Abstract
Ammonia volatilization, which is one of the main ways that nitrogen gas is released from farmland, restricts promotion of the utilization of nitrogen fertilizer and contains some potential environmental risks. To investigate the general pattern of ammonia volatilization under actual paddy field conditions, we designed an indoor simulated system to measure the amount of ammonia volatilized within a single time period by controlling the pH and concentration of NH4+ (c(NH4+)) in the solution, the gas–liquid interfacial gas velocity, and the ambient temperature. In this paper, the influence of these factors, the synergistic effect on ammonia volatilization, and their quantitative relationship are discussed. We used solutions of ammonium bicarbonate (SAB) and diammonium phosphate (SDP) for the simulation experiments, and the results showed that there is a significant linear relationship between the amount of ammonia volatilization and c(NH4+). The correlation coefficients were between 0.9214 to 0.9897 and 0.8932 to 0.9904 for SAB and SDP, respectively. The quantitative relationship between temperature and pH and the influence factor (CIF) and the initial ammonia volatilization fluxes (IAVFs) was analyzed by the least-squares method, and the degrees of polynomial were one and two, respectively. The regression equations of the SAB and SDP among the amount of ammonia volatilization with the concentration of ammonium nitrogen, the temperature, and the pH were calculated by using MATLAB. Considering the effects of temperature and pH on the CIF and IAVFs under individual conditions, we used a binary cubic model to fit the relationship between temperature and pH to the CIF and IAVFs. The simulation results showed that the correlation coefficients between the CIF and IAVFs for SAB were 0.9980 and 0.9680, respectively, and the correlation coefficients were 0.9946 and 0.9708 for SDP, respectively. The quantitative equation took into account the coefficient of determination and degrees of polynomial, and the ammonia volatilization fluxes can be calculated by using these equations.
1. Introduction
The application of nitrogen fertilizer has effectively promoted agricultural production, but it has also brought many environmental and ecological problems with increasing fertilizer use [,,]. Currently, the nitrogen fertilizer consumption of China accounts for about 30% of the world’s total consumption []. For a long time, the academic community has been committed to researching the mechanisms of nitrogen emissions in farmland [,,] to improve the utilization rate of nitrogen fertilizer and control fertilizer dosing amounts to achieve a balance between environmental benefits and economic yield.
Studies show that in rice production, the loss of nitrogen fertilizer accounts for 40–50% of the input amount [], ammonia volatilization is one of the main methods of nitrogen gaseous release in farmland, and it is difficult to improve the utilization rate of nitrogen fertilizer. As the ammonia volatilization amount is difficult to measure accurately, the ratio of gaseous nitrogen losses found in earlier research accounted for 9 to 60 percent of the nitrogen dosage [,] and a considerable proportion of total nitrogen loss [,,]. Excessive chemical nitrogenous fertilizer was being applied in the field to heighten field production, which caused a great waste of fertilizer and energy, and also brought environmental and ecological risks. A large amount of ammonia evaporates into the atmosphere, causing air pollution and posing a threat to human health. When reacting with other components in the atmosphere, it forms acid rain, which returns to the land through precipitation and other pathways, leading to negative effects on terrestrial ecosystems, such as eutrophication of water and soil acidification []. Meanwhile, ammonia generates nitrogen oxides, which are greenhouse gases, through oxidation reactions, causing exacerbation of the greenhouse effect and affecting global climate change. Therefore, in the major rice producing areas arounds the world, it is urgent to reduce ammonia volatilization and increase crop yields to achieve higher yields, higher efficiency, and lower emissions in agriculture []. To reduce nitrogen gas emissions, some new fertilizers and chemical additive [,,] are being applied in the field, and fertilization modes [,], water management [,], and crop management [] are attracting extensive attention. Chakraborty et al. [] showed that a urea and urease inhibitor can reduce the ammonia volatilization amount by 37% to 40%.
The ventilation method is a common method of ammonia volatilization determination []. It can simulate well the actual conditions of the field and can also well describe the dynamic effect of ammonia volatilization under different conditions. A vacuum pump is used as a power source, which can bring the NH3 of a closed vessel to an absorption bottle equipped with an absorption liquid of boric acid (2% w/w). And then, titration measurement is used to calculate ammonia volatilization []. Due to the limited absorption capacity of an acid absorption solution, this method cannot achieve all-weather monitoring, so samples are just taken for the fixation time to estimate the ammonia volatilization amount of a certain period. In earlier research, we took samples in the time periods of 9:00~11:00 AM and 14:00~16:00 PM to calculate the ammonia volatilization amount over 24 h. However, such simulation is flawed in relation to the ammonia nitrogen concentration, temperature, and pH in surface water of a paddy field, which changes continuously during the whole day, and these three factors have an important influence on the ammonia volatilization rate of paddy fields [].
In earlier research, the effect of the ammonia nitrogen concentration, temperature, and pH on the ammonia volatilization rate was discussed separately [,].
Some researchers have conducted some research on the coupling factors of ammonia volatilization of solid waste [], but a quantitative relationship between these factors on agricultural production has not been found.
In this study, the main objective was to evaluate the interaction effects between ammonia nitrogen concentrations, temperature, and pH on ammonia volatilization and to obtain the quantitative relationship between these three factors. In this paper, we determine the ammonia volatilization fluxes of different fertilizer solutions in laboratory conditions. This method ignores the effects of microorganism and soil environmental factors on ammonia volatilization, and it just characterizes the synergy of the three factors accurately.
Finally, we obtained the coupling equation between these factors of ammonia volatilization. According to the establishment of the quantitative relationship between the three factors, we could calculate the amount of ammonia volatilization accurately through online ammonium nitrogen concentration, temperature, and pH by using this equation. Therefore, this research has very important significance for predicting and controlling ammonia volatilization fluxes.
2. Materials and Methods
2.1. Experimental Materials
The ammonium bicarbonate and diammonium phosphate used for the fertilizer solution preparation were analytical reagent (AR) grade; boric acid (AR) was used as the absorption solution for ammonia; 0.01 mol·L−1 hydrochloric acid (Guaranteed Reagent, GR) was used as the titration standard solution; hydrochloric acid (AR) and sodium hydroxide (AR) were used to adjust the pH of the solution. All the reagents mentioned above were provided by Sinopharm Chemical Reagent Co., Ltd. (Shanghai, China). All solutions were prepared in ultrapure water (18.2 MΩ) obtained from a Barnstead Nanopure UF water system (Thermo Scientific, Waltham, MA, USA).
