Impact of Sound and Image Features in ASMR on Emotional and Physiological Responses
Abstract
1. Introduction
2. Materials and Methods
2.1. Materials
2.1.1. ASMR Video
2.1.2. Sound Features
2.1.3. Image Features
2.1.4. Emotional Questionnaire
2.1.5. Electroencephalography (EEG)
2.1.6. Electrocardiogram (ECG)
2.1.7. Emotion Recognition
2.2. Methods
2.2.1. Participants
2.2.2. Procedure
2.2.3. Analysis
3. Results
3.1. Analysis of Emotional Questionnaire Results
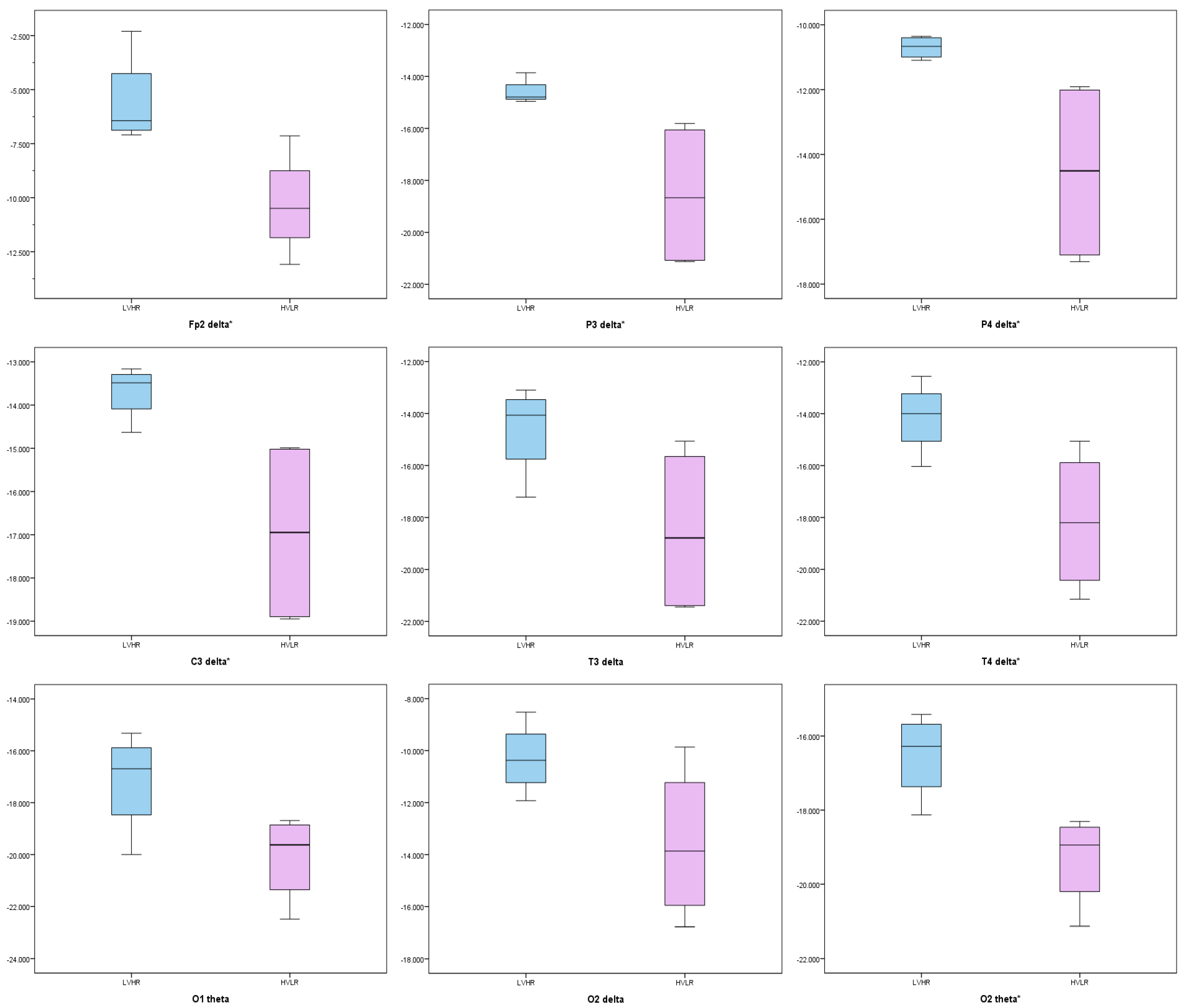
3.2. EEG Anlaysis
3.3. ECG Analysis
3.4. Sound Features Analysis
3.5. Image Features Analysis
3.6. Emotion Recognition Analysis
4. Discussion
4.1. Induced Emotions
4.1.1. Emotional Perspective: Subjective Evaluation
4.1.2. Physiological Perspective: EEG
4.1.3. Physiological Perspective: ECG
4.2. Sound and Image Features
4.3. Emotion Recognition Result
5. Conclusions
Author Contributions
Funding
Institutional Review Board Statement
Informed Consent Statement
Data Availability Statement
Conflicts of Interest
References
- Waldfogel, J. How Digitization Has Created a Golden Age of Music, Movies, Books, and Television. J. Econ. Perspect. 2017, 31, 195–214. [Google Scholar] [CrossRef]
- Woods, N.; Turner-Cobb, J.M. “It’s like Taking a Sleeping Pill”: Student Experience of Autonomous Sensory Meridian Response (ASMR) to Promote Health and Mental Wellbeing. Int. J. Environ. Res. Public Health 2023, 20, 2337. [Google Scholar] [CrossRef] [PubMed]
- Garro, D. Autonomous Sensory Meridian Response—From Internet Subculture to Audiovisual Therapy. Proc. EVA Lond. 2017, 395, 1–8. [Google Scholar]
- Barratt, E.L.; Davis, N.J. Autonomous Sensory Meridian Response (ASMR): A flow-like mental state. PeerJ 2015, 3, e851. [Google Scholar] [CrossRef]
- Gallagher, R. Eliciting Euphoria Online: The Aesthetics of ‘ASMR’ Video Culture. Film Crit. 2016, 40, 202. [Google Scholar] [CrossRef]
- Smith, N.; Snider, A.M. ASMR, affect and digitally-mediated intimacy. Emot. Space Soc. 2019, 31, 41–48. [Google Scholar] [CrossRef]
- Yusaira, F.; Bennett, C.N. Influence of Autonomous Sensory Meridian Response on Relaxation States: An Experimental Study. NeuroRegulation 2021, 8, 184–193. [Google Scholar] [CrossRef]
- Engelbregt, H.J.; Schilperoort, T.; van Harten, L.; van Boxtel, G.J.M. The effects of autonomous sensory meridian response (ASMR) on mood, attention, heart rate, skin conductance, and EEG in healthy young adults. Exp. Brain Res. 2022, 240, 1321–1335. [Google Scholar] [CrossRef]
- Lohaus, T.; Yüksekdag, S.; Bellingrath, S.; Thoma, P. The effects of Autonomous Sensory Meridian Response (ASMR) videos versus walking tour videos on ASMR experience, positive affect, and state relaxation. PLoS ONE 2023, 18, e0277990. [Google Scholar] [CrossRef]
