Abstract
This study explores the impact of different color hue combinations and medium types (print and digital) on reading performance and comprehension. The purpose is to understand how these factors may influence text legibility and to offer practical insights for designers on optimizing visual design in presenting promotional content. Fifty-two participants read texts with various color palettes presented on both print and digital formats. The following color combinations were used in the experiment: achromatic (black on gray), achromatic–chromatic (black on green), and chromatic (purple on green). Reading time and comprehension score were measured to identify any significant differences between these conditions. The results show that the color combinations significantly affected reading time, regardless of the medium type. However, neither color nor medium had a significant effect on text comprehension. The main outcome is that the combination of achromatic text on a chromatic background appeared to be the most effective combination for enhancing the legibility of promotional text. Our findings suggest that graphic designers can choose particular color combinations to optimize reading speed without worrying about negative effects on the comprehension of the texts used in promotional materials across various mediums.
1. Introduction
1.1. Importance of Legibility
In contemporary communication, promotional texts are an essential element in conveying messages to potential customers. The visibility and legibility of this information influence both the message transmission and the engagement of the target audience. Legibility is a text attribute that relates to its ability to be correctly recognized. Text legibility refers to the ease with which the human visual system can detect characters and words, and it is essential for the initial phase of conscious reading, during which data are gathered []. As stated by Massimo Greco et al. [], “legibility refers to the ease of recognizing the font (i.e., character detection)”. Similarly, in the study by Yuki Matsuura et al. [], legibility is closely associated with the visual clarity of individual characters, which depends on the visibility of its elements (such as lines and curves) against the background. Možina et al. further pointed out, upon examining prints on various types of paper with specific typefaces and font sizes, that the substrate (and particularly whiteness and the contrast between the substrate and typography) plays a key role in legibility [,]. The legibility of labels can be significantly improved through the careful selection of typography, font size, and appropriate substrate []. Kamandahari underscored the importance of clearly defined typographic characteristics, such as typeface, size, spacing, and alignment with the substrate, along with precise units of measurement, in legibility research []. In text design, using standardized terminology and methods improves result comparability.
Reading fluency involves reading accuracy, speed, and comprehension []. Bigelow concluded in his work that advancements in digital typography have enabled new research on font legibility and visual mechanisms in reading, especially for individuals with visual impairments and other reading challenges [].
Legibility and the reading process can be investigated through the tracking of eye movements. According to Rayner et al. (cited in []), reading does not happen as a smooth, uninterrupted process; instead, it consists of a sequence of quick eye movements, called saccades, and brief pauses, known as fixations, each lasting approximately 200 to 250 milliseconds. Fixations are brief pauses on individual words or groups of words, allowing for the conscious processing of information during this time. In contrast, saccades are extremely rapid eye movements that function to align the image of an object with the foveal area. By analyzing data on fixations, saccades, and reading speed, researchers can draw conclusions about the reading process and text legibility. Eye-tracking techniques enable scientists to precisely track observers’ visual reactions, providing insights into the level of cognitive engagement and facilitating the understanding of the perception of design solutions [].
An important issue in reading research is achieving accurate and consistent reading performance measurements. As noted by Susana T. L. Chung et al. [], the approach varies depending on the study’s focus; participants might read aloud or silently, with or without comprehension evaluation. Numerous studies have also recorded eye movements concurrently with reading, enabling researchers to use eye movement data as indirect measures of reading performance or to explore how these movements influence the reading process. Shao et al. [] concluded that response time, accuracy, and cognitive efficiency can be used to assess legibility through eye movement indicators. It was found that both font and letter case influenced information legibility.
As visual complexity in design increases, cognitive load also rises, making it harder for users to quickly and accurately interpret information []. Legibility is essential not only for text comprehension but also for user engagement and satisfaction with design. Optimizing legibility can significantly enhance user experience and product appeal.
1.2. The Role of Color in the Context of Legibility
In recent years, our surroundings have become increasingly invasive and stimulating. With so much information every day, people must carefully choose what to focus on. Each year, we are exposed to more content, which diminishes our ability to concentrate. One key strategy for capturing visual attention is through the effective use of color [].
The color combinations chosen for text and background often play a main role in shaping content perception and enhancing its legibility. Specifically, color has been recognized as an important element that can significantly influence consumer decisions, enhancing brand differentiation, competitive advantage, loyalty, sales, and the duration of store visits []. Color also has the power to increase readers’ willingness to engage, improve decision-making, enhance information retention and recall, extend attention span, and elevate sales potential [].
While previous research [,] has established that contrast influences text legibility, it raises the question of whether color itself has a similar effect. Key color properties—hue, brightness, and chroma—are critical considerations when selecting colors for text and background []. In their study, Gordon E. Legge and Gary S. Rubin [] indicated that color may influence legibility, particularly for individuals with low vision. Under daylight conditions, reading speeds for people with normal vision were independent of wavelength, except for characters near the acuity limit. The impact of wavelength on reading performance is significant only in certain instances. On these occasions, performance often declines with red or blue hues, while it is nearly optimal with green or gray.
