Investigation on the Compressive Behavior of Waste Rock Backfill Materials with Different Specimen Sizes for Roof Control
Abstract
1. Introduction
2. Materials and Methods
2.1. Raw Materials and Specimen Preparation
2.2. Compression Tests
3. Results and Discussion
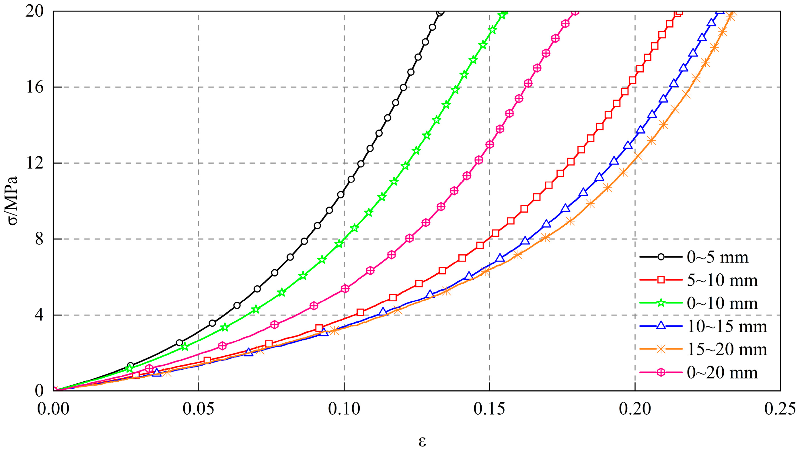
3.1. Compressive Deformation Ccharacteristics
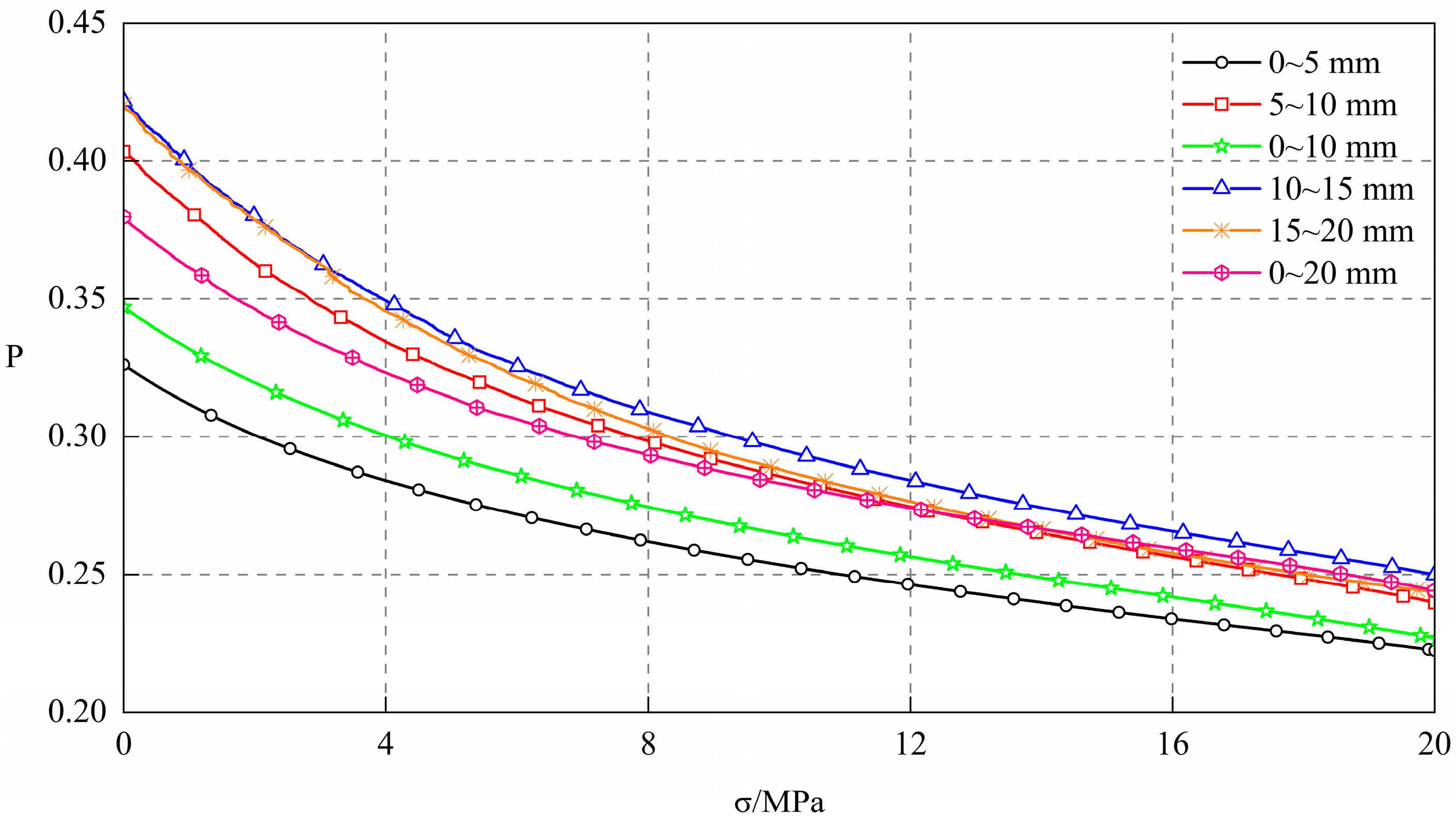
3.2. Changes in Void Ratio
3.3. Determination of the Specimen Size
4. Backfill Performance Analysis
4.1. Site Conditions
4.2. Application of Backfill Materials
4.3. Deformation Monitoring
5. Conclusions
Author Contributions
Funding
Institutional Review Board Statement
Informed Consent Statement
Data Availability Statement
Acknowledgments
Conflicts of Interest
References
- Cao, D.; Ji, J.; Liu, Q.; He, Z.; Wang, H.; You, Z. Coal gangue applied to low-volume roads in China. Transp. Res. Rec. 2011, 2204, 258–266. [Google Scholar] [CrossRef]
- Sun, C.; Zhang, J.; Yan, C.; Yin, L.; Wang, X.; Liu, S. Hydration characteristics of low carbon cementitious materials with multiple solid wastes. Constr. Build. Mater. 2022, 322, 126366. [Google Scholar] [CrossRef]
- Li, M.; Peng, Y.; Zhang, J.; Zhao, Y.; Wang, Z.; Guo, Q.; Guo, S. Properties of a backfill material prepared by cementing coal gangue and fly ash through microbial-induced calcite precipitation. Constr. Build. Mater. 2023, 384, 131329. [Google Scholar] [CrossRef]
- Fan, G.; Zhang, D.; Wang, X. Reduction and utilization of coal mine waste rock in China: A case study in Tiefa coalfield. Resour. Conserv. Recyl. 2014, 83, 24–33. [Google Scholar] [CrossRef]
- Moghadam, M.J.; Ajalloeian, R.; Hajiannia, A. Preparation and application of alkali-activated materials based on waste glass and coal gangue: A review. Constr. Build. Mater. 2019, 221, 84–98. [Google Scholar] [CrossRef]
- Ardehjani, E.A.; Ataei, M.; Rafiee, R. Estimation of first and periodic roof weighting effect interval in mechanized longwall mining using numerical modeling. Int. J. Geomech. 2020, 20, 04019164. [Google Scholar] [CrossRef]
- Yang, S.; Song, G.; Yang, J. An analytical solution for the geometric broken characteristics of the overlying strata and its physical modeling study in longwall coal mining. Arab. J. Geosci. 2020, 13, 139. [Google Scholar] [CrossRef]
