Abstract
Essential oils from star anise, nutmeg, clove buds, oregano, bay leaves, and lemon peel were extracted via hydrodistillation. GC-MS, UV–Vis, FTIR, and 1H NMR spectroscopy were used to identify the major compounds (trans-anethole, sabinene, eugenol, carvacrol, eucalyptol and limonene, for star anise, nutmeg, clove buds, oregano, bay leaves, and lemon peel essential oil, respectively), revealing that the spectra were dominated by the oils’ primary constituents. Antioxidant activity was assessed using DPPH and ABTS assays, demonstrating high radical scavenging ability, especially for bay leaf and oregano oils. Despite phenolic content being correlated with antioxidant activity, discrepancies were found, suggesting that non-phenolic compounds and synergism also play a role. Antibacterial evaluation showed significant activity for bay leaf and oregano oils, particularly against Klebsiella pneumoniae and Pseudomonas aeruginosa, due to phenolic and terpene compounds. The presence of trace metals in the oils, including those with antimicrobial and antioxidant properties such as Cu, and Zn, was also analyzed. The risk assessment showed that toxic metals were below harmful thresholds.
1. Introduction
Essential oils are obtained from plants usually by water or steam distillation, by mechanical process, or by dry distillation. They are complex mixtures of 20–60 volatile, lipophilic and scented compounds, but some of essential oils may contain more than 300 different compounds. Typically, two or three compounds make up the majority (20–70%), while the remaining substances are present in much smaller amounts. The main components are responsible for the biological and pharmacological properties of the essential oils, but minor components also contribute to their effectiveness [1]. The content of essential oil in plant material usually varies from 1% to 3% of the plant weight, and its quality is influenced by many factors, such as environmental factors, harvesting period, geographic location, growth stage and processing of the plant material [2,3,4]. Essential oils have diverse biological properties, including antioxidative, anti-inflammatory, antimicrobial, and antitumor activity, and for this reason, phytochemical characterization as well as biological activity investigation is an important step in the discovery of promising herbal medicines.
The analysis of an essential oil’s chemical composition is an inevitable step in quality control, with gas chromatography coupled with mass spectrometry (GC-MS) or with flame ionization detector (GC-FID) as the most widely used methods. Though they provide information on the complete essential oil composition, they have several drawbacks, from time consumption to column selection, and reference compounds [5]. New techniques are being investigated to give faster and more cost-effective approaches to essential oil characterization. Fourier-transform infrared spectroscopy (FTIR) is a widely used, non-destructive technique that enables the rapid identification of the functional groups present in the major constituents of essential oils [6]. Nuclear magnetic resonance spectroscopy (NMR) is a more powerful method that can provide additional structural information and the identification of components present in essential oils. The main advantage of FTIR and NMR is obtaining direct information on the molecular structure and functional groups of the constituents without preliminary separation [5,7]. By combining the above spectroscopic methods or by comparing the spectra of the essential oils with the spectra of the individual components, the main components can be identified.
Oxidative stress is caused by an imbalance in reactive oxygen species (ROS) and the capacity of living organisms to remove these reactive species. In some cases, endogenous antioxidants are not sufficient to neutralize ROS, which can damage cellular structures and biomolecules leading to many oxidative-stress-related diseases, such as heart disease, Alzheimer’s disease, cancer, arthritis and others [3]. There is also the growing need for antimicrobial drugs of natural origin, due to the increasing number of resistant bacteria [8]. Essential oils have been recognized to have antioxidant and antimicrobial properties, and because of their diverse compositions, are ideal candidates for investigation of new applications in food, cosmetics and the pharmaceutic industry [9].
The content of metals in essential oils is associated with plant contamination, plant species, soil composition, harvesting period, geographical origin and climate regime. Fe, Cu, Ag and Zn contribute to the biological activities of essential oils, while Pb, Hg, Cd and As can lead to toxic effects, even at low levels [10,11]. Therefore, it is extremely important to determine the levels of metals in essential oils to predict their effects on human health.
Within this research, we evaluated six essential oils: lemon (LEO, from Citrus limon (L.) Osbeck), bay leaf (BLEO from Laurus nobilis L.), clove (CEO, from Syzygium aromaticum (L.) Merr. & L.M.Perry), star anise (SAEO, from Illicium verum Hook.f.), oregano (OEO, from Origanum vulgare L.), and nutmeg (NEO, from Myristica fragrans Houtt.).
Essential oils were chosen for their wide availability and medicinal properties. They are used in cosmetic, food and pharmaceutical industries due to their antimicrobial, anticancerogenic and antioxidant activities. LEO is extracted from lemon peel and used as a fragrance in cosmetic products and in the pharmaceutical industry [12,13]. BLEO was proved to have functional and health-promoting activities [14], and CEO is recognized as a safe, non-toxic oil with a broad spectrum of pharmacological activities, from anti-inflammatory and anesthetic to antimicrobial and antioxidant activity [15]. The antibacterial, anticancer and anti-inflammatory properties of SAEO are the basis for its use in cosmetics, food products, and pharmaceuticals [16]. NEO was reported to have potential antioxidant, antimicrobial, anti-inflammatory, antiulcer, and anticancer activity, while OEO is well known for its antimicrobial and antioxidant properties [17].
The aim of this study was to extract and characterize the chemical constituents of selected essential oils by GC-MS, explore the potential of UV–Vis, FT-IR and NMR to confirm the major compounds in the complex matrix of essential oils, determine the polyphenol content and antioxidant capacity of essential oils based on DPPH and ABTS radical scavenging activity, investigate the antimicrobial activity and evaluate the metal contents in the essential oils. This study provides insight into the combination of spectroscopic techniques for providing quick, safe and reliable analysis of essential oils’ constituents for the purpose of their safe use.
By encompassing all the aspects of essential oil characterization and biological effects testing, with an emphasis on verifying their safety, we provide an insight into the full potential of these essential oils’ applications in the food, cosmetic and pharmaceutical industries.
2. Materials and Methods
Dried star anise (China), nutmeg (Grenada), clove buds (Sri Lanka) and oregano (EU), were purchased from a local store. The ripe lemon fruit and bay leaves come from Kvarner, Croatia. The lemon peel and bay leaves were cut into small pieces and dried at room temperature. The plant material, except oregano, was ground in a grinder.
2.1. Chemicals
All chemicals used are listed in Table 1. All chemicals were used without further purification.
Table 1.
List of chemicals.
2.2. Essential Oil Extraction
The essential oils were extracted from the plant materials by hydrodistillation (Clevenger apparatus). The duration of each experiment was 2 h. A total of 500 mL of water was used for each plant material. The masses of lemon peel, bay leaves, cloves, nutmeg, star anise and oregano were 20, 50, 9.65, 10.56, 9.95 and 30.2 g, respectively. After extraction, the essential oil was collected in a bottle, a small amount of anhydrous Na2SO4 was added and stored in the dark at low temperature (4 °C).
The yield (%, v/w) of the essential oil was calculated as follows:
where V is the volume of the extracted essential oil in mL and m is the mass of dry plant material used for the extraction in g.
2.3. Characterization of Essential Oils
The essential oils were characterized using gas chromatography—mass spectrometry (GC-MS), Fourier-transform infrared spectroscopy (FTIR), ultraviolet–visible spectroscopy (UV–Vis) and nuclear magnetic resonance spectroscopy (NMR).
2.3.1. Chemical Composition
The essential oil was analyzed by GC/MS on a 7890B gas chromatograph coupled to a 5977A mass detector (Agilent, Santa Clara, CA, USA), equipped with a HP-5ms capillary column (5% phenylmethylsiloxane, 30 m × 0.25 mm, film thickness 0.25 μm). The operating conditions were as follows: carrier gas, helium at a flow rate of 1.2 mL/min; the temperature program 2 min at 45 °C, then increasing to 250 °C at 4 °C/min, finally held at 250 °C for 2 min; injector temperature 240 °C; injection volume 1 μL; split ratio, 1:100. Mass spectra were recorded at 70 eV and were scanned in the range 40–400 m/z. The individual components of the essential oil were identified by comparing their retention indices with those of the literature. The retention indices were determined in relation to a homologous series of n-alkanes (C9–C23) under the same operating conditions. Further identification of the essential oil components was carried out by comparing their mass spectra either with the spectra stored in spectral data libraries or with mass spectra from the literature. The relative amounts of the essential oil components were determined by normalizing the peak area [18].
2.3.2. UV–Vis Spectrophotometry
The UV–Vis spectra of the essential oils and their main components were recorded with a Shimadzu UV-1280 UV–Vis spectrophotometer (Kyoto, Japan), in the wavelength range between 190 and 350 nm. Stock solutions of the essential oils and chemicals were prepared by dissolving 10 μL of the sample in 10 mL of methanol. The solutions were further diluted until separate peaks were formed.
2.3.3. FTIR Spectrophotometry
The FTIR spectra of the essential oils and standards (D-limonene, eucalyptol, eugenol, trans-anethole and carvacrol) were recorded with a Bruker Vertex 70 spectrometer, in FTIR-ATR mode in the wavenumber range between 4000 and 400 cm−1 (MIR). For each sample, 16 scans were acquired.
2.3.4. NMR Spectrophotometry
The NMR spectra were recorded on a Bruker Avance 600 NMR spectrometer using a C/H dual 5 mm probe and z-gradient accessories at 298K in CDCl3 and TMS as the internal standard. Proton spectra with spectral width of 12019 Hz were measured with 128 scans, FID resolution of 0.37 Hz and relaxation delay of 10 s. The assignment of the 1H signals in the NMR spectra of the main compounds of oils was confirmed by cross peaks in the 1H-1H COSY (correlation spectroscopy), 1H-13C HSQC (heteronuclear single quantum coherence) 2D spectra and 1H-13C HMBC (heteronuclear multiple bond correlation). The COSY (cosygpqf) with standard π/2 pulse sequence was measured with 2048 points in dimension F2 and 512 increments in dimension F1. The latter was subsequently zero-filled to 1024 points. The increments were obtained with 4 scans each, 16.00 ppm spectral width, and a relaxation delay of 1.0 s. The FID resolution was 4.69 Hz/point and 37.51 Hz/point in F2 and F1 dimensions, respectively. HSQC and HMBC spectra were recorded with 2048 points in the F2 dimension and 256 increments in the F1 dimension, subsequently zero-filled to 1024 points. For each increment, 32 scans were collected using a relaxation delay of 1.0 s. Spectral widths were 9615 and 36220 Hz in f2 and f1 dimensions, with corresponding resolutions of 8.78 and 212.22 Hz/point in the F2 and F1 dimensions, respectively.
