Development of a Novel Gluten-Free Cookie Premix Enriched with Natural Flours Using an Extreme Vertices Design: Physical, Sensory, Rheological, and Antioxidant Characteristics
Abstract
1. Introduction
2. Materials and Methods
2.1. Chemicals
2.2. Gluten-Free Cookies Formulation
2.3. Extreme Vertices Design
2.4. Preparation of Gluten-Free Cookies
2.5. Enrichment of Gluten-Free Cookies with Different Flours
2.6. Rheological Proprieties of Doughs (Flow Test)
2.7. Gluten-Free Cookies Evaluation
2.7.1. Specific Volume
2.7.2. Spread Ratio
2.7.3. Expansion Factor
2.7.4. Moisture Content
2.7.5. Color Analysis
2.7.6. Sensory Analysis
2.7.7. Antioxidant Properties
2.8. Statistical Analysis
3. Results
3.1. Mixture Design Analysis and Model Fitting
3.2. Effect of the Starch Mixture Components on Physical Properties
3.3. Optimization
3.4. Results of Enrichment
3.4.1. Rheological Properties of Gluten-Free Doughs
3.4.2. Physical Characteristics of Gluten-Free Cookies
Specific Volume
Spread Ratio
Expansion Factor
Moisture Content
3.4.3. Color of Enriched Gluten-Free Cookies
3.4.4. Sensory Characteristics
3.4.5. Antioxidant Properties of Gluten-Free Cookies
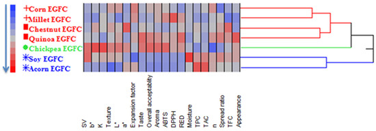
3.5. Cluster Analysis
3.6. Principal Component Analysis Classification
4. Conclusions
Supplementary Materials
Author Contributions
Funding
Institutional Review Board Statement
Informed Consent Statement
Data Availability Statement
Acknowledgments
Conflicts of Interest
References
- Sofi, S.A.; Ahmed, N.; Farooq, A.; Rafiq, S.; Zargar, S.M.; Kamran, F.; Dar, T.A.; Mir, S.A.; Dar, B.; Mousavi Khaneghah, A. Nutritional and bioactive characteristics of buckwheat, and its potential for developing gluten-free products: An updated overview. Food Sci. Nutr. 2023, 11, 2256–2276. [Google Scholar] [CrossRef] [PubMed]
- Palomares-Navarro, M.J.; Sánchez-Quezada, V.; Palomares-Navarro, J.J.; Ayala-Zavala, J.F.; Loarca-Piña, G. Nutritional and nutraceutical properties of selected pulses to promote gluten-free food products. Plant Foods Hum. Nutr. 2023, 78, 253–260. [Google Scholar] [CrossRef] [PubMed]
- Silva-Paz, R.J.; Silva-Lizárraga, R.R.; Jamanca-Gonzales, N.C.; Eccoña-Sota, A. Evaluation of the physicochemical and sensory characteristics of gluten-free cookies. Front. Nutr. 2024, 10, 1304117. [Google Scholar] [CrossRef] [PubMed]
- Capriles, V.D.; dos Santos, F.G.; Arêas, J.A.G. Gluten-free breadmaking: Improving nutritional and bioactive compounds. J. Cereal Sci. 2016, 67, 83–91. [Google Scholar] [CrossRef]
- Allen, B.; Orfila, C. The availability and nutritional adequacy of gluten-free bread and pasta. Nutrients 2018, 10, 1370. [Google Scholar] [CrossRef]
- Montemurro, M.; Beccaccioli, M.; Perri, G.; Rizzello, C.G.; Reverberi, M.; Pontonio, E. A chestnut-hemp type-II sourdough to improve technological, nutritional, and sensory properties of gluten-free bread. Int. J. Food Microbiol. 2023, 404, 110322. [Google Scholar] [CrossRef]
- Hamdani, A.M.; Wani, I.A.; Bhat, N.A. Gluten free cookies from rice-chickpea composite flour using exudate gums from acacia, apricot and karaya. Food Biosci. 2020, 35, 100541. [Google Scholar] [CrossRef]
- Przybysz, M.; Dłużewska, E. The effect of the addition of water, soy protein, inulin, and maltodextrin on the quality of dough and gluten-free breads. Ital. J. Food Sci. 2018, 30, 762–774. [Google Scholar] [CrossRef]
