Next Article in Journal
Three-Dimensional Upper Airway Analysis of Different Craniofacial Skeletal Patterns in Vietnamese Adults
Next Article in Special Issue
Predictive and Cross-Validation Analysis of Aerobic and Anaerobic Performance Based on Maximum Strength
Previous Article in Journal
Investigation on the Compressive Behavior of Waste Rock Backfill Materials with Different Specimen Sizes for Roof Control
Previous Article in Special Issue
Impact of High-Intensity Interval Training on Different Slopes on Aerobic Performance: A Randomized Controlled Trial
 
 
Font Type:
Arial Georgia Verdana
Font Size:
Aa Aa Aa
Line Spacing:
Column Width:
Background:
Article

The Agreement Between Bushnell and Stalker Radar Guns for Measuring Ball Speed in Throwing and Kicking

by
Piotr Makar
1,
Ana Filipa Silva
2,3,
Rui Miguel Silva
2,3,*,
Marcin Janusiak
4,
Małgorzata Smoter
5 and
Filipe Manuel Clemente
1,2,3
1
Faculty of Physical Education and Sport, Gdansk University, 80-336 Gdańsk, Poland
2
Escola Superior Desporto e Lazer, Instituto Politécnico de Viana do Castelo, Rua Escola Industrial e Comercial de Nun’Álvares, 4900-347 Viana do Castelo, Portugal
3
Sport Physical Activity and Health Research & Innovation Center, 4900-347 Viana do Castelo, Portugal
4
Physiology Department, Śląsk Wrocław Basketball, 50-368 Wrocław, Poland
5
Department of Basics of Physiotherapy, Gdansk University of Physical Education and Sport, 80-336 Gdańsk, Poland
*
Author to whom correspondence should be addressed.
Appl. Sci. 2024, 14(22), 10476; https://doi.org/10.3390/app142210476
Submission received: 18 September 2024 / Revised: 7 November 2024 / Accepted: 12 November 2024 / Published: 14 November 2024

Abstract

This study aimed to compare the agreement of ball speed in throwing and kicking between the Bushnell and the Stalker radar guns. Sixty-four healthy young adults (21.8 ± 3.5 years) performed a total of 320 throws and 320 kicks during the study. Ball speed was measured using both the Bushnell and the Stalker radar guns for each trial. The mean difference in throwing speeds was found to be 1.39 km/h (95% CI: 1.20; 1.59), while the mean difference in kicking speeds was 1.38 km/h (95% CI: 1.20; 1.56). The agreement, assessed through intraclass correlation tests, revealed an excellent level of consistency for both ball speeds in throwing (ICC: 0.989 [95% CI: 0.986; 0.991]) and kicking (ICC: 0.986 [95% CI: 0.983; 0.989]). An analysis of variance showed significant differences for both throwing (p < 0.001; d = 0.799) and kicking (p < 0.001; d = 0.851), accompanied by a percentage difference of 2.17% in throwing and 1.91% in kicking. In conclusion, this study suggests that the correlation between both radar guns is excellent. However, Bushnell consistently underestimates the ball speeds of throws and kicks, with differences that are statistically significant and practically relevant. Despite this, the high correlation between the devices indicates that practitioners can use either device, provided they adjust normative values accordingly.

