A Thermogravimetric Analysis of Biomass Conversion to Biochar: Experimental and Kinetic Modeling
Abstract
1. Introduction
2. Experimental Section
2.1. Materials
2.1.1. Preparation of the Biomass
2.1.2. Fourier Transform Infrared Spectroscopy (FTIR)
2.1.3. Thermogravimetric Analysis (TGA)
2.1.4. Proximate Analysis
2.1.5. SEM Analysis
3. Results and Discussion
3.1. Thermal Decomposition of Biomass Waste
3.1.1. Proximate Analysis Results
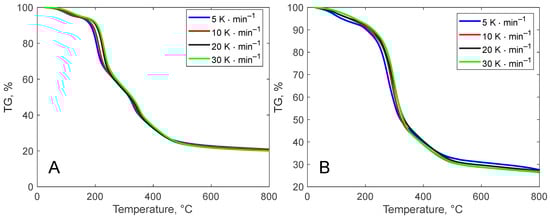
3.1.2. Thermogravimetric Profile of the Biomass Waste Samples
3.2. Thermal Decomposition Kinetic Modeling
3.2.1. Model-Free Methods
3.2.2. Model-Fit Methods
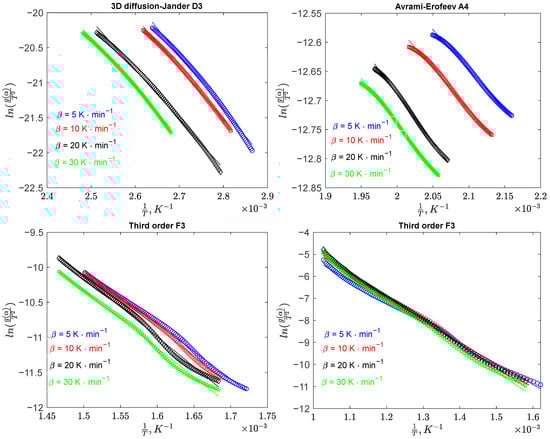
Kinetic Analysis
Single-Step Kinetic Model
Multistep Kinetic Model
3.3. Effect of Temperature on Biomass Waste Surface Structure
3.3.1. FTIR Analysis
3.3.2. SEM Analysis Results
- A preliminary study regarding the possible uses of the obtained biochars
4. Conclusions
Author Contributions
Funding
Institutional Review Board Statement
Informed Consent Statement
Data Availability Statement
Conflicts of Interest
References
- Wang, X.; Zhou, W.; Liang, G.; Song, D.; Zhang, X. Characteristics of maize biochar with different pyrolysis temperatures and its effects on organic carbon, nitrogen and enzymatic activities after addition to fluvo-aquic soil. Sci. Total Environ. 2015, 538, 137–144. [Google Scholar] [CrossRef] [PubMed]
- Kwapinski, W.; Byrne, C.M.P.; Kryachko, E.; Wolfram, P.; Adley, C.; Leahy, J.J.; Novotny, E.H.; Hayes, M.H.B. Biochar from Biomass and Waste. Waste Biomass Valorization 2010, 1, 177–189. [Google Scholar] [CrossRef]
- Mishra, R.K.; Mohanty, K. A review of the next-generation biochar production from waste biomass for material applications. Sci. Total Environ. 2023, 904, 167171. [Google Scholar] [CrossRef]
- Koçer, A.T.; Erarslan, A.; Özçimen, D. Pyrolysis of Aloe vera leaf wastes for biochar production: Kinetics and thermodynamics analysis. Ind. Crops Prod. 2023, 204, 117354. [Google Scholar] [CrossRef]
- Park, J.-H.; Wang, J.J.; Meng, Y.; Wei, Z.; DeLaune, R.D.; Seo, D.-C. Adsorption/desorption behavior of cationic and anionic dyes by biochars prepared at normal and high pyrolysis temperatures. Colloids Surf. A Physicochem. Eng. Asp. 2019, 572, 274–282. [Google Scholar] [CrossRef]
- Hussin, F.; Aroua, M.K.; Szlachta, M. Biochar derived from fruit by-products using pyrolysis process for the elimination of Pb(II) ion: An updated review. Chemosphere 2022, 287, 132250. [Google Scholar] [CrossRef]
- Maria-Cristina, S.; Gabriela-Dalila, S.; Andreea-Daniela, G.; Andreea- Carmen-Elena, D. An Overview Of Potato Imports From Romania. Proc. Int. Manag. Conf. 2022, 16, 532–538. [Google Scholar] [CrossRef]
- Mushtaq, Q.; Ishtiaq, U.; Joly, N.; Martin, P.; Qazi, J. Investigation and characterization of changes in potato peels by thermochemical acidic pre-treatment for extraction of various compounds. Sci. Rep. 2024, 14, 12655. [Google Scholar] [CrossRef]
- Sampaio, S.L.; Petropoulos, S.A.; Alexopoulos, A.; Heleno, S.A.; Santos-Buelga, C.; Barros, L.; Ferreira, I.C.F.R. Potato peels as sources of functional compounds for the food industry: A review. Trends Food Sci. Technol. 2020, 103, 118–129. [Google Scholar] [CrossRef]
- Gebrechristos, H.Y.; Chen, W. Utilization of potato peel as eco-friendly products: A review. Food Sci. Nutr. 2018, 6, 1352–1356. [Google Scholar] [CrossRef]
- Chohan, N.A.; Aruwajoye, G.S.; Sewsynker-Sukai, Y.; Gueguim Kana, E.B. Valorisation of potato peel wastes for bioethanol production using simultaneous saccharification and fermentation: Process optimization and kinetic assessment. Renew. Energy 2020, 146, 1031–1040. [Google Scholar] [CrossRef]
- Maragkaki, A.E.; Kotrotsios, T.; Samaras, P.; Manou, A.; Lasaridi, K.; Manios, T. Quantitative and Qualitative Analysis of Biomass from Agro-industrial Processes in the Central Macedonia Region, Greece. Waste Biomass Valorization 2016, 7, 383–395. [Google Scholar] [CrossRef]
- Eurostat Database. Available online: https://ec.europa.eu/eurostat/data/database (accessed on 10 August 2022).
