Abstract
Acid oil produced from the acidulation of soapstock was investigated as a feedstock for producing a glycolipid biosurfactant, manosylerithritol lipid (MEL), by microbial fermentation. Fermentation with the optimized acid oil substrate concentration of 200 g L−1 resulted in 3.89 g L−1 of MEL. To enhance productivity, the titer MEL was produced by a multistage fermentation process with the periodic addition of 20–50 g L−1 substrate after the stationary phase of the culture. The repeated substrate feeding marginally enhanced the MEL titer up to 5.56 g L−1. The MEL from the culture broth was recovered by solvent extraction at different pH levels. Among the solvents tested, ethyl acetate: acetonitrile (9:1) demonstrated a higher partition coefficient value of 3.1 in acidic conditions with 75.6% MEL recovery. The MEL produced by using acid oil as feedstock has significant surface-active properties, measuring 2.8 × 10−6 M in critical micelle concentration with 29.3 mN m−1 surface tension.
1. Introduction
Biosurfactants (BSs) are surface-active molecules produced by microorganisms covering a wide range of chemical compounds including carbohydrates, lipids, peptides, and fatty acids. Biosurfactants show diversity in their structures but all of them can reduce interphase tension. Biosurfactants are surface-active substances produced by microorganisms. They possess unique properties such as low toxicity, biodegradability, and effectiveness at extreme temperatures, pH levels, and salinities. These compounds have diverse structures, including glycolipids, lipopeptides, and phospholipids, which contribute to their versatility. Biosurfactants reduce surface and interfacial tension, promoting emulsification and enhancing the bioavailability of hydrophobic compounds, making them valuable in environmental remediation, pharmaceuticals, and the food industry [1,2]. Acid oil, derived from the refining processes of vegetable oils, is a valuable feedstock in MEL production due to its high fatty acid content. Its properties include good solubility and the availability of essential nutrients for microbial growth. The advantages of using acid oil in MEL production include its cost-effectiveness, as it is a byproduct of the oil refining industry, and its sustainability, reducing waste and promoting circular economy practices. Additionally, acid oil’s composition enhances the yield and quality of MEL, making it an efficient choice for industrial applications. Environmentally, utilizing acid oil promotes waste valorization by converting a byproduct that might otherwise be discarded into valuable biosurfactants. This process not only minimizes waste but also reduces the environmental impact associated with disposal, contributing to a more sustainable and circular economy. These biomolecules comprise hydrophilic and hydrophobic moieties linked together. The most common hydrophobic moieties used for the production of biosurfactants are vegetable oils, fatty acids, waste frying oil, and oil refinery waste [3]. Waste oils from households, vegetable oil refineries, and the soap industry are suitable for microbial growth and biosurfactant production [4]. Acid oil has been identified as an economic resource as it is readily available in large quantities at most vegetable oil refineries; about 1060 vegetable oil refineries in India process about 25 million tons of vegetable oils and generate about 4–4.2 million tons of acid oil at their sites, and these acid oils are considered as unwanted and are disposed of at 40–42,000 INR/ton.
Manosylerithrytol lipid (MEL) is one of the glycolipid biosurfactants abundantly produced by several kinds of microorganisms [5,6]. The biosynthesis of MEL includes β oxidation pathway intermediates and also a new type of chain-shortening pathway (partial β oxidation). This newly supposed pathway is also studied using enzyme inhibitors, and it has been found that it has a significant effect on MEL production [7]. The productivity of MEL varies with the nutritional environment of the growing microorganism and carbon substrate provided: either hydrophilic or hydrophobic. Moreover, the fatty acid composition of the hydrophobic part depends upon the characteristics of the producing microbial strain. The constitutional diversification of MEL executes remarkable changes in its physicochemical properties including the surface-active, self-assembling properties and versatile biochemical actions like anticancer and cellular differentiation [8,9]. MEL has also been applied in various industrial products like cosmetic products for skin care and hair repair and has also been used as an antimicrobial agent [10,11,12,13,14,15,16,17,18,19,20,21,22,23,24,25,26,27,28,29,30,31,32,33]. As per one study [34], Pseudozyma antarctica is a top producer of mannosylerythritol lipids (MELs). In a study examining various Pseudozyma species for MEL production from soybean oil, P. fusiformata, P. parantarctica, and P. tsukubaensis were identified as new MEL producers. P. parantarctica yielded the highest amount at 30 g L−1, comparable to known high producers like P. antarctica and P. aphidis. The species were categorized into four groups based on their MEL production patterns, indicating that MEL production could serve as a taxonomic marker for Pseudozyma yeasts. Considering our past works with this yeast [31,32,33], we aimed to use Pseudozyma antarctica for the production of MEL.
In this paper, we describe the use of acid oil (a gift sample from M/s Godrej Industries Ltd. of plant origin) as a carbon substrate for the efficient synthesis of MEL. The effects of substrate feeding and different downstream processing are further investigated. The current process for the conversion of substantial oil refinery waste into more valuable products is favorable not only for the environment but also for sustainable economics.
2. Materials and Methods
2.1. Microbial Culture
Non-pathogenic phyllosphere yeast Pseudozyma antarctica (ATCC 2706), for mannosylerythritol lipid production, was procured from Microbial Type Culture Collection and Gene Bank, Institute of Microbial Technology, Chandigarh, Punjab, India. It has been reported in the literature [33] that this strain usually produces MEL-A and MEL-B variants of MEL biosurfactant. Furthermore, considering our work on biosurfactants, their isolation, and usage of this strain, we used P. antarctica (ATCC 2706).