The experimental apparatus is shown in Scheme 1. A cuboid (20 cm × 10 cm × 10 cm) made of organic glass material was used as the ammonia volatilization chamber. There were two circular holes (diameters of 4 cm and 1 cm) on top of the chamber, which were required for the paths of gas inflow and outflow. The flowed gas was supplied by a 2XE-0.5 vane vacuum pump (Shanghai Huxi, Shanghai, China), and the flow rate was controlled by a LZB-6WB adjustable gas flowmeter (Chengfeng Instrument, Shanghai, China). The experiment was conducted in a room of 15 m2, the indoor temperature was adjusted with air-conditioning, and the room and solution temperature were confirmed with a mercury thermometer. The pH of the fertilizer solution was determined using FE20 (METTLER-TOLEDO International Inc., Suzhou, China).

Scheme 1.
Experimental device for ammonia volatilization absorption.
2.2. Experiment of Ammonia Volatilization
The ammonium bicarbonate (SAB) and diammonium phosphate solutions (SDP) in different concentrations were compounded with ultrapure water, which was used to simulate paddy field water in different concentrations. In order to ensure the consistency of the test temperature, the ultrapure water used for the experiment was kept constant for 4 h beforehand. According to our on-site monitoring in the paddy field, the ammonium nitrogen content in the field surface water is less than 100 mg·L−1 for the majority of the time time, except for a very short period of time after fertilization, and the temperature of the surface water of rice fields (not the air temperature) is usually between 15 °C and 30 °C in the rice growth period. So, this experiment was designed to use six ammonium (NH4+) concentration levels (10 mg·L−1, 20 mg·L−1, 40 mg·L−1, 60 mg·L−1, 80 mg·L−1, and 100 mg·L−1), four temperature levels (15 °C, 20 °C, 25 °C, and 30 °C), and four pH levels (pH = 7.0, 7.5, 8.0, and 8.5).
The effluent gas was imported into two gas absorption bottles, which were filled with boric acid solution with a concentration of 2% (w/w). In the experimental process, we used a vacuum pump for 1 h, and then mixed the two absorption bottles with a boric acid solution after the vacuum pump was powered off. The boric acid solution was titrated with 0.01 mol·L−1 hydrochloric acid to calculate the ammonia volatilization amount in 1 h, each concentration, temperature, and pH condition of the experiment was processed three times, and the average value was taken as the final result.
The ammonia volatilization amount under each experimental condition was tested three times to obtain the average and mean variation.
2.3. Experiment of Gas Flow Rate
To determine the ammonia volatilization under different gas flow rates, we set up an extreme condition that can be achieved in paddy fields. We injected fertilizer solutions with pH = 8.5 and c(NH4+) = 100 mg·L−1 into the ammonia volatilization chamber, and the room temperature was set to 30 °C. The space height of the gas chamber above the solution level was 0.5 cm.
Using an adjustable gas flowmeter to set different pumping rates (0.4, 0.8, 1.2, 1.6, 2.0, and 2.4 L·s−1), the ammonia gas volatilized from the solution was also absorbed by a boric acid solution. The experiments of each pumping rate were repeated three times, and the average value and average deviation were calculated to obtain the results. All these experiments were carried out at a room temperature of 30 °C.
2.4. pH Value of Fertilizer Solution
At room temperature (22 ± 2 °C), different fertilizer samples were accurately weighed and dissolved in ultrapure water, using FE20 to determine the pH value. And then, the pH of the solution was adjusted to match the set value using a hydrochloric acid (c(HCl) = 0.1 mol·L−1) and sodium hydroxide solution (c(NaOH) = 0.5 mol·L−1).
2.5. Data Analysis and Processing
All experiments were repeated three times, and the data were collated and summarized using Microsoft Excel 2013. The data analysis and equation fitting were performed using OriginPro 8.5.1 to determine significant differences according to Tukey, using one-way ANOVAs and Multiple Range Tests with a confidence level of 95.0%. The synergistic effects of temperature and pH on the concentration influence factor and initial ammonia volatilization fluxes were fitted using Matalab R2016a.
3. Results
3.1. Calculation of Gas Velocity in the Gas–Liquid Interface
Determination of the gas flow rate in the gas–liquid interface was the key point of this experiment. The closed air chamber is a rectangular chamber, and with a certain length (L), width (W), and height (H) from the liquid level to the gas chamber end, the sectional area (S) and volume (V) of this gas chamber can be determined by these constants:
Therefore, the average velocity of the gas flow in the gas chamber is
where u is the gas flow rate in the volatilization chamber (cm·s−1) and F is the gas flow meter in the pipeline reading from the gas flowmeter (cm3·s−1)
In Formula (2), we can see that u is the average gas flow rate in the volatilization chamber, and obviously, the gas flow rate above the water surface is uneven in the volatilization chamber. If u is used to describe the gas flow rate in the liquid surface, the height from the water surface to the top of the volatilization chamber must be small enough, and only in this way can we approximate the average gas flow rate in the volatilization chamber as the gas flow rate in the “gas–liquid” interface.
In this research, we conducted experiments with six different pumping rates. The results are shown in Figure 1. When the pumping rate was above 2.4 L·min−1 (equivalent to 40 cm3·s−1), continuing to increase the pumping rate did not significantly increase the amount of ammonia volatilization. This implies that when the gas velocity reaches a certain value, all the ammonia volatized from the system can be absorbed completely and quickly, and the gas flow rate is not the limiting step of the ammonia volatilization.

Figure 1.
The amount of ammonia volatilization of SAB and SDP with different pumping rates.
In this experiment, when the space height of the volatilization chamber above the solution level was unified to 0.5 cm, the width of the volatilization chamber was 5 cm, the volatility of the gas flowmeter was adjusted to 40 cm3·s−1 (H = 0.5 cm, W = 10 cm, F = 40 cm3·s−1), and all data were constant, the gas flow rate in the “gas–liquid” interface could be calculated using Formula (2):
Because the ammonia volatilization process is positively correlated to the pH, NH4+ concentration, and temperature, and the experimental factors we set in this pumping rate experiment were the maximal value, so setting the pumping rate to 2.4 L·min−1 and the corresponding gas flow rate to 0.08 m·s−1 in our subsequent experiments was appropriate.
