Sign in to use this feature.

Years

Between: -

Subjects

remove_circle_outline
remove_circle_outline
remove_circle_outline
remove_circle_outline
remove_circle_outline
remove_circle_outline
remove_circle_outline
remove_circle_outline
remove_circle_outline

Journals

Article Types

Countries / Regions

Search Results (57)

Search Parameters:
Keywords = RFPA

Order results
Result details
Results per page
Select all
Export citation of selected articles as:
29 pages, 15877 KB  
Article
Fracture Evolution in Rocks with a Hole and Symmetric Edge Cracks Under Biaxial Compression: An Experimental and Numerical Study
by Daobing Zhang, Linhai Zeng, Shurong Guo, Zhiping Chen, Jiahua Zhang, Xianyong Jiang, Futian Zhang and Anmin Jiang
Mathematics 2025, 13(24), 4035; https://doi.org/10.3390/math13244035 - 18 Dec 2025
Abstract
This study employs physical experiments and the RFPA3D numerical method to investigate the fracture evolution of rocks containing a central hole with symmetrically arranged double cracks (seven inclination angles β) under biaxial compression. The results demonstrate that peak stress and strain exhibit [...] Read more.
This study employs physical experiments and the RFPA3D numerical method to investigate the fracture evolution of rocks containing a central hole with symmetrically arranged double cracks (seven inclination angles β) under biaxial compression. The results demonstrate that peak stress and strain exhibit nonlinear increases with rising β. Tensile–shear failure dominates at lower angles (β = 0–60°), characterized by secondary crack initiation at defect tips and wing/anti-wing crack development at intermediate angles (β = 45–60°). At higher angles (β = 75–90°), shear failure prevails, governed by crack propagation along hole walls. When β exceeds 45°, enhanced normal stress on crack planes suppresses mode II propagation and secondary crack formation. Elevated lateral pressures (15–20 MPa) significantly alter failure patterns by redirecting the maximum principal stress, causing cracks to align parallel to this orientation and driving anti-wing cracks toward specimen boundaries. Three-dimensional analysis reveals critical differences between internal and surface fracture propagation, highlighting how penetrating cracks around the hole crucially impact stability. This study provides valuable insights into complex fracture mechanisms in defective rock masses, offering practical guidance for stability assessment in underground mining operations where such composite defects commonly occur. Full article
Show Figures

Figure 1

17 pages, 2175 KB  
Article
Numerical Simulation of Mechanical Properties of Non-Standard Rock Specimens Under Uniaxial Compression
by Fangcai Zhu, Ling Sun, Mengchang Ma, Jiang Guo and Xuebin Xie
Appl. Sci. 2025, 15(21), 11756; https://doi.org/10.3390/app152111756 - 4 Nov 2025
Viewed by 416
Abstract
Uniaxial compression testing provides essential mechanical property characterization for intact rock specimens. The accuracy of specimen preparation critically affects compression test results through end-surface geometry deviations: parallelism, perpendicularity, and diameter tolerance. Specimen end-surface parallelism is affected by surface irregularities (e.g., protrusions, warping), whereas [...] Read more.
Uniaxial compression testing provides essential mechanical property characterization for intact rock specimens. The accuracy of specimen preparation critically affects compression test results through end-surface geometry deviations: parallelism, perpendicularity, and diameter tolerance. Specimen end-surface parallelism is affected by surface irregularities (e.g., protrusions, warping), whereas perpendicularity deviations indicate angular misalignment of the specimen with the loading axis. This study develops a 3D uniaxial compression model using RFPA3D, with rigid loading plates to simulate realistic boundary conditions. Three typical end-surface defects are modeled: protrusions (central/eccentric), grooves, and unilateral warping. Specimens with varying tilt angles are generated to evaluate perpendicularity deviations. Simulation results reveal that central end-surface protrusions induce: (1) localized stress concentration, which forms a dense core, and (2) pronounced wedging failure when protrusion height exceeds critical thresholds. Eccentric protrusions trigger characteristic shear failure modes, while unilateral warping causes localized failure through stress concentration at the deformed region. Importantly, end-surface grooves substantially alter stress distributions, generating bilateral stress concentration zones when groove width exceeds critical dimensions. Full article
Show Figures