2.2. Materials
Acid oil used as a substrate was obtained as a gift sample from M/s Godrej Industries Ltd., Mumbai, India. All chemicals and media components such as peptone, yeast extract, malt extract, agar, anthrone, and glucose were procured from Hi Media Pvt. Ltd., Thane, India. The solvents like hexane, methanol, ethyl acetate, and acetonitrile (all solvents were >99.05% pure; Sigma-Aldrich, St. Louis, MO, USA) were procured from S. D. Fine Chemicals Ltd., Mumbai, India. The analysis of GC-MS was performed as per the earlier reported protocol [32]. The GC-MS protocol for analyzing mannosylerythritol lipids (MELs) involves using a nonpolar capillary column with helium as a carrier gas. The method includes splitless injection, temperature ramping from 50 °C to 300 °C, and electron ionization at 70 eV. Samples may require extraction, optional derivatization, and drying before analysis. The details of the GC-MS conditions have been provided in the Supporting Information section.
2.3. Cultivation Condition
The strain Pseudozyma antarctica was grown at 25 °C for 72 h. The 250 mL Erlenmeyer flask containing 50 mL of liquid medium (yeast malt broth) was incubated for 72 h. The cell mass was pelleted by centrifugation at 5000 rpm and a loopful cell was re-suspended in a mineral salt medium that contained the following substances (g L−1): NH4NO3 10.0, K2HPO4 25.0, CaCl2 2H2O 0.1, MnSO4, H2O 0.02, NaH2PO4 0.1, MgSO4, 7H2O 0.5, and yeast extract 1 [12]. Glucose 15 g L−1 was used as a primary carbon source and acid oil was used as a secondary substrate at different concentrations. Cultivation was conducted for 240 h at 30 ± 1 °C and 200 rpm in 250 mL Erlenmeyer flasks with 50 mL of production medium.
2.4. Multistage Fermentation
The multistage fermentation for MEL production was performed by repeated feeding of the hydrophobic substrate. The production medium and culture conditions were similar to those for batch fermentation. After two days of fermentation, the cultures were fed, by the secondary carbon source (once or multiple times), acid oil during incubation of 5 days. Acid oil was added periodically as mentioned in Table 1 under aseptic conditions to avoid contamination.
Table 1.
Periodic addition of substrate in multistage fermentation.
2.5. Recovery of MEL
After fermentation, the culture broth was centrifuged at 8000 rpm for 20 min and the supernatant broth was collected. MEL from culture broth was isolated by solvent–solvent extractions and precipitation by heating. Different solvents like hexane, chloroform, ethyl acetate, methyl tert-butyl ether, and binary solvent systems (acetonitrile and ethyl acetate, in a ratio of 9:1) were used for solvent extraction. For all solvents, partition coefficients were calculated in the pH range of 5.8 to 2 [Extraction Temperature: 121 °C and 15 lbs for 20 min]. Finally, each solvent was removed with a rotary evaporator at low pressure (p = 25 mbar, T = 50 °C) [Rotary Evaporator IKA Make RV 10 Digital, Mumbai, India].
In the heat treatment, the culture suspension was autoclaved at 121 °C and 15 lbs for 20 min after termination of the batch. After the heat treatment, two layers were formed; one contained a heavily brick-colored oil and MEL-containing phase and another one comprised cell debris and broth. A brick-red-colored layer was separated and dissolved in methanol and extracted with hexane. Then, methanol was again evaporated and crude was analyzed by the anthrone method.
2.6. Monitoring of Residual Oil and MEL Content
During the incubation period, the culture was sampled to determine residual oil and MEL content at different time intervals. The culture broth was centrifuged at 8000 rpm for 15 min and the supernatant was extracted with hexane. To quantify residual oil, hexane extract was evaporated at 60 °C and the quantity of residual oil was measured. For the quantification of MEL, the crude product was analyzed by the anthrone method [32]. The anthrone method was chosen to quantify MEL due to its simplicity, cost-effectiveness, and ability to handle multiple samples quickly. Unlike HPLC or GC, which require sophisticated equipment, extensive sample preparation, and trained personnel, the anthrone method is a straightforward colorimetric assay. It can be performed with basic laboratory equipment, making it accessible for many labs. Additionally, the anthrone method is effective in quantifying carbohydrate components in MEL, providing reliable results without the complexity and higher costs associated with HPLC or GC techniques. Mannosylerythritol lipid (Figure 1) content was calculated by multiplying mannose values by 3.6 as per the average molecular weight of fatty acids from the fatty acid profile of mannosylerythritol lipids and molecular weight of mannose [13,14].
Figure 1.
General structure of mannosylerythritol lipids produced by P. antarctica.
The anthrone method quantifies mannosylerythritol lipids (MELs) by reacting them with anthrone reagent. First, MEL samples and glucose standards are prepared, with glucose used to create a calibration curve. Each solution is reacted with anthrone, heated in a boiling water bath for 10 min, and then cooled. Absorbance at 620 nm is measured to determine carbohydrate concentration. A standard curve is plotted using glucose standards and the carbohydrate content in the MEL sample is calculated by comparing the sample’s absorbance to the curve. The MEL concentration is estimated based on the carbohydrate-to-lipid ratio.
2.7. Surfactant Properties
Crude MEL was dissolved in distilled water at different concentrations to determine the surfactant properties. Surface tension (SFT) and interfacial tension (IFT) against n-heptane were measured with Krusstensiometer K100.
3. Results
3.1. Acid Oil Characterization
Acid oil is a byproduct of the oil refining process. Acid oil is considered highly rich in free fatty acid, and hence, its utilization as a newer substrate for MEL production was tested both to reduce the load in waste treatment as well as to reduce the production cost of MEL. The physicochemical properties of the acid oil were analyzed as per the American Oil Chemists’ Society (AOCS)’s official methods and are shown in Table 2. The iodine value indicates the presence of unsaturation in the acid oil.
Table 2.
Physicochemical properties of acid oil.