1. Introduction

Radar guns have emerged as invaluable tools in assessing throwing and ball-kicking movements across various sports and testing scenarios [1]. Leveraging the principles of Doppler radar technology, these devices accurately measure the velocity of an object in motion by analyzing the frequency shift of reflected radio waves [2]. In sports such as baseball, cricket, volleyball, or tennis, radar guns provide coaches and athletes with real-time feedback on the speed of pitches, throws, and serves, enabling precise performance evaluation and targeted training interventions [3]. Similarly, in soccer or rugby, radar guns offer insights into the power of kicks, aiding in the refinement of technique and the optimization of player performance [4]. Moreover, radar guns facilitate objective comparisons between athletes in different tests and serve as objective metrics for a battery of tests for talent identification or motor competence assessment [5]. Their non-invasive nature and portability make them versatile instruments suitable for use in training sessions, competitions, and scientific research, contributing to advancements in sports biomechanics and performance analysis [6].
Recent developments in sports performance monitoring are increasingly incorporating wearable sensors, video analysis systems, and other advanced tracking technologies [7]. Wearable sensors, for example, provide continuous and detailed data on metrics such as acceleration, impact, and heart rate, offering a greater view of an athlete’s physiological responses and movement patterns during play [8]. Video-based systems, particularly those using markerless motion capture, allow for detailed kinematic analysis and can be combined with radar guns to create a fuller picture of athletic performance [9]. These innovations complement radar-based speed measurements and are increasingly used in both training and competition to refine performance and mitigate injury risks [7]. This convergence of technologies is revolutionizing sports monitoring, allowing coaches and researchers to tailor interventions based on a more comprehensive set of data. However, radar guns remain a practical and accessible tool for specific tasks, such as measuring throwing and kicking speeds, particularly when budget-friendly solutions are available. These tools are increasingly used in sports settings where resources may be limited, such as in youth coaching, community sports programs, and even in rehabilitation centers where objective performance data can inform programmed recovery plans [10]. For example, in real-world coaching, tools such as the Bushnell radar gun allow practitioners to monitor throwing or kicking speeds in various field environments, providing instantaneous data that can be used to refine techniques and prevent overuse injuries [11]. In rehabilitation contexts, low-cost monitoring tools can support patient progress tracking, enabling therapists to measure specific movement speeds or forces in exercises as patients advance through recovery stages, particularly for return-to-sport decisions [12].
Testing concurrent validity and agreement between instruments is paramount in scientific and practical contexts to ensure the interchangeability and quality of data collection [9]. Concurrent validity assessments involve comparing the results obtained from the instrument under study with those from a reference standard or established measure [13]. This process is essential for verifying that the new instrument measures what it intends to measure, validating its efficacy for the intended purpose [13]. Additionally, evaluating agreement between instruments ensures consistency and reliability in measurement outcomes [14]. By testing concurrent validity and agreement, researchers and practitioners can confidently select appropriate measurement tools, establish data comparability, and make informed decisions based on reliable and valid data. This process is fundamental for advancing scientific understanding, as it ensures that the tools used in research produce accurate and consistent results. In practical applications, such as sports performance analysis and athlete monitoring, reliable measurements are crucial for developing effective training programs and interventions [15]. The ability to trust the data from various instruments allows coaches and sports scientists to tailor their approaches based on accurate assessments, ultimately enhancing the effectiveness of interventions in assessment and monitoring. Furthermore, validating and ensuring agreement between different measurement tools facilitates cross-study comparisons and meta-analyses, which are essential for building a comprehensive body of knowledge in any field [9].
Traditional radar guns present drawbacks related to their cost and weight [16]. Nonetheless, advancements in technology have ushered in a new era of more budget-friendly alternatives. For instance, affordable options like the Bushnell or Pocket radar speed radar gun have gained popularity among trainers and researchers alike, particularly due to their standalone functionality without the need for extra equipment [11]. These modern devices offer a practical solution for those who may not have the resources to invest in high-end equipment but still require accurate and reliable data. The increased accessibility of these affordable radar guns has democratized the use of velocity measurement technology, making it available to a wider range of users, from amateur sports teams to academic researchers. Despite their lower cost, these devices maintain a high level of accuracy, enabling more inclusive participation in performance monitoring and research activities across different levels of sports and athletic training [17].
The research conducted by Hernández-Belmonte and Sánchez-Pay [11] highlighted a robust correlation between Pocket radar guns and the widely accepted Stalker radar guns, suggesting a remarkable degree of accuracy and dependability (ICC = 0.99, r ≈ 0.98). This strong correlation underscores the potential of affordable radar guns to serve as reliable alternatives to more expensive models, ensuring that coaches, athletes, and researchers can rely on the data these devices provide. Another study compared the Speedtrack X radar gun with the Pocket radar gun, shedding light on its efficacy in measuring tennis ball speed [17]. The above-mentioned study showed a strong correlation between the data obtained from the two devices (r = 0.932, p < 0.001), and the ICC of the measurements was also high (r = 0.964, p < 0.001) [17].
These studies collectively reinforce the validity of budget-friendly radar guns in various sports settings. However, despite the widespread utilization of radar guns in scientific studies, there persists a gap in the literature concerning the consistency of the Bushnell radar gun when compared to established benchmarks. This gap is notable given the increasing number of articles utilizing this instrument [18,19]. Addressing this gap is essential to confirm whether the Bushnell radar gun can be confidently used in both practice and research without compromising the accuracy of speed measurements.
To address this gap, our study undertook simultaneous testing to assess the compatibility between the Bushnell radar gun and a recognized gold-standard radar gun (Stalker). By comparing two devices with similar characteristics, we aimed to identify any structural or technical discrepancies that could impact their performance and utility in various applications [20]. By assessing both throwing and kicking activities, this study provides a thorough evaluation of the Bushnell radar gun’s performance across different sports movements. This comparative analysis highlights the importance of understanding the performance of technologies, aiding users and researchers in making informed decisions. Identifying differences between the Bushnell and Stalker devices may help athletes and coaches enhance training and competitive performance with accurate data, whether using high-end or more affordable equipment.
Thus, we aimed to evaluate the Bushnell radar’s consistency in measuring ball speed compared to the benchmark Stalker radar. Hence, this study aimed to assess the consistency of the Bushnell radar device in measuring ball speed during throwing and kicking activities, juxtaposed with the benchmark provided by a Stalker radar gun.

2. Materials and Methods

2.1. Study Design

This study used a cross-sectional design, with participants assessed once for their ball-throwing and ball-kicking performance. The main goal was to evaluate the agreement between two radar devices for measuring throwing and kicking speeds, following the Guidelines for Reporting Reliability and Agreement Studies (GRRAS) [21].

2.2. Setting

All testing took place in a laboratory environment maintained at 23 °C with a relative humidity of 55% during morning hours between 9:30 and 12:30. Participants were asked to rest for 48 h before testing. On the assessment day, they completed a demographic survey, a standardized warm-up, and then the throwing and kicking trials.

2.3. Participants

Sixty-four participants (fifty-six males and eight females), with an average age of 21.8 ± 3.5 years, voluntarily participated in the study. An a priori sample size estimation was conducted using G*Power software (version 3.1.9.6., Universität Düsseldorf: Psychologie—HHU, Germany). Based on a comparable study that investigated the agreement between two radar guns and reported an R2 value of 0.97 [17], we calculated the effect size to be 0.932. Using a significance level (p-value) of 0.05 and a desired power of 0.95, the recommended sample size was determined to be 6 participants.
The inclusion criteria were as follows: (i) healthy young adults over 18 years old; (ii) physically active, engaging in physical exercise at least three times per week, with a minimum of 150 min of exercise weekly; (iii) no injury or illness at the time of the study or within the previous month; (iv) no use of drugs or alcohol; and (v) full participation in all aspects of the experiment. Recruitment was conducted through email and social media within the university student community using convenience sampling. A total of 67 participants volunteered for the study, but 3 were excluded due to having a musculoskeletal injury within the month before the study. Before participating, they were fully informed about the study’s design, risks, and potential benefits. Participants provided written informed consent. The study followed the principles of the Declaration of Helsinki and was approved by the ethical committee of Wroclaw University of Health and Sport Sciences (approval code: 22/2021).