Figure 1

15 pages, 1420 KB  
Article
Discontinuity Characterization and Low-Complexity Smoothing in RF-PA Polynomial Piecewise Modeling
by Carolina Pedrosa, Dang-Kièn Germain Pham, Peter Rashev, Pierre Almairac, Jean-Christophe Nanan and Patricia Desgreys
Sensors 2025, 25(21), 6593; https://doi.org/10.3390/s25216593 - 26 Oct 2025
Viewed by 674
Abstract
Piecewise modeling of power amplifiers (PAs) typically involves assembling different polynomials to capture nonlinear behavior across different operating regions. However, recombining these sub-models can introduce discontinuities at segment boundaries, degrading prediction accuracy and potentially impacting digital predistortion (DPD) performance. This work addresses this [...] Read more.
Piecewise modeling of power amplifiers (PAs) typically involves assembling different polynomials to capture nonlinear behavior across different operating regions. However, recombining these sub-models can introduce discontinuities at segment boundaries, degrading prediction accuracy and potentially impacting digital predistortion (DPD) performance. This work addresses this issue by introducing a statistical framework to detect discontinuities through localized variations in the conditional mean and variance of amplitude and phase responses. Using the Vector-Switched Generalized Memory Polynomial (VS-GMP) as a case study, we propose a low-complexity post-processing smoothing technique based on a raised cosine weighting function applied at model transition regions. Unlike structural approaches, the method requires no retraining and integrates seamlessly into existing workflows as a post-processing tool. Experimental validation across two PA architectures (Doherty and Single-Stage) and multiple 5G/LTE signals (20–200 MHz bandwidth, up to 11 dB PAPR, including carrier aggregation) demonstrates consistent improvements: up to a 3 dB NMSE reduction and notable spectral error suppression. Full article
Show Figures

Figure 1

27 pages, 8850 KB  
Article
Dual-Path Framework Analysis of Crack Detection Algorithm and Scenario Simulation on Fujian Tulou Surface
by Yanfeng Hu, Shaokang Chen, Zhuang Zhao and Si Cheng
Coatings 2025, 15(10), 1156; https://doi.org/10.3390/coatings15101156 - 3 Oct 2025
Cited by 1 | Viewed by 697
Abstract
Fujian Tulou, a UNESCO World Heritage Site, is highly vulnerable to environmental and anthropogenic stresses, with its earthen walls prone to surface cracking that threatens both structural stability and cultural value. Traditional manual inspection is inefficient, subjective, and may disturb fragile surfaces, highlighting [...] Read more.
Fujian Tulou, a UNESCO World Heritage Site, is highly vulnerable to environmental and anthropogenic stresses, with its earthen walls prone to surface cracking that threatens both structural stability and cultural value. Traditional manual inspection is inefficient, subjective, and may disturb fragile surfaces, highlighting the need for non-destructive and automated solutions. This study proposes a dual-path framework that integrates lightweight crack detection with independent physical simulation. On the detection side, an improved YOLOv12 model is developed to achieve lightweight and accurate recognition of multiple crack types under complex wall textures. On the simulation side, a two-layer RFPA3D model was employed to parameterize loading conditions and material thickness, reproducing the four-stage crack evolution process, and aligning well with field observations. Quantitative validation across paired samples demonstrates improved consistency in morphology, geometry, and topology compared with baseline models. Overall, the framework offers an effective and interpretable solution for standardized crack documentation and mechanistic interpretation, providing practical benefits for the preventive conservation and sustainable management of Fujian Tulou. Full article
Show Figures

