Bioleaching of Metal-Polluted Mine Tailings: A Comparative Approach Between Ex Situ Slurry-Phase Stirred Reactors Versus In Situ Electrokinetic Percolation
Abstract
1. Introduction
2. Materials and Methods
2.1. Mine Tailings
2.2. Biologically Produced Acid-Leaching Medium
2.3. Experimental Setup and Procedure
2.3.1. Agitated Soil Slurry Batch Test (AS)
2.3.2. Electrokinetic Percolation Test (EKP)
3. Results
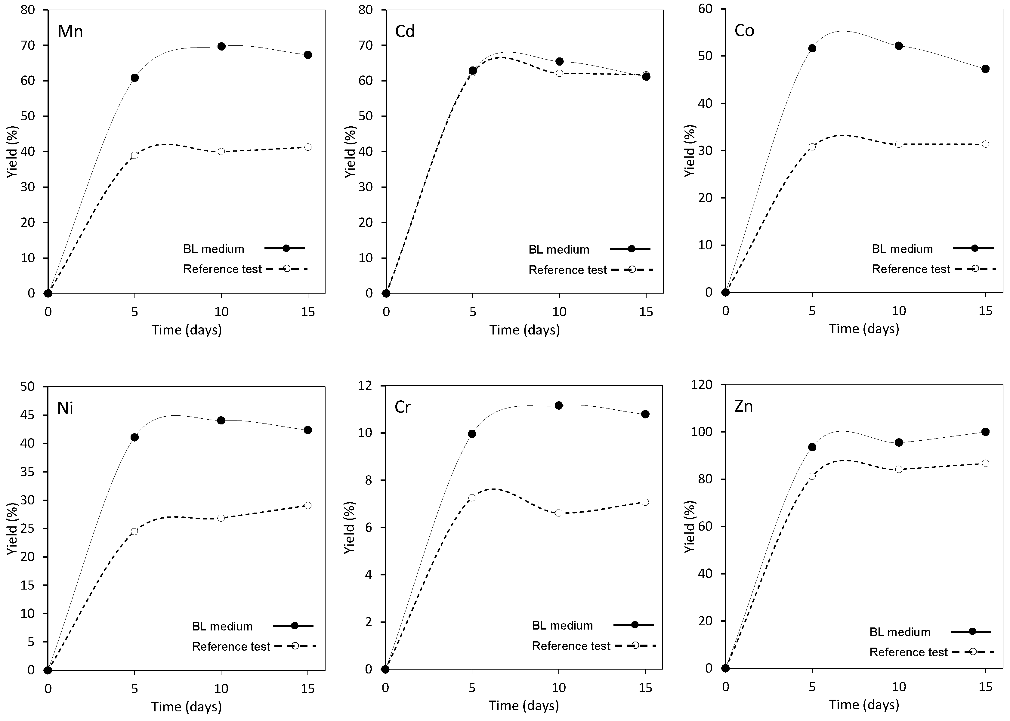
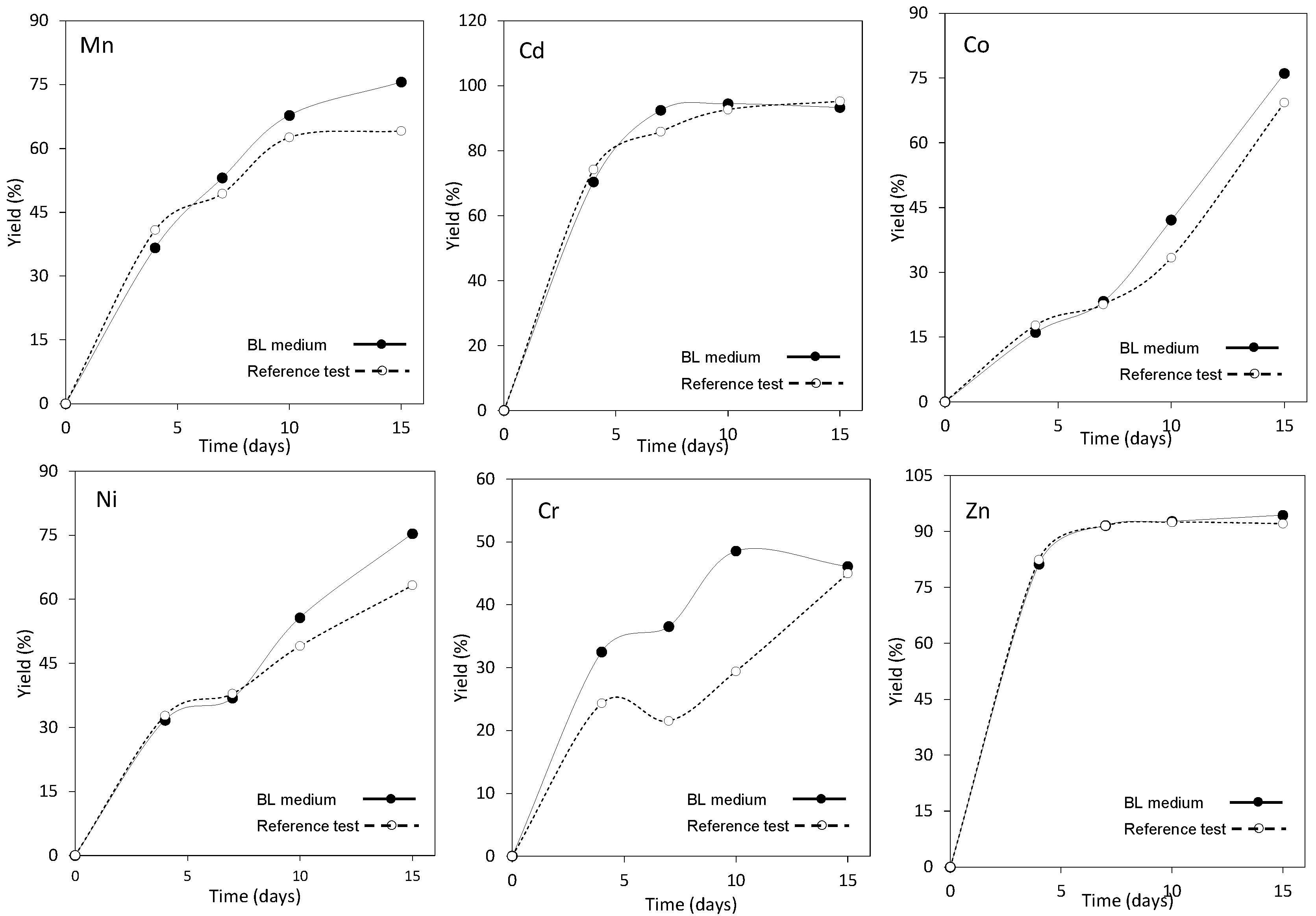
3.1. Comparison of Metal Removal Efficiency
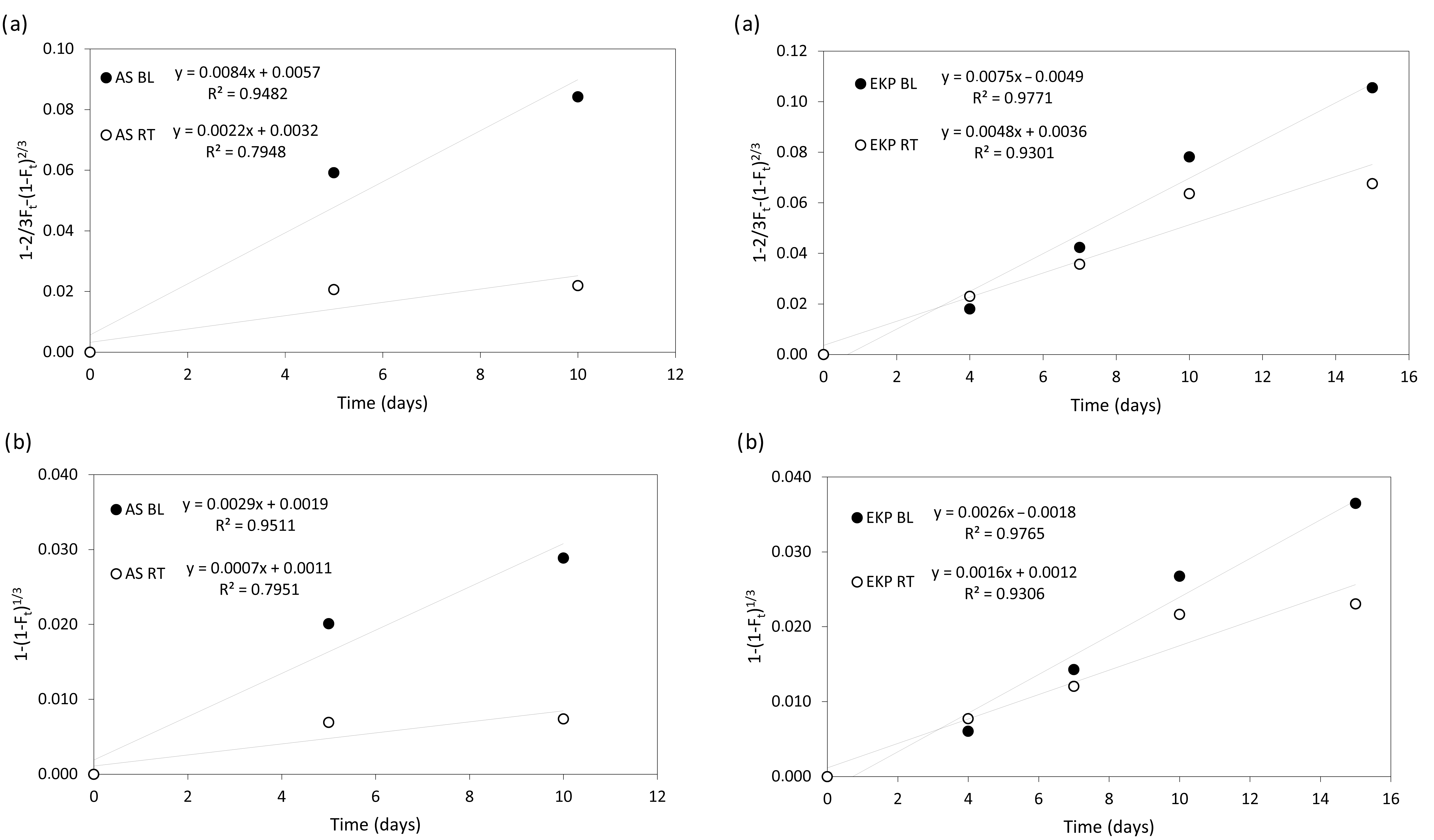
3.2. Kinetic Analysis
4. Conclusions
Supplementary Materials
Author Contributions
Funding
Institutional Review Board Statement
Informed Consent Statement
Data Availability Statement
Conflicts of Interest
References
- Adiansyah, J.S.; Rosano, M.; Vink, S.; Keir, G. A framework for a sustainable approach to mine tailings management: Disposal strategies. J. Clean. Prod. 2015, 108, 1050–1062. [Google Scholar] [CrossRef]
- Kinnunen, P.; Karhu, M.; Yli-Rantala, E.; Kivikytö-Reponen, P.; Mäkinen, J. A review of circular economy strategies for mine tailings. Clean. Eng. Technol. 2022, 8, 100499. [Google Scholar] [CrossRef]
- Singh, S.; Sukla, L.B.; Goyal, S.K. Mine waste & circular economy. Mater. Today Proc. 2020, 30, 332–339. [Google Scholar] [CrossRef]
- Sánchez-Castro, I.; Molina, L.; Prieto-Fernández, M.A.; Segura, A. Past, present and future trends in the remediation of heavy-metal contaminated soil-Remediation techniques applied in real soil-contamination events. Heliyon 2023, 9, e16692. [Google Scholar] [CrossRef] [PubMed]
- Gu, T.; Rastegar, S.O.; Mousavi, S.M.; Li, M.; Zhou, M. Advances in bioleaching for recovery of metals and bioremediation of fuel ash and sewage sludge. Bioresour. Technol. 2018, 261, 428–440. [Google Scholar] [CrossRef]
- Sajjad, W.; Zheng, G.; Din, G.; Ma, X.; Rafiq, M.; Xu, W. Metals Extraction from Sulfide Ores with Microorganisms: The Bioleaching Technology and Recent Developments. Trans. Indian Inst. Met. 2019, 72, 559–579. [Google Scholar] [CrossRef]
