Investigating the Bounds of Quality Factor for Class-E Series-Tuned RF Power Amplifiers and Their Computer-Aided Optimization
Abstract
1. Introduction
2. Mathematical Modeling of Class-E Series-Tuned RFPAs
2.1. Class-E Load Network Topology with Infinite DC Feed
2.2. Class-E Load Network Topology with Finite DC Feed
3. Computer-Aided Analytical Modeling of Class-E Series-Tuned RFPAs
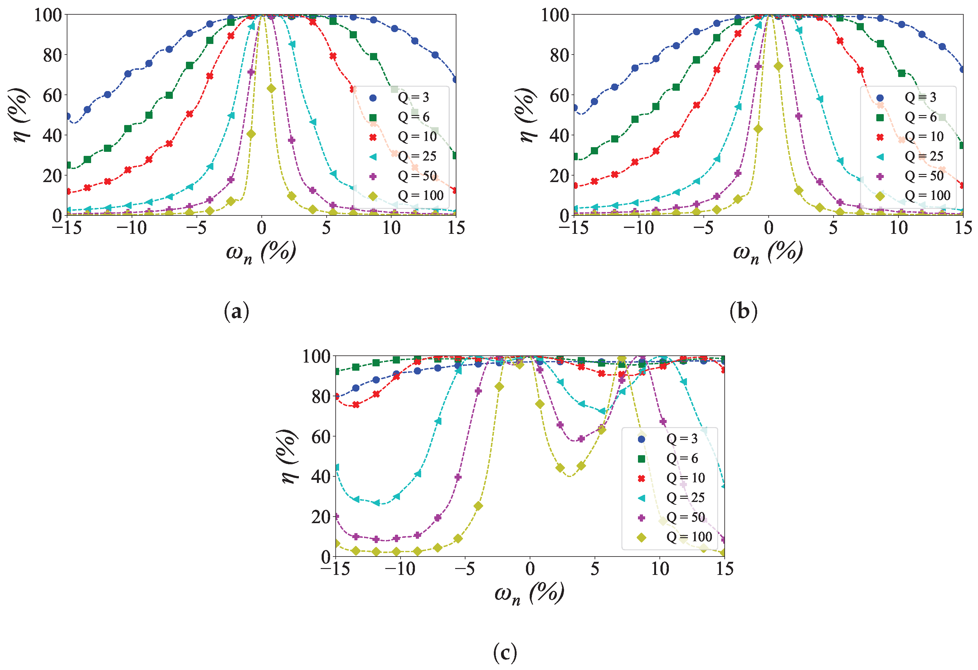
3.1. Key Design Parameter: Quality Factor and Its Trade-Offs
3.2. Minimum Value of
3.3. Maximum Value of
- : Quality factor of the resonator.
- : Saturation quality factor, defining the upper-performance limits.
- : Minimum quality factor defining lower performance limits.
3.4. Reactance Compensation Technique for Wide Bandwidth
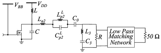
4. Modified Topology with Harmonic Control
- Introducing a series resonator tuned to the 2nd and 3rd harmonics before the load resistance R.
- Transforming and .
- Alternatively, a combination of both strategies.

- An inductor can be converted into an equivalent circuit consisting of another inductor in series with a parallel resonant circuit. The net impedance shown by Figure 9a is given by Equation (44)Two cases are possible:
- (a)
- The parallel resonator is tuned to the 2nd harmonic and the net impedance is shorted at the 3rd harmonic. The different components are given by the following equations (refer to Appendix A.1 for the calculations):
- (b)
- The parallel resonator is tuned to the 3rd harmonic, and the net impedance is shorted to the 2nd harmonic. This condition is not possible, as shown in Appendix A.1.
- Similar to an inductor, a capacitor can also be converted to a parallel resonant circuit connected by capacitance in series, as shown in Figure 9b. In this condition, the net impedance is given by Equation (48).
- (a)
- The parallel resonator is tuned to the 2nd harmonic and the net impedance is shorted at the 3rd harmonic. This condition is also not possible as shown in Appendix A.2.
- (b)
- The parallel resonator is tuned to the 3rd harmonic and the net impedance is shorted at the 2nd harmonic. The equivalent parameters are given by Equations (49)–(51) (Appendix A.2 contains the calculations):

- 2.2.2: and with 2nd-harmonic tuning.
- 2.2.3: and with 3rd-harmonic tuning.
- 2.2.23: and with both 2nd and 3rd-harmonic tuning.