2.4. Antioxidant Activity
The antioxidant activity of the essential oils was evaluated with three assays, Folin–Ciocalteu, DPPH and ABTS. The results obtained from two radical scavenging assays (ABTS and DPPH) were compared with the commercial antioxidant, BHT.
The reductive capacity of the antioxidants present in the essential oils was evaluated using a Folin–Ciocalteu method [19]. The Folin–Ciocalteu reagent (mixture of phosphomolybdic and phosphotungstic acids) was diluted by mixing 10 mL of the FC reagent with 90 mL of distilled water. The essential oils were diluted with methanol. A measure of 100 μL of the methanolic solution was mixed with 0.4 mL of distilled water and 1 mL of diluted FC reagent. After 10 min, 2 mL of a 7.5% aqueous Na2CO3 solution was added. After 1 h, the absorbance was measured at 750 nm. Gallic acid was used as a standard. Antioxidant activity, AA, was expressed as gallic acid equivalent (GAE) in mg GA/mL.
The radical scavenging ability of the essential oils was evaluated using a modified DPPH assay, according to [20]. A 0.36 mM solution of the free radical DPPH was prepared by dissolving it in methanol. A 0.1 mL sample solution (methanolic solution of the essential oil) at different concentrations, was then mixed with 0.1 mL of DPPH solution in a 96-well plate and incubated in the dark at 25 °C for 30 min. A blank sample was prepared by mixing 0.1 mL of methanol with the DPPH solution. The absorbance of each reaction mixture was measured at 517 nm.
The ABTS assay was performed according to the previously described procedure [21] with slight modifications. To generate the ABTS radical, equal volumes of aqueous ABTS solution (4.064 μg/mL) and aqueous potassium peroxydisulfate solution (0.704 μg/mL) were mixed and incubated in the dark for 14 h. After the incubation period, the absorbance of the prepared solution was adjusted to 0.7 by adding methanol at 734 nm. The reaction mixture contained 200 μL of the sample solution, in different concentrations and 3800 mL of ABTS solution. After an incubation period of 7 min (in the dark) the absorbance was measured at 734 nm. The blank sample contained 200 μL methanol and 3800 mL ABTS solution.
For both assays the inhibition was calculated as follows:
2.5. Antimicrobial Activity
The extracted compounds were evaluated for their in vitro antibacterial activity against Gram-positive bacteria, including Enterococcus faecalis and Staphylococcus aureus (ATCC 25923), as well as Gram-negative bacteria: Escherichia coli (ATCC 25925), Pseudomonas aeruginosa (ATCC 27853), and Klebsiella pneumoniae (ATCC 27736). The antibacterial testing followed the standard broth microdilution protocol, in alignment with the Clinical and Laboratory Standards Institute (CLSI) guidelines [22,23], to determine the minimum inhibitory concentration (MIC) of each compound. The assays were conducted using U-bottomed, sterile 96-well microdilution plates (Falcon 3077, Becton Dickinson Labware, New York, USA) in cation-adjusted Mueller–Hinton broth (containing Ca²⁺ and Mg²⁺; Becton Dickinson and Co., Cockeysville, MD, USA). Serial two-fold dilutions were performed to prepare compound concentrations ranging from 512 to 0.25 μg/mL. The bacterial inoculum was standardized using the direct colony suspension method, with the final concentration adjusted to 5 × 10⁵ CFU/mL, as described in CLSI document M7-A7. Following inoculation with the test compounds, the plates were incubated at 35 ± 2 °C for 16 to 20 h in ambient air. The determination of MIC was carried out using a BioSan Microplate Photometer, HiPo MPP-96. This instrument enabled precise optical density measurements to be made to quantify bacterial growth inhibition. After incubation, the absorbance was measured at 600 nm to assess bacterial proliferation in each well. The MIC was identified as the lowest concentration of the test compound that resulted in a significant reduction in absorbance, indicating no visible bacterial growth compared to the untreated control wells. All measurements were performed in duplicate to ensure accuracy and reproducibility of the results. Additionally, control experiments using known antibiotic standards were included to validate the experimental setup and the observed antibacterial effects of the test compounds.
2.6. Metal Content
The samples for elemental analysis were prepared by microwave digestion with nitric acid and hydrogen peroxide [24]. Approximately 0.30 g of essential oil was weighed into a Teflon flask and 10 mL of nitric acid and 1 mL of hydrogen peroxide were added. Each sample was run in triplicate, and one blank of nitric acid and hydrogen peroxide was used for every 10 flasks. The conditions for microwave digestion (Milestone Ethos Easy, Sorisole, Italy) are step 1: power of 600 W and heating time of 15 min to 120 °C with a holding time of 10 min. Step 2: continuous heating to 175 °C for 15 min at 600 W with a holding time of 15 min.
All elemental analyses (analysis of Al, As, Cd, Co, Cr, Cu, Hg, Mg, Mn, Na, Ni, Pb, and Zn) were performed using an inductively coupled plasma quadrupole mass spectrometer (Shimadzu ICP-MS 2030, Shimadzu, Kyoto, Japan) with continuous nebulization. The operating conditions were the use of a mini torch with nebulizer gas flowrates 0.70 L/min; auxiliary gas flowrate: 1.1 L/min; plasma gas flowrate: 10 L/min; ICP RF power: 1.2 kW; collision gas was helium with a flowrate of 6.0 mL/min. The calibration of the ICP-MS was performed with certified standards (Inorganic Ventures, Christiansburg, VA, USA). Internal standards were used to compensate for possible measurement drift (Y, Sc, Tb, Inorganic Ventures, Christiansburg, VA, USA).
3. Results and Discussion
The essential oils of star anise, nutmeg, clove buds, oregano, bay leaves and lemon peel were extracted from dried plant material by hydrodistillation. The yields (%, v/w) of the essential oils were compared with published data and the results are shown in Table 2. The lowest and highest reported yields are shown. For the essential oil from lemon peel, a slightly higher yield was obtained than reported in the literature (1.24–3%), which is probably due to the different origin. In addition, the lemon peel used in this study were not treated with pesticides. The yield of all other essential oils was within the range of the published data.
Table 2.
Yield of essential oils—experimental data compared to the published data.
3.1. Characterization of Essential Oils
3.1.1. Chemical Composition
Essential oils are complex mixtures of sometimes more than 200 components, but the main components (with the highest percentage) are responsible for the bioactivity and chemical properties of the essential oil. The extraction yield of an essential oil, as well as its composition, is influenced by many environmental and processing factors. Growth environment, harvest season, climatic conditions, genetic origin of the plants, vegetative plant phases and sapling time, extraction method and quantification techniques may have impacts on the essential oil’s composition [13,28,35]. For these reasons, the identification of essential oil components is mandatory.
The identification of the essential oils’ components was elucidated through mass spectral data, the retention time, and calculated retention indices. The obtained data were then compared to the available literature and NIST library databases. The results are presented in Table 3.
The identified components in lemon essential oil accounted for 95.92% of the total composition. The major components were limonene (67.39%), γ-terpinene (10.86%), and β-pinene (8.11%). Myrcene and α-pinene were present in percentages of 1.90 and 2.12%, while all other components were in percentages lower than 1%. Paw et al. [12] analyzed C. lemon peel from India with major components of limonene (55.40%) and neral (10.39%), while trans-verbenol was present in the intermediate concentrations (6.43%). The predominant compound in lemon essential oil from Egypt was β-pinene (31.38%), while the amount of limonene was only 14.57% [13]. Limonene (29.52%) was also dominant in lemon essential oil from Iraq, followed by β-pinene (23.89%), R-citronellal (15.10%) and thymol (9.79%) [36]. On the other hand, lemon essential oil from Italy showed a more similar content to our sample, with limonene as the highly predominant compound (64.13%) followed by β-pinene (12.59%) and γ-terpinene (10.20%) [37].
For the bay leaf essential oil, 94.54% of the components were identified. Eucalyptol was present in the highest percentage (43.48%), α-terpinyl-acetate and methyl-eugenol were represented at 9.49 and 6.10%, while linalool, α-pinene, β-pinene, and terpinene-4-ol were present in percentages of 4.30, 4.28, 3.24, and 3.10%, respectively. These findings agree with analysis of bay leaf essential oil from Spain, which was also rich in eucalyptol (50.57%) and had significant amounts of α- and β-pinene (6.81 and 2.36%), linalool (6.78%), α-terpinyl-acetate (10.25%), methyl-eugenol (2.74%) and terpinene-4-ol (2.24%) [38]. Similar results were found in bay leaf essential oil from Turkey with main components linalool (41.4%), α-pinene (5.9%) α-terpinyl-acetate (5.7%), β-pinene (4.5%), and terpinene-4-ol (1.8%) [14]. The sample from Morocco had a lower percentage of eucalyptol (36.58%), a higher percentage of α-terpinyl-acetate (15.42%), and sabinene as one of main compounds (12.08%) [4]. Clove essential oil has two predominant components—eugenol (61.44%) and β-caryophyllene (24.64%). Of the components, 99.27% were identified. Eugenol-acetate, α-humulene, α-copaene, and δ-cadinene were present in amounts higher than 1%. Other components can be considered as minor ones (linalool, chavicol, α-cubebene, γ-cadinene and caryophyllene oxide). Similar results were found in samples from Slovakia, Saudi Arabia, Brazil and Iraq, with the percentage of the main compound eugenol ranging from 59.87 to 84.63% [15,39,40,41]. Star anis oil had trans-anethol as the major compound, reaching 92.56% of total amount. Only limonene and anisaldehyde were present in amounts higher than 1%, while all other components were in percentages under 1%. The samples from China, Egypt, France, and USA showed similar chromatographic profiles, with percentages of trans-anethole varying from 77.47 to 93.39% [16,42,43,44]. Although the chromatographic profile was similar, the variability in the proportion of trans-anethole was significant. Oregano essential oil primarily consisted of carvacrol (67.20%), p-cymene (13.02%), and thymol (8.22%), with 99.29% of components identified. The literature data on the oregano essential oil differed greatly due to the essential oil chemotype. The Greek oregano was rich in carvacrol (67.98%) [9], thus belonging to the carvacrol chemotype, while oregano from Serbia was of the thymol chemotype, with 41.6% of thymol [45]. Sabinene, α- and β-pinene were major compounds of the nutmeg essential oil with 36.89, 13.20, and 11.26%. The intermediate compounds were limonene (6.20%), γ-terpinene (2.63%), terpinene-4-ol (5.16%), myristicin (2.77%), myrcene (2.26%) and α-thujene (1.83%). A total of 96.11% of compounds were identified. Samples from Romania and Serbia were also rich in sabinene (21.71–42.30%) while nutmeg essential oil from Grenada was rich in β-pinene (26.61%) [8,46,47]. The great variability in the percentages of the essential oils’ main components indicates the need for reliable, simple and fast methods for main component identification.