- Vlad, I.M.; Butcaru, A.C.; Fîntîneru, G.; Bădulescu, L.; Stănică, F.; Toma, E. Mapping the Preferences of Apple Consumption in Romania. Horticulturae 2023, 9, 35. [Google Scholar] [CrossRef]
- Rabetafika, H.N.; Bchir, B.; Blecker, C.; Richel, A. Fractionation of apple by-products as source of new ingredients: Current situation and perspectives. Trends Food Sci. Technol. 2014, 40, 99–114. [Google Scholar] [CrossRef]
- Kaur, M.; Kaur, M.; Kaur, H. Apple peel as a source of dietary fiber and antioxidants: Effect on batter rheology and nutritional composition, textural and sensory quality attributes of muffins. J. Food Meas. Charact. 2022, 16, 2411–2421. [Google Scholar] [CrossRef]
- Enniya, I.; Rghioui, L.; Jourani, A. Adsorption of hexavalent chromium in aqueous solution on activated carbon prepared from apple peels. Sustain. Chem. Pharm. 2018, 7, 9–16. [Google Scholar] [CrossRef]
- Urgel, J.J.D.T.; Briones, J.M.A.; Diaz, E.B.; Dimaculangan, K.M.N.; Rangel, K.L.; Lopez, E.C.R. Removal of diesel oil from water using biochar derived from waste banana peels as adsorbent. Carbon Res. 2024, 3, 13. [Google Scholar] [CrossRef]
- Nguyen, V.-T.; Nguyen, T.-B.; Vo, T.-D.-H.; Dat, N.D.; Vo, T.-K.Q.; Nguyen, X.C.; Dinh, V.-C.; Le, T.-N.-C.; Duong, T.-G.-H.; Bui, M.-H.; et al. Preliminary study of doxycycline adsorption from aqueous solution on alkaline modified biochar derived from banana peel. Environ. Eng. Res. 2024, 29, 230190–230196. [Google Scholar] [CrossRef]
- Zhang, W.; Wang, Y.; Fan, L.; Liu, X.; Cao, W.; Ai, H.; Wang, Z.; Liu, X.; Jia, H. Sorbent Properties of Orange Peel-Based Biochar for Different Pollutants in Water. Processes 2022, 10, 856. [Google Scholar] [CrossRef]
- Amin, M.T.; Alazba, A.A.; Shafiq, M. Application of the biochar derived from orange peel for effective biosorption of copper and cadmium in batch studies: Isotherm models and kinetic studies. Arab. J. Geosci. 2019, 12, 46. [Google Scholar] [CrossRef]
- Ullah, R.; Ullah, T.; Khan, N. Removal of Heavy Metals from Industrial Effluents using Burnt Potato Peels as Adsorbent. J. Appl. Organomet. Chem. 2023, 3, 284–293. [Google Scholar] [CrossRef]
- Kyzas, G.Z.; Deliyanni, E.A. Modified activated carbons from potato peels as green environmental-friendly adsorbents for the treatment of pharmaceutical effluents. Chem. Eng. Res. Des. 2015, 97, 135–144. [Google Scholar] [CrossRef]
- Gabhane, J.W.; Bhange, V.P.; Patil, P.D.; Bankar, S.T.; Kumar, S. Recent trends in biochar production methods and its application as a soil health conditioner: A review. SN Appl. Sci. 2020, 2, 1307. [Google Scholar] [CrossRef]
- Cho, S.-K.; Igliński, B.; Kumar, G. Biomass based biochar production approaches and its applications in wastewater treatment, machine learning and microbial sensors. Bioresour. Technol. 2024, 391, 129904. [Google Scholar] [CrossRef]
- Pradhan, S.; Parthasarathy, P.; Mackey, H.R.; Al-Ansari, T.; McKay, G. Food waste biochar: A sustainable solution for agriculture application and soil–water remediation. Carbon Res. 2024, 3, 41. [Google Scholar] [CrossRef]
- Barszcz, W.; Łożyńska, M.; Molenda, J. Impact of pyrolysis process conditions on the structure of biochar obtained from apple waste. Sci. Rep. 2024, 14, 10501. [Google Scholar] [CrossRef]
- Elkhalifa, S.; Parthasarathy, P.; Mackey, H.R.; Al-Ansari, T.; Elhassan, O.; Mansour, S.; McKay, G. Biochar development from thermal TGA studies of individual food waste vegetables and their blended systems. In Biomass Conversion and Biorefinery; Springer: Berlin/Heidelberg, Germany, 2022. [Google Scholar] [CrossRef]
