Small-Signal Stability Analysis and Improvement in Multi-Converter Grid-Tied System Based on Gerschgorin Disc Theorem
Abstract
1. Introduction
- (1)
- Proposing a stability evaluation function for a multi-converter grid-tied system based on the Generalized Nyquist Criterion (GNC) and the Gerschgorin disc theorem, which provides an intuitive quantitative indicator for estimating system stability. By considering the distance between the fastest intersection of the Gerschgorin disc with the real axis and the point (−1, j0), the stability evaluation function in this paper can overcome the misjudgment in parameter optimization direction caused by the change in the Gerschgorin disc’s radius due to parameter variation.
- (2)
- By using the derivative operation among the control parameters of VSCs and the stability evaluation function, numerical results that characterize the impact of VSCs control parameters on system stability are obtained. The parameters with large absolute sensitivity values are identified as stability-weakest parameters.
- (3)
- Developing a stability-weakest parameters-based optimization method by iterative calculation, which can calculate the specific control parameter optimization value to improve the system stability. It can compensate for the theoretical shortcomings of traditional methods, i.e., that parameter optimization can only be attempted step by step and lacks targeted theoretical guidance for the optimization of VSCs control parameters.
2. Impedance-Based Model of Multi-Converter Grid-Tied System
2.1. Equivalent Model of VSC
2.2. Equivalent Model of Multi-Converter Grid-Tied System
3. Stability Analysis and Improvement in the Multi-Converter Grid-Tied System
3.1. Stability Analysis of the Multi-Converter Grid-Tied System
3.2. Parameter Optimization
- (1)
- At a specific frequency, if the sensitivity function value μxi0(f) > 0 for parameter xi, the parameter xi needs to be increased to increase the value of function g(f) according to Equation (25). Conversely, if μxi0(f) < 0, the parameter xi needs to be decreased.
- (2)
- If |μxi0(f)|>|μxj0(f)|, the variation of parameter xi has a greater impact on system stability at this frequency. So the parameters with large absolute sensitivity values are defined as stability-weakest parameters. When system stability cannot be satisfied by optimizing a single parameter, parameter optimization can be performed by combining stability-weakest parameters.
- (3)
- Perform parameter optimization for m (m ≥ 1) parameters. Assume that the sensitivity values of these parameters have the same sign and equal optimization magnitude. Then, according to Equation (25), the modified values for parameter xi|i=1,2,…,m, to ensure that the function value of M is greater than 0, are given as:
- Step1: Firstly, the return ratio matrix L(s) of the multi-converter grid-tied system is obtained.
- Step2: Then, the stability evaluation function g(f) of the system is constructed according to the Gerschgorin disc theorem and GNC to determine the system stability.
- Step3: If the system is unstable, get the function and the frequency value of the M, and calculate the parameter sensitivity of each parameter.
- Step4: Finally, the stability-weakest parameters are identified. The parameter optimization values are calculated according to the parameter optimization criteria.

