Enhancing Acceleration Capabilities in Professional Women’s Football Players: A Comparative Analysis of Game-Based Versus Resisted Sprint Trainings
Abstract
Featured Application
Abstract
1. Introduction
2. Materials and Methods
2.1. Subjects
2.2. Study Design and Procedures
2.3. Sprint Training
2.4. Sprint Performance Testing
2.5. External Load Monitoring
2.6. Statistical Analysis
3. Results
3.1. Sprint Performance
3.2. External Load Analysis
4. Discussion
4.1. Limitations
4.2. Future Research Directions
4.3. Practical Implications
5. Conclusions
Author Contributions
Funding
Institutional Review Board Statement
Informed Consent Statement
Data Availability Statement
Acknowledgments
Conflicts of Interest
References
- Bradley, P.; Scott, D. Physical analysis of the FIFA Women’s World Cup France 2019™. FIFA. 2019. Available online: https://digitalhub.fifa.com/m/4f40a98140d305e2/original/zijqly4oednqa5gffgaz-pdf.pdf (accessed on 8 June 2024).
- Allen, T.; Taberner, M.; Zhilkin, M.; Rhodes, D. Running more than before? The evolution of running load demands in the English Premier League. Int. J. Sports Sci. Coach. 2023, 19, 779–787. [Google Scholar] [CrossRef]
- Barnes, C.; Archer, D.T.; Hogg, B.; Bush, M.; Bradley, P.S. The evolution of physical and technical performance parameters in the english premier league. Int. J. Sports Med. 2014, 35, 1095–1100. [Google Scholar] [CrossRef] [PubMed]
- Castillo, D.; Pérez-González, B.; Raya-González, J.; Fernández-Luna, Á.; Burillo, P.; Lago-Rodríguez, Á. Selection and promotion processes are not associated by the relative age effect in an elite Spanish soccer academy. PLoS ONE 2019, 14, e0219945. [Google Scholar] [CrossRef] [PubMed]
- Dimundo, F.; Cole, M.; Blagrove, R.C.; McAuley, A.B.T.; Till, K.; Kelly, A.L. Talent Identification in an English Premiership Rugby Union Academy: Multidisciplinary Characteristics of Selected and Non-selected Male Under-15 Players. Front. Sports Act. Living 2021, 3, 688143. [Google Scholar] [CrossRef]
- Nassis, G.P.; Massey, A.; Jacobsen, P.; Brito, J.; Randers, M.B.; Castagna, C.; Mohr, M.; Krustrup, P. Elite football of 2030 will not be the same as that of 2020: Preparing players, coaches, and support staff for the evolution. Scand. J. Med. Sci. Sports 2020, 30, 962–964. [Google Scholar] [CrossRef]
- Faude, O.; Koch, T.; Meyer, T. Straight sprinting is the most frequent action in goal situations in professional football. J. Sports Sci. 2012, 30, 625–631. [Google Scholar] [CrossRef]
- Glaise, P.; Rogowski, I.; Samozino, P.; Morin, J.B.; Morel, B.; Martin, C. Opposition Skill Efficiency During Professional Rugby Union Official Games Is Related to Horizontal Force-Production Capacities in Sprinting. Int. J. Sports Physiol. Perform. 2023, 18, 918–926. [Google Scholar] [CrossRef]
- Heather, O.; Lander, P.; Rayner, R. Practice to pitch: The relationship between force-velocity profiles and match-day performance of semi-professional rugby union players. Front. Sports Act. Living 2023, 5, 1066767. [Google Scholar] [CrossRef]
- Martínez-Hernández, D.; Quinn, M.; Jones, P. Most common movements preceding goal scoring situations in female professional soccer. Sci. Med. Footb. 2023, 8, 260–268. [Google Scholar] [CrossRef]
- Haugen, T.A.; Breitschädel, F.; Seiler, S. Sprint mechanical properties in soccer players according to playing standard, position, age and sex. J. Sports Sci. 2020, 38, 1070–1076. [Google Scholar] [CrossRef]
