Next Article in Journal
Extending a Macro-Element Approach for the Modeling of 3D Masonry Structures Under Transient Dynamic Loading
Previous Article in Journal
Speech Signal Analysis in Patients with Parkinson’s Disease, Taking into Account Phonation, Articulation, and Prosody of Speech
 
 
Font Type:
Arial Georgia Verdana
Font Size:
Aa Aa Aa
Line Spacing:
Column Width:
Background:
Article

Efficient Traceability Systems with Smart Contracts: Balancing On-Chain and Off-Chain Data Storage for Enhanced Scalability and Privacy

by
Manuel José Fernández-Iglesias
,
Christian Delgado von Eitzen
and
Luis Anido-Rifón
*
atlanTTic, University of Vigo, 36310 Vigo, Spain
*
Author to whom correspondence should be addressed.
Appl. Sci. 2024, 14(23), 11078; https://doi.org/10.3390/app142311078
Submission received: 21 October 2024 / Revised: 14 November 2024 / Accepted: 26 November 2024 / Published: 28 November 2024

Abstract

Featured Application

This work can be applied to enhancing traceability in complex supply chains, such as those in the food, pharmaceutical, or forestry industries, where transparency, security, and compliance with regulations are critical. The proposed solution can help businesses meet regulatory requirements, reduce fraud, ensure product authenticity, and increase consumer trust by providing tamper-proof records of every transaction and transformation along the supply chain.

Abstract

The growing importance of traceability in supply chains requires robust, transparent, and efficient systems to ensure the integrity and authenticity of product journeys. This paper presents a comprehensive characterisation and data model for a generic blockchain-based traceability system, highlighting its implementation using smart contracts on Ethereum-compatible networks, as the Ethereum Virtual Machine (EVM), with its pioneering implementation of smart contracts and its extensive ecosystem; it provides a robust environment for developing decentralised applications. We discuss the advantages of using blockchain technology to notarise traceability activities, ensuring immutability and transparency by exploring two main scenarios, namely one where hash keys (i.e, cryptographic digests) are stored on-chain while detailed data remain off-chain, and another where all traceability data are fully stored on-chain. Each approach is evaluated for its impact on scalability, privacy, storage efficiency, and operational costs. The hash key method offers significant advantages in reducing blockchain storage costs, enhancing privacy, and maintaining data integrity, but it depends on reliable off-chain storage. Conversely, the full on-chain approach guarantees data immutability but at a higher cost and lower scalability. By combining these strategies, a balanced solution can be achieved, leveraging the strengths of both methods to provide a reliable, efficient, and secure blockchain-based traceability system, which is illustrated with a practical implementation to support traceability in the timber sector in Galicia, Spain. This paper aims to provide valuable insights for researchers and practitioners looking to implement or enhance traceability systems using blockchain technology, demonstrating how smart contracts can be effectively utilised to meet the demanding requirements of modern supply chains.

1. Introduction

In the industrial context, traceability refers to the ability to obtain information on the history, location, and use of goods produced along the supply chain, from the origin of raw materials to the final delivery of products to consumers. Traceability is key to ensuring the transparency of the production process, as it guarantees that each production, processing, and distribution step or phase is recorded, facilitating subsequent verification. In short, traceability allows manufacturers to clearly trace the path of raw materials and the various stages of production, and thus to detect problems or errors along the process, which in turn allows them to be effectively solved [1]. Traceability is also key to complying with applicable regulations in sectors such as pharmaceuticals, food, or manufacturing, where controlling the quality and safety of products is of paramount importance. Traceability also serves as an instrument to improve the societal perception of companies and increase customer confidence, as it conveys a commitment to transparency and compliance with society, allowing customers to obtain information at all times on the origin and the different processes that goods undergo before being acquired.
The concept of traceability is necessarily complex and multifaceted due to its various purposes and objectives [2]. A first basic definition of traceability would be the ability to access all or part of the information relating to something, throughout its life cycle, by means of recorded identifications [3]. According to the ISO 9001 quality standard [4], traceability is the ability to trace the history, application or location of something. This standard further specifies that traceability can refer to the origin of materials and parts, the processing history, and the distribution and location of a given product after delivery.
Blockchain technology became a reference technology to support traceability solutions because it provides a transparent, auditable and immutable record of events and transactions [5]. Transactions within a blockchain are stored in blocks, each cryptographically linked to the previous one, making it virtually impossible to alter the information once recorded on the blockchain, but remaining easily verifiable at the same time. On the other hand, blockchains operate as decentralised systems, with no central actors but a network of nodes or devices that share copies of the chain of blocks. All processes are executed by the nodes that make up the peer-to-peer network in which blocks of information are shared and consensus mechanisms are implemented to guarantee that all peers in the network agree upon the content of the blockchain (i.e., which new blocks are deemed valid to join the chain), thus guaranteeing auditability without the intervention of a centralised controlling body [6].
If all relevant events in the life journey of an asset are stored in a blockchain, its evolution from its origin to its destination can be traced at any time with the information stored in the blocks of that blockchain (i.e., asset identification, location, ownership, properties, etc.). Events can be captured by means of the usual tools in traceability systems (e.g., IoT devices, RFID tags, GPS locators, etc.). Once the data are available on the blockchain, anyone with access to it, the general public in the case of a non-permissioned blockchain, can access any previous record, which in turn cannot be modified or deleted [7]. In short, blockchains improve transparency, traceability, and auditability in supply chains, and we can find a multitude of proposals in a wide range of fields, such as agriculture and food [8,9,10], pharmaceuticals [11,12,13], automotive [14,15], textiles [16,17], timber [18,19], luxury goods [20,21], or manufacturing [22,23], to name a few relevant examples.
However, while the blockchain offers clear advantages for traceability management, such as the immutability and transparency of the information stored, it also has significant limitations in terms of cost, scalability, supported storage types, privacy, and bandwidth when it comes to storing large amounts of information [24]. Therefore, these limitations must be taken into consideration when designing solutions involving data storage on the blockchain (cf. Section 2.3). For example, as public blockchains generally set transaction fees based on the size of the data stored, when large amounts of data are involved, these fees can quickly accumulate and become prohibitive for a given application. In the case of private blockchains, since each node will store a complete copy of the chain immutably and permanently, operational costs are also directly related to the amount of information managed.
This paper develops a characterisation and a basic data model for a generic traceability system. This proposal adopts a sector-agnostic approach to blockchain-based traceability, distinguishing itself from the existing solutions referenced above tailored to specific industries. While the sector-specific proposals mentioned above often address unique challenges and regulatory requirements, they can also limit the applicability of their findings to broader contexts. In contrast, the framework discussed in this paper distills the fundamental principles of blockchain traceability, making it adaptable to various sectors. This flexibility could serve to inspire organisations across different industries to implement a blockchain-based traceability solution without being constrained by the specificities of their operational environments.
By focusing on the core properties of blockchain technology (i.e., immutability, transparency, and decentralised verification), this approach provides a foundational model that can be customised to meet the needs of diverse applications. This is particularly important in today’s rapidly evolving market, where organisations are increasingly seeking solutions that can scale and adapt to changing regulatory landscapes and consumer demands. The approach in this paper not only enhances the understanding of blockchain traceability but also encourages innovation by allowing stakeholders from various sectors to build upon a common framework.
Guidelines for the implementation of the blockchain-based traceability approach discussed in this paper are also provided, by leveraging smart contracts executable on an Ethereum-compatible network, i.e., on an Ethereum virtual machine or EVM [25], together with a practical example of a traceability solution for the timber section in Galicia, Spain. The EVM gained widespread adoption due to Ethereum’s pioneering role in introducing and popularising smart contracts, which paved the way for the popularisation of decentralised applications (dApps). The EVM provides a robust and flexible environment for executing code, enabling developers to write programs in high-level languages such as Solidity [26], which are then compiled into EVM bytecode. Its widespread use is further promoted by the extensive availability of integrated development environments (IDEs), its active developer community, and the vast ecosystem of applications and services built around Ethereum and compatible blockchains and testnets. Additionally, the EVM ensures that smart contracts are executed in a decentralised manner, providing security and immutability, which are essential characteristics for trust-less interactions on the blockchain. This combination of features and community support has solidified the EVM’s position as the leading virtual machine for smart contracts.

2. Materials and Methods

This section details the conceptual framework and implementation strategies for a blockchain-based traceability system designed to ensure the integrity and transparency of supply chains. The proposed model leverages directed acyclic graphs (DAGs [27]) to represent the relationships, transformations, and events as they progress through the stages of the supply chain, from raw materials to final products. To facilitate this model, smart contracts on Ethereum-compatible networks are employed due to their robustness and wide adoption. This combination allows for the efficient notarisation and verification of traceability data while balancing on-chain and off-chain storage to optimise performance, scalability, and cost. The structure of the DAG-based traceability model is discussed in detail, together with the design and functionality of the smart contracts. Guidelines are also provided for implementing these components in a real-world setting.