- Lochte, B.C.; Guillory, S.A.; Richard, C.A.; Kelley, W.M. An fMRI investigation of the neural correlates underlying the autonomous sensory meridian response (ASMR). BioImpacts 2018, 8, 259–266. [Google Scholar] [CrossRef]
- Fredborg, B.K.; Clark, J.M.; Smith, S.D. An examination of personality traits associated with autonomous sensory meridian response (ASMR). Front. Psychol. 2017, 8, 247. [Google Scholar] [CrossRef] [PubMed]
- Smith, S.D.; Fredborg, B.K.; Kornelsen, J. An electroencephalographic examination of the autonomous sensory meridian response (ASMR). NeuroImage 2020, 207, 116–360. [Google Scholar]
- Poerio, G.L.; Blakey, E.; Hostler, T.J.; Veltri, T. More than a feeling: Autonomous sensory meridian response (ASMR) is characterized by reliable changes in affect and physiology. PLoS ONE 2018, 13, e0196645. [Google Scholar] [CrossRef] [PubMed]
- Engelbregt, H.J.; Stins, J.F.; Zwaan, K. The effects of autonomous sensory meridian response (ASMR) on mood, attention, and sleep. J. Psychophysiol. 2022, 36, 89–101. [Google Scholar]
- Berard, G.; Brockett, S. Hearing Equals Behavior: Updated and Expanded; eBooks2go, Inc.: Schaumburg, IL, USA, 2014. [Google Scholar]
- Davis, S.B.; Mermelstein, P. Comparison of parametric representations for monosyllabic word recognition in continuously spoken sentences. IEEE Trans. Acoust. Speech Signal Process. 1980, 28, 357–366. [Google Scholar] [CrossRef]
- Mohseni, S.A.; Wu, H.R.; Thom, J.A.; Bab-Hadiashar, A. Recognizing Induced Emotions With Only One Feature: A Novel Color Histogram-Based System. IEEE Access 2020, 8, 37173–37188. [Google Scholar] [CrossRef]
- Kim, H.-R.; Kang, H.; Lee, I.-K. Image Recoloring with Valence-Arousal Emotion Model. Comput. Graph. Forum 2016, 35, 1–12. [Google Scholar] [CrossRef]
- Sakurai, N.; Nagasaka, K.; Sasaki, K.; Yuguchi, Y.; Takahashi, S.; Kasai, S.; Onishi, H.; Kodama, N. The relaxation effect of autonomous sensory meridian response depends on personal preference. Front. Hum. Neurosci. 2023, 17, 1249176. [Google Scholar] [CrossRef]
- Lin, C.; Kondo, H. Brain circuits in autonomous sensory meridian response and related phenomena. NeuroImage 2024, 230, 105382. [Google Scholar] [CrossRef]
- Packheiser, J.; Schmitz, J.; Pan, Y.; El Basbasse, Y.; Friedrich, P.; Güntürkün, O.; Ocklenburg, S. Using Mobile EEG to Investigate Alpha and Beta Asymmetries During Hand and Foot Use. Front. Neurosci. 2020, 14, 109. [Google Scholar] [CrossRef]
- Burch, J.B.; Alexander, M.; Balte, P.; Sofge, J.; Winstead, J.; Kothandaraman, V.; Ginsberg, J.P. Shift work and heart rate variability coherence: Pilot study among nurses. Appl. Psychophysiol. Biofeedback 2019, 44, 21–30. [Google Scholar] [CrossRef] [PubMed]
