Next Article in Journal
Real-Time Semantic Segmentation of 3D LiDAR Point Clouds for Aircraft Engine Detection in Autonomous Jetbridge Operations
Next Article in Special Issue
Parallel Fin Ray Soft Gripper with Embedded Mechano-Optical Force Sensor
Previous Article in Journal
Evaluation of Link Overstrength Factor for the Seismic Design of Eccentrically Braced Frames
 
 
Font Type:
Arial Georgia Verdana
Font Size:
Aa Aa Aa
Line Spacing:
Column Width:
Background:
Article

Hysteresis Compensation and Trajectory Tracking Control Model for Pneumatic Artificial Muscles

School of Mechanical Engineering and Automation, Northeastern University, Shenyang 110819, China
*
Author to whom correspondence should be addressed.
Appl. Sci. 2024, 14(21), 9684; https://doi.org/10.3390/app14219684
Submission received: 30 September 2024 / Revised: 18 October 2024 / Accepted: 21 October 2024 / Published: 23 October 2024

Abstract

The optimum performance position control of pneumatic artificial muscles (PAM) is restricted by their in-built hysteresis and nonlinearity. The hysteresis is usually depicted by a phenomenological model, while the model mentioned above always only describes the hysteresis phenomenon under certain conditions. Thus, the universality of the compensator is due to its weakness in handling disparate outside conditions. Our research employs the FN–QUPI (feedforward neural network–quadratic unparallel Prandtl–Ishlinskii) model to depict the phenomenon of pressure-displacement hysteresis in PAMs. This model has high-precision expression and generalization ability for the PAM hysteresis phenomenon. According to this, an inverse model of the QUPI operator is established as a feedforward control while combining with the feedback control of incremental PID-type iterative learning. The results show that due to the hysteresis of PAM, the compound control of feedforward control and iterative learning has better tracking performance than the ordinary PID compound control in terms of convergence rate and stability. According to the mean absolute error (MAE) and root mean square error (RMSE) of the tracking process, it can be seen that the control model can achieve accurate nonlinear compensation, and the control system shows excellent robustness to different input signals.

1. Introduction

Largely comprised of a fiber woven mesh, a hollow rubber tube, and multiple metal connectors, the PAM is an extensive bionic actuator. Compared to motor-powered or hydraulic robots, PAM-driven ones are more flexible. More specifically, the PAM is characterized by a higher power-to-mass percentage, complying with bodies. Thus, it is broadly used in the rehabilitation and medical domains. Moreover, the PAM is applied to the exoskeleton mechanism, with one terminal sliding mode control utilized for achieving more elevated trajectory tracking precision [1]. Though excellent usage prospects, the intrinsic nonlinear hysteresis feature is one of the dominant barriers impacting the accurate trajectory tracking control of the PAM-powered robot. At present, hysteresis compensation and modeling have slowly become key research areas [2].
From a mathematical perspective, the dynamic models of the PAM are capable of being simply classified into physics-based models and phenomenon-based models [3]. The physics-based model primarily construes the geometric correlation and material attributes of the PAM. As an illustration, Kothera et al. [4] reflected on the thickness of rubber tubes while creating a static model of the PAM using the force balance method. Due to the intricate math derivation and numerous model parameters in physics-based models, it brings large difficulties to the controller design while increasing the significant computing cost. Or, phenomenon-based models are formulated via experimental data and simplified model descriptions. As found by Colbrunn et al. [5], the PAM is used as a structure consisting of a spring unit, a damping unit, and a Coulomb friction unit. Prior research has indicated that numerous phenomenological hysteresis models were placed forward and used in the PAMs. Pervasive hysteresis models are capable of being simply divided into integral models and differential models. Pervasive integrated hysteresis models encompass Krasnosel’skii–Pokrovskii, Maxwell [6], Preisach [7,8], and Prandtl–Ishlinskii models. A precise one is indispensable, whilst improvement in model precision frequently causes a growth in model intricacy. Pervasive differential hysteresis models include the Bouc–Wen, Duhem, Dahl, LuGre, and Leuven models [9,10,11,12], wherein the Bouc–Wen model is capable of offering receivable modeling precision with fewer parameters. The appeal of differential models is attributed to their formulaic ability to facilitate optimization, modeling, and controller design. In differential hysteresis models, nonlinear differential equations are employed to describe and depict hysteresis. Integral hysteresis models are also known as operator hysteresis models. For nonlinear systems with hysteresis characteristics, the control strategy typically involves establishing an inverse hysteresis model and serially connecting an inverse compensator to the system to counteract the effects of hysteresis, known as inverse model control. This approach generally includes the following: (1) The feedforward control, where the inverse model of the hysteretic nonlinear system is developed and used as a feedforward compensator for open-loop control. The hysteresis nonlinearity in the control channel is partially or fully compensated by the inverse model. Ganguly [13] employed a polynomial approach and the least-squares method to fit the hysteresis characteristics of pneumatic artificial muscles as accurately as possible, minimizing the impact of hysteresis on the system’s control precision. The external control loop was transformed into a PID controller and a feedforward controller, significantly improving the model’s control accuracy. However, its improvements to the nonlinearity of the closed-loop main control loop were limited, with inadequate disturbance rejection and robustness. (2) The feedforward plus feedback control, where the inverse model serves as the feedforward controller in a closed-loop control system, thus predicting the desired control signal before tracking errors occur. Feedback controllers include PID controllers, adaptive controllers, and sliding mode controllers, among others. Yetingren [14] used the Maxwell model for the feedforward compensation of the PAM and designed two feedback controllers to control the force and position of the pneumatic muscle, respectively. Kishore [15] employed the three-element method to model friction in the PAM and, based on this, designed a fuzzy feedforward plus feedback control scheme to study the trajectory tracking control of pneumatic muscles. Scholars have proposed other control methods based on the hysteresis models of the PAM, such as feedback linearization, robust control, and sliding mode variable structure control. Amato [16], using the three-element model, studied the trajectory tracking control of a mechanical arm composed of a PAM with a robust control strategy. Schindele [17] explored the sliding mode control of a linear axis driven by a PAM based on the LuGre model.
Based on the above analysis, this paper proposes the FN–QUPI model to describe the displacement-pressure hysteresis characteristics of pneumatic artificial muscles. The model reduces the number of unknown parameters, and particle swarm optimization is employed for parameter identification, enabling the model to adapt to system dynamics while maintaining high accuracy. Additionally, a composite controller is established, where the QIUPI inverse model is used as the feedforward control, and incremental PID-type iterative learning serves as the feedback control for trajectory tracking of the PAM. The experimental results demonstrate that the FN–QUPI model provides highly accurate displacement predictions for various input signals, confirming the model’s generalization capability. Furthermore, the composite controller exhibits high precision and robustness in tracking control of different types of PAM-motion trajectories.
The remainder of the paper is organized as follows: Section 2 introduces the FN–QUPI model and its inverse model, while Section 3 discusses the trajectory tracking control methods for the PAM. Section 4 presents an analysis of the experimental results of the FN–QUPI model under different signals and the tracking results of the PAM for various trajectories. Finally, Section 5 provides a summary of the paper.

2. Hysteresis Model and Inverse Model of PAM

Similar to most flexible actuators, PAM actuators exhibit significant hysteresis characteristics between displacement and pressure. This hysteresis effect impacts the accuracy of the PAM position modeling and its application in bionics. Therefore, it is necessary to establish a high-precision hysteresis mathematical model that is widely applicable under different input conditions to comprehensively and accurately describe this complex hysteresis behavior. To improve the applicability and accuracy of the PAM hysteresis model, this section proposes an FN–QUPI model to establish the hysteresis relationship between pneumatic pressure and displacement in PAMs. First, the QUPI (quadratic unparallel Prandtl–Ishlinskii) operator is introduced based on the UPI operator, where the QUPI operator replaces the linear envelope function with a quadratic function to enhance modeling accuracy. Then, the QUPI operator is incorporated into the nonlinear autoregressive moving average model to describe the complex hysteresis of the PAM, and a feedforward neural network is used to build the nonlinear function relationship of the NARMAX (nonlinear autoregressive moving average) model, forming the FN–QUPI model. Since the model reduces the number of unknown parameters, the particle swarm optimization algorithm is employed to solve all model parameters, enabling the model to adapt to dynamic system changes and achieve higher accuracy. Finally, the inverse model of QUPI is introduced.