2.1. Basic Traceability Model

A basic traceability system should offer the following features [3]:
  • Provide access to the properties of all relevant items along the supply chain (i.e, raw materials, components, subassemblies, intermediate goods, final products), in all the links in the supply chain, not only on final product level.
  • It should facilitate traceability both backwards (i.e., where did the final products come from?) and forwards (i.e., what were raw materials eventually transformed into?).
  • Traceability must be based on systematic recordings and their exchange.
  • A unit-identification system or numbering scheme must be implemented, guaranteeing that items along the supply chain are uniquely identified.
Intermediate products are key elements in the supply chain as they represent the various stages that raw materials go through before becoming final products. Tracking these intermediate products is required for ensuring traceability, quality control, and efficient supply chain management. By accurately monitoring intermediate products, organisations can oversee production progress and quality at each stage, allowing them to identify and resolve issues promptly. This tracking also helps ensure compliance with regulations and standards, while guaranteeing transparency and accountability.
According to these key characteristics of a traceability system and the discussion in Section 1, we selected the directed acyclic graph (DAG) as the most suitable data structure for representing a traceability solution due to its ability to model complex dependencies, prevent cycles, and efficiently support the tracing of materials and products through a multi-stage supply chain. In a traceability DAG, each node will represent an entity (i.e., item or process) in the supply chain. Batches of raw materials are modelled by the initial nodes (i.e., leaf nodes) in the graph. Each of these nodes may store detailed information, such as geographical location and the specific supplier. Note that DAGs naturally allow for the representation of inputs, outputs and (single or multiple) dependencies. In addition, tracing back from any node (i.e., product or intermediate) to its source nodes is straightforward, which helps in identifying the origins of each material.
Each edge in a DAG represents a step in the supply chain, such as transformations, manipulations, transportation, and storage. Intermediate nodes depict intermediate products or stages in the supply chain. DAGs are inherently designed to track dependencies and processes: by following the edges, it is possible to trace the path of materials and products through each stage of the supply chain, ensuring that each step is recorded and can be audited.
To sum up, DAG nodes represent batches of materials or products in specific locations or transformation stages, and DAG edges represent the transformations or movements of these batches (i.e., inputs and outputs). Each node may carry metadata about the batch, such as unique batch identifiers, quantities, and timestamps. Similarly, each edge may also carry metadata about the modelled transformation or movement, such as number of units from each input batch involved or CO2 fingerprint information. This approach provides efficiency in tracing and supports both backwards and forward tracing. Given a final product, it can be efficiently traced back through its predecessors to identify all the raw materials and intermediate steps involved, which facilitates quality control, recalls, and audits. Conversely, if an issue is identified at a raw material stage, it can be traced forward to identify all products potentially affected.
DAGs can model supply chain traces independently of their complexity (cf. Figure 1), from sequential traces that can be represented by a DAG composed of a simple, unbranched sequences of nodes, illustrating a direct progression from a batch of raw materials to a batch of final products (e.g., coffee production from coffee beans to retail), to complex branched traces illustrating the convergence and divergence of various batches of materials through different processes and transformations before becoming final products (e.g., a furniture-manufacturing supply chain, from wooden, plastic and metal raw components to complex furniture items).
In this proposal, individual batches (e.g., an order of coffee bags or wood planks) are modelled as records { i d , p , C } with the following fields:
  • A unique batch identifier ( i d ).
  • A reference to the batch’s payload, that is, the properties of a relevant item (p). An example of these references could be uniform resource locators (URIs) referencing a batch record in cloud storage, a content identifier (CID) in decentralised storage, a foreign key referencing a specific row in a table of batches, etc.
  • A list C of inputs to produce this batch, that is, a list of pairs c c = ( i d c , d c ) collecting which batches upstream contribute to this batch, and in what way ( C = [ c 1 , , c n ] ). i d c represents the ID of the contributing node and d c a reference to the details of that contribution. In other words, C represents the list of arcs in the DAG linking the contributing batches to the present batch.
A table of arcs (ToA) is a simple but powerful structure to programmatically represent the set of traces (i.e., DAGs) in a traceability scenario. Each row in the ToA will represent an arc in a batch and is modelled as a tuple ( i d n , i d c , d c ) with the fields below:
  • The ID of the new batch ( i d n ).
  • The ID of an input, that is, a contributing batch to the new batch ( i d c ).
  • A reference to the details of the contribution ( d c ).
DAGs and ToAs can efficiently represent complex supply chains with numerous nodes and edges while maintaining performance. A single ToA can collect any number of unconnected DAGs as far as node identifiers are unique across the DAG collection. The acyclic property helps in managing complexity, ensuring that the graph remains manageable and queries (e.g., tracing paths) are computationally efficient. Even in cases with supply chains involving a large number of nodes, a DAG and its ToA representation allow for efficient algorithms (e.g., depth-first search or breadth-first search [28]) to perform traceability queries. In addition, backends supporting graph structures natively [29] or implementing adjacency lists or matrices [30] can be utilised to further boost performance.
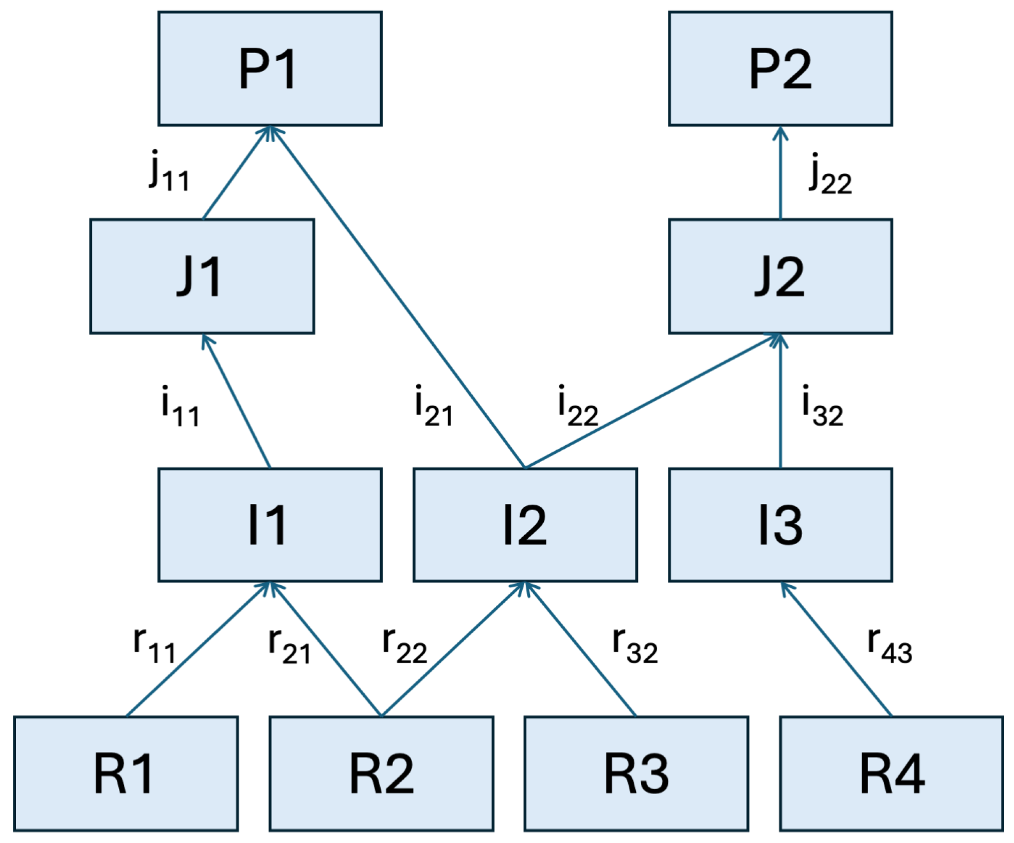
Figure 2’s DAG represents a typical trace in a traceability scenario. Batches R 1 R 4 model the raw materials required for the fabrication of some consumer products. Batches I i and J i model intermediate steps in the value chain, and finally P 1 and P 2 represent consumer products. Arc labels represent details of each individual input to the next step in the supply chain (e.g., r i j represents details of the contribution of node R i to node I j ). Table 1 depicts the ToA of this DAG and Table 2 represents a simplified ToA (i.e., no node details are collected) of traces in Figure 1’s DAG.
Algorithm A1 in Appendix A can be used to obtain the backwards trace of product i d t . Each path is represented as a sequence of arcs, making it easy to trace routes through the graph. This algorithm ensures that all paths from leaf nodes to the target node are stored in list P. In other words, this algorithm collects in list P all traces leading to batches of raw materials that contributed to the production of consumer product i d t .
In a similar way, Algorithm A2 (cf. Appendix A) ensures that all distinct paths from the specified leaf node i d r to any root node are found and stored in the list P. In other words, this algorithm can be used to compute the forward trace of a batch of raw materials, which will serve to identify all consumer products that utilised that batch.

2.2. Smart Contracts

A smart contract is a digital contract with the terms of agreement directly written as the contract’s code [31,32]. It resides on a blockchain, and autonomously enforces and executes the conditions stipulated in the contract. The main advantage of smart contracts is that they eliminate the need for intermediaries (e.g., lawyers and notaries, banks and payment processors, escrow services, brokerage firms, supply chain intermediaries, insurance adjusters, etc.), reducing costs and enhancing efficiency. When the predefined conditions are met, the smart contract executes the agreed-upon programmed actions automatically, ensuring trust and transparency between parties. For example, in a simple use case, a smart contract could automatically release a payment when goods are delivered and confirmed by the recipient.
Developers write smart contracts using programming languages like Solidity, and they must consider security aspects meticulously to avoid vulnerabilities that can be exploited, given the immutable and transparent nature of blockchain technology. From a software-engineering perspective [33], a smart contract is a self-executing piece of code that resides on a blockchain, designed to facilitate, verify, and enforce the negotiation or execution of an agreement (represented by the contract’s code) without the need for intermediaries. Smart contracts are similar to classes in object-oriented programming, in the sense that they encapsulate data (state) and functions (methods) that operate on that data [34]. Deployed on a decentralised network, they can run deterministically on any node of the blockchain network, ensuring transparency and immutability. For example, in a smart contract for a crowdfunding campaign, attributes might include the address of the contract creator, the funding goal, the campaign’s end date, and a dictionary to map contributor addresses to their contribution amounts, while methods might include a function that allows users to contribute funds to the campaign, a function that checks if the funding goal has been met, a function that allows the owner to withdraw funds if the goal is reached, and a function that allows contributors to obtain a refund if the goal is not met.
However, developing a class in popular object-oriented language like Java, C#, or Python and developing a smart contract have fundamental differences, primarily due to the nature of the environments in which they operate and their specific requirements [35]. In an object-oriented language, a class is designed to encapsulate data and behaviour, offering methods for interacting with and manipulating an internal state. These languages support extensive libraries and frameworks, facilitating development with features like inheritance, polymorphism, and encapsulation. The development process is typically iterative and flexible, allowing for easy debugging, testing, and refactoring. Moreover, the execution environment for object-oriented applications is centralised, with the code running on a specific server or a client machine, where resource constraints like memory and processing power are relatively flexible, and always known in advance.
In contrast, developing a smart contract involves writing code that runs on a blockchain node, which imposes specific constraints and considerations. For example, Ethereum smart contracts running on an EVM that in turn runs on a blockchain node must always terminate, and must be deterministic and secure since they manage digital assets and execute transactions autonomously. The execution environment is decentralised, and every operation has an associated fee, typically measured in gas, which translates to real-world monetary costs, at least in public blockchains. Due to the Turing-complete nature of the EVM, a mechanism is needed to guarantee smart contract termination [36]. In a nutshell, the EVM will keep executing smart contract code until the gas amount purchased by the executing address is depleted, and feeding more gas to the contract implies increasing amounts of real money.
As a consequence of their unique audit and security-related requirements [37], the total cost of creating a smart contract in a public blockchain such as Ethereum can range from a few thousand Euro to hundreds of thousands, depending on several factors such as contract complexity, security characteristics, and legal considerations. In addition, there is also an important difference in the cost of invoking contract functions that change the state of the contract and those that just perform some computation or return some value without triggering state changes, as the former require a blockchain transaction that involves fees to compensate miners or validators who process and validate the transaction on the blockchain that would change the contract’s state, whereas the latter require gas just to run the corresponding state-independent instructions (i.e., pure computations or consulting state information) and guarantee termination. A simple transfer of tokens might consume some Euros’ worth of gas units, whereas a more complex function that includes multiple state changes or computations could become prohibitively expensive.
Besides thoroughly auditing the code prior to deployment, optimising it to be as efficient and secure as possible is also required. Indeed, unlike traditional object-oriented code, smart contracts are immutable, meaning that any bugs, inefficiencies, or vulnerabilities are permanently embedded in the contract’s code unless a new contract is deployed or the original contract is destroyed, making testing and security audits critical and more rigorous due to the irreversible nature of blockchain transactions. Frameworks are being proposed to support the update of deployed smart contracts through contract proxies [38], but in any case additional complexity is introduced to support code updates, and nevertheless deprecated versions will always be available on-chain.
Additionally, developers must consider the transparency of the blockchain, where the contract’s code and state are visible to all participants, and even occasional visitors, requiring careful handling of sensitive data [39] (cf. Section 2.3). For example, batch details along a supply chain may not pose security or privacy concerns at the time of deploying a smart contract to support traceability, but may become relevant in the future due to strategic reasons or because ways are found to exploit permanently stored data to challenge the manufacturing company. Note that, even if the contract is destroyed, the original transaction that created it, together with all the associated data, will live forever on-chain. It could be argued that data can be encrypted symmetrically or asymmetrically, but as it will be permanently stored in the blockchain, we cannot rule out that in the future more powerful computers such as quantum computers, or even because of undetected failures in the encryption algorithms, the encrypted data could be compromised.
All these aspects have to be thoroughly taken into account to ensure a successful and secure deployment of a smart contract in a blockchain. In our case, the following design guidelines were considered to program traceability smart contracts:
  • Clearly separate functionality that requires a transaction in the blockchain from code that just returns state values or perform pure computations. More specifically, functions will either change the contract’s state (e.g., to immutably register a product batch) or will not (e.g., obtaining a batch’s inputs from its unique identifier).
  • Limit as much as possible processing within the smart contract beyond accessing or updating state variables. Avoid loops in state-changing functions unless strictly necessary.
  • Check parameter sanity and access rights using guards. A guard is a condition within a function that checks for specific requirements or constraints before allowing the function to proceed, helping to ensure the function’s correct and secure execution [32]. Note that if a guard is not satisfied in a state-changing function, its (partial) execution will revert and no changes will be made to the blockchain.
  • Generate events for all state-changing operations. An event is a logging mechanism that allows smart contracts to emit messages during execution, which can be captured by external applications or listeners to track and respond to specific activities on the blockchain. Events are also permanently stored in the blockchain [40].