3.2. Kinetics Study on Ammonia Volatilization
The NH4+-NH3 system reaction in liquid inside the “gas–liquid” interface is a complex kinetic process including a variety of factors [], and generally, the chemical balance in the solution directly related to ammonia volatilization is
NH4+ (liquid) <=> NH3 (liquid) <=> NH3 (gas).
The factors that can change the reaction of the chemical equilibrium can affect the ammonia volatilization amount directly.
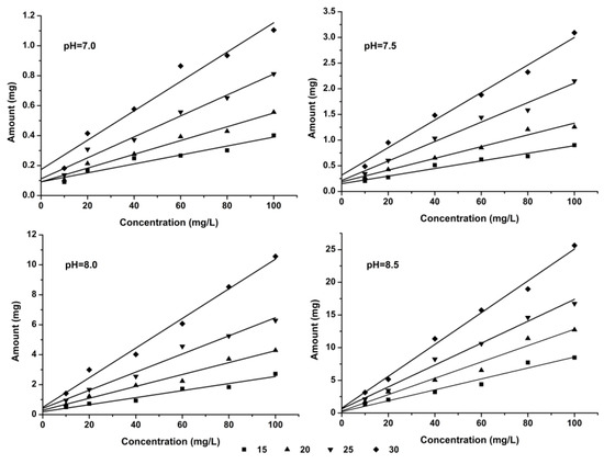
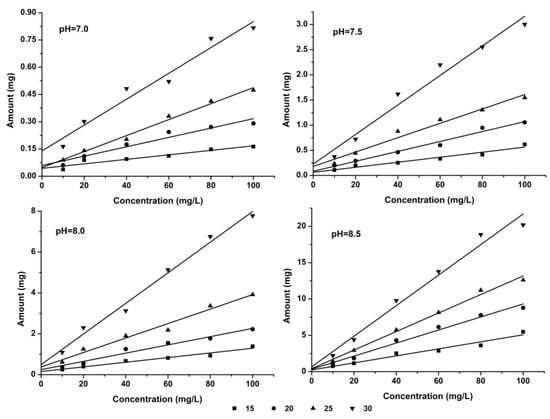
The relationship between ammonia volatilization fluxes (fluxes in 1 h) and ammonia concentration in a solution is shown in Figure 2 and Figure 3. In these figures, we can see that the ammonia volatilization fluxes and ammonia nitrogen concentration in a solution show a positive correlation. Under this experimental condition, two kinds of fertilizers showed a relatively good linear relationship; however, under the condition of the same temperature and pH, the ammonia volatilization of SDP was significantly lower than that of SAB. This result illustrates that the ammonia volatilization characteristics of different nitrogen sources also show provincial differences even with the same NH4+-N concentration.

Figure 2.
The fluxes of ammonia volatilization of SAB under different temperature and pH levels.

Figure 3.
The fluxes of ammonia volatilization of SDP under different temperature and pH levels.
The reaction of ammonium ion transformed into NH3 hydrate (NH3·H2O) can occur all the time in a fertilizer solution. This process is influenced by the temperature and pH condition of the water. However, ammonia volatilization, that is, the transformation of ammonia from the liquid phase into the gas phase, can only occur at the “gas–liquid” interface. When there is low pH and a low NH3 hydrate concentration, the concentrations of NH3 hydrate and ammonia nitrogen show a positive relation. And, in this condition, NH3 molecules desolating in the liquid does not reach over saturated condition in the “gas–liquid” interface, and the ammonia volatilization amount increases with the increasing ammonia nitrogen concentration. In a relatively short time (1 h), the ammonia volatizing from the “gas–liquid” interface comes completely from the volatility of the NH3 hydrate, without the diffusion of NH3 molecules between the “gas–liquid interface” and the liquid inside. In this experiment, the ammonia volatilization amount in the liquid surface was studied in a specified pH, temperature, and ammonia nitrogen concentration. From the results, we can see that the values conform to the linear rule: when the ammonia nitrogen concentration is less than 100 mg·L−1, the reaction time is 1 h.
3.3. Equation Fitting of Ammonia Volatilization Fluxes
The ammonia volatilization fluxes (Y, mg) and ammonia nitrogen concentration (C, mg·L−1) in the solution were simulated with an equation of Y = aC + b; namely, the relationship between the ammonia volatilization fluxes and ammonia nitrogen concentration and the coefficients of a, b and correlation coefficient R2 are listed in Table 1.

Table 1.
The regression coefficients between ammonia volatilization fluxes and ammonia concentration (SAB and SDP).
In the simulated rate equation, a represents the slope of the rate equation; namely, the concentration coefficient of the ammonia volatilization fluxes in the given pH, temperature and concentration, which is called the concentration influence factor (CIF); b represents the intercept of the rate equation, namely the ammonia volatilization quantity when the ammonia nitrogen concentration is 0 mg·L−1, which is called the initial ammonia volatilization fluxes (IAVFs).
From the data in Table 1, we can see that in the same pH and temperature conditions, the value of the CIF of ammonium bicarbonate as the nitrogen source is higher than that of SDP as the nitrogen source; a greater slope value shows SAB volatile ammonia more easily. The double hydrolytic reaction plays an important role in the dissolution process of SAB and SDP, because the ammonium group, bicarbonate radical, and hydrogen phosphate are weak bases or weak acids. The aqueous solution of these two fertilizers is alkaline, but carbonic acid is weaker than phosphoric acid, which are all produced by the hydrolytic reaction. The alkaline of SAB is always stronger than that of SDP, which is more conducive to the volatilization process. This implies that different fertilizers show different characteristics of ammonia volatilization.
Theoretically, there should be no ammonia being volatilized when the ammonia nitrogen concentration is 0 mg·L−1, because ammonia nitrogen is the nitrogen source of the ammonia volatilization process. However, in our simulations, a special phenomenon was found; that is, the values of the IAVFs (b) greatly increased with increasing temperature and pH. This phenomenon can be considered: that the value of b represents the trend of ammonia volatilization under the specified temperature and pH; in other words, the concentration of ammonia nitrogen increases by the same infinitesimal amount, and the higher the temperature and the higher the pH, the more ammonia is being volatilized.