2.1. The FN–QUPI Model

Currently, the classic PI (Prandtl–Ishlinskii) model is widely used in the field of pneumatic artificial muscle hysteresis modeling. Its advantages lie in having a specific inverse model that supports analytical solutions while maintaining low structural complexity and ease of application. However, this model struggles to describe the asymmetric hysteresis of the PAM. The shortcomings of the classic PI model can be addressed through appropriate optimization methods, such as introducing a nonlinear envelope function within the play operator. This enhancement improves the model’s adaptability to different hysteresis phenomena, providing higher robustness when handling complex inputs. A representative example is the CPI model [18], where the descending edge of the CPI (classical Prandtl–Ishlinskii) operator is multiplied by a weight coefficient (greater than zero) to yield the UPI (unparallel Prandtl–Ishlinskii) operator [19], making it easier to apply in the modeling of complex hysteresis phenomena. The UPI operator can be expressed as:
F r , α j [ u ] ( t ) = max u ( t ) r , min α j ( u ( t ) + r ) , F r , α j t t = lim δ 0 ( t δ ) ; α j > 0 , r 0
In the equation, r represents the dead-zone threshold, u(t) represents the input signal at time t, and αj represents the slope of the descending edge of the UPI operator.
Considering that the quadratic function and the hysteresis curve of the pneumatic artificial muscle have similar shapes, and given its basic properties of being invertible, bounded, and continuous, a quadratic function is adopted as the envelope function for the UPI model in this study. This model is named the QUPI model. By integrating this function with the UPI operator, the descending and ascending edges of complex hysteresis phenomena can be obtained. The schematic diagram of the QUPI operator is shown in Figure 1 (the horizontal axis represents the pneumatic muscle pressure p, and the vertical axis represents the pneumatic muscle displacement y). The envelope function of the basic operator in the QUPI model consists of two quadratic parabolas, with the axis of symmetry aligned with the starting points of the ascending and descending branches of the hysteresis curve, making it more consistent with hysteresis characteristics. Based on the analytical expression of a quadratic function, the analytical expressions for a single QUPI operator can be derived when the pressure increases and decreases, as shown in Equations (2) and (3). Subsequently, the final QUPI model is formed by stacking Na × Nb small QUPI operators, and the structure of the QUPI model is shown in Figure 2. The computational formula of the QUPI model is given in Equation (4).
When   p ˙ > 0
y = y 0 p p 0 r 1 y 0 p m 2 2 y 0 p m p 0 2 y 0 p m r 1 + y m p 0 2 + 2 y m p 0 r 1 + y m r 1 2 P m 2 2 p m p 0 2 p m r 1 + p 0 2 + 2 p 0 r 1 + r 1 2 + p 2 y m y 0 p m 2 2 p m p 0 2 p m r 1 p 0 2 + 2 p 0 p 1 + r 1 2 2 p p 0 + r 1 y m y 0 P m 2 2 p m p 0 2 p m r 1 + p 0 2 + 2 p 0 r 1 + r 1 2 p p 0 > r 1
When   p ˙ < 0 ,
y = y m p p 0 p m r 2 y 0 p m 2 2 y 0 p m p 0 2 y 0 p m r 2 + y m p 0 2 + 2 y 0 p 0 r 2 + y 0 r 2 2 p m 2 2 p m p 0 2 p m r 2 + p 0 2 + 2 p 0 r 2 + r 2 2 + p 2 y m y 0 p 2 2 p m p 0 2 p m r 2 + p 0 2 + 2 p 0 r 2 + r 2 2 2 p p 0 y m y 0 p m 2 2 p m p 0 2 p m r 2 + p 0 2 + 2 p 0 r 2 + r 2 2 p p 0 > p m r 2
Γ Q U P I [ u ] ( t ) = i = 1 N a j = 1 N b d i j y r 1 i , r 2 j [ u ] ( t )
In the equation, p represents the pneumatic pressure of the pneumatic muscle, and y represents the displacement of the pneumatic muscle. p0 and pm represent the minimum and maximum values of the pressure data, respectively; y0 and ym represent the minimum and maximum values of the displacement data, respectively; r1 and r2 represent the lengths of the edges of the line segments. dij denotes the weight of the operator. In this study, Na and Nb are set to 10.
Based on the maximum and minimum lengths, as well as the minimum and maximum pressures from the collected hysteresis data, the parameters y0, ym, p0, and pm in the QUPI model are determined, thereby reducing the number of parameters required for model identification. The only parameters that require identification in the entire QUPI model are the weight terms of the QUPI operators, which reduces the computational load of the model.
Since the QUPI model can only describe the static hysteresis behavior of the PAM under specific conditions, an additional nonlinear model is needed to capture the dynamic characteristics of the PAM. The NARMAX model, a nonlinear form of the autoregressive moving average model, is a commonly used black-box model for describing nonlinear systems. It effectively addresses system nonlinearity and dynamic issues without relying on the internal structure or parameters of the system. For the PAM actuator, its output displacement is mainly influenced by two factors: the input voltage at previous time steps and the current driving voltage. The NARMAX model can accurately describe the memory effect and rate-dependent characteristics of the PAM’s hysteresis behavior. Considering the impact of load on the PAM’s dynamic characteristics, load variations are introduced into the input part of the NARMAX model. Its specific expression is as follows:
y ^ ( t ) = g y ^ ( t 1 ) , , y ^ t n a , f ( t ) , , f t n b , m ( t ) , , m t n c f ( t ) = y QUPI [ u ] ( t )
In the equation, y ^ ( t ) represents the output of the NARMAX model, f(t) and y QUPI [ u ] ( t ) represent the output of the QUPI model at time t, and m ( t ) represents the PAM load. na, nb, and nc are the maximum delay times of y ^ ( t ) , f(t) and m(t), respectively. Accordingly, the input vector of the dynamic submodel contains the present and historical values of the output and load of the hysteresis submodel, as well as the historical output displacement values, which can capture the dynamic information of the driving frequency and load.
In this study, the nonlinear function of the NARMAX model is established through a feedforward neural network (FNN), which ensures that the model can meet the requirements of dynamic system changes. The FNN has been widely applied in complex nonlinear systems, which is directly related to its excellent learning capability. Aside from these characteristics, the FNN performs well in simulating dynamic systems and is, therefore, widely used in nonlinear system analysis. Given that hysteresis properties exhibit multi-valued mapping, to improve the accuracy of the hysteresis model, the FN–QUPI model, i.e., the FNN–NARMAX model, is designed in this study. Its structure is shown in Figure 3, where u(t) and y(t) represent the system’s input and output, respectively, and y(t) is the output of the NARMAX model. Z−1 denotes a unit delay. Its magnitude represents the output result from the previous iteration, corresponding to the parameter y ^ ( t 1 ) . The expression for the FNN is as follows:
O ( k ) = j = 1 n w j φ s j ( k )
s j ( k ) = i = 1 m w i j I i
In the equation, wij and wj are the weights between the input and hidden layers, along with between the hidden and output layers, separately; I and O are the inputs and outputs of the FNN, respectively; Sj(k) is the input of the jth neuron within the hidden layer. Furthermore, m and n indicate the number of neurons in the input and hidden layers of the FNN separately. In this paper, the activation function φ is chosen as an upward-opening univariate quadratic function. This is because the increase in the function value as the independent variable increases correspond roughly to the trend in the first half of the hysteresis, while the decrease in the function value as the independent variable decreases aligns with the trend in the latter half of the hysteresis.
The FN–QUPI model is a composite model that combines a neural network with an improved UPI operator to address the hysteresis nonlinearity present in PAM systems. This model offers significant advantages in modeling complex hysteresis effects, enhancing control accuracy, and improving system adaptability. (1) High-precision hysteresis compensation: The hysteresis phenomenon in PAM systems often leads to reduced control accuracy. The FN–QUPI model, with its refined hysteresis modeling capabilities, can effectively compensate for this issue. (2) Strong robustness and adaptability under complex conditions: The robustness of the FN–QUPI model is reflected in its ability to adapt well to various operating conditions. Whether under sinusoidal input, complex harmonic input, or step signal input, the FN–QUPI model can maintain high prediction accuracy and stability. This robustness is especially beneficial in dynamic industrial or medical environments. When faced with sudden load changes, pressure variations, or other disturbance factors, the FN–QUPI model can quickly adapt, ensuring the system continues to operate normally. (3) Reduced system lag and improved dynamic response speed: Due to the inherent lag in PAM systems, there is often a noticeable response delay under rapid dynamic input. The FN–QUPI model, by accurately predicting the relationship between displacement and pressure, reduces the lag effect, enabling the system to quickly follow input signals.