Graphical abstract

30 pages, 8331 KB  
Article
Fracture Complexity and Mineral Damage in Shale Hydraulic Fracturing Based on Microscale Fractal Analysis
by Xin Liu, Jiaqi Zhang, Tianjiao Li, Zhengzhao Liang, Siwei Meng, Licai Zheng and Na Wu
Fractal Fract. 2025, 9(8), 535; https://doi.org/10.3390/fractalfract9080535 - 15 Aug 2025
Cited by 1 | Viewed by 976
Abstract
The geological structural complexity and microscale heterogeneity of shale reservoirs, characterized by the brittleness index and natural fracture density, exert a decisive effect on hydraulic fracturing’s effectiveness. However, the mechanisms underlying the true microscale heterogeneity of shale structures, which is neglected in conventional [...] Read more.
The geological structural complexity and microscale heterogeneity of shale reservoirs, characterized by the brittleness index and natural fracture density, exert a decisive effect on hydraulic fracturing’s effectiveness. However, the mechanisms underlying the true microscale heterogeneity of shale structures, which is neglected in conventional models and influences fracture evolution, remain unclear. Here, high-resolution scanning electron microscopy (SEM) was employed to obtain realistic distributions of mineral components and natural fractures, and hydraulic–mechanical coupled simulation models were developed within the Realistic Failure Process Analysis (RFPA) simulator using digital rock techniques. The analysis examined how the brittleness index and natural fracture density affect the fracture morphology’s complexity, mineral failure behavior, and flow conductivity. Numerical simulations show that the main fractures preferentially propagate toward areas with high local brittleness and dense natural fractures. Both the fracture’s fractal dimension and the stimulated reservoir volume increased with the brittleness index. A moderate natural fracture density promotes the fracture network’s complexity, whereas excessive densities may suppress the main fracture’s propagation. Microscopically, organic matter and silicate minerals are more prone to damage, predominantly tensile failures under external loading. These findings highlight the dominant role of microscale heterogeneity in shale fracturing and provide theoretical support for fracture control and stimulation optimization in complex reservoirs. Full article
(This article belongs to the Special Issue Multiscale Fractal Analysis in Unconventional Reservoirs)
Show Figures

Figure 1

18 pages, 3477 KB  
Viewpoint
Alternative Categorization of Radio Frequency Power Amplifier for Generalized Design Insights
by Pallab Kr Gogoi, Jurgen Vanhamel, Eberhard Gill and Jérôme Loicq
Designs 2025, 9(4), 83; https://doi.org/10.3390/designs9040083 - 1 Jul 2025
Viewed by 861
Abstract
In recent years, advancements in semiconductor technologies have significantly transformed Radio Frequency Power Amplifiers (RFPAs), enhancing their efficiency, size, and performance. Despite these advancements, the design of RFPAs remains intrinsically linked to the specific applications for which they are intended. What proves effective [...] Read more.
In recent years, advancements in semiconductor technologies have significantly transformed Radio Frequency Power Amplifiers (RFPAs), enhancing their efficiency, size, and performance. Despite these advancements, the design of RFPAs remains intrinsically linked to the specific applications for which they are intended. What proves effective in one context, such as communication technologies, may not be equally suitable in others, such as scientific instruments. This discrepancy highlights the lack of a systematic approach to RFPA design that can be applied across different applications. This paper delves into the fundamental concepts of RFPA design, adopting a comprehensive perspective. It further introduces an alternative categorization of RFPAs, thereby providing a generalized design approach. Full article
Show Figures