2.4. Procedures

After providing demographic information, participants followed a standardized warm-up protocol. This consisted of 5 min of self-paced jogging, followed by 10 min of dynamic stretching for both the upper and lower limbs. The warm-up concluded with 5 min of reactive jumps, including explosive push-ups for the upper body and countermovement jumps for the lower body. After the warm-up, participants rested for 3 min before beginning the tests.
The testing phase began with a series of five tennis ball throwing trials using the participants’ preferred hand, preceded by one familiarization trial. A 30 s rest period was provided between each throwing trial. Next, participants completed five soccer ball kicking trials using their preferred foot, with one familiarization trial before the main trials. These kicking trials were also separated by 30 s recovery periods.
Both throwing and kicking were performed consistently at the same distance from the radar guns, positioned 1 m ahead of the participants and aligned with the radars. The throws and kicks were aimed at a white wall positioned 5 m from the throwing and kicking marks, featuring a centrally located target at a height of 1.5 m. Participants were instructed to exert maximum velocity and accuracy when aiming for the target. Tennis balls used for throwing were official size (58.4 g, 6.54 cm diameter; Dunlop), while soccer balls used for kicking were size 5, weighing 400 g (Select brand).

2.5. Instruments and Measurements

The maximum speed of each repetition was measured simultaneously using two radar guns: a Bushnell speed radar (Model 101911, Bushnell, Cologne, Germany, accuracy: ±2.0 km/h) and a Stalker radar (Model ATS II, Plano, TX, USA, accuracy: ±3% of reading). The Stalker radar, with a sampling frequency of 33 Hz, served as the reference criterion [11]. It was mounted on a tripod at a height of 1.20 m for both the soccer ball kicking and tennis ball throwing sessions. The space around the radars was restricted to the participant performing the task. Since the Bushnell radar was not designed to be mounted on a tripod, it was manually held by the same examiner, who had 3 years of experience with radar devices, during data collection. Both radar guns were positioned side by side, with less than 1 cm between them, as shown in Figure 1. The orientation of the Bushnell radar to the Stalker radar was alternated between the left and right sides for each participant. This approach ensured that the positioning did not introduce bias into the results. All batteries were fully charged and checked before use. After each trial, a researcher recorded the ball’s peak speed (in kilometers per hour, km/h) in an Excel sheet.

2.6. Statistical Procedures

The normality and homogeneity of the data (comprising 320 throws and 320 kicks) were assessed using the Shapiro–Wilk and Levene’s tests, respectively. The results indicated that both assumptions were met (p > 0.05). To evaluate error magnitude, the coefficient of variation (expressed as a percentage), standard error of estimate, and maximum error of estimate were calculated. Agreement between the radar guns was analyzed using Bland–Altman plots, which included 95% confidence intervals. The intraclass correlation coefficient (ICC) for absolute agreement (multiple raters/measurements model) and its 95% confidence interval (CI) were computed. The ICC values were interpreted as follows: values below 0.5 indicate poor reliability, values from 0.5 to 0.75 indicate moderate reliability, values from 0.75 to 0.9 indicate good reliability and values above 0.9 indicate excellent reliability [22]. The ICC was based on the five measurements taken for each trial type (throwing and kicking) for each participant. A paired t-test was used to identify any significant differences in performance between the radar guns, with Cohen’s d calculated as the effect size measure. Cohen’s d was determined using the sample standard deviation of the mean difference, adjusted for the correlation between measures. Effect sizes were classified following Cohen’s guidelines [23]: 0.0–0.2 as trivial, 0.41–1.14 as the recommended minimum, 1.15–2.69 as moderate, and >2.70 as strong. All statistical analyses were performed in SPSS software (version 28.0.0.0, IBM, Chicago, IL, USA), with significance set at p < 0.05.