Further analysis of acid oil methyl ester by GC revealed the presence of different fatty acids at variable concentrations [32]. As acid oil is a complex waste, its fatty acid content depends on the crude oil and the refining process itself. The chromatogram detected both the presence of saturated as well as unsaturated fatty acids ranging from C10 to C18 in chain length. The main constituents were unsaturated fatty acids like oleic and linoleic acid, which constituted about 78% of the total fatty acid content. These fatty acids present in acid oil are of high interest for the production of both acylated MEL as well as nonacylated MEL [15,16]. Many vegetable oils such as soybean oil, safflower oil, rapeseed oil, and olive oil serve as suitable carbon sources for MEL production [17,18]. Accordingly, the acid oil containing a fatty acid profile similar to that of vegetable oil is considered here as a hydrophobic carbon substrate for the production of MEL. Very recently, we reported the use of acid oil for the production of glycolipid surfactant sophorolipid and rhamnolipid [4,19].
3.2. MEL Production
To develop a suitable cultivation process for MEL production using acid oil, batch fermentation was performed using P. antarctica. Batch experiments with different initial substrate concentrations (80, 120, 160, 200, 240 g L−1) were implemented on shake flask mode for the production of MEL. The cultivation data were as shown in Figure 2.
Figure 2.
Effect of substrate concentration on MEL titer g L−1 (
) and biomass g L−1 (
).
) and biomass g L−1 (
).
It should be noted that the biomass and MEL titer were increased with an increase in the initial substrate concentration. After 7 days of incubation, the maximum biomass and MEL titer were observed with 160 and 200 g L−1 of initial acid oil concentration. As the results suggested, the acid oil was utilized by microbes for both purposes: specifically, both for cell growth as well as for MEL synthesis. However, the biomass and MEL titer were not affected by further increases in the initial acid oil concentration above 200 g L−1. Morita et al. [20] had also reported a similar trend for MEL production using soybean oil. Thus, the present study elucidated efficient cell growth and MEL production with acid oil with a maximum titer of 3.89 g L−1. Here, the major fatty acid components of acid oil were C8, C10, C18:1, and C18:2, which had beneficial effects on microbial growth during the synthesis of MEL biosurfactants. According to the literature, all vegetable oils, except for coconut oil, produce significant amounts of MEL by fermentation, and there is no compelling difference in MEL productivity between safflower, corn, olive, and soybean oils [17]. As this observation suggests, the growth of microbes and titer of MEL are satisfactory in the case of acid oil, and so the main component fatty acids of acid oil are different from those of coconut oil, and hence, acid oil is a suitable carbon source for MEL production.
The literature suggests the use of different carbon sources for the production of MEL, such as honey with 5.61 g L−1 titer [13], olive oil with 37 g L−1 titer [21], safflower oil with 19 g L−1 titer [22], and castor oil with 22 g L−1 titer [23]. Andrade et al. [24] reported MEL production from cassava wastewater with 1.26 g L−1 titer, supporting the present study on the use of industrial waste as a carbon source for biosurfactant production. Morita et al. [25] reported that 12.7 g L−1 MEL-B produced from sugarcane containing sucrose in a high concentration was considered the most economical resource for a microbial process. However, the use of vegetable oil and sugar as carbon substrates detracts from the sustainability of MEL production due to the prominence of conserving dedicated crops for human nutritional consumption. Several sources of residual vegetable oils and/or sugars present in byproducts are inadequate for human or animal consumption.
3.3. Feeding-Rate-Controlled Fed-Batch Fermentation
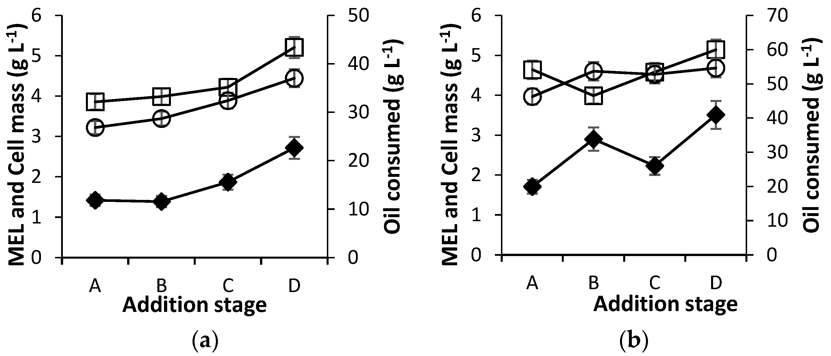
In the present study, the development and optimization of MEL production with the periodic addition of substrates were assessed to increase the titer. Similar to batch fermentation, the periodic addition of acid oil also supported cell growth and MEL production. The effects of different feeding strategies on cell growth, substrate consumption, and MEL production are presented in Figure 3. Periodic oil feeding in four steps showed improvements in MEL production for all concentrations of acid oil. Figure 3a shows MEL production using an 80 g L−1 substrate with variable feeding strategies. Here, MEL production increased from 1.42 to 2.72 g L−1 with different feeding concentrations. With the presence of 120 g L−1 of acid oil, the MEL concentration increased with increases in the biomass up to 10.14 g L−1, corresponding to a titer of 3.51 g L−1 (Figure 3b), by the periodic addition of substrates.

Figure 3.
Production of MEL using Pseudozyma antarctica by periodic addition of acid oil at different total substrate concentrations: (a) 80 g acid oil L−1, (b) 120 g acid oil L−1, (c) 160 g acid oil L−1, (d) 200 g acid oil L−1. Data are represented in the following formats: MEL titer g L−1 (
), cell mass g L−1 (
), and oil consumed g L−1 (
). Data points are the average results of three independent cultivations.
), cell mass g L−1 (
), and oil consumed g L−1 (
). Data points are the average results of three independent cultivations.
