Abstract
This study analyzed land use and land cover (LULC) changes to identify the levels of deforestation and forest degradation in two locations in the Amazon rainforest and their conservation units. Using Sentinel-2 satellite imagery and object-based image classification, yearly LULC maps were created from 2018 to 2023. Disturbances were then quantified by Primary Forest conversions. This study revealed a gain of around 22,362 ha in Secondary Forest areas in Manaus and 29,088 ha in Agriculture/Pastureland in Porto Velho within the study period. Differing yearly rates of deforestation and degradation were detected between the areas, with agriculture/pastureland expansion being observed as the primary driver of forest loss. State and federal units showed the largest conversion of primary to Secondary Forest, while state units experienced the most conversion to non-forest areas. Sustainable use units and buffer zones were particularly impacted by these disturbances. These findings suggest that factors beyond environmental policies contribute to these outcomes, highlighting the importance of understanding local contexts. Comparing areas with varying degradation levels provides insights into the effectiveness of restoration and conservation efforts.
    1. Introduction
Deforestation and forest degradation in tropical regions, particularly in the Amazon rainforest, represent critical environmental challenges with far-reaching implications. The Amazon, the world’s largest tropical rainforest, serves as a crucial carbon storage unit and a hotspot for biodiversity, playing an essential role in regulating the planet’s climate and providing habitat for numerous species []. However, this vital ecosystem faces unprecedented threats driven by complex socio-economic factors and land use changes [,].
Over the past few decades, the Brazilian Amazon has experienced alarming rates of forest loss []. This deforestation severely threatens the forest and is primarily driven by agricultural expansion [], cattle ranching [], infrastructure development [], and illegal logging []. Forest degradation is equally serious because it frequently precedes total deforestation. Degraded forests are much more susceptible to further deforestation, with typical decreases in canopy height and aboveground biomass of up to 60% and 65%, respectively, according to recent research conducted in tropical moist forests [].
Understanding the dynamics of land use and land cover (LULC) changes is essential for developing effective conservation strategies and sustainable land management practices. The Brazilian Amazon has experienced varying rates of change across its vast expanse [,]. Thus, this heterogeneity presents both challenges and opportunities for researchers and policymakers seeking to understand and mitigate the impacts of land use changes. The advent of satellite imagery and advanced classification techniques has revolutionized our ability to monitor and analyze LULC changes at various spatial and temporal scales [].
Remote sensing has emerged as a crucial tool for monitoring deforestation and forest degradation in the Amazon. Satellite imagery provides consistent, large-scale observations that enable researchers to track changes in forest cover over time []. The advent of medium and high-resolution satellite imagery has revolutionized our ability to monitor and analyze LULC changes at various spatial and temporal scales []. While lower resolution imagery (e.g., 30 m Landsat, 250–1000 m MODIS) offers advantages in terms of broader coverage and long-term historical records, it may overlook fine-scale disturbances. Medium-resolution imagery, such as Sentinel-2 with its 10 m bands, shows a balance between coverage and resolution, allowing for the detection of smaller-scale disturbances that might be missed by coarser-resolution sensors []. These advancements in spatial resolution allow for more accurate detection of subtle changes in forest structure and composition, which is critical for understanding degradation processes [].
To monitor LULC change and deforestation in the Amazon, pixel-based methods have been traditionally the primary approach []. For instance, the Brazilian National Institute for Space Research (INPE) uses a pixel-based approach in its PRODES (Monitoring Deforestation in the Brazilian Amazon by Satellite Project) system, which has been the official method for monitoring deforestation in the Brazilian Amazon since 1988 []. This monitoring system utilizes Landsat satellite imagery to provide annual assessments of deforestation, offering information with a minimum mapping unit of 6.25 hectares. However, recent advancements in remote sensing technology and analysis techniques have opened new possibilities for more accurate and detailed monitoring. Object-based image analysis (OBIA) has proven particularly advantageous for detecting LULC changes. Unlike pixel-based methods, OBIA considers the spatial context of image objects, allowing for a more nuanced classification of complex landscapes []. When combined with satellite imagery from Sentinel-2 and machine learning algorithms like Random Forest, OBIA can achieve high classification accuracies and provide more detailed information about forest structure and composition.
Despite the potential advantages of OBIA combined with Sentinel-2 imagery and Random Forest classification, relatively few studies have applied this combination for monitoring deforestation and forest degradation in the Amazon. This approach offers the potential for more accurate detection of changes in forest cover, which is particularly important for monitoring forest degradation. For instance, Souza-Filho et al. used OBIA to investigate the influence of mining projects on LULC changes in the southeastern area of the Brazilian Amazon, resulting in overall accuracies of all the classified maps higher than 94% []. Bueno et al. demonstrated the effectiveness of Random Forest with OBIA for land cover change detection in the Brazilian savanna (Cerrado) biome, achieving overall accuracies of around 88% [].
Regarding the forest areas, conservation units play a vital role in protecting the Amazon’s biodiversity and ecosystem services. Established according to the Brazilian National System of Nature Conservation Units (SNUCs), these areas are crucial for preserving the forest’s integrity and helping mitigate climate change []. However, their effectiveness can vary depending on management strategies and local contexts. Recent studies have shown that while protected areas generally reduce deforestation rates, their impact can differ significantly across regions and management types [,]. Understanding these variations is essential for optimizing conservation strategies.
The heterogeneity of the Amazon presents both challenges and opportunities for researchers and policymakers seeking to understand and mitigate the impacts of land use changes []. This study focuses on two distinct areas within the Brazilian Amazon: Manaus and Porto Velho. These areas represent different stages of development and deforestation pressures, offering valuable insights into the diverse challenges faced across the Amazon.
The objectives of this study are as follows: (1) to produce accurate LULC maps for Manaus and Porto Velho from 2018 to 2023 using Sentinel-2 imagery and OBIA with Random Forest classification; (2) to analyze LULC distribution in the study areas; (3) to compare LULC changes and conservation effectiveness between Manaus and Porto Velho, considering their different deforestation and degradation yearly rates; and (4) to quantify the total area of deforestation and forest degradation of conservation units with different management strategies and their surrounding areas to evaluate their effectiveness.
By addressing these objectives, this study aims to contribute valuable insights to the ongoing discourse on Amazon conservation and inform evidence-based policymaking for sustainable forest management in the region. The use of advanced remote sensing techniques and machine learning algorithms provides a detailed and accurate assessment of LULC changes, while the comparison between different types of conservation units offers crucial information for improving protected area management strategies.
2. Materials and Methods
2.1. Study Areas
The Brazilian Amazon rainforest (Figure 1b) is located in the northern region of Brazil and covers the territory of 9 states (Figure 1a). It experiences a tropical climate (A-Zone in the Köppen classification) with average temperature in the coldest month exceeding 20 °C in the center of the Amazon basin. Rainfall can reach over 3000 mm annually, and in some areas, it may even exceed 8000 mm []. The forest is dominated by evergreen broadleaved trees and forest structure is typically described as having multiple layers, with structures that could reach heights of around 20–30 meters. Dominant tree species include Eschweilera coriacea, Euterpe precatoria, and Protium altissimum [].

      
    
    Figure 1.
      Location of (a) Brazilian Legal Amazon (BLA) inside Brazil; (b) Types of conservation units inside the BLA states territory; (c) Manaus city and its conservation units; (d) Porto Velho district and its conservation units.
  
This study incorporates two areas within the Brazilian Amazon region: Manaus City and the district of Porto Velho (Figure 1).
Manaus is the capital city of Amazonas state (Figure 1c), and its area encompasses the urban area and its surrounding forest, covering approximately 1,142,000 ha. Manaus is situated in the heart of the Brazilian Amazon. It is a major urban center with a population exceeding two million people. The area’s location at the confluence of the Negro and Solimões rivers makes it a critical hub for transportation and commerce. Manaus has experienced rapid urban expansion, leading to increased pressure on surrounding forested areas [].
The district of Porto Velho (Figure 1d), within the municipality of Porto Velho, capital of Rondônia state, is located on the east bank of the Madeira River in the southwestern part of the Brazilian Amazon. The area encompasses the urban area and its environs, spanning approximately 923,000 ha. Unlike Manaus, Porto Velho is more rural, with a strong reliance on agriculture and livestock farming. The construction of major infrastructure projects, such as highways and hydroelectric dams, has contributed to deforestation in the region [].
The district area of Porto Velho was chosen for this study, rather than the entire municipality, due to logistical and computational constraints. The district represents an important region of the Madeira River basin (Médio Madeira). Additionally, it houses the urban administrative hub of the municipality, and is comparable in size to Manaus, allowing for a more balanced comparison. The district contains 13 conservation units within its boundaries.
This study examines a total of 29 conservation units (Table 1) across different management levels—sustainable use and full protection—and administrative scales—local, regional, and national—to assess their effectiveness in preventing deforestation and forest degradation. According to the SNUC legislation [], in full protection units, only indirect use of natural resources is allowed, and the rules and regulations are restrictive. Sustainable use units, on the other hand, reconcile nature conservation with the sustainable use of part of natural resources.
       
    
    Table 1.
    Number of conservation units in each category and their respective areas (ha).
  
Buffer zones around these conservation units were also included in the analysis, as they play a crucial role in the management and protection of these areas []. According to the SNUC, buffer zones are areas surrounding conservation units where human activities are subject to specific rules and restrictions to minimize negative impacts on the protected area. For this study, a three-kilometer buffer was considered based on the management plans of most units. However, it is important to note that the SNUC excludes Environmental Protection Areas (a subcategory of sustainable use units) from having buffer zones, as these areas often cover large territories with diverse land uses, including private properties and urban areas.
2.2. Data
2.2.1. Sentinel 2 Imagery Acquisition
This study utilized Sentinel-2 multispectral imagery for the period 2018–2023, chosen for its free availability, spatial resolution (10 m, 20 m, and 60 m depending on the band), and frequent revisit time, making it ideal for monitoring LULC changes. The Sentinel-2 MSI: Multi-Spectral Instrument Level-2A collection [] was accessed through the Google Earth Engine (GEE) platform, using the Cloud Score+ dataset []. These products include radiometric and geometric corrections, providing highly accurate geolocated images without the need for further preprocessing, such as atmospheric correction.
The Cloud Score+ dataset functions as a quality assessment (QA) processor for optical satellite imagery, effectively removing clouds and cloud shadows while identifying relatively clear pixels. It employs two quality bands, cs, and cs_cdf, which rate each pixel’s usefulness about surface visibility on a continuous scale from 0 to 1, where 0 denotes “not clear” observations and 1 denotes “clear” observations.
To mitigate the impact of extensive cloud cover typically observed in tropical regions, median composite images were created from a group of images within a specific time interval. Sentinel-2 images were filtered from the collection over 4 months, from the beginning of May to the end of September, corresponding to the dry season in the Amazon region. This temporal selection was made to minimize cloud cover interference and ensure the highest quality data for analysis.
The resulting dataset consists of six annual median composites, corresponding to the years 2018 to 2023. These composites provide a consistent and cloud-free representation of the study area, enabling accurate detection and analysis of LULC changes over the study period. The use of median composites helps reduce the influence of outliers and temporary land cover changes, providing a more stable representation of the landscape for each year.
2.2.2. Training and Validation Samples
The study areas were classified into distinct land cover classes. Manaus was assigned eight classes: (1) Terra-Firme Forest, (2) Floodplain Forest, (3) Secondary Forest, (4) Agriculture/Pastureland, (5) Burned Areas, (6) Barren Land, (7) Development Areas, and (8) Water Bodies. Porto Velho included all these classes with the addition of (9) Savanna areas, which are found in small patches throughout the region. Detailed descriptions of these land use and land cover classes can be found in Table 2.
       
    
    Table 2.
    Land use and land cover classes and their description.
  
Training and validation samples were collected through a combination of methods to ensure accuracy and representativeness. The primary method involved the manual visual assessment of high-resolution imagery from Google Earth Pro and Planet Labs, supplemented by spectral and vegetation indices analysis. This approach allowed for a comprehensive evaluation of land cover types across the study areas. Additionally, to enhance the ground-truth data, 23 sample points were collected in 2022 using a Garmin GPS (Garmin Ltd., Olathe, KS, USA) instrument in both Manaus and Porto Velho.
To mitigate the impact of spatial autocorrelation while still capturing the gradient of each land cover type, all samples were collected as points rather than polygons. Sample locations were chosen arbitrarily, with the constraint that they be at least 10 m apart from the nearest sample point. This strategy helps to ensure independence between samples and improves the robustness of the classification model.
A total of approximately 3000 sample points were collected for each year of the study period. This substantial dataset was then divided into two subsets: 70% of the samples were used to train the classification model, while the remaining 30% were reserved for validation and accuracy assessment.
2.3. Segmentation and Object-Based Image Classification
This study employed an object-based image analysis (OBIA) approach for LULC classification using Google Earth Engine (GEE). OBIA was chosen for its ability to reduce the “salt-and-pepper” effect common in pixel-based classifications and to incorporate spatial context into the classification process [,]. The OBIA method consists of two primary steps: image segmentation and object classification.
The segmentation process divides the entire image into multiple areas of varying sizes based on distinct spectral and textural properties. These segments are then merged to form larger objects corresponding to land cover classes. During this process, the geometric properties, topology, and adjacency relationships of the objects are exploited, with the anticipation that these objects will correspond more easily to land cover types than individual pixels would.
For the segmentation step, this study utilized the Simple Non-Iterative Clustering (SNIC) algorithm, which efficiently groups similar pixels and identifies potential individual objects []. SNIC is initiated using a uniform grid of seeds, generated by the “Image.Segmentation.seedGrid” function, which requires specifying a superpixel seed location spacing in pixels to influence the size of the resulting clusters. The optimal spacing value can be determined through experimentation. The algorithm then identifies objects (clusters) based on input parameters and produces a multi-band raster output, which includes the clusters themselves and additional layers containing average values of the input features []. SNIC requires several key parameters for setting:
- Compactness factor: Influences cluster shape, with larger values producing more compact clusters.
 - Connectivity: Can be set to 4 or 8, determining whether to use Rook’s or Queen’s contiguity for merging adjacent clusters.
 - Neighborhood size: Helps avoid tile boundary artifacts.
 
After visual inspection of different combinations of parameter values and considering the characteristics of the LULC classes in the study areas, the following set of parameters was used in this study: compactness = 0, connectivity = 8, and neighborhood size = 256. Following segmentation, the OBIA approach combines spectral and spatial information with texture and contextual information from the image to perform the final object classification [].
2.4. Random Forest Algorithm
This study employed the Random Forest (RF) classifier, a robust and widely used machine learning algorithm, for the classification of segmented image objects. The Random Forest algorithm has been proven to be a reliable and accurate classification technique in numerous remote sensing applications [,,,,]. It was selected for this study due to its ability to handle high-dimensional data effectively and its capacity to assess feature importance.
Random Forest is an ensemble machine learning method designed to enhance the performance of Classification and Regression Trees (CARTs). It operates by constructing multiple decision trees and aggregating their outputs. In a classification analysis, each tree casts a vote for the most probable class of the input data, with the final classification determined by a majority vote. The RF algorithm employs two key techniques: bagging and random subspace selection. The process begins with the creation of multiple binary classification trees (ntrees) using bootstrap samples drawn with replacements from the original dataset []. For this study, the ntrees parameter was set to 100 trees in classification mode, balancing computational efficiency with classification accuracy.
An important feature of the Random Forest algorithm is its use of out-of-bag (OOB) samples. These are observations not included in a particular bootstrap sample during the tree-building process. OOB samples serve a dual purpose in the RF model: they help estimate the misclassification error, provide an internal validation mechanism, and assist in assessing the importance of different variables in the model.
2.5. Auxiliary Features
To enhance classification accuracy and capture the complex landscape characteristics of the study areas, a range of spatial features were derived from spectral bands or acquired from various datasets. This study focused on the Blue, Green, Red, NIR, SWIR1, and SWIR2 bands of Sentinel-2 imagery, excluding other spectral channels to optimize computational efficiency while maintaining relevant spectral information. Band 1 (Coastal Aerosol) was omitted due to its primary application in studying coastal waters and atmospheric aerosol properties, which were not pertinent to the objectives of this study.
Topographic features, including elevation and slope, were extracted from the Shuttle Radar Topography Mission (SRTM) digital elevation dataset provided by NASA (Washington, DC, USA). These features contribute valuable information about the terrain characteristics that can influence land cover patterns. Principal Component Analysis (PCA) was applied to the spectral bands to reduce data dimensionality and enhance information content. PCA is widely used in classification and change detection analyses, particularly in unsupervised classification, as it eliminates redundant information and improves data representation. The first three PC levels were utilized in this study, providing a compact representation of the most significant spectral variations in the imagery.
Five spectral indices (Table 3) were derived from the Sentinel-2 multispectral bands to enhance specific land cover characteristics []. These indices were chosen due to their prominent use in LULC classification studies [,] and their ability to differentiate between various land features, particularly forest classes, from other types of land covers.
       