3. Results

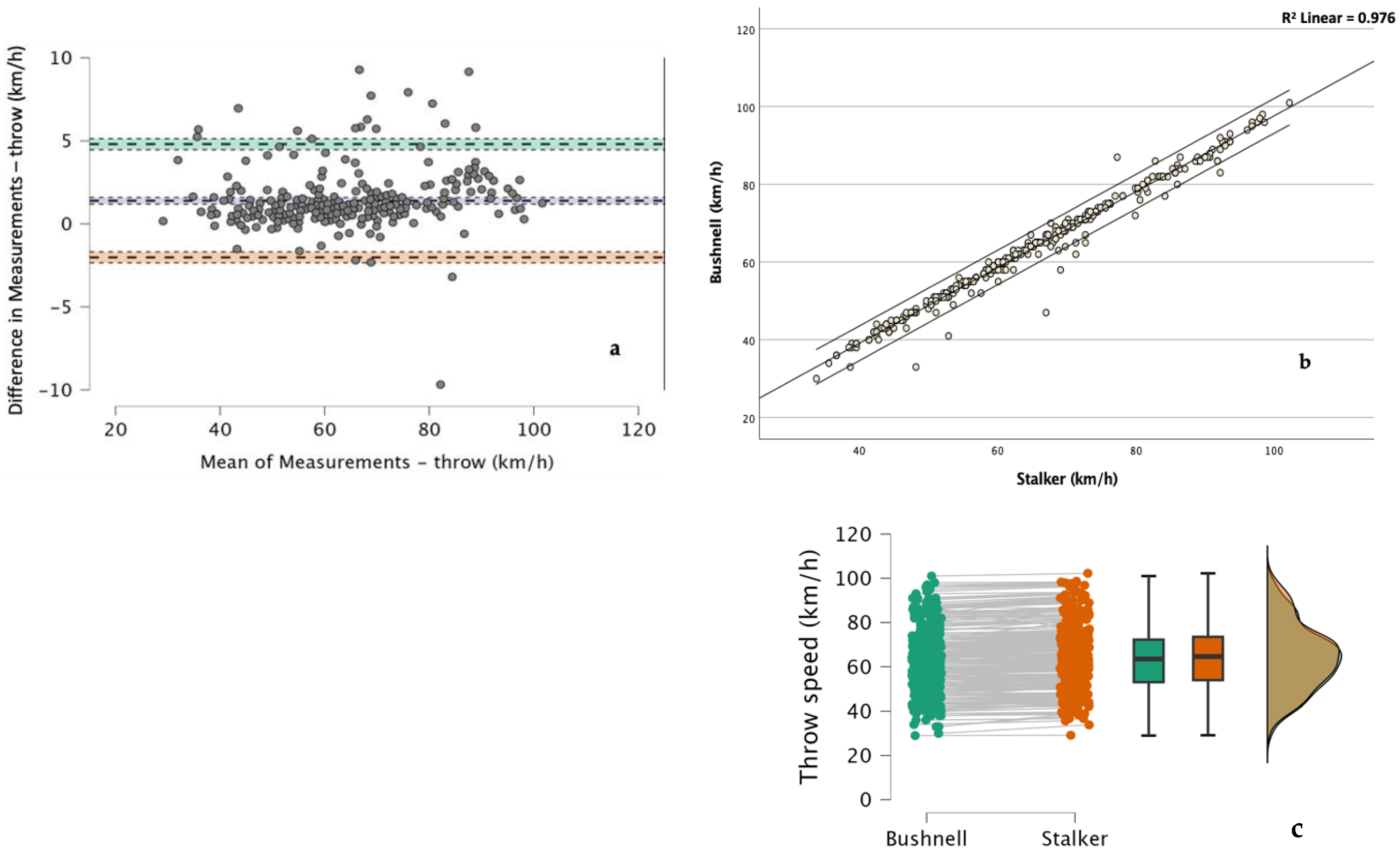
Figure 2 presents the Bland–Altman plots for throw speeds measured by the Stalker and Bushnell radar guns. Across the 320 valid throws, the mean speed recorded by the Bushnell radar was 63.43 ± 14.6 km/h, while the Stalker radar recorded a mean speed of 64.82 ± 14.93 km/h. The mean difference in throw speeds between the two devices was 1.39 km/h (95% CI: 1.20, 1.59). The upper limit of agreement, calculated as the mean difference plus 1.96 times the standard deviation, was 4.80 km/h (95% CI: 4.47, 5.13), and the lower limit of agreement was −2.02 km/h (95% CI: −2.35, −1.69). Additionally, the scatter plot shown in Figure 2 displayed an R2 value of 0.976, with the Pearson correlation coefficient revealing a strong positive correlation of r = 0.988 (95% CI: 0.985, 0.990).
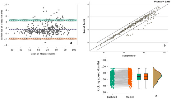
Figure 3 presents the Bland–Altman plots comparing the kick speeds measured by the Stalker and Bushnell radar guns. For the 320 valid kicking trials, the mean speed recorded by the Bushnell radar was 67.3 ± 12.5 km/h, while the Stalker radar recorded a mean speed of 68.6 ± 12.8 km/h. The mean difference in kicking speeds was 1.38 km/h (95% CI: 1.20 to 1.56). The upper limit of agreement, calculated as the mean difference plus 1.96 times the standard deviation, was 4.55 km/h (95% CI: 4.24 to 4.86), while the lower limit of agreement, calculated similarly, was −1.79 km/h (95% CI: −2.10 to −1.49). The scatter plot, also shown in Figure 3, had an R2 value of 0.947, and the Pearson product–moment correlation test yielded a value of r = 0.973 (95% CI: 0.967 to 0.978).
Table 1 presents the results of the concurrent validity analyses for both throwing and kicking movements. The agreement, assessed through intraclass correlation coefficients (ICCs), demonstrates excellent consistency for both throwing ball speed (ICC: 0.989 [95% CI: 0.986 to 0.991]) and kicking ball speed (ICC: 0.986 [95% CI: 0.983 to 0.989]). The analysis of variance (ANOVA) revealed significant differences for both throwing (p < 0.001; d = 0.799) and kicking (p < 0.001; d = 0.851), with a percentage difference of 2.17% in throwing and 1.91% in kicking. The standard error of estimate (SEE) was calculated to evaluate the average magnitude of error between the Stalker and Bushnell radar guns for both throwing and kicking measurements. The SEE values were 0.194 km/h for throwing and 0.357 km/h for kicking.