Similarly, oil consumption, as well as cell growth, was improved and the MEL titer was found to be increased up to 4.96 g L−1 and 5.56 g L−1 with 160 g L−1 and 200 g L−1 periodic feedings of acid oil, respectively. Under different feeding rates, surprisingly, MEL formation was increased by 2.04 fold with fed-batch cultivation compared to batch cultivation. The controlled feeding strategy with a 200 g L−1 substrate concentration improved the MEL production up to 0.07 g L−1 titer after 7 days of fermentation (Figure 3d).
From these results, we find that the feeding-rate-controlled fed-batch strategy had a distinct influence on the MEL titer. As the fermentation medium contained two immiscible phases, mass transfer played a vital role in the efficient production of MEL. Similar to other glycolipid surfactants, MEL was mainly produced during the stationary phase of cell growth [26]. As P. antarctica is an aerobic microbe, the basic requirement for microbial growth is oxygen. During the periodic addition of acid oil, air-to-broth barrier formation was the least. So, the cell concentration, along with MEL production, was increased as a result of better aeration with the periodic addition of substrate.
Further, the fermentation medium contained acid oil, a hydrophobic substrate; it is difficult for this substance to form a homogeneous phase. Hence, the mass transfer for the substrate in an aqueous nutrient medium may have acted as a limiting factor. Here, the mass transfer was achieved through emulsification, which requires some energy to disperse the hydrophobic phase in water. This amount of energy can be considered a measure of the thermodynamic instability of an emulsion. Changes in the interfacial area difference constitute the only way to minimize the energy required for emulsification [27]. In the case of periodic substrate addition, the thermodynamic energy requirement for stable emulsion formation was lower compared to the direct addition of the substrate. So, the minimum addition of oil at the time produced better emulsion, and hence, the utilization of oil became easy for microbes. Thus, the production rate of MEL can be improved by the addition of 20–50 g L−1 of a hydrophobic substrate on each day after the stationary phase.
3.4. Time Course of MEL Production with Periodic Feeding of Acid Oil
As mentioned above, Pseudozyma antarctica efficiently produced MEL by feeding 200 g L−1 of acid oil in four steps to the culture medium. Hence, the fermentation was conducted by the periodic addition of 200 g L−1 acid oil to examine the feasibility of continuous MEL production. Feeding the substrate repeatedly after every 24 h greatly facilitated the MEL production and biomass compared to the one-time addition of the substrate at the initial stage of fermentation (Figure 4). Interestingly, the addition of the substrate during the middle-to-late stages of the microbial stationary phase was found to be beneficial to maintain a certain biomass and improve product generation. The production of MEL occurred during only during the stationary phase.
Figure 4.
Time course of MEL production from acid oil by Pseudozyma antarctica. Data for periodic addition of substrate are represented in the following formats: MEL titer g L−1 (
), cell mass g L−1 (
), and, for one-time addition of substrate, MEL titer g L−1 (
) and cell mass g L−1 (
). Data points are the averages of data from three independent cultivations.
), cell mass g L−1 (
), and, for one-time addition of substrate, MEL titer g L−1 (
) and cell mass g L−1 (
). Data points are the averages of data from three independent cultivations.
3.5. Solvent–Solvent Extraction
In the solvent extraction of MEL, the assessment of liquid–liquid partition coefficients is extremely important to understand the distribution of MEL in an organic-solvent–water system. Various organic solvents were screened at different pH levels for the extraction of MEL from broth. The higher partition coefficient was used as the selection index. According to the results, the partition coefficient was high for mid-polar solvents like ethyl acetate and methyl tert-butyl ether and for a binary mixture of ethyl acetate and acetonitrile (9:1). The nonpolar solvents like hexane showed a significantly low partition coefficient of 0.33. An increase in the partition coefficient was proportional to the increase in the concentration of MEL extracted. MEL extraction using binary solvents like ethyl acetate and acetonitrile (9:1) allowed an excellent recovery due to their having the highest partition coefficient in a ratio of 3.1. Hexane gave a low level of MEL because of its lower efficiency of solvation. The extraction process was found to be strongly affected by variations in the pH. Graphically, it was observed that the partition coefficient of MEL declined with an increase in the pH (Figure 5).
Figure 5.
Effects of pH on the partition coefficients of different solvents with water for MEL extraction.
A progressive increase in the partition coefficient due to a decreased pH resulted from the improved solubility of MEL in the solvent. When pH value was increased from 2 to 6, the extraction titer of MEL decreased due to weak covalent bonding between MEL and the solvent at a higher pH. Solvent extraction in an acidic medium was also successfully reported by Chtioui et al. [28]. This study reported having high surfactin recovery in the acidic medium and a low distribution ratio at a neutral pH. Therefore, the type of extraction solvent, its polarity, and its pH may have significant impacts on the quantity of MEL extracted. The highest extraction of MEL was typically achieved using a solvent with intermediate polarity, which exhibited better solvation efficiency due to interactions, such as hydrogen bonds, between the polar sites of the compounds and the solvent when compared to nonpolar solvents [29]. Here, the recovery rates of MEL from broth using ethyl acetate, MTBE, and Ethylacetate: acetonitrile (9:1) were 69%, 73.6% and 75.6%, respectively. Therefore, binary solvents are also useful for recovering MEL.