Further, Yun-Yin Yeh et al. [] explored how different color combinations for the target and background, as well as exposure duration, impact the icons’ legibility on a display terminal. The study assessed the following two independent factors: the color combination of icons and the duration of stimulus exposure. The color combinations were categorized into the following three types: high preference, low preference, and achromatic. Results showed that high-preference color combinations improved icon legibility compared to low-preference combinations. Meanwhile, Shen et al. [] concluded in their study that it is still unknown how and to what extent the color difference between the stimulus and its surrounding background affects icon visual search. As noted by Atchison et al. (as referenced in []), the effect of color combination on human response is especially evident when colors are fully saturated and the difference between their wavelengths exceeds the viewer’s focus depth. The evaluation of the accommodative response and changes in pupil dynamics during the reading of texts with diverse text–background color pairings was the focus of the study by Raimundo Jiménez and other authors []. The blue–red color combination induced an increased accommodative response. As expected, the yellow–white text–background color combination resulted in low subjective legibility ratings. However, altering the text and background color did not result in any statistically significant change in reading speed. Given the inconsistencies in the prior research, our study aims to explore the effect of color on legibility within specific chromatic pairings.
1.3. Hypotheses
Changing the background and text color can have varying effects on the legibility of promotional materials displayed on screens. Previous studies have shown that certain color combinations significantly affect character recognition and word legibility on video displays; black on yellow and green on white have been considered as highly legible combinations, while red on yellow, red on green, and green on red have been rated as the combinations with the lowest level of legibility []. In another study [], among the combinations of dark text on a light background, black or dark blue text on a light background showed the best results in terms of legibility and user preference. High-contrast color combinations generally improve legibility by increasing reading speed and reducing the number of eye fixations. This effect is particularly notable with combinations like dark text on a light background, which the visual system processes more easily []. According to a study by Iztok Humar et al. [], color difference had a more significant role in legibility under conditions of low luminance contrast. In their study, Shi et al. [] examined how ambient lighting, color combination, sign height, and viewing angle affect the assessment of wayfinding signage legibility. Their findings indicated that achromatic color combinations were more legible than chromatic ones, although the difference was not statistically significant. Ming et al. [] concluded that cognitive performance can be significantly influenced by both color combination and luminance contrast. Based on these findings, the first hypothesis is proposed as follows:
H1.
There is a difference in the legibility of promotional text presented in different color combinations.
Digital screens and printed materials are widespread in daily life, making it increasingly important to understand the differences in visual perception across these mediums. According to Bigelow [], the first century of legibility research focused on the practical effects of typographic attributes on reading, as well as on publishing economy. Nowadays, digital typographic resources enable greater precision and facilitate experimentation. Building on earlier studies, advancements in digital typography have provided novel perspectives and fostered a greater consensus on the impact of type size on reading, along with some concurrences regarding the effects of width and weight. Previous research [,,,,,,] has focused on studying various color combinations of text and background in digital or physical media, and the extent to which these combinations (and their contrast) impact legibility. However, questions remain about whether certain color combinations of text and background affect text comprehension and reading time, as well as whether the medium itself influences this perception. Consequently, the study also explores the following hypothesis:
H2.
There is a difference in the legibility between promotional text displayed on a screen and that displayed on paper.
Most existing research focuses either on individual color combinations on a single medium or on the impact of contrast without a comprehensive examination of the specific effects of color combinations in digital and print formats. Therefore, our study sought to compare the influence of various text and background color combinations on legibility and reading time across digital and print media. Particular emphasis was placed on how achromatic, chromatic, and achromatic–chromatic color combinations influence reading and text comprehension across both mediums.
1.4. Assesment of Legibility
A majority of the studies investigating the appropriate character and background color combinations have relied on subjective responses for their interpretations. These responses were gathered using diverse methods such as questionnaires, rating scales, or by measuring performance and errors in target identification []. Our study tested the impact of different color combinations—achromatic (black on gray), achromatic–chromatic (black on green), chromatic (purple on green)—as well as the effect of media (digital and printed). Eye movement activity in the digital medium was recorded using eye-tracking technology.
The methodology of eye tracking has been gaining popularity as a method for evaluating visual attention processes by tracking eye movements during ad exposure, offering useful insights into the cognitive mechanisms driving consumer behavior []. To better understand how human visual attention works in a digital setting, it is important to consider that the perception of promotional material refers to the ad’s ability to attract attention and maintain it []. An objective measure of both attention stages is the viewers’ eye motion patterns.
The importance of eye fixations in advertising and brand memory has been confirmed through previous studies, yet little attention has been given to the long-term impact of attention on people’s cognition []. Research by Pieters et al. focused on how elements of print ads (brand, image, and text) capture and transfer consumer attention, concluding, among other findings, that expanding the text’s surface area draws more attention to this element than it simultaneously diminishes focus on the brand and image []. Enhancing visual attention by emphasizing ad elements improves brand perception and recall. Our research aims to contribute to better application of textual elements in the design of promotional materials.