- Anjum, F.; Shahid, M.; Akcil, A. Biohydrometallurgy techniques of low grade ores: A review on black shale. Hydrometallurgy 2012, 117–118, 1–12. [Google Scholar] [CrossRef]
- Srichandan, H.; Mohapatra, R.K.; Singh, P.K.; Mishra, S.; Parhi, P.K.; Naik, K. Column bioleaching applications, process development, mechanism, parametric effect and modelling: A review. J. Ind. Eng. Chem. 2020, 90, 1–16. [Google Scholar] [CrossRef]
- Karaca, O.; Cameselle, C.; Bozcu, M. Opportunities of electrokinetics for the remediation of mining sites in Biga peninsula, Turkey. Chemosphere 2019, 227, 606–613. [Google Scholar] [CrossRef]
- Taneja, S.; Karaca, O.; Haritash, A.K. Treatment of Pb-contaminated soil by electrokinetics: Enhancements by varying voltage, chelant, and electrode material. J. Geochem. Explor. 2023, 250, 107240. [Google Scholar] [CrossRef]
- Wen, D.; Fu, R.; Li, Q. Removal of inorganic contaminants in soil by electrokinetic remediation technologies: A review. J. Hazard. Mater. 2021, 401, 123345. [Google Scholar] [CrossRef] [PubMed]
- Kim, H.A.; Lee, K.Y.; Lee, B.T.; Kim, S.O.; Kim, K.W. Comparative study of simultaneous removal of As, Cu, and Pb using different combinations of electrokinetics with bioleaching by Acidithiobacillus ferrooxidans. Water Res. 2012, 46, 5591–5599. [Google Scholar] [CrossRef] [PubMed]
- Lee, K.Y.; Kim, K.R.; Lee, B.T.; Kim, J.Y.; Kim, K.W.; Kim, S.O. Evaluation on the Feasibility of Microbially Enhanced Electrokinetic Removal of Multiple Heavy Metals from Tailing Soil. Sep. Sci. Technol. 2009, 44, 2322–2340. [Google Scholar] [CrossRef]
- Maini, G.; Sharman, A.K.; Sunderland, G.; Knowles, C.J.; Jackman, S.A. An Integrated Method Incorporating Sulfur-Oxidizing Bacteria and Electrokinetics to Enhance Removal of Copper from Contaminated Soil. Environ. Sci. Technol. 2000, 34, 1081–1087. [Google Scholar] [CrossRef]
- Acosta-Hernández, I.; Muñoz Morales, M.; López-Bellido Garrido, F.J.; Rodríguez, L.; Villaseñor Camacho, J. Coupling of bioleaching and electrokinetic soil flushing for the in-situ removal of impurity from Pb-Zn mine tailings. J. Environ. Chem. Eng. 2024, 12, 112992. [Google Scholar] [CrossRef]