3.6. Heat Treatment
The isolation of MEL by heating the broth at high temperatures is a simplistic downstream process. The solvent-free separation of a MEL-enriched solid phase was obtained by autoclaving the broth after fermentation. In comparison with untreated broth, the autoclaving process induced the transfer of MEL from an aqueous phase to a solid phase. About 85% (w/v) of MEL was transferred into the solid phase, which led to the separation of cell mass in the liquid phase. The solid phase was composed of about 60% (w/v) MEL, and the remaining part comprised residual acid oil and fatty acids. The titer values obtained by the heat treatment process for different concentrations of substrates are shown in Table 3. As expected, 200 g L−1 acid oil showed a higher titer of MEL 3.8 g L−1. Rau et al. [30] have investigated the heat treatment process at variable temperatures. The authors have highlighted that the process is independent of temperature, but heating for long duration favors the transfer of oil to a solid phase separated at the top. Nevertheless, heating the culture suspension as it is for a longer duration promotes the release of fatty acids from residual acid oil, which alters the purity of the product.
Table 3.
Extraction of MEL by heat treatment.
Compare to other downstream processes, the present technique is an economical approach for the recovery of MEL with the simplistic product recovery mode. The process allows the easy monitoring of purification without any advanced equipment in minimal time. However, it is observed that the MEL titer varies greatly; hence, the method is inconsistent.
3.7. Determination of Surfactant Properties
The surface tension and interfacial tension against n-heptane were analyzed at ambient conditions for the aqueous solution of crude MEL. The present MEL reduced the surface tension of water from 72 mN m−1 to 32.75 mN m−1 at a 0.1% (w/v) concentration. The interfacial tension at the same concentration decreased from 32.46 mN m−1 (water/n-heptane) to 4.45 mN m−1 (MEL solution/n-heptane), which was sufficiently low to realize the emulsifying power of hydrocarbon droplets by MEL. The GC chromatogram of MEL showed assorted peaks at 7.73, 8.14, and 8.91 min, corresponding to MEL–A, MEL–B, and MEL–C, respectively.
Figure 6 depicts the surface tension reduction profile with an increase in the molar concentration of MEL. The MEL produced from acid oil was shown to have a critical micelle concentration (CMC) of 2.8 × 10−6 M with 29.3 mN m−1 surface tension at the CMC (γCMC). In the literature, the CMC of the MEL produced from Pseudozyma antarctica with soybean oil as substrate had been estimated to be 2.7 × 10−6 M [11], which was comparable to the obtained results. Similarly, Konishi et al. had reported a high value of 6.0 ×10−6 M for the CMC and 25.1 mN m−1 for the minimum surface tension for MEL–C produced from P. hubeiensis (KM-59) in a fed-batch culture grown on soybean oil as the carbon source [17].
Figure 6.
Calculation of the CMC value from the surface tension vs. concentration plot.
The surface excess (Γ) for the present molecule, calculated by Gibb’s adsorption isotherm, was 0.807 molm−2. From the surface excess, the area occupied per molecule at the interface was also calculated as 20.5 Å. As expected, all these properties of MEL showed ample hydrophilicity, retaining an excellent surface-tension-lowering activity.
Indeed, as previously reported, the MEL produced by P. aeruginosa grown on soybean oil and sucrose showed CMC values as 1.02 × 10−4 M and γCMC 29.85 mN m−1, which were higher than those shown by the present MEL synthesized by using acid oil [31]. The significant difference in the previously mentioned surface excess (1.29 mol.m−2) and area per molecule (129 Å) for the same molecule may be attributed to the difference in the chain length of the hydrophobic group at the C-2′ position on the mannose molecule. However, the observed area per molecule of MEL (60 Å) at the interface was substantially different from that of MEL (129 Å) reported by [31]. Figure 7 shows the biosynthetic pathway of the Pseudozyma spp.
Figure 7.
The biosynthetic pathway of the diastereomer type of MEL. [Reproduced from open-access article, Ref. [35]: https://doi.org/10.5650/jos.ess22089. © 2022 by Japan Oil Chemists’ Society].
4. Limitations of the Study
While using acid oil in MEL synthesis offers cost and environmental benefits, it also presents several limitations. The composition of acid oil can vary significantly depending on its source, leading to inconsistencies in MEL yield and quality. Impurities present in acid oil may inhibit microbial growth or interfere with the biosurfactant production process, necessitating additional purification steps that can increase overall production costs. Moreover, the scalability of using acid oil may be constrained by the availability and supply of this byproduct, potentially limiting its widespread application. Addressing these challenges is crucial for optimizing MEL synthesis from acid oil. Figure 8 discusses the tree of some MEL-producing microorganisms, which could be used for producing MEL with other microbes.
Figure 8.
Molecular phylogenetic tree of some MEL-producing microorganisms. [Adapted from open-access article, Ref. [36], available at: Biomolecules 2024, 14(5), 557; https://doi.org/10.3390/biom14050557].
5. Challenges and Future Suggestions
Commercializing mannosylerythritol lipid (MEL) biosurfactant production from acid oil involves significant challenges, including high production costs, scalability issues, and stringent regulatory requirements. The complexity of optimizing microbial strains and fermentation conditions for efficient MEL production adds to these challenges. Strategies to overcome these hurdles include engineering robust microbial strains to enhance yields, optimizing bioreactor designs for large-scale production, and developing cost-effective downstream processing methods. Collaborating with industrial partners for pilot-scale validation and securing regulatory approvals through rigorous testing are crucial. Market acceptance can be improved by demonstrating the environmental benefits and superior performance of MEL compared to synthetic surfactants.
MEL (mannosylerythritol lipid) production faces challenges due to low productivity (0.59 g/L/h) and high costs, with downstream processing making up 60% of the total cost [37]. Although production costs for related glycolipids, SLs (sophorolipids) and RLs (rhamnolipids), are estimated at USD 2.95/kg and USD 20–25/kg, MELs are expected to be even more expensive [38]. Efforts to reduce these costs continue, but bioprocess costs remain higher than those for chemical surfactants (USD 1–3/kg). Despite this, recent advancements have demonstrated the scalability of MEL production to 1 m3, a significant step toward commercial viability [37,38,39].