- Gospodinov, M.; Gospodinova, E.; Georgieva-Tsaneva, G. Mathematical methods of ECG data analysis. In Healthcare Data Analytics and Management; Elsevier: Amsterdam, The Netherlands, 2019; pp. 177–206. [Google Scholar]
- Task Force of the European Society of Cardiology the North American Society of Pacing Electrophysiology. Heart rate variability: Standards of measurement, physiological interpretation and clinical use. Task Force of the European Society of Cardiology and the North American Society of Pacing and Electrophysiology. Circulation 1996, 93, 1043–1065. [Google Scholar] [CrossRef]
- Chow, L.S.; George, R.; Rizon, M.; Moghavvemi, M.; Paley, M.N.J. Investigating the Axonal Magnetic Fields Corresponding to Delta and Theta Waves in the Human Brain Using Direct Detection MRI. IEEE Access 2021, 9, 152856–152868. [Google Scholar] [CrossRef]
- Dennison, P. The Human Default Consciousness and Its Disruption: Insights From an EEG Study of Buddhist Jhāna Meditation. Front. Hum. Neurosci. 2019, 13, 178. [Google Scholar] [CrossRef]
- Harmony, T. The functional significance of delta oscillations in cognitive processing. Front. Integr. Neurosci. 2013, 7, 83. [Google Scholar] [CrossRef]
- Başar, E.; Schürmann, G.; Başar-Eroglu, M. Brain oscillations in perception and memory. Int. J. Psychophysiol. 2001, 39, 151–171. [Google Scholar] [CrossRef]
- Klimesch, W. EEG theta and memory processes. Cortex 1999, 35, 25–34. [Google Scholar]
- Knyazev, G.G. Motivation, emotion, and their inhibitory control mirrored in brain oscillations. Neurosci. Biobehav. Rev. 2007, 31, 377–395. [Google Scholar] [CrossRef]
- Swart, T.R.; Banissy, M.J.; Hein, T.P.; Bruña, R.; Pereda, E.; Bhattacharya, J. ASMR amplifies low frequency and reduces high frequency oscillations. Cortex 2022, 149, 85–100. [Google Scholar] [CrossRef]
- Mesa-Gresa, P.; Gil-Gómez, J.A.; Lozano-Quilis, J.A.; Schoeps, K.; Montoya-Castilla, I. Electrophysiological correlates of the emotional response on brain activity in adolescents. Biomed. Signal Process. Control 2024, 89, 105754. [Google Scholar] [CrossRef]
- Apicella, A.; Arpaia, P.; Mastrati, G.; Moccaldi, N. EEG-based detection of emotional valence towards a reproducible measurement of emotions. Sci. Rep. 2021, 11, 21615. [Google Scholar] [CrossRef] [PubMed]
- Prete, G.; Croce, P.; Zappasodi, F.; Tommasi, L.; Capotosto, P. Exploring brain activity for positive and negative emotions by means of EEG microstates. Sci. Rep. 2022, 12, 3404. [Google Scholar] [CrossRef] [PubMed]
- Hartikainen, K.M. Emotion-Attention Interaction in the Right Hemisphere. Brain Sci. 2021, 11, 1006. [Google Scholar] [CrossRef] [PubMed]