- Chen, S.; Yang, Y.; Liu, C.; Dong, F.; Liu, B. Column bioleaching copper and its kinetics of waste printed circuit boards (WPCBs) by Acidithiobacillus ferrooxidans. Chemosphere 2015, 141, 162–168. [Google Scholar] [CrossRef]
- Jalali, F.; Fakhari, J.; Zolfaghari, A. Response surface modeling for lab-scale column bioleaching of low-grade uranium ore using a new isolated strain of Acidithiobacillus ferridurans. Hydrometallurgy 2019, 185, 194–203. [Google Scholar] [CrossRef]
- Pathak, A.; Srichandan, H.; Kim, D.J. Column bioleaching of metals from refinery spent catalyst by Acidithiobacillus thiooxidans: Effect of operational modifications on metal extraction, metal precipitation, and bacterial attachment. J. Environ. Manag. 2019, 242, 372–383. [Google Scholar] [CrossRef]
- Martín-Crespo, T.; Gómez-Ortiz, D.; Martín-Velázquez, S.; Esbrí, J.M.; de Ignacio-San José, C.; Sánchez-García, M.J.; Montoya-Montes, I.; Martín-González, F. Abandoned mine tailings in cultural itineraries: Don Quixote Route (Spain). Eng. Geol. 2015, 197, 82–93. [Google Scholar] [CrossRef]
- Rodríguez, L.; González-Corrochano, B.; Medina-Díaz, H.L.; López-Bellido, F.J.; Fernández-Morales, F.J.; Alonso-Azcárate, J. Does Environmental risk really change in abandoned mining areas in the medium term when no control measures are taken? Chemosphere 2022, 291, 133129. [Google Scholar] [CrossRef]
- Acosta-Hernández, I.; Medina-Díaz, H.; Fernández-Morales, F.J.; Rodríguez, L.; Villaseñor, J. Bioleaching of metal polluted mine tailings aided by ultrasound irradiation pretreatment. Environ. Technol. Innov. 2023, 31, 103192. [Google Scholar] [CrossRef]
- Acosta-Hernández, I.; Muñoz Morales, M.; Fernández-Morales, F.J.; Rodríguez, L.; Villaseñor, J. Removal of heavy metals from mine tailings by in-situ bioleaching coupled to electrokinetics. Environ. Res. 2023, 238, 117183. [Google Scholar] [CrossRef] [PubMed]