4. Discussion

The findings of the current research indicate an excellent correlation between the Stalker device (reference criterion) and the Bushnell radar, with an ICC of 0.989 for throwing the ball and 0.986 for kicking the ball. Additionally, a magnitude of error was observed, with the SEE ranging from 0.194 to 0.357 and a CV of 1.252% and 1.179% for throwing and kicking, respectively. Despite this, the maximum error of the estimate was 0.380 for throwing and 0.700 for kicking. Furthermore, the mean difference in kicking speeds was 1.38 km/h (95% CI: 1.20; 1.56), and in throwing speeds, it was 1.39 km/h (95% CI: 1.20; 1.59). However, the Bushnell radar reported lower ball speeds for both throws and kicks, with differences that are both statistically significant and of practical importance. Despite this discrepancy, the strong correlation between the two devices suggests that either can be used by practitioners as long as normative values are adjusted accordingly.
Our results are consistent with a previous study [11] that reported good agreement (ICC ≥ 0.98, r ≥ 0.98) and very low error magnitude (SDC ≤ 7.70 km·h−1, CV ≤ 2.23%) when comparing the Stalker radar with the Pocket radar. The strong correlation between different radar devices reinforces the reliability of using lower-cost alternatives, such as the Pocket radar, for accurate speed measurements in various sports settings. The findings from previous research demonstrate the potential for these more affordable devices to provide data comparable to that of the high-end Stalker radar, thereby making advanced performance analysis more accessible to a broader range of users [11]. The findings of the present study also align with another study [17] that compared the Pocket radar and Speedtrack X radar, which reported a high correlation between the data obtained from the two devices (r = 0.932, p < 0.001). The ICC of the measurements of the data obtained from the two devices was high (r = 0.964, p < 0.001). These findings highlight the consistent performance of various radar guns across different brands and models, suggesting that technological advancements in radar devices have reached a point where even budget-friendly options can yield reliable and accurate results. Moreover, the consistency across these studies, including our own, suggests that the variations in measurement between different radar guns are minor and likely within an acceptable range for most practical applications in sports science. For instance, this close agreement across radar models makes them viable tools for use in player development settings, where performance monitoring is essential for tracking progress and informing training adjustments. Coaches can confidently use Bushnell radar devices to evaluate speed improvements, as long as they adjust for the 1.4 km/h difference if precise speed thresholds are important for setting or evaluating performance targets. This consistency is crucial for practitioners who may need to interchangeably use different radar guns depending on availability, cost, or specific application needs.
Our results also offer a reassuring finding by indicating that the mean difference between devices is approximately 1.4 km/h for both throwing and kicking. This relatively small difference is significant, as it highlights the close correlation between the Bushnell and Stalker radar guns, suggesting that the Bushnell radar is a reliable tool for measuring ball speed with minimal deviation from the reference standard. This difference is smaller than the 3 km/h mean difference observed in comparisons between the Pocket radar and Speedtrack X radar [17], as well as the bias of 2.26 to 3.19 km/h found in the study comparing the Stalker with the Pocket radar [11]. However, the Bland–Altman analysis in the present study revealed that the limits of agreement between the Stalker and Bushnell radar guns were 4.80 km/h and −2.02 km/h for the ball speed throw. This variability represents approximately 7.5% and 3.2% of the mean speeds, which, while significant, is not unexpected in the context of radar measurements [24]. Users need to understand that such differences may have practical implications depending on the sensitivity of the application. For instance, rehabilitation practitioners could use this device to track recovery progress in throwing or kicking mechanics, using the Bushnell radar to monitor speed gains while accounting for this minor bias. In these settings, the radar’s lower cost and portable nature may outweigh the need for extreme precision, offering therapists a convenient way to assess patient readiness for sport re-entry or workload increases based on movement velocity trends.
While our research focused on a narrow range of ball velocities (29–102 km/h), representing only part of the velocity range that the tested guns are capable of measuring (up to 177 km/h), no adverse effect on the agreement between the two radars was observed. This finding is particularly important because it suggests that the high level of agreement between the devices is likely to hold across a broader range of speeds, although further research is needed to confirm this across the entire operational range of the devices. The narrow focus on this specific velocity range was intentional, as it aligns with the typical speeds observed in many sports activities such as soccer, baseball, and cricket [24]. However, extending the analysis to include higher velocities, such as those seen in elite-level tennis serves, would provide more comprehensive insights regarding the performance of these devices under different conditions. Future studies would benefit from exploring the consistency of these devices across a wider range of speeds, particularly in high-velocity applications, such as elite tennis or baseball, where ball speeds frequently exceed 100 km/h [16]. Assessing radar accuracy at much higher speeds would provide a greater understanding concerning the devices’ reliability across their full operational range, improving their generalizability to diverse sports settings. Moreover, in youth coaching contexts or community sports programs, where resources are often limited, the Bushnell radar’s affordability and ease of use make it an attractive option. By adjusting speed measurements by the approximate 1.4 km/h difference, practitioners can confidently use this device to offer feedback and set developmental goals for young athletes. Such applications highlight the practical benefits of using budget-friendly technology in broadening access to reliable performance monitoring, enhancing the ability to support athlete development, and making advanced feedback tools more accessible across various levels of sport.
Naturally, conditions related to the reference criterion and device placement may have resulted in minor variations in the outcomes. Still, these variations had no meaningful impact on the overall agreement of the devices. For instance, factors such as the angle of the radar gun relative to the trajectory of the ball, environmental conditions like indoor lighting or wind, and the precision of timing during the recording process could introduce small discrepancies in speed measurements [24,25]. However, the consistency of our results suggests that these factors were well-controlled in our study, minimizing their potential influence. This robustness is crucial for practical applications, where precise conditions cannot always be guaranteed yet reliable data are still required. Furthermore, the close agreement between devices in our study suggests that the Bushnell radar gun could be effectively utilized in various real-world settings, including outdoor environments, where conditions might differ from those in a controlled laboratory. This versatility improves the Bushnell radar’s applicability, making it a valuable tool not just for researchers but also for coaches and athletes who need reliable speed measurements in diverse contexts. Overall, our findings contribute to a growing body of evidence supporting the use of more accessible radar technology in sports science, providing a foundation for future research to explore its full range of capabilities and applications.
While the present study demonstrates promising agreement between the Stalker device and the Bushnell radar in measuring throwing and kicking speeds, it is important to acknowledge some limitations that may impact the interpretation and generalizability of our findings. Firstly, our research focused on a specific range of ball velocities, which may not fully represent the entire spectrum that the tested guns can measure, potentially limiting the applicability of our results to other contexts, such as sports with higher velocity demands like tennis serves or baseball pitches. While relevant to many sports, the relatively narrow velocity range of 29–102 km/h does not encompass the full operational capabilities of these radar devices, which can measure speeds up to 177 km/h. In comparison, top velocities in actual gameplay, such as elite tennis serves, can reach speeds exceeding 200 km/h, far beyond the upper limit observed in this study [26].
The performance of the Bushnell radar in capturing extremely high or low velocities remains to be fully explored, and future studies should seek to address this gap by evaluating the devices across a broader range of speeds. Additionally, this study was conducted in a controlled laboratory environment, which may not fully reflect real-world conditions. In outdoor scenarios, environmental factors such as wind speed, temperature, humidity, and direction could impact the radar guns’ performance and the accuracy of their measurements. For example, wind can alter a ball’s trajectory and velocity, potentially affecting radar readings if the devices are not carefully calibrated and positioned to account for these influences. Temperature and humidity variations may also affect the performance of electronic devices, potentially introducing subtle measurement inconsistencies. Future studies should investigate radar accuracy in these real-world conditions to assess the devices’ robustness and reliability in less controlled environments. Moreover, our study did not examine the potential effects of variations in radar positioning, such as differences in the angles, heights, or distances of the devices relative to the ball trajectory. Testing the radar guns from different perspectives could help simulate various sports scenarios, where measuring equipment might be positioned differently due to space constraints or the nature of the sport itself. The accuracy of radar readings may be affected by these factors, as different angles and heights can introduce measurement errors by altering the device’s perception of the object’s velocity vector. Future studies should consider conducting measurements from multiple perspectives to better understand how positioning impacts radar accuracy, thereby enhancing the ecological validity of radar-based assessments in sports settings.
Furthermore, studies could explore the performance of the Bushnell radar in outdoor environments, across different sports, and with varied participant, demographics to better understand how factors such as age, skill level, and physical condition might influence the accuracy of radar measurements [27]. It would also be valuable to investigate how specific technical factors, such as player technique, equipment variations, and field conditions, may impact radar accuracy. Future research could also benefit from comparing radar guns with alternative technologies, such as high-speed cameras or motion-capture systems, to assess measurement consistency across various devices and expand our understanding of their relative strengths and limitations in sports performance analysis. Variations in technique, like release angles or follow-through in throwing or kicking, could influence radar performance by changing the ball’s path or velocity profile. Equipment differences, including the type and condition of the ball or surface used, may also introduce variability, as certain materials or surfaces may interact differently with the radar’s detection capabilities [28]. An additional consideration is the manual handling of the Bushnell radar, as one device was handheld during testing. This setup may introduce minor variability due to slight positional shifts or operator stability, potentially affecting the consistency of the measurements. Future studies should consider alternative mounting solutions to reduce these potential sources of variability. Understanding these factors is essential for developing standardized protocols that ensure consistent and accurate measurements across different sports and settings, ultimately improving the reliability and validity of radar-based speed assessments in sports performance.