- Garske, R.P.; Mercali, G.D.; Thys, R.C.S.; Cladera-Olivera, F. Cassava starch and chickpea flour pre-treated by microwave as a substitute for gluten-free bread additives. J. Food Sci. Technol. 2023, 60, 53–63. [Google Scholar] [CrossRef]
- Akubor, P.I.; Onogwu, O.C.; Okereke, G.O.; Damak, A.M.A. Production and quality evaluation of gluten free biscuits from maize and soybean flour blends. Eur. J. Nutr. Food Saf. 2023, 15, 59–79. [Google Scholar] [CrossRef]
- Bahraminejad, M.; Rostami, O.; Heydari, M.; Moradian, M.; Abdolmaleki, K. Characterization of gluten-free cupcakes without sucrose based on defatted soybean flour and monk fruit. Food Sci. Nutr. 2024, 12, 1268–1278. [Google Scholar] [CrossRef] [PubMed]
- Xu, J.; Zhang, Y.; Wang, W.; Li, Y. Advanced properties of gluten-free cookies, cakes, and crackers: A review. Trends Food Sci. Technol. 2020, 103, 200–213. [Google Scholar] [CrossRef]
- Lee, C.J.; Moon, T.W. Structural characteristics of slowly digestible starch and resistant starch isolated from heat–moisture treated waxy potato starch. Carbohydr. Polym. 2015, 125, 200–205. [Google Scholar] [CrossRef] [PubMed]
- Mohammadi, M.; Khorshidian, N.; Yousefi, M.; Khaneghah, A.M. Physicochemical, Rheological, and Sensory Properties of Gluten-Free Cookie Produced by Flour of Chestnut, Date Seed, and Modified Starch. J. Food Qual. 2022, 2022, 5159084. [Google Scholar] [CrossRef]
- Culetu, A.; Susman, I.E.; Duta, D.E.; Belc, N. Nutritional and functional properties of gluten-free flours. Appl. Sci. 2021, 11, 6283. [Google Scholar] [CrossRef]
- Rai, S.; Kaur, A.; Singh, B. Quality characteristics of gluten free cookies prepared from different flour combinations. J. Food Sci. Technol. 2014, 51, 785–789. [Google Scholar] [CrossRef]
- Jan, K.N.; Panesar, P.; Singh, S. Optimization of antioxidant activity, textural and sensory characteristics of gluten-free cookies made from whole indian quinoa flour. LWT 2018, 93, 573–582. [Google Scholar] [CrossRef]
- Dogruer, I.; Coban, B.; Baser, F.; Gulec, S.; Ozen, B. Techno-functional and in vitro digestibility properties of gluten-free cookies made from raw, pre-cooked, and germinated chickpea flours. Foods 2023, 12, 2829. [Google Scholar] [CrossRef]
- Milani, E.; Dehghan, Z.; Hashemi, N. The effect of extrusion technology on the quality characteristics of gluten-free cookies Based on whole chickpea flour-xanthan gum-broken rice. Iran. Food Sci. Technol. Res. J. 2023, 20, 395–407. [Google Scholar] [CrossRef]
- Kumari, S.; Singh, B.; Kaur, A. Influence of malted buckwheat, foxtail and proso millet flour incorporation on the physicochemical, protein digestibility and antioxidant properties of gluten-free rice cookies. Food Chem. Adv. 2023, 3, 100557. [Google Scholar] [CrossRef]
- Bourekoua, H.; Benatallah, L.; Róźylo, R. Panification Traditionnelle Sans Gluten Type «Khobz Eddar». Ph.D. Thesis, Université Frères Mentouri-Constantine 1, Constantine, Algeria, 2018. [Google Scholar]
- Jacinto, G.; Stieven, A.; Maciel, M.J.; Souza, C.F.V.d. Effect of potato peel, pumpkin seed, and quinoa flours on sensory and chemical characteristics of gluten-free breads. Braz. J. Food Technol. 2020, 23, e2019169. [Google Scholar] [CrossRef]