- Jiménez-Reyes, P.; Samozino, P.; García-Ramos, A.; Cuadrado-Peñafiel, V.; Brughelli, M.; Morin, J.B. Relationship between vertical and horizontal force-velocity-power profiles in various sports and levels of practice. PeerJ 2018, 6, e5937. [Google Scholar] [CrossRef] [PubMed] [PubMed Central]
- Bolger, R.; Lyons, M.; Harrison, A.J.; Kenny, I.C. Sprinting performance and resistance-based training interventions: A systematic review. J. Strength. Cond. Res. 2015, 29, 1146–1156. [Google Scholar] [CrossRef] [PubMed]
- Nicholson, B.; Dinsdale, A.; Jones, B.; Till, K. The Training of Short Distance Sprint Performance in Football Code Athletes: A Systematic Review and Meta-Analysis. Sports Med. 2021, 51, 1179–1207. [Google Scholar] [CrossRef] [PubMed]
- Nicholson, B.; Dinsdale, A.; Jones, B.; Till, K. The Training of Medium- to Long-Distance Sprint Performance in Football Code Athletes: A Systematic Review and Meta-analysis. Sports Med. 2022, 52, 257–286. [Google Scholar] [CrossRef]
- Rumpf, M.C.; Lockie, R.G.; Cronin, J.B.; Jalilvand, F. Effect of Different Sprint Training Methods on Sprint Performance over Various Distances: A Brief Review. J. Strength Cond. Res. 2016, 30, 1767–1785. [Google Scholar] [CrossRef]
- Haugen, T. Sprint conditioning of elite soccer players: Worth the effort or let’s just buy faster players? Sport. Perform. Sci. Rep. 2017, 1, 1–2. [Google Scholar]
- Alcaraz, P.E.; Carlos-Vivas, J.; Oponjuru, B.O.; Martínez-Rodríguez, A. The Effectiveness of Resisted Sled Training (RST) for Sprint Performance: A Systematic Review and Meta-analysis. Sports Med. 2018, 48, 2143–2165. [Google Scholar] [CrossRef]
- Cross, M.R.; Lahti, J.; Brown, S.R.; Chedati, M.; Jimenez-Reyes, P.; Samozino, P.; Eriksrud, O.; Morin, J.B. Training at maximal power in resisted sprinting: Optimal load determination methodology and pilot results in team sport athletes. PLoS ONE 2018, 13, e0195477. Available online: https://pubmed.ncbi.nlm.nih.gov/29641589/ (accessed on 6 November 2023). [CrossRef]
- Lahti, J.; Jiménez-Reyes, P.; Cross, M.R.; Samozino, P.; Chassaing, P.; Simond-Cote, B.; Ahtiainen, J.P.; Morin, J.B. Individual Sprint Force-Velocity Profile Adaptations to In-Season Assisted and Resisted Velocity-Based Training in Professional Rugby. Sports 2020, 8, 74. Available online: https://pubmed.ncbi.nlm.nih.gov/32466235/ (accessed on 29 January 2024). [CrossRef]
- Morin, J.B.; Capelo-Ramirez, F.; Rodriguez-Pérez, M.A.; Cross, M.R.; Jimenez-Reyes, P. Individual Adaptation Kinetics Following Heavy Resisted Sprint Training. J. Strength Cond. Res. 2022, 36, 1158–1161. Available online: https://pubmed.ncbi.nlm.nih.gov/32058358/ (accessed on 29 January 2024). [CrossRef]
- Douchet, T.; Paizis, C.; Carling, C.; Cometti, C.; Babault, N. Typical weekly physical periodization in French academy soccer teams: A survey. Biol. Sport. 2023, 40, 731–740. [Google Scholar] [CrossRef] [PubMed]
- Dios-Álvarez, V.; de Castellano, J.; Padrón-Cabo, A.; Rey, E. Do small-sided games prepare players for the worst-case scenarios of match play in elite young soccer players? Biol. Sport 2024, 41, 95–106. [Google Scholar] [CrossRef] [PubMed]
- Martín-García, A.; Castellano, J.; Méndez Villanueva, A.; Gómez-Díaz, A.; Cos, F.; Casamichana, D. Demands of Ball Possession Games in Relation to the Most Demanding Passages of a Competitive Match. Available online: http://www.jssm.org (accessed on 8 June 2024).