2.3. On-Chain and Off-Chain Data Management

Since the initial deployment of blockchain infrastructure beyond cryptocurrencies, this technology emerged as a novel solution for data storage, characterised by its decentralised, immutable, and secure nature [41]. At its core, blockchain operates as a distributed ledger, where data are stored across a network of computers rather than in a single centralised location. Decentralisation enhances data security, as it reduces the risk of tampering or unauthorised access, and immutability is particularly valuable in applications where data integrity is required, such as supply chain management.
However, there are relevant drawbacks to using blockchain for data storage. One major concern is scalability, because as the amount of data grows, the blockchain network can become bloated because of ledger replication, leading to slower transaction times and increased costs for storage and processing [42] (cf. Section 4.1). Moreover, the energy consumption associated with maintaining a blockchain network, particularly those using proof-of-work consensus mechanisms, raise environmental concerns.
Additionally, while blockchain provides transparency, it can also lead to privacy issues, as sensitive information may be exposed on a public ledger permanently. Being a public and transparent digital information ledger, all data deposited on a blockchain are visible to all network participants and cannot be removed from the chain. This may raise privacy and confidentiality issues when data are stored in the clear, as it would be possible to exploit such data in the future using advanced data-analysis techniques. While individual data items may not be vulnerable by themselves, advanced data-analysis techniques may reveal patterns and correlations among different sets of seemingly irrelevant data [43]. These patterns could reveal sensitive or strategic information about organisations or other entities, or even individuals. In addition, processed data can be used for social engineering attacks, where attackers use the collected information to manipulate or deceive individuals or entities in order to gain unauthorised access to information or systems [44]. Finally, advanced data analysis of information stored on the blockchain may reveal hidden biases in the data, which could lead to discriminatory or unfair decisions in areas such as tendering or financial procedures (e.g., evidence of the long-term story of a company’s partnerships may affect its future social or perception).
To address data inflation in blockchain networks, alternate models were proposed to manage the multiple copies of the blockchain ledger, for example by keeping in the blockchain just the information to guarantee its properties (e.g., block hashes, nonces, timestamps and Merkle trees) and storing the transactions’ payloads off-chain [45]. Managing only essential information on-chain while keeping transaction payloads off-chain offers several advantages. First and foremost, it significantly reduces the above-mentioned data bloat by limiting on-chain data to critical components and thus minimising blockchain size. This reduction helps maintain faster transaction speeds and lowers the storage requirements for nodes, making the network more efficient. Another key benefit is improved scalability because with off-chain storage the blockchain can accommodate a higher volume of transactions without becoming congested. This is particularly relevant for applications that require high throughput, as it allows the system to handle increased activity more effectively. Additionally, this model can lead to cost savings, as storing large amounts of data on-chain can incur substantial transaction fees.
Blockchain platforms that incorporate a virtual machine such as those based on Ethereum offer a powerful means to balance on-chain and off-chain data storage by utilising the smart contracts introduced in Section 2.2. For example, in the case of the proposal for traceability systems discussed in this paper, smart contracts specify which data should be stored on-chain, such as batch hashes and identifiers, while allowing larger payloads or user data to be stored off-chain [46]. This selective approach helps maintain the integrity and security of essential data while alleviating the burden on the blockchain itself, while facilitating seamless interactions with off-chain storage solutions, such as IPFS or traditional databases [47]. When data are stored off-chain, the blockchain can maintain a cryptographic hash of that data on-chain for the detection of any changes to the off-chain data by comparing hashes, thereby ensuring that the data remains trustworthy and tamper-proof [48].
However, one significant concern of off-chain data storage is the potential for trust and security issues. When data are stored off-chain, users must rely on the security and integrity of the off-chain solution, which may not offer the same level of decentralisation and immutability as the blockchain itself, and regulatory and compliance challenges could also be faced. This reliance can create vulnerabilities that need to be carefully managed. Moreover, implementing this model can introduce complexity into the system architecture because developers must ensure that off-chain data are properly bound to the on-chain elements, which can complicate the overall design. There is also the risk of data loss in cases when the off-chain storage solution fails or is compromised, undermining the reliability of the blockchain.

3. Results

The storage of traceability-related information on the blockchain aims to ensure compliance with immutability and transparency requirements, while guaranteeing the desired scalability, privacy and efficiency, in a general context where a significant number of traces with a significant number of batches are to be managed. With the help of blockchain technology, it is possible to immutably notarise all the activities and processes along a supply chain. The following paragraphs discuss a generic traceability system based on these premises. Then, a practical implementation of that generic system applied to timber traceability is briefly discussed.

3.1. A Generic Blockchain-Based Traceability System

Each time a traceable operation is performed, a data structure is generated (i.e., a batch in the terminology of Section 2.1) to record all relevant details. The generation of that batch is notarised by means of a blockchain transaction, generating a chain of notarisations that maps to the trace nodes and thus guarantees traceability. Each time a product in the value chain changes hands along the supply chain, it would also be possible to notarise such a transaction on the blockchain. This would ensure the integrity of the chain of custody and provide full traceability.
Regarding the data handled in traceability processes, we can establish the following classifications according to their relevance:
  • Relevant data for traceability, such as fabrication licenses, certification information, verification of origin, CO2 balance, batch owner, or contributing batches to produce the current batch. These data should be notarised to ensure traceability from origin to final product.
  • Data that are not critical to traceability, such as company and product data not required to be traced, or complementary batch data that may be dynamic and change over time, such as quality records, real-time inventory data, marketing details, transportation and logistics information, etc.
The combination of smart contracts on the blockchain to keep track of transformations made along the supply chain, along with a traditional backend to manage the data efficiently and provide intuitive user interfaces, can offer a comprehensive and scalable solution for tracking and traceability. In addition, hash keys, also called cryptographic digests, will play a relevant role in reducing the amount of information stored in smart contracts in the proposed traceability model. By using hash keys, it is possible to maintain an immutable and transparent transaction record while minimising data storage on the blockchain [49].
Instead of fully storing all critical data for each batch on the blockchain that requires immutable storage to ensure traceability, hash keys can be computed from relevant data to serve as a digest or fingerprint of the original data, so that any modification would invalidate that fingerprint. Similarly, by comparing the stored digest with a hash key computed at any later point in time, we can undoubtedly tell whether the original information was modified or tampered with. This significantly reduces the storage space needed on the blockchain, as hash keys are much smaller in size compared to original data.
In a nutshell, when the authenticity or integrity of the data needs to be verified, hash keys can be recalculated from the original data stored off-chain and compared to the hash keys stored on-chain. If the cryptographic summaries match, it can be guaranteed that the original data were not altered, and that the trace is therefore valid. By reducing the amount of data stored on the blockchain, privacy can also be enhanced by minimising the exposure of potentially sensitive information. Only the hash keys, rather than the complete data, would be shared and recorded on the blockchain, which reduces the risks of unwanted information disclosure. In addition, this approach improves storage efficiency, transaction times, scalability, and operational costs.
Taking all the above into consideration, we can establish a new classification for the data in a new node in a traceability step (cf. Figure 3):
  • Traceability-relevant data. These data will be used to calculate the cryptographic digest or hash key to be stored in the blockchain, along with the traceability-critical data below. These data are immutable by nature and will be stored off-chain (e.g., relational back-end, decentralised file storage, cloud storage, …)
  • Traceability-critical data. These data will be stored along with the cryptographic digest of the traceability-relevant data in the blockchain (i.e., the hash key of traceability-relevant data is considered as part of the traceability-critical data). Examples of such data are the unique identifier of the new node, the unique identifier of its creator, and the unique identifiers of the nodes from the previous step in the trace contributing to the new node. Traceability-critical data are immutable by nature and can be used to reconstruct the structure of the whole upstream trace from just the content of the blockchain, and to rebuild the general DAG table discussed in Section 2.1.
  • Complementary data. These data may be dynamic and change over time, such as quality records, real-time inventory data, transportation and logistics information, pictures, catalogue content, etc.
Traceability-critical data are stored as part of the state information of the traceability smart contract by means of the data structures below (cf. Figure 4):
  • A record collecting the public blockchain address of the owner or creator of the batch; the SHA-256 hash key of the traceability-relevant data; a JavaScript Serialised Object Notation (JSON) record with the contributions to the new node.
  • A mapping that binds node IDs to node records.
Figure 4 includes, as a matter of example, additional fields that may be considered critical for specific applications. For example, a boolean field to mark a given node as cancelled if the specific applications support node deletion (note that in a blockchain information cannot be actually deleted as it is immutable), or a field keeping track of the units remaining of a given batch to contribute to other batches downstream. The actual data structure storing all traceability nodes is mapping _nodes in Figure 4. According to object-oriented encapsulation principles, this structure will not be directly visible by external code, and access to it will be performed through the corresponding getters and setters, as discussed below.
The JSON record embedded in the Node record collects the minimal information required to reconstruct the structure of a backwards trace, namely the list of all contributions to the new node, each contribution represented as a pair ( i d , d h a s h ) where i d is the ID of the contributing node and d h a s h is a cryptographic digest of the details of that contribution (cf. Figure 5). In cases where the contribution details are simple (e.g., just the number of units contributed and/or the CO2 balance of that operation), that information may be stored directly in the JSON record.
It can be argued that contributions may also be stored as an array of records. However, this would require further processing on-chain, involving loops, which would compromise efficiency, cost, and security, while processing that (simple) data structure off-chain would not involve relevant additional complexity.
Function createNode in Figure 6 exemplifies how a new node is notarised in the blockchain. It checks that the caller is authorised to create new traceability nodes and that the node does not already exist, creates the node with the provided details, and emits an event to log the creation. This function ensures traceability by recording the creator, the hash digest of the node’s payload, contributions, and initial remaining units, thereby maintaining the integrity and auditability of the traceability system. In general, an event will be generated every time a new node is created in the blockchain, and every time one critical data item is modified, if allowed by the application.
Before creating the new node, creator verification and node existence checks are performed using guards (i.e., require operator). If any of the checks fail, function execution terminates and the blockchain transaction is reverted. Creator verification is supported by an additional mapping that maps blockchain registered creator addresses to a boolean true value, or to some real-world creator identifier (e.g., fiscal number, ID card, etc.). In this example (mapping _creators), some string associated with the creator is assumed to exist off-chain. If an address is not mapped, a default value depending on the value’s data type will be returned (i.e., false for a boolean and an empty string in the case of a string). Conversely, a key can be unmapped by assigning to it the corresponding default value.
If guards are placed after state information is modified and they are not satisfied, changes will be reverted. In other words, a transaction implying a smart contract’s state modification will not be completed unless all guards in the function are satisfied.
Events will also be stored in the blockchain, in this case indexed by the unique node identifier to facilitate the efficient location of events corresponding to a particular node. Figure 7 illustrates the definition of such an event. Event fields in this example are the blockchain address performing the operation, the ID of the node involved, the operation performed (from an enumerated data type), and further details to enrich the event’s information (e.g., when creating a new node, this field will store the hash summary of the new node). This example also indexes events according to the node creator, which facilitates the identification of activities performed by a given blockchain address.
Function getNode in Figure 8 can be used to obtain all the notarisation data corresponding to a node in the blockchain. As it only returns state information and does not modify state data, the function does not require a blockchain transaction to be executed, and will be run on the copy of the virtual machine of the blockchain node receiving the call.
In general, a traceability smart contract will implement an application programmer’s interface (API) offering the minimal functionality below:
  • Creating and accessing node records, as depicted in Figure 6 and  Figure 8.
  • Getters and setters for accessing and updating individual node fields, as required by each particular application.
  • Registering and disabling blockchain addresses to perform traceability operations.
According to a general traceability principle, the hash digest would not be among the updatable fields because that would break trace immutability. Traceability Nodes stored in the blockchain model perfected supply chain activities that occurred in the real world (e.g., production of a batch, transportation of a batch to a given destination, etc.), which cannot be undone. In any case, if a setter is provided for the hash field, an event will also be generated that will immutably record that action (with event details including, for example, the blockchain address updating the hash key, the node involved, and the new hash key).
Address management in the blockchain (i.e., registering and disabling blockchain addresses to perform traceability operations) would be a task performed by the owner of the traceability smart contract (i.e., the blockchain address offering the traceability service on-chain). To offer this feature, the minimal support would consist of functions to register and disable addresses, defined to be executed only by the owner of the smart contract, and a mapping of registered addresses (e.g., mapping _nodes in Figure 6. The Ownable.sol contract from the OpenZeppelin’s library [50] is a Solidity contract designed to enforce basic access control mechanisms for smart contracts, and to simplify the implementation of ownership features in a contract, where there is a blockchain address (i.e., the contract’s owner) that has exclusive access to specific functions, registering and disabling blockchain addresses to perform traceability operations in our case.
With the proposed system, a newly created product batch is registered for traceability as follows:
  • The company that produced the batch would store all its relevant data at the company’s backend, including the contributions from other batches produced before, either locally or from other companies.
    (a)
    A unique identifier would be assigned to the batch.
    (b)
    The contributions to the new batch (i.e., contributing batch’s ID, a cryptographic digest of the details of the contribution) are packed as a JSON record, as discussed above.
    (c)
    A cryptographic digest is generated from the traceability-relevant data.
  • The createNode function from the traceability smart contract is invoked and the new node is created on-chain.
  • The new arcs are computed from this batch’s ID and the contributing batches and are appended to the traceability DAG/ToA.
The process of computing the backward trace from any batch’s ID with the information stored in the blockchain would be as follows (cf. Algorithm A1):
  • With the batch ID, the corresponding node is obtained from the blockchain using the getNode function. With it, the following data are obtained:
    • Hash digest of the batch’s relevant data
    • List of contributing batches and the corresponding details.
  • With the IDs of the contributing batches, proceed from (1) with each contributing batch that has not yet been processed, until there are no more contributions left to process.
To reconstruct the backwards trace from the blockchain, a single call is performed for each batch participating in that trace. It would be possible to reconstruct the trace of any batch in a comprehensive way, both forward and backwards, from the DAG and the batch data stored in the backend, as discussed in Section 2.1.

