Next Article in Journal
Green Manufacturing for a Green Environment from Manufacturing Sector in Guangdong Province: Mediating Role of Sustainable Operations and Operational Transparency
Next Article in Special Issue
A Review on Head-Related Transfer Function Generation for Spatial Audio
Previous Article in Journal
Optimization of Wiring Harness Logistics Flow in the Automotive Industry
Previous Article in Special Issue
Comparison of the Sensitivity of Various Fibers in Distributed Acoustic Sensing
 
 
Font Type:
Arial Georgia Verdana
Font Size:
Aa Aa Aa
Line Spacing:
Column Width:
Background:
Article

Limitations and Performance Analysis of Spherical Sector Harmonics for Sound Field Processing

Audio and Acoustic Signal Processing Group, School of Engineering, Australian National University, Canberra 2601, Australia
*
Author to whom correspondence should be addressed.
Appl. Sci. 2024, 14(22), 10633; https://doi.org/10.3390/app142210633
Submission received: 9 October 2024 / Revised: 12 November 2024 / Accepted: 15 November 2024 / Published: 18 November 2024
(This article belongs to the Special Issue Spatial Audio and Sound Design)

Abstract

Developing spherical sector harmonics (SSHs) benefits sound field decomposition and analysis over spherical sector regions. Although SSHs demonstrate potential in the field of spatial audio, a comprehensive investigation into their properties and performance is absent. This paper seeks to close this gap by revealing three key limitations of SSHs and exploring their performance in two aspects: sector sound field radial extrapolation and sector sound field decomposition and reconstruction. First, SSHs are not solutions to the Helmholtz equation, which is their main limitation. Then, due to the violation of the Helmholtz equation, SSHs lack the ability to conduct sound field radial extrapolation, especially for interior cases. Third, when using SSHs to decompose and reconstruct a sound field, the shifted associated Legendre polynomials and scaled exponential function in SSHs result in severe distortion around the edge of the sector region. In light of these three limitations, the future implementation of SSHs should focus on processing and analyzing the measurement sector region without any extrapolation process, and the measurement region should be larger than the target sector region.

1. Introduction

Spherical harmonics (SHs) are one of the fundamental approaches for spherical microphone array processing [1,2,3,4]. They have been widely adopted in various acoustic tasks, including beamforming [5,6], source localization [7,8,9,10], noise cancellation [11,12,13,14], and sound field recording [15]. However, in SH-based methods, implementing the required spherical microphone array can be challenging, especially in applications such as attaching these arrays to drones for whole-sphere sampling. To address the whole sphere sampling challenge, an orthonormal function set was developed for an accurate representation of the pressure over an arbitrary spherical sector region, named spherical sector harmonics (SSHs) [16]. Although SSHs have the potential to be implemented in various audio and acoustic problems, a thorough investigation of this needs to be included. In this paper, we conduct comprehensive investigations of SSHs and reveal three main limitations of them, offering valuable insights for their future implementation.
SHs can decompose the sound field into angular-dependent orthonormal functions and corresponding coefficients, allowing for the analysis of a spatial sound field with a finite number of SH coefficients. The concept of using an open spherical microphone array to capture high-order sound fields was first introduced by Abhayapala and Ward [1]. Subsequently, Meyer and Elko developed a microphone array over a rigid sphere to implement this approach [2]. Further advancements in the design and analysis of spherical arrays were made by Rafaely [3] and Duraiswami [17], with Rafaely later proposing a dual-sphere microphone array [4]. Although SH-based spherical array processing has greatly benefited spatial audio and acoustics, the requirement for whole-sphere sampling poses challenges for implementation in certain applications.
McCormack et al. [18] developed a method for sound field visualization based on sector design. To approximate the directivity pattern with data available only within a limited range of directions, Zotter and Pomberger introduced the concept of spherical Slepian functions [19]. These functions form an orthogonal basis specifically designed for the restricted directional range of the sphere, particularly for rotationally symmetric regions such as spherical caps or segments [19,20]. While spherical Slepian functions enable the decomposition and reconstruction of the sound field within a spherical cap or segment, they require frequency-dependent matrix inversion and may introduce significant errors for sources outside the restricted range [20]. By solving the Helmholtz equation, with sound-soft or sound-hard boundary conditions, the spherical cap and segment harmonics were proposed in [20,21] and have been validated by microphone array prototypes [22,23]. As the spherical cap and segment harmonics satisfy the Helmholtz equation, they can be implemented to interpolate and extrapolate the sound field. However, to apply the spherical cap and segment harmonics, the target region has to be bounded by a sound-soft or sound-hard boundary, limiting its broader implementation.
Further addressing the need for microphone processing over arbitrary spherical sector regions, Kumari and Kumar developed SSHs that decompose and represent the sound pressure over a spherical sector region [16]. This advancement reduces the sampling requirements, simplifies microphone array construction, and expands its application to active noise control (ANC) [24], beamforming [25,26], and sound source localization [25,27]. In our previous work, we implemented SSHs in a spherical sector sound field extrapolation problem [28]. Compared to effectively representing sound pressure over a spherical sector region, SSHs do not require the sound-soft or sound-hard boundary to bind the spherical sector region; therefore, it can potentially be applied to broader applications.
While SSHs have demonstrated potential in spatial audio applications, a thorough investigation of them needs to be conducted. In this paper, we delve into the properties and performance of SSHs, uncovering their limitations and offering valuable insights for their future implementation. Specifically, we investigate and prove the following limitations of SSHs: (i) SSHs are not solutions of the Helmholtz equation due to the shifting and scaling of the input arguments for the associated Legendre polynomials and exponential function. (ii) The spherical Hankel and Bessel functions are not the corresponding radial functions for SSHs to perform radial extrapolation. (iii) There is severe distortion around the edge of the sector region when using SSHs for sound field reconstruction. Our proof shows that SSHs are better suited for decomposing and processing the sound field within the measured sector region without any radial extrapolation. Additionally, the measurement sector region should be larger than the target sector region to mitigate distortion.
The main contribution of this paper is a comprehensive investigation of the performance and limitations of SSHs. This study will help future users identify suitable applications for SSHs and those that are not appropriate.
The structure of this paper is as follows: Section 2 introduces the background theory of SSHs and discusses its three main limitations. Section 3 provides a mathematical proof showing that SSHs do not satisfy the Helmholtz equation. In Section 4, we further demonstrate that the spherical Hankel and Bessel functions are unsuitable for radius extrapolation in SSHs. Section 5 examines the distortion issues arising from these inappropriate functions. Section 6 highlights the limitations of SSHs and offers insights for implementation. Finally, Section 7 concludes the paper.