- Montgomery, D.C. Design and Analysis of Experiments, 8th ed.; John Wiley & Sons: Hoboken, NJ, USA, 2017. [Google Scholar]
- Wangkananon, W.; Phuaksaman, C.; Koobkokkruad, T.; Natakankitkul, S. An extreme vertices mixture design approach to optimization of tyrosinase inhibition effects. Eng. J. 2018, 22, 175–185. [Google Scholar] [CrossRef]
- AACC. American Association of Cereal Chemists. Approved Methods of the AACC; AACC: St. Paul, MN, USA, 2000. [Google Scholar]
- Gálová, Z.; Rajnincová, D.; Chňapek, M.; Balážová, Ž.; Špaleková, A.; Vivodík, M.; Hricová, A. Characteristics of cereals, pseudocereals and legumes for their coeliac active polypeptides. J. Microbiol. Biotech. Food Sci. 2019, 9, 390–395. [Google Scholar] [CrossRef]
- Benkadri, S.; Salvador, A.; Zidoune, M.N.; Sanz, T. Gluten-free biscuits based on composite rice–chickpea flour and xanthan gum. Food Sci. Technol. Int. 2018, 24, 607–616. [Google Scholar] [CrossRef] [PubMed]
- Farzana, T.; Mohajan, S. Effect of incorporation of soy flour to wheat flour on nutritional and sensory quality of biscuits fortified with mushroom. Food Sci. Nutr. 2015, 3, 363–369. [Google Scholar] [CrossRef]
- Korus, A.; Gumul, D.; Krystyjan, M.; Juszczak, L.; Korus, J. Evaluation of the quality, nutritional value and antioxidant activity of gluten-free biscuits made from corn-acorn flour or corn-hemp flour composites. Eur. Food Res. Technol. 2017, 243, 1429–1438. [Google Scholar] [CrossRef]
- Brites, L.T.G.F.; Ortolan, F.; da Silva, D.W.; Bueno, F.R.; Rocha, T.d.S.; Kil Chang, Y.; Steel, C.J. Gluten-free cookies elaborated with buckwheat flour, millet flour and chia seeds. Food Sci. Technol. 2018, 39, 458–466. [Google Scholar] [CrossRef]
- Djeghim, F.; Bourekoua, H.; Różyło, R.; Bieńczak, A.; Tanaś, W.; Zidoune, M.N. Effect of by-products from selected fruits and vegetables on gluten-free dough rheology and bread properties. Appl. Sci. 2021, 11, 4605. [Google Scholar] [CrossRef]
- ICC. Standard Methods of the International Association for Cereal Science and Technology; International Association for Cereal Chemistry: Vienna, Austria, 1996. [Google Scholar]
- Chen, C.; Ren, M. The significance of license plate location based on Lab color space. In Proceedings of the 2nd International Conference on Information, Electronics and Computer, Wuhan, China, 7–9 March 2014; Atlantis Press: Amsterdam, The Netherlands, 2014; pp. 78–81. [Google Scholar]
- Ayad, R.; Bourekoua, H.; Lefahal, M.; Makhloufi, E.H.; Akkal, S.; Medjroubi, K.; Nieto, G. Process optimization of phytoanti-oxidant and photoprotective compounds from carob pods (Ceratonia siliqua L. ) using ultrasonic assisted extraction method. Molecules 2022, 27, 8802. [Google Scholar] [CrossRef]
- Singleton, V.L.; Rossi, J.A. Colorimetry of total phenolics with phosphomolybdic-phosphotungstic acid reagents. Am. J. Enol. Vitic. 1965, 16, 144–158. [Google Scholar] [CrossRef]
- Djeridane, A.; Yousfi, M.; Nadjemi, B.; Boutassouna, D.; Stocker, P.; Vidal, N. Antioxidant activity of some Algerian medicinal plants extracts containing phenolic compounds. Food Chem. 2006, 97, 654–660. [Google Scholar] [CrossRef]