Although researchers most commonly use eye tracking to measure readability, they occasionally employ comprehension testing as well. This is particularly true for studies similar to ours, which compare the impact of background or medium [,,]. According to Možina et al. [], the results of reading speed demonstrated the significant impact of paper characteristics. In the context of text comprehension across different media (screen versus paper), Schwabe’s research [] was conducted as a meta-analytical study, focusing on the collection and analysis of texts used in the included studies, which primarily consisted of narrative texts. Reading comprehension was assessed using various types of tests, including open-ended questions, multiple choice questions, and retelling (content reproduction). In the study conducted by Singer and Alexander [], the participants read four texts (two digital and two printed) in a balanced order. After reading each text, they answered comprehension questions in the same medium in which they had read the text. Therefore, our research also implemented a comprehension test, along with the eye tracking, to investigate the influence of different color combinations on various media types.
2. Materials and Methods
2.1. Stimuli Design
For the purposes of this study, a packaging for chocolate chip cookies was designed, given that this is a widely consumed product, popular regardless of age or purchasing power. The name of this fictional product was Choco Keks (a brand created specifically for this occasion). Six promotional texts of similar structure were created, with character counts ranging from 663 to 723 and word counts ranging from 99 to 114. Each text consisted of a single paragraph containing 14 lines. The dimensions of the textual area were 681 × 457 px. The dimensions of the textual area on the printed stimuli were 11.3 × 7.5 cm. The texts included information about ingredients, such as vitamin content, a specific type of chocolate, reduced sugar content, and recommended consumption time.
For each medium, the following three different samples were used: (1) a sample with an achromatic (black) text on an achromatic (gray) background—AA; (2) a sample with an achromatic (black) text on a chromatic (green) background—AC; and (3) a sample with a chromatic (purple) text on a chromatic (green) background—CC. The black-on-gray combination was chosen to ensure a suitable contrast between two different shades of black. For the chromatic color pair, a complementary palette was selected, reflecting the common practices in advertising for a variety of products in Croatia. The achromatic–chromatic pair combined colors from the first two pairs, making sure to maintain a darker text against a lighter background. All the samples are shown in Figure 1. After reading each text, participants were presented with a question related to the content of the text, with three answer options, to verify their comprehension of the content.

Figure 1.
(a) Sample with an achromatic (black) text on an achromatic (gray) background—AA; (b) sample with an achromatic (black) text on a chromatic (green) background—AC; and (c) sample with a chromatic (purple) text on a chromatic (green) background—CC.
2.2. Participants
The Institutional Ethics Committee of the University of Zagreb, Faculty of Graphic Arts, granted us approval to conduct research involving approximately fifty adults. Before participating, the respondents were informed about the testing procedure and asked to sign a consent form for participation. The study included 52 participants, which were students and faculty members from the University of Zagreb, Faculty of Graphic Arts. The participants’ ages ranged from 18 to 45 years (M = 23.23, SD = 6.24). All of them had normal or corrected-to-normal vision and reported no neurological impairments. Informed consent was obtained from all participants prior to the study.
2.3. Equipment
The experiment was conducted in a controlled, quiet laboratory at the University of Zagreb, Faculty of Graphic Arts, with an environment carefully designed to minimize distractions, reduce background noise, and focus participants’ attention by eliminating distinct light sources and positioning test materials directly in front of them. For reading on screen, the Tobii Eye Tracker X60 (Tobii Technology, Stockholm, Sweden) was used to collect data, operating at a sampling rate of 60 Hz with an accuracy of 0.5 degrees. The device was used to measure the time that the participants spent reading, with the measurements specifically targeting the textual area defined as the area of interest (AOI). Three promotional texts, as well as three multiple choice questions after each text, were presented on a computer monitor (model LEN L1900pA, Lenovo, Morrisville, NC, USA) with a screen resolution of 1280 × 1024 pixels. The Tobii Studio 3.2.1 software was utilized for the presentation of stimuli.
For reading on paper, the colors used in the text and background combinations (black, gray, green, and purple) were measured in accordance with the CIELAB color space. The samples were printed using a digital printing press, Minolta AccurioPrint C3070L, on Kunstdruck matte paper, 170 g/m2. The printed color values for L*, a*, b*, and C* were measured using an Ocean Optics USB 2000+ spectrometer under D50 illuminant and 2° standard observer conditions (values shown in Table 1) to determine the color difference that was critical for legibility.

Table 1.
Measured CIE L* a* b* values on the printed promotional material.
Reading time for the printed stimuli was measured under standard lighting conditions using the Macbeth Judge II light booth (X-Rite, Grand Rapids, MI, USA), with an X-Rite D50 light source to ensure consistent lighting for all participants. According to the ISO 3664:2009 standard [], it typically takes a few minutes for an observer to visually adapt to a new light source in a viewing booth, ensuring accurate color perception under controlled lighting conditions. The stimuli were positioned at an angle of approximately 45° within the light booth.
CIEDE2000 [] is a modern color difference formula developed by the International Commission on Illumination (CIE) to improve accuracy in color difference assessment compared to previous formulas like CIE76 []. It uses parameters such as hue, chroma, and lightness to more precisely determine how different two colors are. When used to measure the color difference between text and background, CIEDE2000 provides valuable insights into how visually distinct the colors are. Jimenez et al. [] noted that for optimal accessibility, a noticeable color difference is recommended, as higher contrast improves text clarity, even for users with impaired vision or color perception difficulties. As the CIEDE2000 value increases, the contrast becomes more pronounced, enhancing the text’s visibility.
