Research on Waterless Cosmetics in the Form of Scrub Bars Based on Natural Exfoliants
Abstract
1. Introduction
2. Materials and Methods
2.1. Materials
2.2. Formulations
2.3. Methods
2.3.1. Scanning Electron Microscopy of Exfoliating Agents
2.3.2. Texture Analysis
2.3.3. Consumer Evaluation of Sensory Appeal
2.3.4. Color Evaluation
2.3.5. Statistical Analyses
3. Results and Discussion
3.1. Scanning Electron Microscopy of Exfoliating Agents
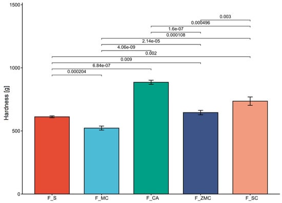
3.2. Texturometric Evaluation
3.3. Consumer Evaluation of Sensory Appeal
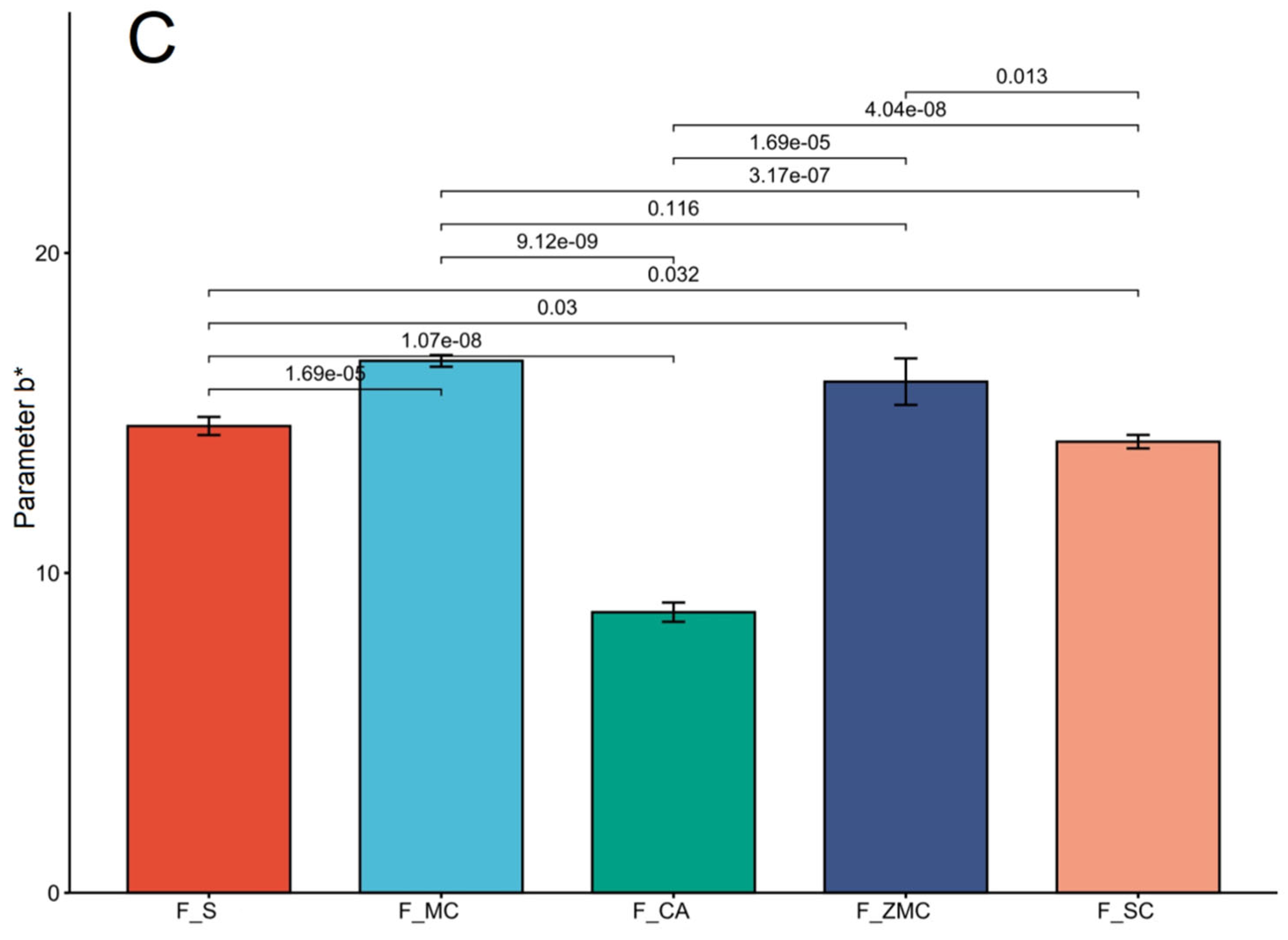
3.4. Color Evaluation of Scrub Bars
4. Conclusions
Author Contributions
Funding
Institutional Review Board Statement
Informed Consent Statement
Data Availability Statement
Acknowledgments
Conflicts of Interest
References
- Aguiar, J.B.; Martins, A.M.; Almeida, C.; Ribeiro, H.M.; Marto, J. Water sustainability: A waterless life cycle for cosmetic products. Sustain. Prod. Consum. 2022, 32, 35–51. [Google Scholar] [CrossRef]
- Eisa, H.N.; Norazlee, S.F.A.Z.; Lin, I.T.J.; Suteng, G.; Abdullah, P.S.; Azmin, S.N.H.M.; Zakaria, H. Formulating Waterless Biocarbon-Based Masker Towards Environmental Sustainability: Characterizing Its Functionality. In Proceedings of the 7th International Conference on Environment, AIP Conference Proceedings, Penang, Malaysia, 6–7 October 2021; AIP Publishing: Melville, NY, USA, 2023; Volume 1, p. 2785. [Google Scholar] [CrossRef]
- Martins, A.M.; Marto, J.M. A sustainable life cycle for cosmetics: From design and development to post-use phase. Sustain. Chem. Pharm. 2023, 35, 101178. [Google Scholar] [CrossRef]
- Qureshi, A.; Bhakay, J. A review of changing product design in cosmetic industry, a step towards water conservation. J. Manag. Res. 2020, 12, 21–27. [Google Scholar]
- Ogorzałek, M.; Klimaszewska, E.; Mirowski, M.; Kulawik-Pióro, A.; Tomasiuk, R. Natural or synthetic emollients? Physicochemical properties of body oils in relation to selected parameters of epidermal barrier function. Appl. Sci. 2024, 14, 2783. [Google Scholar] [CrossRef]
- Tataruch, K.; Kucia, M. Eco-friendly waterless cosmetics. Manag. Qual. Zarządzanie I Jakość 2022, 4, 204–218. [Google Scholar]
- Grove, G.L.; Zerweck, C.R.; Heilman, J.M.; Pyrek, J.D. Methods for evaluating changes in skin condition due to the effects of antimicrobial hand cleansers: Two studies comparing a new waterless chlorhexidine gluconate/ethanol-emollient antiseptic preparation with a conventional water-applied product. Am. J. Infect. Control. 2001, 29, 361–369. [Google Scholar] [CrossRef]
- Brito, I.; Ferreira, S.M.; Santos, L. On the path to sustainable cosmetics: Development of a value-added formulation of solid shampoo incorporating mango peel extract. Cosmetics 2023, 10, 140. [Google Scholar] [CrossRef]