- Prieto, P.; Pineda, M.; Aguilar, M. Spectrophotometric quantitation of antioxidant capacity through the formation of a phosphomolybdenum complex: Specific application to the determination of vitamin E. Anal. Biochem. 1999, 269, 337–341. [Google Scholar] [CrossRef] [PubMed]
- Ismail, H.F.; Hashim, Z.; Soon, W.T.; Ab Rahman, N.S.; Zainudin, A.N.; Majid, F.A.A. Comparative study of herbal plants on the phenolic and flavonoid content, antioxidant activities and toxicity on cells and zebrafish embryo. J. Tradit. Complement. Med. 2017, 7, 452–465. [Google Scholar] [CrossRef] [PubMed]
- Oyaizu, M. Studies on products of browning reaction antioxidative activities of products of browning reaction prepared from glucosamine. Jpn. J. Nutr. Diet. 1986, 44, 307–315. [Google Scholar] [CrossRef]
- Re, R.; Pellegrini, N.; Proteggente, A.; Pannala, A.; Yang, M.; Rice-Evans, C. Antioxidant activity applying an improved ABTS radical cation decolorization assay. Free Radic. Biol. Med. 1999, 26, 1231–1237. [Google Scholar] [CrossRef]
- Montes, S.d.S.; Rodrigues, L.M.; Cardoso, R.d.C.V.; Camilloto, G.P.; Cruz, R.S. Tapioca and rice flour cookies: Technological, nutritional and sensory properties. Ciência E Agrotecnologia 2015, 39, 514–522. [Google Scholar] [CrossRef]
- Pérez-Carrillo, E.; Frías-Escobar, A.; Gutiérrez-Mendívil, K.; Guajardo-Flores, S.; Serna-Saldívar, S.O. Effect of Maize Starch Substitution on Physicochemical and Sensory Attributes of Gluten-Free Cookies Produced from Nixtamalized Flour. J. Food Process. 2017, 2017, 6365182. [Google Scholar] [CrossRef]
- Aslan Türker, D.; Göksel Saraç, M.; Doğan, M. Development of gluten-free cake formulations: The role of tapioca & potato starch and quinoa in the rheological, textural and powder flow properties. Eur. Food Res. Technol. 2023, 249, 675–684. [Google Scholar] [CrossRef]
- Mancebo, C.M.; Picón, J.; Gómez, M. Effect of flour properties on the quality characteristics of gluten free sugar-snap cookies. LWT-Food Sci. Technol. 2015, 64, 264–269. [Google Scholar] [CrossRef]
- Filipčev, B.; Šimurina, O.; Dapčević Hadnađev, T.; Jevtić-Mučibabić, R.; Filipović, V.; Lončar, B. Effect of liquid (native) and dry molasses originating from sugar beet on physical and textural properties of gluten-free biscuit and biscuit dough. J. Texture Stud. 2015, 46, 353–364. [Google Scholar] [CrossRef]
- Horstmann, S.W.; Lynch, K.M.; Arendt, E.K. Starch characteristics linked to gluten-free products. Foods 2017, 6, 29. [Google Scholar] [CrossRef] [PubMed]
- Derringer, G.; Suich, R. Simultaneous optimization of several response variables. J. Qual. Technol. 1980, 12, 214–219. [Google Scholar] [CrossRef]
- Bourekoua, H.; Benatallah, L.; Zidoune, M.N.; Rosell, C.M. Developing gluten free bakery improvers by hydrothermal treatment of rice and corn flours. LWT 2016, 73, 342–350. [Google Scholar] [CrossRef]
- Chouaibi, M.; Rezig, L.; Boussaid, A.; Hamdi, S. Insoluble Tomato-Fiber Effect on Wheat Dough Rheology and Cookies’ Qualitty. Ital. J. Food Sci. 2019, 31, 1–18. [Google Scholar] [CrossRef]
- Herranz, B.; Canet, W.; Alvarez, M.D. Corn starch and egg white enriched gluten-free chickpea flour batters: Rheological and structural properties. Int. J. Food Prop. 2017, 20, S489–S506. [Google Scholar] [CrossRef]