Figure 1

15 pages, 1496 KB  
Article
Capacitive-Loaded High-Power Low-Loss 3.0 T Magnetic Resonance Imaging Radio Frequency Combiner Design and Integrated Application
by Yingliang Li and Shouhua Luo
Appl. Sci. 2025, 15(11), 5940; https://doi.org/10.3390/app15115940 - 25 May 2025
Viewed by 823
Abstract
For high-power magnetic resonance imaging (MRI) radio frequency (RF) combiners operating in the frequency range from 60 MHz to 300 MHz, the primary challenges lie in achieving high-power transmission capability while minimizing the insertion loss (IL), reducing the physical dimensions, and meeting application [...] Read more.
For high-power magnetic resonance imaging (MRI) radio frequency (RF) combiners operating in the frequency range from 60 MHz to 300 MHz, the primary challenges lie in achieving high-power transmission capability while minimizing the insertion loss (IL), reducing the physical dimensions, and meeting application bandwidth requirements. This paper presents a high-performance RF power combiner based on capacitor-loaded microstrip technology for 3.0T MRI radio frequency power amplifier (RFPA) systems. The proposed combiner features low loss, high integration, and miniaturization, and it comprises multiple branches, each employing microstrip lines and capacitors in a series–parallel arrangement to achieve an impedance transformation of 50 Ω to 100 Ω. Each branch was designed through theoretical analysis and electromagnetic simulations to achieve a line length 30% shorter than λ/4, a 6.2 mm line width, and 0.08 dB IL at the 3.0T MRI operation frequency band. A two-way to one-way combiner was further designed using this branch structure to achieve 0.2 dB IL through simulation optimization. A four-way to one-way combiner was then constructed by cascading two-way combiners and optimized via ADS-HFSS software(ADS2014 HFSS19) co-simulation. The fabricated combiner module uses an FR4 substrate and achieves a 0.4 dB insertion loss, −25 dB return loss, and 25 dB port isolation at 128 MHz ± 1 MHz, with compact dimensions (320 × 200 × 10 mm). To ensure high power capability, thermal analysis was performed to confirm that the module’s power-handling capacity exceeded 8 kW, and experimental validation with the 8 kW 3.0T RFPA demonstrated a stable temperature rise of approximately 2 °C. In this study, the innovative single-branch topology and the RF high-power four-to-one combiner for 3.0T MRI systems were used, resolving the trade-offs between power-handling capability, insertion loss, structural compactness, and operating bandwidth in MRI power combiners. The combiner was successfully integrated into the 3.0T MRI RFPA system, reducing the overall dimensions of the RFPA system and simplifying its installation, thereby enabling high-quality imaging validation. This solution demonstrates the scalable potential of the design for other high-field MRI systems operating in the MHz range (from tens to hundreds of MHz), including in 1.5T and 7.0T MRI systems. Full article
(This article belongs to the Special Issue Advanced RF/MM-Wave Circuits Design and Applications)
Show Figures

Figure 1

27 pages, 3307 KB  
Article
Comprehensive and Dedicated Metrics for Evaluating AI-Generated Residential Floor Plans
by Pengyu Zeng, Jun Yin, Yan Gao, Jizhizi Li, Zhanxiang Jin and Shuai Lu
Buildings 2025, 15(10), 1674; https://doi.org/10.3390/buildings15101674 - 15 May 2025
Cited by 4 | Viewed by 2832
Abstract
In response to the growing importance of AI-driven residential design and the lack of dedicated evaluation metrics, we propose the Residential Floor Plan Assessment (RFP-A), a comprehensive framework tailored to architectural evaluation. RFP-A consists of multiple metrics that assess key aspects of floor [...] Read more.
In response to the growing importance of AI-driven residential design and the lack of dedicated evaluation metrics, we propose the Residential Floor Plan Assessment (RFP-A), a comprehensive framework tailored to architectural evaluation. RFP-A consists of multiple metrics that assess key aspects of floor plans, including room count compliance, spatial connectivity, room locations, and geometric features. It incorporates both rule-based comparisons and graph-based analysis to ensure design requirements are met. A comparison of RFP-A and existing metrics was conducted both qualitatively and quantitatively, and it was revealed that RFP-A provides more robust, interpretable, and computationally efficient assessments of the accuracy and diversity of generated plans. We evaluated the performance of six existing floor plan generation models using RFP-A, showing that, surprisingly, only HouseDiffusion and FloorplanDiffusion achieved accuracies above 90%, while other models scored below or around 60%. We further conducted a quantitative comparison of diversity, revealing that FloorplanDiffusion, HouseDiffusion, and HouseGAN each demonstrated strengths in different aspects—graph structure, spatial location, and room geometry, respectively—while no model achieved consistently high diversity across all dimensions. In addition, existing metrics can not reflect the quality of generated designs well, and the diversity of the generated designs depends on both the model input and structure. Our study not only enhances the assessment of generated floor plans but also aids architects in utilizing numerous generated designs effectively. Full article
Show Figures