    
    Table 3.
    Spectral indices and related formulas used in this study.
  
Textural information was incorporated using the Gray-Level Co-occurrence Matrix (GLCM), an effective method for extracting textural indices even from grayscale images []. The texture attributes used in this study included Homogeneity (‘idm’), Angular Second Moment (‘asm’), Sum Average (‘savg’), Entropy (‘ent’), Contrast (‘contrast’), and Correlation (‘corr’).
Lastly, to account for seasonal variations in land cover, a multi-temporal seasonal image collection from the wet season was also included. Maximum and median values were extracted from this collection for each year, along with NDVI and NDWI values, to capture seasonal dynamics that might influence land cover classification.
2.6. Accuracy Assessment
The accuracy of the Random Forest (RF) classification was evaluated using a confusion matrix (CM), a widely used methodology in remote sensing for comparing classification outputs with ground-truth data. The predicted classes produced by the RF algorithm were compared to the labeled points in the testing dataset to assess the classification outcomes comprehensively. From the confusion matrix, several specific accuracy measures were derived [,]. Overall Accuracy (OA) represents the probability that a randomly chosen point on the map will be correctly classified. It is expressed as a percentage value, providing a general indication of the classification’s performance across all classes.
Producer’s Accuracy (PA), also known as “recall”, indicates the probability that a specific type of land cover on the ground is accurately classified on the map. It is computed by dividing the number of correctly identified pixels in each category by the total number of pixels in that category, as determined from the reference data. User’s Accuracy (UA), also known as “precision”, represents the probability that a pixel labeled as belonging to a particular category on the map truly reflects that category on the ground. It is calculated by dividing the number of correctly identified pixels within a category by the total number of pixels classified in that category.
The Kappa coefficient of agreement is a statistic that measures the agreement between classification and ground-truth values, taking into account the agreement that occurs by chance. It provides a more robust measure of classification accuracy, especially when comparing different classification results. These accuracy measures collectively provide a comprehensive assessment of classification performance, allowing for the evaluation of both overall classification accuracy and class-specific accuracies.
2.7. Change Detection Analysis
This study employed post-classification comparison, a widely used change detection method, implemented through QGIS 3.36 and ArcGIS Pro 2.8.0 post-processing tools. This approach has been shown to accurately represent land use changes in previous studies [,]. Change detection was carried out within the two areas, their consecutive conservation units, and buffer areas.
The analysis involved cross-tabulating classification results for consecutive years (2018–2019, 2019–2020, 2020–2021, 2021–2022, 2022–2023) and the overall study period (2018–2023). This process identified how each land cover class changed between consecutive years and between the initial and final dates of the study period. Transition maps were then generated to visualize these changes, providing a spatial representation of land cover dynamics. To calculate changes inside conservation units, polygons representing the boundaries of the units were used to extract LULC change information and summarize deforestation and forest degradation.
To assess the frequency of change, all six LULC maps were combined into a single raster in ArcGIS 2.8.0 Pro using the Combine tool. Each unique combination of LULC classes across all maps was assigned a unique value, with class pixel value information remaining for each year, which was organized in columns, or “fields”, in the raster’s attribute table. Using Field Calculation, new columns were created and changes were calculated between consecutive years. Pixels that underwent changes were assigned a value of 1, while pixels with no changes were assigned a value of 0. Subsequently, this information was aggregated, and a new raster was created using the Frequency tool to summarize the change frequency across the study areas. The tool sums all changes that occurred over the years, assigning each pixel a value between 0 (no changes) and 5 (changed every year), providing a comprehensive view of landscape dynamics throughout the study period.
2.8. Deforestation and Forest Degradation Detection
To detect deforestation and forest degradation in the study sites and conservation units, land cover classes were reclassified into broader categories: Primary Forest (Terra-Firme Forest and Floodplain Forest), Secondary Forest, and Non-Forest (Agriculture/Pastureland, Development Areas, Barren Land, and Burned Areas). Water Bodies and Savanna classes were excluded from the analysis to focus on forest dynamics. Using the change detection analysis, deforestation was then calculated from the conversion of Primary Forest classes to Non-Forest classes, while degradation was quantified as the transition from Primary Forest classes to the Secondary Forest class. Annual rates of deforestation and forest degradation were calculated for the whole study area. Total areas of deforestation and forest degradation within 5 years, using the initial and final land cover maps, were calculated for conservation units and buffer zones.
3. Results
3.1. Classification Performance
The Random Forest model demonstrated strong overall performance for both study areas across all years, with overall accuracy consistently exceeding 95%. Producer’s and User’s Accuracies were robust, with values surpassing 60% for both regions. The model’s effectiveness was further validated by Kappa coefficients and out-of-bag error rates (Table 4 and Table 5).
       
    
    Table 4.
    Accuracy assessment results for the LULC maps of Manaus (PA—Producer’s Accuracy, and UA—User’s Accuracy).
  
       
    
    Table 5.
    Accuracy assessment results for the LULC maps of Porto Velho (PA—Producer’s Accuracy, and UA—User’s Accuracy).
  
Despite the generally high performance, certain land cover classes presented challenges. In Porto Velho (Table 5), Floodplain Forests showed the lowest accuracy (78.6% in 2022), while in Manaus (Table 4), Burned areas were the most problematic (64.7% in 2019). These lower accuracies can be attributed to spectral confusion between these specific classes and others. The confusion matrix revealed that in these particular years, Burned Areas were often misclassified as Agriculture/Pastureland, while some Floodplain Forest areas were incorrectly identified as Terra-Firme Forest.
Analysis of feature importance revealed interesting patterns across the two study areas. In Manaus, the three principal component (PC) features consistently ranked among the most crucial for classification (Figure A1). Conversely, in Porto Velho, ‘Elevation’ emerged as a key feature, appearing among the most important variables for classification across all years (Figure A2). These findings highlight the distinct characteristics of each region and the adaptability of the Random Forest model in leveraging the most relevant features for accurate classification.
3.2. Land Use and Land Cover Distribution
3.2.1. Study Sites
The land use and land cover (LULC) distribution in Table 6 reveals distinct patterns and changes across the two study sites, Manaus (Figure A3) and Porto Velho (Figure A4), over the six years from 2018 to 2023. Terra-Firme Forest dominated both areas, covering 67.8% (774,477 ha) of Manaus and 48.9% (451,876 ha) of Porto Velho by 2023. The second most prevalent land cover differed between sites, with Water Bodies accounting for 13.3% (151,598 ha) in Manaus and Agriculture/Pastureland comprising 31.0% (286,038 ha) in Porto Velho. Burned Areas were the least common in both locations, occupying only 0.1% (1582 ha) in Manaus and 0.4% (3787 ha) in Porto Velho by the final year.
       
    
    Table 6.
    LULC area distribution (in hectares and %) and total area changed in the study sites in all years.
  
Changes in the total class area between 2018 and 2023 highlighted significant losses in Terra-Firme Forest for both sites (−17,354 ha in Manaus and −23,788 ha in Porto Velho), followed by Floodplain Forests (−5231 ha in Manaus and −8841 ha in Porto Velho). Conversely, Secondary Forest showed the largest gain in Manaus (22,362 ha), while Agriculture/Pastureland expanded most significantly in Porto Velho (29,080 ha). Development Areas in Manaus and Secondary Forests in Porto Velho also exhibited notable increases.
The frequency of change analysis (Table 7) provided insights into the dynamic nature of LULC in both areas by quantifying the trajectories of the land cover changes within the study period. In Manaus, 60,268 ha experienced at least one change in LULC, with 4129 ha changing every year throughout the study period. Porto Velho demonstrated even greater dynamism, with approximately 119,616 ha changing at least twice and 6138 ha changing annually.
       
    
    Table 7.
    Frequency of yearly LULC changes in the study areas by hectares (ha).
  
3.2.2. Conservation Units
The land cover distribution within conservation units (Table A1, Table A2, Table A3, Table A4, Table A5 and Table A6) largely mirrored that of the total study areas, with nearly half of most conservation units in both Manaus and Porto Velho covered by various forest classes. However, notable exceptions were observed in both regions, highlighting the diverse management approaches and challenges faced by different types of protected areas.
In Porto Velho, two categories of conservation units deviated from this pattern. State sustainable use conservation units (Table A5) were predominantly covered by Agriculture/Pastureland, accounting for 59.7% (108,842 ha) of their total area by the final year of the study. Similarly, Local sustainable use conservation units (Table A6) were primarily characterized by Barren Land, which comprised 39.9% (4 ha) of their area in 2023; this could be due to their approximation or total inclusion inside urban areas, where development activities are clearly observed.
Manaus presented a unique case with its Local full protection conservation units (Table A3). In the initial year of this study (2018), Terra-Firme Forests were the dominant land cover within these units, covering 23 ha. However, by 2023, a dramatic shift had occurred, with Agriculture/Pastureland becoming the primary land cover, occupying 37.4% (22 ha) of the total area. This transformation represents a change of 11 ha over five years.
3.2.3. Buffer Areas Around Conservation Units
The analysis of buffer zones surrounding conservation units revealed patterns largely consistent with the overall land cover distribution in both study areas (Table A7, Table A8, Table A9, Table A10, Table A11 and Table A12). Forest classes remained the predominant land cover type within these buffer zones, reflecting the broader landscape composition.
In Manaus, the buffer zones around Local full protection conservation units (Table A9) exhibited a distinct land cover distribution. Development Areas emerged as the dominant land cover type, occupying 46.5% (5314 ha) of the total buffer area. Porto Velho demonstrated an even more pronounced anthropogenic influence in the buffer zones of its Local-Level conservation units (Table A12). The areas surrounding both management types of Local-Level conservation units were primarily characterized by human-modified landscapes. Agriculture/Pastureland dominated the buffer zones of full protection units, covering 33.1% (3985 ha) of the area, while Development Areas were prevalent in buffer zones of sustainable use units, accounting for an overwhelming 82.4% (2539 ha) of the total area.
3.3. Deforestation and Forest Degradation
3.3.1. Study Sites
The analysis of deforestation and forest degradation rates revealed distinct patterns and trends in Porto Velho and Manaus over the five-year study period. In both study sites, forest degradation consistently outpaced deforestation, with Porto Velho experiencing higher frequencies of both phenomena compared to Manaus (Figure 2). Mapped areas of yearly deforestation and forest degradation, derived from LULC transition maps, in both study sites, are represented in Figure 3. Visually, it was observed that deforestation areas are more concentrated and compact than degradation areas, which are more fragmented throughout the landscape.
      
    
    Figure 2.
      Deforestation and forest degradation yearly rate in the two study sites in all years.
  

      
    
    Figure 3.
      Maps representing areas of deforestation and forest degradation in consecutive years within the study sites: (a) Deforestation and (b) forest degradation in Manaus, and (c) deforestation, and (d) forest degradation in Porto Velho.
  