2. Spherical Sector Harmonics

This section introduces the background theory of SHs and SSHs and highlights the differences between them. As illustrated in Figure 1, spherical coordinates ( r , θ , ϕ ) are used to specify the position of a point, where r represents the radial distance from the origin, θ [ 0 , π ] is the polar angle between the radial line and the positive z-axis, and ϕ [ 0 , 2 π ) is the azimuthal angle, measured as the counterclockwise rotation of the radial line around the positive x-axis on the xy-plane [29].
A sound field over a spherical region can be decomposed by SHs to
P ( r , θ , ϕ , k ) n = 0 N h m = n n A n m ( k ) R n ( k r ) Y n m ( θ , ϕ ) ,
where k = 2 π f / c is the wave number with f as the frequency and c as the speed of sound propagation; A n m ( k ) is the radial independent SH coefficient; R n ( k r ) is the radial function, which is the solution of the Helmholtz equation in the radial direction for the spherical coordinate; N h k r ( · is the ceiling operation) [30] is the truncation order of SH decomposition; and Y n m ( · ) is the spherical harmonics of n-th order and m-th degree, defined by
Y n m ( θ , ϕ ) = ( 2 n + 1 ) ( n m ) ! 4 π ( n + m ) ! P n m ( cos θ ) e i m ϕ ,
where P n m ( · ) is the associated Legendre polynomial of n-th order and m-th degree, and e i m ϕ is the exponential function of m-th degree.
For the interior case, where the source is located outside the sphere, R n ( k r ) = j n ( k r ) is the first kind of spherical Bessel function of the n-th order; for the exterior case, where the source is inside the sphere, R n ( k r ) = h n ( 2 ) ( k r ) is the spherical Hankel function of the second kind of n-th order. Generally, the sound field can be a combination of these two cases with distinct radial-independent SH coefficients for the interior and exterior parts [31].
Similarly, a sound field over a spherical sector region ( θ [ θ 1 , θ 2 ] , ϕ [ ϕ 1 , ϕ 2 ] ) can be decomposed by SSHs to [16]
P ( r , θ , ϕ , k ) n = 0 N s m = n n Γ n m ( r , k ) T n m ( θ , ϕ ) ,
where T n m ( θ , ϕ ) is the spherical sector harmonics of n-th order and m-th degree, Γ n m ( r , k ) are the SSH coefficients, and N s k r is the truncation order of SSH decomposition [16]. T n m ( θ , ϕ ) can be expressed as [16]
T n m ( θ , ϕ ) = K n m P n m ( q 1 cos θ + q 2 ) e j m u ϕ 0 n , 0 m n , ( 1 ) | m | T n | m | * ( θ , ϕ ) n m < 0 ,
where K n m is the normalization constant, which can be calculated by
K n m = ( 2 n + 1 ) ( n m ) ! q 1 u 4 π ( n + m ) ! ,
where q 1 and q 2 are the shift coefficients that transform P n m ( · ) to the shifted associated Legendre polynomials P n m ( q 1 cos θ + q 2 ) , and u is the scale coefficient that changes the exponential function e j m ϕ to the scaled exponential functions e j m u ϕ . These coefficients depend on the spherical sector region, represented by
q 1 = 2 / ( cos θ 1 cos θ 2 ) , q 2 = ( cos θ 1 + cos θ 2 ) / ( cos θ 1 cos θ 2 ) , u = 2 π / ( ϕ 2 ϕ 1 ) .
As θ 2 > θ 1 and ϕ 2 > ϕ 1 , based on (6), we have q 1 [ 1 , ) , q 2 ( , ) and u [ 1 , ) . When θ 1 = 0 , θ 2 = π , ϕ 1 = 0 , and ϕ 2 = 2 π , SSHs reduce to SH.
According to (2) and (4), the definition of SSHs is similar to the definition of SH but contains the shifted associated Legendre polynomials P n m ( q 1 cos θ + q 2 ) and scaled exponential functions e j m u ϕ rather than the associated Legendre polynomials P n m ( cos θ ) and exponential functions e j m ϕ . SH has been successfully implemented in the spatial audio and acoustics field, but the following limitations of SSHs can hinder their further application.
Firstly, to preserve the orthogonality of the associated Legendre polynomials and exponential functions in the original SH, SSHs replace these functions with shifted associated Legendre polynomials, P n m ( q 1 cos θ + q 2 ) , and scaled exponential functions, e j m u ϕ . This replacement effectively maps the sector region in SSHs back to the entire sphere in SH. However, this mapping process violates the Helmholtz equation in both the elevational and azimuthal directions, as demonstrated in Section 3.
Secondly, due to this violation of the Helmholtz equation, R n ( k r ) no longer accurately represents the variation in and propagation of the sound field in the radial direction. As a result, R n ( k r ) cannot be used to extend the sound field from one measured sector to another sector with the same angular range of θ and ϕ but a different radius. Additionally, the SSH coefficients, Γ n m ( r , k ) , become radius-dependent, making radial extrapolation with SSHs challenging and impractical for direct application. Further details are provided in Section 4.
Third, the mapping process of SSHs can cause severe distortion around the edge of the sector region when using (3) to reconstruct a sound field. For a sector region T ( θ [ θ 1 , θ 2 ] , ϕ [ ϕ 1 , ϕ 2 ] ), the shifted associated Legendre polynomial maps two latitudinal edges of the sector region ( θ = θ 1 , ϕ [ ϕ 1 , ϕ 2 ) or θ = θ 2 , ϕ [ ϕ 1 , ϕ 2 ) ) to two poles of the sphere ( θ = 0 , ϕ = 0 or θ = π , ϕ = 0 ), and the scaled exponential function maps two longitudinal edges of the sector region ( θ [ θ 1 , θ 2 ] , ϕ = ϕ 1 or θ [ θ 1 , θ 2 ] , ϕ = ϕ 2 ) to one longitude line of the sector region ( θ [ θ 1 , θ 2 ] , ϕ = 0 ). Due to the mapping process, the information of the sound field over the edge of T is lost, and the reconstructed sound field has severe distortion around the edge. The distortion problem is further investigated in Section 5.

3. Violation of the Helmholtz Equation

This section proves that SSHs are not the angular part solution of the Helmholtz equation. Consider an arbitrary spherical sector region θ [ θ 1 , θ 2 ] , ϕ [ ϕ 1 , ϕ 2 ] . The related SSH function is shown in (4), defined in the spherical coordinates. Therefore, if SSHs are solutions of the Helmholtz equation, they should satisfy the Helmholtz equation in spherical coordinates, shown in (7) below:
1 r 2 r ( r 2 p r ) + 1 r 2 sin θ θ ( sin θ p θ ) + 1 r 2 sin 2 θ 2 p ϕ 2 1 c 2 2 p t 2 = 0 ,
where p is the sound pressure at an observation point ( r , θ , ϕ ) at time t. By separating the variables, we have
p ( r , θ , ϕ , t ) = R ( r ) Θ ( θ ) Φ ( ϕ ) T ( t ) ,
and (7) can be rewritten to four ordinary differential equations:
             (9a) d 2 Φ d ϕ 2 + m 2 Φ = 0 ,              (9b) 1 sin θ d d θ ( sin θ d Θ d θ ) + [ n ( n + 1 ) m 2 sin 2 θ ] Θ = 0 ,              (9c) 1 r 2 d d r ( r 2 d R d r ) + k 2 R n ( n + 1 ) r 2 R = 0 ,              (9d) 1 c 2 d 2 T d t 2 + k 2 T = 0 .
Considering a single frequency case, with (3) and (4), we have
p ( r , θ , ϕ , t ) = e j ω t n = 0 m = n n Γ n m ( r , k ) K n m × P n m ( q 1 cos θ + q 2 ) e j m u ϕ ,
where ω = k c is the radial frequency. Then, based on (8)–(10), for SSHs to be considered solutions of the Helmholtz equation, P n m ( q 1 cos θ + q 2 ) should satisfy (9b), and e j m u ϕ should satisfy (9a).