Figure 1

22 pages, 11097 KB  
Article
Influence of Layering and Fracture Angles on the Performance of Salt–Gypsum Composites: Implications for the Safety of Underground Energy Storage
by Fengbiao Wu, Tao Meng, Kehao Cao, Panpan Zhang, Ziying Zhang, Chuanda Zhang, Guanghui Zhao, Zhixia Wang, Pengtao Liu and Xiaomeng Wu
Energies 2025, 18(9), 2287; https://doi.org/10.3390/en18092287 - 30 Apr 2025
Viewed by 670
Abstract
With the intensifying global energy crisis, ensuring robust and reliable energy reserves has become crucial, and underground energy storage offers a safe, large-scale, and cost-effective solution. Among various options, salt cavern gas storage is recognized for its excellent sealing capacity and geological stability; [...] Read more.
With the intensifying global energy crisis, ensuring robust and reliable energy reserves has become crucial, and underground energy storage offers a safe, large-scale, and cost-effective solution. Among various options, salt cavern gas storage is recognized for its excellent sealing capacity and geological stability; however, many natural salt domes contain inherent fissures and interlayers (e.g., gypsum) that can jeopardize operational safety. Hence, this study aims to clarify how different fissure angles and bedding plane dip angles affect the mechanical behavior of salt–gypsum composites, providing insights for enhancing safety measures in underground gas storage facilities. Based on practical engineering demands, we employ finite element software (RFPA2.0) under a confining pressure of 25 MPa to investigate the compressive strength, fractur patterns, and acoustic emission responses of salt–gypsum composites with varying bedding plane and fissure angles. The results indicate that (1) the composite’s compressive strength gradually increases with the fissure angle, being lowest at 0° and highest at 90°; (2) as the bedding plane angle increases, the compressive strength first rises, then decreases, and finally rises again, with its minimum at 60° and maximum at 90°; and (3) when the bedding plane angle exceeds 60°, cracks preferentially develop along the bedding plane, dominating the overall fracture process. These findings provide theoretical guidance for optimizing the design and ensuring the long-term safety and stability of underground salt cavern gas storage systems. Full article
(This article belongs to the Special Issue Advances in the Development of Geoenergy: 2nd Edition)
Show Figures

Figure 1

26 pages, 10368 KB  
Article
Numerical Study of the Mechanical Properties and Failure Mechanisms of Shale Under Different Loading Conditions
by Tianran Lin, Zhuo Dong and Bin Gong
Appl. Sci. 2025, 15(8), 4405; https://doi.org/10.3390/app15084405 - 16 Apr 2025
Cited by 3 | Viewed by 952
Abstract
The fracturing performance of shale directly influences the effectiveness of shale gas development. To investigate the impact of bedding on the anisotropic mechanical properties and failure modes of shale under different stress paths, a shale model with randomly generated bedding planes was established [...] Read more.
The fracturing performance of shale directly influences the effectiveness of shale gas development. To investigate the impact of bedding on the anisotropic mechanical properties and failure modes of shale under different stress paths, a shale model with randomly generated bedding planes was established using RFPA3D. Uniaxial compression, direct tension, and triaxial compression numerical simulations were conducted. The results reveal the following key findings: (1) With an increase in the bedding angle, the uniaxial compressive strength of shale shows a U-shaped change trend, while the tensile strength gradually decreases. Under the two loading conditions, the failure mechanism of the samples is significantly different, and the influence of the bedding distribution position on the direct tensile failure mode is more significant. (2) The confining pressure reduces the brittleness and anisotropy of shale by altering the internal stress distribution and inhibiting the propagation of microcracks. When the confining pressure increases from 0 MPa to 22.5 MPa, the strength increases by about 41% when the bedding angle is 30°, while the strength of 0° bedding only increases by 29%. (3) The frictional constraint effect plays a significant role in shale strength. Frictional stresses influence the strength near the interface between the bedding and the matrix, while the regions outside this interface maintain the original stress state. In shale with inclined bedding, shear stress promotes slip along the bedding planes, which further reduces the overall strength. The research findings hold significant guiding value for optimizing fracturing designs and enhancing the efficiency of shale gas development. Full article
(This article belongs to the Section Civil Engineering)
Show Figures