Porto Velho exhibited more dramatic fluctuations in both deforestation and degradation (Figure 2). Deforestation peaked in 2020–2021, with 14,653 ha of forest converted, primarily to Agriculture/Pastureland (9869 ha, accounting for 67.4% of the total deforestation). Following this peak, deforestation declined by approximately half in 2021–2022 and remained relatively stable in subsequent years. Forest degradation in Porto Velho was most pronounced in 2018–2019, affecting 31,157 ha. After reaching its lowest level the following year, degradation showed an increasing trend in subsequent years.
In contrast, Manaus displayed a more gradual increase in deforested areas (Figure 2). Starting from 2018–2019, deforestation steadily rose, culminating in 5267 ha of forest loss in 2022–2023. This final year’s figure narrowly surpassed the previous year’s record by just 3 ha. Similar to Porto Velho, the primary driver of deforestation in Manaus was the conversion of forest areas to Agriculture/Pastureland, accounting for 4625 ha (87.8% of the total deforestation area) in the final year. Forest degradation in Manaus peaked earlier in the study period, with 26,500 ha affected in 2018–2019, followed by fluctuating rates in subsequent years.
3.3.2. Conservation Units
Within conservation units, the total area of deforestation and forest degradation revealed complex patterns across different management types and administrative levels in both Manaus and Porto Velho in 5 years. Consistently, forest degradation surpassed deforestation in most conservation units.
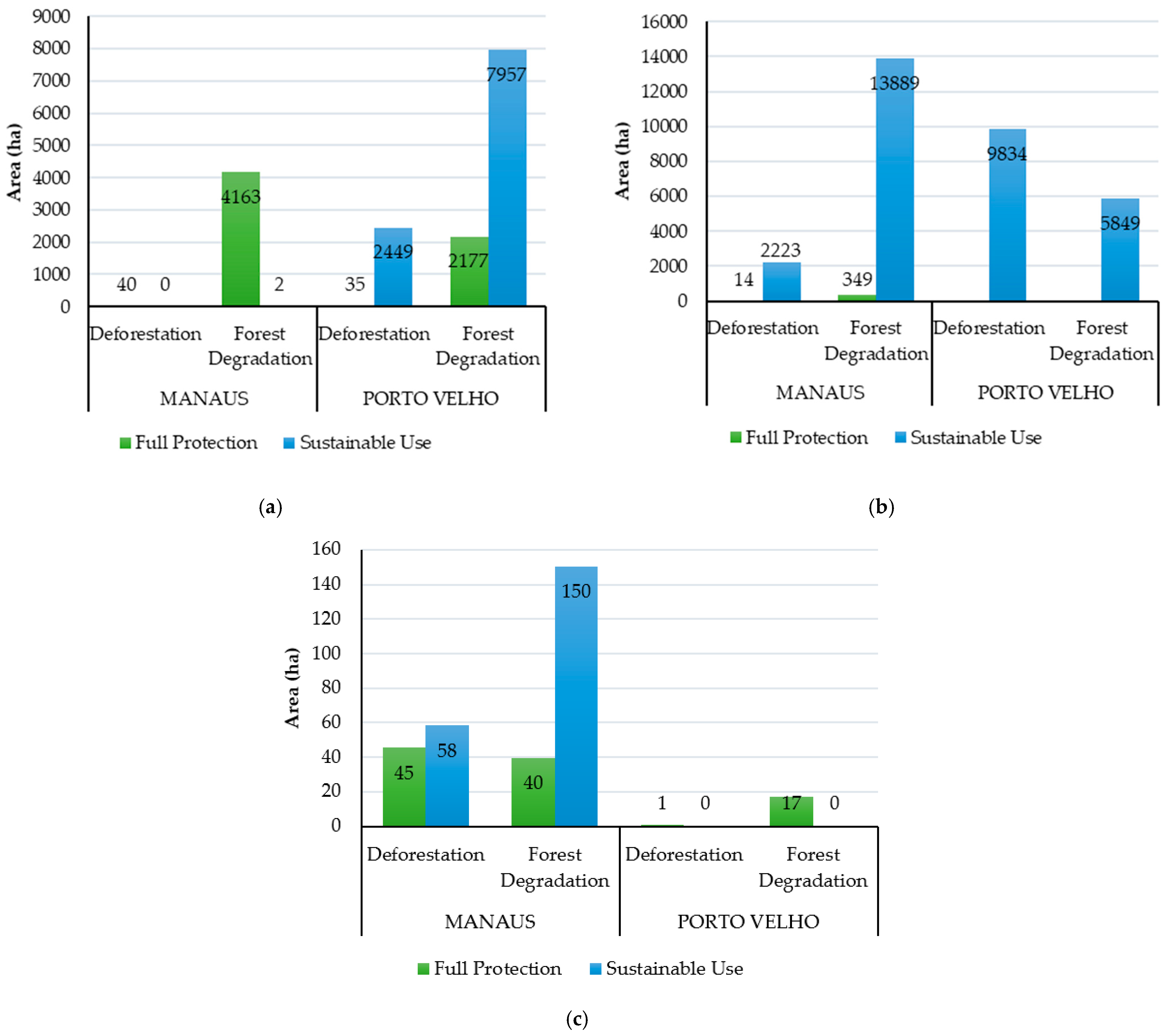
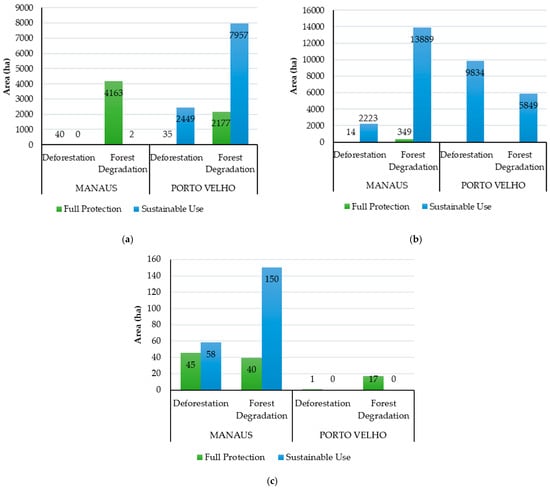
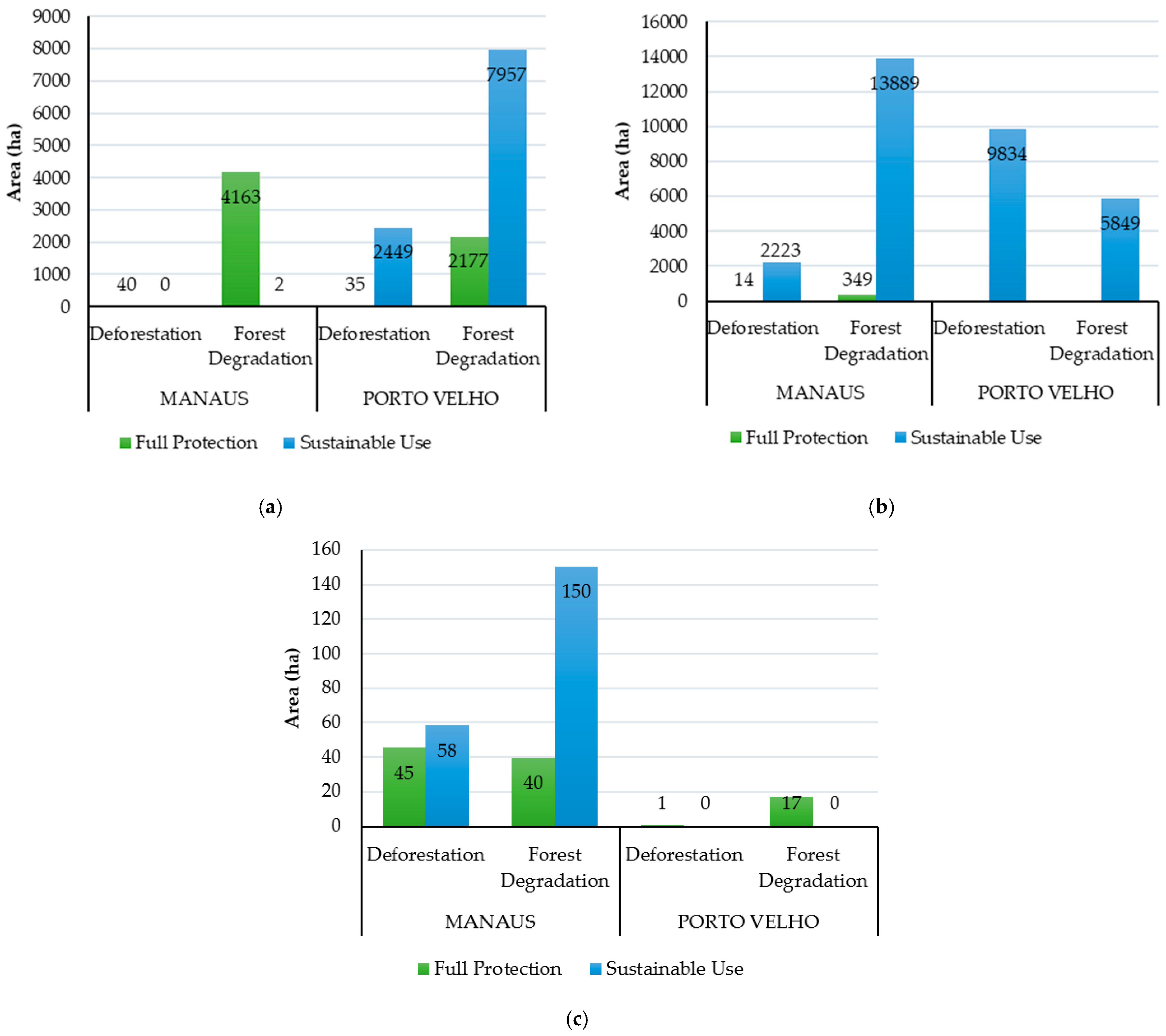
In Manaus, Federal sustainable use units experienced minimal change, with no deforestation and only 2 ha converted to Secondary Forest. Federal full protection units faced more significant challenges, with 40 ha deforested and 4163 ha degraded (4.0% of the total unit area) (Figure 4a). State-level units in Manaus showed greater areas of change, with State sustainable use units experiencing 2223 ha of deforestation and 13,889 ha of degradation, while State full protection units saw 14 ha deforested and 349 ha degraded (Figure 4b). Local-level units in Manaus exhibited smaller but still notable areas of forest loss (Figure 4c).
      
    
    Figure 4.
      Total areas of deforestation and forest degradation inside Conservation Units in both study sites per administrative types. Each management type (full protection and sustainable use) belonging to the (a) Federal Level; (b) State Level; and (c) Local Level.
  
Porto Velho displayed a different pattern, with Federal sustainable use units experiencing 2449 ha of deforestation and 7957 ha of degradation (6.0% of the total unit area). Federal full protection units in Porto Velho showed lower deforestation (35 ha) but significant degradation (2177 ha) (Figure 4a). The State sustainable use units in Porto Velho, the only state-level category present, faced substantial challenges, with 9834 ha deforested and 5849 ha degraded (Figure 4b). Local-level units in Porto Velho experienced minimal changes, likely due to their small size (Figure 4c).
Across both cities, sustainable use units consistently showed larger areas of deforestation and degradation compared to full protection units. Porto Velho’s sustainable use units consistently experienced more substantial deforestation than degradation, unlike Manaus, where degradation significantly outpaced deforestation. The primary driver of forest loss in conservation areas mirrored the broader trend, with conversion to Agriculture/Pastureland being the main factor.
Analysis at the administrative level revealed that local-level units generally experienced less disturbance, while state-level units in Manaus and federal-level units in Porto Velho faced the largest deforestation and degradation. Specific units stood out for their extensive changes, such as the Environmental Protection Area on the Left Bank of the Negro River in Manaus (State sustainable use) and the Bom-Futuro National Forest (Federal sustainable use) in Porto Velho.
3.3.3. Buffer Areas Around Conservation Units
In Manaus, buffer zones around Federal sustainable use units experienced a relatively low level of change, with 23 ha deforested and 76 ha degraded. The buffers of Federal full protection units faced more significant pressures, with 183 ha deforested and 3321 ha degraded (Figure 5a). State-level units in Manaus showed varying impacts, with buffers around sustainable use units experiencing 362 ha of deforestation and 1599 ha of degradation, while the buffers of full protection units saw 19 ha deforested and 292 ha degraded (Figure 5b). Local-level units in Manaus exhibited similar deforestation levels in their buffer zones (around 145 ha for both sustainable use and full protection), but degradation was more pronounced around sustainable use units (739 ha against 250 ha for full protection) (Figure 5c).
      
    
    Figure 5.
      Total area of deforestation and forest degradation inside buffer zones around conservation units in both study sites per administrative types. Buffers zones of each management type (full protection and sustainable use) belonging to the (a) Federal Level; (b) State Level; and (c) Local Level.
  