- 2.2.L3: Final topology with transformed with unchanged while also adding 3rd-harmonic tuning before the load resistor, as shown in Figure 10.
5. Results and Discussion
- Set the design frequency: The design frequency, set at which the RFPA is intended to operate, is a critical step that influences all subsequent parameters and choices.
- Determine required bias voltage levels: The necessary bias voltage levels are identified for the design. These levels are essential for ensuring the proper operation of the transistor and achieving the desired output power.
- Calculate idealized values: The ideal values for the lumped elements are then calculated using computed Equations (25)–(27), (38), (39) and (45)–(47). These calculations serve as a reference for the initial simulation and guide the optimization process. The values for and are selected such that the series resonator is tuned to the 3rd harmonic.
- Optimize all parameters: All design parameters are optimized, including a frequency range with the goals as follows:
- The output power at the fundamental achieves the specified power level.
- The efficiency is at least 95% (adjustable based on the requirements).
The optimization is performed by searching within the range of [0.5–2] times the initial values for R, L, and C, and [0.5–3] times for , , , , , and to find the optimal design parameters. This optimization accounts for package effects, which are critical to preventing potential design issues. Optimizing the ideal values ensures that package-induced variations do not compromise the design’s performance. - Finalize the design: After completing the optimization, the design parameters are reviewed to ensure they meet the desired specifications. Necessary adjustments are made to fine-tune the design.
- Incorporate a matching network: A low-pass matching network is included to match the amplifier’s optimal load resistance R to the standard 50- load of the AOTF. This low-pass network further suppresses harmonics.
6. Conclusions and Future Work
Author Contributions
Funding
Institutional Review Board Statement
Informed Consent Statement
Data Availability Statement
Acknowledgments
Conflicts of Interest
Abbreviations
| RFPA | radio-frequency power amplifier |
| HB | harmonic balance |
| MRI | magnetic resonance imaging |
| MF | medium frequency |
| HF | high frequency |
| VHF | very high frequency |
| ZVS | zero voltage switching |
| ZVDS | zero voltage derivative switching |
| supply voltage | |
| biasing voltage | |
| maximum output power capability | |
| quality factor for topology | |
| quality factor of the resonator | |
| saturation quality factor for the upper limit | |
| minimum quality factor for the lower limit | |
| original inductor | |
| inductor obtained by modifying the original inductor for the harmonic | |
| inductor–capacitor pair obtained by modifying for the harmonic | |
| original capacitor | |
| capacitor obtained by modifying the original capacitor for the harmonic | |
| inductor–capacitor pair obtained by modifying for the harmonic | |
| frequency at 3dB level |
Appendix A
Appendix A.1. Calculations for Matching at Different Harmonics for an Inductor Converted to an Equivalent Circuit
- The parallel resonator is tuned to the 2nd harmonic, and the net impedance is shorted at the 3rd harmonic. In this condition, the design equations are as follows:
- The parallel resonator is tuned to the 3rd harmonic, and the net impedance is shorted at the 2nd harmonic. Under that condition, the design equations are as follows:Equation (A9) implies that one of the parameters, and , must be negative. Hence, this condition is not possible.
Appendix A.2. Calculations for Matching at Different Harmonics for a Capacitor Converted to an Equivalent Circuit
- The parallel resonator is tuned to the 2nd harmonic and the net impedance is shorted at the 3rd harmonic. Under this condition, the design equations are as follows:Again, Equation (A13) implies that either or must be negative. Hence, this condition is impossible.