Figure 1

27 pages, 19982 KB  
Article
Investigation of the CO2 Pre-Fracturing Mechanism for Enhancing Fracture Propagation and Stimulated Reservoir Volume in Ultra-Deep Oil Reservoirs
by Liming Liu, Ran Ding, Enqing Chen and Cheng Zhang
Energies 2025, 18(1), 96; https://doi.org/10.3390/en18010096 - 30 Dec 2024
Cited by 1 | Viewed by 1960
Abstract
CO2 pre-fracturing is an innovative technique for enhancing oil and gas production in unconventional reservoirs. Despite its potential, the mechanisms of CO2 pre-fracturing influencing fracture propagation, particularly in ultra-deep reservoirs, remain inadequately understood. This study investigates the CO2 pre-fracturing process [...] Read more.
CO2 pre-fracturing is an innovative technique for enhancing oil and gas production in unconventional reservoirs. Despite its potential, the mechanisms of CO2 pre-fracturing influencing fracture propagation, particularly in ultra-deep reservoirs, remain inadequately understood. This study investigates the CO2 pre-fracturing process in ultra-deep sandstone reservoirs of the central Junggar Basin. A 3D geomechanical model was established using RFPA3D-HF based on rock mechanical parameters from laboratory experiments. The study examines the effect of in situ horizontal stress differences, CO2 pre-injection volume, and slickwater injection rate on fracture complexity index (FCI) and stimulated reservoir volume (SRV). The results reveal that in situ horizontal stress differences are the primary factor influencing fracture propagation. In ultra-deep reservoirs, high horizontal stress difference hinders fracture deflection and bifurcation during slickwater fracturing. CO2 pre-fracturing, through the pre-injection of CO2, reduces formation breakdown pressure and increases reservoir pore pressure due to its low viscosity and high permeability, effectively mitigating the effect of high horizontal stress differences and significantly enhancing fracturing effectiveness. Furthermore, appropriately increasing the CO2 pre-injection volume and slickwater injection rate can increase fracture complexity, resulting in a larger SRV. Notably, adjusting the CO2 pre-injection volume is more effective than adjusting slickwater injection rate in enhancing oil production. This study provides scientific evidence for selecting construction parameters and optimizing oil recovery through CO2 pre-fracturing technology in deep unconventional oil reservoirs and offers new insights into CO2 utilization and storage. Full article
(This article belongs to the Special Issue Failure and Multiphysical Fields in Geo-Energy)
Show Figures