2.2. The Inverse Model of QUPI

In order to address the issue of low-trajectory tracking control accuracy caused by hysteresis characteristics in the operation of pneumatic artificial muscles (PAMs), this paper designs and applies an inverse model based on the QUPI model, aiming to compensate for the hysteresis effect in the control system, thereby improving the system’s control accuracy and response speed. In complex dynamic systems, hysteresis often leads to delays and errors between input and output, and traditional control methods show limitations when dealing with such nonlinear effects. The introduction of the inverse model effectively resolves this issue. The core function of the inverse model in the control system lies in its ability to predict the input signal based on known output values, allowing the system to adjust in advance, thus achieving precise feedforward control. This control strategy enables the pre-adjustment of input parameters before system operation, reducing the negative impact of hysteresis, achieving smoother dynamic responses, and higher control accuracy. Additionally, the system can quickly adjust to the correct operating point, significantly improving its response speed. Based on the detailed introduction of the QUPI model earlier, this paper further applies the inverse model of the QUPI operator to system control to compensate for the hysteresis characteristics of the PAM. The output expression of the QUPI operator is simplified as follows:
Γ Q U P I [ u ] ( k ) = q [ u ] ( k ) + j = 1 n d j y r j [ u ] ( k )
In the equation, q is a constant, [u](k) represents the input at time k, dj is the weight coefficient, and j is the number of QUPI operators.
Since the relationship between pressure and displacement forms a hysteresis model, its inverse model is also a hysteresis model. The inverse model of the QUPI operator is:
Γ Q U P I 1 [ u ] ( k ) = q 1 [ u ] ( k ) + j = 1 n g r ¯ j y r ^ j [ u ] ( k )
In the equation, r ¯ j represents the threshold of the inverse model, and g is the density function of the inverse model. The expressions are as follows:
r ¯ j = q r j + i = 1 j 1 p i r j r i
g j = p j q + i = 1 j p i q + i = 1 j 1 p i
In the equation, q−1 is a constant equal to 1/q. Therefore, the key to solving the QUPI inverse model lies in identifying the parameter q−1 and the vector. In this paper, particle swarm optimization (PSO) is used for parameter identification to obtain the optimal solution. The QUPI inverse model demonstrates excellent real-time compensation capabilities in practical system operations. By introducing the density function and the recursive update formula for the threshold, the input signal can be dynamically adjusted in real time according to the changes in the system’s state.

2.3. Parameter Optimization

The parameter optimization of the FN–QUPI model includes two parts, namely the weight coefficients dij of the QUPI hysteresis operator and the neural network parameters wij and the three coefficients of the activation function (quadratic function) in the FNN–NARMAX. The parameters to be optimized in the QUPI inverse model are q−1 and g in the formula.
The parameter identification of the PAM system involves multiple nonlinear characteristics, and traditional optimization methods may easily fall into local optima. However, particle swarm optimization (PSO), by simulating the cooperation and competition among individuals in a swarm, can effectively avoid this issue. Additionally, PSO has a fast convergence speed and relatively low computational complexity, making it highly suitable for parameter optimization in PAM system models, ensuring more accurate and stable model parameters [20]. PSO relies on information exchange among particles in the swarm, referred to as a “swarm”. The swarm is composed of individuals known as particles, and it is initialized with a population of random solutions. Each particle is also assigned a random velocity function. Particles adjust their trajectories toward their current best solution, Pbest. Moreover, each particle modifies its trajectory based on the current best position, Gbest, achieved by other particles in its neighborhood. The fitness function measures the performance of each particle to determine whether the best-fitting solution has been achieved. Throughout this process, the fitness of the best individual improves over time and eventually stabilizes when the process concludes, with the final stabilized parameters aligning with the globally optimal parameters.
In this paper, the particle swarm optimization (PSO) is selected for system model recognition. In terms of the FN–QUPI model and its inverse model, the parameters to be discerned have been greatly reduced compared with other hysteresis models. Therefore, the least-squares method shown in Formula (12) can be directly used as the fitness function. The specific objective is to achieve a satisfactory fitness value for the model through iterative optimization or to terminate the calculation when the maximum number of iterations is reached. By combining particle swarm optimization, the optimal parameter values for the FN–QUPI model are ultimately obtained. The process of parameter identification for the FN–QUPI model using particle swarm optimization is shown in Algorithm 1.
S = 1 H i = 1 H F i F ^ i 2
In the equation, F i represents the actual value of the PAM’s driving mechanism, F ^ i represents the model output value, and H represents the number of samples in identification.
Algorithm 1. The parameter identification process using particle swarm optimization
Input: Training dataset of pressure and displacement.
Parameter settings: maximum iterations ite = 100; number of QUPI operators Nr = 10;
             number of particles in the swarm N = 50; polynomial function order Np = 2.
Initialization of parameters: weights in the QUPI model w~(−0.02,0.02);
                                      Parameters of the activation function in the hidden layer:
                                                a~(−1,0); b~(0,0.5); c~(0,0.5).
                                      The weights of the two-layer neural network wij~(0,0.5).
If i ≤ ite (where i represents the current iteration count)
                                      Calculate the output of the FN-QUPI model O(k).
                                      Calculate the particle swarm fitness function S.
                                      Update the parameters.
End
Output: Final computed results of the model.

3. Position Control Strategy of PAM

During the operation of a PAM, geometric deformations occur, and these nonlinear deformations affect the trajectory tracking control accuracy of the upper limb exoskeleton robot driven by the PAM. In this paper, a feedforward control strategy based on the QUPI inverse model is employed, combined with a composite control strategy that integrates incremental PID-feedback control and incremental PID iterative learning. The target displacement of the PAM serves as the input to the inverse model, and the output pressure is applied to the PAM. The controlled system (FN–QUPI model) then calculates the actual displacement of the PAM. Although the feedforward control using the QUPI inverse model compensates for the hysteresis nonlinearity, bringing the output closer to the actual value, some errors still remain. To address this shortcoming, the QUPI inverse model feedforward control is combined with incremental PID-feedback control. Specifically, the system first provides a feedforward signal based on the reference signal, followed by the incremental PID controller adjusting for system errors. The final input signal to the system is the sum of the feedforward and feedback signals. The output value of the PAM is influenced by the previous output value, so iterative learning is added on top of the incremental PID algorithm. Iterative learning control (ILC), by performing multiple repeated operations, gradually improves the control precision, making it particularly suitable for repetitive tasks. ILC uses the error information from previous operations to adjust the control input for the current operation, thereby continuously approaching the ideal control result and significantly enhancing control accuracy.