In addition, the experiment took different nitrogen fertilizers as the ammonia nitrogen source; the correlation coefficients of the ammonia volatilization fluxes and ammonia nitrogen concentration were higher than 0.9, except for SDP with a pH of 7.0 and a temperature of 15 °C. Therefore, ammonia volatilization fluxes and ammonia nitrogen concentration show a positive relation, which belongs to the zero-order reaction in kinetics.
There were differences between the coefficient of determination (R2) values of the two, which shows a little variability between volatilization fluxes and concentration.
3.4. Effect of Temperature on Ammonia Volatilization
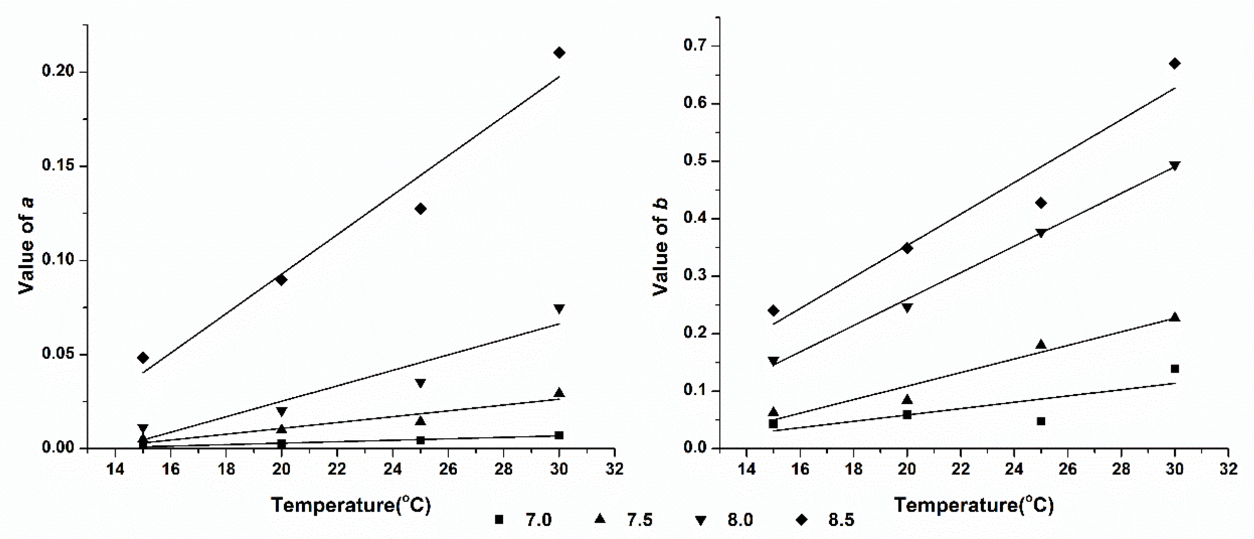
As can be seen from Table 1, in the same pH condition, the value of the CIF and IAVFs increased as the temperature increased. To investigate the quantified correlation of temperature and a, b, we used linear equation models to quantify the correlation between temperature and the concentration influence factor and the initial ammonia volatilization fluxes. The results show that the binary equation model can well quantify the relationship between them. The fitting curves are shown in Figure 4 and Figure 5.

Figure 4.
The fitting curves of CIF and IAVFs with temperature (SAB).

Figure 5.
The fitting curves of CIF and IAVFs with temperature (SDP).
As can be seen from Table 2, the coefficient α is the influencing factor of temperature on CIF, which can be considered to be the effect of temperature on the ammonia volatilization concentration influence factor, referred to as the temperature coefficient of the concentration influence factor. The coefficient γ is the influencing extent of temperature on the IAVFs, which can be considered to be the effect of temperature on the initial ammonia volatilization, namely the temperature coefficient of the initial ammonia volatilization quantity. The higher the value of α and γ, the greater the contribution of temperature to the CIF and IAVFs.

Table 2.
The regression equations between temperature and the values of a and b. (a = αT + β, b = γT + δ).
The results show that there was no significant difference in the value of α under the same pH condition. This indicates that temperature is not the main factor influencing the ammonia volatilization of different fertilizers. The possible reason for this phenomenon will be discussed in the following section.
3.5. Effect of pH on Ammonia Volatilization
Comparing the data in Table 1, we find that a and b in the linear equation of ammonia volatilization (Y) and ammonium concentration (C) after ammonium bicarbonate and diammonium phosphate treatment both increased with the increase of pH when under the condition of the same temperature. This indicates that a and b are related to the pH of the solution. We used a binary quadratic equation model to fit the correlation between CIF and pH at the same temperature, while we used a binary equation model to fit their correlation with the IAVFs, and the results are shown in Table 3. As shown in Table 3, the coefficient of determination (R2) of the CIF, IVAFs, and pH were all higher than 0.9, except for ammonium bicarbonate treated at 15 °C, which indicates that these equations can well expound the relationships between them.

Table 3.
The regression equations between pH and the values of a and b. (a = εpH2 + ζpH + η, b = θpH + ι).
From Table 3, we find that the apex of the fitting equation of the CIF value was concentrated between pH 7.1 and 7.3, which means that the value of the CIF increases rapidly with the increase of pH when the solution is alkaline. This indicates that the effect of pH is significantly greater than that of temperature on ammonia volatilization. Further analysis showed that the value of ε increases gradually with increasing temperature, which indicates that the changing rate of ΔpH/Δa increases rapidly as the temperature increases.
From the fitting equation of the IVAFs value, we found that when the ambient temperature was low (15 °C and 20 °C), the coefficient η of SAB, which is the effect strength of pH on the IVAFs, was lower than that of SDP. When the temperature rose to 25 °C and 30 °C, the values of η of these two fertilizer solutions were contrary to the values under a low temperature. These results show that the pH plays an important role in the ammonia volatilization trend of SDP in a low ambient temperature. However, the impact of SAB is even greater at a high temperature.
4. Discussion
4.1. Effect of Temperature and pH on Volatilization Process
The process of ammonia volatilization from ammonium ion in solution can be divided into
NH4+(liquid) <=> NH3(liquid) <=> NH3(gas).