- The parallel resonator is tuned to the 3rd harmonic and the net impedance is shorted at the 2nd harmonic. Under that condition, the design equations are as follows:
References
- Korablev, O.I.; Belyaev, D.A.; Dobrolenskiy, Y.S.; Trokhimovskiy, A.Y.; Kalinnikov, Y.K. Acousto-optic tunable filter spectrometers in space missions [Invited]. Appl. Opt. 2018, 57, C103. [Google Scholar] [CrossRef]
- Mediano, A.; Ortega-Gonzalez, F.J. Class-E Amplifiers and Applications at MF, HF, and VHF: Examples and Applications. IEEE Microw. Mag. 2018, 19, 42–53. [Google Scholar] [CrossRef]
- Maák, P.; Takács, T.; Barócsi, A.; Kollár, E.; Richter, P. Thermal behavior of acousto-optic devices: Effects of ultrasound absorption and transducer losses. Ultrasonics 2011, 51, 441–451. [Google Scholar] [CrossRef] [PubMed]
- Dekemper, E.; Fussen, D.; Pieroux, D.; Vanhamel, J.; Opstal, B.V.; Vanhellemont, F.; Mateshvili, N.; Franssens, G.; Voloshinov, V.; Janssen, C.; et al. ALTIUS: A spaceborne AOTF-based UV-VIS-NIR hyperspectral imager for atmospheric remote sensing. In Proceedings of the Sensors, Systems, and Next-Generation Satellites XVIII, Amsterdam, The Netherlands, 22–25 September 2014; SPIE: Bellingham, WA, USA, 2014; Volume 9241, p. 92410L. [Google Scholar] [CrossRef]
- Dekemper, E.; Vanhamel, J.; Opstal, B.V.; Fussen, D.; Voloshinov, V.B. Influence of driving power on the performance of UV KDP-based acousto-optical tunable filters. J. Opt. 2015, 17, 075404. [Google Scholar] [CrossRef]
- Slinkov, G.; Mantsevich, S.N.; Balakshy, V.I.; Magdich, L.N.; MacHikhin, A.S. Control of Acousto-Optic Mode Locker by Means of Electronic Matching Circuit. IEEE Trans. Ultrason. Ferroelectr. Freq. Control 2020, 67, 1242–1249. [Google Scholar] [CrossRef]
- Cripps, S.C. Advanced Techniques in RF Power Amplifier Design; Artech House: Norwood, MA, USA, 2002. [Google Scholar]
- Islam, S.; Anwar, A. Design of GaN/AlGaN HEMT class-E power amplifier considering trapping and thermal effects. In Proceedings of the IEEE Lester Eastman Conference on High Performance Devices, Newark, DE, USA, 6–8 August 2002; pp. 155–163. [Google Scholar] [CrossRef]
- Gibiino, G.P.; Florian, C.; Santarelli, A.; Cappello, T.; Popović, Z. Isotrap Pulsed IV Characterization of GaN HEMTs for PA Design. IEEE Microw. Wirel. Components Lett. 2018, 28, 672–674. [Google Scholar] [CrossRef]
- Pengelly, R.S.; Wood, S.M.; Milligan, J.W.; Sheppard, S.T.; Pribble, W.L. A review of GaN on SiC high electron-mobility power transistors and MMICs. IEEE Trans. Microw. Theory Tech. 2012, 60, 1764–1783. [Google Scholar] [CrossRef]
- Husna Hamza, K.; Nirmal, D. A review of GaN HEMT broadband power amplifiers. AEU-Int. J. Electron. Commun. 2020, 116, 153040. [Google Scholar] [CrossRef]
- Raab, F.H. Effects of circuit variations on the class E tuned power amplifier. IEEE J.-Solid-State Circuits 1978, 13, 239–247. [Google Scholar] [CrossRef]
- Smith, G.; Zulinski, R. An exact analysis of class E amplifiers with finite DC-feed inductance at any output Q. IEEE Trans. Circuits Syst. 1990, 37, 530–534. [Google Scholar] [CrossRef]
- Grebennikov, A.; Jaeger, H. Class E with parallel circuit—A new challenge for high-efficiency RF and microwave power amplifiers. In Proceedings of the 2002 IEEE MTT-S International Microwave Symposium Digest (Cat. No. 02CH37278), Seattle, WA, USA, 2–7 June 2002; Volume 3, pp. 1627–1630. [Google Scholar] [CrossRef]
- Wei, M.D.; Kalim, D.; Erguvan, D.; Chang, S.F.; Negra, R. Investigation of wideband load transformation networks for class-E switching-mode power amplifiers. IEEE Trans. Microw. Theory Tech. 2012, 60, 1916–1927. [Google Scholar] [CrossRef]
- Kazimierczuk, M.; Puczko, K. Exact analysis of class E tuned power amplifier at any Q and switch duty cycle. IEEE Trans. Circuits Syst. 1987, 34, 149–159. [Google Scholar] [CrossRef]
- Sokal, N.O. Class-E High-Efficiency RF/Microwave Power Amplifiers: Principles of Operation, Design Procedures, and Experimental Verification; Springer: New York, NY, USA, 2003; pp. 269–301. [Google Scholar] [CrossRef]
- Sokal, N.; Raab, F. Harmonic output of class-E RF power amplifiers and load coupling network design. IEEE J.-Solid-State Circuits 1977, 12, 86–88. [Google Scholar] [CrossRef]
- Sheikhi, A.; Thian, M.; Vafaee, M. Broadband Parallel-Circuit Class-E Amplifier With Second Harmonic Control Circuit. IEEE Trans. Circuits Syst. II Express Briefs 2019, 66, 928–932. [Google Scholar] [CrossRef]
- CREE. CGH40010 10 W, DC—6 GHz, RF Power GaN HEMT. Online. 2022. Available online: https://www.mouser.com/datasheet/2/90/cgh40010-876424.pdf (accessed on 13 August 2024).