Table 3.
Chemical composition of essential oils obtained by GC/MS.
3.1.2. UV–Vis
The UV–Vis spectra of the investigated essential oils and their main constituents are shown in Figure 1. The UV–Vis spectra of nutmeg essential oil are consistent with previously reported spectra from the literature [56]. In the UV–Vis spectra of all essential oils examined in this study, the peaks of the main constituents predominate. The presence of additional peaks, such as the absorption maximum at 278.8 nm in the spectra of BLEO, is due to the other compounds present in the essential oil. Additional compounds in the essential oils can cause shifts in the absorption maxima.
Figure 1.
UV–Vis spectra of essential oils and their main compounds (except for the NEO).
3.1.3. FTIR Spectrophotometry
The FTIR spectra of the essential oils (LEO, BLEO, CEO, SAEO and OER) and their main compounds are shown in Figure 2, Figure 3, Figure 4, Figure 5 and Figure 6. The vibrational bands in the FTIR spectra of these essential oils predominantly reflect their main components.
Figure 2.
FTIR spectra of LEO and D-limonene.
Figure 3.
FTIR spectra of BLEO and eucalyptol.
Figure 4.
FTIR spectra of CEO and eugenol.
Figure 5.
FTIR spectra of SAEO and trans-anethole.
Figure 6.
FTIR spectra of OEO and carvacrol.
The FTIR spectra of essential oils were also compared with the previously published spectra. Characteristic peaks of D-limonene are clearly visible in the previously published FTIR spectra of LEO [57]. The small variations between the FTIR spectra of BLEO obtained in this study and those reported by Ordoudi et al. [6] may be due to differences in the main compound’s concentration. When comparing the obtained FTIR spectra of CEO with those published by Biernasiuk et al. [58], the same vibrational bands can be observed due to the similar concentrations of the main compounds (eugenol, β-caryophyllene, α-humulene and eugenol acetate). The FTIR spectra of SAEO closely resemble those published by Zhang et al. [59], particularly in relation to the high trans-anethole content (91.38%).
NEO spectra were compared with the published data [60,61,62] and are shown in Figure 7. The differences between the FTIR spectra of nutmeg essential oil can be explained by the different compositions of the essential oils investigated. Myristin-rich NEOs, for example, have completely different FTIR spectra [60]. Bands at 1650 and 864 cm−1 can be observed for sabinene-rich essential oils [61]. In addition, the vibrational bands at 2928.04, 1652.78 and 1445.94 cm−1 can also be assigned to sabinene [6]. The vibrational bands corresponding to sabinene [63] are annotated in the NEO spectrum. As can be seen, the majority of the vibrational bands in the NEO spectrum belong to sabinene.
Figure 7.
FTIR spectrum of NEO.
The variation in the chemical composition of the essential oils which are responsible for differences in the EOs’ FTIR spectra can be correlated to various factors such as geographical origin, growing conditions, plant maturity, harvest time, etc., [20,33,64]. In addition, extraction method and solvent used for extraction also affect the chemical composition of essential oils [35].
3.1.4. NMR Spectroscopy
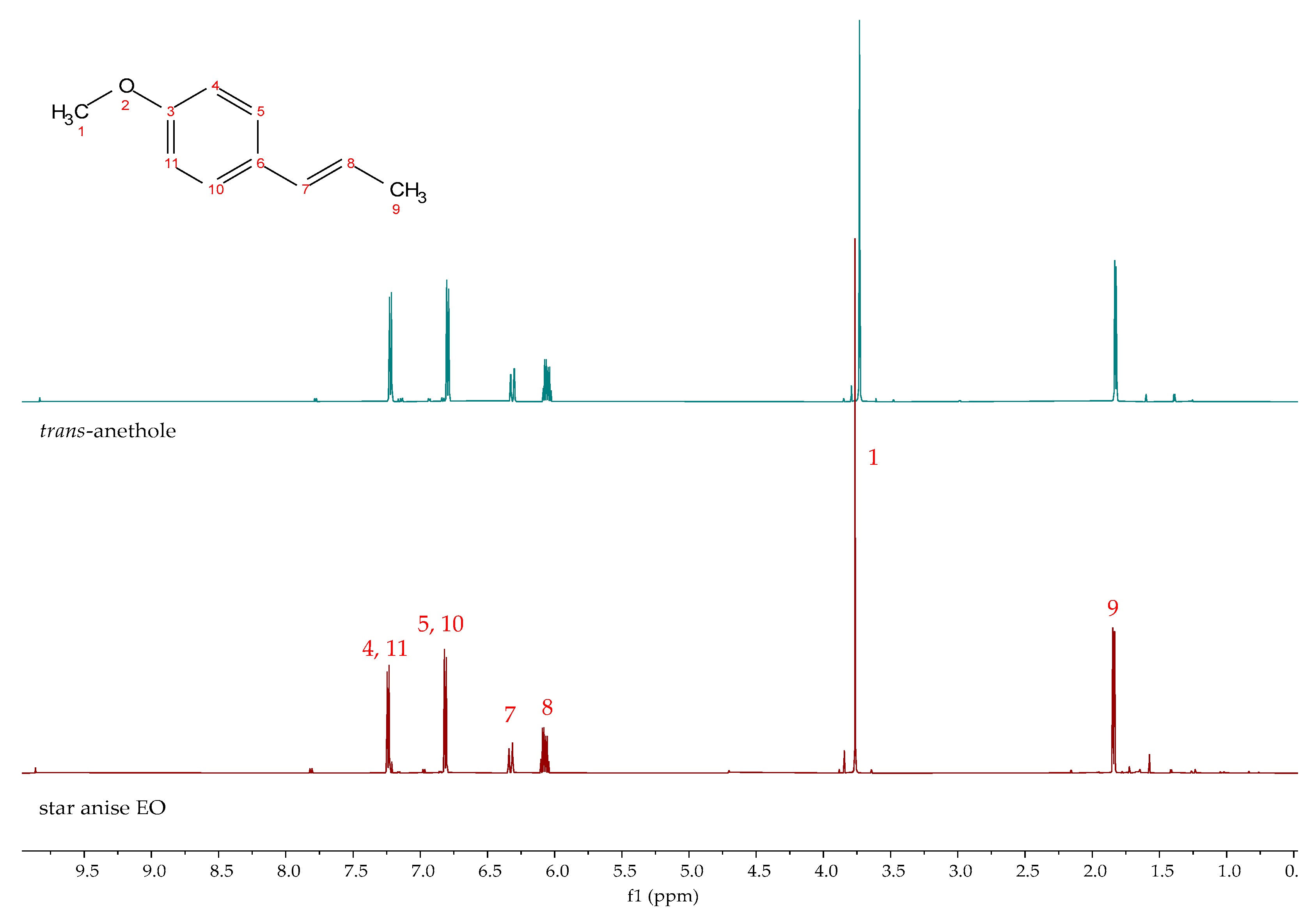
NMR spectroscopy is a powerful tool for the structural characterization of complex mixtures like essential oils, enabling the identification of key compounds [7,65]. In this work, 1H NMR spectroscopy was used to characterize different types of essential oils and their main compounds. The assignment of the main components of the essential oil samples studied was achieved by analyzing the resonances in the 1H NMR spectra and comparing them with previously published data [5,65,66,67,68] and spectra of major components. 1H NMR spectra with the assignment of the main components of the essential oils are shown in Figure 8, Figure 9, Figure 10, Figure 11, Figure 12 and Figure 13. The majority of the chemical shifts in the 1H NMR spectra of the extracted essential oils can be assigned to the main compounds. Peaks with lower intensity correspond to other components that are present in a larger proportion in the essential oils. The chemical shifts of some compounds are as follows:
Figure 8.
1H NMR spectra of LEO and D-limonene.
Figure 9.
1H NMR spectra of BLEO and eucalyptol.
Figure 10.
1H NMR spectra of CEO and eugenol.
Figure 11.
1H NMR spectra of SAEO and trans-anethole.
Figure 12.
1H NMR spectra of OEO and carvacrol.
Figure 13.
1H NMR spectrum of NEO.
- LEO:
- γ-Terpinene (1.01, 1.24, 2.60 ppm);
- β-Pinene (0.72, 1.23, 1.27, 1.50–2.50, 4.54–4.66 ppm);
- α-Pinene (0.83, 1.15, 1.50–2.50 ppm);
- Myrcene (~1.70, 4.7–5.35 ppm);
- BLEO:
- Sabinene (0.64, 0.82–0.98, 1.16, 3.33, 3.85, 4.55–4.85 ppm);
- Methyl eugenol (3.63, 3.87, 5.01–5.17, 5.94, 6.64–6.92);
- Terpinyl propionate (1.11–1.22, ~1.40, 1.60 ppm);
- CEO:
- Caryophyllene (0.98, 1.00, 1.61, 1.84–2.56, 4.82, 4.95, 5.30 ppm);
- Eugenol acetate (2.29, 3.36, 3.81 ppm);
- Humulene (1.07 ppm);
- OEO:
- p-Cymene (1.25, 2.32, 3.17, 7.11 ppm);
- Thymol (1.25, 2.26, 6.52–7.42 ppm);
- NEO:
- α-Pinene (0.84 ppm);
- β-pinene (0.72 ppm).
Due to overlapping signals in the NMR spectra, some of functional groups could not be distinctly identified. For example, most of the aliphatic groups resonated in a narrow range of the spectra and the signals could not be separated well.
3.2. Antioxidant Activity of Essential Oils
Medicinal aromatic plants, which contain essential oils, are rich sources of antioxidants with beneficial properties for human health. When the overproduction of ROS occurs, it may lead to the damage of cellular structures and biomolecules such as lipids, proteins and DNA. Essential oils are the source of numerous compounds with the potential to interfere with ROS through different molecular mechanisms. Their diverse phytochemical composition provides them with pharmacological properties that make them useful in the prevention of oxidative stress-associated diseases [3].