Porto Velho displayed different trends, particularly in federal-level units. Buffer zones around Federal sustainable use units experienced higher deforestation (4593 ha) than degradation (3712 ha), contrasting with the general trend. The buffers of Federal full protection units showed lower but still significant changes (189 ha deforested and 1808 ha degraded) (Figure 5a). Buffers of State sustainable use units in Porto Velho faced substantial pressures, with 1270 ha deforested and 2269 ha degraded (Figure 5b). Local-level units in Porto Velho showed minimal changes in sustainable use buffers but more significant impacts around full protection units (127 ha deforested and 497 ha degraded) (Figure 5c).
Comparing the two areas, Porto Velho’s sustainable use units’ buffer zones experienced significantly higher levels of both deforestation (5863 ha) and degradation (5981 ha) compared to Manaus (529 ha and 2416 ha, respectively). Conversely, the buffers of full protection units in Manaus showed slightly higher rates of deforestation (349 ha) and degradation (3865 ha) than those in Porto Velho (316 ha and 2305 ha, respectively).
Across both areas, the primary driver of forest loss in buffer zones was conversion to Agriculture/Pastureland, mirroring the broader regional trend. Federal-level units’ buffer zones experienced the largest disturbance, particularly in Porto Velho for deforestation (4782 ha) and in both areas for degradation (5520 ha in Porto Velho, 3397 ha in Manaus).
4. Discussion
4.1. LULC Classification Performance
The object-based supervised classification in this study achieved high accuracy (Overall Accuracy > 0.94) for all classified maps in each year in both areas (Table 4 and Table 5). This is comparable to previous LULC change studies in the Amazon using Random Forest [] and object-based image classification []. Brovelli et al. used Random Forest to classify land cover and simulate forest dynamics in an area inside Para state, in the Brazilian Amazon, with an overall accuracy reaching 0.97 for the classified map using Sentinel 2 []. Souza-Filho et al. used object-based classification, and Landsat and Sentinel 2 mosaics for LULC classification of a watershed, also located in Para state, reaching an overall accuracy higher than 0.94 for all classified maps [].
Regarding the accuracy of each class, despite the object-based classification approach generally aiming to reduce spectral confusion compared to pixel-based approaches, some land cover classes still faced misclassification issues [,,]. This challenge is common in tropical forest studies, where dense canopy cover can complicate the differentiation of forest types. Similar difficulties were encountered with Agriculture/Pastureland classification, leading to the combination of these two land use types into a single class. Additionally, some Burned Areas were incorrectly classified as Agriculture/Pastureland, possibly due to the prevalence of slash-and-burn practices in the Amazon region [].
Elevation data and Principal Component Analysis (PCA) proved particularly useful in enhancing the model’s performance. The inclusion of topographic information has been shown to improve land cover classification accuracy in complex terrains [], while PCA can effectively reduce data dimensionality while retaining essential information for classification [].
4.2. Land Cover Distribution and Change
The dominance of Terra-Firme Forest in both study areas underscores the continued importance of these regions for biodiversity conservation and ecosystem services (Table 6). However, the significant loss of forest over the short study period is concerning, pointing to persistent deforestation pressures despite conservation efforts.
The contrasting secondary land covers—Water Bodies in Manaus and Agriculture/Pastureland in Porto Velho—reflect the distinct developmental trajectories and environmental contexts of these areas. While Manaus has a longer history (dating back to the 19th century “rubber boom”), Porto Velho experienced a significant transformation beginning in the 1970s. This change was primarily driven by the implementation of colonization projects and settlements by the Instituto Nacional de Colonização e Reforma Agrária (INCRA). The Brazilian government’s initiative to expand the agricultural frontier in Rondônia state led to a substantial migratory flow of people to the region who, encouraged by federal policies, rapidly converted vast areas of forest into agricultural lands and cattle ranches [,]. Consequently, Porto Velho and its surrounding areas underwent a more extensive and rapid deforestation process compared to Manaus.
Porto Velho’s higher proportion of agricultural land suggests a more intense anthropogenic modification, which is further supported by its larger gains in Agriculture/Pastureland over the study period. This trend aligns with broader patterns of agricultural expansion in the Amazon, often at the expense of Primary Forests [,,].
The LULC dynamism observed in Manaus, and more greatly in Porto Velho, through the frequency of change (Table 7), suggests an intense land use pressure and potentially unsustainable practices in the area. One of the common LULC trajectories in the Amazon is the conversion of Primary Forests to pasture. This transition often follows a pattern where forests are cleared and then converted to pasture for cattle grazing. A cyclical pattern of regrowth and re-clearing of Secondary Forests is also commonly observed, where farmers may leave areas unused, on purpose or not, for a period of time to restore soil fertility before reusing them. This transition may happen many times over the years and the use of slash-and-burn techniques can also be widely applied in these processes, which can increase soil degradation and carbon emissions [].
4.3. Deforestation and Forest Degradation Rates
The study found that forest degradation consistently outpaces deforestation in both areas, a trend that is sometimes overlooked in broader assessments of forest loss []. In their 2020 study, Matricardi et al. reported that long-term forest degradation in the Brazilian Amazon has surpassed deforestation, affecting an estimated 337,427 km2 of forest between 1992 and 2014, compared to 308,311 km2 lost through deforestation []. The same trend was observed by Qin et al., who estimated that during 2010–2019, the Brazilian Amazon experienced a cumulative gross loss of 4.45 Pg C against a gross gain of 3.78 Pg C. In their results, forest degradation (73%) contributed three times more to the gross AGB loss than deforestation (27%) []. This highlights the significant impact of degradation on carbon stocks and underscores the importance of considering both deforestation and degradation in forest monitoring efforts.
A significant driver of forest degradation in the Amazon is illegal selective logging, as there is a high demand for valuable timber species, especially in international markets. This practice involves the removal of targeted high-value tree species, which disrupts the forest structure and composition. The creation of access roads and tree extraction open the forest canopy, which leads to increased light penetration and drier conditions on the forest floor, making the forest more susceptible to fires, especially during drought periods [,,], leading to more degradation and eventual forest loss.
In this study, Secondary Forests, which often result from previous disturbances like logging or fire, were observed to have the largest area gain in Manaus over the study period (Table 6), which shows a great level of forest degradation in the area. This may be due to the city’s strategic location and status as a major economic hub placing it at risk of increased forest disturbance as development continues to expand in this area [,].
The high yearly rates of deforestation and degradation observed in Porto Velho, compared to Manaus, can be partly attributed to its location within the “arc of deforestation,” a region along the southern and eastern edges of the Amazon that has been particularly vulnerable to forest clearance []. Additionally, infrastructure projects like the reconstruction of the BR-319 highway connecting Porto Velho to Manaus have been associated with increased land speculation and forest clearing, even before the road’s completion [,].
The primary drivers of forest loss observed in our study areas mirror those identified in the broader Amazon region. Agriculture, particularly the expansion of pastureland for cattle ranching, emerged as the dominant force behind deforestation, consistent with findings from Tyukavina et al., who attributed 63% of forest disturbance in the Brazilian Amazon to pasture conversion between 2000 and 2013 []. The creation of pastureland is also frequently driven by land speculation, where areas are deforested to create pastures to quickly sell the land at inflated prices to crop producers, generating a complex land rights problem for the region. Deforestation derived from this land use was highly observed in Porto Velho by this study, as the city is a major cattle producer in the region.
4.4. Conservation Effectiveness and Buffer Zones Dynamics
The results of this study demonstrate that conservation units provide a good level of protection against deforestation and forest degradation when compared to their surrounding areas. However, the effectiveness of this protection varied across different management types and administrative levels. Full protection conservation units were shown to be more effective when compared to sustainable use units in both cities, likely reflecting the stricter regulations and limited human activities allowed in these areas. However, the significant levels of forest degradation observed even within full protection units indicate that these areas are not immune to anthropogenic pressures.
The large areas of deforestation and degradation detected in sustainable use units, particularly at the State level in both areas, raise questions about the efficacy of current management strategies in these areas. The predominant occurrence of agriculture and pasture within these units, especially in Porto Velho, suggests that economic pressures may outweigh conservation objectives in some units under state-level management. These findings echo concerns raised by previous studies about the challenges faced by sustainable use reserves in balancing conservation with local resource needs [,]. Furthermore, differences in local economic activities and enforcement capacities are reflected in the dominance of deforestation patterns found in sustainable use units in Porto Velho compared to the prevalence of forest degradation patterns in Manaus.
Regarding the effectiveness of conservation units across administrative levels, Federal units showed less disturbance, particularly in Manaus, suggesting that national-level management may provide stronger protection. Local-level units also experienced less disturbance, possibly due to their smaller sizes. In contrast, state-level units faced extensive deforestation and degradation, indicating potential challenges in enforcement and management at this level. This aligns with the findings from Herrera et al., where federally protected areas and indigenous lands generally experienced less internal deforestation than state-managed protected areas, particularly in the “arc of deforestation”. This discrepancy may be attributed to federal agencies considering broader jurisdictional benefits and potentially having greater resources or enforcement capabilities [].
The analysis of buffer zones around conservation units provided crucial insights into the broader landscape context of protected areas. The large areas of deforestation and degradation detected inside buffer zones, compared to the conservation units themselves, highlight the effectiveness of the protected areas and the importance of considering local-level conservation approaches. This is particularly evident in Porto Velho, where buffer zones around sustainable use units experienced substantial forest loss and degradation, showing the consistent anthropogenic pressure over the units. Buffer zones around local-level units similarly experienced larger areas of disturbance than the units themselves, which may be due to these units being established in areas with high levels of human intervention, such as urban environments.
The predominant conversion of forest to Agriculture/Pastureland in buffer zones mirrors the broader regional trend and underscores the ongoing tension between conservation and agricultural expansion in the Amazon []. This pattern suggests that conservation strategies need to extend beyond protected area boundaries to address local-level drivers of deforestation.
4.5. Implications for Conservation and Policy
The persistent forest loss and degradation observed in this study, even within protected areas, call for a reevaluation of current conservation strategies in the Brazilian Amazon [,]. The varying effectiveness of different management types and administrative levels suggests that a homogeneous approach to conservation is insufficient. For sustainable use units, which showed higher forest loss and degradation, there is a need to strengthen management practices and explore alternative livelihood options that can reconcile conservation with local development needs. This might involve promoting sustainable agroforestry practices or developing markets for non-timber forest products [,].
The significant pressures observed in buffer zones highlight the need for integrated management approaches that consider both protected areas and their surrounding landscapes. This could involve creating ecological corridors, implementing sustainable land use practices in buffer zones, and, most importantly, engaging local communities in conservation efforts.
Finally, the higher rates of forest degradation compared to deforestation in many areas show the importance of monitoring and addressing less visible forms of forest disturbance []. This calls for improved remote sensing techniques and on-the-ground monitoring to detect and mitigate forest degradation.
5. Conclusions
This study provided a comprehensive analysis of deforestation and forest degradation using LULC changes in Manaus and Porto Velho, Brazil, within and around conservation units from 2018 to 2023. By employing advanced remote sensing techniques and object-based classification methods, this study has achieved high-accuracy mapping of LULC dynamics in the Brazilian Amazon landscape.
Our findings reveal several key insights:
1. Despite the continued dominance of Terra-Firme Forest in both study areas, significant forest loss and degradation were observed, highlighting ongoing pressures on ecosystems in the Brazilian Amazon. This study revealed a gain of 22,362 ha in Secondary Forest areas in Manaus and 29,088 ha in Agriculture/Pastureland in Porto Velho within the study period.
2. The effectiveness of conservation units varied considerably across management types and administrative levels. Full protection units generally showed lower deforestation compared to sustainable use units, but both categories still face substantial challenges in preventing forest degradation.
3. Buffer zones around conservation units experienced larger deforestation and degradation compared to the conservation units, highlighting the effectiveness of these protected areas.
4. The conversion of forest to Agriculture/Pastureland emerged as the primary driver of land cover change and forest loss, reflecting the ongoing tension between conservation and agricultural expansion in the Amazon.
5. Forest degradation consistently surpassed deforestation in most areas.
These results have important implications for conservation policy and practice in the Brazilian Amazon. They suggest that while protected areas play a crucial role in forest conservation, current strategies may be insufficient to fully safeguard these ecosystems.
The high-accuracy LULC classification achieved in this study demonstrates the potential of advanced remote sensing and machine learning techniques for monitoring complex tropical forest landscapes. These methods provide valuable tools for tracking progress toward conservation goals and informing adaptive management strategies.
In conclusion, while conservation units in Manaus and Porto Velho play a vital role in forest protection, they face significant challenges from both internal and external pressures. By providing a detailed analysis of LULC dynamics in these areas, this study contributes to the evidence base needed to develop more effective and resilient conservation policies for these areas in the Brazilian Amazon.
Author Contributions
Conceptualization and methodology, D.N.L. and S.T.; formal analysis, investigation, data curation, and writing—original draft preparation, D.N.L.; writing—review and editing, supervision, and project administration, S.T. All authors have read and agreed to the published version of the manuscript.
Funding
This research received no external funding.
Data Availability Statement
The data presented in this study are available on request from the first author.
Acknowledgments
The authors would like to thank the Instituto de Proteção Ambiental do Amazonas (IPAAM) in Manaus, and the Secretaria Municipal de Planejamento, Orçamento e Gestão (SEMPOG) in Porto Velho for providing us with the official administrative boundaries of the conservation units. The authors would also like to express their gratitude to the reviewers for their comments and suggestions made to improve the quality of this article.
Conflicts of Interest
The authors declare no conflicts of interest.
Appendix A
      
    
    Figure A1.
      Relative Feature Importance in percentage derived from the Random Forest model used to create LULC maps of Porto Velho for all years: (a) 2018; (b) 2019; (c) 2020; (d) 2021; (e) 2022; and (f) 2023.
  
      
    
    Figure A2.
      Relative Feature Importance in percentage derived from the Random Forest model used to create LULC maps of Manaus for all years: (a) 2018; (b) 2019; (c) 2020; (d) 2021; (e) 2022; and (f) 2023.
  
      
    
    Figure A3.
      LULC maps of Manaus, resulting from the Random Forest model for all years: (a) 2018; (b) 2019; (c) 2020; (d) 2021; (e) 2022; and (f) 2023.
  
      
    
    Figure A4.
      LULC maps of Porto Velho, resulting from the Random Forest model for all years: (a) 2018; (b) 2019; (c) 2020; (d) 2021; (e) 2022; and (f) 2023.
  
       
    
    Table A1.
    LULC area distribution (in hectares and %) and total area changed (ha) inside Manaus’ Federal-Level conservation units in all years.
  
Table A1.
    LULC area distribution (in hectares and %) and total area changed (ha) inside Manaus’ Federal-Level conservation units in all years.
      | Manaus—Federal-Level Conservation Units | |||||||||||||
|---|---|---|---|---|---|---|---|---|---|---|---|---|---|
| Full Protection | 2018 | 2019 | 2020 | 2021 | 2022 | 2023 | Change | ||||||
| LULC Class | ha | % | ha | % | ha | % | ha | % | ha | % | ha | % | ha | 
| Terra-Firme Forest | 134 | 0.1 | 270 | 0.3 | 88 | 0.1 | 206 | 0.2 | 1498 | 1.5 | 678 | 0.7 | +543 | 
| Floodplain Forest | 20,212 | 20.0 | 17,307 | 17.1 | 20,220 | 20.0 | 19,320 | 19.1 | 16,641 | 16.5 | 15,836 | 15.7 | −4376 | 
| Secondary Forest | 381 | 0.4 | 3001 | 3.0 | 667 | 0.7 | 665 | 0.7 | 1614 | 1.6 | 4506 | 4.5 | +4125 | 
| Agriculture/Pastureland | 81 | 0.1 | 67 | 0.1 | 74 | 0.1 | 74 | 0.1 | 655 | 0.6 | 100 | 0.1 | +19 | 
| Burned Areas | 1 | 0.0 | 1 | 0.0 | 1 | 0.0 | 9 | 0.0 | 1 | 0.0 | 4 | 0.0 | +3 | 
| Barren Land | 4 | 0.0 | 0 | 0.0 | 0 | 0.0 | 1 | 0.0 | 1 | 0.0 | 11 | 0.0 | +7 | 
| Development Areas | 4 | 0.0 | 0 | 0.0 | 0 | 0.0 | 1 | 0.0 | 1 | 0.0 | 1 | 0.0 | −3 | 
| Water Bodies | 80,312 | 79.4 | 80,485 | 79.6 | 80,080 | 79.2 | 80,854 | 79.9 | 80,719 | 79.8 | 79,995 | 79.1 | −318 | 
| Sustainable Use | 2018 | 2019 | 2020 | 2021 | 2022 | 2023 | Change | ||||||
| LULC Class | ha | % | ha | % | ha | % | ha | % | ha | % | ha | % | ha | 
| Terra-Firme Forest | 96 | 85.7 | 109 | 96.6 | 106 | 94.1 | 103 | 91.7 | 105 | 93.9 | 106 | 94.2 | +10 | 
| Floodplain Forest | 0 | 0.0 | 0 | 0.0 | 0 | 0.0 | 0 | 0.0 | 0 | 0.0 | 0 | 0.1 | 0 | 
| Secondary Forest | 16 | 14.3 | 4 | 3.4 | 7 | 5.9 | 9 | 8.3 | 7 | 6.1 | 6 | 5.7 | −10 | 
| Agriculture/Pastureland | 0 | 0.0 | 0 | 0.0 | 0 | 0.0 | 0 | 0.0 | 0 | 0.0 | 0 | 0.0 | 0 | 
| Burned Areas | 0 | 0.0 | 0 | 0.0 | 0 | 0.0 | 0 | 0.0 | 0 | 0.0 | 0 | 0.0 | 0 | 
| Barren Land | 0 | 0.0 | 0 | 0.0 | 0 | 0.0 | 0 | 0.0 | 0 | 0.0 | 0 | 0.0 | 0 | 
| Development Areas | 0 | 0.0 | 0 | 0.0 | 0 | 0.0 | 0 | 0.0 | 0 | 0.0 | 0 | 0.0 | 0 | 
| Water Bodies | 0 | 0.0 | 0 | 0.0 | 0 | 0.0 | 0 | 0.0 | 0 | 0.0 | 0 | 0.0 | 0 | 
       
    
    Table A2.
    LULC area distribution (in hectares and %) and total area changed (ha) inside Manaus’ State-Level conservation units in all years.
  
Table A2.
    LULC area distribution (in hectares and %) and total area changed (ha) inside Manaus’ State-Level conservation units in all years.
      | Manaus—State-Level Conservation Units | |||||||||||||
|---|---|---|---|---|---|---|---|---|---|---|---|---|---|
| Full Protection | 2018 | 2019 | 2020 | 2021 | 2022 | 2023 | Change | ||||||
| LULC Class | ha | % | ha | % | ha | % | ha | % | ha | % | ha | % | ha | 
| Terra-Firme Forest | 73,683 | 94.3 | 72,657 | 93.0 | 72,293 | 92.6 | 73,132 | 93.6 | 75,146 | 96.2 | 74,447 | 95.3 | +764 | 
| Floodplain Forest | 4108 | 5.3 | 5052 | 6.5 | 5485 | 7.0 | 4719 | 6.0 | 2574 | 3.3 | 3129 | 4.0 | −979 | 
| Secondary Forest | 206 | 0.3 | 299 | 0.4 | 221 | 0.3 | 127 | 0.2 | 248 | 0.3 | 416 | 0.5 | +210 | 
| Agriculture/Pastureland | 20 | 0.0 | 11 | 0.0 | 20 | 0.0 | 30 | 0.0 | 41 | 0.1 | 25 | 0.0 | +5 | 
| Burned Areas | 0 | 0.0 | 0 | 0.0 | 0 | 0.0 | 0 | 0.0 | 0 | 0.0 | 2 | 0.0 | +2 | 
| Barren Land | 0 | 0.0 | 0 | 0.0 | 0 | 0.0 | 0 | 0.0 | 0 | 0.0 | 0 | 0.0 | 0 | 
| Development Areas | 2 | 0.0 | 1 | 0.0 | 0 | 0.0 | 1 | 0.0 | 1 | 0.0 | 1 | 0.0 | −1 | 
| Water Bodies | 77 | 0.1 | 76 | 0.1 | 76 | 0.1 | 88 | 0.1 | 87 | 0.1 | 76 | 0.1 | −1 | 
| Sustainable Use | 2018 | 2019 | 2020 | 2021 | 2022 | 2023 | Change | ||||||
| LULC Class | ha | % | ha | % | ha | % | ha | % | ha | % | ha | % | ha | 
| Terra-Firme Forest | 470,572 | 86.5 | 469,519 | 86.3 | 471,885 | 86.7 | 464,095 | 85.3 | 475,448 | 87.4 | 463,126 | 85.1 | −7446 | 
| Floodplain Forest | 34,807 | 6.4 | 32,722 | 6.0 | 33,811 | 6.2 | 34,609 | 6.4 | 25,817 | 4.7 | 34,409 | 6.3 | −398 | 
| Secondary Forest | 18,811 | 3.5 | 24,134 | 4.4 | 19,580 | 3.6 | 26,248 | 4.8 | 22,782 | 4.2 | 27,392 | 5.0 | +8581 | 
| Agriculture/Pastureland | 8241 | 1.5 | 6925 | 1.3 | 7783 | 1.4 | 7516 | 1.4 | 8699 | 1.6 | 8108 | 1.5 | −133 | 
| Burned Areas | 427 | 0.1 | 166 | 0.0 | 348 | 0.1 | 235 | 0.0 | 173 | 0.0 | 447 | 0.1 | +20 | 
| Barren Land | 703 | 0.1 | 176 | 0.0 | 426 | 0.1 | 542 | 0.1 | 473 | 0.1 | 759 | 0.1 | +56 | 
| Development Areas | 82 | 0.0 | 293 | 0.1 | 83 | 0.0 | 36 | 0.0 | 43 | 0.0 | 40 | 0.0 | −42 | 
| Water Bodies | 10,550 | 1.9 | 10,259 | 1.9 | 10,278 | 1.9 | 10,911 | 2.0 | 10,758 | 2.0 | 9912 | 1.8 | −639 | 
       
    
    Table A3.
    LULC area distribution (in hectares and %) and total area changed (ha) inside Manaus’ Local-Level conservation units in all years.
  