- Van Yken, J.; Cheng, K.Y.; Boxall, N.J.; Nikoloski, A.N.; Moheimani, N.; Valix, M.; Sahajwalla, V.; Kaksonen, A.H. Potential of metals leaching from printed circuit boards with biological and chemical lixiviants. Hydrometallurgy 2020, 196, 105433. [Google Scholar] [CrossRef]
- Muravyov, M.; Panyushkina, A.; Fomchenko, N. Bulk flotation followed by selective leaching with biogenic ferric iron is a promising solution for eco-friendly processing of complex sulfidic ores. J. Environ. Manag. 2022, 318, 115587. [Google Scholar] [CrossRef] [PubMed]
- Mahmoud, A.; Cézac, P.; Hoadley, A.F.A.; Contamine, F.; D’Hugues, P. A review of sulfide minerals microbially assisted leaching in stirred tank reactors. Int. Biodeterior. Biodegrad. 2017, 119, 118–146. [Google Scholar] [CrossRef]
- Tanne, C.; Schippers, A. Electrochemical investigation of microbially and galvanically leached chalcopyrite. Hydrometallurgy 2021, 202, 105603. [Google Scholar] [CrossRef]
- Sun, Z.; Zhao, M.; Chen, L.; Gong, Z.; Hu, J.; Ma, D. Electrokinetic remediation for the removal of heavy metals in soil: Limitations, solutions and prospection. Sci. Total Environ. 2023, 903, 165970. [Google Scholar] [CrossRef]
- Lizama, H.M. A kinetic description of percolation bioleaching. Miner. Eng. 2004, 17, 23–32. [Google Scholar] [CrossRef]
- Schippers, A.; Tanne, C.; Stummeyer, J.; Graupner, T. Sphalerite bioleaching comparison in shake flasks and percolators. Miner. Eng. 2019, 132, 251–257. [Google Scholar] [CrossRef]
- Bakhti, A.; Moghimi, H.; Bozorg, A.; Stankovic, S.; Manafi, Z.; Schippers, A. Comparison of bioleaching of a sulfidic copper ore (chalcopyrite) in column percolators and in stirred-tank bioreactors including microbial community analysis. Chemosphere 2024, 349, 140945. [Google Scholar] [CrossRef]






| Total Metal Concentration (mg kg−1) | |
|---|---|
| Fe | 32,045 |
| Cd | 15.3 |
| Zn | 1613 |
| Mn | 555.8 |
| Ni | 41.2 |
| Cr | 45.6 |
| Co | 14.9 |
| Other parameters | |
| pH | 6.03 |
| EC (mS cm−1) | 487 |
| Sand (%) | 5.5 |
| Silt (%) | 80.0 |
| Clay (%) | 14.5 |
| Particle size (mm) | 2 |