3.2. A Traceability System for Timber Supply Chain Monitoring and Compliance

The model discussed above was deployed to implement a traceability system for the timber sector in the autonomous region of Galicia, Spain, to provide an immutable and transparent record of all transactions in the timber supply chain, from its origin in the forest to its eventual conversion if final consumer products. The main objectives of timber traceability in Galicia are to guarantee a responsible exploitation of forests as a key natural resource and to duly manage CO2 balances among operators [51].
The technical solution was based on the following elements:
  • An online frontend to provide operators with the required functionality to notarise and track batches, that is, to visualise at different levels of detail the journey of a batch of timber up to the resulting final products (i.e., forward tracking), and the origin of the timber utilised to build some final product (i.e., backwards tracking). Batch tracking is also available to the general public. The frontend also provides utility functions to register operators, and manage operators’ profiles and logging permits.
  • A smart contract running in the Alastria consortium blockchain [52] to implement the on-chain traceability logic and data (i.e., traceability-critical data). Alastria is a public-permissioned, multi-sector blockchain platform designed to facilitate the development of decentralised applications and services across various industries by connecting businesses, academia, and public administration within a secure and legally compliant framework. This smart contract implements the traceability logic discussed in this paper.
  • A relational backend for data management, including all off-chain traceability data (i.e., traceability-relevant data and complementary data).
With the help of blockchain technology, it was possible to immutably notarise the issuance and exploitation of logging permits. Each logging permit was associated with a record with a unique identifier, including all relevant information, such as the geolocation of the forest, the types of trees authorised for logging, the start and end dates of each permit, etc. A product journey starts with an authorised operator felling some of the trees included in a valid logging permit to become timber. All relevant details of this act are modelled as the first batch of the value chain. Each time an operation is carried out along the timber value chain, a new batch is generated to record all the relevant details, such as the operation’s date, place, and time, the outputs from previous operations used as input, the type of processing carried out, the CO2 balance of the operation, and the identification information of the resulting products. The generation of that batch is also notarised using the blockchain, generating a chain of notarisations that guarantee traceability.
Each time timber is transferred from one operator to a different operator, such transfer is also registered in the blockchain as a special batch with outputs equal to its inputs. This way, any operation involving timber with an impact in the carbon footprint and in the overall carbon balance among operators is duly registered, ensuring the integrity of the timber’s chain of custody and providing full traceability from origin to final destination.
According to the classification of traceability data discussed above, timber traceability data in each batch can be classified as follows:
  • Traceability-relevant data used to calculate the cryptographic digest: batch ID, product ID, stock-keeping unit (SKU) number, producer’s fiscal ID, owner’s fiscal ID, production date and time, total units, CO2 equivalence, and timber species ID. This information is stored in a MariaDB relational database.
  • Traceability-critical data stored on-chain along with the cryptographic digest of the traceability-relevant data: blockchain address of batch owner, number of remaining units in the batch, batch inputs, as a JSON record with pairs: [ ( n : o r g _ i d , u : u n i t s ) ] , where o r g _ i d represents the ID of the batch providing inputs and u n i t s is the number of units in that batch provided as input. This information is stored on-chain in the MariaDB relational database.
  • Complementary data included information such as product pictures, geolocation data, full content of logging permits, product catalogues, etc. This information is also stored in the MariaDB relational database.
The process of creating and notarising a new batch is as follows:
  • The company that generates the batch stores all batch data in the backend, including the inputs from previously notarised batches.
    (a)
    At the time of creation, a unique identifier would be assigned to the batch.
    (b)
    Inputs (batch of origin and amount supplied) are stored as DAG arcs in the backend. In addition, a JSON is generated with the list of inputs, as described above.
    (c)
    The remaining units of each input batch would be updated both on-chain (by means of a function provided by the traceability smart contract) and the backend.
  • The company generating the batch, once its data are fully checked and validated, selects the traceability-relevant items and generates a cryptographic summary. Note that this information, besides being relevant, is immutable by nature. To facilitate the generation of the hash key, a view of the relational database with the information to be included in its calculation is provided.
  • The company submits to the traceability smart contract the (newly created) ID of the new batch, the computed hash key, the number of units in the new batch, and a JSON structure with the inputs, using a specific function in the smart contract. As a consequence, a new node is created in the smart contract’s traceability mapping.
The process of computing the upstream trace from any batch ID, using exclusively the information stored in the blockchain, would be as follows:
  • With the batch ID, traceability-critical data are obtained from the blockchain, that is, the remaining units and the JSON structure with the inputs. With this information, the following data are obtained:
    (a)
    The number of remaining units of the batch.
    (b)
    A list of pairs (supplying batch ID, supplied quantity) of all batch inputs.
  • With information (b), proceed from step 1 for each supplying batch, if that batch has not yet been processed, until there are no inputs left to process.
Note that to reconstruct the upstream trace from the blockchain, a single read query is performed for each batch participating in that trace (i.e., no actual blockchain transactions are required).
It would also be possible to reconstruct the trace of any batch in a comprehensive way, including all desired data, both upstream and downstream, from the DAG and the batch data stored in the backend.

4. Discussion

The blockchain-based traceability solution proposed should be considered as an open reference that can be adapted to different scenarios. Depending on the data stored in the blockchain, different balances can be achieved in terms of on-chain vs. off-chain processing. Taking the initial proposal in Figure 4 as a reference, actual implementations would range between two extreme scenarios:
  • A cryptographic digest of all data relevant to a batch is computed (i.e., batch payload and references to the previous nodes in the trace), which is bound to a unique batch identifier. Only the computed hash key and batch ID are stored on-chain, while all the batch content is stored off-chain, in a decentralised storage service (such as IPFS or Swarm [53]), or a traditional backend, at the operator’s choice, using this cryptographic digest solely for on-chain batch notarisation (cf. Figure 9a). All traceability services’ data are stored off-chain, while the blockchain guarantees that batch contents cannot be tampered with. At any time, any batch’s digest can be computed off-chain and compared to the hash key stored on-chain using a smart contract’s checking function.
  • All data relevant to a batch are stored in a JSON record, which is bound to a batch ID and stored on-chain (cf. Figure 9b). All traceability data are stored on-chain, and any entity with access to the blockchain data would be able to reconstruct any trace without the intervention of any centralised traceability service provider. However, data used to construct the new batch’s JSON record may be retained in the traditional backend, in whole or in part, once the record is sent to the blockchain. It can serve for example as a cache to speed up trace calculations or to improve response times for user queries.
In general, all scenarios are based on the premise of separating batch creation from its notarisation on the blockchain. In other words, independently of the final storage chosen for the traceability-relevant batch information, off-chain or in a smart contract on a blockchain, the traditional backend serves to support the creation of the batch, even incrementally, as well as its validation. Once the batch’s digital twin is finalised, that is, once it becomes the true reflection of a supply chain process that generates a certain number of units of a new product, final or intermediate, we proceed to its immutable storage (on-chain or IPFS, Swarm, cloud, local server, etc.), as well as its notarisation on the blockchain.
The actual functionality offered by the smart contract through its public functions depends on actual application’s requirements. Functions allowing the modification of critical traceability information should not be implemented, as they would violate the traceability principle. In any case, state changes on the blockchain do not erase previous state information because the blockchain is immutable by definition. Every state change in the smart contract is performed as a transaction, which in turn will be permanently recorded in one of the blocks of the blockchain.
The operational costs will vary depending on the actual information stored in the smart contract and the functionality offered. Storage on the blockchain is inherently expensive due to the need for each piece of data to be replicated across all nodes in the network, ensuring immutability and consensus. Consequently, applications that store large amounts of data will incur higher costs, which could become prohibitively high depending on network congestion, adding uncertainty to the process. Additionally, the complexity and frequency of smart contract executions directly impact operational expenses, as each function call to a smart contract consumes gas, the unit of computational work in blockchain ecosystems like Ethereum. Complex smart contracts with multiple functions and extensive logic require more gas to execute, increasing costs. Furthermore, the design of the smart contract can influence cost efficiency; thus, well-optimised contracts can minimise unnecessary computations and storage, thereby reducing gas consumption. As a consequence, careful consideration of data-storage requirements and smart contract functionality is instrumental in managing and optimising the operational costs of traceability blockchain applications.
In this context, a solution biased towards the notarisation-only approach will have clear advantages. For example, it will incur lower storage costs, as storing a hash key (i.e, 32 bytes per batch for a SHA-256 hash) instead of the full batch payload significantly reduces the storage costs on the blockchain. In addition, storing only batches’ hash keys makes the system more scalable, as there is no need to store large volumes of data on the blockchain, with a consequent increase in the blockchain load, where each node stores a full copy of the chain, increasing the resources needed to complete storage transactions. Blockchains are not designed to store large volumes of data, and are generally not scalable or efficient as an off-chain storage solution (cf. Section 4.1 below).
With respect to privacy, storing just the hash key does not reveal the original content, which provides an additional layer of privacy, as someone viewing the hash digest on the blockchain cannot deduce the original content without having access to it. This is especially relevant considering that all information transferred to a blockchain is immutable and persistent over time, and storing the full content on the blockchain exposes the data to all participants in the network. Even if no personal information is managed, information could be stored that could be of interest to competitors in the future, or detrimental to the future strategies of producers or operators.
Still, this scenario ensures the immutability and verifiability of the information. Once the hash key is stored in the blockchain, it is guaranteed to be immutable, so that any modification to the external content can be easily detected by comparing the hash digest of the challenged content with that stored in the blockchain.
As disadvantages of the first scenario, which in turn would be advantages of solutions biased towards the full on-chain storage, we can point out its dependence on external storage. Reliable and persistent external storage is required for the actual batch data. Verification depends on the original content remaining accessible over time. In addition, to verify data integrity, the original content must be accessed and the hash recalculated. This adds an additional step in the verification process and can be challenging if the content is not immediately available or is large in size. In addition, an external-only backend adds complexity. Mechanisms are also needed to hash the content and compare it with the hash stored in the blockchain to verify integrity. However, with today’s development environments and the wide availability of backend solutions of many different types and flavours, this aspect is becoming less and less relevant.
With respect to the all-chain scenario where all traceability information is stored on the Blockchain in different formats and modalities (i.e., immutable data, events, addresses), response time cannot be guaranteed as it can vary considerably, mainly when state changes are required (i.e., storing information in the blockchain), because blockchains can handle a limited number of transactions per second. As decentralisation and security are prioritised, scalability becomes a challenge (Buterin’s trilemma [54]). To increase scalability, consensus times would have to be reduced, which in turn would imply limiting participants and the reliability of consensus mechanisms, which eventually would compromise decentralisation (i.e., control being handed over to a reduced number of participants) and security (i.e., fewer participants mean a higher likelihood of attacks).
All considered, storing only the cryptographic digest on the blockchain is generally more efficient and scalable, and provides reliable verification of the integrity of external content, although it requires managing external storage. Storing the complete content on the blockchain guarantees the immutability of traceability data, but at a significantly higher cost in terms of scalability, efficiency, response time, and privacy. In most cases, balancing these two approaches would be the advisable solution, that is, deploying data structures outside the blockchain that allow the trace to be calculated efficiently, while using the blockchain to facilitate notarisation and the reconstruction of the trace autonomously and independently of off-chain data structures, while keeping data on-chain to a minimum. This is the approach followed in the example implementation discussed in Section 3.2. On the other hand, this balanced approach guarantees that the blockchain’s storage and query operations related to batch creation and trace generation are limited to specific moments across the value chain. The combination of these two strategies makes it possible to offer a reliable view of production chain operations, from raw material to the final product, while limiting blockchain interactions that could affect scalability and response times.