Table A3.
    LULC area distribution (in hectares and %) and total area changed (ha) inside Manaus’ Local-Level conservation units in all years.
      | Manaus—Local-Level Conservation Units | |||||||||||||
|---|---|---|---|---|---|---|---|---|---|---|---|---|---|
| Full Protection | 2018 | 2019 | 2020 | 2021 | 2022 | 2023 | Change | ||||||
| LULC Class | ha | % | ha | % | ha | % | ha | % | ha | % | ha | % | ha | 
| Terra-Firme Forest | 23 | 38.1 | 7 | 12.3 | 6 | 9.5 | 6 | 9.8 | 6 | 9.9 | 1 | 1.4 | −22 | 
| Floodplain Forest | 9 | 14.6 | 0 | 0.8 | 3 | 4.5 | 1 | 2.0 | 0 | 0.8 | 0 | 0.0 | −9 | 
| Secondary Forest | 13 | 21.4 | 42 | 70.4 | 42 | 71.7 | 41 | 69.1 | 33 | 55.1 | 33 | 55.7 | +20 | 
| Agriculture/Pastureland | 11 | 18.3 | 7 | 12.5 | 6 | 10.9 | 9 | 15.3 | 19 | 31.5 | 22 | 37.4 | +11 | 
| Burned Areas | 0 | 0.0 | 1 | 1.6 | 0 | 0.0 | 0 | 0.1 | 0 | 0.0 | 0 | 0.0 | 0 | 
| Barren Land | 2 | 2.6 | 0 | 0.0 | 0 | 0.1 | 0 | 0.1 | 0 | 0.1 | 1 | 1.4 | −1 | 
| Development Areas | 2 | 3.2 | 1 | 2.3 | 2 | 3.4 | 1 | 2.0 | 2 | 2.6 | 2 | 4.0 | 0 | 
| Water Bodies | 1 | 1.7 | 0 | 0.0 | 0 | 0.0 | 1 | 1.5 | 0 | 0.0 | 0 | 0.0 | −1 | 
| Sustainable Use | 2018 | 2019 | 2020 | 2021 | 2022 | 2023 | Change | ||||||
| LULC Class | ha | % | ha | % | ha | % | ha | % | ha | % | ha | % | ha | 
| Terra-Firme Forest | 31,442 | 58.7 | 30,182 | 56.3 | 29,838 | 55.7 | 28,076 | 52.4 | 29,384 | 54.8 | 27,451 | 51.2 | −3992 | 
| Floodplain Forest | 4364 | 8.1 | 2980 | 5.6 | 3275 | 6.1 | 3613 | 6.7 | 3867 | 7.2 | 3631 | 6.8 | −734 | 
| Secondary Forest | 4414 | 8.2 | 8733 | 16.3 | 7976 | 14.9 | 8827 | 16.5 | 6562 | 12.2 | 8474 | 15.8 | +4060 | 
| Agriculture/Pastureland | 8064 | 15.0 | 7035 | 13.1 | 7498 | 14.0 | 7409 | 13.8 | 8213 | 15.3 | 8033 | 15.0 | −32 | 
| Burned Areas | 88 | 0.2 | 35 | 0.1 | 104 | 0.2 | 126 | 0.2 | 36 | 0.1 | 154 | 0.3 | +66 | 
| Barren Land | 1490 | 2.8 | 725 | 1.4 | 1033 | 1.9 | 1578 | 2.9 | 1569 | 2.9 | 1950 | 3.6 | +460 | 
| Development Areas | 1369 | 2.6 | 1537 | 2.9 | 1483 | 2.8 | 1446 | 2.7 | 1475 | 2.8 | 1670 | 3.1 | +301 | 
| Water Bodies | 2354 | 4.4 | 2358 | 4.4 | 2379 | 4.4 | 2512 | 4.7 | 2480 | 4.6 | 2224 | 4.2 | −130 | 
       
    
    Table A4.
    LULC area distribution (in hectares and %) and total area changed (ha) inside Porto Velho’s Federal-Level conservation units in all years.
  
Table A4.
    LULC area distribution (in hectares and %) and total area changed (ha) inside Porto Velho’s Federal-Level conservation units in all years.
      | Porto Velho—Federal-Level Conservation Units | |||||||||||||
|---|---|---|---|---|---|---|---|---|---|---|---|---|---|
| Full Protection | 2018 | 2019 | 2020 | 2021 | 2022 | 2023 | Change | ||||||
| LULC Class | ha | % | ha | % | ha | % | ha | % | ha | % | ha | % | ha | 
| Terra-Firme Forest | 38,298 | 74.9 | 39,464 | 77.2 | 41,670 | 81.5 | 38,928 | 76.2 | 37,821 | 74.0 | 37,554 | 73.5 | −744 | 
| Floodplain Forest | 6933 | 13.6 | 4828 | 9.4 | 3603 | 7.0 | 4519 | 8.8 | 7291 | 14.3 | 6244 | 12.2 | −689 | 
| Secondary Forest | 649 | 1.3 | 1918 | 3.8 | 1125 | 2.2 | 2953 | 5.8 | 1512 | 3.0 | 2686 | 5.3 | +2038 | 
| Agriculture/Pastureland | 977 | 1.9 | 1210 | 2.4 | 594 | 1.2 | 905 | 1.8 | 517 | 1.0 | 549 | 1.1 | −428 | 
| Burned Areas | 1 | 0.0 | 34 | 0.1 | 1 | 0.0 | 2 | 0.0 | 1 | 0.0 | 2 | 0.0 | +1 | 
| Barren Land | 13 | 0.0 | 7 | 0.0 | 19 | 0.0 | 13 | 0.0 | 5 | 0.0 | 2 | 0.0 | −11 | 
| Development Areas | 0 | 0.0 | 1 | 0.0 | 0 | 0.0 | 0 | 0.0 | 1 | 0.0 | 0 | 0.0 | 0 | 
| Water Bodies | 400 | 0.8 | 415 | 0.8 | 412 | 0.8 | 414 | 0.8 | 419 | 0.8 | 420 | 0.8 | +20 | 
| Savanna | 3842 | 7.5 | 3236 | 6.3 | 3690 | 7.2 | 3381 | 6.6 | 3547 | 6.9 | 3657 | 7.2 | −185 | 
| Sustainable Use | 2018 | 2019 | 2020 | 2021 | 2022 | 2023 | Change | ||||||
| LULC Class | ha | % | ha | % | ha | % | ha | % | ha | % | ha | % | ha | 
| Terra-Firme Forest | 98,439 | 78.2 | 96,977 | 77.1 | 97,941 | 77.8 | 96,891 | 77.0 | 96,533 | 76.7 | 95,273 | 75.7 | −3165 | 
| Floodplain Forest | 5231 | 4.2 | 4176 | 3.3 | 3227 | 2.6 | 3476 | 2.8 | 4171 | 3.3 | 3670 | 2.9 | −1561 | 
| Secondary Forest | 13,251 | 10.5 | 14,586 | 11.6 | 13,530 | 10.8 | 13,357 | 10.6 | 13,126 | 10.4 | 14,532 | 11.5 | 1280 | 
| Agriculture/Pastureland | 8448 | 6.7 | 8705 | 6.9 | 10,019 | 8.0 | 10,467 | 8.3 | 11,339 | 9.0 | 11,470 | 9.1 | +3022 | 
| Burned Areas | 55 | 0.0 | 914 | 0.7 | 693 | 0.6 | 1270 | 1.0 | 222 | 0.2 | 353 | 0.3 | +298 | 
| Barren Land | 133 | 0.1 | 226 | 0.2 | 159 | 0.1 | 173 | 0.1 | 75 | 0.1 | 217 | 0.2 | +84 | 
| Development Areas | 21 | 0.0 | 92 | 0.1 | 1 | 0.0 | 2 | 0.0 | 35 | 0.0 | 3 | 0.0 | −18 | 
| Water Bodies | 95 | 0.1 | 142 | 0.1 | 151 | 0.1 | 152 | 0.1 | 151 | 0.1 | 142 | 0.1 | +47 | 
| Savanna | 184 | 0.1 | 40 | 0.0 | 135 | 0.1 | 67 | 0.1 | 205 | 0.2 | 198 | 0.2 | +14 | 
       
    
    Table A5.
    LULC area distribution (in hectares and %) and total area changed (ha) inside Porto Velho’s State-Level conservation units in all years.
  
Table A5.
    LULC area distribution (in hectares and %) and total area changed (ha) inside Porto Velho’s State-Level conservation units in all years.
      | Porto Velho—State-Level Conservation Units | |||||||||||||
|---|---|---|---|---|---|---|---|---|---|---|---|---|---|
| Sustainable Use | 2018 | 2019 | 2020 | 2021 | 2022 | 2023 | Change | ||||||
| LULC Class | ha | % | ha | % | ha | % | ha | % | ha | % | ha | % | ha | 
| Terra-Firme Forest | 62,553 | 34.3 | 56,895 | 31.2 | 58,429 | 32.0 | 53,178 | 29.2 | 50,652 | 27.8 | 49,464 | 27.1 | −13,089 | 
| Floodplain Forest | 3925 | 2.2 | 3140 | 1.7 | 2771 | 1.5 | 3424 | 1.9 | 4448 | 2.4 | 3860 | 2.1 | −65 | 
| Secondary Forest | 13,189 | 7.2 | 18,708 | 10.3 | 13,987 | 7.7 | 13,651 | 7.5 | 13,247 | 7.3 | 12,888 | 7.1 | −301 | 
| Agriculture/Pastureland | 93,976 | 51.5 | 93,390 | 51.2 | 97,328 | 53.4 | 103,315 | 56.7 | 10,6770 | 58.6 | 108,842 | 59.7 | +14,866 | 
| Burned Areas | 647 | 0.4 | 1811 | 1.0 | 1902 | 1.0 | 2184 | 1.2 | 713 | 0.4 | 710 | 0.4 | +63 | 
| Barren Land | 4559 | 2.5 | 5062 | 2.8 | 4315 | 2.4 | 2997 | 1.6 | 2207 | 1.2 | 2899 | 1.6 | −1660 | 
| Development Areas | 231 | 0.1 | 204 | 0.1 | 113 | 0.1 | 209 | 0.1 | 151 | 0.1 | 134 | 0.1 | −97 | 
| Water Bodies | 2935 | 1.6 | 2875 | 1.6 | 3428 | 1.9 | 3015 | 1.7 | 3165 | 1.7 | 3016 | 1.7 | +81 | 
| Savanna | 336 | 0.2 | 264 | 0.1 | 77 | 0.0 | 377 | 0.2 | 997 | 0.5 | 538 | 0.3 | +202 | 
       
    
    Table A6.
    LULC area distribution (in hectares and %) and total area changed (ha) inside Porto Velho’s Local-Level conservation units in all years.
  
Table A6.
    LULC area distribution (in hectares and %) and total area changed (ha) inside Porto Velho’s Local-Level conservation units in all years.
      | Porto Velho—Local-Level Conservation Units | |||||||||||||
|---|---|---|---|---|---|---|---|---|---|---|---|---|---|
| Full Protection | 2018 | 2019 | 2020 | 2021 | 2022 | 2023 | Change | ||||||
| LULC Class | ha | % | ha | % | ha | % | ha | % | ha | % | ha | % | ha | 
| Terra-Firme Forest | 357 | 85.6 | 353 | 84.6 | 378 | 90.5 | 369 | 88.5 | 366 | 87.7 | 370 | 88.6 | +12 | 
| Floodplain Forest | 25 | 6.1 | 26 | 6.2 | 17 | 4.1 | 16 | 3.8 | 24 | 5.8 | 13 | 3.2 | −12 | 
| Secondary Forest | 16 | 3.9 | 25 | 6.0 | 11 | 2.7 | 19 | 4.4 | 16 | 3.8 | 24 | 5.8 | +8 | 
| Agriculture/Pastureland | 13 | 3.2 | 10 | 2.4 | 6 | 1.5 | 10 | 2.4 | 8 | 1.9 | 7 | 1.6 | −6 | 
| Burned Areas | 1 | 0.1 | 0 | 0.0 | 0 | 0.0 | 0 | 0.1 | 0 | 0.1 | 0 | 0.0 | −1 | 
| Barren Land | 4 | 1.0 | 3 | 0.8 | 5 | 1.1 | 2 | 0.6 | 3 | 0.7 | 2 | 0.6 | −2 | 
| Development Areas | 0 | 0.0 | 0 | 0.0 | 0 | 0.0 | 0 | 0.0 | 0 | 0.0 | 0 | 0.0 | 0 | 
| Water Bodies | 0 | 0.1 | 0 | 0.0 | 0 | 0.1 | 0 | 0.1 | 0 | 0.0 | 0 | 0.0 | 0 | 
| Savanna | 0 | 0.0 | 0 | 0.0 | 0 | 0.0 | 0 | 0.1 | 0 | 0.0 | 1 | 0.2 | +1 | 
| Sustainable Use | 2018 | 2019 | 2020 | 2021 | 2022 | 2023 | Change | ||||||
| LULC Class | ha | % | ha | % | ha | % | ha | % | ha | % | ha | % | ha | 
| Terra-Firme Forest | 0 | 0.0 | 0 | 0.0 | 0 | 0.0 | 0 | 0.0 | 0 | 0.0 | 0 | 0.0 | 0 | 
| Floodplain Forest | 0 | 0.0 | 0 | 0.0 | 0 | 0.0 | 0 | 0.0 | 0 | 0.0 | 0 | 0.0 | 0 | 
| Secondary Forest | 0 | 0.0 | 2 | 24.3 | 2 | 24.0 | 3 | 24.7 | 2 | 24.3 | 2 | 20.9 | +2 | 
| Agriculture/Pastureland | 5 | 54.2 | 1 | 14.5 | 1 | 7.9 | 1 | 12.7 | 4 | 43.3 | 3 | 33.9 | −2 | 
| Burned Areas | 0 | 0.0 | 0 | 0.0 | 0 | 0.0 | 0 | 0.0 | 0 | 0.0 | 0 | 0.0 | 0 | 
| Barren Land | 3 | 24.8 | 5 | 53.2 | 7 | 65.8 | 4 | 34.9 | 1 | 11.9 | 4 | 39.9 | 2 | 
| Development Areas | 2 | 20.9 | 1 | 8.0 | 0 | 2.3 | 3 | 27.7 | 2 | 16.4 | 1 | 5.2 | −2 | 
| Water Bodies | 0 | 0.0 | 0 | 0.0 | 0 | 0.0 | 0 | 0.0 | 0 | 0.0 | 0 | 0.0 | 0 | 
| Savanna | 0 | 0.0 | 0 | 0.0 | 0 | 0.0 | 0 | 0.0 | 0 | 4.2 | 0 | 0.0 | 0 | 
       
    
    Table A7.
    LULC area distribution (in hectares and %) and total area changed (ha) inside Manaus’ Federal-Level buffer zones in all years.
  