4. Analysis and Simulation Verification
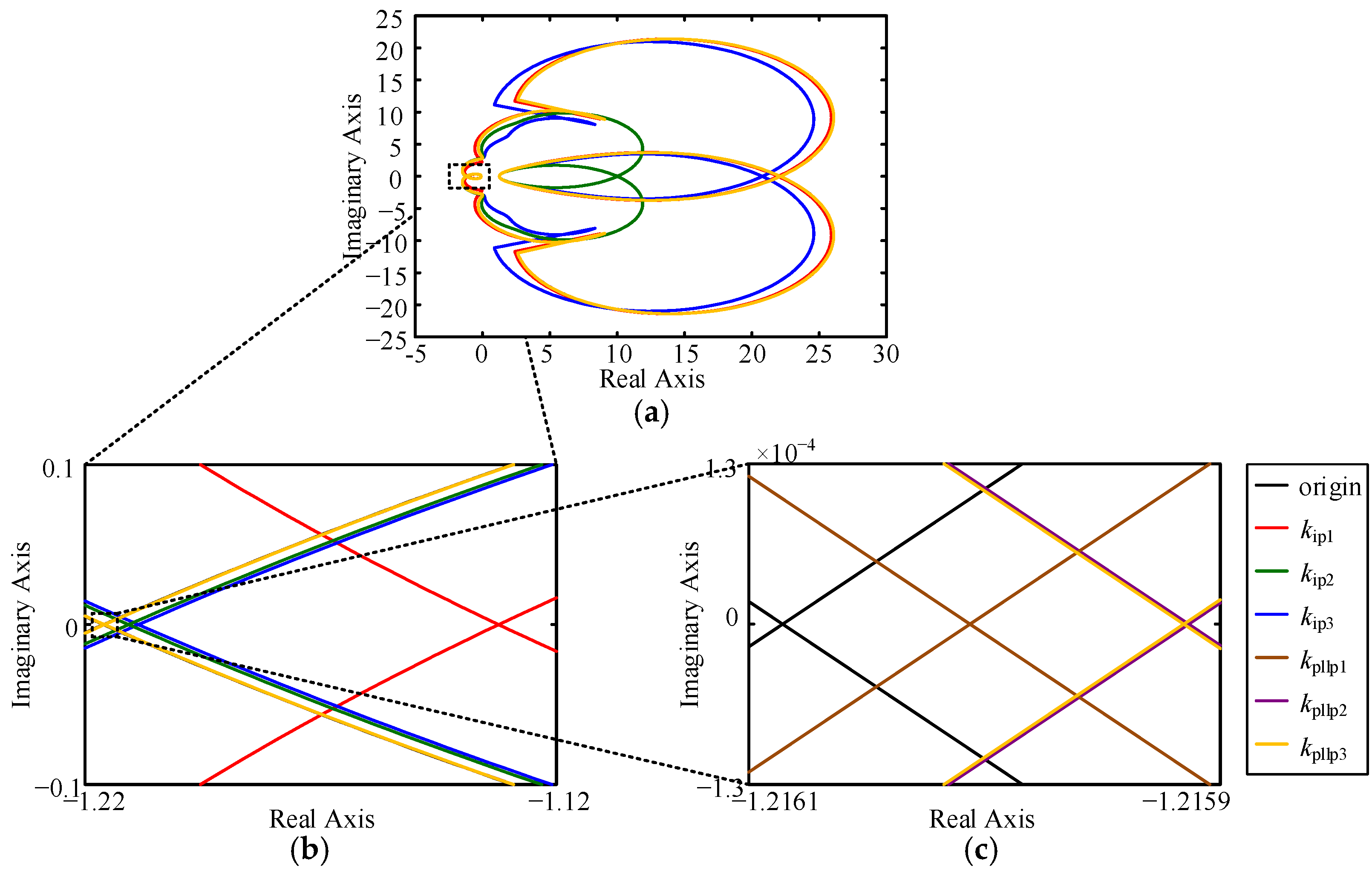
4.1. Optimization of One Parameter
4.2. Optimization of Multiple Parameters
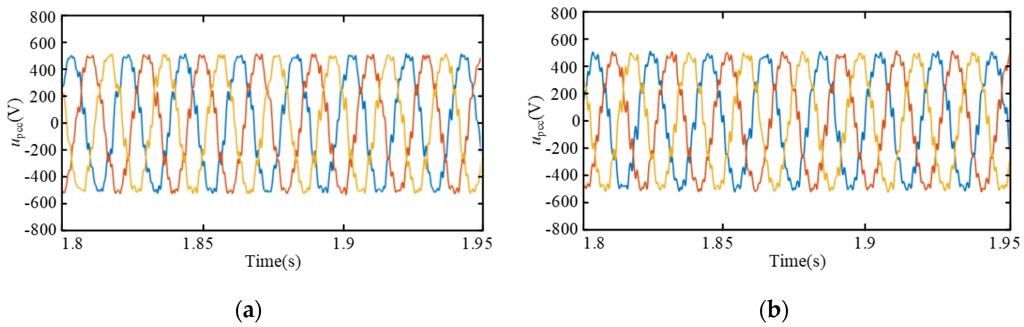
4.3. Real-Time Simulation-Based Validation
5. Conclusions
- (1)
- An improved stability evaluation function is constructed by considering the distance between the intersection point and (−1, j0) when the Gerschgorin discs intersect with the real axis and Re(Lii(jj)) ≤ −1. This method overcomes the misjudgment of parameter sensitivity correction direction when the radius of the Gerschgorin disc changes due to the changes in VSC control parameters.