- Wasilewski, T.; Zięba, M.; Klimaszewska, E.; Małysa, A.; Bocho-Janiszewska, A.; Czerwonka, D. Badania nad opracowaniem innowacyjnej maseczki kosmetycznej w formie musu. Przem. Chem. 2024, 103, 504–509. [Google Scholar] [CrossRef]
- Has, C. Peeling skin disorders: A paradigm for skin desquamation. J. Investig. Dermatol. 2018, 138, 1689–1691. [Google Scholar] [CrossRef]
- Rakhmawati, R.; Kusumaningrum, D.M.; Artanti, A.N.; Prihapsara, F.; Hadi, S. Optimization of natural body scrub formulation based on oilseed press cake of nyamplung (Calophyllum inophyllum L.) using d-optimal mixture experimental design. J. Phys. Conf. Ser. 2021, 1912, 012051. [Google Scholar] [CrossRef]
- Draelos, Z.D.; Thaman, L.A. Topical exfoliation—Clinical effects and formulating considerations. In Cosmetic Formulation of Skin Care Products; Draelos, Z.D., Thaman, L.A., Eds.; CRC Press: Boca Raton, FL, USA, 2005; pp. 261–274. [Google Scholar]
- Guzik, M.; Czerwińska-Ledwig, O.; Piotrowska, A. Compositions of abrasive cosmetics from polish manufacturers. Cosmetics 2023, 10, 67. [Google Scholar] [CrossRef]
- Kozlowska, J.; Prus, W.; Stachowiak, N. Microparticles based on natural and synthetic polymers for cosmetic applications. Int. J. Biol. Macromol. 2019, 129, 952–956. [Google Scholar] [CrossRef] [PubMed]
- Bhattacharya, P. A review on the impacts of microplastic beads used in cosmetics. Acta Biomed. Sci. 2016, 3, 47–52. [Google Scholar]
- Hernandez-Soriano, A.I.; Martínez-Salvador, C.; Alvarez-Zeferino, J.C.; Vázquez-Morillas, A.; Mesa-Jurado, M.A. Microplastics in cosmetics and personal care products. In Toxic Effects of Micro-and Nanoplastics: Environment, Food and Human Health; Inamuddin, T.A., Fernandes, V.C., Eds.; Scrivener Publishing, LLC.: Beverly, MA, USA, 2024; pp. 215–251. [Google Scholar] [CrossRef]
- Anagnosti, L.; Varvaresou, A.; Pavlou, P.; Protopapa, E.; Carayanni, V. Worldwide actions against plastic pollution from microbeads and microplastics in cosmetics focusing on European policies. Has the issue been handled effectively? Mar. Pollut. Bull. 2021, 162, 111883. [Google Scholar] [CrossRef]
- Estahbanati, S.; Upadhyaya, G.; Wells, M.J.; Bell, K.Y. Primary and secondary microplastic and nanoplastic regulations: Perspectives on water industry impacts. J. Environ. Prot. 2024, 15, 697–715. [Google Scholar] [CrossRef]
- Kukkola, A.; Chetwynd, A.J.; Krause, S.; Lynch, I. Beyond microbeads: Examining the role of cosmetics in microplastic pollution and spotlighting unanswered questions. J. Hazard. Mater. 2024, 476, 135053. [Google Scholar] [CrossRef]
- Soni, P.; Joseph, S. ECHA’s microplastics use restriction—Impact on pharmaceuticals. Pharm. Technol. 2021, 45, 40–43. [Google Scholar]
- Gonçalves, S.; Gaivão, I. Almond shells as a gel exfoliant. Our Dermatol. Online 2023, 14, 249–252. [Google Scholar] [CrossRef]