3.1. Elevational Direction

We first provide our proof in the elevational direction. We use U ( θ ) to represent the shifted associated Legendre polynomials:
U ( θ ) = P n m ( q 1 cos θ + q 2 ) .
where θ [ θ 1 , θ 2 ] , ϕ [ ϕ 1 , ϕ 2 ] . Let η = q 1 cos θ + q 2 , and we have η [ 1 , 1 ] . Based on the chain rule [32], the left-hand side of (9b) can be rewritten as
1 sin θ d d θ ( sin θ d U d θ ) + [ n ( n + 1 ) m 2 sin 2 θ ] U = q 1 2 d d η [ ( 1 ( η q 2 ) 2 / q 1 2 ) d P n m ( η ) d η ] + [ n ( n + 1 ) m 2 1 ( η q 2 ) 2 / q 1 2 ] P n m ( η ) .
P n m has the following property [31]:
d d x [ ( 1 x 2 ) d P n m ( x ) d x + [ n ( n + 1 ) m 2 1 x 2 ] P n m ( x ) = 0 .
when q 1 = 1 and q 2 = 0 , (12) can be simplified as
d d η [ ( 1 η 2 ) d P n m ( η ) d η + [ n ( n + 1 ) m 2 1 η 2 ] P n m ( η ) .
From (13) and (14), we observe that when q 1 = 1 and q 2 = 0 , U satisfies (9b). However, for q 1 1 or q 2 0 , (12) does not match the left-hand side of (13).
To further prove that SSHs are not solutions of the Helmholtz equation, we take the specific example of P 2 0 ( η ) = ( 3 η 2 1 ) / 2 [33] into (12) and have
12 q 2 η + 3 q 1 2 3 q 2 2 3 0 ,
where q 1 1 or q 2 0 . Thus, the shifted associated Legendre polynomials in SSHs violate (9b) and are not a solution of the Helmholtz equation.

3.2. Azimuthal Direction

The validity of the azimuthal direction is also examined. We use V ( ϕ ) to represent the scaled exponential function and have
V ( ϕ ) = e j m u ϕ .
By taking (16) into the left-hand side of (9a), we have
m 2 u 2 e j m u ϕ + m 2 e j m u ϕ .
From (17), we can find that only when u = 1 , V satisfies (9a).
Based on the proof provided above, it is evident that SSHs can satisfy the Helmholtz equation only when q 1 = 1 , q 2 = 0 , and u = 1 . In this special case, SSHs become SHs, which are indeed solutions of the Helmholtz equation. However, for any other values of q 1 , q 2 , and u, SSHs do not fulfill the Helmholtz equation. The violation of the Helmholtz equation can affect the application of SSHs in certain scenarios, such as sound field radial extrapolation, which is investigated in the following section.

4. Limitations on Radial Extrapolation

Sound field radial extrapolation is an essential property of SHs. With (1), we can extrapolate the sound field from the measured sphere to another sphere with a different radius. This property enables us to analyze the sound field over the space with a measurement on a sphere and is implemented in many acoustics applications, such as ANC [14] and sound field reproduction [34]. As SSHs are not solutions of the Helmholtz equation, shown in Section 3, the radial function is not theoretically guaranteed to present the sound field changes in the radial direction. Therefore, analyzing the feasibility of conducting the radial extrapolation with SSHs is important. In our previous work [28], we proposed a sector sound field radial extrapolation method using the mapping relationship between SHs and SSHs, where we conducted radial extrapolation with SHs and then mapped SHs to SSHs to reconstruct the sound field in the extrapolated sector region. However, obtaining accurate SH coefficients from a restricted measurement region required a dual-array measurement and a large angular range of the measurement region. In this section, we investigate whether SSHs possess a similar extrapolation property to SHs and can decompose the sound field with radially independent coefficients.
As shown in Figure 2, the radial extrapolation of a spherical sector sound field involves expanding or contracting the sectorial sound field from the measured region, M ( θ [ θ M , π ] , ϕ [ 0 , 2 π ) , r = R M ) , to a target sectorial region, T ( θ [ θ M , π ] , ϕ [ 0 , 2 π ) , r = R T ) , which shares the same angular range for θ and ϕ but has a different radius. This process can be divided into two cases: the exterior and interior cases. In the exterior case, illustrated in Figure 2a, the sound sources are located inside a sphere, S ( θ [ 0 , π ] , ϕ [ 0 , 2 π ) , r R S , R S < R M ) , and we expand the sound field to an outer target region, T ( R T R M ) . Conversely, in the interior case shown in Figure 2b, the sound sources are positioned outside a spherical region, S ( θ [ 0 , π ] , ϕ [ 0 , 2 π ) , r R S , R S > R M ) , and we contract the sound field to an inner target region, T ( R T R M ) .
To test the performance of radial functions in SSH radial extrapolation, we create a similar equation, Equation (18), with reference to (1):
P ( r , θ , ϕ , k ) = n = 0 m = n n B n m ( k ) R n ( k r ) T n m ( θ , ϕ ) ,
where B n m ( k ) is the radial independent SSH coefficient. If (18) is valid, B n m ( k ) can be calculated by
B n m ( k ) = M q p q ,
where ( · ) denotes the pseudo-inverse operation and M q denotes a Q × ( N s + 1 ) 2 matrix that contains the multiplication of SSHs and the radial function, expressed as
M q = T 0 0 ( θ 1 , ϕ 1 ) R 0 ( k r 1 ) T N s N s ( θ 1 , ϕ 1 ) R N s ( k r 1 ) T 0 0 ( θ Q , ϕ Q ) R 0 ( k r Q ) T N s N s ( θ Q , ϕ Q ) R N s ( k r Q ) .
p q = [ P ( x 1 , k ) , P ( x 2 , k ) , , P ( x Q , k ) ] T is a Q × 1 vector that contains the sound pressure measurements over the sector region by Q microphones ( Q ( N s + 1 ) 2 ), with the coordinate x q = ( r q , θ q , ϕ q ) .
Simulations are conducted to test the validity of (18) for both exterior and interior cases. To calculate the extrapolation error, L = 5214 points are placed over T according to the nearly uniform sampling. The extrapolation error ϵ ( k ) is defined as
ϵ ( k ) = 20 log 10 ( l = 1 L | P T ( x l , k ) P T ^ ( x l , k ) | l = 1 L | P T ( x l , k ) | ) ,
where P T ( · ) is the exact sound field over T , and P T ^ ( · ) is the extrapolated sound field over T .