3.1. Experimental Platform

The experimental object is the McKibben-type PAM made in the laboratory. To illuminate the hysteresis relationship between displacement and pressure, an experimental device, as shown in Figure 4, was constructed. The cylinder (SC standard cylinder 32 × 250) acts as a load to reduce accidental errors caused by hanging heavy objects or weights. During the experiment, the pneumatic muscles are placed horizontally, with one end fixed by a force sensor (MEACON MIK-LCSI) to the experimental platform and the other end linked with a cylinder by installing one laser displacement sensor (Panasonic HG-C1100) baffle. The internal pressure of the pneumatic muscles and cylinder pressure are controlled by a proportional valve (NITV 2050-312L). As shown in Figure 5, the computer host communicates with dSPACE and sends an analog signal to the proportion valve. Then, such a valve converts voltage signals into pressure signals. In addition, this charges and deflates the cylinders and PAMs that rely on the air pressure provided by the air compressor at the air source. In addition to the tension-compression sensor, the laser displacement sensor converts the tension and displacement changes of the PAM into voltage signals and outputs them to dSPACE to return to the computer host. Next, the output signals mentioned are changed into tension and displacement by the Simulink program. The main data recorded are the input voltage of the pneumatic muscle, the cylinder input voltage, the tension-compression sensor output force, and the laser displacement sensor output displacement. This paper mainly studies the hysteresis pertinence between pressure and displacement, with the readings of the force sensor not used.

3.2. Feedforward Hysteresis Compensation Control

Feedforward control based on the inverse hysteresis model of pneumatic artificial muscles is a control strategy designed to accurately compensate for the complex hysteresis effects of PAMs. The hysteresis characteristics of the PAM arise from the nonlinear behavior of its material and the lag between pressure, output force, and displacement, which makes achieving high-precision motion control difficult with traditional control methods. To address this challenge, feedforward control establishes an inverse model of PAM hysteresis, using the model to predict the input pressure required for different target outputs, thereby effectively reducing the tracking errors caused by hysteresis. In practical applications, when the system provides a predetermined target output, the feedforward controller directly calculates the precise input signal based on the inverse hysteresis model, allowing the system to respond quickly and follow the target trajectory. The advantage of this approach is that it eliminates the need to wait for feedback error adjustments, enabling the system to directly compensate for delays caused by hysteresis, thereby improving control accuracy and response speed. This method is particularly effective in high-frequency motion or force control tasks (such as robotics and bionic exoskeletons), where feedforward control based on the inverse hysteresis model performs exceptionally well.
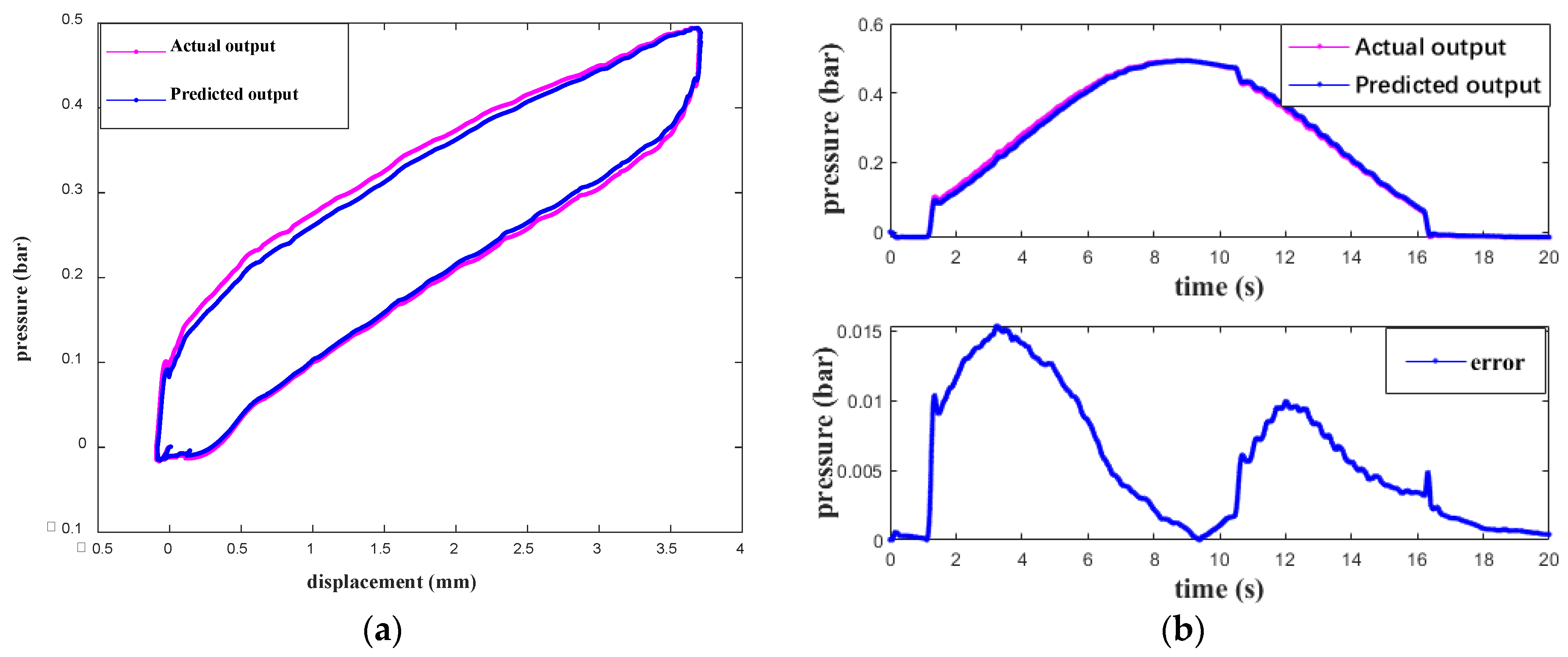
With the ideal displacement as the inverse model input, the output pressure acts on the PAM. It can effectively compensate for the hysteresis effect in the system, thereby improving control accuracy and response speed. Through feedforward control, the system can adjust the input without relying on feedback, significantly reducing error accumulation. Set n = 10 in the formula, the final parameters can then be determined by the PSO algorithm, which not only reduces the complexity of the calculation but enhances the precision of the modeling suitable for real-time control. To verify the performance of feedforward hysteresis compensation, the inverse model was tested through a triangular wave input signal under a 0.05 Hz frequency and 0.5 bar amplitude. Figure 6 displays the fitting results of the feedforward hysteresis loop, real-time fitting results, and real-time fitting errors. Consequently, the maximal error of the inverse model result is 0.03 bar, and the mean error is 0.01 bar. The pressure-displacement hysteresis of the PAM has been adjusted. However, due to the modeling uncertainty and the unmodeled slow driving characteristics, certain errors still exist when taking this inverse model as a PAM output displacement feedforward compensator. In practical applications, combining feedforward control with methods such as incremental PID iterative learning feedback control leverages the fast response capability of feedforward control while using the feedback mechanism to correct errors in real time, thereby enhancing the system’s robustness and disturbance rejection ability.

3.3. Feedforward-Incremental PID-Feedback Composite Control

Since inverse compensation control is an open-loop control, its performance can be affected by model uncertainties, leading to decreased accuracy. Additionally, incremental PID-feedback control tends to perform poorly when handling complex nonlinear hysteresis systems. Therefore, this paper adopts a composite control strategy that combines feedforward control based on the QUPI inverse model with incremental PID-feedback control, defined as Control Method 1. In this method, feedforward control is first used to predict and adjust the motion of the PAM, followed by real-time correction and optimization through feedback control [21].
Feedforward control is mainly based on a predefined action model, allowing for a rapid response and advance adjustment of the PAM’s movement. Feedback control continuously monitors the difference between actual and target motion, dynamically adjusting the control input to ensure the accuracy and smoothness of the motion. At the same time, feedforward control pre-calculates the control signal, directly compensating for system nonlinearity significantly reducing dynamic errors, especially during the initial response phase, where it demonstrates fast and precise control. Figure 7 shows the block diagram of the control system, where Zd represents the target displacement of the PAM, and Z represents the actual displacement of the PAM. IPID represents the incremental PID.
In the displacement tracking control process of the PAM actuator, the error function is:
e ( k ) = l g ( k ) l r ( k )
In the equation, l g k represents the target deformation of the PAM and l r k represents the actual deformation of the PAM. Therefore, the control law for PAM pressure is:
p ( k ) = I Q U P I p ( k 1 ) , l g ( k ) + u ( k )
u ( k ) = K p ( e ( k ) e ( k 1 ) ) + K i e ( k ) + K d ( e ( k ) 2 e ( k 1 ) + e ( k 2 ) )
In the equation, p(k) represents the pressure of the PAM, IQUPI(p,l) is the output pressure value of the QUPI inverse model, and u(k) is the pressure compensation value from the incremental PID feedback. Kp, Ki, and Kd are the proportional, integral, and derivative gains of the incremental PID, respectively.
Due to the fact that accumulation is not required in the control algorithm, which is only related to the last k samples (k = 3 in this paper), the impact of misoperation is relatively small, and it is easier to obtain better control results through weighted processing. During the parameter adjusting process, it was found that as long as the parameters of the PID controller were not small or too large, there would be no oscillation. Therefore, the nonlinear characteristics of the system have been improved.