5. Conclusions

The findings of this study show that both the Stalker and Bushnell radars exhibit excellent levels of correlation. However, it is important to acknowledge that the Bushnell radar consistently underestimates ball speeds by approximately 1.4 km/h compared to the Stalker system. This difference is not trivial, given the relatively high Cohen’s d, which indicates that the discrepancy is relevant. Despite this, the high correlation between the devices suggests that both radars can be used effectively for practical training and scientific research.

Author Contributions

P.M. and F.M.C. designed the study, participated in data collection, conducted statistical analysis, and wrote and approved the document. A.F.S. and R.M.S. participated in data collection, contributed to writing, and approved the document. M.J. and M.S. contributed to writing and approving the document. All authors have read and agreed to the published version of the manuscript.

Funding

This research received no external funding.

Institutional Review Board Statement

The local university’s ethics committee has approved the project under code number 22/2021 at the Wroclaw University of Health and Sport Sciences.

Informed Consent Statement

Informed consent was obtained from all subjects involved in the study.

Data Availability Statement

The original contributions presented in the study are included in the article; further inquiries can be directed to the corresponding author.

Conflicts of Interest

The authors declare no conflicts of interest.

References

  1. Díez-Fernández, D.M.; Rodríguez-Rosell, D.; Gazzo, F.; Giráldez, J.; Villaseca-Vicuña, R.; Gonzalez-Jurado, J.A. Can the Supido Radar Be Used for Measuring Ball Speed during Soccer Kicking? A Reliability and Concurrent Validity Study of a New Low-Cost Device. Sensors 2022, 22, 7046. [Google Scholar] [CrossRef] [PubMed]
  2. Phomsoupha, M. Reliability and Validity of Motion Sensor and Radar for Measuring Shuttlecock Velocity in Badminton. Reliability and Validity to Measure Velocity in Badminton. Int. J. Racket Sports Sci. 2022, 4, 11–19. [Google Scholar] [CrossRef]
  3. Bădescu, D.; Zaharie, N.; Stoian, I.; Bădescu, M.; Stanciu, C. A Narrative Review of the Link between Sport and Technology. Sustainability 2022, 14, 16265. [Google Scholar] [CrossRef]
  4. Markovic, G.; Dizdar, D.; Jaric, S. Evaluation of Tests of Maximum Kicking Performance. J. Sports Med. Phys. Fit. 2006, 46, 215–220. [Google Scholar]
  5. Stodden, D.F.; Langendorfer, S.J.; Stephen, J.; Roberton, M.A.; Kelbley, L. Association between Motor Skill Competence and Health-Related Physical Fitness. J. Sport Exerc. Psychol. 2007, 29, ps45. [Google Scholar]
  6. Lizzio, V.A.; Smith, D.G.; Jildeh, T.R.; Gulledge, C.M.; Swantek, A.J.; Stephens, J.P.; Schulz, B.M.; Makhni, E.C. Importance of Radar Gun Inclusion during Return-to-Throwing Rehabilitation Following Ulnar Collateral Ligament Reconstruction in Baseball Pitchers: A Simulation Study. J. Shoulder Elbow Surg. 2020, 29, 587–592. [Google Scholar] [CrossRef]
  7. De Fazio, R.; Mastronardi, V.M.; De Vittorio, M.; Visconti, P. Wearable Sensors and Smart Devices to Monitor Rehabilitation Parameters and Sports Performance: An Overview. Sensors 2023, 23, 1856. [Google Scholar] [CrossRef]
  8. Seçkin, A.Ç.; Ateş, B.; Seçkin, M. Review on Wearable Technology in Sports: Concepts, Challenges, and Opportunities. Appl. Sci. 2023, 13, 10399. [Google Scholar] [CrossRef]
  9. Düking, P.; Fuss, F.K.; Holmberg, H.-C.; Sperlich, B. Recommendations for Assessment of the Reliability, Sensitivity, and Validity of Data Provided by Wearable Sensors Designed for Monitoring Physical Activity. JMIR mHealth uHealth 2018, 6, e102. [Google Scholar] [CrossRef]
  10. Li, R.T.; Kling, S.R.; Salata, M.J.; Cupp, S.A.; Sheehan, J.; Voos, J.E. Wearable Performance Devices in Sports Medicine. Sports Health. 2016, 8, 74–78. [Google Scholar] [CrossRef]
  11. Hernández-Belmonte, A.; Sánchez-Pay, A. Concurrent Validity, Inter-Unit Reliability and Biological Variability of a Low-Cost Pocket Radar for Ball Velocity Measurement in Soccer and Tennis. J. Sports Sci. 2021, 39, 1312–1319. [Google Scholar] [CrossRef] [PubMed]
  12. Todhunter-Brown, A.; Baer, G.; Campbell, P.; Choo, P.L.; Forster, A.; Morris, J.; Pomeroy, V.M.; Langhorne, P. Physical Rehabilitation Approaches for the Recovery of Function and Mobility Following Stroke. Cochrane Database Syst. Rev. 2014, 2023, CD001920. [Google Scholar] [CrossRef]
  13. Kimberlin, C.L.; Winterstein, A.G. Validity and Reliability of Measurement Instruments Used in Research. Am. J. Health-Syst. Pharm. 2008, 65, 2276–2284. [Google Scholar] [CrossRef] [PubMed]
  14. Sullivan, G.M. A Primer on the Validity of Assessment Instruments. J. Grad. Med. Educ. 2011, 3, 119–120. [Google Scholar] [CrossRef] [PubMed]
  15. Hopkins, W.G. Measures of Reliability in Sports Medicine and Science. Sports Med. 2000, 30, 1–15. [Google Scholar] [CrossRef]