Since the phenolic compounds act as antioxidants, the antioxidant activity, AA, of the extracted essential oils was determined experimentally. Antioxidants reduce the anionic derivatives of phosphotungstic and phosphomolybdic acids, resulting in a visible colorimetric transition from yellow (FC reagent) to blue. The final intensity of the blue color is directly proportional to the antioxidant capacity of the essential oil. The Folin–Ciocalteu method is based on reducing the power of phenolic antioxidants and can be used as a measurement of total phenolic content, but non-phenolic reducing agents can contribute to the reduction in the FC reagent [69]. The results obtained were compared with the published data in Table 4. The AA of lemon peel, bay laurel and star anise essential oils are within the published data. Clove buds, nutmeg and oregano essential oils have a higher AA. These differences are attributed to factors such as plant origin, harvest time, extraction methods and environmental conditions.
Table 4.
Antioxidant activity of essential oils determined by F-C assay—experimental data compared to the published data.
The antioxidant activity of the essential oils was evaluated using two radical scavenging assays (DPPH and ABTS). In both assays, the antioxidants from essential oils reduce the radical (dark blue ABTS•+ and dark purple DPPH•) into colorless ABTS or yellow DPPH. The higher the amount of antioxidant in an essential oil, the higher the degree of decolorization will be achieved. The effects of essential oil concentration in the methanolic solutions on the inhibition of ABTS•+ and DPPH• radicals are shown in Figure S1 (Supplemental Data). Increasing the concentration of the essential oil concentration led to a corresponding increase in scavenging activity in both assays. The highest scavenging activities achieved for each essential oil and referent compound (BHT) are as follows:
- DPPH assay: BLEO (90.28% at 5.00 mg/mL) > BHT (90.22 at 0.31 mg/mL) > OEO (89.29% at 10.00 mg/mL) > NEO (88.17% at 40.00 mg/mL) > CEO (89.14% at 0.63 mg/mL) > SAEO (79.80% at 160.00 mg/mL) > LEO (77.64% at 160.00 mg/mL);
- ABTS assay: BHT (100% at 1.61 mg/mL) > OEO (100% at 7.37 mg/mL) > LEO (98.97% at 170.47 mg/mL) > CEO (97.4% at 0.68 mg/mL) > NEO (67.46% at 41.41 mg/mL) > BLEO (63.26% at 5.10 mg/mL) > SAEO (53.92% at 548.28 mg/mL).
The different scavenging activities observed with the DPPH and ABTS assays is due to the different affinities of ABTS•+ and DPPH• radicals towards the compounds contained in the essential oils. While both assays are used to evaluate antioxidant activity, the ABTS assay is more versatile and suitable for a wider range of compounds [79,80].
Although phenolic compounds are strong antioxidants [41,75,81], the results from this study do not fully support the correlation between results obtained by F-C assay and two radical scavenging assays. The results obtained in this study did not agree with this statement for all essential oils. This suggests that other compounds present in the essential oils influence antioxidant activity. The phenolic content is often used as an indicator of antioxidant activity, as some essential oils contain significant amounts of phenolic compounds such as thymol, carvacrol or eugenol, which show high antioxidant activity in radical scavenging assays. While essential oils with a high phenolic content often exhibit strong antioxidant activity, this is not always a direct or exclusive correlation. The overall antioxidant capacity of essential oils is influenced by several factors, including the presence of non-phenolic antioxidants (e.g., terpenes, carotenoids, vitamins, metals), synergistic effects, the structure and reactivity of the phenols, and the variability in assay methods. Therefore, essential oils with a lower phenolic content may still exhibit strong antioxidant activity. In addition, other non-phenolic reducing agents in the sample may inflate the antioxidant activity, resulting in discrepancies with the antioxidant activity measured by DPPH or ABTS assays, as the Folin–Ciocalteu reagent reacts with any reducing compound. Previous investigations have indicated that terpenes also contribute to the antioxidant potential of essential oils. Moreover, the presence of conjugated double bonds in the terpene structure (α-terpinene, farnesene, α-phellandrene, citral, ocimene) contributes to the free radical scavenging activity. Investigators also showed antioxidant synergistic and antagonistic interactions between terpenes, which can significantly affect the antioxidant potential of essential oils, regardless of the phenolic component proportion [82].
Since antioxidant activity is often expressed by IC50 values, these values were evaluated based on the dependence of radical scavenging inhibition for both assays. The results obtained were compared with the literature data and are reported in Table 5 and Table 6.
Table 5.
IC50 values of essential oils in DPPH assay—experimental data compared to the published data.
Table 6.
IC50 values of essential oils in ABTS assay—experimental data compared to the published data.
The IC50 values obtained with the ABTS assay were higher than those obtained with the DPPH assay for all essential oils except OEO. Gülçin et al. [89] also obtained a higher antioxidant activity of clove oil with the ABTS assay and explained the differences in antioxidant activity with different reaction mechanisms. It was also reported that significant differences were obtained by different methods [77]. Similar antioxidant activity is also found in the published articles [19], where high antioxidant activity was attributed to high phenolic content. The correlation between antioxidant activity determined by F-C assay and IC₅₀ values from DPPH and ABTS assays is not always clear due to differences in antioxidant mechanisms, phenolic compound structure, assay sensitivities, reaction kinetics, and the presence of non-phenolic antioxidants. While phenolic content provides an estimate of the total amount of phenolics, the actual antioxidant activity in terms of IC₅₀ values depends on the quality, type and interaction of the antioxidants present. Therefore, phenolic content alone cannot fully predict antioxidant performance in radical scavenging assays.
Comparing the most abundant constituents in the essential oils from lemon [20], bay leaf [85,86], clove buds [19,29] and nutmeg [88] with the literature data, a significant difference in composition can be observed. Since the biological activity of EO is influenced by both the primary and secondary components, variations in the IC50 values for EOs are to be expected. Due to differences in method protocols, IC50 values are also sometimes difficult to compare.
The interaction of the compounds contained in essential oils (synergistic and antagonistic effects) can influence the antioxidant activity of essential oils. Some examples are as follows:
- Destro et al. reported a significantly higher antioxidant activity from star anise essential oil and explained this with a synergistic effect between trans-anethole, limonene and estragole [76];
- Teles et al. reported a higher antioxidant activity from eugenol than from clove essential oil, indicating an antagonistic influence from some compounds in clove essential oil [29].
- The scavenging activity of thymol and carvacrol is significantly lower than that of oregano essential oil [45].
- According to Kelen and Tepe [90], α-pinene and β-pinene did not show strong antioxidant activity when tested individually.
- It has also been published that myristicin contributes to the antioxidant activity of nutmeg essential oil [56]. After separation of myristicin from nutmeg essential oil by fractional distillation, the IC50 value (DPPH assay) was increased from 3.181 ppm to 33.254 ppm.
3.3. Antimicrobial Activity of Essential Oils
The antibacterial activity of essential oils derived from lemon, laurel, clove, nutmeg, anise, and oregano was assessed in vitro against both Gram-positive bacteria, including Enterococcus faecalis and Staphylococcus aureus (ATCC 25923), and Gram-negative bacteria such as Escherichia coli (ATCC 25925), Klebsiella pneumoniae, and Pseudomonas aeruginosa (ATCC 27853). The efficacy of these essential oils was compared to that of standard antibiotics, ceftazidime (CAZ) and ciprofloxacin (CIP). Minimum inhibitory concentrations (MICs) were determined, and the results for selected oils are summarized in Table 7. The antibacterial evaluation indicated that lemon, clove, nutmeg, and anise exhibited minimal inhibitory effects on the tested Gram-positive and Gram-negative strains. In contrast, laurel and oregano demonstrated significant antibacterial activity, particularly against K. pneumoniae, P. aeruginosa, and S. aureus. Bay leaf and oregano essential oils demonstrated antimicrobial activity likely due to the presence of bioactive compounds, such as phenols, terpenes, and flavonoids, which are known for their strong antimicrobial properties. Oregano oil, for example, contains high levels of carvacrol and thymol, two phenolic compounds with potent antibacterial effects, particularly against Gram-positive and Gram-negative bacteria. These compounds disrupt bacterial cell membranes, leading to leakage of cellular contents and eventual cell death. Bay leaf oil, on the other hand, is rich in eucalyptol, which also exhibits antimicrobial activity by interfering with bacterial cell walls and inhibiting essential enzymes. The synergistic interaction of these compounds likely enhances the antibacterial efficacy of bay leaf and oregano oils.
Table 7.
Antimicrobial activities of selected compounds, lemon, laurel, clove, nutmeg, anise and oregano, against Gram-positive bacteria S aureus and E. faecalis, and Gram-negative bacteria including E. coli, K.pneumoniae and P. aeruigonsa.
The antimicrobial efficacy of essential oils can be directly attributed to their complex chemical constituents, dominated by bioactive constituents such as phenolics, terpenes, and various volatile compounds [91]. These molecules, synthesized by plants in response to biotic and abiotic stressors, often possess highly specific biochemical activities, making them potent antimicrobial agents. Each constituent may employ a unique mode of action within bacterial cells, allowing essential oils to target bacteria via diverse and often complementary mechanisms. The primary mode of action is generally linked to membrane destabilization. Essential oils, due to their lipophilic nature, integrate readily into bacterial membranes, where they disrupt membrane integrity and increase permeability. This destabilization compromises membrane functions crucial to cell viability, such as nutrient uptake, energy transduction, and waste efflux, and is particularly effective because essential oils can permeate both the outer envelope and the cytoplasmic membrane. The resultant increase in membrane permeability typically leads to leakage of vital ions and intracellular metabolites, which can trigger osmotic imbalances and cellular stress responses that bacteria cannot sustain [92]. On a molecular level, essential oils are known to disrupt membrane potential, inhibit proton motive force, and deplete ATP reserves. This energy depletion severely impacts bacteria’s ability to maintain homeostasis. For instance, in studies by Cox et al. [93], tea tree oil was shown to effectively compromise Staphylococcus aureus and Escherichia coli by inducing potassium ion leakage, which directly impacted cellular respiration. Essential oils also interfere with membrane lipid organization, often disturbing the phospholipid bilayer and polysaccharide matrix. This action may lead to the coagulation of intracellular materials, further compromising cellular structure and function. Importantly, the structural composition of the target bacteria influences their susceptibility. Gram-positive and Gram-negative bacteria, with differences in cell wall thickness and outer membrane structure, display varying sensitivities to essential oils [94]. Gram-negative bacteria, with an additional outer membrane, often present a greater barrier to hydrophobic agents. However, certain essential oils can penetrate this layer, demonstrating broad-spectrum activity.
In contrast, the other essential oils, such as lemon, clove, nutmeg, and anise, contain fewer or less concentrated antimicrobial components. While they may possess some minor antibacterial properties, the concentration of active substances like citral (lemon), eugenol (clove), and anethole (anise) might not be sufficient to produce a strong inhibitory effect on the tested bacterial strains, especially when compared to the potent compounds found in oregano and laurel oils [95,96,97,98,99,100].