- Linares-Devia, N.; Arrieta-Escobar, J.; Baena, Y.; Orjuela, A.; Osorio, C. Development and characterization of emulsions containing ground seeds of Passiflora species as biobased exfoliating agents. Cosmetics 2022, 9, 15. [Google Scholar] [CrossRef]
- Pena, D.W.P.; Tonoli, G.H.D.; Protásio, T.d.P.; de Souza, T.M.; Ferreira, G.C.; Vale, I.D.; Ferreira, I.M.; Bufalino, L. Exfoliating agents for skincare soaps obtained from the crabwood waste bagasse, a natural abrasive from Amazonia. Waste Biomass Valor. 2021, 12, 4441–4461. [Google Scholar] [CrossRef]
- Kulawik-Pióro, A.; Klimaszewska, E.; Ogorzałek, M.; Ruman, J.; Rożnawska, K. Effectiveness of protective preparations: Impact of vegetable oil additives to recipes. Eur. J. Lipid Sci. Technol. 2020, 122, 2000130. [Google Scholar] [CrossRef]
- Prus, W.; Kozlowska, J. The influence of new polymeric microbeads in peeling products on skin condition. Mol. Cryst. Liq. Cryst. 2018, 671, 140–147. [Google Scholar] [CrossRef]
- Xing, H.; Krogmann, A.R.; Vaught, C.; Chambers, E., IV. Understanding the global sensory landscape for facial cleansing/makeup remover wipes. Cosmetics 2019, 6, 44. [Google Scholar] [CrossRef]
- R Development Core Team. A Language and Environment for Statistical Computing; R Foundation for Statistical Computing: Vienna, Austria, 2013. [Google Scholar]
- Efron, B. Bootstrap methods: Another look at the jackknife. Ann. Stat. 1979, 7, 1–26. [Google Scholar] [CrossRef]
- Russell, R.D.; Taylor, R.E. Roundness and shape of mississippi river sands. J. Geol. 1937, 45, 225–267. [Google Scholar] [CrossRef]
- Pettijohn, F.J. Sedimentary Rocks, 2nd ed.; Harper and Brothers: New York, NY, USA, 1957; Volume 94, p. 718. [Google Scholar]
- Draelos, Z.D. Astringents, masks, and ancillary skin care products. In Textbook of Cosmetic Dermatology, 5th ed.; Baran, R.R., Maibach, H.I., Eds.; CRC Press: Boca Raton, FL, USA, 2017; pp. 190–193. [Google Scholar]
- Gonçalves, J.A.B.; de Oliveira Pinheiro, G.; Diaz, F.R.V. Study of the Shape and Angularity of Abrasive Particles, Vegetable and Mineral, to be Incorporated into Solid Soap with Exfoliating Action: Kaolin, Bentonite, Rice Microspheres, Bamboo and Apricot Seed; Seven Editora: São José dos Pinhais, Brazil, 2023. [Google Scholar] [CrossRef]
- Peleg, M. The instrumental texture profile analysis revisited. J. Texture Stud. 2019, 50, 362–368. [Google Scholar] [CrossRef]
- Tai, A.; Bianchini, R.; Jachowicz, J. Texture analysis of cosmetic/pharmaceutical raw materials and formulations. Int. J. Cosmet. Sci. 2014, 36, 291–304. [Google Scholar] [CrossRef]
- Huynh, A.; Garcia, A.G.; Young, L.K.; Szoboszlai, M.; Liberatore, M.W.; Baki, G. Measurements meet perceptions: Rheology–texture–sensory relations when using green, bio-derived emollients in cosmetic emulsions. Int. J. Cosmet. Sci. 2021, 43, 11–19. [Google Scholar] [CrossRef]