- Eroglu, A. RF Circuit Design Techniques for MF-UHF Applications; CRC Press: Boca Raton, FL, USA, 2017. [Google Scholar]
- Grebennikov, A.; Franco, M.J. Switchmode RF and Microwave Power Amplifiers; Academic Press: Cambridge, MA, USA, 2012. [Google Scholar]
- Casallas, I.; Paez-Rueda, C.I.; Perilla, G.; Pérez, M.; Fajardo, A. Design methodology of the Class-E power amplifier with finite feed inductance—A tutorial approach. Appl. Sci. 2020, 10, 8765. [Google Scholar] [CrossRef]
- Grebennikov, A. Simple design equations for broadband Class-E power amplifiers with reactance compensation. In Proceedings of the 2001 IEEE MTT-S International Microwave Sympsoium Digest (Cat. No. 01CH37157), Phoenix, AZ, USA, 20–24 May 2001; Volume 3, pp. 2143–2146. [Google Scholar] [CrossRef]
- Technologies, K. Understanding RF and Microwave Noise Figure; Technical Report; Keysight Technologies: Santa Rosa, CA, USA, 2015; Available online: https://www.keysight.com/mx/en/assets/7018-06808/application-notes/5952-8255.pdf?ignlcl=truecheckifthisisthecorrectlink (accessed on 17 August 2024).
- SciPy Developers. scipy.optimize.curve_fit: Use Non-Linear Least Squares to Fit a Function to Data. 2024. Available online: https://docs.scipy.org/doc/scipy/reference/generated/scipy.optimize.curve_fit.html (accessed on 17 August 2024).
- Suaŕez, A. Analysis and Design of Autonomous Microwave Circuits; John Wiley & Sons, Ltd.: Hoboken, NJ, USA, 2008; Chapter 1; pp. 1–65. [Google Scholar] [CrossRef]
- Acar, M.; Annema, A.J.; Nauta, B. Analytical design equations for Class-E power amplifiers. IEEE Trans. Circuits Syst. I Regul. Pap. 2007, 54, 2706–2717. [Google Scholar] [CrossRef]
- Shaw, S. Perturbation techniques for nonlinear systems. In Encyclopedia of Vibration; Braun, S., Ed.; Elsevier: Oxford, UK, 2001; pp. 1009–1011. [Google Scholar] [CrossRef]
- Raab, F. Class-E, Class-C, and Class-F power amplifiers based upon a finite number of harmonics. IEEE Trans. Microw. Theory Tech. 2001, 49, 1462–1468. [Google Scholar] [CrossRef]
- Matthaei, G.L.; Young, L.; Jones, E. Microwave Filters, Impedance-Matching Networks, and Coupling Structures; McGraw-Hill: New York, NY, USA, 1964; p. 1096. [Google Scholar]












| Topology | Q | 2nd (dBc) | 3rd (dBc) | ||||
|---|---|---|---|---|---|---|---|
| 1 | 3 | 3.839 | 2.844 | 99.231 | 0.09726 | −18.929 | −44.67 |
| 5 | 3.739 | 2.85 | 99.684 | 0.09769 | −21.846 | −68.545 | |
| 6 | 3.712 | 2.852 | 99.773 | 0.0977 | −23.576 | −70.202 | |
| 10 | 3.654 | 2.855 | 99.911 | 0.09796 | −28.355 | −77.482 | |
| 25 | 3.6 | 2.859 | 99.983 | 0.09803 | −36.687 | −100.472 | |
| 50 | 3.581 | 2.86 | 99.994 | 0.09812 | −42.848 | −105.068 | |
| [22] | 100 | 3.571 | 2.861 | 99.996 | 0.09807 | −48.942 | −104.933 |
| 2.1 | 3 | 3.843 | 2.82 | 99.158 | 0.097810 | −15.887 | −62.902 |
| 5 | 3.743 | 2.827 | 99.653 | 0.09819 | −20.819 | −61.925 | |
| 6 | 3.716 | 2.829 | 99.75 | 0.09826 | −22.565 | −63.331 | |
| 10 | 3.659 | 2.833 | 99.902 | 0.09839 | −27.381 | −68.67 | |
| 25 | 3.605 | 2.837 | 99.981 | 0.09855 | −35.753 | −79.715 | |
| 50 | 3.586 | 2.839 | 99.993 | 0.09852 | −41.93 | −87.778 | |