Future research on extracting MEL from acid oils should focus on optimizing the purification processes to handle the variability and impurities in acid oils effectively. Investigating microbial strains with higher tolerance to impurities and enhanced biosurfactant production capabilities can improve yields and consistency. Additionally, exploring cost-effective and scalable purification techniques will be essential in order to address the limitations of current methods. Research on the environmental impact and lifecycle analysis of using acid oils for MEL production can provide insights into sustainable practices. Finally, developing standardized protocols for the consistent supply and quality of acid oils will support the scalability and industrial application of this approach.
6. Conclusions
In this work, mannosyl erythritol lipid production by using acid oil as the substrate was performed. The highest titer of MEL produced was on 200 g L−1 of acid oil, and for the same concentration, the titer was increased with multistage addition, which meant that the addition of a small amount of acid oil at a time favored aerobic microorganisms as it facilitated respiration and the energy required for emulsification was less. The periodic feeding of acid oil increased the MEL titer up to 5.71 g L−1. A detailed study on the surfactant properties of MEL revealed that the produced biosurfactant exhibited satisfactory surface activity and hence can be utilized as an emulsifier in pharmaceuticals and cosmetics. Overall, the results of this study highlight the use of acid oil as a carbon substrate for the production of a value-added product.
Supplementary Materials
The following supporting information can be downloaded at: https://www.mdpi.com/article/10.3390/app14219891/s1. References [40,41] are cited in the supplementary materials.
Author Contributions
Conceptualization, S.B.K., A.P.P. and J.N.C.; methodology, S.N.M.; software, S.S.D.; validation, J.V.J. and A.P.P.; formal analysis, S.S.D.; investigation, S.S.D.; resources, J.V.J.; data curation, S.N.M. and J.N.C.; writing—original draft preparation, S.B.K., A.P.P. and J.N.C.; writing—review and editing, A.P.P.; visualization, J.N.C.; supervision, A.P.P.; project administration, A.P.P.; funding acquisition, S.N.M. All authors have read and agreed to the published version of the manuscript.
Funding
This research received no external funding.
Institutional Review Board Statement
Not applicable.
Informed Consent Statement
Not applicable.
Data Availability Statement
The original contributions presented in the study are included in the article, further inquiries can be directed to the corresponding author.
Acknowledgments
This study is financially supported by the Department of Biotechnology (DBT), Ministry of Science & Technology, Government of India.
Conflicts of Interest
The authors declare no conflicts of interest.
References
- Pacwa-Płociniczak, M.; Płaza, G.A.; Piotrowska-Seget, Z.; Cameotra, S.S. Environmental Applications of Biosurfactants: Recent Advances. Int. J. Mol. Sci. 2011, 12, 633–654. [Google Scholar] [CrossRef]
- Morita, T.; Fukuoka, T.; Imura, T.; Kitamoto, D. Production of mannosylerythritol lipids and their application in cosmetics. Appl. Microbiol. Biotechnol. 2013, 97, 4691–4700. [Google Scholar] [CrossRef] [PubMed]
- Arutchelvi, J.I.; Bhaduri, S.; Uppara, P.V.; Doble, M. Mannosylerythritol lipids: A review. J. Ind. Microbiol. Biotechnol. 2008, 35, 1559–1570. [Google Scholar] [CrossRef] [PubMed]
- Coelho, A.L.S.; Feuser, P.E.; Carciofi, B.A.M.; de Andrade, C.J.; de Oliveira, D. Mannosylerythritol lipids: Antimicrobial and biomedical properties. Appl. Microbiol. Biotechnol. 2020, 104, 2297–2318. [Google Scholar] [CrossRef]
- Kitamoto, D.A.; Isoda, H.N.T. Functions and Potential Applications of Glycolipid Biosurfactants from Energy-Saving Materials to Gene Delivery Carriers. J. Biosci. Bioeng. 2002, 94, 187–201. [Google Scholar] [CrossRef]
- Nagtode, V.S.; Cardoza, C.; Yasin, H.K.A.; Mali, S.N.; Tambe, S.M.; Roy, P.; Singh, K.; Goel, A.; Amin, P.D.; Thorat, B.R.; et al. Green Surfactants (Biosurfactants): A Petroleum-Free Substitute for Sustainability─Comparison, Applications, Market, and Future Prospects. ACS Omega 2023, 8, 11674–11699. [Google Scholar] [CrossRef] [PubMed]
- Kitamoto, D.; Yanagishita, H.; Haraya, K.; Kitamoto, H.K. Contribution of a Chain-Shortening Pathway to the Biosynthesis of the Fatty Acids of Mannosylerythritol Lipid (Biosurfactant) in the Yeast Candida Antarctica: Effect of β-Oxidation Inhibitors on Biosurfactant Synthesis. Biotechnol. Lett. 1998, 20, 813–818. [Google Scholar] [CrossRef]