4.1. Exterior Case

We test the validity of (18) using three unit strength point sources with Cartesian coordinates ( 0.5 , 0 , 0 ) m , ( 0 , 0.5 , 0 ) m , and ( 0 , 0 , 0.5 ) m . First, we investigate the extrapolation performance within a small sector region defined by θ M = 120 , R M = 1 m , R T = R M , and R T = 5 R M . We then estimate the sound field using (18) and (19).
The extrapolation results are presented in Figure 3. Notably, when R T = R M , the sound field estimation is accurate and matches the ground truth. However, when R T > R M , the extrapolated sound field deviates from the actual sound field, which means we cannot conduct an accurate extrapolation with (18) in this example.
Subsequently, we investigate the extrapolation performance under various conditions, including different frequencies ( f = 300, 500, 700, and 900 Hz), sizes of T ( θ M = 45 , 75 , 105 , and 135 ), and distances between R T and R M (ranging from 0 to 19 λ , where λ is the wavelength). We keep R M = 1 m constant, and the distance between R T and R M is represented in units of wavelength ( λ ). Additionally, we ensure an adequate number of microphones ( Q = 1.3 ( N s + 1 ) 2 ) for the simulations.
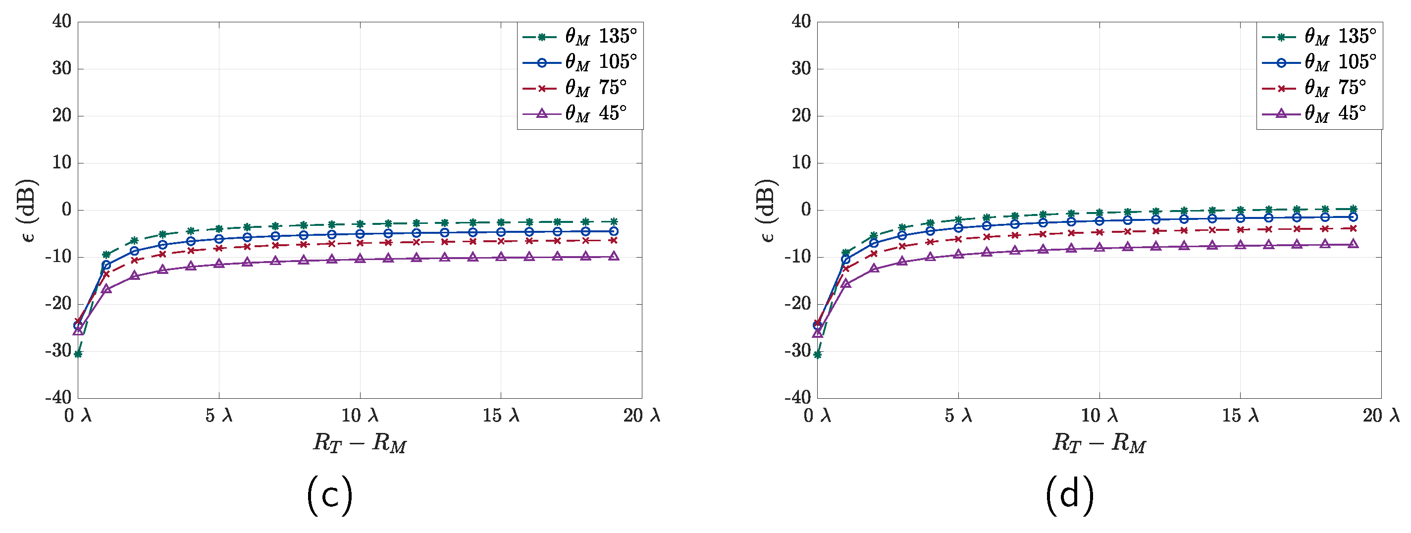
The following observations can be made from the results shown in Figure 4: (i) the extrapolation error ( ϵ ) increases rapidly within a distance of 2 λ and gradually saturates as the distance grows; (ii) lower frequencies yield faster convergence of ϵ to smaller values; and (iii) smaller sector regions tend to result in larger ϵ values.
Based on the simulation results, we find that (18) alone cannot accurately extrapolate the sector sound field under the exterior case. However, under certain conditions, such as low frequencies, large sector regions, and small distances from the measurement region, (18) can still provide acceptable estimations of the extrapolated sound field.

4.2. Interior Case

4.2.1. Plane Wave

For the interior case, we first validate the extrapolation with a unit-amplitude plane wave source arriving from the direction θ A = 180 , ϕ A = 0 . The setups for M and the microphone placement are the same as in the exterior case. We estimate the sound field for different inner concentric sector regions with R T = R M and 0.6 R M . The results are shown in Figure 5 below. We observe that (i) when R T = R M , we can accurately estimate the plane wave shape over T ; (ii) compared to the exterior case, when R T R M , the estimation error is significantly larger.
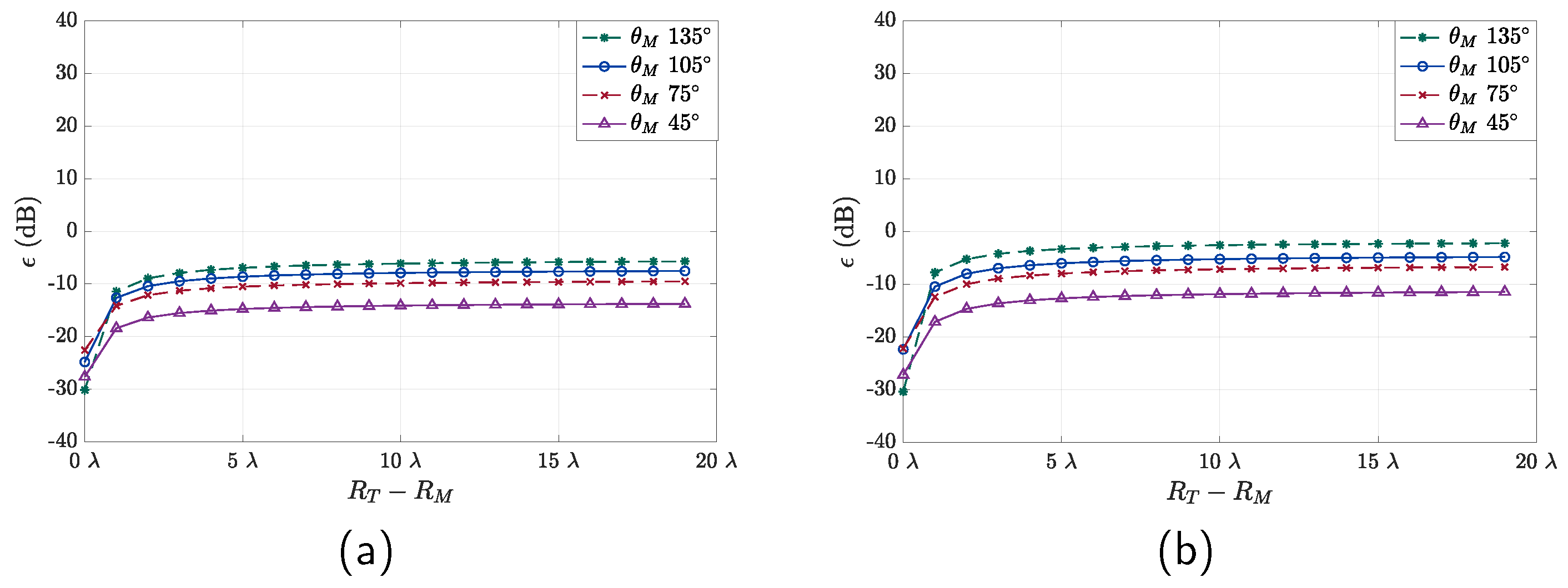
Then, we analyze the extrapolation performance with different settings of frequencies ( f = 300, 500, 700, and 900 Hz), sizes of T ( θ M = 45 , 75 , 105 , and 135 ), and distances between R T and R M . We consistently set R M = 1 m and Q = 1.3 ( N s + 1 ) 2 . With 0 < R T R M , we only analyze the distances between R T and R M from 0 to 0.7 λ . The results are shown in Figure 6, which demonstrates that (i) ϵ increases sharply within 0.1 λ distance; (ii) ϵ reaches the largest value when the distance is in the range of 0.3 λ to 0.5 λ and decreases or fluctuates around the peak value when the distance increases further; (iii) compared to Figure 6, we have a larger ϵ in Figure 6, and the dependency of the error on the frequency and the size of T is less regular in Figure 6.
We additionally explore the impact of the arrival direction by varying θ A from 0 to 180 in increments of 10 , while keeping ϕ A = 0 and f = 300 Hz . We conduct simulations with varying θ M settings and distances between T and M . The results are illustrated in Figure 7, leading us to the following observations: (i) the extrapolation error ϵ exhibits symmetry around θ A = 90 ; (ii) for R T = R M , ϵ is small and particularly responsive to changes in θ A , especially with larger θ M ; (iii) when R T = R M , ϵ rises from its minimum value to a peak at θ A = 90 , and then descends back to its minimum again; (iv) if R T R M , ϵ is larger and less sensitive to directions in θ A ; (v) with R T = R M , ϵ diminishes with the increment of θ M , whereas with R T R M , ϵ rises with the increment of θ M .