- (2)
- In the multi-converter grid-tied system, the contribution of control parameters in each VSC to the system stability varies. The proposed method can quantitatively analyze the influence of VSC control parameters on the stability of the multi-converter grid-tied system, and identify the parameters with large absolute sensitivity as the stability weak parameters.
- (3)
- Based on stability evaluation functions and parameter sensitivity analysis, an iterative calculations-based parameter optimization is developed. In the iterative calculations, one or multiple stability-weakest parameters can be rolling-optimized based on the quantitative results of the stability evaluation function. Theoretical analysis and simulation verify the correctness and feasibility of this approach.
Author Contributions
Funding
Institutional Review Board Statement
Informed Consent Statement
Data Availability Statement
Acknowledgments
Conflicts of Interest
Appendix A
| Equipment | Parameter | Symbol | Value |
|---|---|---|---|
| Grid | Grid Voltage(line-to-line) | Ug | 690.0 V |
| Grid Inductance | Lg | 1.333 × 10−4 mH | |
| VSC1 | Filter Inductance | L1 | 3.200 × 10−4 mH |
| Switching Frequency | fs1 | 10.00 kHz | |
| PI Controller of Current Loop | kip1, kii1 | 2.175 × 10−3, 2.900 × 10−2 | |
| PI Controller of PLL | kpllp1, kplli1 | 3.994, 8.870 × 10−2 | |
| VSC2 | Filter Inductance | L2 | 3.200 × 10−4 mH |
| Switching Frequency | fs2 | 10.00 kHz | |
| PI Controller of Current Loop | kip2, kii2 | 6.500 × 10−3, 2.900 × 10−2 | |
| PI Controller of PLL | kpllp2, kplli2 | 7.189 × 10−1, 1.600 × 10−2 | |
| VSC3 | Filter Inductance | L3 | 3.200 × 10−4 mH |
| Switching Frequency | fs3 | 10.00 kHz | |
| PI Controller of Current Loop | kip, kii3 | 5.800 × 10−3, 2.900 × 10−2 | |
| PI Controller of PLL | kpllp3, kplli3 | 6.390 × 10−1, 1.420 × 10−2 |
| Equipment | Parameter | Symbol | Value |
|---|---|---|---|
| Grid | Grid Voltage(line-to-line) | Ug | 690.0 V |
| Grid Inductance | Lg | 1.333 × 10−4 mH | |
| VSC1 | Filter Inductance | L1 | 3.200 × 10−4 mH |
| Switching Frequency | fs1 | 10.00 kHz | |
| PI Controller of Current Loop | kip1, kii1 | 1.810 × 10−2, 3.622 | |
| PI Controller of PLL | kpllp1, kplli1 | 3.515, 0.3905 | |
| VSC2 | Filter Inductance | L2 | 3.200 × 10−4 mH |
| Switching Frequency | fs2 | 10.00 kHz | |
| PI Controller of Current Loop | kip2, kii2 | 6.600 × 10−3, 0.1449 | |
| PI Controller of PLL | kpllp2, kplli2 | 1.198, 2.660 × 10−2 | |
| VSC3 | Filter Inductance | L3 | 3.200 × 10−4 mH |
| Switching Frequency | fs3 | 10.00 kHz | |
| PI Controller of Current Loop | kip, kii3 | 6.600 × 10−3, 0.1449 | |
| PI Controller of PLL | kpllp3, kplli3 | 8.786 × 10−1, 1.950 × 10−2 |
References
- Rodriguez, S.F.; Rosales, V.R.; Gomez-Montero, O.; Rodriguez-Hernandez, O.; Salgado-Herrera, N.M.; H-Sanchez, J.; Rodriguez-Rodriguez, J.R. Real Time Simulation of Distributed Renewable Energy Access Based on Photovoltaic Energy Conversion System. In Proceedings of the 2020 IEEE Power & Energy Society General Meeting (PESGM), Montreal, QC, Canada, 2 August 2020; pp. 1–5. [Google Scholar]
