Switch Rail Reduction Value Deviation’s Impact on Wheel–Rail Dynamic Interaction and Its Efficient Identification Method: A Numerical and Experimental Study
Abstract
Featured Application
Abstract
1. Introduction
2. Methodology
2.1. Rigid–Flexible Coupled Dynamics Model of Vehicle-Turnout System
2.2. Method for Extracting Trend Component Based on DWT
3. The Impact Patterns of SRRV Deviation on Wheel–Rail Dynamic Interaction
3.1. The Impact of SRRV Deviation on the Wheel–Rail Dynamic Interaction Force
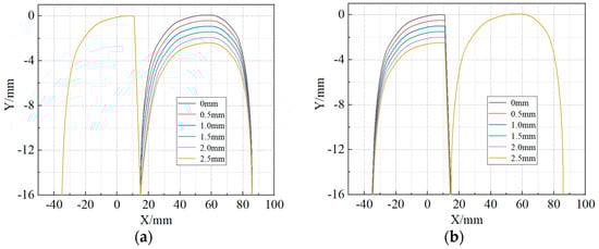
3.2. The Impact of SRRV Deviation on the Wheel–Rail Contact Relationship
4. Identification Method for SRRV Deviation Using Wheel–Rail Force Trend Component
4.1. Selection of Wheel–Rail Force Trend Components for SRRV Deviation Identification
4.2. The Mapping Relationship Between SRRV Deviation and Wheel–Rail Force Trend Component
4.2.1. Positive SRRV Deviation
4.2.2. Negative SRRV Deviation
5. Validation of SRRV Deviation Identification Method with Field Measurement Data
5.1. Turnout Dynamic Geometry Actual Measurement Data
5.2. Field Measurement Data Analysis and Validation Result
6. Conclusions
Author Contributions
Funding
Institutional Review Board Statement
Informed Consent Statement
Data Availability Statement
Acknowledgments
Conflicts of Interest
Abbreviations
| SRRV | Switch rail reduction value |
| S&C | Switches and crossings |
| ABA | Axle box acceleration |
| EEMD | Ensemble empirical mode decomposition |
| LSSVM | Least square support vector machine |
| DWT | Discrete wavelet transform |
References
- Chen, J.Y.; Wang, P.; Xu, J.M.; Chen, R. Simulation of vehicle-turnout coupled dynamics considering the flexibility of wheelsets and turnouts. Veh. Syst. Dyn. 2023, 61, 739–764. [Google Scholar] [CrossRef]
- Wang, P.; Xu, J.M.; Xie, K.Z.; Chen, R. Numerical simulation of rail profiles evolution in the switch panel of a railway turnout. Wear 2016, 366, 105–115. [Google Scholar] [CrossRef]
- Chang, W.H.; Cai, X.P.; Wang, P.; Wang, Q.H.; Sun, J.L. Optimizing Reduced Values of Switch Rails during the Service Time of High-Speed Railway Turnouts. J. Transp. Eng. Part A Syst. 2022, 148, 04022031. [Google Scholar] [CrossRef]
- Zhang, Q.; Cai, X.; Xie, K.; Zhang, Y.; Wang, Q.; Wang, T. Multi-objective optimization for switch rail declining values of rail expansion joint on cable-stayed bridge. Struct. Multidiscip. Optim. 2024, 67, 29. [Google Scholar] [CrossRef]
- Pålsson, B.A. Design optimisation of switch rails in railway turnouts. Veh. Syst. Dyn. 2013, 51, 1619–1639. [Google Scholar] [CrossRef]
- Ma, X.; Wang, P.; Wang, J.; Xu, J. Study on Impact of Over-limit Reduced Value of Switch Rail on Dynamic Characteristics of Switch. J. China Railw. Soc. 2016, 38, 98–105. [Google Scholar]
- Wang, S.; Si, D.; Wang, M.; Ge, J. Influence of Value Reduced for Switch Rail of High Speed Railway on Riding Quality. China Railw. Sci. 2014, 35, 28–33. [Google Scholar]
- Zhang, W. Influence of switch rail wear in turnout on train running safety. Railw. Eng 2016, 513, 117–119. [Google Scholar]
- Yan, S.; Jin, T.; Ma, H.; Zhang, J.; Zhou, Y. Wear Prediction of Curved Switch Rail in High-Speed Turnout and Influence of Wheel and Rail Wear on Vehicle Dynamic Performance. Appl. Sci. 2023, 13, 8398. [Google Scholar] [CrossRef]
- Sun, Z.; Yang, X. Effects of Worn Curved Switch Rail on the Dynamic Performance of High-Speed Vehicles Passing Through Railway Turnout Diverging Route. In Advances in Dynamics of Vehicles on Roads and Tracks III, Proceedings of the 28th Symposium of the International Association of Vehicle System Dynamics, IAVSD 2023, Ottawa, ON, Canada, 21–25 August 2023; Springer: Cham, Switzerland, 2024; pp. 64–75. [Google Scholar]