Table A7.
    LULC area distribution (in hectares and %) and total area changed (ha) inside Manaus’ Federal-Level buffer zones in all years.
      | Manaus—Federal-Level Buffer Zones | |||||||||||||
|---|---|---|---|---|---|---|---|---|---|---|---|---|---|
| Full Protection | 2018 | 2019 | 2020 | 2021 | 2022 | 2023 | Change | ||||||
| LULC Class | ha | % | ha | % | ha | % | ha | % | ha | % | ha | % | ha | 
| Terra-Firme Forest | 12,208 | 38.7 | 12,203 | 38.7 | 12,830 | 40.7 | 10,509 | 33.3 | 12,846 | 40.8 | 11,232 | 35.6 | −976 | 
| Floodplain Forest | 5843 | 18.5 | 4062 | 12.9 | 4763 | 15.1 | 4878 | 15.5 | 3455 | 11.0 | 4243 | 13.5 | −1600 | 
| Secondary Forest | 3670 | 11.6 | 5825 | 18.5 | 4385 | 13.9 | 6490 | 20.6 | 5392 | 17.1 | 6514 | 20.7 | +2844 | 
| Agriculture/Pastureland | 792 | 2.5 | 441 | 1.4 | 546 | 1.7 | 513 | 1.6 | 777 | 2.5 | 582 | 1.8 | −210 | 
| Burned Areas | 12 | 0.0 | 21 | 0.1 | 54 | 0.2 | 38 | 0.1 | 17 | 0.1 | 83 | 0.3 | +71 | 
| Barren Land | 30 | 0.1 | 5 | 0.0 | 13 | 0.0 | 11 | 0.0 | 8 | 0.0 | 61 | 0.2 | +31 | 
| Development Areas | 12 | 0.0 | 2 | 0.0 | 5 | 0.0 | 3 | 0.0 | 2 | 0.0 | 8 | 0.0 | −4 | 
| Water Bodies | 8950 | 28.4 | 8958 | 28.4 | 8920 | 28.3 | 9076 | 28.8 | 9019 | 28.6 | 8794 | 27.9 | −157 | 
| Sustainable Use | 2018 | 2019 | 2020 | 2021 | 2022 | 2023 | Change | ||||||
| LULC Class | ha | % | ha | % | ha | % | ha | % | ha | % | ha | % | ha | 
| Terra-Firme Forest | 3800 | 75.5 | 4082 | 81.1 | 4129 | 82.0 | 3939 | 78.3 | 3988 | 79.2 | 4077 | 81.0 | 277 | 
| Floodplain Forest | 30 | 0.6 | 50 | 1.0 | 52 | 1.0 | 68 | 1.4 | 17 | 0.3 | 9 | 0.2 | −21 | 
| Secondary Forest | 1186 | 23.6 | 886 | 17.6 | 833 | 16.6 | 999 | 19.9 | 996 | 19.8 | 916 | 18.2 | −270 | 
| Agriculture/Pastureland | 9 | 0.2 | 15 | 0.3 | 18 | 0.4 | 25 | 0.5 | 30 | 0.6 | 19 | 0.4 | 10 | 
| Burned Areas | 6 | 0.1 | 1 | 0.0 | 1 | 0.0 | 2 | 0.0 | 2 | 0.0 | 11 | 0.2 | +5 | 
| Barren Land | 2 | 0.0 | 0 | 0.0 | 0 | 0.0 | 1 | 0.0 | 1 | 0.0 | 1 | 0.0 | −1 | 
| Development Areas | 0 | 0.0 | 0 | 0.0 | 0 | 0.0 | 0 | 0.0 | 0 | 0.0 | 0 | 0.0 | 0 | 
| Water Bodies | 0 | 0.0 | 0 | 0.0 | 0 | 0.0 | 0 | 0.0 | 0 | 0.0 | 0 | 0.0 | 0 | 
       
    
    Table A8.
    LULC area distribution (in hectares and %) and total area changed (ha) inside Manaus’ State-Level buffer zones in all years.
  
Table A8.
    LULC area distribution (in hectares and %) and total area changed (ha) inside Manaus’ State-Level buffer zones in all years.
      | Manaus—State-Level Buffer Zones | |||||||||||||
|---|---|---|---|---|---|---|---|---|---|---|---|---|---|
| Full Protection | 2018 | 2019 | 2020 | 2021 | 2022 | 2023 | Change | ||||||
| LULC Class | ha | % | ha | % | ha | % | ha | % | ha | % | ha | % | ha | 
| Terra-Firme Forest | 34,771 | 81.7 | 34,647 | 81.4 | 34,659 | 81.4 | 34,375 | 80.7 | 34,962 | 82.1 | 34,381 | 80.8 | −390 | 
| Floodplain Forest | 3248 | 7.6 | 3418 | 8.0 | 3473 | 8.2 | 3691 | 8.7 | 3016 | 7.1 | 3579 | 8.4 | +331 | 
| Secondary Forest | 324 | 0.8 | 566 | 1.3 | 432 | 1.0 | 396 | 0.9 | 364 | 0.9 | 480 | 1.1 | +157 | 
| Agriculture/Pastureland | 966 | 2.3 | 858 | 2.0 | 857 | 2.0 | 770 | 1.8 | 876 | 2.1 | 780 | 1.8 | −185 | 
| Burned Areas | 2 | 0.0 | 0 | 0.0 | 3 | 0.0 | 1 | 0.0 | 1 | 0.0 | 3 | 0.0 | 0 | 
| Barren Land | 258 | 0.6 | 104 | 0.2 | 142 | 0.3 | 241 | 0.6 | 189 | 0.4 | 158 | 0.4 | −100 | 
| Development Areas | 2623 | 6.2 | 2661 | 6.2 | 2687 | 6.3 | 2683 | 6.3 | 2774 | 6.5 | 2875 | 6.8 | +252 | 
| Water Bodies | 383 | 0.9 | 321 | 0.8 | 322 | 0.8 | 417 | 1.0 | 391 | 0.9 | 319 | 0.7 | −64 | 
| Sustainable Use | 2018 | 2019 | 2020 | 2021 | 2022 | 2023 | Change | ||||||
| LULC Class | ha | % | ha | % | ha | % | ha | % | ha | % | ha | % | ha | 
| Terra-Firme Forest | 24,050 | 51.8 | 22,925 | 49.4 | 23,375 | 50.4 | 22,934 | 49.4 | 24,316 | 52.4 | 22,966 | 49.5 | −1084 | 
| Floodplain Forest | 7218 | 15.5 | 7338 | 15.8 | 7554 | 16.3 | 6960 | 15.0 | 5958 | 12.8 | 7192 | 15.5 | −26 | 
| Secondary Forest | 1183 | 2.5 | 2398 | 5.2 | 1653 | 3.6 | 2417 | 5.2 | 2012 | 4.3 | 2493 | 5.4 | +1310 | 
| Agriculture/Pastureland | 740 | 1.6 | 677 | 1.5 | 790 | 1.7 | 742 | 1.6 | 881 | 1.9 | 819 | 1.8 | +79 | 
| Burned Areas | 39 | 0.1 | 75 | 0.2 | 57 | 0.1 | 38 | 0.1 | 22 | 0.0 | 91 | 0.2 | +51 | 
| Barren Land | 60 | 0.1 | 8 | 0.0 | 24 | 0.1 | 47 | 0.1 | 38 | 0.1 | 72 | 0.2 | +12 | 
| Development Areas | 8 | 0.0 | 13 | 0.0 | 5 | 0.0 | 3 | 0.0 | 2 | 0.0 | 2 | 0.0 | −6 | 
| Water Bodies | 13,120 | 28.3 | 12,986 | 28.0 | 12,960 | 27.9 | 13,278 | 28.6 | 13,192 | 28.4 | 12,785 | 27.5 | −335 | 
       
    
    Table A9.
    LULC area distribution (in hectares and %) and total area changed (ha) inside Manaus’ Local-Level buffer zones in all years.
  
Table A9.
    LULC area distribution (in hectares and %) and total area changed (ha) inside Manaus’ Local-Level buffer zones in all years.
      | Manaus—Local-Level Buffer Zones | |||||||||||||
|---|---|---|---|---|---|---|---|---|---|---|---|---|---|
| Full Protection | 2018 | 2019 | 2020 | 2021 | 2022 | 2023 | Change | ||||||
| LULC Class | ha | % | ha | % | ha | % | ha | % | ha | % | ha | % | ha | 
| Terra-Firme Forest | 1966 | 17.2 | 2348 | 20.6 | 2212 | 19.4 | 1678 | 14.7 | 2057 | 18.0 | 1846 | 16.2 | −120 | 
| Floodplain Forest | 69 | 0.6 | 38 | 0.3 | 53 | 0.5 | 40 | 0.3 | 42 | 0.4 | 67 | 0.6 | −1 | 
| Secondary Forest | 687 | 6.0 | 1219 | 10.7 | 1013 | 8.9 | 1356 | 11.9 | 719 | 6.3 | 798 | 7.0 | +111 | 
| Agriculture/Pastureland | 2917 | 25.5 | 2373 | 20.8 | 2531 | 22.2 | 2484 | 21.7 | 2778 | 24.3 | 2710 | 23.7 | −207 | 
| Burned Areas | 53 | 0.5 | 4 | 0.0 | 22 | 0.2 | 22 | 0.2 | 5 | 0.0 | 25 | 0.2 | −28 | 
| Barren Land | 728 | 6.4 | 332 | 2.9 | 515 | 4.5 | 805 | 7.1 | 588 | 5.2 | 504 | 4.4 | −224 | 
| Development Areas | 4846 | 42.4 | 4946 | 43.3 | 4922 | 43.1 | 4870 | 42.6 | 5060 | 44.3 | 5314 | 46.5 | +468 | 
| Water Bodies | 155 | 1.4 | 160 | 1.4 | 153 | 1.3 | 167 | 1.5 | 171 | 1.5 | 155 | 1.4 | 0 | 
| Sustainable Use | 2018 | 2019 | 2020 | 2021 | 2022 | 2023 | Change | ||||||
| LULC Class | ha | % | ha | % | ha | % | ha | % | ha | % | ha | % | ha | 
| Terra-Firme Forest | 7528 | 43.8 | 7037 | 40.9 | 7548 | 43.9 | 7043 | 40.9 | 7452 | 43.3 | 7018 | 40.8 | −510 | 
| Floodplain Forest | 1416 | 8.2 | 1171 | 6.8 | 1252 | 7.3 | 1202 | 7.0 | 1152 | 6.7 | 1390 | 8.1 | −26 | 
| Secondary Forest | 386 | 2.2 | 1393 | 8.1 | 707 | 4.1 | 1204 | 7.0 | 820 | 4.8 | 1100 | 6.4 | 715 | 
| Agriculture/Pastureland | 835 | 4.9 | 675 | 3.9 | 748 | 4.3 | 695 | 4.0 | 760 | 4.4 | 774 | 4.5 | −62 | 
| Burned Areas | 11 | 0.1 | 6 | 0.0 | 19 | 0.1 | 16 | 0.1 | 6 | 0.0 | 24 | 0.1 | 13 | 
| Barren Land | 51 | 0.3 | 18 | 0.1 | 24 | 0.1 | 42 | 0.2 | 30 | 0.2 | 66 | 0.4 | 15 | 
| Development Areas | 13 | 0.1 | 6 | 0.0 | 9 | 0.0 | 7 | 0.0 | 6 | 0.0 | 5 | 0.0 | −8 | 
| Water Bodies | 6965 | 40.5 | 6899 | 40.1 | 6900 | 40.1 | 6996 | 40.7 | 6979 | 40.6 | 6828 | 39.7 | −137 | 
       
    
    Table A10.
    LULC area distribution (in hectares and %) and total area changed (ha) inside Porto Velho’s Federal-Level buffer zones in all years.
  
Table A10.
    LULC area distribution (in hectares and %) and total area changed (ha) inside Porto Velho’s Federal-Level buffer zones in all years.
      | Porto Velho—Federal-Level Buffer Zones | |||||||||||||
|---|---|---|---|---|---|---|---|---|---|---|---|---|---|
| Full Protection | 2018 | 2019 | 2020 | 2021 | 2022 | 2023 | Change | ||||||
| LULC Class | ha | % | ha | % | ha | % | ha | % | ha | % | ha | % | ha | 
| Terra-Firme Forest | 14,682 | 58.8 | 15,055 | 60.3 | 16,013 | 64.1 | 14,910 | 59.7 | 15,524 | 62.1 | 14,446 | 57.8 | −236 | 
| Floodplain Forest | 5268 | 21.1 | 3770 | 15.1 | 2612 | 10.5 | 3401 | 13.6 | 3035 | 12.1 | 3757 | 15.0 | −1511 | 
| Secondary Forest | 677 | 2.7 | 1805 | 7.2 | 2015 | 8.1 | 2355 | 9.4 | 2213 | 8.9 | 2526 | 10.1 | +1849 | 
| Agriculture/Pastureland | 1523 | 6.1 | 1593 | 6.4 | 1671 | 6.7 | 1742 | 7.0 | 1610 | 6.4 | 1655 | 6.6 | +132 | 
| Burned Areas | 40 | 0.2 | 3 | 0.0 | 14 | 0.1 | 21 | 0.1 | 16 | 0.1 | 8 | 0.0 | −33 | 
| Barren Land | 531 | 2.1 | 510 | 2.0 | 571 | 2.3 | 531 | 2.1 | 560 | 2.2 | 384 | 1.5 | −147 | 
| Development Areas | 58 | 0.2 | 35 | 0.1 | 0 | 0.0 | 5 | 0.0 | 21 | 0.1 | 2 | 0.0 | −57 | 
| Water Bodies | 1981 | 7.9 | 2094 | 8.4 | 1986 | 7.9 | 1924 | 7.7 | 1863 | 7.5 | 2086 | 8.3 | +105 | 
| Savanna | 225 | 0.9 | 123 | 0.5 | 105 | 0.4 | 97 | 0.4 | 145 | 0.6 | 123 | 0.5 | −102 | 
| Sustainable Use | 2018 | 2019 | 2020 | 2021 | 2022 | 2023 | Change | ||||||
| LULC Class | ha | % | ha | % | ha | % | ha | % | ha | % | ha | % | ha | 
| Terra-Firme Forest | 57,413 | 61.8 | 55,053 | 59.2 | 55,851 | 60.1 | 53,241 | 57.3 | 52,647 | 56.6 | 51,973 | 55.9 | −5440 | 
| Floodplain Forest | 3551 | 3.8 | 2712 | 2.9 | 1917 | 2.1 | 2691 | 2.9 | 3334 | 3.6 | 3008 | 3.2 | −543 | 
| Secondary Forest | 6308 | 6.8 | 8748 | 9.4 | 7612 | 8.2 | 7208 | 7.8 | 6444 | 6.9 | 6710 | 7.2 | +402 | 
| Agriculture/Pastureland | 22,564 | 24.3 | 22,659 | 24.4 | 23,808 | 25.6 | 25,742 | 27.7 | 27,673 | 29.8 | 28,309 | 30.4 | +5745 | 
| Burned Areas | 197 | 0.2 | 719 | 0.8 | 829 | 0.9 | 1221 | 1.3 | 282 | 0.3 | 49 | 0.1 | −147 | 
| Barren Land | 1038 | 1.1 | 1307 | 1.4 | 1136 | 1.2 | 947 | 1.0 | 598 | 0.6 | 951 | 1.0 | −87 | 
| Development Areas | 53 | 0.1 | 29 | 0.0 | 10 | 0.0 | 56 | 0.1 | 35 | 0.0 | 21 | 0.0 | −31 | 
| Water Bodies | 928 | 1.0 | 986 | 1.1 | 1005 | 1.1 | 1038 | 1.1 | 1083 | 1.2 | 1087 | 1.2 | +159 | 
| Savanna | 918 | 1.0 | 756 | 0.8 | 800 | 0.9 | 825 | 0.9 | 874 | 0.9 | 861 | 0.9 | −57 | 
       
    
    Table A11.
    LULC area distribution (in hectares and %) and total area changed (ha) inside Porto Velho’s State-Level buffer zones in all years.
  