3.4. Metal Content
The presence of metals in essential oils is influenced by various factors such as plant species, climatic conditions, soil composition, age of the plant, harvesting period, and geographical origin. The primary source of these metals is the soil, which the plants absorb through their root system [101]. According to the literature, elements such as Fe, Cu, Ag, and Zn are associated with antimicrobial, antioxidant, and other beneficial biological activities [102]. The mechanism of antimicrobial action of these ions can destroy the cell walls and membranes of microbes, leading to leakage of cell contents and eventual cell death. They can also generate reactive oxygen species in microbial cells, further damaging cell structures, proteins and DNA. Antioxidant mechanisms such as antioxidants play a role in reducing oxidative stress in human cells by supporting enzymes such as superoxide dismutase that neutralize harmful free radicals. This helps to protect cellular components from oxidative damage and maintain cellular health. In summary, they support immune defense through their antimicrobial action and help control oxidative damage, which promotes overall cellular resilience [103]. Conversely, elements such as As, Cd, Pb, and Hg are known to have toxic effects, even at relatively low concentrations [11].
The general principles of chemical risk assessment came out of four steps: hazard identification, hazard characterization, exposure assessment, risk characterization, and toxicokinetic and toxicity aspects [104]. The potential health risks associated with these elements have been evaluated using the methodology proposed by the US-EPA [105]. The non-carcinogenic risk was estimated based on the target hazard quotients (THQs), calculated using the formula THQ = CDI/RfD, where CDI represents the chronic daily intake and RfD represents the chronic reference dose for each heavy metal. The RfDs are as follows: 1000 (Al), 3 (CrVI), 140 (Mn), 43 (Co), 20 (Ni), 40 (Cu), 300 (Zn), 0.304 (As), 1 (Cd), 0.571 (Hg), and 3.57 (Pb) µg/kg body weight/day [10]. On the other hand, Mg and Na in these quantities and concentrations are not toxic and only have positive effects on human health.
The content of metals in the essential oils is shown in Table 8.
Table 8.
Metal content in essential oils.
The RfD indicates the level of exposure at which harm is unlikely, with lower RfDs reflecting higher toxicity. The results show that elements with greater toxicity (lower RfD) typically have concentrations below 1.00 mg/kg, while elements with potential antioxidant properties, such as Cu, Zn, and Al, are found at higher concentrations (above 10 mg/kg) in the selected essential oils. Other trace elements are also present in very low concentrations in the essential oils.
Several metals and their compounds are known to possess both antimicrobial and antioxidant activities [106,107,108]. These metals play a crucial role in biomedical applications, food preservation, and environmental protection due to their ability to fight pathogens and neutralize oxidative stress. Some metals can contribute to the radical scavenging activity in assays like DPPH and ABTS. Their role depends on factors such as the form of the metal (nanoparticles or ions), their concentration, the interaction with the essential oil components and the stability of the metals in the oil. The combination of the activity of the metals with the natural antioxidants present in the essential oil could lead to an enhanced free radical scavenger due to synergistic effects.
4. Conclusions
This study demonstrates the potent antioxidant and antibacterial properties of essential oils, particularly from bay laurel and oregano. These oils exhibited high radical scavenging activity in DPPH and ABTS assays due to their rich phenolic and terpene contents, such as thymol, carvacrol, and eucalyptol. While phenolic content often correlates with antioxidant activity, the results revealed that non-phenolic compounds and synergistic interactions between oil constituents also contribute significantly to this activity, explaining why some oils with lower phenolic content still showed strong scavenging ability.
Bay leaf and oregano oils also demonstrated notable antibacterial effects against Klebsiella pneumoniae, Pseudomonas aeruginosa, and Staphylococcus aureus, likely due to the presence of bioactive compounds that disrupt bacterial cell membranes. In contrast, essential oils from lemon, clove, nutmeg, and star anise showed minimal antibacterial effects, possibly due to lower concentrations of antimicrobial compounds.
The analysis of metal content in the oils revealed that beneficial metals like Cu, and Zn were present in safe concentrations, while toxic metals were found at negligible levels, ensuring the oils’ safety for potential applications. Overall, the study supports the use of these essential oils as natural antimicrobial and antioxidant agents in various fields.
UV–Vis, FTIR, and 1H-NMR were proved to be valuable methods for main component detection in essential oils. Characterizing essential oils with UV–Vis, FTIR, GC-MS, and 1H NMR provides a comprehensive understanding of their composition and properties, with each method offering unique advantages. By combining these methods, researchers can obtain a comprehensive and multidimensional analysis that ensures a thorough understanding of both the chemical composition and functional properties of the essential oil. Each method complements the others and provides insights into different aspects of the oil profile.
Six essential oils were evaluated in this study, each containing several main compounds. Each compound may contribute to the bioactivity of the essential oils, and many of them have synergistic effects. Therefore, it would be interesting for future studies to test the bioactivity of different combinations of the major components compared to the major components of each essential oil.
Supplementary Materials
The following supporting information can be downloaded at: https://www.mdpi.com/article/10.3390/app142311094/s1, Figure S1: Influence of essential oil concentration on the antioxidant activity determined by DPPH and ABTS assays.
Author Contributions
Conceptualization, A.S.; methodology, A.S., A.P. and M.B.Š.; formal analysis, A.S., M.B.Š., M.C. and J.P.V.; investigation, A.S., A.R., A.P., M.B.Š., D.K.G., M.C. and J.P.V.; resources, A.S., M.B.Š., D.K.G., M.C. and J.P.V.; writing—original draft preparation, A.S., M.B.Š., D.K.G., M.C. and J.P.V.; writing—review and editing, A.S. and M.B.Š.; supervision, A.S. All authors have read and agreed to the published version of the manuscript.
Funding
This research received no external funding.
Data Availability Statement
The original contributions presented in the study are included in the article/Supplementary Material, further inquiries can be directed to the corresponding authors.
Conflicts of Interest
The authors declare no conflicts of interest.
References
- De Sousa, D.P.; Damasceno, R.O.S.; Amorati, R.; Elshabrawy, H.A.; De Castro, R.D.; Bezerra, D.P.; Nunes, V.R.V.; Gomes, R.C.; Lima, T.C. Essential Oils: Chemistry and Pharmacological Activities. Biomolecules 2023, 13, 1144. [Google Scholar] [CrossRef]
- Řebíčková, K.; Bajer, T.; Šilha, D.; Ventura, K.; Bajerová, P. Comparison of Chemical Composition and Biological Properties of Essential Oils Obtained by Hydrodistillation and Steam Distillation of Laurus nobilis L. Plant Foods Hum. Nutr. 2020, 75, 495–504. [Google Scholar] [CrossRef]
- Fantasma, F.; Samukha, V.; Aliberti, M.; Colarusso, E.; Chini, M.G.; Saviano, G.; De Felice, V.; Lauro, G.; Casapullo, A.; Bifulco, G.; et al. Essential Oils of Laurus nobilis L.: From Chemical Analysis to In Silico Investigation of Anti-Inflammatory Activity by Soluble Epoxide Hydrolase (sEH) Inhibition. Foods 2024, 13, 2282. [Google Scholar] [CrossRef]
- Ailli, A.; Handaq, N.; Touijer, H.; Gourich, A.A.; Drioiche, A.; Zibouh, K.; Eddamsyry, B.; El Makhoukhi, F.; Mouradi, A.; Bin Jardan, Y.A.; et al. Phytochemistry and Biological Activities of Essential Oils from Six Aromatic Medicinal Plants with Cosmetic Properties. Antibiotics 2023, 12, 721. [Google Scholar] [CrossRef]
- AbouZid, S. Use of Nuclear Magnetic Resonance Spectroscopy in Analysis of Fennel Essential Oil. Nat. Prod. Sci. 2016, 22, 30. [Google Scholar] [CrossRef]
- Ordoudi, S.A.; Papapostolou, M.; Kokkini, S.; Tsimidou, M.Z. Diagnostic Potential of FT-IR Fingerprinting in Botanical Origin Evaluation of Laurus nobilis L. Essential Oil is Supported by GC-FID-MS Data. Molecules 2020, 25, 583. [Google Scholar] [CrossRef]
- Vuković, J.P.; Tišma, M. The role of NMR spectroscopy in lignocellulosic biomass characterisation: A mini review. Food Chem. Mol. Sci. 2024, 9, 100219. [Google Scholar] [CrossRef]
- Nikolic, V.; Nikolic, L.; Dinic, A.; Gajic, I.; Urosevic, M.; Stanojevic, L.; Stanojevic, J.; Danilovic, B. Chemical Composition, Antioxidant and Antimicrobial Activity of Nutmeg ( Myristica fragrans Houtt.) Seed Essential Oil. J. Essent. Oil Bear. Plants 2021, 24, 218–227. [Google Scholar] [CrossRef]
- Ganosi, E.; Barda, C.; Grafakou, M.-E.; Rallis, M.C.; Skaltsa, H. An In-Depth Stability Study of the Essential Oils from Mentha × piperita, Mentha spicata, Origanum vulgare, and Thymus vulgaris: The Impact of Thermal and Storage Conditions. Separations 2023, 10, 488. [Google Scholar] [CrossRef]
- Iordache, A.M.; Nechita, C.; Voica, C.; Roba, C.; Botoran, O.R.; Ionete, R.E. Assessing the Health Risk and the Metal Content of Thirty-Four Plant Essential Oils Using the ICP-MS Technique. Nutrients 2022, 14, 2363. [Google Scholar] [CrossRef] [PubMed]
- Fattahi, B.; Arzani, K.; Souri, M.K.; Barzegar, M. Effects of cadmium and lead on seed germination, morphological traits, and essential oil composition of sweet basil (Ocimum basilicum L.). Ind. Crops Prod. 2019, 138, 111584. [Google Scholar] [CrossRef]
- Paw, M.; Begum, T.; Gogoi, R.; Pandey, S.K.; Lal, M. Chemical Composition of Citrus limon L. Burmf Peel Essential Oil from North East India. J. Essent. Oil Bear. Plants 2020, 23, 337–344. [Google Scholar] [CrossRef]
- Ibrahim, F.M.; Mohammed, R.S.; Abdelsalam, E.; Ashour, W.E.-S.; Magalhães, D.; Pintado, M.; El Habbasha, E.S. Egyptian Citrus Essential Oils Recovered from Lemon, Orange, and Mandarin Peels: Phytochemical and Biological Value. Horticulturae 2024, 10, 180. [Google Scholar] [CrossRef]
- Tomar, O.; Akarca, G.; Gök, V.; Ramadan, M.F. Composition and Antibacterial Effects of Laurel (Laurus nobilis L.) Leaves Essential Oil. J. Essent. Oil Bear. Plants 2020, 23, 414–421. [Google Scholar] [CrossRef]
- Kačániová, M.; Galovičová, L.; Borotová, P.; Valková, V.; Ďúranová, H.; Kowalczewski, P.Ł.; Said-Al Ahl, H.A.H.; Hikal, W.M.; Vukic, M.; Savitskaya, T.; et al. Chemical Composition, In Vitro and In Situ Antimicrobial and Antibiofilm Activities of Syzygium aromaticum (Clove) Essential Oil. Plants 2021, 10, 2185. [Google Scholar] [CrossRef]
- Chai, X.; Huang, X.; Zhang, T.; Wu, K.; Duan, X.; Yu, H.; Liu, X. Comparative Study of E-Nose, GC-MS, and GC-IMS to Distinguish Star Anise Essential Oil Extracted Using Different Extraction Methods. Separations 2023, 10, 256. [Google Scholar] [CrossRef]
- Kulisic, T.; Radonic, A.; Katalinic, V.; Milos, M. Use of different methods for testing antioxidative activity of oregano essential oil. Food Chem. 2004, 85, 633–640. [Google Scholar] [CrossRef]
- Tschiggerl, C. Investigation of the Volatile Fraction of Rosemary Infusion Extracts. Sci. Pharm. 2010, 78, 483–492. [Google Scholar] [CrossRef]
- Vasile, C.; Sivertsvik, M.; Miteluţ, A.; Brebu, M.; Stoleru, E.; Rosnes, J.; Tănase, E.; Khan, W.; Pamfil, D.; Cornea, C.; et al. Comparative Analysis of the Composition and Active Property Evaluation of Certain Essential Oils to Assess their Potential Applications in Active Food Packaging. Materials 2017, 10, 45. [Google Scholar] [CrossRef]
- Li, Y.; Liu, S.; Zhao, C.; Zhang, Z.; Nie, D.; Tang, W.; Li, Y. The Chemical Composition and Antibacterial and Antioxidant Activities of Five Citrus Essential Oils. Molecules 2022, 27, 7044. [Google Scholar] [CrossRef] [PubMed]
- Re, R.; Pellegrini, N.; Proteggente, A.; Pannala, A.; Yang, M.; Rice-Evans, C. Antioxidant activity applying an improved ABTS radical cation decolorization assay. Free Radic. Biol. Med. 1999, 26, 1231–1237. [Google Scholar] [CrossRef] [PubMed]
- M07ed11_sample.Pdf. Available online: https://clsi.org/media/1928/m07ed11_sample.pdf (accessed on 4 October 2024).