- Lopes, F.C.R.; Pereira, J.C.; Tannous, K. Thermal decomposition kinetics of guarana seed residue through thermogravimetric analysis under inert and oxidizing atmospheres. Bioresour. Technol. 2018, 270, 294–302. [Google Scholar] [CrossRef] [PubMed]
- Anca-Couce, A.; Tsekos, C.; Retschitzegger, S.; Zimbardi, F.; Funke, A.; Banks, S.; Kraia, T.; Marques, P.; Scharler, R.; de Jong, W.; et al. Biomass pyrolysis TGA assessment with an international round robin. Fuel 2020, 276, 118002. [Google Scholar] [CrossRef]
- Santos, V.O.; Araujo, R.O.; Ribeiro, F.C.P.; Colpani, D.; Lima, V.M.R.; Tenório, J.A.S.; Coleti, J.; Falcão, N.P.S.; Chaar, J.S.; de Souza, L.K.C. Analysis of thermal degradation of peach palm (Bactris gasipaes Kunth) seed using isoconversional models. React. Kinet. Mech. Catal. 2022, 135, 367–387. [Google Scholar] [CrossRef]
- Bondarev, A.; Popovici, D.R.; Călin, C.; Mihai, S.; Sȋrbu, E.-E.; Doukeh, R. Black Tea Waste as Green Adsorbent for Nitrate Removal from Aqueous Solutions. Materials 2023, 16, 4285. [Google Scholar] [CrossRef]
- Wang, S.; Dai, G.; Yang, H.; Luo, Z. Lignocellulosic biomass pyrolysis mechanism: A state-of-the-art review. Prog. Energy Combust. Sci. 2017, 62, 33–86. [Google Scholar] [CrossRef]
- Shen, D.; Jin, W.; Hu, J.; Xiao, R.; Luo, K. An overview on fast pyrolysis of the main constituents in lignocellulosic biomass to valued-added chemicals: Structures, pathways and interactions. Renew. Sustain. Energy Rev. 2015, 51, 761–774. [Google Scholar] [CrossRef]
- Vyazovkin, S.; Wight, C.A. Model-free and model-fitting approaches to kinetic analysis of isothermal and nonisothermal data. Thermochim. Acta 1999, 340–341, 53–68. [Google Scholar] [CrossRef]
- Cai, J.; Xu, D.; Dong, Z.; Yu, X.; Yang, Y.; Banks, S.W.; Bridgwater, A.V. Processing thermogravimetric analysis data for isoconversional kinetic analysis of lignocellulosic biomass pyrolysis: Case study of corn stalk. Renew. Sustain. Energy Rev. 2018, 82, 2705–2715. [Google Scholar] [CrossRef]
- Gîjiu, C.L.; Isopescu, R.; Dinculescu, D.; Memecică, M.; Apetroaei, M.R.; Anton, M.; Schröder, V.; Rău, I. Crabs Marine Waste—A Valuable Source of Chitosan: Tuning Chitosan Properties by Chitin Extraction Optimization. Polymers 2022, 14, 4492. [Google Scholar] [CrossRef]
- Dinculescu, D.D.; Apetroaei, M.R.; Gîjiu, C.L.; Anton, M.; Enache, L.; Schröder, V.; Isopescu, R.; Rău, I. Simultaneous Optimization of Deacetylation Degree and Molar Mass of Chitosan from Shrimp Waste. Polymers 2024, 16, 170. [Google Scholar] [CrossRef] [PubMed]
- Silva, J.; Teixeira, S.; Teixeira, J. A Review of Biomass Thermal Analysis, Kinetics and Product Distribution for Combustion Modeling: From the Micro to Macro Perspective. Energies 2023, 16, 6705. [Google Scholar] [CrossRef]
- Phuakpunk, K.; Chalermsinsuwan, B.; Assabumrungrat, S. Pyrolysis kinetic parameters investigation of single and tri-component biomass: Models fitting via comparative model-free methods. Renew. Energy 2022, 182, 494–507. [Google Scholar] [CrossRef]
- Abdelouahed, L.; Leveneur, S.; Vernieres-Hassimi, L.; Balland, L.; Taouk, B. Comparative investigation for the determination of kinetic parameters for biomass pyrolysis by thermogravimetric analysis. J. Therm. Anal. Calorim. 2017, 129, 1201–1213. [Google Scholar] [CrossRef]