- Moldovan, M.; Lahmar, A.; Bogdan, C.; Părăuan, S.; Tomuţă, I.; Crişan, M. Formulation and evaluation of a water-in-oil cream containing herbal active ingredients and ferulic acid. Clujul Med. 2017, 90, 212–219. [Google Scholar] [CrossRef]
- Sango, D.; Binder, D. Lip care product formulation strategies. In Handbook of Formulating Dermal Applications: A Definitive Practical Guide; Dayan, N., Ed.; Scrivener Publishing, LLC.: Beverly, MA, USA, 2016; pp. 511–537. [Google Scholar] [CrossRef]
- Azadbakht, M.; Monadi, T.; Esmaeili, Z.; Chabra, A.; Tavakoli, N. Formulation and evaluation of licorice shampoo in comparison with commercial shampoo. J. Pharm. Bioallied Sci. 2018, 10, 208–215. [Google Scholar] [CrossRef]
- Perifanova-Nemska, M.; Delinska, N.; Petrova, I.; Gandova, V.; Zsivanovits, G. Physical properties of soaps obtained with the participation of plum kernel oil (Prunus domestica L.). In Proceedings of the 8th International Conference on Energy Efficiency and Agricultural Engineering (EE&AE), Ruse, Bulgaria, 30 June–2 July 2022; pp. 1–5. [Google Scholar] [CrossRef]
- Baptista, S.; Pereira, J.R.; Guerreiro, B.M.; Baptista, F.; Silva, J.C.; Freitas, F. Cosmetic emulsion based on the fucose-rich polysaccharide fucopol: Bioactive properties and sensorial evaluation. Colloids Surf. B Biointerfaces 2023, 225, 113252. [Google Scholar] [CrossRef] [PubMed]
- Böger, B.R.; Lonni, A.A.S.G.; Benassi, M.D.T. Characterization and sensory evaluation of a cosmeceutical formulation for the eye area with roasted coffee oil microcapsules. Cosmetics 2023, 10, 24. [Google Scholar] [CrossRef]
- Gao, P.; Lei, T.; Jia, L.; Yury, B.; Zhang, Z.; Du, Y.; Feng, Y.; Xing, B. Bioaccessible trace metals in lip cosmetics and their health risks to female consumers. Environ. Pollut. 2018, 238, 554–561. [Google Scholar] [CrossRef] [PubMed]
- Pensé-Lhéritier, A.M. Recent developments in the sensorial assessment of cosmetic products: A review. Int. J. Cosmet. Sci. 2015, 37, 465–473. [Google Scholar] [CrossRef]
- Blaak, J.; Keller, D.; Simon, I.; Schleißinger, M.; Schürer, N.Y.; Staib, P. Consumer panel size in sensory cosmetic product evaluation: A pilot study from a statistical point of view. J. Cosmet. Dermatol. Sci. Appl. 2018, 8, 97–109. [Google Scholar] [CrossRef]
- Podkowa-Zawadzka, I.; Wasilewski, T.; Zięba, M. Zastosowanie komponentów spożywczych jako wypełniaczy w bezwodnych kosmetykach do mycia twarzy. In Innowacje w Kształtowaniu Jakości Wyrobów i Usług; Popek, M., Ed.; Uniwersytet Morski w Gdyni: Gdynia, Poland, 2020; pp. 161–175. [Google Scholar]
- Zięba, M.; Klimaszewska, E.; Ogorzałek, M.; Ruszkowska, M. The role of burdock and black radish powders obtained by low-temperature drying in emulsion-type hair conditioners. Appl. Sci. 2024, 14, 3390. [Google Scholar] [CrossRef]
- Brudzyńska, P.; Kurzawa, M.; Sionkowska, A.; Grisel, M. Antioxidant activity of plant-derived colorants for potential cosmetic application. Cosmetics 2022, 9, 81. [Google Scholar] [CrossRef]