- Zhang, D. Effect of proofing on the rheology and moisture distribution of corn starch-hydroxypropylmethylcellulose gluten-free dough. Foods 2023, 12, 695. [Google Scholar] [CrossRef]
- Huang, Z.-g.; Wang, X.-y.; Zhang, J.-y.; Liu, Y.; Zhou, T.; Chi, S.-y.; Bi, C.-h. High-pressure homogenization modified chickpea protein: Rheological properties, thermal properties and microstructure. J. Food Eng. 2022, 335, 111196. [Google Scholar] [CrossRef]
- Benkadri, S.; Salvador, A.; Sanz, T.; Nasreddine Zidoune, M. Optimization of xanthan and locust bean gum in a gluten-free infant biscuit based on rice-chickpea flour using response surface methodology. Foods 2020, 10, 12. [Google Scholar] [CrossRef]
- Hager, A.-S.; Wolter, A.; Jacob, F.; Zannini, E.; Arendt, E.K. Nutritional properties and ultra-structure of commercial gluten free flours from different botanical sources compared to wheat flours. J. Cereal Sci. 2012, 56, 239–247. [Google Scholar] [CrossRef]
- Man, S.; Pãucean, A.; Muste, S. Preparation and quality evaluation of gluten-free biscuits. Bull. UASVM Food Sci. Technol. 2014, 71, 38–44. [Google Scholar] [CrossRef]
- Gull, A.; Prasad, K.; Kumar, P. Effect of millet flours and carrot pomace on cooking qualities, color and texture of developed pasta. LWT-Food Sci. Technol. 2015, 63, 470–474. [Google Scholar] [CrossRef]
- El Nakib, D.; Ibrahim, M.; Mahmoud, N.; Abd El Rahman, E.; Ghaly, A. Incorporation of Spirulina (Athrospira platensis) in traditional Egyptian cookies as a source of natural bioactive molecules and functional ingredients: Preparation and sensory evaluation of nutrition snack for school children. Eur. J. Nutr. Food Saf 2019, 9, 372–397. [Google Scholar] [CrossRef]
- Aijaz, A.; Amin, Q.A.; Wani, T.A.; Wani, N.R.; Amin, I.; Mushtaq, M. Synergistic effect of Chenopodium quinoa supplementation on the structural, thermal, and nutritional characteristics of gluten-free corn cookies. Int. J. Adv. Biochem Res. 2024, 8, 461–471. [Google Scholar] [CrossRef]
- Kuchtová, V.; Kohajdová, Z.; Karovicova, J.; Lauková, M. Physical, textural and sensory properties of cookies incorporated with grape skin and seed preparations. Pol. J. Food Nutr. Sci. 2018, 68, 309–317. [Google Scholar] [CrossRef]
- Kissell, L. Protein Enrichment of Cookie Flours with Wheat Gluten and Soy Flour Derivative. Cereal Chem. 1975, 52, 638–649. [Google Scholar]
- Zucco, F.; Borsuk, Y.; Arntfield, S.D. Physical and nutritional evaluation of wheat cookies supplemented with pulse flours of different particle sizes. LWT-Food Sci. Technol. 2011, 44, 2070–2076. [Google Scholar] [CrossRef]
- Gupta, M.; Bawa, A.S.; Abu-Ghannam, N. Effect of barley flour and freeze–thaw cycles on textural nutritional and functional properties of cookies. Food Bioprod. Process. 2011, 89, 520–527. [Google Scholar] [CrossRef]
- Bustos, M.C.; Perez, G.T.; Leon, A.E. Structure and quality of pasta enriched with functional ingredients. RSC Adv. 2015, 5, 30780–30792. [Google Scholar] [CrossRef]
- Mishra, N.; Chandra, R. Development of functional biscuit from soy flour & rice bran. Int. J. Agric. Food Sci. 2012, 2, 14–20. [Google Scholar]
- Torra, M.; Belorio, M.; Ayuso, M.; Carocho, M.; Ferreira, I.C.F.R.; Barros, L.; Gómez, M. Chickpea and chestnut flours as non-gluten alternatives in cookies. Foods 2021, 10, 911. [Google Scholar] [CrossRef]