- Riboli, A.; Coratella, G.; Rampichini, S.; Ce, E.; Esposito, F. Area per player in small-sided games to replicate the external load and estimated physiological match demands in elite soccer players. PLoS ONE 2020, 15, e0229194. [Google Scholar] [CrossRef] [PubMed]
- Bortnik, L.; Burger, J.; Morgans, R.; Rhodes, D. Utilisation of transitional clusters exhibited within soccer game play to inform training design. Sci. J. Sport Perform. 2023, 2, 439–453. [Google Scholar] [CrossRef]
- Bortnik, L.; Burger, J.; Rhodes, D. The mean and peak physical demands during transitional play and high-pressure activities in elite football. Biol. Sport. 2022, 39, 1055–1064. [Google Scholar] [CrossRef]
- Asian-Clemente, J.A.; Rabano-Muñoz, A.; Suarez-Arrones, L.; Requena, B. Different pitch configurations constrain the external and internal loads of young professional soccer players during transition games. Biol. Sport. 2023, 40, 1047–1055. [Google Scholar] [CrossRef]
- Bramah, C.; Mendiguchia, J.; Dos’Santos, T.; Morin, J.B. Exploring the Role of Sprint Biomechanics in Hamstring Strain Injuries: A Current Opinion on Existing Concepts and Evidence. Sports Med. 2023, 54, 783–793. Available online: https://link.springer.com/article/10.1007/s40279-023-01925-x (accessed on 29 January 2024). [CrossRef]
- Brughelli, M.; Cronin, J.; Mendiguchia, J.; Kinsella, D.; Nosaka, K. Contralateral leg deficits in kinetic and kinematic variables during running in Australian Rules football players with previous hamstring injuries. J. Strength. Cond. Res. 2010, 24, 2539–2544. [Google Scholar] [CrossRef]
- Edouard, P.; Mendiguchia, J.; Guex, K.; Lahti, J.; Samozino, P.; Morin, J.B. Sprinting: A Potential Vaccine for Hamstring Injury? Available online: https://sportperfsci.com/wp-content/uploads/2019/01/SPSR55_Edouard_190108_final.pdf (accessed on 15 June 2024).
- Mendiguchia, J.; Samozino, P.; Brughelli, M.; Schmikli, S.; Morin, J.B.; Mendez-Villanueva, A. Progression of Mechanical Properties during On- fi eld Sprint Running after Returning to Sports from a Hamstring Muscle Injury in Soccer Players. Int. J. Sports Med. 2014, 35, 690–695. [Google Scholar]
- Romero, V.; Lahti, J.; Castaño Zambudio, A.; Mendiguchia, J.; Jiménez Reyes, P.; Morin, J.B. Effects of Fatigue Induced by Repeated Sprints on Sprint Biomechanics in Football Players: Should We Look at the Group or the Individual? Int. J. Environ. Res. Public Health 2022, 19, 14643. Available online: https://pubmed.ncbi.nlm.nih.gov/36429363/ (accessed on 5 February 2024). [CrossRef]