There is a dynamic chemical equilibrium process in the solution:
NH4+ + OH− <=> NH3·H2O <=> NH3(liquid) + H2O
The chemical equilibrium constant (Kc) of this process is a constant for the equilibrium concentration of various ions in the solution system. In this solution, the Kc is related to ammonium nitrogen, hydroxyl concentration, and temperature. Obviously, different fertilizers, ammonium bicarbonate or diammonium phosphate, will not affect the concentration of all ions in this chemical equilibrium, so it will not change the chemical equilibrium. This can explain the phenomenon that the values of α between different fertilizers at the same temperature are almost the same.
On the other hand, temperature will affect the process of ammonia molecules from liquid to gas. Ammonia molecules close to the liquid–gas interface break free from the shackles of the liquid molecules by molecule motion and finally escape into the air. As the temperature rises, the movement of ammonia molecules in the solution becomes more intense; meanwhile, the chemical equilibrium moves toward generating ammonia molecules, which leads to the phenomenon that the CIF value increases as the temperature increases.
In contrast, the pH value plays an important role in this chemical equilibrium. The increasing hydroxyl concentration leads the chemical equilibrium to shift toward generating ammonia molecules, which is the source of ammonia volatilization. Theoretically, we know that when the pH value increases by one unit, the concentration of hydroxyl is increased by an order of magnitude. From the chemical equilibrium constant expression, the concentration of ammonia molecules is increased by the hydroxyl because the Kc is constant in the same temperature. However, in this study, we found that the amount of ammonia that volatilized increased rapidly when the pH value increased by one unit, but it did not reach as much as 10 times, which may be due to the restraints of other ions on the ammonia molecules in the solution.
4.2. Synergistic Effect of Temperature and pH on the Concentration Influence Factor and Initial Ammonia Volatilization Fluxes
From the above analysis, we can see that the CIF and IAVFs, which are the coefficients in the linear equation of the ammonia volatilization rate and concentration, all showed a certain quantitative relationship with temperature and pH. The effects of temperature and pH on the CIF and IAVFs have a superposition effect, so it is not comprehensive to consider the effects of temperature or pH on the ammonia volatilization amount.
In order to fully consider the effects of temperature and pH on a and b, binary, binary quadratic, and binary cubic equation models were used to quantify the CIF (a) and IAVFs (b) of SAB and SDP using MATLAB R2016a. These equations are shown in Table 4 and Table 5.

Table 4.
Fitting equations of the quantitative relationship between temperature, pH, and the CIF (a).

Table 5.
Fitting equations of the quantitative relationship between temperature, pH, and the IAVFs (b).
In accordance with previous research, we found that temperature and pH showed a superposition effect on the CIF and IAVFs. Meanwhile, the effect of temperature and pH on the CIF should be expressed as a binary cubic correlation, and their effect on the IAVFs should be binary quadratic correlated. Considering the results of the coefficient determination, as shown in Table 4 and Table 5, a binary cubic model is suitable to express the quantitative relationship between temperature, pH, and CIF, and a binary quadratic model is suitable to express the quantitative relationship of temperature and pH on the IAVFs.
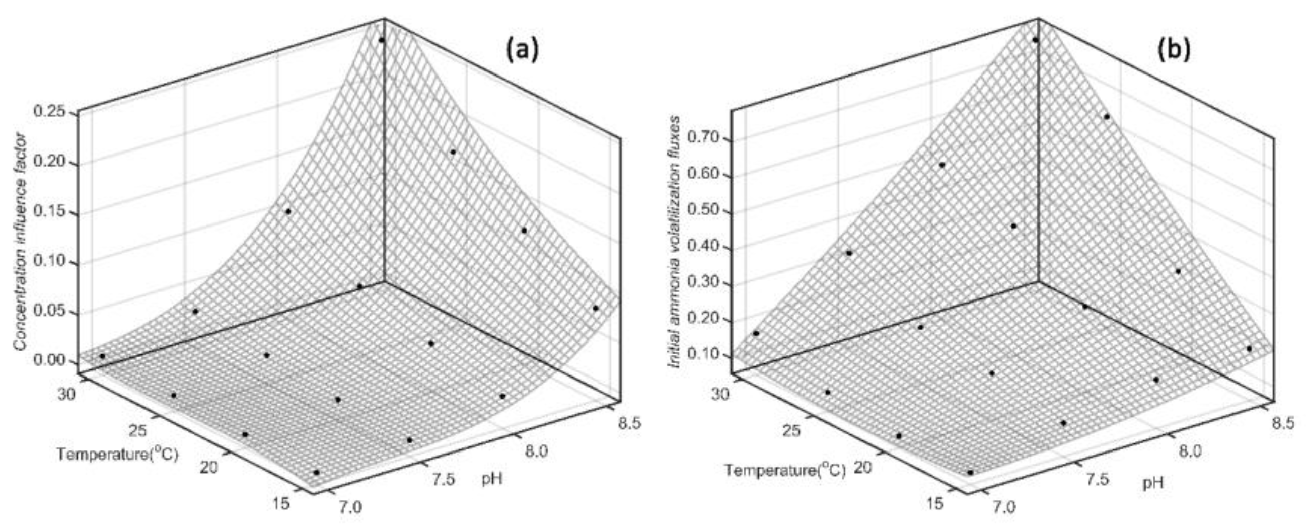
Simultaneously, according to the 3D plot drawing using MATLAB R2016a, we found that the CIF of SAB (Figure 6) and SDP (Figure 7) showed a fast and non-linear tendency as the pH value increased. And, the change of ΔpH/Δa increased rapidly as the pH increased, which shows consistency with previous projections. Otherwise, the effect of temperature on CIF exhibited a rapid increase with an increasing pH, and the influence of temperature on CIF was less than that of the pH.

Figure 6.
The 3D fitting curve of temperature and pH on the (a) CIF and (b) IAVFs (SAB).

Figure 7.
The 3D fitting curve of temperature and pH on the (a) CIF and (b) IAVFs (SDP).
From the fitting results of the effects of temperature and pH on the IAVFs using a binary quadratic model, we found that the fitting curve was more linear (Figure 6b and Figure 7b). This result indicates that the effect of pH and temperature on the IAVFs is simply superposition, and there is no significant mutual promotion effect.