  16. Robinson, G.; Robinson, I. Radar Speed Gun True Velocity Measurements of Sports-Balls in Flight: Application to Tennis. Phys. Scr. 2016, 91, 023008. [Google Scholar] [CrossRef][Green Version]
  17. Abdioglu, M.; Akyildiz, Z.; Manuel Clemente, F. Concurrent Validity and Intra-Unit Reliability of the Speedtrack X Radar Gun Device for Measuring Tennis Ball Speed. Proc. Inst. Mech. Eng. P. J. Sport Eng. Technol. 2022, 175433712211220. [Google Scholar] [CrossRef]
  18. Jermyn, S.; O’Neill, C.; Lacey, S.; Coughlan, E.K. The Effects of a Weighted Football Intervention on Ball Velocity of a Standard Football Place-Kick among Elite Gaelic Football Goalkeepers: A Single-Subject Designed Study. Sports 2022, 10, 166. [Google Scholar] [CrossRef]
  19. Přidal, V.; Matušov, M.; Mikulič, M. Relationship between Spike Speed and Selected Strength Parameters in Top-Level Female Volleyball Players. J. Phys. Educ. Sport 2023, 23, 675–681. [Google Scholar] [CrossRef]
  20. Currell, K.; Jeukendrup, A.E. Validity, Reliability and Sensitivity of Measures of Sporting Performance. Sports Med. 2008, 38, 297–316. [Google Scholar] [CrossRef]
  21. Kottner, J.; Audige, L.; Brorson, S.; Donner, A.; Gajewski, B.J.; Hróbjartsson, A.; Roberts, C.; Shoukri, M.; Streiner, D.L. Guidelines for Reporting Reliability and Agreement Studies (GRRAS) Were Proposed. Int. J. Nurs. Stud. 2011, 48, 661–671. [Google Scholar] [CrossRef] [PubMed]
  22. Koo, T.K.; Li, M.Y. A Guideline of Selecting and Reporting Intraclass Correlation Coefficients for Reliability Research. J. Chiropr. Med. 2016, 15, 155–163. [Google Scholar] [CrossRef] [PubMed]
  23. Ferguson, C.J. An Effect Size Primer: A Guide for Clinicians and Researchers. Prof. Psychol. Res. Pract. 2009, 40, 532–538. [Google Scholar] [CrossRef]
  24. Freeston, J.; Rooney, K. Throwing Speed and Accuracy in Baseball and Cricket Players. Percept. Mot. Ski. 2014, 118, 637–650. [Google Scholar] [CrossRef]
  25. Smith, N.D.W.; Burke, D.J. Influence of Angular Position on Radar Gun Peak Cricket Ball Speed Measurements. Sports Biomech. 2024, 23, 695–708. [Google Scholar] [CrossRef]
  26. Kovacs, M.; Ellenbecker, T. An 8-Stage Model for Evaluating the Tennis Serve: Implications for Performance Enhancement and Injury Prevention. Sports Health 2011, 3, 504–513. [Google Scholar] [CrossRef] [PubMed]
  27. Kiely, N.; Pickering Rodriguez, L.; Watsford, M.; Reddin, T.; Hardy, S.; Duffield, R. The Influence of Technique and Physical Capacity on Ball Release Speed in Cricket Fast-Bowling. J. Sports Sci. 2021, 39, 2361–2369. [Google Scholar] [CrossRef]
  28. Janani, G.; Vigneshmoorthy, K.; Nimishaanth, S.; Vikram, R.; Thiagarajan, A.; Arumugam, S. Biomechanical Factors Influencing Post-Strike Ball Velocity in Football Players: A Cross-Sectional Study. J. Clin. Diagn. Res. 2023, 17, 10–14. [Google Scholar] [CrossRef]
Figure 1. Illustration of radar guns positioned by the setup.
Figure 1. Illustration of radar guns positioned by the setup.
Applsci 14 10476 g001
Figure 2. Bland–Altman plots, scatter plots, and raincloud plots show the relationship between Bushnell and Stalker radar guns concerning ball speed in throwing. (a): Bland-Altman plots; (b): scatter plots; (c): raincloud plot.
Figure 2. Bland–Altman plots, scatter plots, and raincloud plots show the relationship between Bushnell and Stalker radar guns concerning ball speed in throwing. (a): Bland-Altman plots; (b): scatter plots; (c): raincloud plot.
Applsci 14 10476 g002
Figure 3. Bland–Altman plots, scatter plots, and raincloud plots show the relationship between Bushnell and Stalker radar guns concerning ball speed in kicking: (a) Bland–Altman plots; (b) scatter plots; (c) raincloud plot.
Figure 3. Bland–Altman plots, scatter plots, and raincloud plots show the relationship between Bushnell and Stalker radar guns concerning ball speed in kicking: (a) Bland–Altman plots; (b) scatter plots; (c) raincloud plot.
Applsci 14 10476 g003
Table 1. Concurrent validity of the Bushnell and Stalker radar for the ball speed in throw and kick.
Table 1. Concurrent validity of the Bushnell and Stalker radar for the ball speed in throw and kick.
Stalker vs. Bushnell
(Throw)
Stalker vs. Bushnell
(Kick)
Magnitude of error
SEE (km/h)0.1940.357
CV (%)1.2521.179
MEE (km/h)0.3800.700
Absolute Agreement
ICC0.9890.986
ICC (95%CI lower)0.9860.983
ICC (95%CI upper)0.9910.989
Analysis of variance
t14.29315.227
p-value<0.001<0.001
Cohen’s d0.7990.851
Cohen’s d (95%CI lower)0.6730.979
Cohen’s d (95%CI upper)0.9240.723
CI: confidence interval; ICC: intraclass correlation test; SEE: standard error estimate; CV: coefficient of variation; MEE: maximum error of estimate.
Disclaimer/Publisher’s Note: The statements, opinions and data contained in all publications are solely those of the individual author(s) and contributor(s) and not of MDPI and/or the editor(s). MDPI and/or the editor(s) disclaim responsibility for any injury to people or property resulting from any ideas, methods, instructions or products referred to in the content.