- Kheirkhah, M.; Baumbach, P.; Leistritz, L.; Witte, O.W.; Walter, M.; Gilbert, J.R.; Zarate, C.A., Jr.; Klingner, C.M. The Right Hemisphere Is Responsible for the Greatest Differences in Human Brain Response to High-Arousing Emotional versus Neutral Stimuli: A MEG Study. Brain Sci. 2021, 11, 960. [Google Scholar] [CrossRef] [PubMed]
- Alakus, T.B.; Gonen, M.; Turkoglu, I. Database for an emotion recognition system based on EEG signals and various computer games—GAMEEMO. Biomed. Signal Process. Control 2020, 60, 101951. [Google Scholar] [CrossRef]
- Benz, A.B.E.; Gaertner, R.J.; Meier, M.; Unternaehrer, E.; Scharndke, S.; Jupe, C.; Wenzel, M.; Bentele, U.U.; Dimitroff, S.J.; Denk, B.F.; et al. Nature-Based Relaxation Videos and Their Effect on Heart Rate Variability. Front. Psychol. 2022, 13, 866682. [Google Scholar] [CrossRef]
- Ma, W.; Thompson, W.F. Human Emotions Track Changes in the Acoustic Environment. Proc. Natl. Acad. Sci. USA 2015, 112, 14563–14568. [Google Scholar] [CrossRef]
- Meng, Q.; Jiang, J.; Liu, F.; Xu, X. Effects of the Musical Sound Environment on Communicating Emotion. Int. J. Environ. Res. Public Health 2020, 17, 2499. [Google Scholar] [CrossRef]
- Wilms, L.; Oberfeld, D. Color and Emotion: Effects of Hue, Saturation, and Brightness. Psychol. Res. 2017, 81, 448–463. [Google Scholar] [CrossRef]
Disclaimer/Publisher’s Note: The statements, opinions, and data contained in all publications are solely those of the individual author(s) and contributor(s) and not of MDPI and/or the editor(s). MDPI and/or the editor(s) disclaim responsibility for any injury to people or property resulting from any ideas, methods, instructions, or products referred to in the content. |










| Sound Features | Range (Hz) | Meaning |
|---|---|---|
| Low-frequency | 200–600 | Low frequency |
| Mid-frequency | 600–1500 | Middle frequency |
| High-frequency | 1500–20,000 | High frequency |
| Mel power | 15–20,000 | The audible range of a human being |
| General power | 125–8000 | The range of everyday life |
| Sensory power | 1000–5000 | A high-sensitivity range |
| Conversational power | 250–4000 | Conversational range |
| Main conversational power | 500–2000 | Important conversation range |
| MFCC coefficients | - | Mel-frequency cepstral coefficients |
| Variable | Units | Formulas | Range | Description | |
|---|---|---|---|---|---|
| Time-domain variables | BPM | bpm | - | Beats per minute. | |
| SDNN | ms | - | Standard deviation of NN intervals. | ||
| RMSSD | ms | - | The square root of the mean of the sum of the squares of differences between adjacent NN intervals. | ||
| pNN50 | % | - | NN50 count divided by the total number of all NN intervals. | ||
| Frequency-domain variables | Total power | ms2 | 0.0033–0.40 Hz | Sum of power over the entire frequency range. | |
