AI-Based Analysis of Archery Shooting Time from Anchoring to Release Using Pose Estimation and Computer Vision
Abstract
1. Introduction
2. Related Works
3. Materials and Methods
3.1. Data Collection
3.2. Pose Estimation for Detecting the Start of Anchoring in Archery
3.3. Shooting Time Measurement Method
3.4. Bowstring Detection Method Optimized for Archery
| Algorithm 1 Archery shooting time detection algorithm |
|
4. Results
4.1. Detection Results of the Anchoring Start Phase Based on Pose Estimation
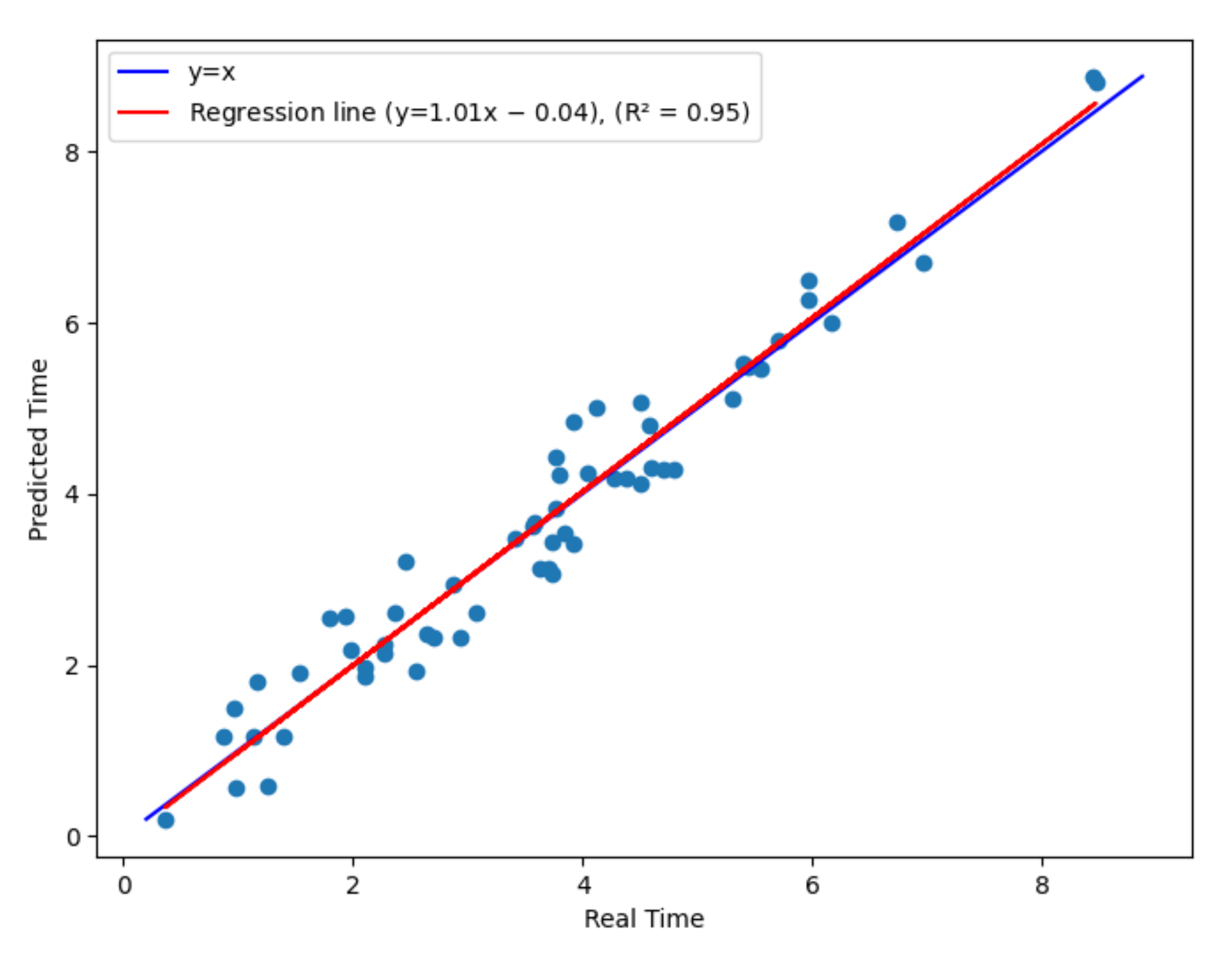
4.2. Detection Results of the Shooting Time
5. Discussion
5.1. Results Analysis
5.2. Challenging Cases and Limitations
6. Conclusions
Author Contributions
Funding
Institutional Review Board Statement
Informed Consent Statement
Data Availability Statement
Conflicts of Interest
References
- Nishizono, H.; Shibayama, H.; Izuta, T.; Saito, K. Analysis of archery shooting techniques by means of electromyography. In Proceedings of the 5 International Symposium on Biomechanics in Sports (1987), Athens, Greece, 13–17 July 1987; ISBS-Conference Proceedings Archive: Marquette, MI, USA, 1987. [Google Scholar]
- Jang, Y.S.; Hong, K.D. Development of archery training management system for archer’s performance. J. Korea Contents Assoc. 2008, 8, 213–222. [Google Scholar] [CrossRef]
- Clemente, F.M.; Couceiro, M.; Rocha, R.; Mendes, R. Study of the heart rate and accuracy performance of archers. J. Phys. Educ. Sport 2011, 11, 434–437. [Google Scholar]
- Kim, K. Exploration of Tension in Archery. Korea Sport Res. 2007, 18, 337–348. [Google Scholar]
- An, H.S. Effects of balance and kinematic factors on archery score during archery shooting. J. Korea Converg. Soc. 2018, 9, 239–246. [Google Scholar]
- Kim, H.; Ki, B. Exploring Key Coaching Factors of Elite Archery Coaches. Korean J. Phys. Educ. 2021, 25, 105–121. [Google Scholar]
- Tinazci, C. Shooting dynamics in archery: A multidimensional analysis from drawing to releasing in male archers. Procedia Eng. 2011, 13, 290–296. [Google Scholar] [CrossRef]
- Takai, H.; Kubo, Y.; Araki, M. Characteristics of shooting time of the world’s top level male archery athletes. NSSU J. Sport Sci. 2012, 1, 8–12. [Google Scholar]
- Moon, J.Y.; Lee, U.C. Analysis of the Correlation between Shooting Time of Elite Archers and Athletic Performance: Case Study of the Korean National Team in Women’s Archery at the 2020 Tokyo Olympics. J. Next-Gener. Converg. Technol. Assoc. 2023, 7, 1399–1405. (In Korean) [Google Scholar]