3.4. Feedforward-Incremental PID-Type Iterative Learning Feedback Composite Control

The output value of the PAM is influenced by the previous output value, so iterative learning is added to the incremental PID algorithm. The combination of QUPI inverse model feedforward control with incremental PID-type iterative learning feedback control is defined as Control Method 2. This approach fully leverages the fast response characteristics of feedforward control and the error correction capability of iterative learning, forming an efficient control method that can both respond quickly and optimize gradually. By using error information during each iteration of system operation, iterative learning control can continuously optimize the control input, enabling the system to approach the ideal control target through repeated operations. During this process, incremental PID control ensures system stability and robustness, avoiding issues such as integral saturation, which can occur with traditional PID control. Particularly when facing large disturbances or load variations, an incremental PID can rapidly adjust the system output, maintaining overall system stability. The key advantage of this composite control strategy lies in its combination of fast response and error correction capabilities, allowing the system not only to quickly reach the desired target but also to continuously optimize control performance during operation. Especially in PAM applications, this method effectively addresses the system’s nonlinearity and complex dynamic behavior, ensuring precise trajectory tracking and stable dynamic performance under various working conditions. The block diagram of its control system is shown in Figure 8, where Zd represents the target displacement of the PAM, and Z represents the actual displacement of the PAM.
In the displacement tracking control process of the PAM actuator, the error function is:
e ( k ) = l g ( k ) l r ( k )
In the equation, l g k represents the target displacement of the PAM and l r k represents the actual displacement of the PAM.
Combining iterative learning, the control law for the PAM pressure can be expressed as:
p ( k ) = I Q U P I p ( k 1 ) , l g ( k ) + u ( k )
u ( k ) = u ( k 1 ) + K p ( e ( k ) e ( k 1 ) ) + K i e ( k ) + K d ( e ( k ) 2 e ( k 1 ) + e ( k 2 ) )
In the equation, p(k) represents the pressure of the PAM, IQUPI(p,l) is the output pressure value from the QUPI inverse model, and u(k) is the pressure compensation value from the incremental PID feedback. KP, KI, and KD are the proportional, integral, and derivative gains of the incremental PID, respectively.

4. Results and Discussion

After identifying the parameters of the FN–QUPI model and the QUPI inverse model using particle swarm optimization, this section first uses the FN–QUPI model to predict the output displacement data and compares it with the actual experimental data. The applicability of the FN–QUPI model is validated under different load conditions and input pressure signals. Secondly, the output displacement data predicted by the two composite control schemes are compared with the actual displacement, and the adaptability of the model is verified under different input pressure signals for the PAM, and finally, the accuracy of the model through error values. The feasibility and superiority of the feedforward control–incremental PID iteration learning control (Control Method 2) for the hysteresis tracking control of the PAM are proved.

4.1. Evaluation Method for the Model

To evaluate the precision of the model, two evaluation criteria are introduced for quantitative analysis, namely, MAE and RMSE. The formulas are as follows:
MAE = 1 H j = 1 H l j l ˜ j
RMSE = 1 H j = 1 H l j l ˜ j 2
In the equation, H indicates the whole quantity of data, l j means the practical value obtained from our experiment, and l ˜ j refers to the predicted value from the model.

4.2. Validation Results of the FN–QUPI Model

This section validates the applicability of the FN–QUPI model under different load conditions and input pressure signals. Ultimately, the high precision and accuracy of the model in describing the positional hysteresis of the PAM are demonstrated through the use of the mean absolute error (MAE) and root mean square error (RMSE) values.
(1)
The same load with varying frequency and amplitude sinusoidal excitation signals.
When a load of 2 kg is applied to the end of the PAM, the sinusoidal pressure signal from Equation (19) is used to drive the PAM, resulting in the actual output displacement of the PAM. The input signal is then processed through the FN–QUPI model to predict the PAM’s output displacement. The hysteresis curves corresponding to three amplitude levels at 0.05 Hz and 0.1 Hz are obtained. The comparison between the actual hysteresis curves and the predicted PAM hysteresis curves, as well as the real-time error analysis for the three cases, are shown in Figure 9a–c and Figure 9d–f, respectively.
u ( t ) = ( p / 2 ) sin ( c π t ) + p / 2 , ( p = 0.5 , 0.8 , 1.3   bar ;   c = 0.1 , 0.2 )
The MAE and RMSE values for the displacement between the FN–QUPI model output and the actual output under the same load with different frequencies and amplitudes are shown in Table 1. The fitting error magnitude of the hysteresis model for the FN–QUPI model is on the order of 10−6 m, indicating that the predicted output displacement by the FN–QUPI model aligns well with the experimental data, demonstrating high accuracy and excellent predictive capability. According to the real-time error graph, the error increases with the amplitude, and when the amplitude reaches 1.3 bar, the error is most noticeable during large PAM contractions. This phenomenon is determined by the flexible characteristics of pneumatic muscles. When the amplitude increases to approach the contraction limit of the pneumatic muscle, the nonlinearity of the displacement becomes more apparent, making predictions more challenging. Therefore, as the amplitude increases, the nonlinear behavior of the pneumatic muscle under high stress becomes more prominent, further affecting the prediction accuracy. However, despite the increase in error at larger amplitudes, the FN–QUPI model still exhibits strong fitting ability, accurately predicting the displacement output of the PAM under complex conditions. This further demonstrates the effectiveness of the FN–QUPI model in addressing nonlinear hysteresis phenomena, providing a reliable foundation for future control system optimization.
(2)
Different loads and different frequency sinusoidal excitation signals.
Under the same amplitude conditions, the comparison between the predicted output displacement of the FN–QUPI model and the actual displacement of the PAM at different loads and frequencies, along with the real-time error graphs, are shown in Figure 10. In each row, the graphs from left to right correspond to frequencies of 0.05 Hz, 0.1 Hz, 0.5 Hz, and 1 Hz, respectively. From top to bottom, the loads correspond to 4 kg and 6 kg. The red curves on the far right represent the real-time error graphs for each corresponding condition. By analyzing the comparison graphs, it can be observed that at low frequencies (such as 0.05 Hz and 0.1 Hz), the predicted displacement of the FN–QUPI model almost completely overlaps with the actual displacement, with very minimal error. This indicates that the model is highly capable of capturing the dynamic characteristics of the PAM in low-frequency environments, demonstrating excellent accuracy and adaptability. As the frequency increases, especially at 0.5 Hz and 1 Hz, although the model still accurately tracks the displacement variations of the PAM, the error graphs show a noticeable trend of increasing error, particularly at the higher frequency of 1 Hz, where this error increase becomes more prominent. A detailed analysis of the causes for the increased error reveals that it mainly occurs during the rapid contraction and release phases of the PAM, where the nonlinear effects of the PAM system become more complex. Overall, the FN–QUPI model demonstrates excellent dynamic response capability and the precise tracking of PAM displacement.
As the load gradually increases, the displacement response of the PAM exhibits a decreasing trend, and the hysteresis phenomenon becomes more pronounced. However, the FN–QUPI model is still able to fit these changes well, demonstrating its strong adaptability and modeling capabilities. Overall, the prediction accuracy of the FN–QUPI model is higher, and the error is smaller when the load is lighter. However, as the load increases, especially under the combination of high frequency and high load, the error tends to increase. This indicates that the PAM system exhibits stronger nonlinear effects under complex working conditions, which challenges the prediction accuracy of the model. Nevertheless, the FN–QUPI model still shows strong robustness in most cases. The MAE and RMSE error values between the predicted displacement from the FN–QUPI model and the actual displacement of the PAM under different frequencies and loads with the same amplitude are shown in Table 2.
As the table indicates, the error magnitude is also in the order of 10−6 m, meaning the predicted output displacement of the model aligns very closely with the experimental data. Especially under lower frequency and lighter load conditions, the error is even smaller, further validating the accuracy of the model. This result not only proves the precision of the FN–QUPI model within the normal operating range of pneumatic artificial muscles (PAM) but also highlights the model’s effectiveness in dynamic system modeling. The FN–QUPI model is able to precisely capture the nonlinear dynamics of the PAM system, particularly under low-frequency and low-load conditions, where its high prediction accuracy showcases the model’s deep understanding and control of complex dynamic processes. Although the error increases under conditions of high load and high frequency, the FN–QUPI model still tracks the actual displacement changes of the PAM well, demonstrating its powerful ability to handle nonlinearities. This result further validates the advantages of the FN–QUPI model in managing complex nonlinear systems, indicating its wide application prospects and practical value, especially in scenarios requiring high-precision modeling and real-time control.