- Qazi, A.; Hussain, F.; Rahim, N.A.; Hardaker, G.; Alghazzawi, D.; Shaban, K.; Haruna, K. Towards Sustainable Energy: A Systematic Review of Renewable Energy Sources, Technologies, and Public Opinions. IEEE Access 2019, 7, 63837–63851. [Google Scholar] [CrossRef]
- Liao, K.; Pang, B.; Yang, J.; He, Z. Output Current Quality Improvement for VSC With Capability of Compensating Voltage Harmonics. IEEE Trans. Ind. Electron. 2023, 2023, 3327548. [Google Scholar] [CrossRef]
- Cheng, Y.; Fan, L.; Rose, J.; Huang, S.-H.; Schmall, J.; Wang, X.; Xie, X.; Shair, J.; Ramamurthy, J.R.; Modi, N.; et al. Real-World Subsynchronous Oscillation Events in Power Grids With High Penetrations of Inverter-Based Resources. IEEE Trans. Power Syst. 2023, 38, 316–330. [Google Scholar] [CrossRef]
- Lin, J.; Li, Y.; Hu, S.; Liu, Q.; Zhang, J.; Wang, S.; Dong, L.; Ni, J. Resonance Mechanism Analysis of Large-Scale Photovoltaic Power Plant. Chin. J. Electr. Eng. 2021, 7, 47–54. [Google Scholar] [CrossRef]
- Yu, C.; Zhang, X.; Liu, F.; Li, F.; Xu, H.; Cao, R.; Ni, H. Modeling and Resonance Analysis of Multiparallel Inverters System Under Asynchronous Carriers Conditions. IEEE Trans. Power Electron. 2017, 32, 3192–3205. [Google Scholar] [CrossRef]
- Liu, H.; Xie, X. Impedance Network Modeling and Quantitative Stability Analysis of Sub-/Super-Synchronous Oscillations for Large-Scale Wind Power Systems. IEEE Access 2018, 6, 34431–34438. [Google Scholar] [CrossRef]
- Harnefors, L.; Wang, X.; Yepes, A.G.; Blaabjerg, F. Passivity-Based Stability Assessment of Grid-Connected VSCs—An Overview. IEEE J. Emerg. Sel. Topics Power Electron. 2016, 4, 116–125. [Google Scholar] [CrossRef]
- Wang, S.; Liu, Z.; Liu, J.; Boroyevich, D.; Burgos, R. Small-Signal Modeling and Stability Prediction of Parallel Droop-Controlled Inverters Based on Terminal Characteristics of Individual Inverters. IEEE Trans. Power Electron. 2020, 35, 1045–1063. [Google Scholar] [CrossRef]
- Li, Z.; Wang, Z.; Wang, Y.; Yin, T.; Mei, N.; Yue, B.; Lei, W. Accurate Impedance Modeling and Control Strategy for Improving the Stability of DC System in Multiterminal MMC-Based DC Grid. IEEE Trans. Power Electron. 2020, 35, 10026–10049. [Google Scholar] [CrossRef]
- Liu, Y.; Wang, Y.; Peng, Y.; Gao, K.; Li, R.; Liu, H. Parameter Tuning for Improving Interaction Stability of Grid-forming Converter and Power Grid. Power Syst. Technol. 2023, 47, 16–27. (In Chinese) [Google Scholar] [CrossRef]
- Li, Y.; Tian, X.; Liu, C.; Su, Y. Study on Voltage Control in Distribution Network with Renewable Energy Integration. In Proceedings of the 2017 IEEE Conference on Energy Internet and Energy System Integration (EI2), IEEE, Beijing, China, 26–28 November 2017; pp. 1–5. [Google Scholar]