- Fan, L.; Li, H.; Niu, Y.; Chen, Q. Characterization and Inducing Melanoma Cell Apoptosis Activity of Mannosylerythritol Lipids-A Produced from Pseudozyma aphidis. PLoS ONE 2016, 11, e0148198. [Google Scholar] [CrossRef]
- Beck, A.; Werner, N.; Zibek, S. Mannosylerythritol lipids: Biosynthesis, genetics, and production strategies. In Biobased Surfactants; AOCS Press: Washington, DC, USA, 2019; pp. 121–167. [Google Scholar]
- Morita, T.; Kitagawa, M.; Yamamoto, S.; Sogabe, A.; Imura, T.; Fukuoka, T.; Kitamoto, D. Glycolipid Biosurfactants, Mannosylerythritol Lipids, Repair the Damaged Hair. J. Oleo Sci. 2010, 59, 267–272. [Google Scholar] [CrossRef]
- Kitamoto, D.; Yanagishita, H.; Shinbo, T.; Nakane, T.; Kamisawa, C.; Nakahara, T. Surface Active Properties and Antimicrobial Activities of Mannosylerythritol Lipids as Biosurfactants Produced by Candida antarctica. J. Biotechnol. 1993, 29, 91–96. [Google Scholar] [CrossRef]
- Kim, H.S.; Jeon, J.W.; Kim, B.H.; Ahn, C.Y.; Oh, H.M.; Yoon, B.D. Extracellular Production of a Glycolipid Biosurfactant, Mannosylerythritol Lipid, by Candida sp. SY16 Using Fed-Batch Fermentation. Appl. Microbiol. Biotechnol. 2006, 70, 391–396. [Google Scholar] [CrossRef] [PubMed]
- Kim, H.S.; Yoon, B.D.; Choung, D.H.; Oh, H.M.; Katsuragi, T.; Tani, Y. Characterization of a biosurfactant, mannosylerythritol lipid produced from Candida sp. SY16. Appl. Microbiol. Biotechnol. 1999, 52, 713–721. [Google Scholar] [CrossRef] [PubMed]
- De Oliveira, M.S.; Silva, S.G.; da Cruz, J.N.; Ortiz, E.; da Costa, W.A.; Bezerra, F.W.F.; Cunha, V.M.B.; Cordeiro, R.M.; de Jesus Chaves Neto, A.M.; de Aguiar Andrade, E.H. Supercritical CO2 Application in Essential Oil Extraction. Mater. Res. Found. 2019, 2, 1–28. [Google Scholar] [CrossRef]
- Kitamoto, D.; Ikegami, T.; Suzuki, G.T.; Sasaki, A.; Takeyama, Y.I.; Idemoto, Y.; Koura, N.; Yanagishita, H. Microbial Conversion of N-Alkanes into Glycolipid Biosurfactants, Mannosylerythritol Lipids, by Pseudozyma (Candida antarctica). Biotechnol. Lett. 2001, 23, 1709–1714. [Google Scholar] [CrossRef]
- Goossens, E.; Wijnants, M.; Packet, D.; Lemière, F. Enhanced Separation and Analysis Procedure Reveals Production of Tri-Acylated Mannosylerythritol Lipids by Pseudozyma aphidis. J. Ind. Microbiol. Biotechnol. 2016, 43, 1537–1550. [Google Scholar] [CrossRef]
- Konishi, M.; Morita, T.; Fukuoka, T.; Imura, T.; Kakugawa, K.; Kitamoto, D. Efficient Production of Mannosylerythritol Lipids with High Hydrophilicity by Pseudozyma hubeiensis KM-59. Appl. Microbiol. Biotechnol. 2008, 78, 37–46. [Google Scholar] [CrossRef]
- Kim, H.S.; Jeon, J.W.; Lee, H.W.; Park, Y.I.; Seo, W.T.; Oh, H.M.; Katsuragi, T.; Tani, Y.; Yoon, B.D. Extracellular Production of a Glycolipid Biosurfactant, Mannosylerythritol Lipid, from Candida antarctica. Biotechnol. Lett. 2002, 24, 225–229. [Google Scholar] [CrossRef]
- Valkenburg, A.D.; Ncube, M.Z.; Teke, G.M.; van Rensburg, E.; Pott, R.W. A review on the upstream production and downstream purification of mannosylerythritol lipids. Biotechnol. Bioeng. 2024, 121, 853–876. [Google Scholar] [CrossRef]
- Morita, T.; Konishi, M.; Fukuoka, T.; Imura, T.; Sakai, H.; Kitamoto, D. Efficient Production of Di- and Tri-Acylated Mannosylerythritol Lipids as Glycolipid Biosurfactants by Pseudozyma parantarctica JCM 11752(T). J. Oleo Sci. 2008, 57, 557–565. [Google Scholar] [CrossRef]
- Saika, A.; Koike, H.; Yamamoto, S.; Kishimoto, T.; Morita, T. Enhanced Production of a Diastereomer Type of Mannosylerythritol Lipid-B by the Basidiomycetous Yeast Pseudozyma tsukubaensis Expressing Lipase Genes from Pseudozyma Antarctica. Appl. Microbiol. Biotechnol. 2017, 101, 8345–8352. [Google Scholar] [CrossRef]
- Morita, T.; Konishi, M.; Fukuoka, T.; Imura, T.; Kitamoto, D. Production of Glycolipid Biosurfactants, Mannosylerythritol Lipids, by Pseudozyma siamensis CBS 9960 and Their Interfacial Properties. J. Biosci. Bioeng. 2008, 105, 493–502. [Google Scholar] [CrossRef] [PubMed]
- Yamamoto, S.; Fukuoka, T.; Imura, T.; Morita, T.; Yanagidani, S.; Kitamoto, D.; Kitagawa, M. Production of a Novel Mannosylerythritol Lipid Containing a Hydroxy Fatty Acid from Castor Oil by Pseudozyma tsukubaensis. J. Oleo Sci. 2013, 62, 381–389. [Google Scholar] [CrossRef] [PubMed]
- De Andrade, C.J.; de Andrade, L.M.; Rocco, S.A.; Sforça, M.L.; Pastore, G.M.; Jauregi, P. A Novel Approach for the Production and Purification of Mannosylerythritol Lipids (MEL) by Pseudozyma tsukubaensis Using Cassava Wastewater as Substrate. Sep. Purif. Technol. 2017, 180, 157–167. [Google Scholar] [CrossRef]