- Weinstein, M.P.; Patel, J.B.; Bobenchik, A.M.; Campeau, S.; Cullen, S.K.; Galas, M.F.; Gold, H.; Humphries, R.M.; Kirn, T.J.; Ii, J.S.L.; et al. Performance Standards for Antimicrobial Susceptibility Testing. Available online: https://clsi.org/media/3481/m100ed30_sample.pdf (accessed on 4 October 2024).
- Petračić, A.; Sander, A.; Cvetnić, M. A novel approach for the removal of trace elements from waste fats and oils. Sep. Sci. Technol. 2020, 55, 3487–3501. [Google Scholar] [CrossRef]
- Himed, L.; Merniz, S.; Monteagudo-Olivan, R.; Barkat, M.; Coronas, J. Antioxidant activity of the essential oil of citrus limon before and after its encapsulation in amorphous SiO2. Sci. Afr. 2019, 6, e00181. [Google Scholar] [CrossRef]
- Ben Hsouna, A.; Ben Halima, N.; Smaoui, S.; Hamdi, N. Citrus lemon essential oil: Chemical composition, antioxidant and antimicrobial activities with its preservative effect against Listeria monocytogenes inoculated in minced beef meat. Lipids Health Dis. 2017, 16, 146. [Google Scholar] [CrossRef] [PubMed]
- Caputo, L.; Nazzaro, F.; Souza, L.; Aliberti, L.; De Martino, L.; Fratianni, F.; Coppola, R.; De Feo, V. Laurus nobilis: Composition of Essential Oil and Its Biological Activities. Molecules 2017, 22, 930. [Google Scholar] [CrossRef] [PubMed]
- Fidan, H.; Stefanova, G.; Kostova, I.; Stankov, S.; Damyanova, S.; Stoyanova, A.; Zheljazkov, V.D. Chemical Composition and Antimicrobial Activity of Laurus nobilis L. Essential Oils from Bulgaria. Molecules 2019, 24, 804. [Google Scholar] [CrossRef]
- Teles, A.M.; Silva-Silva, J.V.; Fernandes, J.M.P.; Abreu-Silva, A.L.; Calabrese, K.D.S.; Mendes Filho, N.E.; Mouchrek, A.N.; Almeida-Souza, F. GC-MS Characterization of Antibacterial, Antioxidant, and Antitrypanosomal Activity of Syzygium aromaticum Essential Oil and Eugenol. Evid. Based Complement. Alternat. Med. 2021, 2021, 6663255. [Google Scholar] [CrossRef]
- Cortés-Rojas, D.F.; De Souza, C.R.F.; Oliveira, W.P. Clove (Syzygium aromaticum): A precious spice. Asian Pac. J. Trop. Biomed. 2014, 4, 90–96. [Google Scholar] [CrossRef]
- Kapoor, I.P.S.; Singh, B.; Singh, G.; De Heluani, C.S.; De Lampasona, M.P.; Catalan, C.A.N. Chemical Composition and Antioxidant Activity of Essential Oil and Oleoresins of Nutmeg (Myristica fragrans Houtt.) Fruits. Int. J. Food Prop. 2013, 16, 1059–1070. [Google Scholar] [CrossRef]
- Kazlauskaite, J.A.; Matulyte, I.; Marksa, M.; Lelesius, R.; Pavilonis, A.; Bernatoniene, J. Application of Antiviral, Antioxidant and Antibacterial Glycyrrhiza glabra L., Trifolium pratense L. Extracts and Myristica fragrans Houtt. Essential Oil in Microcapsules. Pharmaceutics 2023, 15, 464. [Google Scholar] [CrossRef]
- Nguyen, T.T.N.; Trinh, N.Y.; Le, P.K. Recovery Yield and Bioactivities Evaluation on Essential Oil and Ethanolic Extract of Star Anise (Illicium verum Hook.f.). Chem. Eng. Trans. 2021, 83, 205–210. [Google Scholar] [CrossRef]
- Endang Kusuma Intan; Ani Florida Ngete; Riskatul Jannah; Teguh Setiawan Wibowo Pharmacological Activities of Bunga lawang (Illicium verum). Indones. J. Interdiscip. Res. Sci. Technol. 2023, 1, 651–660. [CrossRef]
- Semiz, G.; Semiz, A.; Mercan-Doğan, N. Essential oil composition, total phenolic content, antioxidant and antibiofilm activities of four Origanum species from southeastern Turkey. Int. J. Food Prop. 2018, 21, 194–204. [Google Scholar] [CrossRef]
- Kaskoos, R.A. Essential Oil Analysis by GC-MS and Analgesic Activity of Lippia citriodora and Citrus limon. J. Essent. Oil Bear. Plants 2019, 22, 273–281. [Google Scholar] [CrossRef]
- Mancuso, M.; Catalfamo, M.; Laganà, P.; Rappazzo, A.C.; Raymo, V.; Zampino, D.; Zaccone, R. Screening of antimicrobial activity of citrus essential oils against pathogenic bacteria and Candida strains. Flavour Fragr. J. 2019, 34, 187–200. [Google Scholar] [CrossRef]
- Peris, I.; Blázquez, M.A. Comparative GC-MS Analysis of Bay Leaf (Laurus nobilis L.) Essential Oils in Commercial Samples. Int. J. Food Prop. 2015, 18, 757–762. [Google Scholar] [CrossRef]
- Ahamad, J. Characterization of Essential Oil Composition of Syzygium aromaticum Linn. (Clove) by GC-MS and Evaluation of its Antioxidant Activity. J. Angiother. 2023, 7, 1–5. [Google Scholar] [CrossRef]
- Uchôa Lopes, C.; Saturnino De Oliveira, J.; Holanda, V.; Rodrigues, A.; Martins Da Fonseca, C.; Galvão Rodrigues, F.; Camilo, C.; Lima, V.; Coutinho, H.; Kowalski, R.; et al. GC-MS Analysis and Hemolytic, Antipyretic and Antidiarrheal Potential of Syzygium aromaticum (Clove) Essential Oil. Separations 2020, 7, 35. [Google Scholar] [CrossRef]
- Kiki, M.J. In Vitro Antiviral Potential, Antioxidant, and Chemical Composition of Clove (Syzygium aromaticum) Essential Oil. Molecules 2023, 28, 2421. [Google Scholar] [CrossRef]
- El-Kersh, D.M.; Mostafa, N.M.; Fayez, S.; Al-Warhi, T.; Abourehab, M.A.S.; Eldehna, W.M.; Salem, M.A. GC-MS metabolites profiling of anethole-rich oils by different extraction techniques: Antioxidant, cytotoxicity and in-silico enzymes inhibitory insights. J. Enzyme Inhib. Med. Chem. 2022, 37, 1974–1986. [Google Scholar] [CrossRef]
- Noumi, E.; Ahmad, I.; Adnan, M.; Patel, H.; Merghni, A.; Haddaji, N.; Bouali, N.; Alabbosh, K.F.; Kadri, A.; Caputo, L.; et al. Illicium verum L. (Star Anise) Essential Oil: GC/MS Profile, Molecular Docking Study, In Silico ADME Profiling, Quorum Sensing, and Biofilm-Inhibiting Effect on Foodborne Bacteria. Molecules 2023, 28, 7691. [Google Scholar] [CrossRef] [PubMed]
- Murphy, B.J.; Wilson, T.M.; Ziebarth, E.A.; Bowerbank, C.R.; Carlson, R.E. Authentication of Fennel, Star Anise, and Anise Essential Oils by Gas Chromatography (GC/MS) and Stable Isotope Ratio (GC/IRMS) Analyses. Plants 2024, 13, 214. [Google Scholar] [CrossRef] [PubMed]
- Gavaric, N.; Mozina, S.S.; Kladar, N.; Bozin, B. Chemical Profile, Antioxidant and Antibacterial Activity of Thyme and Oregano Essential Oils, Thymol and Carvacrol and Their Possible Synergism. J. Essent. Oil Bear. Plants 2015, 18, 1013–1021. [Google Scholar] [CrossRef]
- Matulyte, I.; Marksa, M.; Ivanauskas, L.; Kalvėnienė, Z.; Lazauskas, R.; Bernatoniene, J. GC-MS Analysis of the Composition of the Extracts and Essential Oil from Myristica fragrans Seeds Using Magnesium Aluminometasilicate as Excipient. Molecules 2019, 24, 1062. [Google Scholar] [CrossRef]
- Trifan, A.; Zengin, G.; Korona-Glowniak, I.; Skalicka-Woźniak, K.; Luca, S.V. Essential Oils and Sustainability: In Vitro Bioactivity Screening of Myristica fragrans Houtt. Post-Distillation By-Products. Plants 2023, 12, 1741. [Google Scholar] [CrossRef]
- Jain, N.; Sharma, M. Evaluation of Citrus lemon Essential Oil for its Chemical and Biological Properties Against Fungi Causing Dermatophytic Infection in Human Beings. Anal. Chem. Lett. 2017, 7, 402–409. [Google Scholar] [CrossRef]
- Lu, Q.; Huang, N.; Peng, Y.; Zhu, C.; Pan, S. Peel oils from three Citrus species: Volatile constituents, antioxidant activities and related contributions of individual components. J. Food Sci. Technol. 2019, 56, 4492–4502. [Google Scholar] [CrossRef]
- Ovidi, E.; Laghezza Masci, V.; Zambelli, M.; Tiezzi, A.; Vitalini, S.; Garzoli, S. Laurus nobilis, Salvia sclarea and Salvia officinalis Essential Oils and Hydrolates: Evaluation of Liquid and Vapor Phase Chemical Composition and Biological Activities. Plants 2021, 10, 707. [Google Scholar] [CrossRef]
- Li, Y.; Wang, Y.; Kong, W.; Yang, S.; Luo, J.; Yang, M. Illicium verum essential oil, a potential natural fumigant in preservation of lotus seeds from fungal contamination. Food Chem. Toxicol. 2020, 141, 111347. [Google Scholar] [CrossRef]