- Li, Y.; Shuai, Z.; Liu, X.; Chen, Y.; Li, Z.; Hong, Y.; Shen, Z.J. Stability Analysis and Location Optimization Method for Multiconverter Power Systems Based on Nodal Admittance Matrix. IEEE J. Emerg. Sel. Topics Power Electron. 2021, 9, 529–538. [Google Scholar] [CrossRef]
- Wang, Y.; Wang, X.; Blaabjerg, F.; Chen, Z. Harmonic Instability Assessment Using State-Space Modeling and Participation Analysis in Inverter-Fed Power Systems. IEEE Trans. Ind. Electron. 2017, 64, 806–816. [Google Scholar] [CrossRef]
- Li, Y.; Shuai, Z.; Fang, J.; Wu, X. Application of Sensitivity in Impedance-based Stability Analysis for Converter Systems. PROC CSEE 2021, 41, 3480–3491+3673. (In Chinese) [Google Scholar] [CrossRef]
- Liao, K.; Pang, B.; Yang, J.; He, Z. Compensation Strategy of Wideband Voltage Harmonics for Doubly-Fed Induction Generator. IEEE Trans. Energy Convers. 2023, 38, 674–684. [Google Scholar] [CrossRef]
- Wang, X.; Harnefors, L.; Blaabjerg, F. Unified Impedance Model of Grid-Connected Voltage-Source Converters. IEEE Trans. Power Electron. 2018, 33, 1775–1787. [Google Scholar] [CrossRef]
- Mattavelli, P.; Polo, F.; Dal Lago, F.; Saggini, S. Analysis of Control-Delay Reduction for the Improvement of UPS Voltage-Loop Bandwidth. IEEE Trans. Ind. Electron. 2008, 55, 2903–2911. [Google Scholar] [CrossRef]
- Beza, M.; Bongiorno, M. On the Risk for Subsynchronous Control Interaction in Type 4 Based Wind Farms. IEEE Trans. Sustain. Energy 2019, 10, 1410–1418. [Google Scholar] [CrossRef]
- Jiang, S.; Zhu, Y.; Konstantinou, G. Settling Angle-Based Stability Criterion for Power-Electronics-Dominated Power Systems. IEEE Trans. Power Electron. 2023, 38, 2972–2984. [Google Scholar] [CrossRef]
- Wen, B.; Boroyevich, D.; Burgos, R.; Mattavelli, P.; Shen, Z. Analysis of D-Q Small-Signal Impedance of Grid-Tied Inverters. IEEE Trans. Power Electron. 2016, 31, 675–687. [Google Scholar] [CrossRef]
- Xiong, L.; Liu, X.; Liu, Y.; Zhuo, F. Modeling and Stability Issues of Voltage-Source Converter Dominated Power Systems: A Review. CSEE JPES 2020, 8, 1530–1549. [Google Scholar] [CrossRef]
- Roger, A.H.; Charles, R.J. Matrix Analysis, 2nd ed.; Cambridge University Press: Cambridge, UK, 2012. [Google Scholar]
- Zhu, Y.; Zhao, J.; Mao, L.; Qu, K. Small-Signal Stability Criterion and Parametric Sensitivity Analysis for Multiple Grid-connected-converter System. PROC CSEE 2021, 41, 6235–6245. (In Chinese) [Google Scholar] [CrossRef]
- Dong, X.; Xie, X. Influence of DFIG Controller Parameter on SSR under All Operation Areas. In Proceedings of the 2014 International Conference on Power System Technology, IEEE, Chengdu, China, 16–19 October 2014; pp. 2618–2622. [Google Scholar]
- Wang, T.; Xiao, Y.; Zhang, X.; Xu, D. Impedance-Based Stability Analysis of DFIG. In Proceedings of the 2016 IEEE Energy Conversion Congress and Exposition (ECCE), IEEE, Milwaukee, WI, USA, 18–22 September 2016; pp. 1–4. [Google Scholar]