- Mendiguchia, J.; Edouard, P.; Samozino, P.; Brughelli, M.; Cross, M.; Ross, A.; Gill, N.; Morin, J.B. Field monitoring of sprinting power–force–velocity profile before, during and after hamstring injury: Two case reports. J. Sports Sci. 2016, 34, 535–541. [Google Scholar] [CrossRef] [PubMed]
- Newans, T.; Bellinger, P.; Drovandi, C.; Buxton, S.; Minahan, C. The Utility of Mixed Models in Sport Science: A Call for Further Adoption in Longitudinal Data Sets. Int. J. Sports Physiol. Perform. 2022, 17, 1289–1295. [Google Scholar] [CrossRef] [PubMed]
- Gabbett, T.J. The training-injury prevention paradox: Should athletes be training smarter and harder? Br. J. Sports Med. 2016, 50, 273–280. [Google Scholar] [CrossRef] [PubMed]
- Boullosa, D.; Casado, A.; Claudino, J.G.; Jiménez-Reyes, P.; Ravé, G.; Castaño-Zambudio, A.; Lima-Alves, A.; de Oliveira, S.A., Jr.; Dupont, G.; Granacher, U.; et al. Do you Play or Do you Train? Insights From Individual Sports for Training Load and Injury Risk Management in Team Sports Based on Individualization. Front Physiol. 2020, 11, 995. [Google Scholar] [CrossRef]
- Calleja-González, J.; Mallo, J.; Cos, F.; Sampaio, J.; Jones, M.T.; Marqués-Jiménez, D.; Mielgo-Ayuso, J.; Freitas, T.T.; Alcaraz, P.E.; Vilamitjana, J.; et al. A commentary of factors related to player availability and its influence on performance in elite team sports. Front. Sports Act. Living 2023, 4, 1077934. [Google Scholar] [CrossRef]
- Page, R.M.; Field, A.; Langley, B.; Harper, L.D.; Julian, R. The Effects of Fixture Congestion on Injury in Professional Male Soccer: A Systematic Review. Sports Med. 2023, 53, 667–685. [Google Scholar] [CrossRef]
- Luteberget, L.S.; Raastad, T.; Seynnes, O.; Spencer, M. Effect of traditional and resisted sprint training in highly trained female team handball players. Int. J. Sports Physiol. Perform. 2015, 10, 642–647. [Google Scholar] [CrossRef]
- Pareja-Blanco, F.; de Villarreal, E.S.; Bachero-Mena, B.; Mora-Custodio, R.; Asián-Clemente, J.A.; Loturco, I.; Rodríguez-Rosell, D. Effects of unloaded sprint and heavy sled training on sprint performance in physically active women. Int. J. Sports Physiol. Perform. 2020, 15, 1356–1362. [Google Scholar] [CrossRef]
- Makaruk, B.; Sozański, H.; Makaruk, H.; Sacewicz, T. The effects of resisted sprint training on speed performance in women. Hum. Mov. 2013, 14, 116–122. [Google Scholar] [CrossRef]
- Upton, D.E. The Effect of Assisted and Resisted Sprint Training on Acceleration and Velocity in Division Ia Female Soccer Athletes. Available online: www.nsca-jscr.org (accessed on 8 June 2024).