4.1. Scalability

The proposed blockchain-based traceability solution suffers several scalability concerns that need to be addressed for effective implementation in real-world applications [55]. One of the primary challenges is the inherent limitation of blockchain networks in handling a high volume of transactions. As the number of participants and transactions increases, the network can become congested, leading to slower processing times and higher transaction fees (cf. Section 4.3 below). This is particularly critical in supply chains where timely updates and real-time data access are basic requirements for maintaining operational efficiency [56].
Another scalability issue arises from the actual balance between off-chain and on-chain data storage in practical implementations. While the solution proposes a hybrid model that combines on-chain and off-chain storage, the on-chain component still requires careful consideration. As previously discussed, storing large amounts of data directly on the blockchain can lead to increased costs and slower transaction speeds, as each piece of data must be replicated across all nodes in the network. This replication not only consumes significant storage resources but also impacts the overall performance of the blockchain, making it less efficient for applications that require rapid data retrieval and processing.
Moreover, the integration of off-chain data storage solutions introduces additional complexity [57]. While off-chain storage can alleviate some of the on-chain data burdens, it requires robust mechanisms to ensure data integrity and synchronisation between on-chain and off-chain components. If not managed properly, discrepancies between these data sources could undermine the reliability of the traceability system, leading to potential trust issues among stakeholders.
Lastly, the scalability of the proposed solution depends on the actual infrastructure and technology stack. As the system scales, it may require more sophisticated hardware and network capabilities to support increased data loads and transaction volume [58]. This could pose challenges for smaller organisations or those in regions with limited technological resources, potentially widening the gap between larger enterprises and smaller players in a context where supply chains are in many cases global, where suppliers of raw materials, transformation industries and final customers may be placed in different continents.

4.2. Cost Analysis

This approach to blockchain-based traceability includes some aspects that have an impact in both initial and recurring expenses [59]. First, the implementation of blockchain technology typically involves significant upfront costs to cover the hardware, software, and network resources necessary to deploy a blockchain environment. Additionally, organisations may need to invest in specialised development skills to create and deploy efficient and secure smart contracts, which can further increase initial costs. Note that, in many cases, traceability organisations or consortia deploy their own blockchain infrastructure due to the significant benefits that it offers in terms of data integrity, transparency, and control. By utilising a private blockchain, companies can ensure that all transactions and data entries are immutable and verifiable, which in turn promotes trust among stakeholders and facilitates compliance with regulatory requirements [60]. In addition, keeping control on blockchain infrastructure allows one to tailor the system to specific needs, including the ability to manage access permissions and integrate with existing supply chain processes. Furthermore, having a dedicated blockchain enhances operational efficiency by streamlining data sharing and reducing the risk of fraud or errors associated with traditional record-keeping methods. Ultimately, this investment can lead to improved accountability, better quality assurance, and increased consumer confidence in the products being traced. Note that, in any case, a private-operated blockchain infrastructure can still meet the public open access requirements to guarantee accountability.
Using an existing blockchain also incurs relevant ongoing operational costs. For example, transaction fees depend on demand, and can be especially high during periods of network congestion, which can impact operational budgets. These include transaction fees associated with executing smart contracts and recording data on the blockchain. Depending on the volume of transactions, these fees can accumulate quickly, particularly if the solution relies heavily on on-chain data storage. To mitigate these costs, the proposed solution suggests a hybrid model that combines on-chain and off-chain storage, which helps to limit the amount of data stored directly on the blockchain, thereby lowering transaction fees.
Moreover, maintenance costs must be considered independently of the nature of the underlying blockchain, as it will require regular updates and security audits to ensure the integrity and functionality of the smart contracts, and also of the overall blockchain infrastructure in the case of private blockchains. This ongoing maintenance is critical to protect against vulnerabilities and to adapt to evolving regulatory requirements, which in turn adds to the total cost.
On the other side, the potential for cost savings should also be included in the analysis [61]. By improving accountability and transparency, a blockchain-based traceability solution can help organisations reduce losses associated with fraud, recalls, and compliance failures. Enhanced consumer trust and operational efficiencies will eventually lead to increased sales and reduced operational costs over time, providing a return on investment. Overall, while the initial and ongoing costs of implementing a blockchain-based traceability solution can be substantial, the long-term benefits and potential savings will justify in many cases the investment required.

4.3. Security Concerns

The traceability solution introduced in this paper provides important benefits in terms of security, transparency, and efficiency. However, it also introduces some security challenges that must be carefully considered [62]. As discussed above, one of the primary benefits of blockchain traceability is data immutability, which ensures that once traceability data are notarised, they cannot be altered or deleted. This property is instrumental to guaranteeing the integrity of traceability records, as it prevents tampering and fraud. However, the reliance on off-chain storage for part of the relevant data may introduce vulnerabilities. If the off-chain storage is compromised, attackers could manipulate the data before they are hashed and recorded on the blockchain, undermining the entire traceability system.
Another concern when information is stored off-chain is data leakage. If attackers gain access to the off-chain storage, they could exploit these data for malicious purposes. To mitigate this risk, organisations should employ strong encryption methods for off-chain sensitive data and ensure that access controls are strictly enforced [63]. Additionally, using zero-knowledge proofs can enhance privacy by allowing data verification without revealing the actual content [64].
Denial of Service (DoS) situations where the network can be overwhelmed by excessive requests, disrupting normal operations, may be a significant threat in some applications requiring frequent access to traceability data [65]. Implementing rate limiting and monitoring for unusual activity can help detect and prevent such scenarios. Furthermore, ensuring that smart contracts are optimised for efficiency can reduce the likelihood of network congestion.
Smart contract vulnerabilities are a critical area of concern. Bugs or flaws in the contract code can be exploited by attackers, leading to unauthorised access or manipulation of traceability data. Conducting thorough audits and employing formal verification methods during the development phase can significantly reduce the risk of such vulnerabilities. Additionally, using established libraries like OpenZeppelin can provide a more secure foundation for smart contract development.

4.4. Regulatory Implications

Storing traceability data in the case of highly regulated sectors such as food and pharmaceuticals carries significant legal and regulatory implications that should be considered. In these industries, traceability is not just a best practice; it is often a legal requirement aimed at ensuring consumer safety and product integrity. Regulations such as the Food Safety Modernization Act (FSMA) in the United States [66] and the General Food Law in the European Union [67] mandate comprehensive traceability systems that allow for the tracking of products throughout the supply chain. These regulations require organisations to maintain detailed records of product origins, processing, and distribution, which must be readily accessible for audits and inspections. Failure to comply with these regulations can result in severe penalties, including fines, product recalls, and damage to brand reputation.
Moreover, the storage and management of traceability data must adhere to data-protection laws, such as the General Data Protection Regulation (GDPR) in Europe. These laws impose strict requirements on how personal data are collected, stored, and processed, including the need for explicit consent from individuals whose data may be included in traceability records [68]. Organisations must ensure that their traceability systems are designed to protect sensitive information and comply with privacy regulations, which can complicate data-management strategies. This dual focus on traceability and data protection requires a careful balance, as organisations must be transparent about their data practices while also safeguarding consumer privacy.
Note that off-chain data storage significantly enhances privacy in traceability systems by allowing sensitive information to be kept away from the blockchain, where all data are visible and immutable, specially in public blockchains. By storing sensitive traceability data off-chain, organisations can control access to this information, ensuring that only authorised parties can view or modify it. This approach minimises the risk of exposing sensitive data to unauthorised users or potential attackers, as the critical details are not permanently recorded on a public ledger. Additionally, off-chain storage can employ advanced encryption techniques, further safeguarding the data against breaches. By combining off-chain storage with cryptographic hashes stored on-chain, as discussed in this paper, the integrity and authenticity of data can be guaranteed while protecting individual privacy, thus balancing transparency with confidentiality in compliance with data-protection regulations.
In addition to compliance with existing regulations, data ownership and liability may also be a concern. For instance, if traceability data are stored on a public blockchain, determining accountability in the event of a data breach or misinformation can be challenging. As a consequence, Oclear policies regarding data governance and liability must be defined to mitigate potential legal risks associated with the use of blockchain technology.
Finally, the global nature of supply chains discussed above adds another layer of complexity to legal and regulatory compliance. Different countries have varying regulations regarding traceability, and organisations operating internationally must deal with diverse legal landscapes. This can lead to increased operational costs and the need for specialised legal expertise to ensure compliance across jurisdictions. Organisations must stay informed about regulatory changes and adapt their traceability systems accordingly to avoid legal pitfalls.

4.5. Integration with Legacy Traceability Systems

Integrating the proposed blockchain-based traceability framework with existing classical traceability platforms and technologies offers a promising approach to enhance the overall efficiency and reliability of supply chain management. Classical traceability systems often rely on centralised databases and traditional record-keeping methods, which can be prone to errors, fraud, and lack of transparency. By incorporating blockchain technology, organisations can leverage the strengths of both systems, creating a hybrid model that enhances data integrity and accessibility. Indeed, this proposal is conceived as backend-agnostic by balancing on-chain and off-chain data and not imposing any specific backend technology.
One of the primary ways to facilitate this integration is through the use of Application Programming Interfaces (APIs) that connect blockchain networks with existing traceability platforms [69]. These APIs can facilitate the seamless exchange of data between the blockchain and traditional systems, allowing organisations to maintain their current infrastructure while benefiting from the added security and transparency that blockchain provides. In fact, this proposal assumes that critical traceability data, such as batch origins and processing histories, can be recorded on the blockchain, while operational data can continue to reside in classical systems. This dual approach ensures that organisations can enhance their traceability capabilities without undergoing a complete overhaul of their existing technologies.
Moreover, integrating blockchain with classical traceability systems can improve data-verification processes [70]. Traditional systems often rely on manual checks and audits, which can be time-consuming and error-prone. By utilising the blockchain’s immutable ledger, organisations can automate verification processes, ensuring that all recorded data are accurate and tamper-proof. This not only streamlines operations but also enhances compliance with regulatory requirements, as auditors can easily access verified records stored on the blockchain.
Training and education will also play a crucial role in this integration. Employees accustomed to classical traceability methods will need to understand how to interact with blockchain technology effectively. Organisations can facilitate this transition by providing training programs that highlight blockchain’s benefits, such as improved data security and real-time access to traceability information. By fostering a culture of innovation and adaptability, organisations can ensure that their workforce is equipped to leverage the full potential of the integrated system.
Finally, the integration of blockchain with classical traceability platforms can pave the way for enhanced collaboration among supply chain partners. By providing a shared, transparent view of traceability data, blockchain can facilitate trust and cooperation among different stakeholders, from suppliers to retailers. This collaborative approach can lead to improved supply chain resilience, as all parties can quickly access and verify information, enabling faster responses to issues such as recalls or quality concerns.

5. Limitations

While our proposed framework for blockchain-based traceability is robust and theoretically sound, empirical testing across different blockchain networks was not conducted, which would help us to comprehensively evaluate its operational costs and performance. Instead, our current work focuses on a practical implementation within an Ethereum Virtual Machine (EVM)-based blockchain. This decision was made to establish a foundational proof of concept that demonstrates the framework’s functionality and adaptability in a controlled environment, which eventually led us to the actual deployment discussed in Section 3.2.
This EVM-based implementation allowed us to leverage the established infrastructure and tools available within this ecosystem, facilitating initial testing and validation. However, this specific focus means that we have not yet explored how the framework performs across different blockchain architectures, which may have varying consensus mechanisms, transaction speeds, and cost structures. Each blockchain network presents specific features that could influence the operational costs and overall efficiency of our traceability solution.
Future work will involve extending our empirical testing to include a variety of blockchain networks, which will provide valuable insights into the scalability and adaptability of our framework. By comparing performance metrics and operational costs across different platforms, we aim to refine our approach and ensure that it meets the diverse traceability needs. This broader evaluation will ultimately enhance the credibility and applicability of our proposed solution, making it a more versatile tool for traceability in an increasingly complex landscape.