- Simirgiotis, M.J.; Burton, D.; Parra, F.; López, J.; Muñoz, P.; Escobar, H.; Parra, C. Antioxidant and Antibacterial Capacities of Origanum vulgare L. Essential Oil from the Arid Andean Region of Chile and its Chemical Characterization by GC-MS. Metabolites 2020, 10, 414. [Google Scholar] [CrossRef]
- Bairamis, A.; Sotiropoulou, N.-S.D.; Tsadila, C.; Tarantilis, P.; Mossialos, D. Chemical Composition and Antimicrobial Activity of Essential Oils and Hydrosols from Oregano, Sage and Pennyroyal against Oral Pathogens. Appl. Sci. 2024, 14, 3238. [Google Scholar] [CrossRef]
- Yfanti, P.; Lazaridou, P.; Boti, V.; Douma, D.; Lekka, M.E. Enrichment of Olive Oils with Natural Bioactive Compounds from Aromatic and Medicinal Herbs: Phytochemical Analysis and Antioxidant Potential. Molecules 2024, 29, 1141. [Google Scholar] [CrossRef] [PubMed]
- Sun, J.; Zhao, F.; Wang, Z.; Zhang, W.; Yang, X.; Zhou, H.; Wan, P. Effect of Simmering Technology on Components and Activity of Myristica fragrans Houtt. Molecules 2023, 28, 7627. [Google Scholar] [CrossRef] [PubMed]
- Ansory, H.; Sari, E.; Nilawati, A.; Handayani, S.; Aznam, N. Sunscreen and Antioxidant Potential of Myristicin in Nutmeg Essential Oils (Myristica fragrans). In Proceedings of the 2nd Bakti Tunas Husada-Health Science International Conference (BTH-HSIC 2019), Tasikmalaya, Indonesia, 5–6 October 2019. [Google Scholar]
- Salamah, N.; Cantika, C.D.; Nurani, L.H.; Guntarti, A. Authentication of citrus peel oils from different species and commercial products using FTIR Spectroscopy combined with chemometrics. Pharmacia 2024, 71, 1–7. [Google Scholar] [CrossRef]
- Biernasiuk, A.; Baj, T.; Malm, A. Clove Essential Oil and Its Main Constituent, Eugenol, as Potential Natural Antifungals against Candida spp. Alone or in Combination with Other Antimycotics Due to Synergistic Interactions. Molecules 2022, 28, 215. [Google Scholar] [CrossRef] [PubMed]
- Zhang, G.; Yuan, C.; Sun, Y. Effect of Selective Encapsulation of Hydroxypropyl-β-cyclodextrin on Components and Antibacterial Properties of Star Anise Essential Oil. Molecules 2018, 23, 1126. [Google Scholar] [CrossRef]
- Lemnaru (Popa), G.-M.; Motelica, L.; Trusca, R.D.; Ilie, C.I.; Croitoru, A.-M.; Ficai, D.; Oprea, O.; Stoica-Guzun, A.; Ficai, A.; Ditu, L.-M.; et al. Antimicrobial Wound Dressings based on Bacterial Cellulose and Independently Loaded with Nutmeg and Fir Needle Essential Oils. Polymers 2023, 15, 3629. [Google Scholar] [CrossRef]
- Dupuy, N.; Molinet, J.; Mehl, F.; Nanlohy, F.; Le Dréau, Y.; Kister, J. Chemometric analysis of mid infrared and gas chromatography data of Indonesian nutmeg essential oils. Ind. Crops Prod. 2013, 43, 596–601. [Google Scholar] [CrossRef]
- Horison, R.; Sulaiman, F.O.; Alfredo, D.; Wardana, A.A. Physical characteristics of nanoemulsion from chitosan/nutmeg seed oil andevaluation of its coating against microbial growth on strawberry. Food Res. 2019, 3, 821–827. [Google Scholar] [CrossRef]
- Informatics, N.O. of D. and Bicyclo[3.1.0]hexane, 4-methylene-1-(1-methylethyl). Available online: https://webbook.nist.gov/cgi/cbook.cgi?ID=C3387415&Type=IR-SPEC&Index=0#IR-SPEC (accessed on 30 September 2024).
- Alfikri, F.N.; Pujiarti, R.; Wibisono, M.G.; Hardiyanto, E.B. Yield, Quality, and Antioxidant Activity of Clove (Syzygium aromaticum L.) Bud Oil at the Different Phenological Stages in Young and Mature Trees. Scientifica 2020, 2020, 9701701. [Google Scholar] [CrossRef]
- Petrovič, A.; Cenčič Predikaka, T.; Parlov Vuković, J.; Jednačak, T.; Hribernik, S.; Vohl, S.; Urbancl, D.; Tišma, M.; Čuček, L. Sustainable hydrothermal co-carbonization of residues from the vegetable oil industry and sewage sludge: Hydrochar production and liquid fraction valorisation. Energy 2024, 307, 132760. [Google Scholar] [CrossRef]
- Acosta Ortiz, R.; Sánchez Huerta, R.S.; Ledezma Pérez, A.S.; García Valdez, A.E. Synthesis of a Curing Agent Derived from Limonene and the Study of Its Performance to Polymerize a Biobased Epoxy Resin Using the Epoxy/Thiol-Ene Photopolymerization Technique. Polymers 2022, 14, 2192. [Google Scholar] [CrossRef] [PubMed]
- Mendoza-Poudereux, I.; Kutzner, E.; Huber, C.; Segura, J.; Arrillaga, I.; Eisenreich, W. Dynamics of Monoterpene Formation in Spike Lavender Plants. Metabolites 2017, 7, 65. [Google Scholar] [CrossRef] [PubMed]
- Yuan, D.; Du, J.; Xin, M.; Bai, G.; Zhang, C.; Liu, G. Influence of myoglobin on the antibacterial activity of carvacrol and the binding mechanism between the two compounds. J. Sci. Food Agric. 2024, 104, 1063–1073. [Google Scholar] [CrossRef] [PubMed]
- Munteanu, I.G.; Apetrei, C. Analytical Methods Used in Determining Antioxidant Activity: A Review. Int. J. Mol. Sci. 2021, 22, 3380. [Google Scholar] [CrossRef]
- Xi, W.; Lu, J.; Qun, J.; Jiao, B. Characterization of phenolic profile and antioxidant capacity of different fruit part from lemon (Citrus limon Burm.) cultivars. J. Food Sci. Technol. 2017, 54, 1108–1118. [Google Scholar] [CrossRef]
- Tavallali, H.; Bahmanzadegan, A.; Rowshan, V.; Tavallali, V. Essential Oil Composition, Antioxidant Activity, Phenolic Compounds, Total Phenolic and Flavonoid Contents from Pomace of Citrus aurantifolia. J. Med. Plants Prod. 2021, 10, 103–116. [Google Scholar] [CrossRef]
- Özcan, M.M.; Erel, Ö.; Herken, E.E. Antioxidant Activity, Phenolic Content, and Peroxide Value of Essential Oil and Extracts of Some Medicinal and Aromatic Plants Used as Condiments and Herbal Teas in Turkey. J. Med. Food 2009, 12, 198–202. [Google Scholar] [CrossRef]
- Taroq, A.; El Kamari, F.; Aouam, I.; El Atki, Y.; Lyoussi, B.; Abdellaoui, A. Antioxidant activities and total phenolic and flavonoid content variations of leaf extracts of Laurus nobilis L. From morocco. Asian J. Pharm. Clin. Res. 2018, 11, 540. [Google Scholar] [CrossRef]
- Zengin, H.; Baysal, A.H. Antioxidant and Antimicrobial Activities of Thyme and Clove Essential Oils and Application in Minced Beef: Essential Oils and Application in Meat. J. Food Process. Preserv. 2015, 39, 1261–1271. [Google Scholar] [CrossRef]
- Attia, M.M.; Alzahrani, A.M.; Hanna, M.I.; Salem, H.M.; Abourehab, M.A.S.; El-Saadony, M.T.; Thabit, H. The Biological Activity of Illicium verum (Star Anise) on Lernaea cyprinacea-Infested Carassius auratus (Goldfish): In Vivo Study. Life 2022, 12, 2054. [Google Scholar] [CrossRef] [PubMed]
- Destro, B.G.I.; Jorge, R.M.M.; Mathias, A.L. Maximization of essential oil antioxidant capacity via star anise hydrodistillation. Braz. J. Chem. Eng. 2019, 36, 1679–1688. [Google Scholar] [CrossRef]
- Mutlu-Ingok, A.; Catalkaya, G.; Capanoglu, E.; Karbancioglu-Guler, F. Antioxidant and antimicrobial activities of fennel, ginger, oregano and thyme essential oils. Food Front. 2021, 2, 508–518. [Google Scholar] [CrossRef]
- Vyshak, V.L.; Rahila, M.P.; Faisal, I.; Lukose, S.J.; Divya, M.P.; Sudhakaran, A.S.; Rajakumar, S.N. Extraction and characterization of essential oil of nutmeg (Myristica fragrans) fruit pericarp and utilization as a surface coating material to improve the shelf life of paneer. J. Vet. Anim. Sci. 2023, 54, 144–152. [Google Scholar] [CrossRef]
- Platzer, M.; Kiese, S.; Herfellner, T.; Schweiggert-Weisz, U.; Miesbauer, O.; Eisner, P. Common Trends and Differences in Antioxidant Activity Analysis of Phenolic Substances Using Single Electron Transfer Based Assays. Molecules 2021, 26, 1244. [Google Scholar] [CrossRef]