- Kim, H.; Kim, J. The Consistency of an Elite Archer’s Shooting Movement for Improving His Performance. Korean J. Phys. Educ. 2006, 45, 473–483. [Google Scholar]
- Kim, J.T.; Lee, S.J.; Kim, S.S. Influence of Rating of Perceived Exertion on Kinematic Characteristics in Top Class Archery Athletes. J. Coach. Dev. 2014, 16, 99–106. [Google Scholar]
- Lau, J.S.; Ghafar, R.; Zulkifli, E.Z.; Hashim, H.A.; Sakim, H.A. Comparison of Shooting Time Characteristics and Shooting Posture Between High-and Low-Performance Archers. Ann. Appl. Sport Sci. 2023, 11. [Google Scholar] [CrossRef]
- Liu, Y.; Cheng, X.; Ikenaga, T. Motion-Aware and Data-Independent Model Based Multi-View 3D Pose Refinement for Volleyball Spike Analysis. Multimed. Tools Appl. 2023, 83, 22995–23018. [Google Scholar] [CrossRef]
- Zhu, K.; Wong, A.; McPhee, J. FenceNet: Fine-Grained Footwork Recognition in Fencing. In Proceedings of the 2022 IEEE/CVF Conference on Computer Vision and Pattern Recognition Workshops (CVPRW), New Orleans, LA, USA, 19–20 June 2022; IEEE: Piscataway, NJ, USA, 2022. [Google Scholar]
- Ren, H. Sports Video Athlete Detection Based on Deep Learning. Neural Comput. Appl. 2023, 35, 4201–4210. [Google Scholar] [CrossRef]
- Qohar, A.; Akbar, R.; Hendriawan, A. Automatic Score in Archery Target Using Simple Image Processing Method. In Proceedings of the 5th International Conference on Applied Science and Technology on Engineering Science (iCAST-ES 2022), Mumbai, India, 2–3 December 2022. [Google Scholar]
- Phang, J.; Lim, K.; Lease, B.; Chiam, D. Computer Vision-Based Automated Archery Performance Logging System. In Proceedings of the 2nd International Conference on Innovation and Technology in Sports, ICITS 2023, Kuala Lumpur, Malaysia, 27–28 November 2023; Lecture Notes in Bioengineering; Springer Nature: Singapore, 2024; pp. 535–544. [Google Scholar]
- Callaway, J.A.; Broomfield, A.S. Inter-rater reliability and criterion validity of scatter diagrams as an input method for marksmanship analysis: Computerised notational analysis for archery. Int. J. Perform. Anal. Sport 2012, 12, 291–310. [Google Scholar] [CrossRef][Green Version]
- Dartfish. MyDartfish Pro S: High-Performance Sports Video Solution. 2024. Available online: https://www.dartfish.com/pro_s (accessed on 2 October 2024).