- Brito, I.L.; de Souza, E.L.; Felex, S.S.S.; Madruga, M.S.; Yamashita, F.; Magnani, M. Nutritional and sensory characteristics of gluten-free quinoa (Chenopodium quinoa Willd)-based cookies development using an experimental mixture design. J. Food Sci. Technol. 2015, 52, 5866–5873. [Google Scholar] [CrossRef] [PubMed]
- Ahmed, G.T.; Foda, F.; Saad, S.; Galal, W.K. Nutritional evaluation and functional properties of quinoa (chenopodium quinoa willd) flour. Ann. Agric. Sci. Moshtohor 2017, 55, 63–72. [Google Scholar] [CrossRef]
- Molavi, H.; Keramat, J.; Raisee, B. Evaluation of the cake quality made from acorn-wheat flour blends as a functional food. J. Food Biosci. Technol. 2015, 5, 53–60. [Google Scholar]
- Faridi, H.; Faubion, J.M. Dough Rheology and Baked Product Texture; Springer Science & Business Media: Berlin, Germany, 2012. [Google Scholar]
- Krajewska, A.; Dziki, D. Enrichment of Cookies with Fruits and Their By-Products: Chemical Composition, Antioxidant Properties, and Sensory Changes. Molecules 2023, 28, 4005. [Google Scholar] [CrossRef]
- Akan, M.Ö.A.; Dhavale, D.G.; Sarkis, J. Greenhouse gas emissions in the construction industry: An analysis and evaluation of a concrete supply chain. J. Clean. Prod. 2017, 167, 1195–1207. [Google Scholar] [CrossRef]
- Beltrão Martins, R.; Gouvinhas, I.; Nunes, M.C.; Alcides Peres, J.; Raymundo, A.; Barros, A.I. Acorn flour as a source of bioactive compounds in gluten-free bread. Molecules 2020, 25, 3568. [Google Scholar] [CrossRef]
- Vinha, A.F.; Costa, A.S.G.; Barreira, J.C.; Pacheco, R.; Oliveira, M.B.P. Chemical and antioxidant profiles of acorn tissues from Quercus spp.: Potential as new industrial raw materials. Ind. Crops Prod. 2016, 94, 143–151. [Google Scholar] [CrossRef]
- Hayes, R.; Bookwalter, G.; Bagley, E. Antioxidant activity of soybean flour and derivatives–A review. J. Food Sci. 1977, 42, 1527–1532. [Google Scholar] [CrossRef]
- Gil, J.V.; Esteban-Muñoz, A.; Fernández-Espinar, M.T. Changes in the polyphenolic profile and antioxidant activity of wheat bread after incorporating quinoa flour. Antioxidants 2021, 11, 33. [Google Scholar] [CrossRef]
- Pereira, E.; Cadavez, V.; Barros, L.; Encina-Zelada, C.; Stojković, D.; Sokovic, M.; Calhelha, R.C.; Gonzales-Barron, U.; Ferreira, I.C. Chenopodium quinoa Willd.(quinoa) grains: A good source of phenolic compounds. Food Res. Int. 2020, 137, 109574. [Google Scholar] [CrossRef]



| Run | X1 (CS in g) | X2 (PS in g) | X3 (TS in g) | Total (g) |
|---|---|---|---|---|
| 1 | 20.0 | 6.0 | 4.0 | 30 |
| 2 | 12.0 | 12.0 | 6.0 | 30 |
| 3 | 20.0 | 10.0 | 0.0 | 30 |
| 4 | 17.6 | 9.2 | 3.2 | 30 |
| 5 | 18.0 | 6.0 | 6.0 | 30 |
| 6 | 15.0 | 9.0 | 6.0 | 30 |
| 7 | 15.0 | 12.0 | 3.0 | 30 |
| 8 | 19.0 | 6.0 | 5.0 | 30 |
| 9 | 20.0 | 8.0 | 2.0 | 30 |
| 10 | 19.0 | 11.0 | 00 | 30 |
| 11 | 18.0 | 12.0 | 0.0 | 30 |
| Run | CS | PS | TS | SV(cm3/g) | Spread ratio | Expansion Factor | Overall Acceptability |
|---|---|---|---|---|---|---|---|
| 1 | 20 | 6 | 4 | 1.86 ± 0.881 a | 6.84 ± 1.527 ab | 1.01 ± 0.011 a | 5.30 ± 0.469 cde |
| 2 | 12 | 12 | 6 | 1.84 ± 0.127 a | 6.70 ± 0.732 b | 1.01 ± 0.010 a | 5.45 ± 0.723 cde |
| 3 | 20 | 10 | 0 | 1.93 ± 0.270 a | 7.37 ± 0.866 ab | 0.99 ± 0.012 a | 5.80 ± 0.469 bcd |