Figure 1

20 pages, 1174 KB  
Article
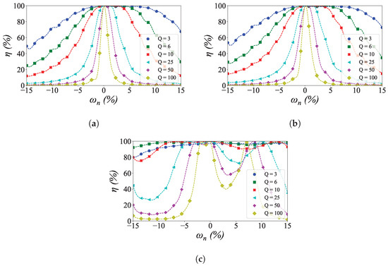
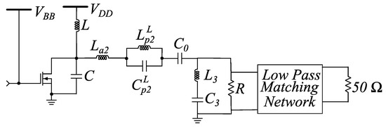
Investigating the Bounds of Quality Factor for Class-E Series-Tuned RF Power Amplifiers and Their Computer-Aided Optimization
by Pallab Kr Gogoi, Ayan Sharma, Jurgen Vanhamel and Jérôme Loicq
Appl. Sci. 2024, 14(24), 11881; https://doi.org/10.3390/app142411881 - 19 Dec 2024
Cited by 3 | Viewed by 1357
Abstract
This paper presents a comprehensive analysis of Class-E series-tuned radio-frequency power amplifiers (RFPAs), focusing on their design and optimization for high efficiency and performance. However, achieving optimal performance involves navigating trade-offs among efficiency, bandwidth, harmonic suppression, output power capability, and device stress. This [...] Read more.
This paper presents a comprehensive analysis of Class-E series-tuned radio-frequency power amplifiers (RFPAs), focusing on their design and optimization for high efficiency and performance. However, achieving optimal performance involves navigating trade-offs among efficiency, bandwidth, harmonic suppression, output power capability, and device stress. This work examines the trade-offs involved in the series-tuned (LsCs) network and establishes the bounds for its quality factor using computer-aided harmonic balance (HB) simulations. Additionally, it explores optimal harmonic termination strategies to enhance the performance and efficiency of the design. Finally, a novel methodology using harmonic termination is proposed, simplifying the design process by eliminating the need for traditional load-pull extraction methods. Full article
(This article belongs to the Section Electrical, Electronics and Communications Engineering)
Show Figures

Figure 1

25 pages, 17584 KB  
Article
Research on Disaster Prevention and Control Technology for Directional Hydraulic Fracturing and Roof Plate Unloading
by Dong Liu, Jiayue Deng, Tao Yang, Jie Zhang, Haifei Lin, Hui Liu, Jiarui Sun and Yiming Zhang
Appl. Sci. 2024, 14(19), 8733; https://doi.org/10.3390/app14198733 - 27 Sep 2024
Cited by 2 | Viewed by 931
Abstract
In coal seam groups where the spacing between the upper and lower seams is small, the lower seam working face is significantly influenced by residual coal pillars from the upper seam and the void spaces created during mining. This presents considerable challenges for [...] Read more.
In coal seam groups where the spacing between the upper and lower seams is small, the lower seam working face is significantly influenced by residual coal pillars from the upper seam and the void spaces created during mining. This presents considerable challenges for underground mining safety. Through field investigations, the layout of the coal seam quarry above the working face of the 3−1 coal seam in Yanghuopan Mine was examined, along with the distribution of the residual coal pillars. This allowed for the identification of the interlayer rock strata characteristics. Subsequently, we analyzed the mechanism of directional hydraulic fracturing and decompression to determine the key parameters of the 3−1 coal seam. Using the Rock Fracture Process Analysis 3D (RFPA 3D) numerical simulation, we evaluated the effects of various factors on the initiation and propagation of hydraulic fracturing-induced cracks, formulated the evolution law of these fractures, and incorporated the damage variables into the analysis. Additionally, we assessed the influence of different parameters on crack initiation and extension during hydraulic fracturing, using RFPA 3D simulations to derive the evolution law governing directional hydraulic fractures. This allowed us to define the hydraulic fracturing parameters for the 3−1 interbedded rock layers by integrating the process parameter calculations with the damage variables. Based on these findings, an on-site implementation plan was developed and executed, followed by a comprehensive evaluation of the construction results. The study concludes that directional hydraulic fracturing and decompression effectively contribute to the prevention and control of roof-related disasters in the mining of lower coal seams where seam spacing is minimal. This research offers valuable theoretical insights and practical reference for disaster prevention and control in similar geological conditions. Full article
Show Figures