- Morita, T.; Ishibashi, Y.; Hirose, N.; Wada, K.; Takahashi, M.; Fukuoka, T.; Imura, T.; Sakai, H.; Abe, M.; Kitamoto, D. Production and Characterization of a Glycolipid Biosurfactant, Mannosylerythritol Lipid B, from Sugarcane Juice by Ustilago scitaminea NBRC 32730. Biosci. Biotechnol. Biochem. 2011, 75, 1371–1376. [Google Scholar] [CrossRef]
- Spoeckner, S.; Wray, V.; Nimtz, M.; Lang, S. Glycolipids of the Smut Fungus Ustilago maydis from Cultivation on Renewable Resources. Appl. Microbiol. Biotechnol. 1999, 51, 33–39. [Google Scholar] [CrossRef]
- Rosen, M.J.; Kunjappu, J.T. Surfactants and Interfacial Phenomena; John Wiley & Sons: Hoboken, NJ, USA, 2004; ISBN 9786468600. [Google Scholar]
- Chtioui, O.; Dimitrov, K.; Gancel, F.; Nikov, I. Biosurfactants Production by Immobilized Cells of Bacillus subtilis ATCC 21332 and Their Recovery by Pertraction. Process Biochem. 2010, 45, 1795–1799. [Google Scholar] [CrossRef]
- Thouri, A.; Chahdoura, H.; El Arem, A.; Omri Hichri, A.; Ben Hassin, R.; Achour, L. Effect of Solvents Extraction on Phytochemical Components and Biological Activities of Tunisian Date Seeds (Var. Korkobbi and Arechti). BMC Complement. Altern. Med. 2017, 17, 248. [Google Scholar] [CrossRef]
- Rau, U.; La, A.N.; Roeper, H.; Koch, H.; Lang, S. Downstream Processing of Mannosylerythritol Lipids Produced by Pseudozyma aphidis. Eur. J. Lipid Sci. Technol. 2005, 107, 373–380. [Google Scholar] [CrossRef]
- Bhangale, A.; Patil, S.; Wadekar, S.; Kale, S.; LaIi, A.; Bhowmick, D.; Pratap, A. Stabilization of Foam Produced by Sodium Lauryl Sulphate with Mannosylerythritol Lipids Synthesized on Soybean Oil and Sucrose by Pseudozyma antarctico (ATCC 32657). Tenside Surfactants Deterg. 2013, 50, 131–136. [Google Scholar] [CrossRef]
- Bhangale, A.P.; Wadekar, S.D.; Kale, S.B.; Mali, S.N.; Pratap, A.P. Non-traditional oils with water-soluble substrate as cell growth booster for the production of mannosylerythritol lipids by Pseudozyma antarctica (ATCC 32657) with their antimicrobial activity. Tenside Surfactants Deterg. 2022, 59, 122–133. [Google Scholar] [CrossRef]
- Mawani, J.; Jadhav, J.; Pratap, A. Fermentative production of mannosylerythritol lipids using sweetwater as waste substrate by Pseudozyma antarctica (MTCC 2706). Tenside Surfactants Deterg. 2021, 58, 246–258. [Google Scholar] [CrossRef]
- Morita, T.; Konishi, M.; Fukuoka, T.; Imura, T.; Kitamoto, H.K.; Kitamoto, D. Characterization of the genus Pseudozyma by the formation of glycolipid biosurfactants, mannosylerythritol lipids. FEMS Yeast Res. 2007, 7, 286–292. [Google Scholar] [CrossRef]
- Saika, A.; Koike, H.; Yamamoto, S.; Sugahara, T.; Kawahara, A.; Sogabe, A.; Morita, T. Improvement of oil degradation and MEL production in a yeast strain, Pseudozyma tsukubaensis, by translation elongation factor 1 promoter-driven expression of a lipase. J. Oleo Sci. 2022, 71, 1421–1426. [Google Scholar] [CrossRef] [PubMed]
- Liu, D.; Liu, G.; Liu, S. Promising Application, Efficient Production, and Genetic Basis of Mannosylerythritol Lipids. Biomolecules 2024, 14, 557. [Google Scholar] [CrossRef] [PubMed]
- Lang, S.; Wullbrandt, D. Rhamnose lipids—Biosynthesis, microbial production and application potential. Appl. Microbiol. Biotechnol. 1999, 51, 22–32. [Google Scholar] [CrossRef]
- Yang, Q.; Shen, L.; Yu, F.; Zhao, M.; Jin, M.; Deng, S.; Long, X. Enhanced fermentation of biosurfactant mannosylerythritol lipids on the pilot scale under efficient foam control with addition of soybean oil. Food Bioprod. Process. 2023, 138, 60–69. [Google Scholar] [CrossRef]
- de Almeida, J.D.; Nascimento, M.F.; Keković, P.; Ferreira, F.C.; Faria, N.T. Unlocking the Potential of Mannosylerythritol Lipids: Properties and Industrial Applications. Fermentation 2024, 10, 246. [Google Scholar] [CrossRef]
- Scott, T.A.; Melvin, E.H. Determination of dextran with anthrone. Anal. Chem. 1953, 25, 1656–1661. [Google Scholar] [CrossRef]
- Blakeney, A.B.; Harris, P.J.; Henry, R.J.; Stone, B.A. A simple and rapid preparation of alditol acetates for monosaccharide analysis. Carbohydr. Res. 1983, 113, 291–299. [Google Scholar] [CrossRef]
Disclaimer/Publisher’s Note: The statements, opinions and data contained in all publications are solely those of the individual author(s) and contributor(s) and not of MDPI and/or the editor(s). MDPI and/or the editor(s) disclaim responsibility for any injury to people or property resulting from any ideas, methods, instructions or products referred to in the content. |
© 2024 by the authors. Licensee MDPI, Basel, Switzerland. This article is an open access article distributed under the terms and conditions of the Creative Commons Attribution (CC BY) license (https://creativecommons.org/licenses/by/4.0/).