Disclaimer/Publisher’s Note: The statements, opinions and data contained in all publications are solely those of the individual author(s) and contributor(s) and not of MDPI and/or the editor(s). MDPI and/or the editor(s) disclaim responsibility for any injury to people or property resulting from any ideas, methods, instructions or products referred to in the content. |
© 2024 by the authors. Licensee MDPI, Basel, Switzerland. This article is an open access article distributed under the terms and conditions of the Creative Commons Attribution (CC BY) license (https://creativecommons.org/licenses/by/4.0/).
Share and Cite
Acosta Hernández, I.; Muñoz Morales, M.; Fernández Morales, F.J.; Rodríguez Romero, L.; Villaseñor Camacho, J. Bioleaching of Metal-Polluted Mine Tailings: A Comparative Approach Between Ex Situ Slurry-Phase Stirred Reactors Versus In Situ Electrokinetic Percolation. Appl. Sci. 2024, 14, 11756. https://doi.org/10.3390/app142411756
Acosta Hernández I, Muñoz Morales M, Fernández Morales FJ, Rodríguez Romero L, Villaseñor Camacho J. Bioleaching of Metal-Polluted Mine Tailings: A Comparative Approach Between Ex Situ Slurry-Phase Stirred Reactors Versus In Situ Electrokinetic Percolation. Applied Sciences. 2024; 14(24):11756. https://doi.org/10.3390/app142411756
Chicago/Turabian StyleAcosta Hernández, Irene, Martín Muñoz Morales, Francisco Jesús Fernández Morales, Luis Rodríguez Romero, and José Villaseñor Camacho. 2024. "Bioleaching of Metal-Polluted Mine Tailings: A Comparative Approach Between Ex Situ Slurry-Phase Stirred Reactors Versus In Situ Electrokinetic Percolation" Applied Sciences 14, no. 24: 11756. https://doi.org/10.3390/app142411756
APA StyleAcosta Hernández, I., Muñoz Morales, M., Fernández Morales, F. J., Rodríguez Romero, L., & Villaseñor Camacho, J. (2024). Bioleaching of Metal-Polluted Mine Tailings: A Comparative Approach Between Ex Situ Slurry-Phase Stirred Reactors Versus In Situ Electrokinetic Percolation. Applied Sciences, 14(24), 11756. https://doi.org/10.3390/app142411756

