Method to Reduce Mesh Dependency in Modelling Landslides Involving Brittle Soils. Géotech. Lett. 2022, 12, 167–173. [Google Scholar] [CrossRef]
- Cao, W.; Wan, Z.; Li, W. Stability of Unsaturated Soil Slope Considering Stratigraphic Uncertainty. Sustainability 2023, 15, 10717. [Google Scholar] [CrossRef]
- Cao, W.; Zhou, A.; Shen, S.-L. Stability of Unsaturated Soil Slope Considering Stratigraphic Uncertainty and Rotated Anisotropy of Soil Properties. Int. J. Numer. Anal. Methods Geomech. 2024, 48, 359–376. [Google Scholar] [CrossRef]
- Fredlund, D.G.; Morgenstern, N.R.; Widger, R.A. The Shear Strength of Unsaturated Soils. Can. Geotech. J. 1978, 15, 313–321. [Google Scholar] [CrossRef]
- Vanapalli, S.K.; Fredlund, D.G.; Pufahl, D.E.; Clifton, A.W. Model for the Prediction of Shear Strength with Respect to Soil Suction. Can. Geotech. J. 1996, 33, 379–392. [Google Scholar] [CrossRef]
- Fredlund, D.G.; Xing, A.; Fredlund, M.D.; Barbour, S.L. The Relationship of the Unsaturated Soil Shear Strength to the Soil-Water Characteristic Curve. Can. Geotech. J. 1996, 33, 440–448. [Google Scholar] [CrossRef]
- Khalili, N.; Khabbaz, M.H. A Unique Relationship for χ for the Determination of the Shear Strength of Unsaturated Soils. Géotechnique 1998, 48, 681–687. [Google Scholar] [CrossRef]
- Bao, C.G.; Gong, B.W.; Zhan, L.T. Properties of unsaturated soils and slope stability of expansive soils. In Proceedings of the Second International Conference on Unsaturated Soils, Beijing, China, 27–30 August 1998; China Civil Engineering Society (CCES); Chinese Institution to Soil Mechanics and Geotechnical Engineering (CISMGE-CCES): Beijing, China, 1998; Volume 2, pp. 81–108. [Google Scholar]
- Vilar, O.M. A Simplified Procedure to Estimate the Shear Strength Envelope of Unsaturated Soils. Can. Geotech. J. 2006, 43, 1088–1095. [Google Scholar] [CrossRef]
- Zhang, C.; Chen, X.; Fan, W. Critical Embedment Depth of a Rigid Retaining Wall against Overturning in Unsaturated Soils Considering Intermediate Principal Stress and Strength Nonlinearity. J. Cent. South Univ. 2016, 23, 944–954. [Google Scholar] [CrossRef]
- Oh, S.; Lu, N. Slope Stability Analysis under Unsaturated Conditions: Case Studies of Rainfall-Induced Failure of Cut Slopes. Eng. Geol. 2015, 184, 96–103. [Google Scholar] [CrossRef]
- Zhai, Q.; Zhu, Y.; Rahardjo, H.; Satyanaga, A.; Dai, G.; Gong, W.; Zhao, X.; Ou, Y. Prediction of the Soil–Water Characteristic Curves for the Fine-Grained Soils with Different Initial Void Ratios. Acta Geotech. 2023, 18, 5359–5368. [Google Scholar] [CrossRef]
- Rahardjo, H.; Ong, T.H.; Rezaur, R.B.; Leong, E.C. Factors Controlling Instability of Homogeneous Soil Slopes under Rainfall. J. Geotech. Geoenviron. Eng. 2007, 133, 1532–1543. [Google Scholar] [CrossRef]
- Escario, V.; Sáez, J. The Shear Strength of Partly Saturated Soils. Géotechnique 1986, 36, 453–456. [Google Scholar] [CrossRef]
- Drnevich, V.P.; Gan, K.J.; Fredlund, D.G. Multistage Direct Shear Testing of Unsaturated Soils. Geotech. Test. J. 1988, 11. [Google Scholar] [CrossRef]