6. Conclusions

This paper introduced a detailed characterisation and data model for implementing traceability systems using smart contracts on Ethereum-compatible networks. By leveraging the Ethereum Virtual Machine (EVM), we benefit from a robust, flexible, and widely adopted platform for developing decentralised applications (dApps), ensuring security and immutability for traceability data. Two reference scenarios for data storage and notarisation were explored, namely storing cryptographic digests (i.e., hash keys) on-chain while keeping detailed data off-chain, and storing all traceability data fully on-chain. The first scenario significantly reduces storage costs and enhances privacy by minimising the amount of data stored on the blockchain. This approach also offers scalability benefits and maintains data integrity through hash keys, ensuring that any tampering with off-chain data can be detected. However, it relies on the availability and reliability of external storage solutions. In turn, the second scenario, although guaranteeing the immutability of all traceability data, incurs higher operational costs and faces challenges related to scalability and response times. The immutability and transparency provided by on-chain storage are valuable, but this later approach is less efficient and exposes potentially sensitive information to all network participants.
Our analysis indicates that a balanced approach, combining off-chain and on-chain strategies, can provide a comprehensive and scalable solution for traceability systems. By optimising data storage and smart contract functionality, operational costs can be managed effectively while maintaining the desired levels of transparency, security, and privacy. In conclusion, blockchain technology, particularly through the use of smart contracts, offers a powerful tool for enhancing traceability in supply chains. Researchers and practitioners are encouraged to consider the trade-offs between on-chain and off-chain storage to develop systems that meet the specific requirements of their applications.
Furthermore, the open nature of our proposal fosters collaboration and knowledge sharing among different industries. By establishing a set of best practices and fundamental principles, we enable organisations to learn from one another and adapt successful strategies across sectors. This cross-pollination of ideas can lead to more robust and effective traceability systems, ultimately benefiting consumers and enhancing trust in product authenticity and safety.
In summary, while many existing blockchain traceability proposals focus on specific contexts, our sector-agnostic approach is designed to identify the essential elements of blockchain technology, making it relevant and applicable across a wide range of industries. This not only broadens the potential impact of our work but also positions it as a valuable resource for organisations looking to enhance their traceability efforts in an increasingly complex and interconnected marketplace. In addition, the proposed blockchain-based traceability framework can significantly enhance existing classical traceability systems by improving data integrity, automating verification processes, and fostering collaboration among supply chain partners. Through thoughtful integration strategies, the strengths of both classical and blockchain technologies can be leveraged, ultimately leading to more efficient and transparent supply chains.
Future work will focus on further optimising these hybrid models and exploring their application in various industries to fully realise the potential of blockchain-enabled traceability systems. Conducting case studies across diverse sectors, such as pharmaceuticals, food, and textiles, would provide valuable insights into best practices and potential challenges, further informing the development of these systems. For example, integrating Internet of Things (IoT) devices for real-time data capture and monitoring would improve the accuracy of traceability systems by providing live updates on product status, location, and condition throughout the supply chain. Alongside this, developing automated compliance frameworks could ensure that traceability systems meet industry regulations, reducing the burden on businesses. A complementary line of research is the development of hybrid data-storage models that effectively balance on-chain and off-chain storage by creating frameworks that can dynamically adjust storage strategies based on factors such as transaction volume, data sensitivity, and regulatory requirements. Additionally, scalability solutions, particularly through Layer 2 technologies, could significantly improve transaction speeds and reduce costs, making blockchain applications more viable for high-volume environments. Another area for future work is enhancing privacy mechanisms, such as implementing zero-knowledge proofs. This would allow stakeholders to verify transactions without exposing sensitive data, addressing privacy concerns while maintaining necessary transparency. Furthermore, exploring interoperability between different blockchain networks could facilitate seamless data sharing across various platforms, enhancing the traceability of products that move through multiple supply chains.

Author Contributions

Conceptualisation, C.D.v.E. and M.J.F.-I.; methodology, C.D.v.E., M.J.F.-I. and L.A.-R.; software, M.J.F.-I. and C.D.v.E.; validation, C.D.v.E. and M.J.F.-I.; writing—original draft preparation, M.J.F.-I.; writing—review and editing, C.D.v.E., M.J.F.-I. and L.A.-R. All authors have read and agreed to the published version of the manuscript.

Funding

This research was partially funded by Nunegal Consulting SL (contract no. CO-0037-2024) and Grant TED2021-130828B-I00 funded by MCIN/AEI/10.13039/501100011033 and European Union NextGenerationEU/PRTR.

Institutional Review Board Statement

Not applicable.

Informed Consent Statement

Not applicable.

Data Availability Statement

The original contributions presented in the study are included in the article, further inquiries can be directed to the corresponding author.

Acknowledgments

We would like to express our gratitude to Nunegal Consulting SL and Amtega Agency for the Technological Modernisation of Galicia for providing invaluable insights into the workings of traceability in the timber sector. Their expertise and detailed information inspired us in developing the traceability solution presented in this paper. We would also like to thank the rest of the members of the GAVIN team at atlanTTic, María Ruiz-Molina and Pablo Molina-Martínez, for their inspirational comments and insight.

Conflicts of Interest

The authors declare no conflicts of interest.

Correction Statement

This article has been republished with a minor correction to the Funding statement. This change does not affect the scientific content of the article.

Abbreviations

The following abbreviations are used in this manuscript:
APIApplication Programmer’s Interface
CIDContent Identifier
DAGDirected Acyclic Graph
dAppDecentralised Application
EVMEthereum Virtual Machine
FSMAFood Safety Modernization Act
GDPRGeneral Data Protection Regulation
GPSGlobal Positioning System
IDEIntegrated Development Environment
IPFSInterPlanetary File System
ISOInternational Standardisation Organization
JSONJavaScript Serialised Object Notation
RFIDRadioFrequency Identifier
ToATable of Arcs
URIUniform Resource Locator

Appendix A. Forward and Backward Traceability Algorithms

This appendix provides detailed algorithms for forwards and backwards traceability within the proposed traceability system. These algorithms aim to ensure that all stages of the supply chain can be accurately tracked and verified, from raw materials to final products and vice versa.
The forwards traceability algorithm focuses on identifying the subsequent stages that a given node influences, allowing us to follow the progression of materials and components through the supply chain. This algorithm is relevant for quality control, ensuring compliance with standards, and identifying the end products associated with specific batches of raw materials. Conversely, the backwards traceability algorithm is designed to trace the origins of a final product back to its initial raw materials. This capability is vital for verifying the integrity of the supply chain, identifying the sources of defects or contaminants, and ensuring that all components meet regulatory and safety standards.
Together, these algorithms enable comprehensive traceability, ensuring transparency and accountability at every step of the supply chain.
Algorithm A1 Find all arcs leading to node i d t from leaf nodes in a ToA.
Require:  T o A ▹ Table of arcs, where each arc is a tuple ( i d n , i d c , d )
Require:  i d t ▹ Target node representing a consumer product
Ensure: P▹ List of arcs leading to i d t from leaf nodes
  1:  function FindArcsToTarget( A , i d t )
  2:         P [ ] ▹ Initialise the list of paths
  3:         D { i d n  :  ( i d n , i d c , d ) A } ▹ Set of all destination nodes
  4:         O { i d c  :  ( i d n , i d c , d ) A } ▹ Set of all origin nodes
  5:         L e a f N o d e s O D ▹ Identify leaf nodes
  6:        for all  n L e a f N o d e s  do
  7:                DFS( n , i d t , A , [ ] , P )
  8:        end for
  9:        return P
10:  end function
11:  function DFS( c u r r e n t , t a r g e t , A , p a t h , P )
12:        if  c u r r e n t = t a r g e t  then
13:                 P P { p a t h } ▹ Add current path to results
14:                return
15:        end if
16:        for all  ( i d n , i d c , d ) A such that i d c = c u r r e n t  do
17:                DFS( i d n , t a r g e t , A , p a t h { ( i d n , i d c , d ) } , P )
18:        end for
19:  end function
Algorithm A2 Find all distinct paths from a given leaf node to any root node in a ToA.
Require:  T o A ▹ Table of arcs, where each arc is a tuple ( n d , i d c , d )
Require:  i d r ▹ Leaf node representing a batch of raw materials
Ensure: P▹ List of distinct paths from i d r to any root node
  1:  function FindPathsFromLeaf( A , i d r )
  2:         P [ ] ▹ Initialise the list of paths
  3:         D { n d  :  ( i d n , i d c , d ) A } ▹ Set of all destination nodes
  4:         O { i d c  :  ( n d , i d c , d ) A } ▹ Set of all origin nodes
  5:         R o o t N o d e s D O ▹ Identify root nodes
  6:        DFS( i d r , A , [ ] , P , R o o t N o d e s )
  7:        return P
  8:  end function
  9:  function DFS( c u r r e n t , A , p a t h , P , R o o t N o d e s )
10:        if  c u r r e n t R o o t N o d e s  then
11:                 P P { p a t h } ▹ Add current path to results
12:                return
13:        end if
14:        for all  ( n d , i d c , d ) A such that n d = c u r r e n t  do
15:                DFS( i d c , A , p a t h { ( n d , i d c , d ) } , P , R o o t N o d e s )
16:        end for
17:  end function