2.4. Procedure
Each participant completed the experiment individually after being briefed on the procedure and providing informed consent. The experiment was divided into the following two parts: an eye-tracking segment (for reading on screen) and a segment with printed samples (for reading on paper). To minimize order effects, participants alternated between starting with one or the other part of the experiment.
In the eye-tracking segment, the participants were seated at a distance of 60 cm (±1 cm) from the screen. The procedure began after a successful five-point calibration. Participants were presented with three different promotional texts—a sample with an achromatic (black) text on an achromatic (gray) background (AA); a sample with an achromatic (black) text on a chromatic (green) background (AC); and a sample with a chromatic (purple) text on a chromatic (green) background (CC)—each followed by a multiple choice question (out of the three answers offered, only one was correct). Responses were selected by clicking on the screen, which advanced the participants to the next text. Reading time was not limited. The participants moved to the next slide at their own pace by clicking on the screen.
Following the completion of the eye-tracking segment, the participants proceeded to a separate room equipped with a viewing booth (Macbeth Judge II). After adjusting to the lighting conditions, they were provided with three printed promotional text samples to read silently. The viewing distance was approximately 60 cm from the sample. Reading time was measured using a stopwatch. Upon completing each sample, participants were presented with a sheet containing one question and three answer options. Their response was recorded before proceeding to the next sample. The order of the samples was also varied with each new initiation of the experiment.
3. Results
3.1. Variables
Two independent variables and two dependent variables were examined in this study. Independent variables were color combination and medium. Color combination included the following three levels: black text on grey background (AA), black text on green background (AC), and purple text on green background (CC). Medium consisted of two levels (i.e., digital versus print).
Dependent variables were reading time and comprehension score. The comprehension scores were calculated based on the number of correct answers. The reading time was calculated in seconds. The reading time of each participant for each text was divided by the number of characters in that text. Following the calculation of the average reading time per character, we multiplied each result by 600 to estimate the reading time for a standardized text length of 600 characters.
3.2. Reading Time
A two-way repeated measure ANOVA was conducted to investigate the effects of color combination and medium on the reading time. All participants were exposed to each condition, enabling the assessment of both main effects and the interaction between color combination and medium on reading time.
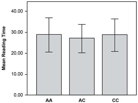
The analysis revealed a significant main effect of color combination on the dependent variable (F(2, 102) = 4.65, p < 0.05), indicating that different color combinations had a significant influence on the participants’ reading time (Figure 2). To further investigate these differences, pairwise comparisons were conducted using paired t-tests, while applying a Bonferroni correction to adjust for multiple comparisons, yielding a p-value of 0.017. Table 2 presents the results of the post hoc analyses. The results indicated a significant difference in reading time between AA (M = 28.83, SD = 8.20) and AC (M = 27.13, SD = 6.74), as well as between AC (M = 27.13, SD = 6.74) and CC (M = 28.76, SD = 7.69). However, no statistically significant difference was found between AA and CC, suggesting that these two color combinations resulted in similar outcomes in terms of reading time. Figure 3 shows these results.

Figure 2.
Effect of color combinations on mean reading time.

Table 2.
Results of paired samples’ t-Test.

Figure 3.
Mean reading time with standard deviations across three color combinations.
In contrast to the effect of color, there was no significant main effect of the medium on the dependent variable (F(1, 51) = 0.45, p = 0.51), suggesting that both the digital (M = 28.46, SD = 7.86) and print (M = 28.02, SD = 7.32) presentation modes resulted in similar reading time. Furthermore, the analysis showed no significant interaction effect between color combination and medium (F(2, 102) = 0.14, p = 0.87). This lack of interaction indicates that the reading time remained consistent across the print and digital mediums, unaffected by the changes in color combination.
3.3. Comprehension
A binary logistic regression was conducted to investigate the effects of color combination and medium on the probability of a correct response. The model included both the main and interaction effects.
The analysis showed that none of the predictors were statistically significant. Specifically, the medium did not have a significant effect on the likelihood of a correct response (B = 0.31, SE = 0.79, Wald χ2 = 0.15, p = 0.69). Similarly, the main effect of the color combination was not significant (B = 0.31, SE = 0.79, Wald χ2 = 0.15, p = 0.69). Lastly, the interaction between the medium and the color combination was also not significant (B = 0.83, SE = 1.41, Wald χ2 = 0.34, p = 0.56). Figure 4 illustrates that the accuracy of responses is consistent across the different conditions.

Figure 4.
Comprehension score across conditions.
4. Discussion
The primary goal of this research was to explore the effects of different color combinations and medium types on participants’ cognitive outcomes. We compared achromatic (black on gray), achromatic–chromatic (black on green), and chromatic (purple on green) color pairs across digital and print mediums, measuring their impact on reading time and participants’ comprehension score.