4.3. Validation Results of PAM Displacement Tracking Control

After obtaining the QUPI inverse model parameters through system identification using the particle swarm optimization algorithm, the two composite control schemes were used to predict and compare the PAM’s output displacement with the actual displacement. The model’s adaptability was validated under different PAM input pressure signals, and the accuracy of the model was ultimately demonstrated through error values. The parameter values of the control law are shown in Table 3.
(1)
Sinusoidal Excitation Signal
To verify the accuracy of the displacement tracking control strategy for the control methods proposed in this paper under different input signals of pneumatic artificial muscles, six sinusoidal input signals with different amplitudes and frequencies, as shown in Table 4, were selected and defined as Scheme 1 through Scheme 6. Based on these different input conditions, the performance of the two composite controllers was compared, with a focus on analyzing the performance of the two control methods under complex dynamic input conditions.
Figure 11 shows the PAM trajectory tracking results of the two controllers under the six schemes. In Figure 11, the three subplots in (a), from top to bottom, respectively, represent the feedforward control pressure compensation, the pressure compensation of the two feedback controls, and the total feedforward-feedback compensation. Comparing the results of the (a) plots across the six schemes reveals that when using the same feedforward scheme, the feedforward control pressure compensation for both control strategies is identical. However, the performance of the two feedback control strategies differs significantly, directly leading to a notable difference in the final total compensation. Part (b) of Figure 11 contains two subplots. From top to bottom, they show the fitting of the final output displacement to the desired displacement for the two control strategies, as well as the real-time error of the fitting.
The experiments show that although the tracking error of the PAM-driven system increases under high-frequency and step input conditions, the overall error remains within 1 mm, indicating that the system has strong robustness and adaptability under complex working conditions. By finely adjusting the control parameters, the system can further improve its tracking performance under extreme input conditions, reducing errors and enhancing response accuracy. In the PAM-driven system, due to its inherent hysteresis, simple feedback control often struggles to handle complex nonlinear behavior. However, by introducing the iterative learning algorithm, the system can gradually optimize the control output, compensate for hysteresis effects, and adapt to dynamic changes across multiple operations. This iterative learning algorithm leverages historical error data to continuously adjust the controller’s input signal, making Control Method 2 exhibit higher control accuracy and a faster response speed compared to Control Method 1. The introduction of iterative learning significantly enhances the control system’s adaptive capability, making it perform more effectively when faced with complex nonlinear systems. This controller can not only quickly correct errors and improve trajectory tracking accuracy but also achieve stable system responses in a shorter time, significantly boosting the overall performance of the control system.
Under different input signals, Control Method 2 for pneumatic artificial muscles (PAMs) improved the error accuracy by approximately 10 times compared to Control Method 1 in both the MAE and RMSE values. The comparison of error values between the two control schemes is shown in Table 5. For the PAM flexible actuators, incremental PID-feedback control may exhibit certain limitations in handling complex nonlinear and dynamic hysteresis effects, making it difficult to achieve the desired control accuracy. However, by combining iterative learning with incremental PID-feedback control, the gradual error correction capability of iterative learning allows the control output to be continuously optimized over multiple iterations, progressively eliminating errors caused by the hysteresis effects and nonlinear characteristics. Iterative learning uses the error information from the previous operation to correct the current operation, enabling the system to better adapt to the characteristics of PAMs, thereby significantly improving the accuracy of displacement output.
(2)
Complex Harmonic Signal
To verify the applicability of the control model, a complex harmonic input signal was used to validate the model’s accuracy. A complex harmonic signal contains multiple frequency components, exhibiting more complex fluctuation characteristics and a larger dynamic range, which poses higher demands on the adaptability and real-time performance of the controller. The comparison of the two control schemes under complex harmonic signals is shown in Figure 12. Figure 12a sequentially displays the changes in feedforward control compensation, the compensation amounts of the two feedback control schemes, and the total compensation under the complex harmonic input signals, where the compensation of Control Method 2 is smoother and responds faster. Figure 12b shows the real-time fitting results and error variations of the two control schemes. Control Method 2 exhibits significantly smaller errors during rapid signal changes, with the final error converging within 0.2 mm, while the error convergence speed of Control Method 1 is slower, stabilizing at around 0.4 mm. Overall, the comparison shows that Control Method 2 reduces the error by approximately 30%, and its response speed is about 20% faster than Control Method 1. The use of iterative learning in Control Method 2 allows it to achieve stability more quickly and smoothly than Control Method 1 during rapid signal changes. Therefore, Control Method 2 is not only suitable for sinusoidal input signals but also exhibits high accuracy for complex harmonic signals, proving the model’s broad applicability. This also demonstrates that the addition of iterative learning allows the controller to directly compensate for memory-based compensations, rapidly suppressing tracking errors and improving positioning accuracy.
The comparison of the error values between the two control schemes under complex harmonic signals is shown in Table 6. Compared to Control Method 1, the error in Control Method 2 is significantly reduced, with both the MAE and RMSE values decreasing by an order of magnitude. This indicates that Control Method 2 demonstrates higher accuracy and better stability when handling complex harmonic signals, with minimal error and significantly improved displacement tracking control precision.
(3)
Complex Triangular Wave Signal
Finally, to further verify the applicability and accuracy of Control Method 2, a complex triangular wave input signal was used to test and validate the control model. The fitting results and real-time errors are shown in Figure 13. Figure 13a sequentially presents the changes in the feedforward control compensation, the compensation amounts of the two feedback control strategies, and the total compensation under the complex triangular wave input signal. Control Method 2 exhibited smoother adjustments and faster responses. It was able to significantly reduce delay compensation during rapid signal changes, demonstrating stronger adaptability. Figure 13b shows the real-time displacement fitting results and error variations for both control schemes. Control Method 2 quickly converged the error to within 0.2 mm, while Control Method 1’s error stabilized at around 0.4 mm. Overall, Control Method 2 reduced the error by approximately 30% and increased the response speed by about 20%. Additionally, the error curve for Control Method 2 was smoother with smaller fluctuations, indicating higher control accuracy. The corresponding MAE and RMSE error values are shown in Table 7. The results confirm the applicability of Control Method 2 for triangular wave signals. It demonstrates that the hysteresis characteristics of the PAM can be compensated using Control Method 2, reducing the maximum error to around 0.01 mm, which is a significant improvement in accuracy compared to Control Method 1. Moreover, Control Method 2 showed a notable increase in convergence speed, meaning that the system can not only respond more quickly to input signals but also achieve precise tracking in a shorter time, thereby further enhancing the overall control performance.
Overall, the combination of feedforward control and PID-type iterative learning feedback control significantly improves the trajectory tracking accuracy of PAMs. The order of magnitude for the mean absolute error and the root mean square error can reach 0.01 mm, with a maximum error of 0.2 mm. Compared to open-loop control with only feedforward control [22], the control accuracy is greatly enhanced. In contrast, the maximum tracking error of the existing PI inverse model feedforward control combined with the adaptive projection algorithm in closed-loop control is 3.62 mm [23], indicating that the control method proposed in this paper achieves higher precision.