4.2.2. Point Source

We further investigate the sound field extrapolation performance in the interior case with a unit strength point source, with the Cartesian coordinates ( 0 , 0 , 2 ) m . The experimental setup, including settings of M and the microphone placement, is maintained as described in Section 4.2.1. We estimate the sound field for various inner concentric sector regions with R T = R M and 0.6 R M . The results, shown in Figure 8, demonstrate that, consistent with the findings in the preceding subsections, the accurate estimation of the sector sound field is achievable when R T = R M . However, significant errors arise when R T R M .
Continuing our investigation, we conduct additional simulations to analyze the extrapolation error ( ϵ ) using various setups while maintaining a point source instead of a plane wave. The results are depicted in Figure 9, which reveals the following: (i) the results are similar to those for a plane wave in Figure 6; (ii) the impact of frequency and the size of T on ϵ remains less regular; (iii) compared to Figure 6, the trajectories of ϵ in Figure 9 are more concentrated across different T setups. This suggests that the size of T has a relatively minor effect on the extrapolation accuracy with point sources, in contrast to plane waves.
In conclusion, the findings from both the exterior and interior case simulations underscore the limitations of conducting radial extrapolation with SSHs. While accurate extrapolation is challenging when R T R M , (18) shows potential for estimating the extrapolation in the exterior case, especially under specific conditions involving low frequencies, large sector regions, and small extrapolation distances.

5. Near Edge Distortion Problem

The sound field decomposition and reconstruction are fundamental steps in SSH-based sound field processing. For a spherical sector region, the related SSH coefficients Γ n m ( r , k ) can be found by
Γ n m ( r , k ) = L q p q ,
where L q denotes the Q × ( N s + 1 ) 2 matrix of SSH, expressed as
L q = T 0 0 ( θ 1 , ϕ 1 ) T N s N s ( θ 1 , ϕ 1 ) T 0 0 ( θ Q , ϕ Q ) T N s N s ( θ Q , ϕ Q ) .
After estimating Γ n m ( r , k ) with (22), the sound field can be reconstructed using (3). While this process is similar to sound field decomposition and reconstruction in SH processing, it can lead to severe distortions around the edges of the spherical sector region. These distortions are caused by mapping the spherical sector to a whole sphere. As illustrated in Figure 10, the points over the two latitudinal edges of the sector region ( θ = θ 1 , ϕ [ ϕ 1 , ϕ 2 ) or θ = θ 2 , ϕ [ ϕ 1 , ϕ 2 ) ) are mapped to the two poles of the sphere ( θ = 0 , ϕ = 0 or θ = π , ϕ = 0 ) during the mapping process of shifted associated Legendre polynomials. Similarly, the points over the two longitudinal edges of the sector region ( θ [ θ 1 , θ 2 ] , ϕ = ϕ 1 or θ [ θ 1 , θ 2 ] , ϕ = ϕ 2 ) are mapped to one longitudinal line of the sector region ( θ [ θ 1 , θ 2 ] , ϕ = 0 ) during the mapping process of scaled exponential functions. These mappings lead to information loss over the edge of the sector region, causing distortion around the sector edge.
We investigate this distortion problem using simulations. For the exterior case, we place three unit strength point sources with the Cartesian coordinates ( 0.5 , 0 , 0 ) m , ( 0 , 0.5 , 0 ) m , and ( 0 , 0 , 0.5 ) m . For the interior case, we place three unit strength point sources with the Cartesian coordinates ( 3 , 0 , 0 ) m , ( 0 , 3 , 0 ) m , and ( 0 , 0 , 3 ) m . We analyze the sound field reconstruction distortion over a sector region T with θ 1 = 1 / 3 π , θ 2 = 2 / 3 π , ϕ 1 = 0 , ϕ 2 = π , and R T = 1 m . The measurement region M is the same as T . Microphones are placed over M with a nearly uniform distribution, with Q = 100 for the 300 Hz setup and Q = 300 for the 700 Hz setup. The reconstruction error over elevation direction ϵ e ( θ , k ) and azimuth direction ϵ a ( ϕ , k ) are defined as
ϵ e ( θ , k ) = 20 log 10 ( 1 l = 1 L a | P T ( R T , θ , ϕ l , k ) | × ( l = 1 L a | P T ( R T , θ , ϕ l , k ) P T ^ ( R T , θ , ϕ l , k ) | ) ) ,
and
ϵ a ( ϕ , k ) = 20 log 10 ( 1 l = 1 L e | P T ( R T , θ l , ϕ , k ) | × ( l = 1 L e | P T ( R T , θ l , ϕ , k ) P T ^ ( R T , θ l , ϕ , k ) | ) ) ,
where L a is the number of samples along the azimuth direction, and L e represents the number of samples along the elevation direction. In the simulation, we set L a = L e = 203 , resulting in a total of 41,209 sampling points over region T .
The results depicted in Figure 11 and Figure 12 reveal that the distortion appears around all four edges of T in both the exterior and interior cases, and the distortion is more severe as it approaches the edges. Due to this distortion issue, to enhance the performance of SSH in decomposition and reconstruction, the measurement region M should be larger than T .