- Cui, X.; Zhao, Y.; Wang, G.; Zhang, B.; Li, C. Calculation of Residual Surface Subsidence Above Abandoned Longwall Coal Mining. Sustainability 2020, 12, 1528. [Google Scholar] [CrossRef]
- Han, H.; Xu, J.; Wang, X.; Xie, J.; Xing, Y. Surface subsidence prediction method for coal mines with ultrathick and hard stratum. Adv. Civ. Eng. 2019, 2019, 3714381. [Google Scholar] [CrossRef]
- Liu, N.; Zhao, X. Influence of underground coal mining on surface morphology and soil erosion. IOP Conf. Ser. Earth Environ. Sci. 2019, 237, 032067. [Google Scholar] [CrossRef]
- Ning, S.; Lou, J.; Wang, L.; Yu, D.; Zhu, W. Stability Influencing Factors and Control Methods of Residual Coal Pillars with Solid Waste Materials Backfilling Method. Minerals 2022, 12, 1285. [Google Scholar] [CrossRef]
- Zhu, X.; Guo, G.; Fang, Q. Coupled discrete element–finite difference method for analyzing subsidence control in fully mechanized solid backfilling mining. Environ. Earth Sci. 2016, 75, 683. [Google Scholar] [CrossRef]
- Li, M.; Peng, Y.; Zhang, J.; Zhu, C.; Ma, D.; Huang, P. Effects of compressive deformation of backfill materials on strata movement and stress evolution in deep gangue backfill mining. Bull. Eng. Geol. Environ. 2022, 81, 361. [Google Scholar] [CrossRef]
- Zhou, N.; Han, X.; Zhang, J.; Li, M. Compressive deformation and energy dissipation of crushed coal gangue. Powder Technol. 2016, 297, 220–228. [Google Scholar] [CrossRef]
- Guo, W.; Tan, Y.; Zhao, T.; Liu, X.; Gu, Q.; Hu, S. Compression creep characteristics and creep model establishment of gangue. Geotech. Geol. Eng. 2016, 34, 1193–1198. [Google Scholar] [CrossRef]
- Zhang, X.; Wong, L.; Wang, S. Effects of the ratio of flaw size to specimen size on cracking behavior. Bull. Eng. Geol. Environ. 2015, 74, 181–193. [Google Scholar] [CrossRef]
- Darlington, W.J.; Ranjith, P.G.; Choi, S.K. The effect of specimen size on strength and other properties in laboratory testing of rock and rock-like cementitious brittle materials. Rock Mech. Rock Eng. 2011, 44, 513–529. [Google Scholar] [CrossRef]
- Çelik, S.B. The effect of cubic specimen size on uniaxial compressive strength of carbonate rocks from Western Turkey. Arab. J. Geosci. 2017, 10, 426. [Google Scholar] [CrossRef]