4.3. Synergistic Effect of Ammonia Volatilization Rate Among Concentration, Temperature, and pH
From the specific fitting equation model selected in Table 4 and Table 5, we found that the coefficient of the CIF and IAVFs with temperature and pH was greater than 0.95, which reached a level of significance. This result indicates that the fitting equation is accurate, and also confirms that the temperature–pH superposition of the ammonia volatilization process exists. Coupled with the concentration factor, the quantitative coupling relationship of ammonia volatilization and ammonia concentration, temperature, and pH can be written as follows:
Ammonium bicarbonate:
Y = (−20.01 + 7.513pH + 0.3245T − 0.9496pH2 − 0.07564p·T − 0.002611T2 + 0.0402pH3 + 0.004628pH2·T + 0.000236pH·T2 + 0.00001387T3)C + (3.80 − 0.7272pH − 0.1661T + 0.02993pH2 + 0.02249pH·T + 0.0002378T2)
Diammonium phosphate:
Y = (−35.71 + 13.35pH + 0.3913T − 1.676pH2 − 0.08671pH·T − 0.003744T2 + 0.07017pH3 + 0.005198pH2·T + 0.0002822pH·T2 + 0.00002617T3)C + (3.197 − 0.6862pH − 0.1311T + 0.03785pH2 + 0.01534pH·T + 0.000647T2)
Using Formulas (3) and (4), we can obtain the ammonia volatilization amount in one hour with different ammonia concentrations, different temperatures, and different pH conditions. In field experiments, we can estimate the ammonia volatilization rate (milligrams per hour) and only need to measure the water temperature, the ammonia concentration, and pH. Now, these parameters can be easily obtained through online monitoring devices. The cumulative ammonia volatilization amount over a period can be calculated by repeated sampling.
4.4. The Synergistic Effect of Different Ammonium Concentrations, Temperatures, and pH Values on Ammonia Volatilization
There are many research studies on the soil nitrogen transformation process at home and abroad, which mostly focus on individual factors, but often ignore the joint action between multiple impact factors. Actually, a comprehensive system analysis method should be adopted to study the influence factors of paddy ammonia volatilization because of its interconnectedness and to work on the whole transformation process. Therefore, the establishment of a mathematical model for a single factor is not enough, and a coupling mathematical model for a variety of key influence factors is necessary in quantitative research on ammonia volatilization in an actual ecological environment. According to combination research on the affecting factors of ammonia volatilization, a valuable and guiding index of adjusting crop growth and reasonable fertilization can be obtained.
The particle size, organic matter content, and cation exchange capacity (CEC) of soil affect its adsorption of NH4+, and a smaller clay particle size and higher organic matter content lead to a stronger ability of the soil to adsorb ammonium ions, which is more conducive to reducing ammonia volatilization. Duan [] found that the amount of ammonia volatilization showed a positive correlation with soil pH and a negative correlation with CEC. Soil clay mineral types, fertilization and cultivation methods [], and even microbial activity in the soil can affect the process of ammonia volatilization []. However, in our research, we ignored the influence of soil minerals and microbial processes and focused on the following chemical reaction processes:
NH4++OH− <=> NH3·H2O <=> NH3(liquid) + H2O.
When focusing on the chemical conversion process in paddy field water and the volatilization diffusion process at the gas–liquid interface, we found that the correlation between pH, temperature, c(NH4+), and ammonia volatilization amount became obvious. As the source of nitrogen in ammonia, the amount of ammonia volatilization is inevitably positively correlated with the concentration of ammonium ions. However, due to their different physical and chemical properties, various nitrogen fertilizers also have different ammonia volatilization intensities []. Temperature and pH show a significant promoting effect on ammonia volatilization in the paddy ecosystem. Temperature, as a promoting factor in most chemical reactions, also has a highly significant positive correlation with the amount of ammonia volatilization. As the temperature increases, the diffusion rates of NH3 and NH4+ increase. Under constant pH conditions, within the range of 5 °C to 35 °C, for every 10 °C rise in temperature, the proportion of NH3 in paddy water increases twice []. A high temperature can also reduce the solubility of NH3 in the liquid phase, promoting the release of ammonia into the atmosphere. On the other hand, in the liquid phase, ammonium ions with a positive charge can combine with the hydroxide ions, transform into hydrated ammonia, and evaporate in the form of ammonia gas in an alkaline environment. However, if the paddy water is acidic, ammonium ions cannot convert into hydrated ammonia, naturally inhibiting the volatilization of ammonia gas [].
In a field experiment, ammonia nitrogen concentration, temperature, and pH can be obtained conveniently through online monitoring instruments. The ammonia volatilization rate (milligrams per hour) under these conditions can be easily estimated using this formula, and the cumulative ammonia volatilization amount in a certain period can be calculated by adjusting the sampling frequency per hour. The quantitative relationship between pH, temperature, ammonium nitrogen concentration, and ammonia volatilization provides the possibility for quickly estimating the amount of ammonia volatilization.
5. Conclusions
In this paper, we constructed a mathematical model of temperature, pH, and ammonia nitrogen concentration with ammonia volatilization. The results show that the ammonia volatilization characteristics of different kinds of nitrogen fertilizer are divergent: ammonium bicarbonate more easily releases ammonia than diammonium phosphate. In this research, we found that the ammonia nitrogen concentration, temperature, and pH had obvious positive effects on ammonia volatilization; a fitting relation of ammonia volatilization treated with ammonium bicarbonate and diammonium phosphate with concentration, temperature, and pH was obtained.
1. Under the same pH conditions, both SAB and SDP exhibited an excellent positive correlation between the ammonia volatilization amount and ammonium nitrogen concentration. At different temperatures, for SAB, the CIF of the fitting equation between temperature and the amount of ammonia volatilization was between 0.0030 and 0.2434, and the R2 of the fitting equation was between 0.9214 and 0.9897. The coefficient CIF of SDP was between 0.0012 and 0.2103, and the R2 of the fitting equation was between 0.8932 and 0.9904.
2. The CIF and IAVFs are linearly correlated with temperature. As pH increases, temperature has an increasing effect on the CIF, with slopes of 0.0005 to 0.0105 (SAB) and 0.0004 to 0.0105 (SDP). The slopes of the IAVFs fitting equation for temperature are 0.0053 to 0.0397 (SAB) and 0.0055 to 0.0274 (SDP).