Table A11.
    LULC area distribution (in hectares and %) and total area changed (ha) inside Porto Velho’s State-Level buffer zones in all years.
      | Porto Velho—State-Level Buffer Zones | |||||||||||||
|---|---|---|---|---|---|---|---|---|---|---|---|---|---|
| Sustainable Use | 2018 | 2019 | 2020 | 2021 | 2022 | 2023 | Change | ||||||
| LULC Class | ha | % | ha | % | ha | % | ha | % | ha | % | ha | % | ha | 
| Terra-Firme Forest | 34,192 | 56.3 | 34,076 | 56.2 | 35,514 | 58.5 | 33,712 | 55.6 | 33,718 | 55.6 | 32,860 | 54.1 | −1332 | 
| Floodplain Forest | 4905 | 8.1 | 4359 | 7.2 | 3253 | 5.4 | 3667 | 6.0 | 4023 | 6.6 | 3748 | 6.2 | −1157 | 
| Secondary Forest | 3336 | 5.5 | 3623 | 6.0 | 2915 | 4.8 | 4136 | 6.8 | 3742 | 6.2 | 4466 | 7.4 | +1130 | 
| Agriculture/Pastureland | 14,648 | 24.1 | 14,916 | 24.6 | 15,377 | 25.3 | 15,672 | 25.8 | 15,843 | 26.1 | 16,280 | 26.8 | +1632 | 
| Burned Areas | 254 | 0.4 | 342 | 0.6 | 182 | 0.3 | 253 | 0.4 | 142 | 0.2 | 166 | 0.3 | −88 | 
| Barren Land | 763 | 1.3 | 860 | 1.4 | 879 | 1.4 | 507 | 0.8 | 353 | 0.6 | 522 | 0.9 | −241 | 
| Development Areas | 9 | 0.0 | 18 | 0.0 | 6 | 0.0 | 48 | 0.1 | 18 | 0.0 | 6 | 0.0 | −3 | 
| Water Bodies | 2280 | 3.8 | 2263 | 3.7 | 2276 | 3.7 | 2276 | 3.7 | 2442 | 4.0 | 2259 | 3.7 | −20 | 
| Savanna | 299 | 0.5 | 227 | 0.4 | 283 | 0.5 | 414 | 0.7 | 402 | 0.7 | 377 | 0.6 | 77 | 
       
    
    Table A12.
    LULC area distribution (in hectares and %) and total area changed (ha) inside Porto Velho’s Local-Level buffer zones in all years.
  