Share and Cite

MDPI and ACS Style

Makar, P.; Silva, A.F.; Silva, R.M.; Janusiak, M.; Smoter, M.; Clemente, F.M. The Agreement Between Bushnell and Stalker Radar Guns for Measuring Ball Speed in Throwing and Kicking. Appl. Sci. 2024, 14, 10476. https://doi.org/10.3390/app142210476

AMA Style

Makar P, Silva AF, Silva RM, Janusiak M, Smoter M, Clemente FM. The Agreement Between Bushnell and Stalker Radar Guns for Measuring Ball Speed in Throwing and Kicking. Applied Sciences. 2024; 14(22):10476. https://doi.org/10.3390/app142210476

Chicago/Turabian Style

Makar, Piotr, Ana Filipa Silva, Rui Miguel Silva, Marcin Janusiak, Małgorzata Smoter, and Filipe Manuel Clemente. 2024. "The Agreement Between Bushnell and Stalker Radar Guns for Measuring Ball Speed in Throwing and Kicking" Applied Sciences 14, no. 22: 10476. https://doi.org/10.3390/app142210476

APA Style

Makar, P., Silva, A. F., Silva, R. M., Janusiak, M., Smoter, M., & Clemente, F. M. (2024). The Agreement Between Bushnell and Stalker Radar Guns for Measuring Ball Speed in Throwing and Kicking. Applied Sciences, 14(22), 10476. https://doi.org/10.3390/app142210476

Note that from the first issue of 2016, this journal uses article numbers instead of page numbers. See further details here.

Article Metrics

Back to TopTop