3. There is a quadratic correlation between the CIF and pH with ε > 0, which leads to a rapid increase in CIF with increasing pH. This is because pH is the negative logarithm of the concentration of H+ in the solution, so there is no linear correlation between the pH value and the H+ concentration. The IAVFs are linearly correlated with pH, and the slopes of the IAVFs fitting equation for pH are 0.0744 to 0.3814 (SAB) and 0.1366 to 0.3721 (SDP).
4. Considering that temperature and pH are linearly and quadratically correlated with the CIF, respectively, and that temperature and pH are linearly correlated with the IAVFs, a binary cubic model was used to fit the relationship between temperature and pH to the CIF and IAVFs. The simulation results show that the correlation coefficients between the CIF and IAVFs for SAB are 0.9980 and 0.9680, and the correlation coefficients are 0.9946 29 and 0.9708 for SDP.
Author Contributions
Conceptualization, J.X. and A.D.; methodology, J.X.; software, J.X.; validation, Y.C., T.Y. and J.L.; formal analysis, J.X.; investigation, J.X. and C.X.; resources, A.D.; data curation, Y.C. and T.Y.; writing—original draft preparation, J.X. and Y.C.; writing—review and editing, A.D.; supervision, J.X.; project administration, A.D.; funding acquisition, C.X. and A.D. All authors have read and agreed to the published version of the manuscript.
Funding
This research was funded by the National Natural Science Foundation of China, funding number: 22166019.
Institutional Review Board Statement
Not applicable.
Informed Consent Statement
Not applicable.
Data Availability Statement
Data are contained within the article.
Acknowledgments
The authors thank Lvheng Technology Co. Ltd. (Nanchang) for providing convenient reagent purchase and experimental customization.
Conflicts of Interest
The authors declare no conflicts of interest. The funders had no role in the design of the study, in the collection, analyses, or interpretation of data, in the writing of the manuscript, or in the decision to publish the results.
References
- Bhatnagar, A.; Hogland, W.; Marques, M.; Sillanpaa, M. An overview of the modification methods of activated carbon for its water treatment applications. Chem. Eng. J. 2013, 219, 499–511. [Google Scholar] [CrossRef]
- Cai, Z.; Wang, B.; Xu, M.; Zhang, H.; He, X.; Zhang, L.; Gao, S. Intensified soil acidification from chemical N fertilization and prevention by manure in an 18-year field experiment in the red soil of southern China. J. Soils Sediments 2015, 15, 260–270. [Google Scholar] [CrossRef]
- Egyir, M.; Luyima, D.; Park, S.J.; Lee, K.S.; Oh, T.K. Volatilisations of ammonia from the soils amended with modified and nitrogen-enriched biochars. Sci. Total Environ. 2022, 835, 155453. [Google Scholar] [CrossRef] [PubMed]
- Shan, L.; He, Y.; Chen, J.; Huang, Q.; Wang, H. Ammonia volatilization from a Chinese cabbage field under different nitrogen treatments in the Taihu Lake Basin, China. J. Environ. Sci. 2015, 38, 14–23. [Google Scholar] [CrossRef]
- Tsai, C.C.; Chang, Y.F. Nitrogen availability in biochar-amended soils with excessive compost application. Agronomy 2020, 10, 444. [Google Scholar] [CrossRef]
- Pan, B.; Lam, S.K.; Mosier, A.; Luo, Y.; Chen, D. Ammonia volatilization from synthetic fertilizers and its mitigation strategies: A global synthesis. Agric. Ecosyst. Environ. 2016, 232, 283–289. [Google Scholar] [CrossRef]
- Panday, D.; Mikha, M.M.; Collins, H.P.; Jin, V.L.; Kaiser, M.; Cooper, J.; Malakar, A.; Maharjan, B. Optimum rates of surface-applied coal char decreased soil ammonia volatilization loss. J. Environ. Qual. 2020, 49, 256–267. [Google Scholar] [CrossRef]
- Zhu, Z.L. Research on soil nitrogen in China. Acta Pedol. Sin. 2008, 45, 778–783. [Google Scholar]
- Elias, E.; Okoth, P.F.; Stoorvogel, J.J.; Berecha, G.; Mellisse, B.T.; Mekuriaw, A.; Gebresamuel, G.; Selassie, Y.G.; Biratu, G.K.; Smaling, E.M.A. Cereal yields in Ethiopia relate to soil properties and N and P fertilizers. Nutr. Cycl. Agroecosyst. 2023, 126, 279–292. [Google Scholar] [CrossRef]
- Sha, Z.; Li, Q.; Lv, T.; Misselbrook, T.; Liu, X. Response of ammonia volatilization to biochar addition: A meta-analysis. Sci. Total Environ. 2019, 655, 1387–1396. [Google Scholar] [CrossRef]
- Qi, S.; Ding, J.; Yang, S.; Jiang, Z.; Xu, Y. Impact of biochar application on ammonia volatilization from paddy fields under controlled irrigation. Sustainability 2022, 14, 1337. [Google Scholar] [CrossRef]
- Zhang, Y.; Luan, S.; Chen, L.; Shao, M. Estimating the volatilization of ammonia from synthetic nitrogenous fertilizers used in China. J. Environ. Manag. 2011, 92, 480–493. [Google Scholar] [CrossRef] [PubMed]
- Wang, H.Y.; Zhang, D.; Zhang, Y.T.; Zhai, L.M.; Yin, B.; Zhou, F.; Geng, Y.C.; Pan, J.T.; Luo, J.F.; Gu, B.J.; et al. Ammonia emissions from paddy fields are underestimated in China. Environ. Pollut. 2018, 235, 482–488. [Google Scholar] [CrossRef] [PubMed]
- Sommer, S.G.; Misselbrook, T.H. A review of ammonia emission measured using wind tunnels compared with micrometeorological techniques. Soil Use Manag. 2016, 32, 101–108. [Google Scholar] [CrossRef]
- Mandal, S.; Thangarajan, R.; Bolan, N.S.; Sarkar, B.; Khan, N.; Ok, Y.S.; Naidu, R. Biochar-induced concomitant decrease in ammonia volatilization and increase in nitrogen use efficiency by wheat. Chemosphere 2016, 142, 120–127. [Google Scholar] [CrossRef]