- Nourelhouda, B.; Lokmane, A.; Mustapha, C.; Chetna, M.; Abdeslam Hassen, M.; Bechara, T. Investigations on Mediterranean biomass pyrolysis ability by thermogravimetric analyses: Thermal behaviour and sensitivity of kinetic parameters. Comptes Rendus. Chim. 2020, 23, 623–634. [Google Scholar] [CrossRef]
- Meng, H.; Yang, H.; Wu, Z.; Li, D.; Wang, Z.; Wang, D.; Wang, H.; Li, H.; Li, J. Co-Pyrolysis of Mushroom Residue Blended with Pine Sawdust/Wheat Straw for Sustainable Utilization of Biomass Wastes: Thermal Characteristics, Kinetic/Thermodynamic Analysis, and Structure Evolution of Co-Pyrolytic Char. Sustainability 2024, 16, 6677. [Google Scholar] [CrossRef]
- Jemaa, M.; Mohammed Ammar, A.; Besma, K.; Salah, J.; Mejdi, J. Investigations on potential Tunisian biomasses energetic valorization: Thermogravimetric characterization and kinetic degradation analysis. Comptes Rendus. Chim. 2022, 25, 81–92. [Google Scholar] [CrossRef]
- Velciov, A.-B.; Rivis, A.; Popescu, G.-S.; Cozma, A.; Stoin, D.; Anghel, I.-M.; Rada, M.; Hadaruga, N.-G. Preliminary research on the obtaining and nutritional characterization of apple peel powder. J. Agroaliment. Process. Technol. 2022, 28, 375–380. [Google Scholar]
- Reza, M.S.; Ahmed, A.; Caesarendra, W.; Abu Bakar, M.S.; Shams, S.; Saidur, R.; Aslfattahi, N.; Azad, A.K. Acacia Holosericea: An Invasive Species for Bio-char, Bio-oil, and Biogas Production. Bioengineering 2019, 6, 33. [Google Scholar] [CrossRef]
- Ahmed, A.; Bakar, M.S.A.; Razzaq, A.; Hidayat, S.; Jamil, F.; Amin, M.N.; Sukri, R.S.; Shah, N.S.; Park, Y.-K. Characterization and Thermal Behavior Study of Biomass from Invasive Acacia mangium Species in Brunei Preceding Thermochemical Conversion. Sustainability 2021, 13, 5249. [Google Scholar] [CrossRef]
- de Andrade Lima, M.; Andreou, R.; Charalampopoulos, D.; Chatzifragkou, A. Supercritical Carbon Dioxide Extraction of Phenolic Compounds from Potato (Solanum tuberosum) Peels. Appl. Sci. 2021, 11, 3410. [Google Scholar] [CrossRef]
- Müsellim, E.; Tahir, M.H.; Ahmad, M.S.; Ceylan, S. Thermokinetic and TG/DSC-FTIR study of pea waste biomass pyrolysis. Appl. Therm. Eng. 2018, 137, 54–61. [Google Scholar] [CrossRef]
- Zhang, J.; Liu, J.; Evrendilek, F.; Zhang, X.; Buyukada, M. TG-FTIR and Py-GC/MS analyses of pyrolysis behaviors and products of cattle manure in CO2 and N2 atmospheres: Kinetic, thermodynamic, and machine-learning models. Energy Convers. Manag. 2019, 195, 346–359. [Google Scholar] [CrossRef]
- da Silva, M.D.; da Boit Martinello, K.; Knani, S.; Lütke, S.F.; Machado, L.M.M.; Manera, C.; Perondi, D.; Godinho, M.; Collazzo, G.C.; Silva, L.F.O.; et al. Pyrolysis of citrus wastes for the simultaneous production of adsorbents for Cu(II), H2, and d-limonene. Waste Manag. 2022, 152, 17–29. [Google Scholar] [CrossRef]
- Ali, S.M.; Siddique, Y.; Mehnaz, S.; Sadiq, M.B. Extraction and characterization of starch from low-grade potatoes and formulation of gluten-free cookies containing modified potato starch. Heliyon 2023, 9, e19581. [Google Scholar] [CrossRef]
- Singh, S.; Wu, C.; Williams, P.T. Pyrolysis of waste materials using TGA-MS and TGA-FTIR as complementary characterisation techniques. J. Anal. Appl. Pyrolysis 2012, 94, 99–107. [Google Scholar] [CrossRef]
- Kouřimská, L.; Kubaschová, K.; Sus, J.; Nový, P.; Dvořáková, B.; Koudela, M. Comparison of the carbohydrate content in apples and carrots grown in organic and integrated farming systems. Potravin. Slovak J. Food Sci. 2014, 8, 178–183. [Google Scholar] [CrossRef]