- Kaewunruen, S. Monitoring structural deterioration of railway turnout systems via dynamic wheel/rail interaction. Case Stud. Nondestr. Test. Eval. 2014, 1, 19–24. [Google Scholar] [CrossRef]
- Shen, L.; Wei, X.; Jia, L. Surface defects detection of railway turnouts. In Proceedings of the 2015 34th Chinese Control Conference (CCC), Hangzhou, China, 28–30 July 2015; pp. 6285–6290. [Google Scholar]
- Wei, Z.; Núñez, A.; Li, Z.; Dollevoet, R. Evaluating Degradation at Railway Crossings Using Axle Box Acceleration Measurements. Sensors 2017, 17, 2236. [Google Scholar] [CrossRef] [PubMed]
- Liu, X.; Markine, V.L.; Wang, H.; Shevtsov, I.Y. Experimental tools for railway crossing condition monitoring (crossing condition monitoring tools). Measurement 2018, 129, 424–435. [Google Scholar] [CrossRef]
- Sysyn, M.; Gruen, D.; Gerber, U.; Nabochenko, O.; Kovalchuk, V. Turnout Monitoring with Vehicle Based Inertial Measurements of Operational Trains: A Machine Learning Approach. Communications 2019, 21, 42–48. [Google Scholar] [CrossRef]
- Barkhordari, P.; Galeazzi, R.; Blanke, M. Monitoring of Turnout Ballast Degradation Using Statistical Low-Complexity Behavioral Models. IEEE Trans. Control Syst. Technol. 2021, 29, 278–293. [Google Scholar] [CrossRef]
- Jing, G.; Siahkouhi, M.; Qian, K.; Wang, S. Development of a field condition monitoring system in high speed railway turnout. Measurement 2021, 169, 108358. [Google Scholar] [CrossRef]
- Sresakoolchai, J.; Kaewunruen, S. Railway defect detection based on track geometry using supervised and unsupervised machine learning. Struct. Health Monit. 2022, 21, 1757–1767. [Google Scholar] [CrossRef]
- Sresakoolchai, J.; Hamarat, M.; Kaewunruen, S. Automated machine learning recognition to diagnose flood resilience of railway switches and crossings. Sci. Rep. 2023, 13, 2106. [Google Scholar] [CrossRef]
- Ye, J.; Stewart, E.; Chen, Q.; Chen, L.; Roberts, C. A vision-based method for line-side switch rail condition monitoring and inspection. Proc. Inst. Mech. Eng. Part F J. Rail Rapid Transit 2022, 236, 986–996. [Google Scholar] [CrossRef]
- Milosevic, M.D.G.; Pålsson, B.A.; Nissen, A.; Nielsen, J.C.O.; Johansson, H. Condition Monitoring of Railway Crossing Geometry via Measured and Simulated Track Responses. Sensors 2022, 22, 1012. [Google Scholar] [CrossRef] [PubMed]
- Milošević, M.D.G.; Pålsson, B.A.; Nissen, A.; Nielsen, J.C.O.; Johansson, H. Reconstruction of sleeper displacements from measured accelerations for model-based condition monitoring of railway crossing panels. Mech. Syst. Signal Process. 2023, 192, 110225. [Google Scholar] [CrossRef]
- Zuo, Y.; Lundberg, J.; Chandran, P.; Rantatalo, M. Squat Detection and Estimation for Railway Switches and Crossings Utilising Unsupervised Machine Learning. Appl. Sci. 2023, 13, 5376. [Google Scholar] [CrossRef]
- Chen, H.; Wang, X.; Guo, J.; Yang, Y. High-Speed Turnout Flaw Detection Based on EEMD Singular Entropy. J. Vib. Meas. Diagn. 2016, 36, 845–851. [Google Scholar]
- Kongpuang, M. Reliability-Base Monitoring and Maintenance of Urban Railway Turnout Using Acoustic Emission. Ph.D. Thesis, University of Birmingham, Birmingham, UK, 2022. [Google Scholar]
- Hu, S.; Shi, W.; Lu, C.; Chen, G.; Shen, G. Research on In-Situ Detection of Damage in the High-speed Railway Turnout Bottom Based on Shear Horizontal Guided Wave. J. Mech. Eng. 2021, 57, 2–14. [Google Scholar]
- Li, X.; Wu, B.; Gao, X.; Liu, Y.; Wang, H.; Liu, X. Ultrasonic SH guided wave detection of the defects of switch rails with 3D finite element method. Measurement 2023, 220, 113325. [Google Scholar] [CrossRef]
- Wang, K.; Cao, W.X.; Xu, L.; Yang, X.B.; Su, Z.Q.; Zhang, X.J.; Chen, L.J. Diffuse ultrasonic wave-based structural health monitoring for railway turnouts. Ultrasonics 2020, 101, 106031. [Google Scholar] [CrossRef] [PubMed]