| LF | ms2 | 0.04–0.15 Hz | Power in low frequency range. | ||
| LF% | n.u. | - | Normalized power of LF. | ||
| ln LF | - | The natural logarithm of LF. | |||
| HF | ms2 | 0.15–0.40 Hz | Power in high frequency. | ||
| HF% | n.u. | - | Normalized power of HF. | ||
| ln HF | - | The natural logarithm of HF. | |||
| LF/HF ratio | - | - | Index of the sympathovagal balance. | ||
| Coherence ratio | 0.04–0.26 Hz | The ratio of peak power within 0.04–0.26 Hz to the difference between the total spectral power and the peak power. | |||
| RSA | Hz | 0.12–0.40 Hz | Respiratory sinus arrhythmia. |
| Fp | P | C | T | O | ||||||
|---|---|---|---|---|---|---|---|---|---|---|
| LVHR | HVLR | LVHR | HVLR | LVHR | HVLR | LVHR | HVLR | LVHR | HVLR | |
| Delta | 0.488 | 0.276 | 0.154 | 0.121 | 0.068 | 0.076 | 0.016 | 0.010 | 0.111 | 0.078 |
| Theta | 0.343 | 0.330 | 0.124 | 0.093 | 0.128 | 0.064 | −0.041 | −0.052 | 0.019 | 0.020 |
| Alpha | 0.477 | 0.454 | 0.098 | 0.096 | 0.222 | 0.177 | 0.129 | 0.169 | 0.108 | 0.077 |
| Beta | 0.441 | 0.967 | 0.099 | 0.148 | 0.262 | −0.145 | 0.137 | 0.387 | 0.205 | 0.315 |
| Predictive Values | Total | |||
|---|---|---|---|---|
| LVHR | HVLR | |||
| Actual values | LVHR | 24 | 4 | 28 |
| HVLR | 1 | 27 | 28 | |
| Total | 25 | 31 | - | |
Disclaimer/Publisher’s Note: The statements, opinions and data contained in all publications are solely those of the individual author(s) and contributor(s) and not of MDPI and/or the editor(s). MDPI and/or the editor(s) disclaim responsibility for any injury to people or property resulting from any ideas, methods, instructions or products referred to in the content. |
© 2024 by the authors. Licensee MDPI, Basel, Switzerland. This article is an open access article distributed under the terms and conditions of the Creative Commons Attribution (CC BY) license (https://creativecommons.org/licenses/by/4.0/).
Share and Cite
Kim, Y.; Cho, A.; Lee, H.; Whang, M. Impact of Sound and Image Features in ASMR on Emotional and Physiological Responses. Appl. Sci. 2024, 14, 10223. https://doi.org/10.3390/app142210223
Kim Y, Cho A, Lee H, Whang M. Impact of Sound and Image Features in ASMR on Emotional and Physiological Responses. Applied Sciences. 2024; 14(22):10223. https://doi.org/10.3390/app142210223
Chicago/Turabian StyleKim, Yubin, Ayoung Cho, Hyunwoo Lee, and Mincheol Whang. 2024. "Impact of Sound and Image Features in ASMR on Emotional and Physiological Responses" Applied Sciences 14, no. 22: 10223. https://doi.org/10.3390/app142210223
APA StyleKim, Y., Cho, A., Lee, H., & Whang, M. (2024). Impact of Sound and Image Features in ASMR on Emotional and Physiological Responses. Applied Sciences, 14(22), 10223. https://doi.org/10.3390/app142210223