| 4 | 17.6 | 9.2 | 3.2 | 1.92 ± 0.062 a | 6.44 ± 0.763 b | 1.02 ± 0.021 a | 4.70 ± 0.706 e |
| 5 | 18 | 6 | 6 | 1.99 ± 0.144 a | 7.73 ± 0.866 a | 1.05 ± 0.023 a | 7.45 ± 0.574 a |
| 6 | 15 | 9 | 6 | 1.96 ± 0.0992 a | 6.81 ± 0.577 ab | 1.01 ± 0.006 a | 5.40 ± 0.505 cde |
| 7 | 15 | 12 | 3 | 1.82 ± 0.057 a | 6.51 ± 0.010 b | 1.01 ± 0.030 a | 5.00 ± 0.416 de |
| 8 | 19 | 6 | 5 | 1.95 ± 0.119 a | 7.11 ± 1.577 ab | 1.02 ± 0.005 a | 5.80 ± 0.557 bcd |
| 9 | 20 | 8 | 2 | 1.89 ± 0.121 a | 6.52 ± 1.443 b | 1.00 ± 0.029 a | 5.9 ± 1.021 bcd |
| 10 | 19 | 11 | 0 | 1.92 ± 0.103 a | 7.05 ± 2.598 ab | 0.97 ± 0.017 a | 6.05 ± 0.521 bc |
| 11 | 18 | 12 | 0 | 1.94 ± 0.034 a | 6.90 ± 2.309 ab | 0.99 ± 0.021 a | 6.55 ± 0.667 ab |
| Predicted Parameters | Observed Parameters | Individual Desirability (D) | |
|---|---|---|---|
| Specific volume (cm3/g) | 1.961 a | 1.989 a | 0.8347 |
| Spread factor | 7.325 a | 7.803 a | 0.6954 |
| Expansion ratio | 1.033 a | 1.038 a | 0.7873 |
| Overall acceptability | 6.466 a | 6.45 a | 0.6424 |
| Dough Sample | K (Pa·sn) | n | r |
|---|---|---|---|
| Corn EGFD | 156 ± 25 a | 0.11 ± 0.117 a | 0.97 |
| Chickpea EGFD | 328.63 ± 122 b | 0.097 ± 0.040 b | 0.99 |
| Acorn EGFD | 123.47 ± 38 a | 0.082 ± 0.028 a | 0.98 |
| Chestnut EGFD | 192.6 ± 35 ab | 0.049 ± 0.028 ab | 0.98 |
| Soy EGFD | 216.33 ± 84 ab | 0.089 ± 0.022 a | 0.99 |
| Millet EGFD | 194.76 ± 94 ab | 0.042 ± 0.027 ab | 0.98 |
| Quinoa EGFD | 119.31 ± 34 a | 0.106 ± 0.072 a | 0.98 |
| Cookies | Specific Volume (cm3/g) | Moisture Content (%) | Spread Ratio | Expansion Factor |
|---|---|---|---|---|
| Corn EGFC | 1.989 ± 0.084 c | 6.534 ± 0.294 b | 7.803 ± 0.167 g | 1.038 ± 0.025 a |
| Chickpea EGFC | 2.405 ± 0.033 a | 6.432 ± 0.387 b | 8.736 ± 0.488 f | 1.011 ± 0.009 d |
| Chestnut EGFC | 2.005 ± 0.08 bc | 6.432 ± 0.387 b | 11.404 ± 0.260 c | 1.006± 0.018 c |
| Soy EGFC | 2.428 ± 0.057 a | 10.323 ± 0.534 a | 12.250 ± 0.606 b | 0.979 ± 0.018 f |
| Acorn EGFC | 1.951 ± 0.078 bc | 6.8 ± 1.385 b | 10.667 ± 0.593 c | 1.025 ± 0.018 c |
| Quinoa EGFC | 2.081 ± 0.032 b | 5.570 ± 0.028 b | 12.588 ± 0.539 a | 1.025 ± 0.049 c |
| Millet EGFC | 1.934 ± 0.033 c | 6.551 ± 0.462 b | 10.764 ± 0.764 d | 1.032 ± 0.016 a |
| Samples | L* | a* | b* |
|---|---|---|---|
| Corn EGFC | 36.2 ± 1.72 a | 0.7 ± 0.88 e | 23 ± 3.47 cd |
| Chickpea EGFC | 39.57 ± 3.58 a | 8.075 ± 2.40 b | 34.25 ± 1.09 a |
| Soy EGFC | 34.2 ± 1.52 a | 1.36 ± 0.622 d | 24.98 ± 3.00 bc |
| Chestnut EGFC | 33.8 ± 1.86 a | 11.62 ± 0.85 a | 27.02 ± 1.60 b |
| Acorn EGFC | 24.78 ± 0.83 b | 6.04 ± 0.270 c | 20.02 ± 1.016 de |
| Millet EGFC | 25.28 ± 1.78 b | 1.38 ± 0.95 d | 18.38 ± 2.82 e |
| Quinoa EGFC | 35.18 ± 10.33 a | 0.86 ± 0.57 de | 23.14 ± 2.04 cd |
| Cookies Simples | Taste | Aroma | Texture | Appearance | Overall Acceptability |
|---|---|---|---|---|---|
| Corn EGFC | 5.66 ± 1.821 ab | 6.00 ± 2.601 a | 6.50 ± 1.892 ab | 5.79 ± 2.100 ab | 6.45 ± 2.161 abc |
| Chickpea EGFC | 6.91 ± 2.546 b | 6.45 ± 1.637 a | 6.73 ± 1.997 b | 6.09 ± 1.843 ab | 7.09 ± 1.673 c |
| Chestenut EGFC | 6.02 ± 2.182 ab | 5.64 ± 2.909 a | 6.48 ± 1.983 ab | 5.52 ± 1.927 a | 6.21 ± 2.028 abc |
| Soy EGFC | 5.17 ± 1.581 a | 5.40 ± 2.701 a | 6.43 ± 1.673 ab | 6.10 ± 1.788 ab | 5.86 ± 1.303 a |