| Parameter | kip1 | kip2 | kip3 | kpllp1 | kpllp2 | kpllp3 |
|---|---|---|---|---|---|---|
| parameter sensitivity of h(f) | 141.8 | 15.47 | 3.015 | 1.378 × 10−1 | 7.190 × 10−2 | 5.430 × 10−2 |
| parameter sensitivity of g(f) | −915.7 | −66.22 | −66.29 | −1.643 × 10−1 | −3.334 × 10−1 | −3.306 × 10−1 |
| Value | Value | Value | Variation | |
|---|---|---|---|---|
| kip1 Parameter | 2.175 × 10−3 | 1.800 × 10−3 | 4.600 × 10−4 | 1.715 × 10−3 |
| Harmonic Content | 32.81% | 30.68% | 5.050% | 27.76% |
| kip2 Parameter | 6.500 × 10−3 | 3.600 × 10−3 | 1.400 × 10−3 | 5.100 × 10−3 |
| Harmonic Content | 32.81% | 28.03% | 12.22% | 20.59% |
| kip3 Parameter | 5.800 × 10−3 | 2.900 × 10−3 | 7.000 × 10−4 | 5.1000 × 10−3 |
| Harmonic Content | 32.81% | 27.84% | 8.060% | 24.75% |
| kpllp1 Parameter | 3.994 | 3.674 | 3.371 | 0.6230 |
| Harmonic Content | 32.81% | 28.78% | 27.99% | 4.820% |
| kpllp2 Parameter | 0.7189 | 0.3994 | 9.590 × 10−2 | 0.6230 |
| Harmonic Content | 32.81% | 24.98% | 12.22% | 20.59% |
| kpllp3 Parameter | 0.6390 | 0.3195 | 1.600 × 10−2 | 0.6230 |
| Harmonic Content | 32.81% | 24.76% | 14.02% | 18.79% |
| Parameter | kip1 | kip2 | kip3 | kpllp1 | kpllp2 | kpllp3 |
|---|---|---|---|---|---|---|
| parameter sensitivity | 2.907 | −107.8 | −79.93 | −0.2990 | −0.3447 | −0.3247 |
Disclaimer/Publisher’s Note: The statements, opinions and data contained in all publications are solely those of the individual author(s) and contributor(s) and not of MDPI and/or the editor(s). MDPI and/or the editor(s) disclaim responsibility for any injury to people or property resulting from any ideas, methods, instructions or products referred to in the content. |
© 2024 by the authors. Licensee MDPI, Basel, Switzerland. This article is an open access article distributed under the terms and conditions of the Creative Commons Attribution (CC BY) license (https://creativecommons.org/licenses/by/4.0/).
Share and Cite
Chen, B.; Si, Q.; Jiang, P.; Zhu, X. Small-Signal Stability Analysis and Improvement in Multi-Converter Grid-Tied System Based on Gerschgorin Disc Theorem. Appl. Sci. 2024, 14, 1436. https://doi.org/10.3390/app14041436
Chen B, Si Q, Jiang P, Zhu X. Small-Signal Stability Analysis and Improvement in Multi-Converter Grid-Tied System Based on Gerschgorin Disc Theorem. Applied Sciences. 2024; 14(4):1436. https://doi.org/10.3390/app14041436
Chicago/Turabian StyleChen, Bo, Qi Si, Pan Jiang, and Xiaojuan Zhu. 2024. "Small-Signal Stability Analysis and Improvement in Multi-Converter Grid-Tied System Based on Gerschgorin Disc Theorem" Applied Sciences 14, no. 4: 1436. https://doi.org/10.3390/app14041436
APA StyleChen, B., Si, Q., Jiang, P., & Zhu, X. (2024). Small-Signal Stability Analysis and Improvement in Multi-Converter Grid-Tied System Based on Gerschgorin Disc Theorem. Applied Sciences, 14(4), 1436. https://doi.org/10.3390/app14041436