- Brudzynska, P.; Sionkowska, A.; Grisel, M. Plant-derived colorants for food, cosmetic and textile industries: A review. Materials 2021, 14, 3484. [Google Scholar] [CrossRef]






| INCI Name | Concentration [% w/w] | ||||
|---|---|---|---|---|---|
| F_S | F_MC | F_CA | F_ZMC | F_SC | |
| Butyrospermum parkii butter | 33.0 | ||||
| Sodium palmate, sodium palm kernelate | 30.0 | ||||
| Sucrose | 20.0 | - | - | - | - |
| Microcrystalline cellulose | - | 20.0 | - | - | - |
| Coffea arabica seed powder | - | - | 20.0 | - | - |
| Zea mays (corn) cob granules | - | - | - | 20.0 | - |
| Sodium chloride | - | - | - | - | 20.0 |
| Euphorbia cerifa (candellila) wax | 10.0 | ||||
| Lanolin | 3.0 | ||||
| Glycerin | 2.0 | ||||
| Vitis vinifera (grape) seed oil | 1.0 | ||||
| Mangifera indica (mango) seed butter | 1.0 | ||||
| Conditions for Conducting Sensory Evaluation | Parameters | |||||||||||||||
|---|---|---|---|---|---|---|---|---|---|---|---|---|---|---|---|---|
| Roughness | Moisture | Greasing | Distribution | Absorption | Adhesion | Consistency /Structure | Abrasive Feeling | Hydration | Stickiness | Color | Smell | Points | Total Points | |||
| F_S | Skin before the test | 4 | 3 | 4 | - | - | - | - | - | - | - | - | - | 11/15 | 95/130 | |
| Evaluation during application | After 5 circles | - | - | - | 3 | 4 | 4 | 5 | 3 | - | - | - | - | 19/25 | ||
| After 10 circles | - | - | - | 4 | 4 | 4 | 4 | 3 | - | - | - | - | 19/25 | |||
| Sensation after using the scrub | Right away | 4 | 3 | 3 | - | - | - | - | - | - | - | - | - | 10/15 | ||
| After 5 min. | 4 | 3 | 3 | - | - | - | - | - | - | - | - | - | 10/15 | |||
| Product evaluation in the hand | 3 | - | 3 | - | - | - | 5 | - | 4 | 4 | 4 | 3 | 26/35 | |||
| F_MC | Skin before the test | 4 | 3 | 4 | - | - | - | - | - | - | - | - | - | 11/15 | 99/130 | |
| Evaluation during application | After 5 circles | - | - | - | 4 | 3 | 4 | 5 | 5 | - | - | - | - | 21/25 | ||
| After 10 circles | - | - | - | 4 | 4 | 4 | 5 | 5 | - | - | - | - | 22/25 | |||
| Sensation after using the scrub | Right away | 4 | 3 | 3 | - | - | - | - | - | - | - | - | - | 10/15 | ||
| After 5 min. | 4 | 3 | 3 | - | - | - | - | - | - | - | - | - | 10/15 | |||
| Product evaluation in the hand | 4 | - | 3 | - | - | - | 5 | - | 3 | 3 | 4 | 3 | 25/35 | |||
| F_CA | Skin before the test | 4 | 3 | 4 | - | - | - | - | - | - | - | - | - | 11/15 | 102/130 | |
| Evaluation during application | After 5 circles | - | - | - | 5 | 3 | 4 | 5 | 3 | - | - | - | - | 20/25 | ||
| After 10 circles | - | - | - | 4 | 4 | 4 | 5 | 4 | - | - | - | - | 21/25 | |||
| Sensation after using the scrub | Right away | 4 | 3 | 3 | - | - | - | - | - | - | - | - | - | 10/15 | ||
| After 5 min. | 4 | 3 | 4 | - | - | - | - | - | - | - | - | - | 11/15 | |||