6. Discussion

Although SSHs were derived from SHs and share high similarities in their formulations, according to the analysis in Section 3, Section 4 and Section 5, it is evident that SSHs have essential limitations compared to SHs. The first limitation arises from violating the Helmholtz equation, a fundamental requirement for many sound field processing applications. Consequently, SSHs cannot accurately conduct sound field radial extrapolation. As a result, SSHs remain suitable solely for analyzing measurement regions and are incapable of extending sound field analysis into the broader space. The simulation results have shown significant errors in extrapolating the sound field using SSHs, except under specific conditions such as the exterior case with low frequencies, large sector sizes, and small extrapolation distances. Furthermore, the distortion problem affects the reconstruction accuracy over the edge areas of the sector region. Overall, SSHs remain reliable tools for decomposing and reconstructing the sound field within the measured spherical sector region, with applications in beamforming and localization. However, users should be mindful of the noted limitations to ensure they are applied appropriately.
To improve the performance of SSHs, it is crucial to ensure that the measurement region is larger than the target sector region both longitudinally and latitudinally to mitigate the distortion issues and improve the accuracy of sound field reconstruction. Considering these limitations, future implementations of spherical sector harmonics should primarily focus on processing and analyzing the measurement sector region without any extrapolation process. Alternatively, if a dual-array setup is available, the method proposed in [28] can be employed to enhance the extrapolation performance. Additionally, for the interior case, an improved reconstruction accuracy can be achieved when the source is oriented towards the sector region.

7. Conclusions

In this paper, we revealed three main limitations of spherical sector harmonics by investigating their performance under different scenarios. We first proved that spherical sector harmonics are not solutions to the Helmholtz equation. Then, due to the violation of the Helmholtz equation, spherical sector harmonics lack the ability to conduct sound field radial extrapolation. The simulation results revealed that the accurate estimation of the extrapolated sound field using spherical sector harmonics is challenging, with reasonably accurate estimates possible only with low frequencies, large sector sizes, and small extrapolation distances within the exterior case. Thirdly, a distortion issue inherent to spherical sector harmonics was identified. Due to the mapping process in spherical sector harmonics, severe distortion exists around the edge of the reconstruction sector region. Based on the three limitations, the future implementation of spherical sector harmonics should be focused on the processing and analysis of the measurement sector region without any radial extrapolation process, and the measurement region should be larger than the target sector region.

Author Contributions

Conceptualization, H.B., F.M., T.D.A. and P.N.S.; funding acquisition, T.D.A. and P.N.S.; investigation, H.B. and S.X.; methodology, H.B.; project administration, T.D.A.; supervision, T.D.A., F.M. and P.N.S.; validation, H.B. and S.X.; writing—original draft, H.B.; writing—review and editing, T.D.A., F.M., S.X. and P.N.S. All authors have read and agreed to the published version of the manuscript.

Funding

This work is sponsored by the Australian Research Council (ARC) Discovery Projects funding schemes with project numbers DP200100693.

Institutional Review Board Statement

Not applicable.

Informed Consent Statement

Not applicable.

Data Availability Statement

Publicly available datasets were analyzed in this study. This data can be found here: https://github.com/ShaoHenry/Limitations-of-SSH.git.

Conflicts of Interest

The authors declare no conflicts of interest.

Abbreviations

The following abbreviations are used in this manuscript:
SHsSpherical harmonics
SSHsSpherical sector harmonics
ANCActive noise control