5. Conclusions

To enhance the precision of the output displacement affected by hysteresis in PAMs, the FN–QUPI model and the inverse model of QUPI are introduced. The modeling outcomes indicate that the FN–QUPI model is able to efficiently forecast the output displacement corresponding to the PAM input signals under different conditions. Based on this, to make up for the displacement deviation caused by hysteresis in PAMs, this paper proposes a composite control of feedforward control–incremental PID-type iterative learning feedback control of the QUPI inverse model, proving that the model has high accuracy for different input signals. The conclusions can be reached as follows:
(1)
The FN–QUPI model reduces the number of unknown parameters and simplifies the process of parameter identification, effectively predicting the output displacement corresponding to the input signals of the pneumatic artificial muscle under different conditions.
(2)
The QUPI inverse model proposed in this paper, combined with the incremental PID-type iterative learning composite control model, can achieve high-precision displacement tracking of the pneumatic artificial muscle, and the control system demonstrates good robustness to different input signals of the PAM.
(3)
The results demonstrate that the FN–QUPI model and composite control model have high accuracy and fast convergence speed for different input signals. The FN–QUPI model can be used for hysteresis modeling of pneumatic artificial muscles or other flexible actuators. Composite tracking control is significant in improving control accuracy and robustness, adapting to various working conditions, and effectively compensating for hysteresis and nonlinear effects. It is widely applicable in fields such as robotics, rehabilitation devices, and industrial automation.

Author Contributions

Methodology, G.M.; Validation, G.M. and H.J.; Formal analysis, D.X.; Investigation, D.X.; Writing—original draft, G.M.; Writing—review & editing, L.H. All authors have read and agreed to the published version of the manuscript.

Funding

This research received no external funding.

Institutional Review Board Statement

Not applicable.

Informed Consent Statement

Not applicable.

Data Availability Statement

The original contributions presented in the study are included in the article, further inquiries can be directed to the corresponding author.

Conflicts of Interest

The authors declare no conflict of interest.