| Acorn EGFC | 5.2 ± 2.075 a | 5.32 ± 1.214 a | 5.36 ± 1.215 a | 5.84 ± 1.548 ab | 5.68 ± 1.601 a |
| Quinoa EGFC | 7.06 ± 1.822 b | 6.18 ± 2.103 a | 6.18 ± 1.706 ab | 6.56 ± 1.869 b | 6.84 ± 1.825 bc |
| Millet EGFC | 5.38 ± 1.826 a | 6.00 ± 2.280 a | 6.04 ± 1.758 ab | 5.40 ± 1.909 a | 6.02 ± 1.386 ab |
| TPC (mg GAE/g dw | TFC (mg QE/g dw) | TAC (mg AAE/g dw) | DPPH EC50 (mg dw/mL) | ABTS EC50 (mg dw/mL) | REDA0.5 (mg dw/mL) | |
|---|---|---|---|---|---|---|
| Corn EGFC | 2.09 ± 0.015 cde | 0.15 ± 0.01 e | 0.88 ± 0.136 c | 13.69 ± 0.283 c | 9.22 ± 0.040 d | 16.65 ± 0.266 c |
| Chickpea EGFC | 1.86 ± 0.078 e | 0.17 ± 0.011 de | 0.54 ± 0.005 d | 19.93 ± 0.100 b | 17.26 ± 0.478 a | 26.08 ± 0.412 ab |
| Soy EGFC | 2.49 ± 0.035 a | 0.20 ± 0.005 bc | 1.59 ± 0.211 b | 9.15 ± 0.313 d | 2.87 ± 0.055 f | 16.79 ± 0.194 c |
| chestnut EGFC | 2.32 ± 0.064 bc | 0.24 ± 0.015 a | 0.63 ± 0.043 cd | 14.18 ± 0.405 c | 4.26 ± 0.032 e | 23.15 ± 0.571 b |
| Quinoa EGFC | 2.24 ± 0.239 bcd | 0.21 ± 0.005 b | 0.41 ± 0.005 de | 20 ± 0.170 b | 10.85 ± 0.030 c | 29.85 ± 2.815 a |
| Millet EGFC | 1.95 ± 0.083 de | 0.11 ± 0.005 f | 0.26 ± 0.005 e | 30.05 ± 0.07 a | 13.78 ± 0.148 b | 25.87 ± 2.327 b |
| Acorn EGFC | 2.86 ± 0.072 a | 0.18 ± 0.011 cd | 2.08 ± 0.005 a | 7.83 ± 0.261 e | 2.42 ± 0.043 f | 17.14 ± 0.306 c |
Disclaimer/Publisher’s Note: The statements, opinions and data contained in all publications are solely those of the individual author(s) and contributor(s) and not of MDPI and/or the editor(s). MDPI and/or the editor(s) disclaim responsibility for any injury to people or property resulting from any ideas, methods, instructions or products referred to in the content. |
© 2024 by the authors. Licensee MDPI, Basel, Switzerland. This article is an open access article distributed under the terms and conditions of the Creative Commons Attribution (CC BY) license (https://creativecommons.org/licenses/by/4.0/).
Share and Cite
Ferradji, S.; Bourekoua, H.; Djeghim, F.; Ayad, R.; Krajewska, M.; Różyło, R. Development of a Novel Gluten-Free Cookie Premix Enriched with Natural Flours Using an Extreme Vertices Design: Physical, Sensory, Rheological, and Antioxidant Characteristics. Appl. Sci. 2024, 14, 10391. https://doi.org/10.3390/app142210391
Ferradji S, Bourekoua H, Djeghim F, Ayad R, Krajewska M, Różyło R. Development of a Novel Gluten-Free Cookie Premix Enriched with Natural Flours Using an Extreme Vertices Design: Physical, Sensory, Rheological, and Antioxidant Characteristics. Applied Sciences. 2024; 14(22):10391. https://doi.org/10.3390/app142210391
Chicago/Turabian StyleFerradji, Sabrina, Hayat Bourekoua, Fairouz Djeghim, Radia Ayad, Marta Krajewska, and Renata Różyło. 2024. "Development of a Novel Gluten-Free Cookie Premix Enriched with Natural Flours Using an Extreme Vertices Design: Physical, Sensory, Rheological, and Antioxidant Characteristics" Applied Sciences 14, no. 22: 10391. https://doi.org/10.3390/app142210391
APA StyleFerradji, S., Bourekoua, H., Djeghim, F., Ayad, R., Krajewska, M., & Różyło, R. (2024). Development of a Novel Gluten-Free Cookie Premix Enriched with Natural Flours Using an Extreme Vertices Design: Physical, Sensory, Rheological, and Antioxidant Characteristics. Applied Sciences, 14(22), 10391. https://doi.org/10.3390/app142210391