- Djaoui, L.; Chamari, K.; Owen, A.L.; Dellal, A. Maximal sprinting speed of elite soccer players during training and matches. J. Strength Cond. Res. 2017, 31, 1509–1517. [Google Scholar] [CrossRef]
- Kyprianou, E.; Di Salvo, V.; Lolli, L.; Al Haddad, H.; Villanueva, A.M.; Gregson, W.; Weston, M. To Measure Peak Velocity in Soccer, Let the Players Sprint. J. Strength Cond. Res. 2019, 36, 273–276. [Google Scholar] [CrossRef] [PubMed]
- Harper, D.; Cervantes, C.; Van Dyke, M.; Evans, M.; McBurnie, A.; Dos’ Santos, T.; Eriksrud, O.; Cohen, D.; Rhodes, D.; Carling, C.; et al. The Braking Performance Framework: Practical Recommendations and Guidelines to Enhance Horizontal Deceleration Ability in Multi-Directional Sports. Int. J. Strength Cond. 2024, 4. Available online: https://journal.iusca.org/index.php/Journal/article/view/351 (accessed on 16 October 2024).
- Gaudino, P.; Alberti, G.; Iaia, F.M. Estimated metabolic and mechanical demands during different small-sided games in elite soccer players. Hum. Mov. Sci. 2014, 36, 123–133. [Google Scholar] [CrossRef] [PubMed]
- Jiménez-Reyes, P.; Garcia-Ramos, A.; Párraga-Montilla, J.A.; Morcillo-Losa, J.A.; Cuadrado-Peñafiel, V.; Castaño-Zambudio, A.; Samozino, P.; Morin, J.B. Seasonal Changes in the Sprint Acceleration Force-Velocity Profile of Elite Male Soccer Players. J. Strength Cond. Res. 2022, 36, 70–74. Available online: https://pubmed.ncbi.nlm.nih.gov/32329976/ (accessed on 11 October 2022). [CrossRef] [PubMed]
- Mara, J.K.; Thompson, K.G.; Pumpa, K.L.; Ball, N.B. Periodization and physical performance in elite female soccer players. Int. J. Sports Physiol. Perform. 2015, 10, 664–669. [Google Scholar] [CrossRef]
- López-Sagarra, A.; Baena-Raya, A.; Casimiro-Artés, M.; Granero-Gil, P.; Rodríguez-Pérez, M.A. Seasonal Changes in the Acceleration–Speed Profile of Elite Soccer Players: A Longitudinal Study. Appl. Sci. 2022, 12, 12987. Available online: https://www.mdpi.com/2076-3417/12/24/12987/htm (accessed on 20 March 2023). [CrossRef]
- Derakhti, M.; Bremec, D.; Kambic, T.; Siethoff LTen Psilander, N. Four Weeks of Power Optimized Sprint Training Improves Sprint Performance in Adolescent Soccer Players. Int. J. Sports Physiol. Perform. 2022, 17, 1343–1351. [Google Scholar] [CrossRef]
- Mendiguchia, J.; Conceição, F.; Edouard, P.; Fonseca, M.; Pereira, R.; Lopes, H.I.; Morin, J.B.; Jiménez-Reyes, P. Sprint versus isolated eccentric training: Comparative effects on hamstring architecture and performance in soccer players. PLoS ONE 2020, 15, e0228283. [Google Scholar] [CrossRef]