- Pappas, D.M.; Mark, C. Behavior of simulated longwall gob material. In Bureau of Mines; US Department of the Interior: Washington, DC, USA, 1993; Volume 9458. Available online: https://books.google.com.sg/books?id=rI2ScXXSW2kC&printsec=frontcover&hl=zh-CN#v=onepage&q&f=false (accessed on 1 September 2009).
- Zhang, Z.; Mao, X.; Ge, X. Testing Study on Compressive Modulus of Loose Rock Blocks Under Confining Constraint. Chin. J. Rock Mech. Eng. 2004, 23, 3049–3054. [Google Scholar] [CrossRef]
- Yadav, A.; Behera, B.; Sahoo, S.K.; Singh, G.S.P.; Sharma, S.K. Numerical analysis of the gob stress distribution using a modified elastic model as the gob constitutive model. J. Inst. Eng. (India) Ser. D 2020, 101, 127–139. [Google Scholar] [CrossRef]
- Li, M.; Zhang, J.; Zhou, N.; Huang, Y. Effect of particle size on the energy evolution of crushed waste rock in coal mines. Rock Mech. Rock Eng. 2017, 50, 1347–1354. [Google Scholar] [CrossRef]
- Karacan, C.Ö. Prediction of porosity and permeability of caved zone in longwall gobs. Transp. Porous Media 2010, 82, 413–439. [Google Scholar] [CrossRef]
- Yang, K.; Wei, Z.; He, X.; Zhou, G.; Chen, D.; Zhang, J. Simulation experiment on bearing mechanical properties of gangue aggregate. J. China Coal Soc. 2022, 47, 1087–1097. [Google Scholar] [CrossRef]
- Meng, F.; Hai, P.; Dintwe, T.K.; Takashi, S.; Xu, J. Creep and breakage behavior of broken rock in the caved zone of abundant mines under triaxial compression condition. Energy Rep. 2022, 8, 14517–14532. [Google Scholar] [CrossRef]
- Arasteh, H.; Saeedi, G.; Farsangi, M.A.E.; Esmaeili, K. A new model for calculation of the plastic compression index and porosity and permeability of gob materials in longwall mining. Geotech. Geol. Eng. 2020, 38, 6407–6420. [Google Scholar] [CrossRef]
- Schneider, A.; Baumgartl, T.; Doley, D.; Mulligan, D. Evaluation of the heterogeneity of constructed landforms for rehabilitation using lysimeters. Vadose Zone J. 2010, 9, 898–909. [Google Scholar] [CrossRef]
- Li, W.; Yue, L.; Liu, Y.; Li, S.; Ma, L.; Wang, J. Study on mechanical properties of coal gangue and fly ash mixture as backfill material based on fractal characteristics. Environ. Sci. Pollut. Res. 2023, 30, 111936–111946. [Google Scholar] [CrossRef]
- Lv, W.; Zhi, H. Current Situation and Prospect of Coal Backfill Mining Technology. Adv. Mater. Res. 2012, 524, 421–425. [Google Scholar] [CrossRef]