- Zlatanović, S.; Ostojić, S.; Micić, D.; Rankov, S.; Dodevska, M.; Vukosavljević, P.; Gorjanović, S. Thermal behaviour and degradation kinetics of apple pomace flours. Thermochim. Acta 2019, 673, 17–25. [Google Scholar] [CrossRef]
- Çepelioğullar, Ö.; Haykırı-Açma, H.; Yaman, S. Kinetic modelling of RDF pyrolysis: Model-fitting and model-free approaches. Waste Manag. 2016, 48, 275–284. [Google Scholar] [CrossRef]
- Liu, N.A.; Fan, W.C.; Dobashi, R.; Huang, L.S. Kinetic modeling of thermal decomposition of natural cellulosic materials in air atmosphere. J. Anal. Appl. Pyrolysis 2002, 63, 303–325. [Google Scholar] [CrossRef]
- Emiola-Sadiq, T.; Zhang, L.; Dalai, A.K. Thermal and Kinetic Studies on Biomass Degradation via Thermogravimetric Analysis: A Combination of Model-Fitting and Model-Free Approach. ACS Omega 2021, 6, 22233–22247. [Google Scholar] [CrossRef]
- Li, B.; Ng, J.-H.; Woon, K.S.; Chong, W.W.F.; Ng, K.L.A.; Lee, C.T.; Chiong, M.C.; Nge, K.S.; Mong, G.R. Comparative analysis of kinetic model-fitting methods and selection priority for horse manure pyrolysis. Sustain. Chem. Pharm. 2024, 39, 101590. [Google Scholar] [CrossRef]
- Friedman, H.L. Kinetics of thermal degradation of char-forming plastics from thermogravimetry. Application to a phenolic plastic. J. Polym. Sci. Part C Polym. Symp. 1964, 6, 183–195. [Google Scholar] [CrossRef]
- Ozawa, T. A New Method of Analyzing Thermogravimetric Data. Bull. Chem. Soc. Jpn. 1965, 38, 1881–1886. [Google Scholar] [CrossRef]
- Flynn, J.H.; Wall, L.A. General Treatment of the Thermogravimetry of Polymers. J. Res. Natl. Bur. Stand. Sect. A Phys. Chem. 1966, 70a, 487–523. [Google Scholar] [CrossRef]
- Kissinger, H.E. Variation of Peak Temperature With Heating Rate in Differential Thermal Analysis. J. Res. Natl. Bur. Stand. 1956, 57, 217. [Google Scholar] [CrossRef]
- Starink, M.J. Activation energy determination for linear heating experiments: Deviations due to neglecting the low temperature end of the temperature integral. J. Mater. Sci. 2007, 42, 483–489. [Google Scholar] [CrossRef]
- Vyazovkin, S.; Burnham, A.K.; Criado, J.M.; Pérez-Maqueda, L.A.; Popescu, C.; Sbirrazzuoli, N. ICTAC Kinetics Committee recommendations for performing kinetic computations on thermal analysis data. Thermochim. Acta 2011, 520, 1–19. [Google Scholar] [CrossRef]
- Vyazovkin, S.; Dollimore, D. Linear and Nonlinear Procedures in Isoconversional Computations of the Activation Energy of Nonisothermal Reactions in Solids. J. Chem. Inf. Comput. Sci. 1996, 36, 42–45. [Google Scholar] [CrossRef]
- Balogun, A.O.; Lasode, O.A.; McDonald, A.G. Devolatilisation kinetics and pyrolytic analyses of Tectona grandis (teak). Bioresour. Technol. 2014, 156, 57–62. [Google Scholar] [CrossRef]
- Luangkiattikhun, P.; Tangsathitkulchai, C.; Tangsathitkulchai, M. Non-isothermal thermogravimetric analysis of oil-palm solid wastes. Bioresour. Technol. 2008, 99, 986–997. [Google Scholar] [CrossRef]
- Ko, K.-H.; Rawal, A.; Sahajwalla, V. Analysis of thermal degradation kinetics and carbon structure changes of co-pyrolysis between macadamia nut shell and PET using thermogravimetric analysis and 13C solid state nuclear magnetic resonance. Energy Convers. Manag. 2014, 86, 154–164. [Google Scholar] [CrossRef]
- Pistor, V.; Ornaghi, F.G.; Ornaghi, H.L., Jr.; Zattera, A.J. Degradation kinetic of epoxy nanocomposites containing different percentage of epoxycyclohexyl—POSS. Polym. Compos. 2012, 33, 1224–1232. [Google Scholar] [CrossRef]