- Asian-Clemente, J.; Rabano-Muñoz, A.; Muñoz, B.; Franco, J.; Suarez-Arrones, L. Can Small-side Games Provide Adequate High-speed Training in Professional Soccer? Int. J. Sports Med. 2021, 42, 523–528. [Google Scholar] [CrossRef]




| Session/Week | Training | Volume | |
|---|---|---|---|
| 1 | 3 × 20 m 20% BM | 2 × 20 m 25% BM | 100 m |
| 2 | 4 × 20 m 30% BM | 2 × 20 m 25% BM | 120 m |
| 3 | 5 × 20 m 40% BM | 2 × 20 m 50% BM | 140 m |
| 4 | 6 × 20 m 60% BM | 2 × 20 m 50% BM | 160 m |
| 5 | 7 × 20 m 70% BM | 2 × 20 m 75% BM | 180 m |
| 6 | 8 × 20 m 80% BM | 2 × 20 m 75% BM | 200 m |
| Sprint Performance | |||||
|---|---|---|---|---|---|
| 1st Test | 2nd Test | 3rd Test | 4th Test | Post Hoc | |
| 0–20 | 3.44 ± 0.03 | 3.36 ± 0.04 | 3.35 ± 0.03 | 3.3 ± 0.03 | T1–T2: p < 0.001; Diff: 0.08; t: 4.82 |
| T1–T3: p 0.002; Diff: 0.08; t: 7.67 | |||||
| T1–T4: p < 0.001; Diff: 0.14; t: 7.67 | |||||
| T2–T4: p 0.005; Diff: 0.06; t: 3.43 | |||||
| T3–T4: p 0.019; Diff: 0.06; t: 3.02 | |||||
| 0–30 | 4.81 ± 0.05 | 4.66 ± 0.05 | 4.69 ± 0.04 | 4.57 ± 0.04 | T1–T2: p < 0.001; Diff: 0.15; t: 7.77 |
| T1–T3: p < 0.001; Diff: 0.13; t: 5.33 | |||||
| T1–T4: p < 0.001; Diff: 0.24; t: 11.61 | |||||
| T2–T4: p < 0.001; Diff: 0.09; t: 4.74 | |||||
| T3–T4: p < 0.001; Diff: 0.11; t: 5.00 | |||||
| 20–30 | 1.37 ± 0.01 | 1.31 ± 0.01 | 1.32 ± 0.02 | 1.27 ± 0.02 | T1–T2: p < 0.001; Diff: 0.07; t: 7.19 |
| T1–T3: p < 0.001; Diff: 0.05; t: 4.17 | |||||
| T1–T4: p < 0.001; Diff: 0.10; t: 10.63 | |||||
| T2–T4: p < 0.001; Diff: 0.04; t: 4.07 | |||||
| T3–T4: p < 0.001; Diff: 0.06; t: 5.31 | |||||
| Period 1 | Period 2 | Period 3 | Post Hoc | ||
|---|---|---|---|---|---|
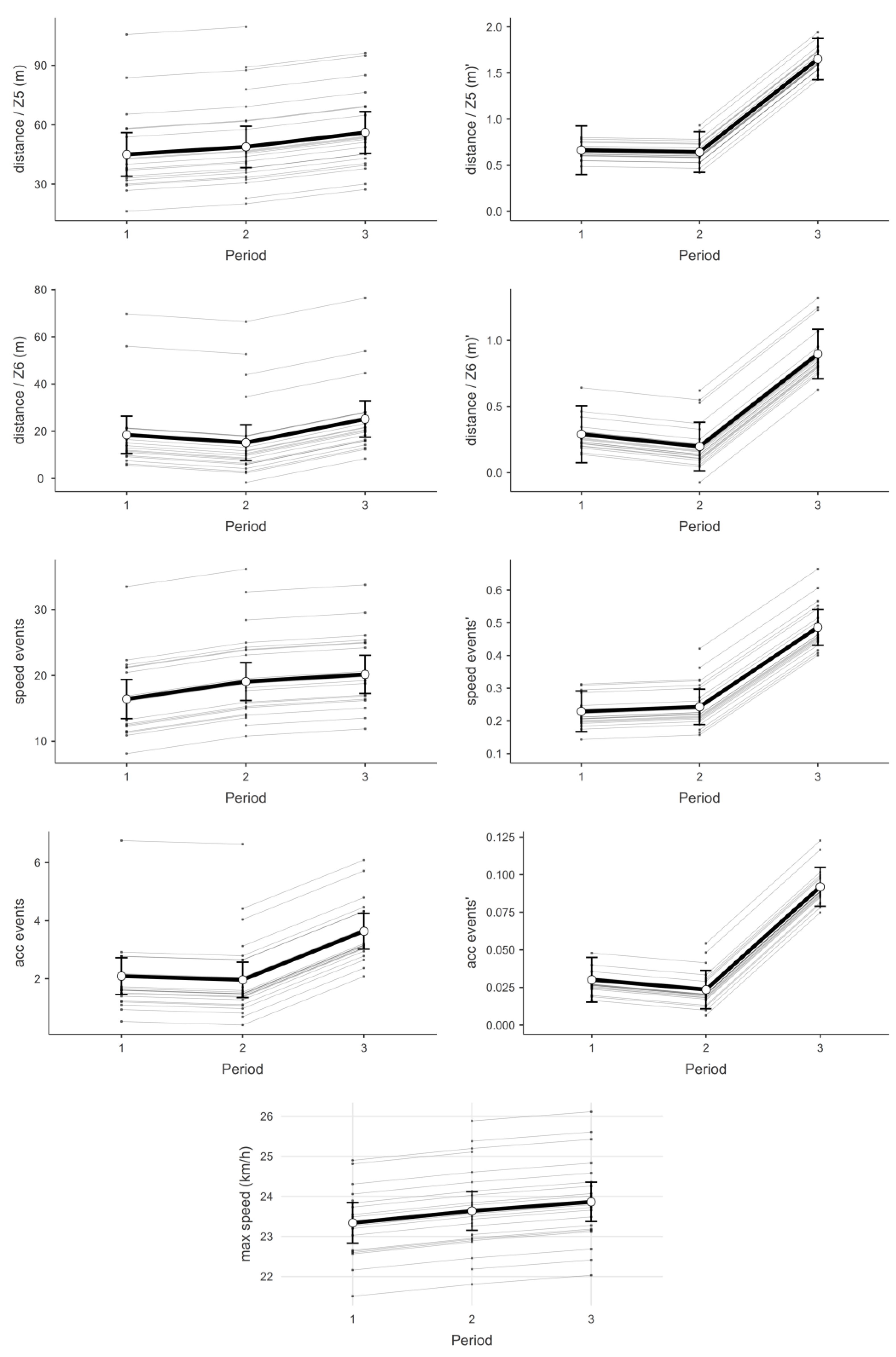
| Absolute Workload | distance/Z5 (m) | 45.0 ± 5.45 | 48.9 ± 5.14 | 56.1 ± 5.21 | P1–P3: p: 0.024; Diff: −11.1; t: −2.65 |
| distance/Z6 (m) | 18.4 ± 3.95 | 15.1 ± 3.75 | 25.1 ± 3.79 | P2–P3: p < 0.001; Diff: −10; t: −4.19 | |
| speed events | 16.4 ± 1.47 | 19.1 ± 1.41 | 20.2 ± 1.43 | P1–P2: p: 0.021; Diff: −2.66; t: −2.71; P1–P3: p < 0.001; Diff: −3.75; t: −3.72 | |
| acc events | 2.09 ± 0.31 | 1.96 ± 0.30 | 3.64 ± 0.30 | P1–P3: p < 0.001; Diff: −1.55; t: −7.36; P2–P3: p < 0.001; Diff: −1.67; t: −9.66 | |
| Relative Workload | distance/Z5 (m)′ | 0.66 ± 0.13 | 0.64 ± 0.11 | 1.65 ± 0.11 | P1–P3: p < 0.001; Diff: −0.99; t: −5.99 P2–P3: p < 0.001; Diff: −1.0; t: −7.0 |
| distance/Z6 (m)′ | 0.29 ± 0.11 | 0.20 ± 0.09 | 0.90 ± 0.09 | P1–P3: p < 0.001; Diff: −0.61; t: −4.72; P2–P3: p < 0.001; Diff: −0.7; t: −6.31 | |