- He, Z.; Wu, G.; Zhu, J. Mechanical properties of rock under uniaxial compression tests of different control modes and loading rates. Sci. Rep. 2024, 14, 2164. [Google Scholar] [CrossRef]
- Zhang, H.; Lei, G. Use of Linear Extrapolation to Estimate Critical State Void Ratio from Drained Triaxial Shear Tests on Dense Cohesionless Soil. Appl. Sci. 2024, 14, 694. [Google Scholar] [CrossRef]

















| No. | Particle Size Distribution (mm) | Inner Diameter (mm) | Axial Compressive Stress (MPa) |
|---|---|---|---|
| y-1 | 0~5 | 150 | 20 |
| y-2 | 5~10 | ||
| y-3 | 0~10 | ||
| y-4 | 10~15 | ||
| y-5 | 15~20 | ||
| y-6 | 0~20 | ||
| y-7 | 0~10 | 50 | 20 |
| y-8 | 70 | ||
| y-9 | 100 | ||
| y-3 | 150 | ||
| y-10 | 250 |
Disclaimer/Publisher’s Note: The statements, opinions and data contained in all publications are solely those of the individual author(s) and contributor(s) and not of MDPI and/or the editor(s). MDPI and/or the editor(s) disclaim responsibility for any injury to people or property resulting from any ideas, methods, instructions or products referred to in the content. |
© 2024 by the authors. Licensee MDPI, Basel, Switzerland. This article is an open access article distributed under the terms and conditions of the Creative Commons Attribution (CC BY) license (https://creativecommons.org/licenses/by/4.0/).
Share and Cite
Li, M.; Xing, S.; Huang, P.; Luo, X.; Guo, Q. Investigation on the Compressive Behavior of Waste Rock Backfill Materials with Different Specimen Sizes for Roof Control. Appl. Sci. 2024, 14, 10475. https://doi.org/10.3390/app142210475
Li M, Xing S, Huang P, Luo X, Guo Q. Investigation on the Compressive Behavior of Waste Rock Backfill Materials with Different Specimen Sizes for Roof Control. Applied Sciences. 2024; 14(22):10475. https://doi.org/10.3390/app142210475
Chicago/Turabian StyleLi, Meng, Shihao Xing, Peng Huang, Xiaobao Luo, and Qiang Guo. 2024. "Investigation on the Compressive Behavior of Waste Rock Backfill Materials with Different Specimen Sizes for Roof Control" Applied Sciences 14, no. 22: 10475. https://doi.org/10.3390/app142210475
APA StyleLi, M., Xing, S., Huang, P., Luo, X., & Guo, Q. (2024). Investigation on the Compressive Behavior of Waste Rock Backfill Materials with Different Specimen Sizes for Roof Control. Applied Sciences, 14(22), 10475. https://doi.org/10.3390/app142210475