- Xu, X.; Su, C.; Yu, Z.; Shi, H.; Zhu, L.; Gao, W. A Guided Wave Approach to Defect Detection in Switch Rail. Adv. Eng. Mater. 2023, 25, 2300125. [Google Scholar] [CrossRef]
- Su, X.; Feng, X.; Wang, P.; Xu, J.; Liu, L.; Hu, C.; Qian, Y. Research on ultrasonic guided wave-based high-speed turnout switch rail base flaw detection. Proc. Inst. Mech. Eng. Part F J. Rail Rapid Transit 2024, 238, 1317–1327. [Google Scholar] [CrossRef]
- Kassa, E.; Saramota, J.; Skavhaug, A. Monitoring of Switches and Crossings/Tracks Using Smart Sensors. In Intelligent Quality Assessment of Railway Switches and Crossings; Galeazzi, R., Kjartansson Danielsen, H., Kjær Ersbøll, B., Juul Jensen, D., Santos, I., Eds.; Springer International Publishing: Cham, Switzerland, 2021; pp. 149–166. [Google Scholar]
- Asplund, M.; Larsson, D.; Rantatalo, M.; Nissen, A.; Kumar, U. Inspection of railway turnouts using camera. In Proceedings of the 10th World Congress on Railway Research (WCRR), Sydney, NSW, Australia, 25–28 November 2013. [Google Scholar]
- Hamadache, M.; Dutta, S.; Olaby, O.; Ambur, R.; Stewart, E.; Dixon, R. On the Fault Detection and Diagnosis of Railway Switch and Crossing Systems: An Overview. Appl. Sci. 2019, 9, 5129. [Google Scholar] [CrossRef]
- Guo, Z.J.; Wan, Y.M.; Ye, H. An Unsupervised Fault-Detection Method for Railway Turnouts. IEEE Trans. Instrum. Meas. 2020, 69, 8881–8901. [Google Scholar] [CrossRef]
- Huang, S.Z.; Yang, L.Y.; Zhang, F.; Chen, W.; Wu, Z.X. Turnout Fault Diagnosis Based on CNNs with Self-Generated Samples. J. Transp. Eng. Part A-Syst. 2020, 146, 04020105. [Google Scholar] [CrossRef]
- Chen, C.; Li, X.Q.; Huang, K.; Xu, Z.W.; Mei, M. A Convolutional Autoencoder Based Fault Detection Method for Metro Railway Turnout. CMES-Comput. Model. Eng. Sci. 2023, 136, 471–485. [Google Scholar] [CrossRef]
- Li, M.Y.; Fei, R. Research and Implementation of Fault Diagnosis of Switch Machine Based on Data Enhancement and CNN. In Proceedings of the 21st IEEE International Conference on Trust, Security and Privacy in Computing and Communications (IEEE TrustCom), Wuhan, China, 9–11 December 2022; pp. 1467–1472. [Google Scholar]
- Geng, M.; Xu, Z.; Mei, M. Fault Diagnosis Method for Railway Turnout with Pinball Loss-Based Multiclass Support Matrix Machine. Appl. Sci. 2023, 13, 12375. [Google Scholar] [CrossRef]
- Hu, X.; Tang, T.; Tan, L.; Zhang, H. Fault Detection for Point Machines: A Review, Challenges, and Perspectives. Actuators 2023, 12, 391. [Google Scholar] [CrossRef]
- Bezin, Y.; Pålsson, B.A.; Kik, W.; Schreiber, P.; Clarke, J.; Beuter, V.; Sebes, M.; Persson, I.; Magalhaes, H.; Wang, P.; et al. Multibody simulation benchmark for dynamic vehicle–track interaction in switches and crossings: Results and method statements. Veh. Syst. Dyn. 2023, 61, 660–697. [Google Scholar] [CrossRef]
- Pålsson, B.A.; Ambur, R.; Sebès, M.; Wang, P.; Shih, J.-Y.; Fan, D.; Xu, J.; Chen, J. A comparison of track model formulations for simulation of dynamic vehicle–track interaction in switches and crossings. Veh. Syst. Dyn. 2023, 61, 698–724. [Google Scholar] [CrossRef]
- Xu, J.M.; Ma, Q.T.; Wang, X.T.; Chen, J.Y.; Chen, R.; Wang, P.; Wei, X.K. Investigation on the motion conditions and dynamic interaction of vehicle and turnout due to differential wheelset misalignment. Veh. Syst. Dyn. 2022, 60, 2587–2607. [Google Scholar] [CrossRef]
- Li, Z. Wheel-Rail Rolling Contact and Its Application to Wear Simulation. Ph.D. Thesis, TU Delft, Delft, The Netherlands, 2002. [Google Scholar]
- Sebes, M.; Ayasse, J.B.; Chollet, H.; Pouligny, P.; Pirat, B. Application of a semi-Hertzian method to the simulation of vehicles in high-speed switches. Veh. Syst. Dyn. 2006, 44, 341–348. [Google Scholar] [CrossRef]