Variations in our color combinations were found to affect text legibility, which supports our first hypothesis H1. The analysis revealed a significant difference in one color combination compared to the other two. Specifically, the participants took less time to read black text on green background than the same text on gray background. The reading time was shorter compared to the purple text on green background as well. These findings indicate that a combination of achromatic and chromatic colors may be a more effective choice, at least when the goal is to reduce reading time. This conclusion applies specifically to the color hues examined in this study. In the context of product promotion, reduced reading time may create the possibility for additional time to view the product itself or to read other information which would be relevant for making an informed and thoughtful purchase decision. Previous studies have also demonstrated the effectiveness of the achromatic–chromatic combination. Humar at al. [] noted that color combinations with black text were more effective than those with white text when paired with other background colors. Lewandowska et al. [] aimed to determine which color composition first captures users’ attention. The results indicated that white attracted sustained attention more strongly than other colors, regardless of the background color, while yellow and black could also be considered effective for this purpose. Franken et al. [] observed that red text on a white or light grey background provided the fastest reading speed. According to Greco et al., the highest legibility among dark text on light background combinations was achieved with black or blue text []. In their study, Li et al. [] examined the effects of color combinations on legibility and aesthetic perception within popular negative polarity interface designs. Interestingly, the results indicated that background color did not have a significant effect, while higher brightness contrast led to increased legibility. In the context of contrast calculations between the text and background in our study, the CIEDE2000 values for the selected combinations showed a significant contrast, indicating excellent visibility. Specifically, the AC combination with a value of 33.67 indicated a strong contrast, ensuring good discriminability even for users with impaired vision. It appears that an optimal level of contrast positively impacted the reading performance among our participants.
Our results show that there was no difference in reading time between achromatic (black on gray) and chromatic (purple on green) color combination. This may indicate that promotional texts with monochromatic or overly vivid designs might not be ideal for enhanced legibility. While it was not found to be the optimal choice for text color combinations in our study, it is worth noting that its use may be desirable in other applications. Although complementary colors are vibrant, their balance creates natural harmony. This balance attracts the eye and conveys a sense of completeness, which can enhance the overall impression of a brand or product [].
It is important to consider that color perception is not only determined by lightness, chroma, and hue but also by the distance and angle from which the color is viewed, the type and intensity of surrounding light, as well as the occurrence of other colors in the surrounding context and broader environment [,,].
Unlike the effect of color hue combination, the medium had no impact on the participants’ performances. This finding therefore does not support our second hypothesis H2. Kamandhari et al. [] highlighted that the absence of standardized definitions and measurement units in many of the previous studies on legibility and reading ease complicates the comparison of results across various media, such as print and digital formats. They suggested that clearly defining these typographic and substrate characteristics enables more reliable comparisons, especially when studying the impact of these factors on legibility and cognitive outcomes across different media. The impact of media is certainly evident in printed and digital textbooks. Ivić [] investigated the comparison between printed and digital textbooks, focusing on their influence on learning processes, comprehension, and the cognitive effects they induce. He concluded that digital textbooks could present challenges in promoting long-term retention and deep understanding, primarily due to the nature of digital media, which can disrupt the linear progression of thought. Latini et al.’s study explored how reading and comprehension of illustrated text vary between print and digital formats []. Reading time was controlled and limited to five minutes. However, reading time was not measured as a dependent variable but rather set as a constraint, focusing instead on cognitive integration and comprehension as the main outcome variables. It was shown that participants who read from paper demonstrated more integrative processing of text and image-based information. The meta-analysis conducted by Kong et al. [] showed that reading on paper is better than reading on a screen in terms of reading comprehension, while there were no significant differences between the mediums regarding reading speed. This could be explained by the fact that reading longer texts on a screen may lead to faster eye fatigue and reduced concentration, whereas paper, as a more stable visual format, allows for better maintenance of focus during extended reading. The results of a study [] aimed at assessing differences in the comprehension of comic books read in digital and print formats showed that reading on paper has a significant advantage over screen reading in terms of reading time. Screen readers were slower in switching between areas of interest compared to the print format, further supporting the belief in slower comprehension of text read on a screen. Although some studies have proposed that digital media may reduce the comprehension of text, a meta-analysis by Schwabe et al. [] examined the impact of a screen as the reading medium on the comprehension of narrative texts and revealed results similar to those in our study. Their analysis found no significant difference in reading comprehension between digital and print media for narrative texts, suggesting that the medium (screen vs. paper) does not substantially affect comprehension in this context. In the study by Delgado and Salmerón [], participants achieved similar results across all reading processes, independent of the medium or the timeframe for reading. These findings are consistent with the previous research [] indicating that there were no differences between mediums in identifying the core message of the text.
In our study, the comprehension score measured through the percentage of correct answers given by the participants remained unaffected by both factors—medium and color combinations. This is consistent with the study by Jeong and Gweon [], who found that performances measured through reading time and comprehension remained consistent across print, computer, and tablet media. Also, the study by Li et al. [] found that higher brightness contrast improved text legibility, while the background color itself did not have a significant effect on participants’ subjective preferences for aesthetics and reading comfort. In Možina’s study [], the high comprehension score of the text was not compromised even when it was overprinted with Braille characters. In another one of her studies, it was demonstrated that the type of paper affects the number of correct responses [].