- Bazarevsky, V.; Grishchenko, I.; Raveendran, K.; Zhu, T.; Zhang, F.; Grundmann, M. On-Device Real-Time Body Pose Tracking. arXiv 2020, arXiv:2006.10204. [Google Scholar]
- Deng, G.; Cahill, L. An Adaptive Gaussian Filter for Noise Reduction and Edge Detection. In Proceedings of the 1993 IEEE Conference Record Nuclear Science Symposium and Medical Imaging Conference, San Francisco, CA, USA, 31 October–6 November 1993; IEEE: Piscataway, NJ, USA, 2005. [Google Scholar]









| Category | Authors & Year | Titles | Research Content | Research Applicability |
|---|---|---|---|---|
| Archery Performance Analysis | Tinazci, C. (2011) | Shooting dynamics in archery: A multidimensional analysis from drawing to releasing in male archers [7] | This study provides a foundational understanding of the physiological and mechanical variables influencing archery performance, focusing on muscle activity and postural dynamics. | Its findings highlight key performance-related variables such as reduced muscle activity and postural sway, which can guide training regimens and performance enhancement strategies. The study’s insights are particularly relevant for optimizing biomechanics in high-pressure competitive scenarios. |
| Moon, J. Y. and Lee, E. C. (2023) | Analysis of the relationship between shooting time and performance in elite archers: A case study of the 2020 Tokyo Olympic women’s national archery team [9] | A quantitative analysis of the shooting time of the Korean women’s national archery team, which achieved a 9th consecutive team victory in the 2020 Tokyo Olympics. | By examining the timing components of a globally successful team, this research offers a valuable reference for developing training protocols and performance optimization strategies in archery teams. | |
| Kim, J. T., Lee, S. J., and Kim, S. S. (2014) | Comparison of Shooting Time Characteristics and Shooting Posture Between High and Low Performance Archers [11] | A comparison of time characteristics and posture between high- and low-performance archers. The study found that archers with shorter release times showed better performance. | Coaches and athletes can leverage these findings to refine techniques, particularly by focusing on reducing release times and improving posture consistency for better results. | |
| Callaway, J. A., and Broomfield, A. S. (2012) | Inter-Rater Reliability and Criterion Validity of Scatter Diagrams as an Input Method for Marksmanship Analysis: Computerised Notational Analysis for Archery [18] | The use of computerized scatter plots for shot analysis in target sports has been shown to be both valid and reliable. By inputting each arrow’s position into specialized software, precise coordinates are generated, enabling coaches, athletes, and researchers to monitor changes in equipment settings, biomechanics, physiology, and psychology. This system facilitates the continuous development of athletes, sports, and equipment. | The system enables continuous monitoring and improvement by linking shot data to various factors such as biomechanics and psychology, thereby supporting data-driven coaching and equipment design. | |
| Lau, J. S., Ghafar, R., Zulkifli, E. Z., Hashim, H. A., and Mat Sakim, H. A. (2023) | Analysis of Kinematic Variables Based on Perception of Elite Archers [12] | This study compared the variables affecting the shooting performance of top female archers during ranking rounds. It found that the time spent on each phase was slower in “bad” performances compared to “good” ones. | The research provides detailed insights into phase-specific time management, helping archers and coaches to focus on optimizing critical moments for consistent performance. | |