| speed events’ | 0.229 ± 0.03 | 0.243 ± 0.03 | 0.486 ± 0.03 | P1–P3: p < 0.001; Diff: −0.26; t: −7.33; P2–P3: p < 0.001; Diff: −0.24; t: −8.11 | |
| acc events’ | 0.03 ± 0.01 | 0.02 ± 0.01 | 0.09 ± 0.01 | P1–P3: p < 0.001; Diff: −0.06; t: −6.95; P2–P3: p < 0.001; Diff: −0.06; t: −8.91 | |
| Intensity Indicators | max speed (km/h) | 23.3 ± 0.25 | 23.6 ± 0.24 | 23.9 ± 0.24 | P1–P3: p: 0.023; Diff: −0.52; t: −2.66 |
| max acc (m/s2) | 3.91 ± 0.04 | 3.94 ± 0.04 | 4.05 ± 0.04 | P1–P3: p < 0.001; Diff: −0.15; t: −4.09 P2–P3: p < 0.001; Diff: −0.11; t: −3.7 | |
| max dec (m/s2) | −4.30 ± 0.06 | −4.46 ± 0.05 | −4.50 ± 0.05 | P1–P2: p < 0.001; Diff: 0.17; t: 3.65; P1–P3: p < 0.001; Diff: 0.20; t: 4.23 | |
| m/min | 64.6 ± 4.80 | 65.6 ± 3.88 | 116.2 ± 3.92 | P1–P3: p < 0.001; Diff: −51.6; t: −8.30; P2–P3: p < 0.001; Diff: −50.5; t: −9.16 |
Disclaimer/Publisher’s Note: The statements, opinions and data contained in all publications are solely those of the individual author(s) and contributor(s) and not of MDPI and/or the editor(s). MDPI and/or the editor(s) disclaim responsibility for any injury to people or property resulting from any ideas, methods, instructions or products referred to in the content. |
© 2024 by the authors. Licensee MDPI, Basel, Switzerland. This article is an open access article distributed under the terms and conditions of the Creative Commons Attribution (CC BY) license (https://creativecommons.org/licenses/by/4.0/).
Share and Cite
Castaño-Zambudio, A.; Repullo, C.; Jiménez-Reyes, P. Enhancing Acceleration Capabilities in Professional Women’s Football Players: A Comparative Analysis of Game-Based Versus Resisted Sprint Trainings. Appl. Sci. 2024, 14, 10327. https://doi.org/10.3390/app142210327
Castaño-Zambudio A, Repullo C, Jiménez-Reyes P. Enhancing Acceleration Capabilities in Professional Women’s Football Players: A Comparative Analysis of Game-Based Versus Resisted Sprint Trainings. Applied Sciences. 2024; 14(22):10327. https://doi.org/10.3390/app142210327
Chicago/Turabian StyleCastaño-Zambudio, Adrián, Carmen Repullo, and Pedro Jiménez-Reyes. 2024. "Enhancing Acceleration Capabilities in Professional Women’s Football Players: A Comparative Analysis of Game-Based Versus Resisted Sprint Trainings" Applied Sciences 14, no. 22: 10327. https://doi.org/10.3390/app142210327
APA StyleCastaño-Zambudio, A., Repullo, C., & Jiménez-Reyes, P. (2024). Enhancing Acceleration Capabilities in Professional Women’s Football Players: A Comparative Analysis of Game-Based Versus Resisted Sprint Trainings. Applied Sciences, 14(22), 10327. https://doi.org/10.3390/app142210327