- Xu, J.M.; Ma, Q.T.; Zhao, S.Q.; Chen, J.Y.; Qian, Y.; Chen, R.; Wang, P. Effect of wheel flat on dynamic wheel-rail impact in railway turnouts. Veh. Syst. Dyn. 2022, 60, 1829–1848. [Google Scholar] [CrossRef]
- Kalker, J.J. A Fast Algorithm for the Simplified Theory of Rolling Contact. Veh. Syst. Dyn. 1982, 11, 1–13. [Google Scholar] [CrossRef]
- Zhang, Z.H. The Improvement of the Discrete Wavelet Transform. Mathematics 2023, 11, 1770. [Google Scholar] [CrossRef]















| Reference | Year | Type of Data Analyzed | Type of Turnout Defect |
|---|---|---|---|
| Kaewunruen [11] | 2014 | ABA | Rail worn and ballast degradation |
| Shen et al. [12] | 2015 | Bogie acceleration | The poor fit defect of the switch point and the curve opposite super-elevation |
| Chen et al. [24] | 2016 | Turnout vibration signals | Rail crack |
| Wei et al. [13] | 2017 | ABA | Rail degradation |
| Liu et al. [14] | 2018 | Rail acceleration and displacement of rail and sleeper | Rail worn and damaged and ballast settlement |
| Mykola et al. [15] | 2019 | Wheel acceleration, wheel impact position and longitudinal wheel speed | Crossing deterioration |
| Barkhordari et al. [16] | 2020 | Track vertical acceleration | Ballast degradation |
| Jing et al. [17] | 2021 | Wheelset lateral displacement | Railhead top surface wear |
| Jessada et al. [18] | 2022 | Track geometry | Rail worn |
| Ye et al. [20] | 2022 | The position and condition of the switch rail | Toe gap |
| Kongpuang [25] | 2022 | Acoustic emission | Rail crack |
| Marko, Björn et al. [21,22] | 2022, 2023 | Sleeper acceleration | Ballast vertical stiffness change and sleeper void |
| Jessada et al. [19] | 2023 | ABA and Crossing nose displacement | Support deterioration |
| Yang et al. [23] | 2023 | Acceleration of the point machine rod | Squat on the switchblade |
| Hu, Li et al. [26,27,28,29,30] | 2020–2024 | Ultrasonic guided wave | Rail crack |
Disclaimer/Publisher’s Note: The statements, opinions and data contained in all publications are solely those of the individual author(s) and contributor(s) and not of MDPI and/or the editor(s). MDPI and/or the editor(s) disclaim responsibility for any injury to people or property resulting from any ideas, methods, instructions or products referred to in the content. |
© 2024 by the authors. Licensee MDPI, Basel, Switzerland. This article is an open access article distributed under the terms and conditions of the Creative Commons Attribution (CC BY) license (https://creativecommons.org/licenses/by/4.0/).
Share and Cite
Wang, P.; Ma, Q.; Liu, J.; Xu, J. Switch Rail Reduction Value Deviation’s Impact on Wheel–Rail Dynamic Interaction and Its Efficient Identification Method: A Numerical and Experimental Study. Appl. Sci. 2024, 14, 12047. https://doi.org/10.3390/app142412047
Wang P, Ma Q, Liu J, Xu J. Switch Rail Reduction Value Deviation’s Impact on Wheel–Rail Dynamic Interaction and Its Efficient Identification Method: A Numerical and Experimental Study. Applied Sciences. 2024; 14(24):12047. https://doi.org/10.3390/app142412047
Chicago/Turabian StyleWang, Pu, Qiantao Ma, Ji Liu, and Jingmang Xu. 2024. "Switch Rail Reduction Value Deviation’s Impact on Wheel–Rail Dynamic Interaction and Its Efficient Identification Method: A Numerical and Experimental Study" Applied Sciences 14, no. 24: 12047. https://doi.org/10.3390/app142412047
APA StyleWang, P., Ma, Q., Liu, J., & Xu, J. (2024). Switch Rail Reduction Value Deviation’s Impact on Wheel–Rail Dynamic Interaction and Its Efficient Identification Method: A Numerical and Experimental Study. Applied Sciences, 14(24), 12047. https://doi.org/10.3390/app142412047