Table A12.
    LULC area distribution (in hectares and %) and total area changed (ha) inside Porto Velho’s Local-Level buffer zones in all years.
      | Porto Velho—Local-Level Buffer Zones | |||||||||||||
|---|---|---|---|---|---|---|---|---|---|---|---|---|---|
| Full Protection | 2018 | 2019 | 2020 | 2021 | 2022 | 2023 | Change | ||||||
| LULC Class | ha | % | ha | % | ha | % | ha | % | ha | % | ha | % | ha | 
| Terra-Firme Forest | 2295 | 19.1 | 2492 | 20.7 | 2923 | 24.3 | 2567 | 21.3 | 2457 | 20.4 | 2560 | 21.3 | +266 | 
| Floodplain Forest | 683 | 5.7 | 375 | 3.1 | 410 | 3.4 | 320 | 2.7 | 595 | 4.9 | 429 | 3.6 | −254 | 
| Secondary Forest | 666 | 5.5 | 881 | 7.3 | 653 | 5.4 | 1002 | 8.3 | 1060 | 8.8 | 1152 | 9.6 | +487 | 
| Agriculture/Pastureland | 3845 | 32.0 | 3744 | 31.1 | 3541 | 29.4 | 4096 | 34.0 | 4096 | 34.0 | 3985 | 33.1 | +140 | 
| Burned Areas | 52 | 0.4 | 65 | 0.5 | 34 | 0.3 | 57 | 0.5 | 34 | 0.3 | 46 | 0.4 | −6 | 
| Barren Land | 1707 | 14.2 | 1918 | 15.9 | 2032 | 16.9 | 1161 | 9.6 | 1165 | 9.7 | 1257 | 10.4 | −450 | 
| Development Areas | 1901 | 15.8 | 1681 | 14.0 | 1520 | 12.6 | 1912 | 15.9 | 1672 | 13.9 | 1682 | 14.0 | −219 | 
| Water Bodies | 875 | 7.3 | 859 | 7.1 | 884 | 7.4 | 865 | 7.2 | 860 | 7.1 | 854 | 7.1 | −21 | 
| Savanna | 8 | 0.1 | 17 | 0.1 | 34 | 0.3 | 52 | 0.4 | 93 | 0.8 | 66 | 0.5 | +58 | 
| Sustainable Use | 2018 | 2019 | 2020 | 2021 | 2022 | 2023 | Change | ||||||
| LULC Class | ha | % | ha | % | ha | % | ha | % | ha | % | ha | % | ha | 
| Terra-Firme Forest | 0 | 0.0 | 12 | 0.4 | 16 | 0.5 | 11 | 0.4 | 11 | 0.4 | 14 | 0.5 | +14 | 
| Floodplain Forest | 9 | 0.3 | 0 | 0.0 | 0 | 0.0 | 0 | 0.0 | 0 | 0.0 | 0 | 0.0 | −9 | 
| Secondary Forest | 0 | 0.0 | 14 | 0.4 | 21 | 0.7 | 32 | 1.0 | 26 | 0.8 | 17 | 0.6 | +17 | 
| Agriculture/Pastureland | 173 | 5.6 | 181 | 5.9 | 230 | 7.5 | 241 | 7.8 | 262 | 8.5 | 273 | 8.9 | +100 | 
| Burned Areas | 2 | 0.1 | 11 | 0.4 | 1 | 0.0 | 1 | 0.0 | 2 | 0.1 | 3 | 0.1 | +1 | 
| Barren Land | 200 | 6.5 | 306 | 9.9 | 310 | 10.1 | 202 | 6.6 | 231 | 7.5 | 227 | 7.4 | +27 | 
| Development Areas | 2697 | 87.5 | 2557 | 83.0 | 2499 | 81.1 | 2594 | 84.2 | 2544 | 82.6 | 2539 | 82.4 | −158 | 
| Water Bodies | 0 | 0.0 | 1 | 0.0 | 1 | 0.0 | 1 | 0.0 | 1 | 0.0 | 2 | 0.1 | +2 | 
| Savanna | 0 | 0.0 | 0 | 0.0 | 3 | 0.1 | 0 | 0.0 | 3 | 0.1 | 5 | 0.2 | +5 | 
References
- Albert, J.S.; Carnaval, A.C.; Flantua, S.G.A.; Lohmann, L.G.; Ribas, C.C.; Riff, D.; Carrillo, J.D.; Fan, Y.; Figueiredo, J.J.P.; Guayasamin, J.M.; et al. Human Impacts Outpace Natural Processes in the Amazon. Science 2023, 379, eabo5003. [Google Scholar] [CrossRef] [PubMed]
 - Assis, T.O.; Aguiar, A.P.D.; von Randow, C.; Nobre, C.A. Projections of Future Forest Degradation and CO2 Emissions for the Brazilian Amazon. Sci. Adv. 2022, 8, 3309. [Google Scholar] [CrossRef] [PubMed]
 - Fearnside, P. Deforestation of the Brazilian Amazon. In Oxford Research Encyclopedia of Environmental Science; Oxford University Press: Oxford, UK, 2017. [Google Scholar]
 - Bullock, E.L.; Woodcock, C.E.; Souza, C.; Olofsson, P. Satellite-Based Estimates Reveal Widespread Forest Degradation in the Amazon. Glob. Chang. Biol. 2020, 26, 2956–2969. [Google Scholar] [CrossRef]
 - Sauer, S. Soy Expansion into the Agricultural Frontiers of the Brazilian Amazon: The Agribusiness Economy and Its Social and Environmental Conflicts. Land Use Policy 2018, 79, 326–338. [Google Scholar] [CrossRef]
 - Vale, P.; Gibbs, H.; Vale, R.; Christie, M.; Florence, E.; Munger, J.; Sabaini, D. The Expansion of Intensive Beef Farming to the Brazilian Amazon. Glob. Environ. Change 2019, 57, 101922. [Google Scholar] [CrossRef]
 - Richards, P.; VanWey, L. Where Deforestation Leads to Urbanization: How Resource Extraction Is Leading to Urban Growth in the Brazilian Amazon. Ann. Assoc. Am. Geogr. 2015, 105, 806–823. [Google Scholar] [CrossRef]
 - Lima, T.A.; Beuchle, R.; Griess, V.C.; Verhegghen, A.; Vogt, P. Spatial Patterns of Logging-Related Disturbance Events: A Multi-Scale Analysis on Forest Management Units Located in the Brazilian Amazon. Landsc. Ecol. 2020, 35, 2083–2100. [Google Scholar] [CrossRef]
 - Bourgoin, C.; Ceccherini, G.; Girardello, M.; Vancutsem, C.; Avitabile, V.; Beck, P.S.A.; Beuchle, R.; Blanc, L.; Duveiller, G.; Migliavacca, M.; et al. Human Degradation of Tropical Moist Forests Is Greater than Previously Estimated. Nature 2024, 631, 570–576. [Google Scholar] [CrossRef]
 - Fawcett, D.; Sitch, S.; Ciais, P.; Wigneron, J.P.; Silva-Junior, C.H.L.; Heinrich, V.; Vancutsem, C.; Achard, F.; Bastos, A.; Yang, H.; et al. Declining Amazon Biomass Due to Deforestation and Subsequent Degradation Losses Exceeding Gains. Glob. Change Biol. 2023, 29, 1106–1118. [Google Scholar] [CrossRef]
 - Bourgoin, C.; Blanc, L.; Bailly, J.S.; Cornu, G.; Berenguer, E.; Oszwald, J.; Tritsch, I.; Laurent, F.; Hasan, A.F.; Sist, P.; et al. The Potential of Multisource Remote Sensing for Mapping the Biomass of a Degraded Amazonian Forest. Forests 2018, 9, 303. [Google Scholar] [CrossRef]
 - Hansen, M.C.; Potapov, P.V.; Moore, R.; Hancher, M.; Turubanova, S.A.; Tyukavina, A.; Thau, D.; Stehman, S.V.; Goetz, S.J.; Loveland, T.R.; et al. High-Resolution Global Maps of 21st-Century Forest Cover Change. Science 2013, 342, 850–853. [Google Scholar] [CrossRef] [PubMed]
 - Drusch, M.; Del Bello, U.; Carlier, S.; Colin, O.; Fernandez, V.; Gascon, F.; Hoersch, B.; Isola, C.; Laberinti, P.; Martimort, P.; et al. Sentinel-2: ESA’s Optical High-Resolution Mission for GMES Operational Services. Remote Sens. Environ. 2012, 120, 25–36. [Google Scholar] [CrossRef]
 - Lima, T.A.; Beuchle, R.; Langner, A.; Grecchi, R.C.; Griess, V.C.; Achard, F. Comparing Sentinel-2 MSI and Landsat 8 OLI Imagery for Monitoring Selective Logging in the Brazilian Amazon. Remote Sens. 2019, 11, 961. [Google Scholar] [CrossRef]
 - Mitchell, A.L.; Rosenqvist, A.; Mora, B. Current Remote Sensing Approaches to Monitoring Forest Degradation in Support of Countries Measurement, Reporting and Verification (MRV) Systems for REDD+. Carbon Balance Manag. 2017, 12, 9. [Google Scholar] [CrossRef] [PubMed]
 - Lu, D.; Li, G.; Moran, E.; Hetrick, S. Spatiotemporal Analysis of Land-Use and Land-Cover Change in the Brazilian Amazon. Int. J. Remote Sens. 2013, 34, 5953–5978. [Google Scholar] [CrossRef]
 - INPE. Metodologia Utilizada nos Projetos PRODES e DETER-2a Edição. Available online: http://mtc-m21d.sid.inpe.br/col/sid.inpe.br/mtc-m21d/2022/08.25.11.46/doc/thisInformationItemHomePage.html (accessed on 29 August 2024).
 - Blaschke, T. Object Based Image Analysis for Remote Sensing. ISPRS J. Photogramm. Remote Sens. 2010, 65, 2–16. [Google Scholar] [CrossRef]
 - Souza-Filho, P.W.M.; Nascimento, W.R.; Santos, D.C.; Weber, E.J.; Silva, R.O.; Siqueira, J.O. A GEOBIA Approach for Multitemporal Land-Cover and Land-Use Change Analysis in a Tropical Watershed in the Southeastern Amazon. Remote Sens. 2018, 10, 1683. [Google Scholar] [CrossRef]
 - Bueno, I.T.; Júnior, F.W.A.; Silveira, E.M.O.; Mello, J.M.; Carvalho, L.M.T.; Gomide, L.R.; Withey, K.; Scolforo, J.R.S. Object-Based Change Detection in the Cerrado Biome Using Landsat Time Series. Remote Sens 2019, 11, 570. [Google Scholar] [CrossRef]
 - Soares-Filho, B.; Moutinho, P.; Nepstad, D.; Anderson, A.; Rodrigues, H.; Garcia, R.; Dietzsch, L.; Merry, F.; Bowman, M.; Hissa, L.; et al. Role of Brazilian Amazon Protected Areas in Climate Change Mitigation. Proc. Natl. Acad. Sci. USA 2010, 107, 10821–10826. [Google Scholar] [CrossRef]
 - Pfaff, A.; Robalino, J.; Herrera, D.; Sandoval, C. Protected Areas? Impacts on Brazilian Amazon Deforestation: Examining Conservation—Development Interactions to Inform Planning. PLoS ONE 2015, 10, e0129460. [Google Scholar] [CrossRef]
 - Cabral, A.I.R.; Saito, C.; Pereira, H.; Laques, A.E. Deforestation Pattern Dynamics in Protected Areas of the Brazilian Legal Amazon Using Remote Sensing Data. Appl. Geogr. 2018, 100, 101–115. [Google Scholar] [CrossRef]
 - Aguiar, A.P.D.; Câmara, G.; Escada, M.I.S. Spatial Statistical Analysis of Land-Use Determinants in the Brazilian Amazonia: Exploring Intra-Regional Heterogeneity. Ecol. Model. 2007, 209, 169–188. [Google Scholar] [CrossRef]
 - FAO. Global Ecological Zoning for The Global Forest Resources Assessment 2000-Final Report; FAO: Rome, Italy, 2001. [Google Scholar]
 - Ter Steege, H.; Pitman, N.C.A.; Sabatier, D.; Baraloto, C.; Salomão, R.P.; Guevara, J.E.; Phillips, O.L.; Castilho, C.V.; Magnusson, W.E.; Molino, J.-F.; et al. Hyperdominance in the Amazonian Tree Flora. Science 2013, 342, 1243092. [Google Scholar] [CrossRef] [PubMed]
 - IBGE. Cidades. Available online: https://cidades.ibge.gov.br/ (accessed on 27 September 2024).
 - Brasil Legislação. Lei No 9.985, de 18 de Julho de 2000. Sistema Nacional de Unidades de Conservação Da Natureza (SNUC). Available online: https://antigo.mma.gov.br/images/arquivos/areas_protegidas/snuc/Livro%20SNUC%20PNAP.pdf (accessed on 27 September 2024).
 - Santos, C.A.C.; Lima, J.R.A. Análise Dos Efeitos Da Expansão Urbana de Manaus-AM Sobre Parâmetros Ambientais Através de Imagens de Satélite (Analysis of the Urban Expansion Effects of Manaus-AM on Environmental Parameters through Satellite Images). Rev. Bras. Geogr. Fís. 2013, 6, 001–014. [Google Scholar] [CrossRef]
 - Google. Harmonized Sentinel-2 MSI: MultiSpectral Instrument, Level-2A. Available online: https://developers.google.com/earth-engine/datasets/catalog/COPERNICUS_S2_SR_HARMONIZED (accessed on 18 September 2024).
 - Google. Cloud Score+ S2_HARMONIZED V1. Available online: https://developers.google.com/earth-engine/datasets/catalog/GOOGLE_CLOUD_SCORE_PLUS_V1_S2_HARMONIZED (accessed on 18 September 2024).
 - Tassi, A.; Vizzari, M. Object-Oriented Lulc Classification in Google Earth Engine Combining Snic, Glcm, and Machine Learning Algorithms. Remote Sens. 2020, 12, 3776. [Google Scholar] [CrossRef]
 - Achanta, R.; Süsstrunk, S. Superpixels and Polygons Using Simple Non-Iterative Clustering. In Proceedings of the IEEE Conference on Computer Vision and Pattern Recognition, Honolulu, HI, USA, 21–26 July 2017; pp. 4651–4660. [Google Scholar]
 - Tassi, A.; Gigante, D.; Modica, G.; Di Martino, L.; Vizzari, M. Pixel-vs. Object-Based Landsat 8 Data Classification in Google Earth Engine Using Random Forest: The Case Study of Maiella National Park. Remote Sens. 2021, 13, 2299. [Google Scholar] [CrossRef]
 - Flanders, D.; Hall-Beyer, M.; Pereverzoff, J. Preliminary Evaluation of ECognition Object-Based Software for Cut Block Delineation and Feature Extraction. Can. J. Remote Sens. 2003, 29, 441–452. [Google Scholar] [CrossRef]
 - Rodriguez-Galiano, V.F.; Chica-Olmo, M.; Abarca-Hernandez, F.; Atkinson, P.M.; Jeganathan, C. Random Forest Classification of Mediterranean Land Cover Using Multi-Seasonal Imagery and Multi-Seasonal Texture. Remote Sens. Environ. 2012, 121, 93–107. [Google Scholar] [CrossRef]
 - Pal, M. Random Forest Classifier for Remote Sensing Classification. Int. J. Remote Sens. 2005, 26, 217–222. [Google Scholar] [CrossRef]
 - Gislason, P.O.; Benediktsson, J.A.; Sveinsson, J.R. Random Forests for Land Cover Classification. Pattern Recognit. Lett. 2006, 27, 294–300. [Google Scholar] [CrossRef]
 - Belgiu, M.; Drăguţ, L. Random Forest in Remote Sensing: A Review of Applications and Future Directions. ISPRS J. Photogramm. Remote Sens. 2016, 114, 24–31. [Google Scholar] [CrossRef]
 - Talukdar, S.; Singha, P.; Mahato, S.; Shahfahad; Pal, S.; Liou, Y.-A.; Rahman, A. Land-Use Land-Cover Classification by Machine Learning Classifiers for Satellite Observations—A Review. Remote Sens 2020, 12, 1135. [Google Scholar] [CrossRef]
 - Adam, E.; Mutanga, O.; Odindi, J.; Abdel-Rahman, E.M. Land-Use/Cover Classification in a Heterogeneous Coastal Landscape Using RapidEye Imagery: Evaluating the Performance of Random Forest and Support Vector Machines Classifiers. Int. J. Remote Sens. 2014, 35, 3440–3458. [Google Scholar] [CrossRef]
 - Montero, D.; Aybar, C.; Mahecha, M.D.; Martinuzzi, F.; Söchting, M.; Wieneke, S. A Standardized Catalogue of Spectral Indices to Advance the Use of Remote Sensing in Earth System Research. Sci. Data 2023, 10, 197. [Google Scholar] [CrossRef] [PubMed]
 - Qu, L.; Chen, Z.; Li, M.; Zhi, J.; Wang, H. Accuracy Improvements to Pixel-Based and Object-Based LULC Classification with Auxiliary Datasets from Google Earth Engine. Remote Sens 2021, 13, 453. [Google Scholar] [CrossRef]
 - Da Silva, V.S.; Salami, G.; da Silva, M.I.O.; Silva, E.A.; Monteiro Junior, J.J.; Alba, E. Methodological Evaluation of Vegetation Indexes in Land Use and Land Cover (LULC) Classification. Geol. Ecol. Landsc. 2020, 4, 159–169. [Google Scholar] [CrossRef]
 - Rouse, J.W.; Haas, R.H.; Schell, J.A.; Deering, D.W. Monitoring Vegetation Systems in the Great Plains with ERTS. In Third Earth Resources Technology Satellite-1 Symposium: Section A-B. Technical Presentations; NASA Special Publications: Washington, DC, USA, 1974; Volume 351, p. 309. [Google Scholar]
 - McFeeters, S.K. The Use of the Normalized Difference Water Index (NDWI) in the Delineation of Open Water Features. Int. J. Remote Sens. 1996, 17, 1425–1432. [Google Scholar] [CrossRef]
 - Zha, Y.; Gao, J.; Ni, S. Use of Normalized Difference Built-up Index in Automatically Mapping Urban Areas from TM Imagery. Int. J. Remote Sens. 2003, 24, 583–594. [Google Scholar] [CrossRef]
 - Wilson, E.H.; Sader, S.A. Detection of Forest Harvest Type Using Multiple Dates of Landsat TM Imagery. Remote Sens. Environ. 2002, 80, 385–396. [Google Scholar] [CrossRef]
 - Huete, A.R. A Soil-Adjusted Vegetation Index (SAVI). Remote Sens. Env. 1988, 25, 295–309. [Google Scholar] [CrossRef]
 - Hall-Beyer, M. Practical Guidelines for Choosing GLCM Textures to Use in Landscape Classification Tasks over a Range of Moderate Spatial Scales. Int. J. Remote Sens. 2017, 38, 1312–1338. [Google Scholar] [CrossRef]
 - Liu, C.; Frazier, P.; Kumar, L. Comparative Assessment of the Measures of Thematic Classification Accuracy. Remote Sens. Environ. 2007, 107, 606–616. [Google Scholar] [CrossRef]
 - Congalton, R.G. A Review of Assessing the Accuracy of Classifications of Remotely Sensed Data. Remote Sens. Environ. 1991, 37, 35–46. [Google Scholar] [CrossRef]
 - Asokan, A.; Anitha, J. Change Detection Techniques for Remote Sensing Applications: A Survey. Earth Sci. Inform. 2019, 12, 143–160. [Google Scholar] [CrossRef]
 - Lu, D.; Li, G.; Moran, E. Current Situation and Needs of Change Detection Techniques. Int. J. Image Data Fusion 2014, 5, 13–38. [Google Scholar] [CrossRef]
 - Brovelli, M.A.; Sun, Y.; Yordanov, V. Monitoring Forest Change in the Amazon Using Multi-Temporal Remote Sensing Data and Machine Learning Classification on Google Earth Engine. ISPRS Int. J. Geo-Inf. 2020, 9, 580. [Google Scholar] [CrossRef]
 - Myint, S.W.; Gober, P.; Brazel, A.; Grossman-Clarke, S.; Weng, Q. Per-Pixel vs. Object-Based Classification of Urban Land Cover Extraction Using High Spatial Resolution Imagery. Remote Sens. Environ. 2011, 115, 1145–1161. [Google Scholar] [CrossRef]
 - Robertson, L.D.; King, D.J. Comparison of Pixel-and Object-Based Classification in Land Cover Change Mapping. Int. J. Remote Sens. 2011, 32, 1505–1529. [Google Scholar] [CrossRef]
 - Radoux, J.; Bogaert, P. Good Practices for Object-Based Accuracy Assessment. Remote Sens 2017, 9, 646. [Google Scholar] [CrossRef]
 - Van Vliet, N.; Adams, C.; Vieira, I.C.G.; Mertz, O. “Slash and Burn” and “Shifting” Cultivation Systems in Forest Agriculture Frontiers from the Brazilian Amazon. Soc. Nat. Resour. 2013, 26, 1454–1467. [Google Scholar] [CrossRef]
 - Deng, J.S.; Wang, K.; Deng, Y.H.; Qi, G.J. PCA-based Land-use Change Detection and Analysis Using Multitemporal and Multisensor Satellite Data. Int. J. Remote Sens. 2008, 29, 4823–4838. [Google Scholar] [CrossRef]
 - Carrero, G.C.; Fearnside, P.M.; do Valle, D.R.; de Souza Alves, C. Deforestation Trajectories on a Development Frontier in the Brazilian Amazon: 35 Years of Settlement Colonization, Policy and Economic Shifts, and Land Accumulation. Environ. Manag. 2020, 66, 966–984. [Google Scholar] [CrossRef]
 - Piontekowski, V.J.; Ribeiro, F.P.; Matricardi, E.A.T.; Lustosa Junior, I.M.; Bussinguer, A.P.; Gatto, A. Modeling Deforestation in the State of Rondônia. Floresta Ambiente 2019, 26, e20180441. [Google Scholar] [CrossRef]
 - Fearnside, P.M. Deforestation in Brazilian Amazonia: History, Rates, and Consequences. Conserv. Biol. 2005, 19, 680–688. [Google Scholar] [CrossRef]
 - Almeida, C.A.D.; Coutinho, A.C.; Esquerdo, J.C.D.M.; Adami, M.; Venturieri, A.; Diniz, C.G.; Dessay, N.; Durieux, L.; Gomes, A.R. High Spatial Resolution Land Use and Land Cover Mapping of the Brazilian Legal Amazon in 2008 Using Landsat-5/TM and MODIS Data. Acta Amaz. 2016, 46, 291–302. [Google Scholar] [CrossRef]
 - Santiago, A.R.; do Couto, H.T.Z. Socioeconomic Development versus Deforestation: Considerations on the Sustainability of Economic and Social Growth in Most Brazilian Municipalities. Environ. Dev. 2020, 35, 100520. [Google Scholar] [CrossRef]
 - Matricardi, E.A.T.; Skole, D.L.; Costa, O.B.; Pedlowski, M.A.; Samek, J.H.; Miguel, E.P. Long-Term Forest Degradation Surpasses Deforestation in the Brazilian Amazon. Science 2020, 369, 1378–1382. [Google Scholar] [CrossRef]
 - Qin, Y.; Xiao, X.; Wigneron, J.-P.; Ciais, P.; Brandt, M.; Fan, L.; Li, X.; Crowell, S.; Wu, X.; Doughty, R.; et al. Carbon Loss from Forest Degradation Exceeds That from Deforestation in the Brazilian Amazon. Nat. Clim. Change 2021, 11, 442–448. [Google Scholar] [CrossRef]
 - Brancalion, P.H.S.; de Almeida, D.R.A.; Vidal, E.; Molin, P.G.; Sontag, V.E.; Souza, S.E.X.F.; Schulze, M.D. Fake Legal Logging in the Brazilian Amazon. Sci. Adv. 2018, 4, eaat1192. [Google Scholar] [CrossRef]
 - Matricardi, E.A.T.; Skole, D.L.; Pedlowski, M.A.; Chomentowski, W. Assessment of Forest Disturbances by Selective Logging and Forest Fires in the Brazilian Amazon Using Landsat Data. Int. J. Remote Sens. 2013, 34, 1057–1086. [Google Scholar] [CrossRef]
 - Condé, T.M.; Higuchi, N.; Lima, A.J.N. Illegal Selective Logging and Forest Fires in the Northern Brazilian Amazon. Forests 2019, 10, 61. [Google Scholar] [CrossRef]
 - Lapola, D.M.; Pinho, P.; Barlow, J.; Aragão, L.E.O.C.; Berenguer, E.; Carmenta, R.; Liddy, H.M.; Seixas, H.; Silva, C.V.J.; Silva-Junior, C.H.L.; et al. The Drivers and Impacts of Amazon Forest Degradation. Science 2023, 379, eabp8622. [Google Scholar] [CrossRef] [PubMed]
 - Santos, Y.L.F.; Yanai, A.M.; Ramos, C.J.P.; Graça, P.M.L.A.; Veiga, J.A.P.; Correia, F.W.S.; Fearnside, P.M. Amazon Deforestation and Urban Expansion: Simulating Future Growth in the Manaus Metropolitan Region, Brazil. J. Environ. Manag. 2022, 304, 114279. [Google Scholar] [CrossRef] [PubMed]
 - Fearnside, P.M.; de Alencastro Graça, P.M.L. BR-319: Brazil’s Manaus-Porto Velho Highway and the Potential Impact of Linking the Arc of Deforestation to Central Amazonia. Environ. Manag. 2006, 38, 705–716. [Google Scholar] [CrossRef] [PubMed]
 - Andrade, M.B.; Ferrante, L.; Fearnside, P.M. Brazil’s Highway BR-319 Demonstrates a Crucial Lack of Environmental Governance in Amazonia. Environ. Conserv. 2021, 48, 161–164. [Google Scholar] [CrossRef]
 - Tyukavina, A.; Hansen, M.C.; Potapov, P.V.; Stehman, S.V.; Smith-Rodriguez, K.; Okpa, C.; Aguilar, R. Types and Rates of Forest Disturbance in Brazilian Legal Amazon, 2000–2013. Sci. Adv. 2017, 3, e1601047. [Google Scholar] [CrossRef]
 - Herrera, D.; Pfaff, A.; Robalino, J. Impacts of Protected Areas Vary with the Level of Government: Comparing Avoided Deforestation across Agencies in the Brazilian Amazon. Proc. Natl. Acad. Sci. USA 2019, 116, 14916–14925. [Google Scholar] [CrossRef]
 - Verburg, R.; Filho, S.R.; Lindoso, D.; Debortoli, N.; Litre, G.; Bursztyn, M. The Impact of Commodity Price and Conservation Policy Scenarios on Deforestation and Agricultural Land Use in a Frontier Area within the Amazon. Land Use Policy 2014, 37, 14–26. [Google Scholar] [CrossRef]
 - Naughton-Treves, L.; Holland, M.B.; Brandon, K. The Role of Protected Areas in Conserving Biodiversity and Sustaining Local Livelihoods. Annu. Rev. Environ. Resour. 2005, 30, 219–252. [Google Scholar] [CrossRef]
 - Miranda, K.; Amaral Neto, M.; Sousa, R.; Coelho, R. Manejo Florestal Sustentável Em Unidades de Conservação de Uso Comunitário Na Amazônia. Soc. Nat. 2020, 32, 778–792. [Google Scholar] [CrossRef]
 
Disclaimer/Publisher’s Note: The statements, opinions and data contained in all publications are solely those of the individual author(s) and contributor(s) and not of MDPI and/or the editor(s). MDPI and/or the editor(s) disclaim responsibility for any injury to people or property resulting from any ideas, methods, instructions or products referred to in the content.  | 
© 2024 by the authors. Licensee MDPI, Basel, Switzerland. This article is an open access article distributed under the terms and conditions of the Creative Commons Attribution (CC BY) license (https://creativecommons.org/licenses/by/4.0/).