| [22] | 100 | 3.577 | 2.84 | 99.996 | 0.09853 | −48.032 | −95.024 |
| 2.2 | 3 | 3.967 | 2.76 | 96.981 | 0.09699 | −7.428 | −52.801 |
| 5 | 3.851 | 2.644 | 98.919 | 0.10263 | −12.166 | −41.025 | |
| 6 | 3.818 | 2.618 | 99.255 | 0.10384 | −14.172 | −41.64 | |
| 10 | 3.751 | 2.572 | 99.736 | 0.10603 | −18.749 | −44.228 | |
| 25 | 3.689 | 2.538 | 99.957 | 0.10776 | −27.214 | −51.474 | |
| 50 | 3.668 | 2.525 | 99.987 | 0.10840 | −33.435 | −57.373 | |
| [14] | 100 | 3.658 | 2.512 | 99.995 | 0.10904 | −39.561 | −63.352 |
| Topology | ||
|---|---|---|
| 1 | 2.6207 | 18.4306 |
| 2.1 | 2.7451 | 17.2098 |
| 2.2 | 4.4976 | 24.6607 |
| Topology | 2nd (dBc) | 3rd (dBc) | ||||
|---|---|---|---|---|---|---|
| 2.2.1 | 4.071 | 3.032 | 89.676 | 0.08312 | −9.411 | −21.292 |
| 2.2.2 | 4.593 | 3.123 | 99.05 | 0.08609 | −94.6 | −23.937 |
| 2.2.3 | 4.095 | 2.992 | 89.798 | 0.08390 | −8.665 | −89.68 |
| 2.2.23 | 4.626 | 3.065 | 99.934 | 0.08801 | −58.633 | −101.285 |
| 2.2.L | 3.441 | 2.742 | 98.145 | 0.10291 | −314.34 | −38.905 |
| 2.2.C | 4.884 | 5.639 | 88.806 | 0.03670 | −295.8 | −19.634 |
| 2.2.L3 | 3.348 | 2.748 | 99.128 | 0.10608 | −314.705 | −59.022 |
| R | L | C | |||||||
|---|---|---|---|---|---|---|---|---|---|
| () | (nH) | (pF) | (nH) | (nH) | (pF) | (pF) | (nH) | (pF) | |
| Ideal | 136.50 | 109.67 | 5.51 | 57.64 | 72.05 | 4.18 | 7.83 | 182.93 | 0.73 |
| Optimized | 120.82 | 74.81 | 9.07 | 37.24 | 164.17 | 2.12 | 5.56 | 109.61 | 2.04 |
Disclaimer/Publisher’s Note: The statements, opinions and data contained in all publications are solely those of the individual author(s) and contributor(s) and not of MDPI and/or the editor(s). MDPI and/or the editor(s) disclaim responsibility for any injury to people or property resulting from any ideas, methods, instructions or products referred to in the content. |
© 2024 by the authors. Licensee MDPI, Basel, Switzerland. This article is an open access article distributed under the terms and conditions of the Creative Commons Attribution (CC BY) license (https://creativecommons.org/licenses/by/4.0/).
Share and Cite
Gogoi, P.K.; Sharma, A.; Vanhamel, J.; Loicq, J. Investigating the Bounds of Quality Factor for Class-E Series-Tuned RF Power Amplifiers and Their Computer-Aided Optimization. Appl. Sci. 2024, 14, 11881. https://doi.org/10.3390/app142411881
Gogoi PK, Sharma A, Vanhamel J, Loicq J. Investigating the Bounds of Quality Factor for Class-E Series-Tuned RF Power Amplifiers and Their Computer-Aided Optimization. Applied Sciences. 2024; 14(24):11881. https://doi.org/10.3390/app142411881
Chicago/Turabian StyleGogoi, Pallab Kr, Ayan Sharma, Jurgen Vanhamel, and Jérôme Loicq. 2024. "Investigating the Bounds of Quality Factor for Class-E Series-Tuned RF Power Amplifiers and Their Computer-Aided Optimization" Applied Sciences 14, no. 24: 11881. https://doi.org/10.3390/app142411881
APA StyleGogoi, P. K., Sharma, A., Vanhamel, J., & Loicq, J. (2024). Investigating the Bounds of Quality Factor for Class-E Series-Tuned RF Power Amplifiers and Their Computer-Aided Optimization. Applied Sciences, 14(24), 11881. https://doi.org/10.3390/app142411881