Figure 1

30 pages, 4085 KB  
Article
A Highly Efficient Compressive Sensing Algorithm Based on Root-Sparse Bayesian Learning for RFPA Radar
by Ju Wang, Bingqi Shan, Song Duan and Qin Zhang
Remote Sens. 2024, 16(19), 3564; https://doi.org/10.3390/rs16193564 - 25 Sep 2024
Cited by 1 | Viewed by 1592
Abstract
Off-grid issues and high computational complexity are two major challenges faced by sparse Bayesian learning (SBL)-based compressive sensing (CS) algorithms used for random frequency pulse interval agile (RFPA) radar. Therefore, this paper proposes an off-grid CS algorithm for RFPA radar based on Root-SBL [...] Read more.
Off-grid issues and high computational complexity are two major challenges faced by sparse Bayesian learning (SBL)-based compressive sensing (CS) algorithms used for random frequency pulse interval agile (RFPA) radar. Therefore, this paper proposes an off-grid CS algorithm for RFPA radar based on Root-SBL to address these issues. To effectively cope with off-grid issues, this paper derives a root-solving formula inspired by the Root-SBL algorithm for velocity parameters applicable to RFPA radar, thus enabling the proposed algorithm to directly solve the velocity parameters of targets during the fine search stage. Meanwhile, to ensure computational feasibility, the proposed algorithm utilizes a simple single-level hierarchical prior distribution model and employs the derived root-solving formula to avoid the refinement of velocity grids. Moreover, during the fine search stage, the proposed algorithm combines the fixed-point strategy with the Expectation-Maximization algorithm to update the hyperparameters, further reducing computational complexity. In terms of implementation, the proposed algorithm updates hyperparameters based on the single-level prior distribution to approximate values for the range and velocity parameters during the coarse search stage. Subsequently, in the fine search stage, the proposed algorithm performs a grid search only in the range dimension and uses the derived root-solving formula to directly solve for the target velocity parameters. Simulation results demonstrate that the proposed algorithm maintains low computational complexity while exhibiting stable performance for parameter estimation in various multi-target off-grid scenarios. Full article
(This article belongs to the Topic Radar Signal and Data Processing with Applications)
Show Figures

Graphical abstract

21 pages, 4992 KB  
Article
Enhancing Security of Telemedicine Data: A Multi-Scroll Chaotic System for ECG Signal Encryption and RF Transmission
by José Ricardo Cárdenas-Valdez, Ramón Ramírez-Villalobos, Catherine Ramirez-Ubieta and Everardo Inzunza-Gonzalez
Entropy 2024, 26(9), 787; https://doi.org/10.3390/e26090787 - 14 Sep 2024
Cited by 6 | Viewed by 2829
Abstract
Protecting sensitive patient data, such as electrocardiogram (ECG) signals, during RF wireless transmission is essential due to the increasing demand for secure telemedicine communications. This paper presents an innovative chaotic-based encryption system designed to enhance the security and integrity of telemedicine data transmission. [...] Read more.
Protecting sensitive patient data, such as electrocardiogram (ECG) signals, during RF wireless transmission is essential due to the increasing demand for secure telemedicine communications. This paper presents an innovative chaotic-based encryption system designed to enhance the security and integrity of telemedicine data transmission. The proposed system utilizes a multi-scroll chaotic system for ECG signal encryption based on master–slave synchronization. The ECG signal is encrypted by a master system and securely transmitted to a remote location, where it is decrypted by a slave system using an extended state observer. Synchronization between the master and slave is achieved through the Lyapunov criteria, which ensures system stability. The system also supports Orthogonal Frequency Division Multiplexing (OFDM) and adaptive n-quadrature amplitude modulation (n-QAM) schemes to optimize signal discretization. Experimental validations with a custom transceiver scheme confirmed the system’s effectiveness in preventing channel overlap during 2.5 GHz transmissions. Additionally, a commercial RF Power Amplifier (RF-PA) for LTE applications and a development board were integrated to monitor transmission quality. The proposed encryption system ensures robust and efficient RF transmission of ECG data, addressing critical challenges in the wireless communication of sensitive medical information. This approach demonstrates the potential for broader applications in modern telemedicine environments, providing a reliable and efficient solution for the secure transmission of healthcare data. Full article
Show Figures

Figure 1

Back to TopTop