- Grioui, N.; Halouani, K.; Zoulalian, A.; Halouani, F. Thermogravimetric analysis and kinetics modeling of isothermal carbonization of olive wood in inert atmosphere. Thermochim. Acta 2006, 440, 23–30. [Google Scholar] [CrossRef]
- Tripathi, M.; Sahu, J.N.; Ganesan, P. Effect of process parameters on production of biochar from biomass waste through pyrolysis: A review. Renew. Sustain. Energy Rev. 2016, 55, 467–481. [Google Scholar] [CrossRef]
- Ottah, V.E.; Ezugwu, A.L.; Ezike, T.C.; Chilaka, F.C. Comparative analysis of alkaline-extracted hemicelluloses from Beech, African rose and Agba woods using FTIR and HPLC. Heliyon 2022, 8, e09714. [Google Scholar] [CrossRef] [PubMed]
- Vassileva, P.; Tumbalev, V.; Kichukova, D.; Voykova, D.; Kovacheva, D.; Spassova, I. Study on the Dye Removal from Aqueous Solutions by Graphene-Based Adsorbents. Materials 2023, 16, 5754. [Google Scholar] [CrossRef] [PubMed]
- Patra, B.R.; Nanda, S.; Dalai, A.K.; Meda, V. Slow pyrolysis of agro-food wastes and physicochemical characterization of biofuel products. Chemosphere 2021, 285, 131431. [Google Scholar] [CrossRef] [PubMed]
- Wystalska, K.; Kwarciak-Kozłowska, A. The Effect of Biodegradable Waste Pyrolysis Temperatures on Selected Biochar Properties. Materials 2021, 14, 1644. [Google Scholar] [CrossRef]
- Park, J.H.; Ok, Y.S.; Kim, S.H.; Kang, S.W.; Cho, J.S.; Heo, J.S.; Delaune, R.D.; Seo, D.C. Characteristics of biochars derived from fruit tree pruning wastes and their effects on lead adsorption. J. Korean Soc. Appl. Biol. Chem. 2015, 58, 751–760. [Google Scholar] [CrossRef]
- Costa, J.M.; Ampese, L.C.; Ziero, H.D.D.; Sganzerla, W.G.; Forster-Carneiro, T. Apple pomace biorefinery: Integrated approaches for the production of bioenergy, biochemicals, and value-added products—An updated review. J. Environ. Chem. Eng. 2022, 10, 108358. [Google Scholar] [CrossRef]
- Guardia, L.; Suárez, L.; Querejeta, N.; Rodríguez Madrera, R.; Suárez, B.; Centeno, T.A. Apple Waste: A Sustainable Source of Carbon Materials and Valuable Compounds. ACS Sustain. Chem. Eng. 2019, 7, 17335–17343. [Google Scholar] [CrossRef]
- Streit, A.F.M.; Collazzo, G.C.; Druzian, S.P.; Verdi, R.S.; Foletto, E.L.; Oliveira, L.F.S.; Dotto, G.L. Adsorption of ibuprofen, ketoprofen, and paracetamol onto activated carbon prepared from effluent treatment plant sludge of the beverage industry. Chemosphere 2021, 262, 128322. [Google Scholar] [CrossRef]
- Rasool, S.; Rasool, T.; Gani, K.M. Understanding the carbendazim adsorption from water using biochar derived from apple pomace and industrial wastewater sludge: Experimental and DFT approaches. Environ. Sci. Pollut. Res. 2024, 31, 47818–47835. [Google Scholar] [CrossRef]
- Yang, H.I.; Lou, K.; Rajapaksha, A.U.; Ok, Y.S.; Anyia, A.O.; Chang, S.X. Adsorption of ammonium in aqueous solutions by pine sawdust and wheat straw biochars. Environ. Sci. Pollut. Res. 2018, 25, 25638–25647. [Google Scholar] [CrossRef]
- Xue, L.; Gao, B.; Wan, Y.; Fang, J.; Wang, S.; Li, Y.; Muñoz-Carpena, R.; Yang, L. High efficiency and selectivity of MgFe-LDH modified wheat-straw biochar in the removal of nitrate from aqueous solutions. J. Taiwan Inst. Chem. Eng. 2016, 63, 312–317. [Google Scholar] [CrossRef]