References

  1. Laraib, M.; Asim, M.; Manzoor, S. A Correlation between Process Management and Procurement Efficiency in Manufacturing Sector. Eur. J. Bus. Manag. Res. 2021, 6, 187–192. [Google Scholar] [CrossRef]
  2. Golan, E.; Krissoff, B.; Kuchler, F.; Calvin, L.; Nelson, K.E.; Price, G.K. Traceability in the US Food Supply: Economic Theory and Industry Studies; Agricultural Economic Reports 33939; United States Department of Agriculture, Economic Research Service: Washington, DC, USA, 2004. [CrossRef]
  3. Olsen, P.; Borit, M. How to define traceability. Trends Food Sci. Technol. 2013, 29, 142–150. [Google Scholar] [CrossRef]
  4. ISO 9001:2015; Quality Management Systems—Requirements. International Standardization Organization, Vernier: Geneva, Switzerland, 2015.
  5. Tschorsch, F.; Scheuermann, B. Bitcoin and beyond: A technical survey on decentralized digital currencies. IEEE Commun. Surv. Tutor. 2016, 18, 2084–2123. [Google Scholar] [CrossRef]
  6. Xie, M.; Liu, J.; Chen, S.; Lin, M. A survey on blockchain consensus mechanism: Research overview, current advances and future directions. Int. J. Intell. Comput. Cybern. 2023, 16, 314–340. [Google Scholar] [CrossRef]
  7. Sunny, J.; Undralla, N.; Madhusudanan Pillai, V. Supply chain transparency through blockchain-based traceability: An overview with demonstration. Comput. Ind. Eng. 2020, 150, 106895. [Google Scholar] [CrossRef]
  8. Salah, K.; Nizamuddin, N.; Jayaraman, R.; Omar, M. Blockchain-Based Soybean Traceability in Agricultural Supply Chain. IEEE Access 2019, 7, 73295–73305. [Google Scholar] [CrossRef]
  9. Antonucci, F.; Figorilli, S.; Costa, C.; Pallottino, F.; Raso, L.; Menesatti, P. A review on blockchain applications in the agri-food sector. J. Sci. Food Agric. 2019, 99, 6129–6138. [Google Scholar] [CrossRef] [PubMed]
  10. Kunpeng Li, J.Y.L.; Gharehgozli, A. Blockchain in food supply chains: A literature review and synthesis analysis of platforms, benefits and challenges. Int. J. Prod. Res. 2023, 61, 3527–3546. [Google Scholar] [CrossRef]
  11. Hosseini Bamakan, S.M.; Ghasemzadeh Moghaddam, S.; Dehghan Manshadi, S. Blockchain-enabled pharmaceutical cold chain: Applications, key challenges, and future trends. J. Clean. Prod. 2021, 302, 127021. [Google Scholar] [CrossRef]
  12. Abdallah, S.; Nizamuddin, N. Blockchain-based solution for Pharma Supply Chain Industry. Comput. Ind. Eng. 2023, 177, 108997. [Google Scholar] [CrossRef]
  13. Havaeji, H.; Dao, T.M.; Wong, T. Cost Prediction in Blockchain-Enabled Pharmaceutical Supply Chain under Uncertain Demand. Mathematics 2023, 11, 4669. [Google Scholar] [CrossRef]
  14. Li, S.; Zhou, T.; Yang, H.; Wang, P. Blockchain-Based Secure Storage and Access Control Scheme for Supply Chain Ecological Business Data: A Case Study of the Automotive Industry. Sensors 2023, 23, 7036. [Google Scholar] [CrossRef]
  15. Yasmin, S.; Devi, G. Blockchain and Cloud-based Technology in Automotive Supply Chain. In Proceedings of the 2023 5th International Conference on Smart Systems and Inventive Technology (ICSSIT), Tirunelveli, India, 23–25 January 2023; pp. 771–775. [Google Scholar] [CrossRef]
  16. Wang, L.; Sun, W.; Zhao, J.; Zhang, X.; Lu, C.; Luo, H. A Non-Fungible Token and Blockchain-Based Cotton Lint Traceability Solution. Appl. Sci. 2024, 14, 1610. [Google Scholar] [CrossRef]
  17. Chen, Y. How blockchain adoption affects supply chain sustainability in the fashion industry: A systematic review and case studies. Int. Trans. Oper. Res. 2024, 31, 3592–3620. [Google Scholar] [CrossRef]
  18. Figorilli, S.; Antonucci, F.; Costa, C.; Pallottino, F.; Raso, L.; Castiglione, M.; Pinci, E.; Del Vecchio, D.; Colle, G.; Proto, A.R.; et al. A Blockchain Implementation Prototype for the Electronic Open Source Traceability of Wood along the Whole Supply Chain. Sensors 2018, 18, 3133. [Google Scholar] [CrossRef] [PubMed]
  19. Sheng, S.W.; Wicha, S. Blockchain-based Traceability for Teak Identity: A Transformational Approach. J. Mob. Multimed. 2024, 20, 267–306. [Google Scholar] [CrossRef]
  20. Chen, C.L.; Guo, L.H.; Zhou, M.; Tsaur, W.J.; Sun, H.; Zhan, W.; Deng, Y.Y.; Li, C.T. Blockchain-Based Anti-Counterfeiting Management System for Traceable Luxury Products. Sustainability 2022, 14, 12814. [Google Scholar] [CrossRef]
  21. Jevtic, M.; Khan, S.; Gomes, J.; Svetinovic, D. Blockchain-Based Countermeasures for Luxury Goods Counterfeiting: A Focused Survey. In Proceedings of the 2023 Fifth International Conference on Blockchain Computing and Applications (BCCA), Kuwait, Kuwait, 24–26 October 2023; pp. 530–537. [Google Scholar] [CrossRef]
  22. Xiao, L.; Sun, W.; Chang, S.; Lu, C.; Jiang, R. Research on the Construction of a Blockchain-Based Industrial Product Full Life Cycle Information Traceability System. Appl. Sci. 2024, 14, 4569. [Google Scholar] [CrossRef]
  23. Zheng, K.; Ding, K.; Hui, J.; Zhang, F.; Lv, J.; Chan, F.T. Blockchain-based credible manufacturing data sharing for a collaborative manufacturing supply chain. Int. J. Prod. Res. 2024, 62, 2233–2254. [Google Scholar] [CrossRef]
  24. Taherdoost, H. Smart Contracts in Blockchain Technology: A Critical Review. Information 2023, 14, 117. [Google Scholar] [CrossRef]
  25. Antonopoulos, A.M.; Wood, G. The Ethereum Virtual Machine. In Mastering Ethereum. Building Smart Contracts and DApps, 1st ed.; O’Reilly Media: Sebastopol, CA, USA, 2019; Chapter 13; pp. 297–318. [Google Scholar]
  26. Dannen, C. Solidity Programming. In Introducing Ethereum and Solidity: Foundations of Cryptocurrency and Blockchain Programming for Beginners; Apress: Berkeley, CA, USA, 2017; Chapter 4; pp. 69–88. [Google Scholar] [CrossRef]
  27. Digitale, J.C.; Martin, J.N.; Glymour, M.M. Tutorial on directed acyclic graphs. J. Clin. Epidemiol. 2022, 142, 264–267. [Google Scholar] [CrossRef] [PubMed]
  28. Kim, T.; Chwa, K. Parallel algorithms for a depth first search and a breadth first search. Int. J. Comput. Math. 1986, 19, 39–54. [Google Scholar] [CrossRef]
  29. Fernandes, D.; Bernardino, J. Graph Databases Comparison: AllegroGraph, ArangoDB, InfiniteGraph, Neo4J, and OrientDB. In Proceedings of the 7th International Conference on Data Science, Technology and Applications, Porto, Portugal, 26–28 July 2018; pp. 373–380. [Google Scholar] [CrossRef]
  30. Singh, H.; Sharma, R. Role of Adjacency Matrix & Adjacency List in Graph Theory. Int. J. Comput. Technol. 2012, 3, 179–183. [Google Scholar] [CrossRef]
  31. Zheng, Z.; Xie, S.; Dai, H.N.; Chen, W.; Chen, X.; Weng, J.; Imran, M. An overview on smart contracts: Challenges, advances and platforms. Future Gener. Comput. Syst. 2020, 105, 475–491. [Google Scholar] [CrossRef]
  32. Antonopoulos, A.M.; Wood, G. Smart Contracts and Solidity. In Mastering Ethereum: Building Smart Contracts and DApps, 1st ed.; O’Reilly Media: Sebastopol, CA, USA, 2019; Chapter 7; pp. 127–160. [Google Scholar]
  33. Sillaber, C.; Waltl, B.; Treiblmaier, H.; Gallersdörfer, U.; Felderer, M. Laying the foundation for smart contract development: An integrated engineering process model. Inf. Syst.-Bus. Manag. 2021, 19, 863–882. [Google Scholar] [CrossRef]
  34. Snyder, A. Encapsulation and inheritance in object-oriented programming languages. In Proceedings of the OOPSLA ’86: Conference Proceedings on Object-Oriented Programming Systems, Languages and Applications, New York, NY, USA, 29 September–2 October 1986; OOPSLA ’86. pp. 38–45. [Google Scholar] [CrossRef]
  35. Kannengießer, N.; Lins, S.; Sander, C.; Winter, K.; Frey, H.; Sunyaev, A. Challenges and Common Solutions in Smart Contract Development. IEEE Trans. Softw. Eng. 2022, 48, 4291–4318. [Google Scholar] [CrossRef]
  36. Chepurnoy, A.; Kharin, V.; Meshkov, D. Self-reproducing Coins as Universal Turing Machine. In International Workshop on Data Privacy Management; Garcia-Alfaro, J., Herrera-Joancomartí, J., Livraga, G., Rios, R., Eds.; Springer International Publishing: Cham, Switzerland, 2018; pp. 57–64. [Google Scholar] [CrossRef]
  37. Huang, Y.; Bian, Y.; Li, R.; Zhao, J.L.; Shi, P. Smart Contract Security: A Software Lifecycle Perspective. IEEE Access 2019, 7, 150184–150202. [Google Scholar] [CrossRef]
  38. Salehi, M.; Clark, J.; Mannan, M. Not so Immutable: Upgradeability of Smart Contracts on Ethereum. In International Conference on Financial Cryptography and Data Security; Matsuo, S., Gudgeon, L., Klages-Mundt, A., Perez Hernandez, D., Werner, S., Haines, T., Essex, A., Bracciali, A., Sala, M., Eds.; Financial Cryptography and Data Security. FC 2022 International Workshops; Springer International Publishing: Cham, Switzerland, 2022; pp. 539–554. [Google Scholar] [CrossRef]
  39. Giancaspro, M. Is a ‘smart contract’ really a smart idea? Insights from a legal perspective. Comput. Law Secur. Rev. 2017, 33, 825–835. [Google Scholar] [CrossRef]
  40. Sund, T.; Lööf, C.; Nadjm-Tehrani, S.; Asplund, M. Blockchain-based event processing in supply chains—A case study at IKEA. Robot. Comput.-Integr. Manuf. 2020, 65, 101971. [Google Scholar] [CrossRef]
  41. Tsang, Y.P.; Lee, C.K.M.; Zhang, K.; Wu, C.H.; Ip, W.H. On-Chain and Off-Chain Data Management for Blockchain-Internet of Things: A Multi-Agent Deep Reinforcement Learning Approach. J. Grid Comput. 2024, 22, 16. [Google Scholar] [CrossRef]
  42. Priya, E.S.; Priya, R. Performance Comparison of On-Chain and Off-Chain Data Storage Model Using Blockchain Technology. In International Conference on Frontiers of Intelligent Computing: Theory and Applications; Bhateja, V., Yang, X.S., Ferreira, M.C., Sengar, S.S., Travieso-González, C.M., Eds.; Springer Nature: Singapore, 2023; pp. 499–511. [Google Scholar] [CrossRef]
  43. Bhaskar, R.; Laxman, S.; Smith, A.; Thakurta, A. Discovering frequent patterns in sensitive data. In Proceedings of the 16th ACM SIGKDD International Conference on Knowledge Discovery and Data Mining, New York, NY, USA, 25–28 July 2010; pp. 503–512. [Google Scholar] [CrossRef]
  44. Nohuddin, P.N.; Coenen, F.; Christley, R.; Setzkorn, C.; Patel, Y.; Williams, S. Finding “interesting” trends in social networks using frequent pattern mining and self organizing maps. Knowl.-Based Syst. 2012, 29, 104–113. [Google Scholar] [CrossRef][Green Version]
  45. Zheng, Q.; Li, Y.; Chen, P.; Dong, X. An Innovative IPFS-Based Storage Model for Blockchain. In Proceedings of the 2018 IEEE/WIC/ACM International Conference on Web Intelligence (WI), Santiago, Chile, 3–6 December 2018; pp. 704–708. [Google Scholar] [CrossRef]
  46. Hepp, T.; Sharinghousen, M.; Ehret, P.; Schoenhals, A.; Gipp, B. On-chain vs. off-chain storage for supply- and blockchain integration. it-Inf. Technol. 2018, 60, 283–291. [Google Scholar] [CrossRef]
  47. Raikwar, M.; Gligoroski, D.; Velinov, G. Trends in Development of Databases and Blockchain. In Proceedings of the 2020 Seventh International Conference on Software Defined Systems (SDS), Paris, France, 30 June–3 July 2020; pp. 177–182. [Google Scholar] [CrossRef]
  48. Delgado-von Eitzen, C.; Anido-Rifón, L.; Fernández-Iglesias, M.J. Blockchain for the Scalable Issuance and Verification of Private Academic Information. In Proceedings of the 2021 International Conference on Advanced Learning Technologies (ICALT), Tartu, Estonia, 12–15 July 2021; pp. 436–438. [Google Scholar] [CrossRef]
  49. Karafiloski, E.; Mishev, A. Blockchain solutions for big data challenges: A literature review. In Proceedings of the IEEE EUROCON 2017—17th International Conference on Smart Technologies, Ohrid, Macedonia, 6–8 July 2017; pp. 763–768. [Google Scholar] [CrossRef]
  50. OpenZeppelin. Access Control. OpenZeppeling Library Contracts. 2024. Available online: https://docs.openzeppelin.com/contracts/access-control (accessed on 25 November 2024).
  51. Hoen, H.F.; Solberg, B. CO2-taxing, timber rotations, and market implications. Crit. Rev. Environ. Sci. Technol. 1997, 27, 151–162. [Google Scholar] [CrossRef]
  52. Ibáñez, J.W.; Moccia, S. Designing the Architecture of a Blockchain Platform: The Case of Alastria, a National Public Permissioned Blockchain. Int. J. Enterp. Inf. Syst. (IJEIS) 2020, 16, 15. [Google Scholar] [CrossRef]
  53. Daniel, E.; Tschorsch, F. IPFS and Friends: A Qualitative Comparison of Next Generation Peer-to-Peer Data Networks. IEEE Commun. Surv. Tutor. 2022, 24, 31–52. [Google Scholar] [CrossRef]
  54. Nakai, T.; Sakurai, A.; Hironaka, S.; Shudo, K. A Formulation of the Trilemma in Proof of Work Blockchain. IEEE Access 2024, 12, 80559–80578. [Google Scholar] [CrossRef]
  55. Yang, D.; Long, C.; Xu, H.; Peng, S. A Review on Scalability of Blockchain. In Proceedings of the 2020 2nd International Conference on Blockchain Technology, New York, NY, USA, 26 October 2020; ICBCT ’20. pp. 1–6. [Google Scholar] [CrossRef]
  56. Childerhouse, P.; Towill, D. Engineering supply chains to match customer requirements. Logist. Inf. Manag. 2000, 13, 337–346. [Google Scholar] [CrossRef]
  57. Khalid, M.I.; Ehsan, I.; Al-Ani, A.K.; Iqbal, J.; Hussain, S.; Ullah, S.S.; Nayab. A Comprehensive Survey on Blockchain-Based Decentralized Storage Networks. IEEE Access 2023, 11, 10995–11015. [Google Scholar] [CrossRef]
  58. Kaur, G.; Gandhi, C. Chapter 15—Scalability in Blockchain: Challenges and Solutions. In Handbook of Research on Blockchain Technology; Krishnan, S., Balas, V.E., Julie, E.G., Robinson, Y.H., Balaji, S., Kumar, R., Eds.; Academic Press: Cambridge, MA, USA, 2020; pp. 373–406. [Google Scholar] [CrossRef]
  59. Jabbar, A.; Dani, S. Investigating the link between transaction and computational costs in a blockchain environment. Int. J. Prod. Res. 2020, 58, 3423–3436. [Google Scholar] [CrossRef]
  60. Yeoh, P. Regulatory issues in blockchain technology. J. Financ. Regul. Compliance 2017, 25, 196–208. [Google Scholar] [CrossRef]
  61. Ko, T.; Lee, J.; Ryu, D. Blockchain Technology and Manufacturing Industry: Real-Time Transparency and Cost Savings. Sustainability 2018, 10, 4274. [Google Scholar] [CrossRef]
  62. Guo, H.; Yu, X. A survey on blockchain technology and its security. Blockchain Res. Appl. 2022, 3, 100067. [Google Scholar] [CrossRef]
  63. Li, B.; Qi, G.; Lu, W. Recent Advances in Privacy Protection Technologies in Blockchain. In Proceedings of the 2022 13th International Conference on Information and Communication Technology Convergence (ICTC), Jeju Island, Republic of Korea, 19–21 October 2022; pp. 77–82. [Google Scholar] [CrossRef]
  64. Chi, P.W.; Lu, Y.H.; Guan, A. A Privacy-Preserving Zero-Knowledge Proof for Blockchain. IEEE Access 2023, 11, 85108–85117. [Google Scholar] [CrossRef]
  65. Chaganti, R.; Boppana, R.V.; Ravi, V.; Munir, K.; Almutairi, M.; Rustam, F.; Lee, E.; Ashraf, I. A Comprehensive Review of Denial of Service Attacks in Blockchain Ecosystem and Open Challenges. IEEE Access 2022, 10, 96538–96555. [Google Scholar] [CrossRef]
  66. Strauss, D.M. An Analysis of the FDA Food Safety Modernization Act: Protection for Consumers and Boon for Business. Food Drug Law J. 2011, 66, 353–376. [Google Scholar] [PubMed]
  67. Arienzo, A.; Coff, C.; Barling, D. The European Union and the regulation of food traceability: From risk management to informed choice? In Ethical Traceability and Communicating Food; Springer: Berlin/Heidelberg, Germany, 2008; pp. 23–42. [Google Scholar] [CrossRef]
  68. Delgado-von Eitzen, C.; Anido-Rifón, L.; Fernández-Iglesias, M.J. Application of Blockchain in Education: GDPR-Compliant and Scalable Certification and Verification of Academic Information. Appl. Sci. 2021, 11, 4537. [Google Scholar] [CrossRef]
  69. Lamken, D.; Wagner, T.; Hoiss, T.; Seidenfad, K.; Hermann, A.; Kus, M.; Lechner, U. Design patterns and framework for blockchain integration in supply chains. In Proceedings of the 2021 IEEE International Conference on Blockchain and Cryptocurrency (ICBC), Sydney, Australia, 3–6 May 2021; pp. 1–3. [Google Scholar] [CrossRef]
  70. Marijan, D.; Lal, C. Blockchain verification and validation: Techniques, challenges, and research directions. Comput. Sci. Rev. 2022, 45, 100492. [Google Scholar] [CrossRef]
Figure 1. Example DAGs modelling supply chain traces. Numbers at the top and left sides are used as coordinates to conveniently identify nodes in each trace. (a) Simple trace illustrating a coffee-production supply chain, from coffee plants (1, 1) to coffee capsules to be sold at a grocery shop (1, 4). (b) Complex trace for monitoring the production of tables and garden benches at different facilities from different timber sources. For example, benches at coordinates (3, 4) are produced by means of planks (3, 3) produced using timber from two forests (2, 1) and (4, 1); nuts and bolts from a hardware supplier (5, 3) and planks from a different supplier (6, 3).
Figure 1. Example DAGs modelling supply chain traces. Numbers at the top and left sides are used as coordinates to conveniently identify nodes in each trace. (a) Simple trace illustrating a coffee-production supply chain, from coffee plants (1, 1) to coffee capsules to be sold at a grocery shop (1, 4). (b) Complex trace for monitoring the production of tables and garden benches at different facilities from different timber sources. For example, benches at coordinates (3, 4) are produced by means of planks (3, 3) produced using timber from two forests (2, 1) and (4, 1); nuts and bolts from a hardware supplier (5, 3) and planks from a different supplier (6, 3).
Applsci 14 11078 g001
Figure 2. Simple DAG representing two traces for products P 1 and P 2 . For example, P 1 is produced using inputs from batches J 1 and I 2 , while J 1 materials are obtained by transforming materials in batch I 1 . Finally, batch I 1 is produced with raw materials from batches R 1 and R 2 , while batch I 2 is produced with raw materials from batches R 2 and R 3 . Incidentally, materials in batch I 2 are also used as inputs to produce batch J 2 together with materials from batch I 3 , which is eventually transformed into final products in P 2 . Edges r l m , i l m , j l m model transformation steps along the supply chain.
Figure 2. Simple DAG representing two traces for products P 1 and P 2 . For example, P 1 is produced using inputs from batches J 1 and I 2 , while J 1 materials are obtained by transforming materials in batch I 1 . Finally, batch I 1 is produced with raw materials from batches R 1 and R 2 , while batch I 2 is produced with raw materials from batches R 2 and R 3 . Incidentally, materials in batch I 2 are also used as inputs to produce batch J 2 together with materials from batch I 3 , which is eventually transformed into final products in P 2 . Edges r l m , i l m , j l m model transformation steps along the supply chain.
Applsci 14 11078 g002
Figure 3. Basic data model for a blockchain-based traceability solution.
Figure 3. Basic data model for a blockchain-based traceability solution.
Applsci 14 11078 g003
Figure 4. Solidity code for the declaration of the data structure utilised to store traceability-critical data as part of the smart contract’s state.
Figure 4. Solidity code for the declaration of the data structure utilised to store traceability-critical data as part of the smart contract’s state.
Applsci 14 11078 g004
Figure 5. Example of a JSON structure to record contributions to a new batch on-chain (cf. Figure 3).
Figure 5. Example of a JSON structure to record contributions to a new batch on-chain (cf. Figure 3).
Applsci 14 11078 g005
Figure 6. Smart contract function to create a new node (cf. Figure 4).
Figure 6. Smart contract function to create a new node (cf. Figure 4).
Applsci 14 11078 g006
Figure 7. Event designed to register traceability operations in the blockchain (cf. Figure 6).
Figure 7. Event designed to register traceability operations in the blockchain (cf. Figure 6).
Applsci 14 11078 g007
Figure 8. Smart contract function to obtain the details of an existing node.
Figure 8. Smart contract function to obtain the details of an existing node.
Applsci 14 11078 g008
Figure 9. Data structures in Figure 4 for the two extreme scenarios discussed. (a) Blockchain as a notarisation-only instrument. (b) Blockchain as an immutable storage of traceability data. In this example, the createNode function creates and returns an SHA-256 hash key of the data that can be used to retrieve a node’s data by means of the _hashKeys mapping.
Figure 9. Data structures in Figure 4 for the two extreme scenarios discussed. (a) Blockchain as a notarisation-only instrument. (b) Blockchain as an immutable storage of traceability data. In this example, the createNode function creates and returns an SHA-256 hash key of the data that can be used to retrieve a node’s data by means of the _hashKeys mapping.
Applsci 14 11078 g009
Table 1. ToA of the DAG in Figure 2. Each table row models one transformation step along the supply chain. For example, the first triplet ( I 1 , R 1 , r 11 ) models the transformation of raw materials in batch R 1 into intermediate products in batch I 1 , the details of that transformation being collected in arc r 11 .
Table 1. ToA of the DAG in Figure 2. Each table row models one transformation step along the supply chain. For example, the first triplet ( I 1 , R 1 , r 11 ) models the transformation of raw materials in batch R 1 into intermediate products in batch I 1 , the details of that transformation being collected in arc r 11 .
id n id c d
I 1 R 1 r 11
I 1 R 2 r 21
I 2 R 2 r 22
I 2 R 3 r 32
I 3 R 4 r 43
J 1 I 1 i 11
P 1 I 2 i 21
J 2 I 2 i 22
J 2 I 3 i 32
P 1 J 1 j 11
P 2 J 2 j 22
Table 2. ToA of the DAG in Figure 1. Nodes a i j are nodes in DAG (a), nodes b i j are nodes in DAG (b), and indexes i j are the coordinates of each node in Figure 1. For example, node b 53 represents the batch of nuts and bolts in Figure 1’s trace (b). For the sake of clarity, no node transformation details (i.e., arcs) are represented in this example.
Table 2. ToA of the DAG in Figure 1. Nodes a i j are nodes in DAG (a), nodes b i j are nodes in DAG (b), and indexes i j are the coordinates of each node in Figure 1. For example, node b 53 represents the batch of nuts and bolts in Figure 1’s trace (b). For the sake of clarity, no node transformation details (i.e., arcs) are represented in this example.
id n id c
a 12 a 11
a 13 a 12
a 14 a 13
b 32 b 21
b 33 b 32
b 34 b 33
b 34 b 53
b 34 b 63
b 62 b 41
b 63 b 62
b 82 b 61
b 82 b 81
b 83 b 82
b 74 b 53
b 74 b 63
b 74 b 83
Disclaimer/Publisher’s Note: The statements, opinions and data contained in all publications are solely those of the individual author(s) and contributor(s) and not of MDPI and/or the editor(s). MDPI and/or the editor(s) disclaim responsibility for any injury to people or property resulting from any ideas, methods, instructions or products referred to in the content.