Our results are encouraging for graphic designers interested in applying a diverse range of color palettes aligned with their design vision, without being hindered by the risk that black–gray or purple–green color pairs might decrease the comprehension of the text intended for product promotion. This appears accurate at least with respect to the color hues examined in this study.
5. Conclusions
In our study, the combination of achromatic text on a chromatic background emerged as the most effective combination for enhancing the legibility of promotional text. This suggests that when the primary goal is to maximize reading efficiency, this particular pairing has the potential to provide an advantage. This can serve as a valuable guideline for designers when creating promotional materials for environments with limited reading time. In brochures, where space is constrained, designs that enable quick reading ensure that relevant information is visible and engaging. In busy settings like trade fairs or digital ads, effective color combinations reduce cognitive effort, making messages easier to process. However, if the aim is instead to ensure a clear comprehension of the promotional text, the color combination has a less critical role. In such cases, designers have the flexibility to choose from any of the color pairings tested in our study, as the comprehension levels remained consistent across these variations. This may be particularly effective when the chosen colors align with the visual identity of the product, enhancing brand recognition and consistency. The lack of interaction effects in our study suggests that the participants’ responses were unaffected by the choice of medium, given that their reading performances were consistent across both print and digital presentation of promotional text.
This study has certain limitations. First, the participants were mostly students, with a small number of faculty members from the Faculty of Graphic Arts. Future research should include a larger and more diverse sample of participants from different cultural and educational contexts to enhance the applicability of the results. Second, our guidelines for designers apply only to specific color combinations, and future research should expand the range of colors, and their combinations tested for legibility. Third, given that some studies indicate differences in text legibility within digital media [], our future research could also focus on comparing legibility across paper, computer, tablet, and mobile device. Nevertheless, our research provides insight into the potential effectiveness of combining achromatic and chromatic colors, particularly when the goal is to reduce the time required for reading. In the context of product promotion, reduced reading time could allow consumers additional time to focus on the product itself or to review other relevant information necessary for making informed and thoughtful purchase decisions. In future studies, alongside exploring color combinations, it would be valuable to investigate other elements of promotional text, such as the type and size of typography, to further optimize the reading experience.
Author Contributions
Conceptualization, P.B. and D.K.; methodology, P.B., D.K. and R.K.; software, D.K., R.K. and P.B.; validation, D.K., P.B. and R.K.; formal analysis, R.K.; investigation, P.B.; resources, R.K. and P.B.; data curation, D.K. and R.K.; writing—original draft preparation, P.B.; writing—review and editing, D.K. and R.K.; visualization, P.B. and D.K.; supervision, D.K.; project administration, D.K.; funding acquisition, D.K. and R.K. All authors have read and agreed to the published version of the manuscript.
Funding
The APC was funded by the University of Zagreb.
Institutional Review Board Statement
The study was conducted in accordance with the Declaration of Helsinki and approved by the Institutional Ethics Committee of University of Zagreb Faculty of Graphic Arts (date of approval: 10 October 2024).
Informed Consent Statement
Informed consent was obtained from all subjects involved in the study.
Data Availability Statement
The data presented in this study are available upon reasonable request from the corresponding author. The data are not publicly available due to privacy.
Conflicts of Interest
The authors declare no conflicts of interest.
References
- Sheedy, J.E.; Subbaram, M.V.; Zimmerman, A.B.; Hayes, J.R. Text Legibility and the Letter Superiority Effect. Hum. Factors 2005, 47, 797–815. [Google Scholar] [CrossRef] [PubMed]