- Floegel, A.; Kim, D.-O.; Chung, S.-J.; Koo, S.I.; Chun, O.K. Comparison of ABTS/DPPH assays to measure antioxidant capacity in popular antioxidant-rich US foods. J. Food Compos. Anal. 2011, 24, 1043–1048. [Google Scholar] [CrossRef]
- Moosavy, M.H.; Hassanzadeh, P.; Mohammadzadeh, E.; Mahmoudi, R.; Khatibi, S.A.; Mardani, K. Antioxidant and Antimicrobial Activities of Essential Oil of Lemon (Citrus limon) Peel in Vitro and in a Food Model. J. Food Qual. Hazards Control 2017, 4, 42–48. [Google Scholar]
- Wojtunik-Kulesza, K.A.; Cieśla, Ł.M.; Waksmundzka-Hajnos, M. Approach to Determination a Structure—Antioxidant Activity Relationship of Selected Common Terpenoids Evaluated by ABTS•+ Radical Cation Assay. Nat. Prod. Commun. 2018, 13, 1934578X1801300308. [Google Scholar] [CrossRef]
- Ilic, Z.; Sunic, L.; Stanojevic, L.; Milenković, L.; Milenkovic, A.; Stanojevic, J.; Cvetkovic, D. Chemical Profiles and Antioxidant Activities of Essential Oil from Different Plant Parts of Bay Laurel (Laurus nobilis L.). 2024. [CrossRef]
- Abid, K.Y.; Abachi, F.T. Phytochemical Comparative Studies, Antioxidant and Antimicrobial of Artemisia and Star Anise. Pharmacogn. J. 2023, 15, 183–188. [Google Scholar] [CrossRef]
- Mkaddem Guedri, M.; Romdhane, M.; Lebrihi, A.; Mathieu, F.; Bouajila, J. Chemical composition and antimicrobial and antioxidant activities of Tunisian, France and Austrian Laurus nobilis (Lauraceae) essential oils. Not. Bot. Horti Agrobot. Cluj-Napoca 2020, 48, 1929–1940. [Google Scholar] [CrossRef]
- Kivrak, Ş.; Göktürk, T.; Kivrak, İ. Assessment of Volatile Oil Composition, Phenolics and Antioxidant Activity of Bay (Laurus nobilis) Leaf and Usage in Cosmetic Applications. Int. J. Second. Metab. 2017, 4, 148–161. [Google Scholar] [CrossRef]
- Deleanu, M.; Popa, E.E.; Popa, M.E. Chemical Composition and Active Properties Evaluation of Wild Oregano (Origanum Vulgare) and Ginger (Zingiber Officinale-Roscoe) Essential Oils. Rev. Chim. 2018, 69, 1927–1933. [Google Scholar] [CrossRef]
- Suthisamphat, N.; Dechayont, B.; Phuaklee, P.; Prajuabjinda, O.; Vilaichone, R.-K.; Itharat, A.; Mokmued, K.; Prommee, N. Anti-Helicobacter pylori, Anti-Inflammatory, Cytotoxic, and Antioxidant Activities of Mace Extracts from Myristica fragrans. Evid. Based Complement. Alternat. Med. 2020, 2020, 7576818. [Google Scholar] [CrossRef] [PubMed]
- Gülçin, İ.; Elmastaş, M.; Aboul-Enein, H.Y. Antioxidant activity of clove oil—A powerful antioxidant source. Arab. J. Chem. 2012, 5, 489–499. [Google Scholar] [CrossRef]
- Kelen, M.; Tepe, B. Chemical composition, antioxidant and antimicrobial properties of the essential oils of three Salvia species from Turkish flora. Bioresour. Technol. 2008, 99, 4096–4104. [Google Scholar] [CrossRef]
- Swamy, M.K.; Akhtar, M.S.; Sinniah, U.R. Antimicrobial Properties of Plant Essential Oils against Human Pathogens and Their Mode of Action: An Updated Review. Evid. Based Complement. Alternat. Med. 2016, 2016, 3012462. [Google Scholar] [CrossRef]
- Raut, J.S.; Karuppayil, S.M. A status review on the medicinal properties of essential oils. Ind. Crops Prod. 2014, 62, 250–264. [Google Scholar] [CrossRef]
- Cox; Gustafson; Mann; Markham; Liew; Hartland; Bell; Warmington; Wyllie. Tea tree oil causes K+ leakage and inhibits respiration in Escherichia coli. Lett. Appl. Microbiol. 1998, 26, 355–358. [Google Scholar] [CrossRef]
- Hammer, K.A.; Carson, C.F. Antibacterial and Antifungal Activities of Essential Oils. In Lipids and Essential Oils as Antimicrobial Agents; Thormar, H., Ed.; Wiley: Hoboken, NJ, USA, 2011; pp. 255–306. ISBN 978-0-470-74178-8. [Google Scholar]
- Sivropoulou, A.; Papanikolaou, E.; Nikolaou, C.; Kokkini, S.; Lanaras, T.; Arsenakis, M. Antimicrobial and Cytotoxic Activities of Origanum Essential Oils. J. Agric. Food Chem. 1996, 44, 1202–1205. [Google Scholar] [CrossRef]
- Burt, S. Essential oils: Their antibacterial properties and potential applications in foods—A review. Int. J. Food Microbiol. 2004, 94, 223–253. [Google Scholar] [CrossRef]
- Bakkali, F.; Averbeck, S.; Averbeck, D.; Idaomar, M. Biological effects of essential oils—A review. Food Chem. Toxicol. 2008, 46, 446–475. [Google Scholar] [CrossRef] [PubMed]
- Chaieb, K.; Hajlaoui, H.; Zmantar, T.; Kahla-Nakbi, A.B.; Rouabhia, M.; Mahdouani, K.; Bakhrouf, A. The chemical composition and biological activity of clove essential oil, Eugenia caryophyllata (Syzigium aromaticum L. Myrtaceae): A short review. Phytother. Res. 2007, 21, 501–506. [Google Scholar] [CrossRef] [PubMed]
- Fisher, K.; Phillips, C.A. The effect of lemon, orange and bergamot essential oils and their components on the survival of Campylobacter jejuni, Escherichia coli O157, Listeria monocytogenes, Bacillus cereus and Staphylococcus aureus in vitro and in food systems. J. Appl. Microbiol. 2006, 101, 1232–1240. [Google Scholar] [CrossRef]
- Soliman, K.M.; Badeaa, R.I. Effect of oil extracted from some medicinal plants on different mycotoxigenic fungi. Food Chem. Toxicol. 2002, 40, 1669–1675. [Google Scholar] [CrossRef] [PubMed]
- El-Boshy, M.E.; Refaat, B.; Qasem, A.H.; Khan, A.; Ghaith, M.; Almasmoum, H.; Mahbub, A.; Almaimani, R.A. The remedial effect of Thymus vulgaris extract against lead toxicity-induced oxidative stress, hepatorenal damage, immunosuppression, and hematological disorders in rats. Environ. Sci. Pollut. Res. 2019, 26, 22736–22746. [Google Scholar] [CrossRef]
- Ahmadi, S.; Fazilati, M.; Nazem, H.; Mousavi, S.M. Green Synthesis of Magnetic Nanoparticles Using Satureja hortensis Essential Oil toward Superior Antibacterial/Fungal and Anticancer Performance. BioMed Res. Int. 2021, 2021, 8822645. [Google Scholar] [CrossRef]
- Osredkar, J. Copper and Zinc, Biological Role and Significance of Copper/Zinc Imbalance. J. Clin. Toxicol. s 2011, 3, 0495. [Google Scholar] [CrossRef]
- Dorne, J.-L.C.M.; Kass, G.E.N.; Bordajandi, L.R.; Amzal, B.; Bertelsen, U.; Castoldi, A.F.; Heppner, C.; Eskola, M.; Fabiansson, S.; Ferrari, P.; et al. Human risk assessment of heavy metals: Principles and applications. Met. Ions Life Sci. 2011, 8, 27–60. [Google Scholar] [PubMed]
- Risk-Based Concentration Table | Mid-Atlantic Risk Assessment | US EPA. Available online: https://archive.epa.gov/region9/superfund/web/html/index-23.html (accessed on 27 September 2024).
- Pękal, A.; Pyrzynska, K. Effect of pH and metal ions on DPPH radical scavenging activity of tea. Int. J. Food Sci. Nutr. 2015, 66, 58–62. [Google Scholar] [CrossRef]
- Lemire, J.A.; Harrison, J.J.; Turner, R.J. Antimicrobial activity of metals: Mechanisms, molecular targets and applications. Nat. Rev. Microbiol. 2013, 11, 371–384. [Google Scholar] [CrossRef]
- Dizaj, S.M.; Lotfipour, F.; Barzegar-Jalali, M.; Zarrintan, M.H.; Adibkia, K. Antimicrobial activity of the metals and metal oxide nanoparticles. Mater. Sci. Eng. C 2014, 44, 278–284. [Google Scholar] [CrossRef]
Disclaimer/Publisher’s Note: The statements, opinions and data contained in all publications are solely those of the individual author(s) and contributor(s) and not of MDPI and/or the editor(s). MDPI and/or the editor(s) disclaim responsibility for any injury to people or property resulting from any ideas, methods, instructions or products referred to in the content. |
© 2024 by the authors. Licensee MDPI, Basel, Switzerland. This article is an open access article distributed under the terms and conditions of the Creative Commons Attribution (CC BY) license (https://creativecommons.org/licenses/by/4.0/).