- Ni, K.; Pacholski, A.; Kage, H. Ammonia volatilization after application of urea to winter wheat over 3 years affected by novel urease and nitrification inhibitors. Agric. Ecosyst. Environ. 2014, 197, 184–194. [Google Scholar] [CrossRef]
- Li, Q.; Yang, A.; Wang, Z.; Roelcke, M.; Chen, X.; Zhang, F.; Pasda, G.; Zerulla, W.; Wissemeier, A.H.; Liu, X. Effect of a new urease inhibitor on ammonia volatilization and nitrogen utilization in wheat in north and northwest China. Field Crops Res. 2015, 175, 96–105. [Google Scholar] [CrossRef]
- Sun, X.; Zhong, T.; Zhang, L.; Zhang, K.; Wu, W. Reducing ammonia volatilization from paddy field with rice straw derived biochar. Sci. Total Environ. 2019, 660, 512–518. [Google Scholar] [CrossRef]
- Liu, T.Q.; Fan, D.J.; Zhang, X.X.; Chen, J.; Li, C.F.; Cao, C.G. Deep placement of nitrogen fertilizers reduces ammonia volatilization and increases nitrogen utilization efficiency in no-tillage paddy fields in central China. Field Crops Res. 2015, 184, 80–90. [Google Scholar] [CrossRef]
- Xu, J.; Peng, S.; Yang, S.; Wang, W. Ammonia volatilization losses from a rice paddy with different irrigation and nitrogen managements. Agric. Water Manag. 2012, 104, 184–192. [Google Scholar] [CrossRef]
- Amaral, V.; Ortega, T.; Romera, C.C.; Forja, J. Linkages between greenhouse gases (CO2, CH4, and N2O) and dissolved organic matter composition in a shallow estuary. Sci. Total Environ. 2021, 788, 147863. [Google Scholar] [CrossRef] [PubMed]
- Cao, Y.; Tian, Y.; Yin, B.; Zhu, Z. Assessment of ammonia volatilization from paddy fields under crop management practices aimed to increase grain yield and N efficiency. Field Crops Res. 2013, 147, 23–31. [Google Scholar] [CrossRef]
- Chakraborty, R.; Purakayastha, T.J.; Pendall, E.; Dey, S.; Jain, N.; Kumar, S. Nitrification and urease inhibitors mitigate global warming potential and ammonia volatilization from urea in rice-wheat system in India: A field to lab experiment. Sci. Total Environ. 2023, 898, 165479. [Google Scholar] [CrossRef] [PubMed]
- Moriyama, Y.; Sato, S. Effect of biochar application on suppression of ammonia volatilization from anaerobic digestion effluent mixed with soil as a nitrogen source. Wood Carbonization Res. Soc. 2020, 17, 8–16. [Google Scholar]
- Zhang, Z.; Xu, Z.; Song, X.; Zhang, B.; Li, G.; Hu, N.; Luo, W. Membrane processes for resource recovery from anaerobically digested livestock manure effluent: Opportunities and challenges. Curr. Pollut. Rep. 2020, 6, 123–136. [Google Scholar] [CrossRef]
- Bornø, M.L.; Müller-Stover, D.S.; Liu, F. Biochar modifies the content of primary metabolites in the rhizosphere of well-watered and drought-stressed Zea mays L. (maize). Biol. Fertil. Soils 2022, 58, 633–647. [Google Scholar] [CrossRef]
- Ding, Z.; Zhou, Z.; Lin, X.; Zhao, F.; Wang, B.; Lin, F.; Ge, Y.; Eissa, M.A. Biochar impacts on NH3-volatilization kinetics and growth of sweet basil (Ocimum basilicum L.) under saline conditions. Ind. Crops Prod. 2020, 157, 112903. [Google Scholar] [CrossRef]
- Liu, K.; Ran, Q.; Li, F.; Shaheen, S.M.; Wang, H.; Rinklebe, J.; Liu, C.; Fang, L. Carbon-based strategy enables sustainable remediation of paddy soils in harmony with carbon neutrality. Carbon Res. 2022, 1, 12. [Google Scholar] [CrossRef]
- Tao, W.; Ukwuani, A.T. Coupling thermal stripping and acid absorption for ammonia recovery from dairy manure: Ammonia volatilization kinetics and effects of temperature, pH and dissolved solids content. Chem. Eng. J. 2015, 280, 188–196. [Google Scholar] [CrossRef]
- Maqbool, T.; Ly, Q.V.; Asif, M.B.; Ng, H.Y.; Zhang, Z. Fate and role of fluorescence moieties in extracellular polymeric substances during biological wastewater treatment: A review. Sci. Total Environ. 2020, 718, 137291. [Google Scholar] [CrossRef]
- Duan, Z.H.; Xiao, H.L. Effects of soil properties on ammonia volatilization. Soil Sci. Plant Nutr. 2000, 46, 845–852. [Google Scholar]
- Li, N.; Yang, Y.; Wu, Y.; Liu, B.; Tao, L.; Zhan, Y.; Ni, X.; Yang, Y. Better performance of compound fertilizers than bulk-blend fertilizers on reducing ammonia emission and improving wheat productivity. Agric. Ecosyst. Environ. 2022, 335, 108018. [Google Scholar] [CrossRef]
- Sommer, S.G.; Schjoerring, J.K.; Denmead, O.T. Ammonia emission from mineral fertilizers and fertilized crops. In Advances in Agronomy; Academic Press: Salt Lake City, UT, USA, 2004; pp. 557–622. [Google Scholar]
- Khatun, A.; Sultana, H.; Zaman, M.A.U.; Pramanik, S.; Rahman, M.A. Urea deep placement in rice as an option for increasing nitrogen use efficiency. Open Access Libr. J. 2015, 2, 1–11. [Google Scholar] [CrossRef]
Disclaimer/Publisher’s Note: The statements, opinions and data contained in all publications are solely those of the individual author(s) and contributor(s) and not of MDPI and/or the editor(s). MDPI and/or the editor(s) disclaim responsibility for any injury to people or property resulting from any ideas, methods, instructions or products referred to in the content. |
© 2024 by the authors. Licensee MDPI, Basel, Switzerland. This article is an open access article distributed under the terms and conditions of the Creative Commons Attribution (CC BY) license (https://creativecommons.org/licenses/by/4.0/).