References

  1. Abhayapala, T.D.; Ward, D.B. Theory and design of high order sound field microphones using spherical microphone array. In Proceedings of the 2002 IEEE International Conference on Acoustics, Speech, and Signal Processing, Orlando, FL, USA, 13–17 May 2002; Volume 2, pp. 1949–1952. [Google Scholar] [CrossRef]
  2. Meyer, J.; Elko, G. A highly scalable spherical microphone array based on an orthonormal decomposition of the soundfield. In Proceedings of the 2002 IEEE International Conference on Acoustics, Speech, and Signal Processing, Orlando, FL, USA, 13–17 May 2002; Volume 2, pp. 1781–1784. [Google Scholar] [CrossRef]
  3. Rafaely, B. Analysis and design of spherical microphone arrays. IEEE Trans. Speech Audio Process. 2004, 13, 135–143. [Google Scholar] [CrossRef]
  4. Rafaely, B. The spherical-shell microphone array. IEEE Trans. Audio Speech Lang. Process. 2008, 16, 740–747. [Google Scholar] [CrossRef]
  5. Huang, G.; Chen, J.; Benesty, J. A flexible high directivity beamformer with spherical microphone arrays. J. Acoust. Soc. Am. 2018, 143, 3024–3035. [Google Scholar] [CrossRef] [PubMed]
  6. Wang, L.; Zhu, J. Regularized Beamformer for the Spherical Microphone Array to Cope with the White Noise Amplification. In Proceedings of the ICASSP 2020—2020 IEEE International Conference on Acoustics, Speech and Signal Processing (ICASSP), Barcelona, Spain, 4–8 May 2020; pp. 4657–4661. [Google Scholar] [CrossRef]
  7. Varanasi, V.; Gupta, H.; Hegde, R.M. A Deep Learning Framework for Robust DOA Estimation Using Spherical Harmonic Decomposition. IEEE/ACM Trans. Audio Speech Lang. Process. 2020, 28, 1248–1259. [Google Scholar] [CrossRef]
  8. Salvati, D.; Drioli, C.; Foresti, G.L. Diagonal Unloading Beamforming in the Spherical Harmonic Domain for Acoustic Source Localization in Reverberant Environments. IEEE/ACM Trans. Audio Speech Lang. Process. 2020, 28, 2001–2012. [Google Scholar] [CrossRef]
  9. Ping, G.; Fernandez-Grande, E.; Gerstoft, P.; Chu, Z. Three-dimensional source localization using sparse Bayesian learning on a spherical microphone array. J. Acoust. Soc. Am. 2020, 147, 3895–3904. [Google Scholar] [CrossRef] [PubMed]
  10. Hu, Y.; Gannot, S. Closed-form single source direction-of-arrival estimator using first-order relative harmonic coefficients. In Proceedings of the ICASSP 2022—2022 IEEE International Conference on Acoustics, Speech and Signal Processing (ICASSP), Singapore, 23–27 May 2022; pp. 726–730. [Google Scholar] [CrossRef]
  11. Bu, B.; Bao, C.; Jia, M. Design of a Planar First-Order Loudspeaker Array for Global Active Noise Control. IEEE/ACM Trans. Audio Speech Lang. Process. 2018, 26, 2240–2250. [Google Scholar] [CrossRef]
  12. Bi, H.; Ma, F.; Abhayapala, T.D.; Samarasinghe, P.N. Spherical Array Based Drone Noise Measurements and Modelling for Drone Noise Reduction via Propeller Phase Control. In Proceedings of the 2021 IEEE Workshop on Applications of Signal Processing to Audio and Acoustics (WASPAA), New Paltz, NY, USA, 17–20 October 2021; pp. 286–290. [Google Scholar] [CrossRef]
  13. Peleg, T.; Rafaely, B. Investigation of spherical loudspeaker arrays for local active control of sound. J. Acoust. Soc. Am. 2011, 130, 1926–1935. [Google Scholar] [CrossRef] [PubMed]
  14. Ma, F.; Zhang, W.; Abhayapala, T.D. Active control of outgoing broadband noise fields in rooms. IEEE/ACM Trans. Audio Speech Lang. Process. 2019, 28, 529–539. [Google Scholar] [CrossRef]
  15. Wakayama, K.; Trevino, J.; Takada, H.; Sakamoto, S.; Suzuki, Y. Extended sound field recording using position information of directional sound sources. In Proceedings of the 2017 IEEE Workshop on Applications of Signal Processing to Audio and Acoustics (WASPAA), New Paltz, NY, USA, 15–18 October 2017; pp. 185–189. [Google Scholar] [CrossRef]
  16. Kumari, D.; Kumar, L. Spherical sector harmonics representation of sound fields using a microphone array over spherical sector. J. Acoust. Soc. Am. 2021, 149, 145–157. [Google Scholar] [CrossRef] [PubMed]
  17. Duraiswami, R.; Li, Z.; Zotkin, D.; Grassi, E.; Gumerov, N. Plane-wave decomposition analysis for spherical microphone arrays. In Proceedings of the IEEE Workshop on Applications of Signal Processing to Audio and Acoustics, New Paltz, NY, USA, 16–19 October 2005; pp. 150–153. [Google Scholar] [CrossRef]
  18. McCormack, L.; Delikaris-Manias, S.; Politis, A.; Pavlidi, D.; Farina, A.; Pinardi, D.; Pulkki, V. Applications of Spatially Localized Active-Intensity Vectors for Sound-Field Visualization. J. Audio Eng. Soc. 2019, 67, 840–854. [Google Scholar] [CrossRef]
  19. Zotter, F.; Pomberger, H. Spherical slepian functions for approximation of spherical measurement data. In Proceedings of the Fortschritte Der Akustik - DAGA, Darmstadt, Germany, 19–22 March 2012. [Google Scholar]
  20. Pomberger, H.; Zotter, F. Modal sound field decomposition applicable for a limited range of directions. In Proceedings of the Fortschritte Der Akustik, AIA- DAGA, Merano, Germany, 18–21 March 2013. [Google Scholar]
  21. Pomberger, H. Acoustic Boundary Value Problems and Their Application to Partial Spherical Microphone Arrays. Ph.D. Thesis, University of Music and Performing Arts Graz, Graz, Austria, 2017. [Google Scholar]
  22. Pomberger, H.; Pausch, F. Design and evaluation of a spherical segment array with double cone. Acta Acust. United Acust. 2014, 100, 921–927. [Google Scholar] [CrossRef]
  23. Keller, B.D.; Zotter, F. A new prototype for sound projection. In Proceedings of the Forstschritte Der Akustik - DAGA, Nuremberg, Germany, 16–19 March 2015. [Google Scholar]
  24. Bi, H.; Ma, F.; Abhayapala, T.D.; Samarasinghe, P.N. Spherical Sector Harmonics Based Directional Drone Noise Reduction. In Proceedings of the 2022 International Workshop on Acoustic Signal Enhancement (IWAENC), Bamberg, Germany, 5–8 September 2022; pp. 1–5. [Google Scholar] [CrossRef]
  25. Kumari, D.; Kumar, L. S2H Domain Processing for Acoustic Source Localization and Beamforming Using Microphone Array on Spherical Sector. IEEE Trans. Signal Process. 2021, 69, 1983–1994. [Google Scholar] [CrossRef]
  26. Kumari, D.; Kumar, L. Optimal beamformer design in spherical sector harmonics domain. Appl. Acoust. 2022, 200, 109070. [Google Scholar] [CrossRef]
  27. Nnonyelu, C.J.; Jiang, M.; Lundgren, J. Spherical-sector harmonics domain processing for wideband source localization using spherical-sector array of directional microphones. J. Acoust. Soc. Am. 2023, 153, A54. [Google Scholar] [CrossRef]
  28. Bi, H.; Ma, F.; Abhayapala, T.D.; Samarasinghe, P.N. Spherical Sector Harmonics Based Soundfield Radial Extrapolation And Robustness Analysis. In Proceedings of the ICASSP 2023—2023 IEEE International Conference on Acoustics, Speech and Signal Processing (ICASSP), Rhodes Island, Greece, 4–10 June 2023; pp. 1–5. [Google Scholar] [CrossRef]
  29. Kennedy, R.A.; Sadeghi, P. Hilbert Space Methods in Signal Processing; Cambridge University Press: Cambridge, UK, 2013. [Google Scholar]
  30. Ward, D.B.; Abhayapala, T.D. Reproduction of a plane-wave sound field using an array of loudspeakers. IEEE Trans. Speech Audio Process. 2001, 9, 697–707. [Google Scholar] [CrossRef]
  31. Williams, E. Fourier Acoustics: Sound Radiation and Nearfield Acoustical Holography; Academic Press: Cambridge, MA, USA, 1999. [Google Scholar]
  32. Stewart, J. Calculus; Cengage Learning: Boston, MA, USA, 2015. [Google Scholar]
  33. Rafaely, B. Fundamentals of Spherical Array Processing; Springer: Berlin/Heidelberg, Germany, 2015; Volume 8. [Google Scholar]
  34. Ueno, N.; Koyama, S.; Saruwatari, H. Three-Dimensional Sound Field Reproduction Based on Weighted Mode-Matching Method. IEEE/ACM Trans. Audio Speech Lang. Process. 2019, 27, 1852–1867. [Google Scholar] [CrossRef]
Figure 1. Illustration of the coordinate system.
Figure 1. Illustration of the coordinate system.
Applsci 14 10633 g001
Figure 2. Spherical sector sound field radial extrapolation setups for (a) exterior case and (b) interior case. Illustration of the sound source region S , the measurement region M , and the extrapolation region T .
Figure 2. Spherical sector sound field radial extrapolation setups for (a) exterior case and (b) interior case. Illustration of the sound source region S , the measurement region M , and the extrapolation region T .
Applsci 14 10633 g002
Figure 3. Spherical sector sound field radial extrapolation for the exterior case, with θ M = 120 , R M = 1 m , f = 300 Hz , Q = 100 : (a) sector sound field with R T = 1 m ; (b) estimated sound field with R T = 1 m ; (c) sector sound field with R T = 5 m ; (d) estimated sound field with R T = 5 m .
Figure 3. Spherical sector sound field radial extrapolation for the exterior case, with θ M = 120 , R M = 1 m , f = 300 Hz , Q = 100 : (a) sector sound field with R T = 1 m ; (b) estimated sound field with R T = 1 m ; (c) sector sound field with R T = 5 m ; (d) estimated sound field with R T = 5 m .
Applsci 14 10633 g003
Figure 4. Extrapolation error ϵ for the exterior case with different settings of frequencies, sizes of T , and distances between R T and R M : (a) extrapolation error with 300 Hz; (b) extrapolation error with 500 Hz; (c) extrapolation error with 700 Hz; (d) extrapolation error with 900 Hz.
Figure 4. Extrapolation error ϵ for the exterior case with different settings of frequencies, sizes of T , and distances between R T and R M : (a) extrapolation error with 300 Hz; (b) extrapolation error with 500 Hz; (c) extrapolation error with 700 Hz; (d) extrapolation error with 900 Hz.
Applsci 14 10633 g004aApplsci 14 10633 g004b
Figure 5. Spherical sector sound field radial extrapolation for the interior case with a plane wave, θ M = 120 , R M = 1 m , f = 300 Hz , Q = 100 : (a) true sound field with R T = 1 m ; (b) estimated sound field with R T = 1 m ; (c) true sound field with R T = 0.6 m ; (d) estimated sound field with R T = 0.6 m .
Figure 5. Spherical sector sound field radial extrapolation for the interior case with a plane wave, θ M = 120 , R M = 1 m , f = 300 Hz , Q = 100 : (a) true sound field with R T = 1 m ; (b) estimated sound field with R T = 1 m ; (c) true sound field with R T = 0.6 m ; (d) estimated sound field with R T = 0.6 m .
Applsci 14 10633 g005
Figure 6. Extrapolation error ϵ for the interior case with a plane wave, different settings of frequencies, sizes of T , and distances between R T and R M : (a) extrapolation error with 300 Hz; (b) extrapolation error with 500 Hz; (c) extrapolation error with 700 Hz; (d) extrapolation error with 900 Hz.
Figure 6. Extrapolation error ϵ for the interior case with a plane wave, different settings of frequencies, sizes of T , and distances between R T and R M : (a) extrapolation error with 300 Hz; (b) extrapolation error with 500 Hz; (c) extrapolation error with 700 Hz; (d) extrapolation error with 900 Hz.
Applsci 14 10633 g006
Figure 7. Extrapolation error ϵ with different arriving directions of the plane wave: (a) extrapolation error with θ M = 45 ; (b) extrapolation error with θ M = 75 ; (c) extrapolation error with θ M = 105 ; (d) extrapolation error with θ M = 135 .
Figure 7. Extrapolation error ϵ with different arriving directions of the plane wave: (a) extrapolation error with θ M = 45 ; (b) extrapolation error with θ M = 75 ; (c) extrapolation error with θ M = 105 ; (d) extrapolation error with θ M = 135 .
Applsci 14 10633 g007
Figure 8. Spherical sector sound field radial extrapolation for the interior case with a point source, where θ M = 120 , R M = 1 m , f = 300 Hz , Q = 100 : (a) true sound field with R T = 1 m ; (b) estimated sound field with R T = 1 m ; (c) true sound field with R T = 0.6 m ; (d) estimated sound field with R T = 0.6 m .
Figure 8. Spherical sector sound field radial extrapolation for the interior case with a point source, where θ M = 120 , R M = 1 m , f = 300 Hz , Q = 100 : (a) true sound field with R T = 1 m ; (b) estimated sound field with R T = 1 m ; (c) true sound field with R T = 0.6 m ; (d) estimated sound field with R T = 0.6 m .
Applsci 14 10633 g008
Figure 9. Extrapolation error ϵ for the interior case with a point source, different settings of frequencies, sizes of T , and distances between R T and R M : (a) extrapolation error with 300 Hz; (b) extrapolation error with 500 Hz; (c) extrapolation error with 700 Hz; (d) extrapolation error with 900 Hz.
Figure 9. Extrapolation error ϵ for the interior case with a point source, different settings of frequencies, sizes of T , and distances between R T and R M : (a) extrapolation error with 300 Hz; (b) extrapolation error with 500 Hz; (c) extrapolation error with 700 Hz; (d) extrapolation error with 900 Hz.
Applsci 14 10633 g009aApplsci 14 10633 g009b
Figure 10. Illustration of the mapping process for both elevation angle and azimuth angle perspective: (a) map the target spherical sector region T ( θ [ θ 1 , θ 2 ] , ϕ [ 0 , 2 π ) ) to a whole sphere S 2 ( θ [ 0 , π ] , ϕ [ 0 , 2 π ) ); (b) map the target spherical sector region T ( θ [ 0 , π ] , ϕ [ ϕ 1 , ϕ 2 ) ) to a whole sphere S 2 ( θ [ 0 , π ] , ϕ [ 0 , 2 π ) ).
Figure 10. Illustration of the mapping process for both elevation angle and azimuth angle perspective: (a) map the target spherical sector region T ( θ [ θ 1 , θ 2 ] , ϕ [ 0 , 2 π ) ) to a whole sphere S 2 ( θ [ 0 , π ] , ϕ [ 0 , 2 π ) ); (b) map the target spherical sector region T ( θ [ 0 , π ] , ϕ [ ϕ 1 , ϕ 2 ) ) to a whole sphere S 2 ( θ [ 0 , π ] , ϕ [ 0 , 2 π ) ).
Applsci 14 10633 g010
Figure 11. Reconstruction error in the elevation direction ϵ e ( θ , k ) with different θ values.
Figure 11. Reconstruction error in the elevation direction ϵ e ( θ , k ) with different θ values.
Applsci 14 10633 g011
Figure 12. Reconstruction error in the azimuth direction ϵ a ( ϕ , k ) with different ϕ values.
Figure 12. Reconstruction error in the azimuth direction ϵ a ( ϕ , k ) with different ϕ values.
Applsci 14 10633 g012
Disclaimer/Publisher’s Note: The statements, opinions and data contained in all publications are solely those of the individual author(s) and contributor(s) and not of MDPI and/or the editor(s). MDPI and/or the editor(s) disclaim responsibility for any injury to people or property resulting from any ideas, methods, instructions or products referred to in the content.