- Zhang, M.; Song, G.; Gelardi, D.L.; Huang, L.; Khan, E.; Mašek, O.; Parikh, S.J.; Ok, Y.S. Evaluating biochar and its modifications for the removal of ammonium, nitrate, and phosphate in water. Water Res. 2020, 186, 116303. [Google Scholar] [CrossRef] [PubMed]
- Fatima, I.; Ahmad, M.; Vithanage, M.; Iqbal, S. Abstraction of nitrates and phosphates from water by sawdust- and rice husk-derived biochars: Their potential as N- and P-loaded fertilizer for plant productivity in nutrient deficient soil. J. Anal. Appl. Pyrolysis 2021, 155, 105073. [Google Scholar] [CrossRef]
- Clough, T.J.; Condron, L.M.; Kammann, C.; Müller, C. A Review of Biochar and Soil Nitrogen Dynamics. Agronomy 2013, 3, 275–293. [Google Scholar] [CrossRef]
- Oprescu, E.-E.; Enascuta, E.C.; Vasilievici, G.; Banu, N.D.; Banu, I. Preparation of magnetic biochar for nitrate removal from aqueous solutions. React. Kinet. Mech. Catal. 2022, 135, 2629–2642. [Google Scholar] [CrossRef]
- Gai, X.; Wang, H.; Liu, J.; Zhai, L.; Liu, S.; Ren, T.; Liu, H. Effects of Feedstock and Pyrolysis Temperature on Biochar Adsorption of Ammonium and Nitrate. PLoS ONE 2014, 9, e113888. [Google Scholar] [CrossRef]
- Sohi, S.P.; Krull, E.; Lopez-Capel, E.; Bol, R. Chapter 2—A Review of Biochar and Its Use and Function in Soil. In Advances in Agronomy; Academic Press: Cambridge, MA, USA, 2010; Volume 105, pp. 47–82. [Google Scholar]
- Sun, K.; Ro, K.; Guo, M.; Novak, J.; Mashayekhi, H.; Xing, B. Sorption of bisphenol A, 17α-ethinyl estradiol and phenanthrene on thermally and hydrothermally produced biochars. Bioresour. Technol. 2011, 102, 5757–5763. [Google Scholar] [CrossRef]
- Ji, L.; Wan, Y.; Zheng, S.; Zhu, D. Adsorption of Tetracycline and Sulfamethoxazole on Crop Residue-Derived Ashes: Implication for the Relative Importance of Black Carbon to Soil Sorption. Environ. Sci. Technol. 2011, 45, 5580–5586. [Google Scholar] [CrossRef]
- Afkhami, A.; Madrakian, T.; Karimi, Z. The effect of acid treatment of carbon cloth on the adsorption of nitrite and nitrate ions. J. Hazard. Mater. 2007, 144, 427–431. [Google Scholar] [CrossRef]











| Sample | Proximate Analysis (wt%) | ||||||
|---|---|---|---|---|---|---|---|
| Moisture * | Volatile Content * | Fixed Carbon * | Ash * | Protein | Lipids | Carbohydrate | |
| Apple peel | 5.48 | 76.73 | 17.23 | 0.56 | 4.31 a | 3.48 a | 63.84 a |
| Potato peel | 2.11 | 75.79 | 18.35 | 5.88 | 11 b | 1.75 b | 62.4 b |
| Residue Type | Heating Rate, °C·min−1 | Peak Temperature, °C | , %·min−1 | Residue, % |
|---|---|---|---|---|
| Apple peel | 5 | 98.3 205.4 329.8 | 5.76 55.1 26.1 | 20.9 |
| 10 | 101.5 212.9 335.9 | 5.3 49.9 22.5 | 20.9 | |
| 20 | 115.7 225.6 347.3 | 4.5 44.4 19.4 | 20.1 | |
| 30 | 119.9 232.1 350.0 | 3.17 25.6 12.7 | 20.0 | |
| Potato peel | 5 | 93.6 277.9 | 4.9 37.5 | 27.5 |
| 10 | 95.9 289.3 | 1.81 19.6 | 26.5 | |
| 20 | 93.7 297.2 | 1.51 14.5 | 27.4 | |
| 30 | 301.5 | 2.6 26.1 | 26.7 |
| Model | Differential Form— | Integral Form— | |
|---|---|---|---|
| Power/Exponential | |||
| Power law | P2 | ||
| P3 | |||
| P4 | |||
| Random nucleation and nuclei growth | |||
| Avrami-Erofeev | A2 | ||
| A3 | |||
| A4 | |||
| Geometrical contraction models | |||
| Contracting area | R2 | ||
| Contracting volume | R3 | ||
| Diffusion models | |||
| 1D diffusion | D1 | ||
| 2D diffusion | D2 | ||
| 3D diffusion (Jander) | D3 | ||
| 3D diffusion (Zhuravlev-Lesokhin-Tempelman) | D4 | ||
| Chemical transformation models | |||
| Zero order | F0 | 1 | |
| First order | F1 | ||
| Second order | F2 | ||