- Greco, M.; Stucchi, N.; Zavagno, D.; Marino, B. On the Portability of Computer-Generated Presentations: The Effect of Text-Background Color Combinations on Text Legibility. Hum. Factors 2008, 50, 821–833. [Google Scholar] [CrossRef] [PubMed]
- Matsuura, Y.; Terada, T.; Aoki, T.; Sonoda, S.; Isoyama, N.; Tsukamoto, M. Readability and Legibility of Fonts Considering Shakiness of Head Mounted Displays. In Proceedings of the 2019 ACM International Symposium on Wearable Computers, ISWC, London, UK, 9–13 September 2019; Association for Computing Machinery: New York, NY, USA, 2019; pp. 150–159. [Google Scholar]
- Možina, K.; Bračko, S.; Kovačević, D.; Blaznik, B.; Možina, K. Legibility of Prints on Paper Made from Japanese Knotweed. Bioresources 2020, 15, 3999–4015. [Google Scholar] [CrossRef]
- Možina, K.; Kovačević, D.; Možina, K. Legibility of Sans-Serif Typeface on Different Paper Grades Made from Invasive Alien Plant Species. Appl. Sci. 2024, 14, 1281. [Google Scholar] [CrossRef]
- Možina, K.; Majnarić, I.; Kovačević, D. Do Braille Cells Influence Legibility of Texts for the Sighted? Teh. Vjesn. 2020, 27, 429–434. [Google Scholar] [CrossRef]
- Kamandhari, H.H.; Embedded Systems Services; Nigeria. The Comparability of Typographic and Substrate Characteristics as Independent Variables in Legibility and Readability Studies An Integrative Review. Inf. Medium Soc. J. Publ. Stud. 2022, 22, 17–43. [Google Scholar] [CrossRef]
- Medved, T.; Podlesek, A.; Možina, K. Influence of Letter Shape on Readers’ Emotional Experience, Reading Fluency, and Text Comprehension and Memorisation. Front. Psychol. 2023, 14, 1107839. [Google Scholar] [CrossRef] [PubMed]
- Bigelow, C. Typeface Features and Legibility Research. Vis. Res. 2019, 165, 162–172. [Google Scholar] [CrossRef] [PubMed]
- Franken, G.; Pangerc, M.; Možina, K. Impact of Typeface and Colour Combinations on LCD Display Legibility. Emerg. Sci. J. 2020, 4, 436–442. [Google Scholar] [CrossRef]
- Rusak, M.; Koszewicz, Z.; Brzozowska-Jawornicka, A. Usability of Eye Trackers as Tools for Designers of Anastylosis. J. Cult. Herit. 2024, 67, 258–269. [Google Scholar] [CrossRef]
- Chung, S.T.L.; Legge, G.E.; Pelli, D.G.; Yu, C. Visual Factors in Reading. Vis. Res. 2019, 161, 60–62. [Google Scholar] [CrossRef] [PubMed]
- Shao, J.; Yan, K.; Liu, K.; Xue, C.; Li, X. Experimental Study on Legibility of Typographic Information of Ventilator Interface. Int. J. Ind. Ergon. 2022, 87, 103249. [Google Scholar] [CrossRef]
- Chen, G.; Chen, J.; Zhao, X.; Fu, L.; Zhang, P. Cognitive Load Influences Wristwatchs Legibility and Purchase Preference: An Eye Tracking Study. Displays 2023, 77, 102375. [Google Scholar] [CrossRef]
- Lewandowska, A.; Olejnik-Krugly, A. Do Background Colors Have an Impact on Preferences and Catch the Attention of Users? Appl. Sci. 2022, 12, 225. [Google Scholar] [CrossRef]
- Sliburyte, L.; Skeryte, I. What We Know about Consumers’ Color Perception. Procedia Soc. Behav. Sci. 2014, 156, 468–472. [Google Scholar] [CrossRef]
- Kumar, R.; Joshi, R. Colour, Colour Everywhere: In Marketing Too. SCMS J. Indian Manag. 2006, 40–46. [Google Scholar]
- Humar, I.; Gradišar, M.; Turk, T. The Impact of Color Combinations on the Legibility of a Web Page Text Presented on CRT Displays. Int. J. Ind. Ergon. 2008, 38, 885–899. [Google Scholar] [CrossRef]
- Pušnik, N.; Možina, K. Tv Programme Typeface Legibility. In Proceedings of the 13th International Conference on Printing, Design and Graphic Communication, Senj, Croatia, 30 September–2 October 2009. [Google Scholar]
- Legge, G.E.; Rubin, G.S. Psychophysics of Reading. IV. Wavelength Effects in Normal and Low Vision. J. Opt. Soc. Am. A 1986, 3, 40–51. [Google Scholar] [CrossRef]
- Yeh, Y.-Y.; Lee, D.-S.; Ko, Y.-H. Color Combination and Exposure Time on Legibility and EEG Response of Icon Presented on Visual Display Terminal. Displays 2013, 34, 33–38. [Google Scholar] [CrossRef]
- Shen, Z.; Zhang, L.; Li, R.; Hou, J.; Liu, C.; Hu, W. The Effects of Color Combinations, Luminance Contrast, and Area Ratio on Icon Visual Search Performance. Displays 2021, 67, 101999. [Google Scholar] [CrossRef]
- Jiménez, R.; Redondo, B.; Molina, R.; Martínez-Domingo, M.Á.; Hernández-Andrés, J.; Vera, J. Short-Term Effects of Text-Background Color Combinations on the Dynamics of the Accommodative Response. Vision Res. 2020, 166, 33–42. [Google Scholar] [CrossRef] [PubMed]
- Grozdanovic, M.; Marjanovic, D.; Janackovic, G.L.; Djordjevic, M. The Impact of Character/Background Colour Combinations and Exposition on Character Legibility and Readability on Video Display Units. Trans. Inst. Meas. Control. 2017, 39, 1454–1465. [Google Scholar] [CrossRef]