| Sports Vision Technology | Liu, Y., Cheng, X., and Ikenaga, T. (2024) | Motion aware and data independent model based multi view 3D pose refinement for volleyball spike analysis [13] | Proposed a method for estimating and refining 3D poses in volleyball spike analysis using computer vision technology. | The approach enhances the analysis of volleyball techniques by providing detailed 3D motion insights without relying on traditional markers. This makes it particularly useful for coaching, performance improvement, and injury prevention in volleyball. |
| Zhu, K., Wong, A., and McPhee, J. (2022) | FenceNet: Fine grained footwork recognition in fencing [14] | Introduced a new architecture called FenceNet, which automates the classification of fine-grained footwork techniques in fencing using 2D pose data without wearable sensors. | By leveraging 2D pose estimation, this system simplifies data collection while maintaining high precision. It can be used to improve training efficiency and provide detailed feedback for athletes and coaches in fencing. | |
| Ren, H. (2023) | Sports video athlete detection based on deep learning [15] | Proposed a system for automatically detecting and evaluating athletes’ postures in sports videos using deep learning and sports vision technologies. The study demonstrated high accuracy in capturing key movements based on skeletal motion. | The system has significant potential in various sports for automated performance analysis and feedback. Its accuracy in detecting key movements makes it a valuable tool for refining techniques and assessing biomechanical efficiency. | |
| Qohar, A., Akbar, R., & Hendriawan, A. (2023) | Automatic Score in Archery Target Using Simple Image Processing Method [16] | Developed an automatic scoring system for indoor and outdoor archery competitions using image processing techniques with high accuracy. | The system reduces human error in scoring, enhances objectivity in competitions, and streamlines the process for both athletes and judges, making it a vital tool for modernizing archery competitions. | |
| Phang, J. T. S., Lim, K. H., Lease, B. A., & Chiam, D. H. (2023) | Computer Vision-Based Automated Archery Performance [17] | Proposed a deep learning-based markerless motion capture system for analyzing archers’ shooting postures. | The system allows for unobtrusive and efficient posture analysis, which can be used for training, technique refinement, and biomechanical studies in archery without the need for specialized equipment. |
Disclaimer/Publisher’s Note: The statements, opinions and data contained in all publications are solely those of the individual author(s) and contributor(s) and not of MDPI and/or the editor(s). MDPI and/or the editor(s) disclaim responsibility for any injury to people or property resulting from any ideas, methods, instructions or products referred to in the content. |
© 2024 by the authors. Licensee MDPI, Basel, Switzerland. This article is an open access article distributed under the terms and conditions of the Creative Commons Attribution (CC BY) license (https://creativecommons.org/licenses/by/4.0/).
Share and Cite
Lee, S.; Moon, J.-Y.; Kim, J.; Lee, E.C. AI-Based Analysis of Archery Shooting Time from Anchoring to Release Using Pose Estimation and Computer Vision. Appl. Sci. 2024, 14, 11838. https://doi.org/10.3390/app142411838
Lee S, Moon J-Y, Kim J, Lee EC. AI-Based Analysis of Archery Shooting Time from Anchoring to Release Using Pose Estimation and Computer Vision. Applied Sciences. 2024; 14(24):11838. https://doi.org/10.3390/app142411838
Chicago/Turabian StyleLee, Seungkeon, Ji-Yeon Moon, Jinman Kim, and Eui Chul Lee. 2024. "AI-Based Analysis of Archery Shooting Time from Anchoring to Release Using Pose Estimation and Computer Vision" Applied Sciences 14, no. 24: 11838. https://doi.org/10.3390/app142411838
APA StyleLee, S., Moon, J.-Y., Kim, J., & Lee, E. C. (2024). AI-Based Analysis of Archery Shooting Time from Anchoring to Release Using Pose Estimation and Computer Vision. Applied Sciences, 14(24), 11838. https://doi.org/10.3390/app142411838