Share and Cite

MDPI and ACS Style

Bi, H.; Xu, S.; Ma, F.; Abhayapala, T.D.; Samarasinghe, P.N. Limitations and Performance Analysis of Spherical Sector Harmonics for Sound Field Processing. Appl. Sci. 2024, 14, 10633. https://doi.org/10.3390/app142210633

AMA Style

Bi H, Xu S, Ma F, Abhayapala TD, Samarasinghe PN. Limitations and Performance Analysis of Spherical Sector Harmonics for Sound Field Processing. Applied Sciences. 2024; 14(22):10633. https://doi.org/10.3390/app142210633

Chicago/Turabian Style

Bi, Hanwen, Shaoheng Xu, Fei Ma, Thushara D. Abhayapala, and Prasanga N. Samarasinghe. 2024. "Limitations and Performance Analysis of Spherical Sector Harmonics for Sound Field Processing" Applied Sciences 14, no. 22: 10633. https://doi.org/10.3390/app142210633

APA Style

Bi, H., Xu, S., Ma, F., Abhayapala, T. D., & Samarasinghe, P. N. (2024). Limitations and Performance Analysis of Spherical Sector Harmonics for Sound Field Processing. Applied Sciences, 14(22), 10633. https://doi.org/10.3390/app142210633

Note that from the first issue of 2016, this journal uses article numbers instead of page numbers. See further details here.

Article Metrics

Back to TopTop