- Shi, Y.; Zhang, Y.; Wang, T.; Li, C.; Yuan, S. The Effects of Ambient Illumination, Color Combination, Sign Height, and Observation Angle on the Legibility of Wayfinding Signs in Metro Stations. Sustainability 2020, 12, 4133. [Google Scholar] [CrossRef]
- Ming, C.; Wu, Z.; Gu, H.; Chen, C.; Zhang, Y. The Effects of Luminance Contrast and Color Combination on Icon Cognitive Performance. Color Res. Appl. 2021, 47, 498–506. [Google Scholar] [CrossRef]
- Bhattacharyya, D.; Chowdhury, B.; Chatterjee, T.; Pal, M.; Majumdar, D. Selection of Character/Background Colour Combinations for Onscreen Searching Tasks: An Eye Movement, Subjective and Performance Approach. Displays 2014, 35, 101–109. [Google Scholar] [CrossRef]
- Casado-Aranda, L.-A.; Sánchez-Fernández, J.; Ibáñez-Zapata, J.-Á. Evaluating Communication Effectiveness Through Eye Tracking: Benefits, State of the Art, and Unresolved Questions. Int. J. Bus. Commun. 2023, 60, 24–61. [Google Scholar] [CrossRef]
- Milošević, M.; Kovačević, D.; Brozović, M. The Influence of Monochromatic Illustrations on the Attention to Public Health Messages: An Eye-Tracking Study. Appl. Sci. 2024, 14, 6003. [Google Scholar] [CrossRef]
- Pieters, R.; Wedel, M. Attention Capture and Transfer in Advertising: Brand, Pictorial, and Text-Size Effects. J. Mark. 2004, 68, 36–50. [Google Scholar] [CrossRef]
- Annika Schwabe Fabienne Lind, L.K.; Boomgaarden, H.G. No Negative Effects of Reading on Screen on Comprehension of Narrative Texts Compared to Print: A Meta-Analysis. Media Psychol. 2022, 25, 779–796. [Google Scholar] [CrossRef]
- Singer, L.M.; Alexander, P.A. Reading Across Mediums: Effects of Reading Digital and Print Texts on Comprehension and Calibration. J. Exp. Educ. 2017, 85, 155–172. [Google Scholar] [CrossRef]
- ISO 3664:2009; Graphic Technology and Photography—Viewing Conditions. International Organization for Standardization: Geneva, Switzerland, 2009.
- CIE 015:2004; Colorimetry, 3rd ed. CIE Central Buerau: Vienna, Austria, 2004.
- CIE 015:2018; Colorimetry, 4th ed. CIE Central Buerau: Vienna, Austria, 2018.
- Li, Y.; Huang, Y.; Li, X.; Ma, J.; Zhang, J.; Li, J. The Influence of Brightness Combinations and Background Colour on Legibility and Subjective Preference under Negative Polarity. Ergonomics 2022, 65, 1046–1056. [Google Scholar] [CrossRef] [PubMed]
- Hornung, D. Color: A Workshop for Artists and Designers, 3rd ed.; Laurence King Publishing: London, UK, 2020. [Google Scholar]
- Elliot, A.J. Color and Psychological Functioning: A Review of Theoretical and Empirical Work. Front. Psychol. 2015, 6, 368. [Google Scholar] [CrossRef] [PubMed]
- Hunt, R.W.G.; Pointer, M. Measuring Colour, 4th ed.; Wiley: Hoboken, NJ, USA, 2011. [Google Scholar] [CrossRef]
- Fairchild, M. Seeing, Adapting to, and Reproducing the Appearance of Nature. Appl. Opt. 2014, 54, B107–B116. [Google Scholar] [CrossRef]
- Ivić, I. Printed and Digital Media: Printed and Digital Textbooks. Cent. Educ. Policy Stud. J. 2019, 9, 25–49. [Google Scholar] [CrossRef][Green Version]
- Latini, N.; Bråten, I.; Salmerón, L. Does Reading Medium Affect Processing and Integration of Textual and Pictorial Information? A Multimedia Eye-Tracking Study. Contemp. Educ. Psychol. 2020, 62, 101870. [Google Scholar] [CrossRef]
- Kong, Y.; Seo, Y.S.; Zhai, L. Comparison of Reading Performance on Screen and on Paper: A Meta-Analysis. Comput. Educ. 2018, 123, 138–149. [Google Scholar] [CrossRef]
- Kumar, R.; Dhar, D. A Think-Aloud Study: Exploring the Effects of Digital vs. Print Comics on Reading Efficiency and Comprehension. Educ. Inf. Technol. 2024, 29, 12143–12166. [Google Scholar] [CrossRef]
- Delgado, P.; Salmerón, L. Cognitive Effort in Text Processing and Reading Comprehension in Print and on Tablet: An Eye-Tracking Study. Discourse Process. 2022, 59, 237–274. [Google Scholar] [CrossRef]
- Jeong, Y.J.; Gweon, G. Advantages of Print Reading over Screen Reading: A Comparison of Visual Patterns, Reading Performance, and Reading Attitudes across Paper, Computers, and Tablets. Int. J. Hum. Comput. Interact. 2021, 37, 1674–1684. [Google Scholar] [CrossRef]
Disclaimer/Publisher’s Note: The statements, opinions and data contained in all publications are solely those of the individual author(s) and contributor(s) and not of MDPI and/or the editor(s). MDPI and/or the editor(s) disclaim responsibility for any injury to people or property resulting from any ideas, methods, instructions or products referred to in the content. |
© 2024 by the authors. Licensee MDPI, Basel, Switzerland. This article is an open access article distributed under the terms and conditions of the Creative Commons Attribution (CC BY) license (https://creativecommons.org/licenses/by/4.0/).