| Third order | F3 | ||
| Apple Peel | Potato Peel | |||||
|---|---|---|---|---|---|---|
| Slope | Intercept | R2 | Slope | Intercept | R2 | |
| 0.1 | −4.17 × 104 | 123.54 | 0.996 | −7.42 × 103 | 15.98 | 0.972 |
| 0.2 | −1.90 × 104 | 48.91 | 0.987 | −9.49 × 103 | 22.08 | 0.934 |
| 0.3 | −1.44 × 104 | 33.59 | 0.981 | −7.03 × 103 | 13.61 | 0.973 |
| 0.4 | −1.76 × 104 | 41.42 | 0.975 | −1.57 × 104 | 38.59 | 0.972 |
| 0.5 | −2.49 × 104 | 58.60 | 0.925 | −2.56 × 104 | 63.94 | 0.957 |
| 0.6 | −2.94 × 104 | 66.10 | 0.848 | −2.19 × 104 | 48.52 | 0.968 |
| 0.7 | −3.18 × 104 | 67.00 | 0.800 | −1.91 × 104 | 36.85 | 0.997 |
| Apple peel Kinetic parameters | |||
| Stage I | Stage II | Stage III | Stage IV |
R2 = 0.995 | R2 = 0.995 | R2 = 0.995 | R2 = 0.997 |
| —3D diffusion (Jander) | —Avrami Erofeev | —Third order | —Third order |
| Potato peel Kinetic parameters | |||
| Stage I | Stage II | Stage III | |
R2 = 0.991 | R2 = 0.961 | R2 = 0.988 | |
| —3D diffusion (Jander) | —Second order | —Third order | |
| Adsorbent | Experiment Condition | Nitrate Efficiency Removal (%) | References |
|---|---|---|---|
| Magnetic biochar at 550 °C | 300 ppm NO3−, 0.25 g biochar, 120 min, pH 7, | 71.46 | [87] |
| Thermally treated black tea waste at 400 °C | 300 ppm NO3−, 0.2 g adsorbent, 90 min, pH 6.5, | 73.71 | [32] |
| Black tea waste, at 105 °C | 300 ppm NO3−, 0.2 g adsorbent, 90 min, pH 6.5, | 79.25 | [32] |
| Apple peel at 250 °C | 300 ppm NO3−, 0.2 g adsorbent, 90 min, pH 6.5, | 68.54 | This study |
| Apple peel at 800 °C | 300 ppm NO3−, 0.2 g adsorbent, 90 min, pH 6.5, | 52.78 | This study |
| Potato peel at 250 °C | 300 ppm NO3−, 0.2 g adsorbent, 90 min, pH 6.5, | 64.10 | This study |
| Potato peel at 800 °C | 300 ppm NO3−, 0.2 g adsorbent, 90 min, pH 6.5, | 45.46 | This study |
Disclaimer/Publisher’s Note: The statements, opinions and data contained in all publications are solely those of the individual author(s) and contributor(s) and not of MDPI and/or the editor(s). MDPI and/or the editor(s) disclaim responsibility for any injury to people or property resulting from any ideas, methods, instructions or products referred to in the content. |
© 2024 by the authors. Licensee MDPI, Basel, Switzerland. This article is an open access article distributed under the terms and conditions of the Creative Commons Attribution (CC BY) license (https://creativecommons.org/licenses/by/4.0/).
Share and Cite
Călin, C.; Sîrbu, E.-E.; Tănase, M.; Győrgy, R.; Popovici, D.R.; Banu, I. A Thermogravimetric Analysis of Biomass Conversion to Biochar: Experimental and Kinetic Modeling. Appl. Sci. 2024, 14, 9856. https://doi.org/10.3390/app14219856
Călin C, Sîrbu E-E, Tănase M, Győrgy R, Popovici DR, Banu I. A Thermogravimetric Analysis of Biomass Conversion to Biochar: Experimental and Kinetic Modeling. Applied Sciences. 2024; 14(21):9856. https://doi.org/10.3390/app14219856
Chicago/Turabian StyleCălin, Cătălina, Elena-Emilia Sîrbu, Maria Tănase, Romuald Győrgy, Daniela Roxana Popovici, and Ionuț Banu. 2024. "A Thermogravimetric Analysis of Biomass Conversion to Biochar: Experimental and Kinetic Modeling" Applied Sciences 14, no. 21: 9856. https://doi.org/10.3390/app14219856
APA StyleCălin, C., Sîrbu, E.-E., Tănase, M., Győrgy, R., Popovici, D. R., & Banu, I. (2024). A Thermogravimetric Analysis of Biomass Conversion to Biochar: Experimental and Kinetic Modeling. Applied Sciences, 14(21), 9856. https://doi.org/10.3390/app14219856