References

  1. Mi, J.; Huang, G.; Yu, J. Characterization and Joint Control Study of Pneumatic Artificial Muscles. Appl. Sci. 2023, 13, 1075. [Google Scholar] [CrossRef]
  2. Qin, Y.; Zhang, H.; Wang, X.; Han, J. Active model-based hysteresis compensation and tracking control of pneumatic artificial muscle. Sensors 2022, 22, 364. [Google Scholar] [CrossRef] [PubMed]
  3. Pietrala, D.S.; Laski, P.A. Design and Control of a Pneumatic Muscle Servo Drive Containing Its Own Pneumatic Muscles. J. Appl. Sci. 2022, 12, 11024. [Google Scholar] [CrossRef]
  4. Kothera, C.S.; Jangid, M.; Sirohi, J.; Wereley, N.M. Experimental characterization and static modeling of McKibben actuators. J. Mech. Des. 2009, 131, 091010. [Google Scholar] [CrossRef]
  5. Colbrunn, R.W.; Nelson, G.M.; Quinn, R.D. Modeling of braided pneumatic actuators for robotic control. In Proceedings of the Proceedings 2001 IEEE/RSJ International Conference on Intelligent Robots and Systems. Expanding the Societal Role of Robotics in the Next Millennium (Cat. No. 01CH37180), Maui, HI, USA, 29 October–3 November 2001. [Google Scholar]
  6. Minh, T.V.; Tjahjowidodo, T.; Ramon, H.; Van Brussel, H. Control of a pneumatic artificial muscle (PAM) with model-based hysteresis compensation. In Proceedings of the 2009 IEEE/ASME International Conference on Advanced Intelligent Mechatronics, Singapore, 14–17 July 2009. [Google Scholar]
  7. Lin, C.J.; Lin, C.R.; Yu, S.K.; Chen, C.T. Hysteresis modeling and tracking control for a dual pneumatic artificial muscle system using Prandtl–Ishlinskii model. Mechatronics 2015, 28, 35–45. [Google Scholar] [CrossRef]
  8. Qin, Y.; Duan, H.; Han, J. Direct inverse hysteresis compensation of piezoelectric actuators using adaptive Kalman filter. IEEE Trans. Ind. Electron. 2021, 69, 9385–9395. [Google Scholar] [CrossRef]
  9. Wen, Z.; Ding, Y.; Liu, P.; Ding, H. An efficient identification method for dynamic systems with coupled hysteresis and linear dynamics: Application to piezoelectric-actuated nanopositioning stages. IEEE/ASME Trans. Mechatron. 2019, 24, 326–337. [Google Scholar] [CrossRef]
  10. Liu, Y.T.; Chang, K.M.; Li, W.Z. Model reference adaptive control for a piezo-positioning system. Precis. Eng. 2010, 34, 62–69. [Google Scholar] [CrossRef]
  11. Zaman, M.A.; Sikder, U. Bouc–Wen hysteresis model identification using modified firefly algorithm. J. Magn. Magn. Mater. 2015, 395, 229–233. [Google Scholar] [CrossRef]
  12. Zhu, W.; Wang, D.-H. Non-symmetrical Bouc–Wen model for piezoelectric ceramic actuators. Sens. Actuators A 2012, 181, 51–60. [Google Scholar] [CrossRef]
  13. Ganguly, S.; Garg, A.; Pasricha, A.; Dwivedy, S. Control of pneumatic artificial muscle system through experimental modelling. J. Mechatron. 2012, 22, 1135–1147. [Google Scholar] [CrossRef]
  14. Yeh, T.J.; Wu, M.J.; Lu, T.J.; Wu, F.K.; Huang, C.R. Control of McKibben pneumatic muscles for a power-assist, lower-limb orthosis. J. Mechatron. 2010, 20, 686–697. [Google Scholar] [CrossRef]
  15. Balasubramanian, K.; Rattan, K.S. Feedforward control of a non-linear pneumatic muscle system using fuzzy logic. In Proceedings of the 12th IEEE International Conference on Fuzzy Systems, 2003. FUZZ’03, St. Louis, MO, USA, 25–28 May 2003; Volume 1, pp. 272–277. [Google Scholar]
  16. Amato, F.; Colacino, D.; Cosentino, C.; Merola, A. Robust and optimal tracking control for manipulator arm driven by pneumatic muscle actuators. In Proceedings of the 2013 IEEE International Conference on Mechatronics (ICM), Vicenza, Italy, 27 February–1 March 2013; pp. 827–834. [Google Scholar]
  17. Schindele, D.; Aschemann, H. Sliding mode control applied to a novel linear axis actuated by pneumatic muscles. In Sliding Mode Control; InTech, Rostock, Germany, 2011.
  18. Al Janaideh, M.; Su, C.Y.; Rakheja, S. Development of the rate-dependent Prandtl–Ishlinskii model for smart actuators. J. Smart Mater. Struct. 2008, 17, 035026. [Google Scholar] [CrossRef]
  19. Kuhnen, K.; Janocha, H. Inverse feedforward controller for complex hysteretic nonlinearities in smart-material systems. J. Control. Intell. Syst. 2001, 29, 74–83. [Google Scholar]
  20. Zhang, Y.; Gao, J.; Yang, H.; Hao, L. A novel hysteresis modelling method with improved generalization capability for pneumatic artificial muscles. Smart Mater. Struct. 2019, 28, 105014. [Google Scholar] [CrossRef]
  21. Ma, G.; Jia, H.; Xiao, J.; Hao, L. A method for precise tracking control of pneumatic artificial-muscle-driven exoskeletal robot. Appl. Sci. 2023, 13, 12038. [Google Scholar] [CrossRef]
  22. Zhang, J.; Iyer, K.; Simeonov, A.; Yip, M.C. Modeling and inverse compensation of hysteresis in supercoiled polymer artificial muscles. J. IEEE Robot. Autom. Lett. 2017, 2, 773–780. [Google Scholar] [CrossRef]
  23. Zhang, H.; Xu, Y.; Qin, Y.; Han, J. Closed-loop control of a pneumatic artificial muscle actuated 2-DOF delta mechanism with adaptive hysteresis compensation. In Proceedings of the 2021 IEEE International Conference on Real-time Computing and Robotics (RCAR), Xining, China, 15–19 July 2021; pp. 233–238. [Google Scholar]
Figure 1. QUPI operator.
Figure 1. QUPI operator.
Applsci 14 09684 g001
Figure 2. QUPI model.
Figure 2. QUPI model.
Applsci 14 09684 g002
Figure 3. FN–QUPI model.
Figure 3. FN–QUPI model.
Applsci 14 09684 g003
Figure 4. Experimental platform.
Figure 4. Experimental platform.
Applsci 14 09684 g004
Figure 5. Experimental schematic diagram.
Figure 5. Experimental schematic diagram.
Applsci 14 09684 g005
Figure 6. Fitting results of QUPI inverse model. (a) Fitting of length–pressure hysteresis loop. (b) Air pressure fitting diagram and real-time error diagram.
Figure 6. Fitting results of QUPI inverse model. (a) Fitting of length–pressure hysteresis loop. (b) Air pressure fitting diagram and real-time error diagram.
Applsci 14 09684 g006
Figure 7. Block diagram of feedforward-incremental PID-feedback composite control system.
Figure 7. Block diagram of feedforward-incremental PID-feedback composite control system.
Applsci 14 09684 g007
Figure 8. Block graph on feedforward-incremental PID-type iterative learning feedback composite control system.
Figure 8. Block graph on feedforward-incremental PID-type iterative learning feedback composite control system.
Applsci 14 09684 g008
Figure 9. Hysteresis curves of PAM corresponding to different frequencies and amplitudes under 2 kg load: (ac) 0.05 Hz; (df) 0.1 Hz. (a) Actual hysteresis curves at 0.05 Hz; (b) Comparison of hysteresis curves at 0.05 Hz; (c) Real-time errors at 0.05 Hz; (d) Actual hysteresis curves at 0.1 Hz; (e) Comparison of hysteresis curves at 0.1 Hz; (f) Real-time errors at 0.1 Hz.
Figure 9. Hysteresis curves of PAM corresponding to different frequencies and amplitudes under 2 kg load: (ac) 0.05 Hz; (df) 0.1 Hz. (a) Actual hysteresis curves at 0.05 Hz; (b) Comparison of hysteresis curves at 0.05 Hz; (c) Real-time errors at 0.05 Hz; (d) Actual hysteresis curves at 0.1 Hz; (e) Comparison of hysteresis curves at 0.1 Hz; (f) Real-time errors at 0.1 Hz.
Applsci 14 09684 g009
Figure 10. Hysteresis curves of PAM under the same amplitude corresponding to different frequencies and loads. (a) Fitting diagram of hysteresis at different frequencies under a 4 kg load; (b) Error diagram of hysteresis at different frequencies under a 4 kg load; (c) Fitting diagram of hysteresis at different frequencies under a 6 kg load; (d) Error diagram of hysteresis at different frequencies under a 6 kg load.
Figure 10. Hysteresis curves of PAM under the same amplitude corresponding to different frequencies and loads. (a) Fitting diagram of hysteresis at different frequencies under a 4 kg load; (b) Error diagram of hysteresis at different frequencies under a 4 kg load; (c) Fitting diagram of hysteresis at different frequencies under a 6 kg load; (d) Error diagram of hysteresis at different frequencies under a 6 kg load.
Applsci 14 09684 g010
Figure 11. Displacement tracking of two control schemes under different sinusoidal signals.
Figure 11. Displacement tracking of two control schemes under different sinusoidal signals.
Applsci 14 09684 g011
Figure 12. Comparison of two control schemes under complex harmonic signals.
Figure 12. Comparison of two control schemes under complex harmonic signals.
Applsci 14 09684 g012
Figure 13. Comparison of two control schemes under complex triangular wave signals.
Figure 13. Comparison of two control schemes under complex triangular wave signals.
Applsci 14 09684 g013
Table 1. Errors of PAM corresponding to different frequencies under a 2 kg load.
Table 1. Errors of PAM corresponding to different frequencies under a 2 kg load.
Frequency (Hz)0.050.1
Amplitude (bar)0.50.81.30.50.81.3
MAE (mm)0.00460.01670.03370.00130.00960.0201
RMSE (mm)0.00640.02470.03920.00170.01420.0301
Table 2. Error of PAM under different conditions corresponding to the same amplitude condition.
Table 2. Error of PAM under different conditions corresponding to the same amplitude condition.
Load (kg)46
Amplitude (bar)0.050.10.510.050.10.51
MAE (mm)0.0120.0110.0090.0150.0070.0070.0050.008
RMSE (mm)0.0160.0140.0110.0210.0110.0090.0070.011
Table 3. Control law parameters.
Table 3. Control law parameters.
Control MethodKpKiKd
Method 19.51.30.5
Method 25.00.50.1
Table 4. Verification scheme based on inputting sinusoidal signals.
Table 4. Verification scheme based on inputting sinusoidal signals.
No.Amplitude (mm)Cycle (s)Total Time (s)
162020
2122020
361020
4121020
56520
612520
Table 5. Comparison of error values between two control schemes under sinusoidal signal.
Table 5. Comparison of error values between two control schemes under sinusoidal signal.
Experimental Plan123456
Control plan121212121212
MAE (mm)0.260.010.290.020.240.010.270.020.260.010.270.02
RMSE (mm)0.280.020.310.030.260.030.280.040.270.030.280.03
Table 6. Comparison of error values between two control schemes under complex harmonic signals.
Table 6. Comparison of error values between two control schemes under complex harmonic signals.
Control Plan12
MAE (mm)0.1890.0185
RMSE (mm)0.2210.0267
Table 7. Comparison of error values between two control schemes under complex triangular wave signals.
Table 7. Comparison of error values between two control schemes under complex triangular wave signals.
Control Plan12
MAE (mm)0.2570.0122
RMSE (mm)0.2770.0192
Disclaimer/Publisher’s Note: The statements, opinions and data contained in all publications are solely those of the individual author(s) and contributor(s) and not of MDPI and/or the editor(s). MDPI and/or the editor(s) disclaim responsibility for any injury to people or property resulting from any ideas, methods, instructions or products referred to in the content.

Share and Cite

MDPI and ACS Style

Ma, G.; Jia, H.; Xia, D.; Hao, L. Hysteresis Compensation and Trajectory Tracking Control Model for Pneumatic Artificial Muscles. Appl. Sci. 2024, 14, 9684. https://doi.org/10.3390/app14219684

AMA Style

Ma G, Jia H, Xia D, Hao L. Hysteresis Compensation and Trajectory Tracking Control Model for Pneumatic Artificial Muscles. Applied Sciences. 2024; 14(21):9684. https://doi.org/10.3390/app14219684

Chicago/Turabian Style

Ma, Gaoke, Hongyun Jia, Dexin Xia, and Lina Hao. 2024. "Hysteresis Compensation and Trajectory Tracking Control Model for Pneumatic Artificial Muscles" Applied Sciences 14, no. 21: 9684. https://doi.org/10.3390/app14219684

APA Style

Ma, G., Jia, H., Xia, D., & Hao, L. (2024). Hysteresis Compensation and Trajectory Tracking Control Model for Pneumatic Artificial Muscles. Applied Sciences, 14(21), 9684. https://doi.org/10.3390/app14219684

Note that from the first issue of 2016, this journal uses article numbers instead of page numbers. See further details here.

Article Metrics

Back to TopTop