Share and Cite

MDPI and ACS Style

Fernández-Iglesias, M.J.; Delgado von Eitzen, C.; Anido-Rifón, L. Efficient Traceability Systems with Smart Contracts: Balancing On-Chain and Off-Chain Data Storage for Enhanced Scalability and Privacy. Appl. Sci. 2024, 14, 11078. https://doi.org/10.3390/app142311078

AMA Style

Fernández-Iglesias MJ, Delgado von Eitzen C, Anido-Rifón L. Efficient Traceability Systems with Smart Contracts: Balancing On-Chain and Off-Chain Data Storage for Enhanced Scalability and Privacy. Applied Sciences. 2024; 14(23):11078. https://doi.org/10.3390/app142311078

Chicago/Turabian Style

Fernández-Iglesias, Manuel José, Christian Delgado von Eitzen, and Luis Anido-Rifón. 2024. "Efficient Traceability Systems with Smart Contracts: Balancing On-Chain and Off-Chain Data Storage for Enhanced Scalability and Privacy" Applied Sciences 14, no. 23: 11078. https://doi.org/10.3390/app142311078

APA Style

Fernández-Iglesias, M. J., Delgado von Eitzen, C., & Anido-Rifón, L. (2024). Efficient Traceability Systems with Smart Contracts: Balancing On-Chain and Off-Chain Data Storage for Enhanced Scalability and Privacy. Applied Sciences, 14(23), 11078. https://doi.org/10.3390/app142311078

Note that from the first issue of 2016, this journal uses article numbers instead of page numbers. See further details here.

Article Metrics

Back to TopTop