- Zhang, L.L.; Fredlund, D.G.; Fredlund, M.D.; Wilson, G.W. Modeling the Unsaturated Soil Zone in Slope Stability Analysis. Can. Geotech. J. 2014, 51, 1384–1398. [Google Scholar] [CrossRef]
- Fredlund, D.G.; Xing, A. Equations for the Soil-Water Characteristic Curve. Can. Geotech. J. 1994, 31, 521–532. [Google Scholar] [CrossRef]
- Yang, X.L.; Li, L.; Yin, J.H. Seismic and Static Stability Analysis for Rock Slopes by a Kinematical Approach. Géotechnique 2004, 54, 543–549. [Google Scholar] [CrossRef]
- Zhong, J.; Yang, X. Two-Dimensional Face Stability Analysis in Rock Masses Governed by the Hoek-Brown Strength Criterion with a New Multi-Horn Mechanism. Int. J. Min. Sci. Technol. 2023, 33, 963–976. [Google Scholar] [CrossRef]
- Yang, X.L.; Yin, J.H. Upper Bound Solution for Ultimate Bearing Capacity with a Modified Hoek–Brown Failure Criterion. Int. J. Rock Mech. Min. Sci. 2005, 42, 550–560. [Google Scholar] [CrossRef]










| Author and Year | Apparent Cohesion Induced by Matric Suction |
|---|---|
| Fredlund et al. (1978) [34] | |
| Fredlund et al. (1996) [36] | |
| Vanapalli et al. (1996) [35] | |
| Vilar (2006) [39] | |
| Khalili and Khabbaz (1998) [37] | |
| Bao et al. (1998) [38] |
| SWCC | |||||||||
|---|---|---|---|---|---|---|---|---|---|
| 1 | 0.4 | 1 | 2 | 1 | 10 | 0.5 | 0.081 | 1.0 | 11.4 |
| 2 | 0.4 | 10 | 2 | 1 | 100 | 5 | 0.080 | 1.8 | 13.7 |
| 3 | 0.4 | 100 | 2 | 1 | 1000 | 50 | 0.078 | 2.2 | 28.4 |
| 4 | 0.4 | 1000 | 2 | 1 | 10,000 | 500 | 0.073 | 2.5 | 107.3 |
Disclaimer/Publisher’s Note: The statements, opinions and data contained in all publications are solely those of the individual author(s) and contributor(s) and not of MDPI and/or the editor(s). MDPI and/or the editor(s) disclaim responsibility for any injury to people or property resulting from any ideas, methods, instructions or products referred to in the content. |
© 2024 by the authors. Licensee MDPI, Basel, Switzerland. This article is an open access article distributed under the terms and conditions of the Creative Commons Attribution (CC BY) license (https://creativecommons.org/licenses/by/4.0/).
Share and Cite
Yang, Y.; Liao, H.; Zhu, J. Stability Analysis of Three-Dimensional Tunnel Face Considering Linear and Nonlinear Strength in Unsaturated Soil. Appl. Sci. 2024, 14, 2080. https://doi.org/10.3390/app14052080
Yang Y, Liao H, Zhu J. Stability Analysis of Three-Dimensional Tunnel Face Considering Linear and Nonlinear Strength in Unsaturated Soil. Applied Sciences. 2024; 14(5):2080. https://doi.org/10.3390/app14052080
Chicago/Turabian StyleYang, Yushan, Hong Liao, and Jianqun Zhu. 2024. "Stability Analysis of Three-Dimensional Tunnel Face Considering Linear and Nonlinear Strength in Unsaturated Soil" Applied Sciences 14, no. 5: 2080. https://doi.org/10.3390/app14052080
APA StyleYang, Y., Liao, H., & Zhu, J. (2024). Stability Analysis of Three-Dimensional Tunnel Face Considering Linear and Nonlinear Strength in Unsaturated Soil. Applied Sciences, 14(5), 2080. https://doi.org/10.3390/app14052080