| Product evaluation in the hand | 4 | - | 3 | - | - | - | 5 | - | 3 | 4 | 5 | 5 | 29/35 | |||
| F_ZMC | Skin before the test | 4 | 3 | 4 | - | - | - | - | - | - | - | - | - | 11/15 | 100/130 | |
| Evaluation during application | After 5 circles | 4 | 3 | 4 | 4 | 4 | 4 | - | - | - | - | - | - | 19/25 | ||
| After 10 circles | - | - | - | 5 | 4 | 4 | 4 | 4 | - | - | - | - | 21/25 | |||
| Sensation after using the scrub | Right away | 4 | 4 | 3 | - | - | - | - | - | - | - | - | - | 11/15 | ||
| After 5 min. | 4 | 4 | 4 | - | - | - | - | - | - | - | - | - | 12/15 | |||
| Product evaluation in the hand | 3 | - | 3 | - | - | - | 4 | - | 4 | 4 | 4 | 4 | 26/35 | |||
| F_SC | Skin before the test | 4 | 3 | 4 | - | - | - | - | - | - | - | - | - | 11/15 | 89/130 | |
| Evaluation during application | After 5 circles | - | - | - | 3 | 3 | 3 | 4 | 2 | - | - | - | - | 15/25 | ||
| After 10 circles | - | - | - | 4 | 3 | 4 | 4 | 2 | - | - | - | - | 17/25 | |||
| Sensation after using the scrub | Right away | 3 | 3 | 3 | - | - | - | - | - | - | - | - | - | 10/15 | ||
| After 5 min. | 3 | 3 | 3 | - | - | - | - | - | - | - | - | - | 10/15 | |||
| Product evaluation in the hand | 3 | - | 3 | - | - | 4 | - | 4 | 3 | 5 | 4 | 26/35 | ||||
Disclaimer/Publisher’s Note: The statements, opinions and data contained in all publications are solely those of the individual author(s) and contributor(s) and not of MDPI and/or the editor(s). MDPI and/or the editor(s) disclaim responsibility for any injury to people or property resulting from any ideas, methods, instructions or products referred to in the content. |
© 2024 by the authors. Licensee MDPI, Basel, Switzerland. This article is an open access article distributed under the terms and conditions of the Creative Commons Attribution (CC BY) license (https://creativecommons.org/licenses/by/4.0/).
Share and Cite
Ogorzałek, M.; Klimaszewska, E.; Małysa, A.; Czerwonka, D.; Tomasiuk, R. Research on Waterless Cosmetics in the Form of Scrub Bars Based on Natural Exfoliants. Appl. Sci. 2024, 14, 11329. https://doi.org/10.3390/app142311329
Ogorzałek M, Klimaszewska E, Małysa A, Czerwonka D, Tomasiuk R. Research on Waterless Cosmetics in the Form of Scrub Bars Based on Natural Exfoliants. Applied Sciences. 2024; 14(23):11329. https://doi.org/10.3390/app142311329
Chicago/Turabian StyleOgorzałek, Marta, Emilia Klimaszewska, Anna Małysa, Dominik Czerwonka, and Ryszard Tomasiuk. 2024. "Research on Waterless Cosmetics in the Form of Scrub Bars Based on Natural Exfoliants" Applied Sciences 14, no. 23: 11329. https://doi.org/10.3390/app142311329
APA StyleOgorzałek, M., Klimaszewska, E., Małysa, A., Czerwonka, D., & Tomasiuk, R. (2024). Research on Waterless Cosmetics in the Form of Scrub Bars Based on Natural Exfoliants. Applied Sciences, 14(23), 11329. https://doi.org/10.3390/app142311329

