Evaluation of Link Overstrength Factor for the Seismic Design of Eccentrically Braced Frames
Abstract
1. Introduction
2. Overview of EBF Systems
3. Design of Example Buildings
3.1. Overview
3.2. Generation of Design Alternatives Using Multi-Objective Optimization
| Minimize | (8a) | ||
| Maximize | (8b) | ||
| Subject to | herein, | (8c) |
4. Structural Analysis
4.1. Nonlinear Analysis Model
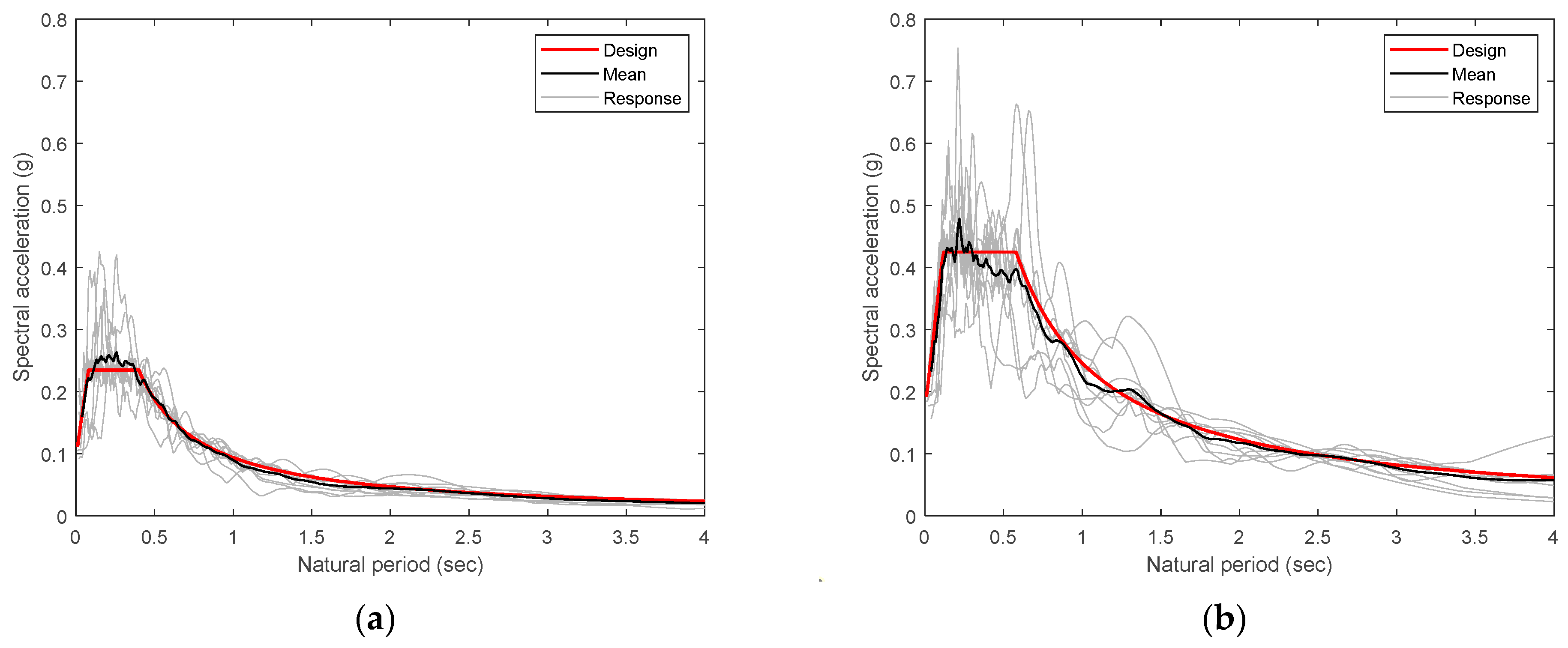
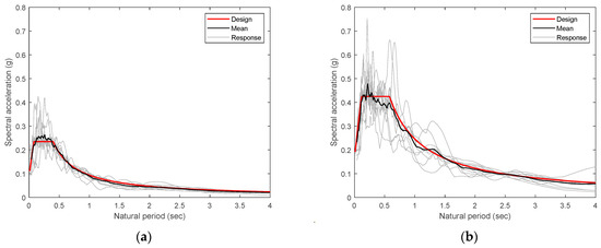
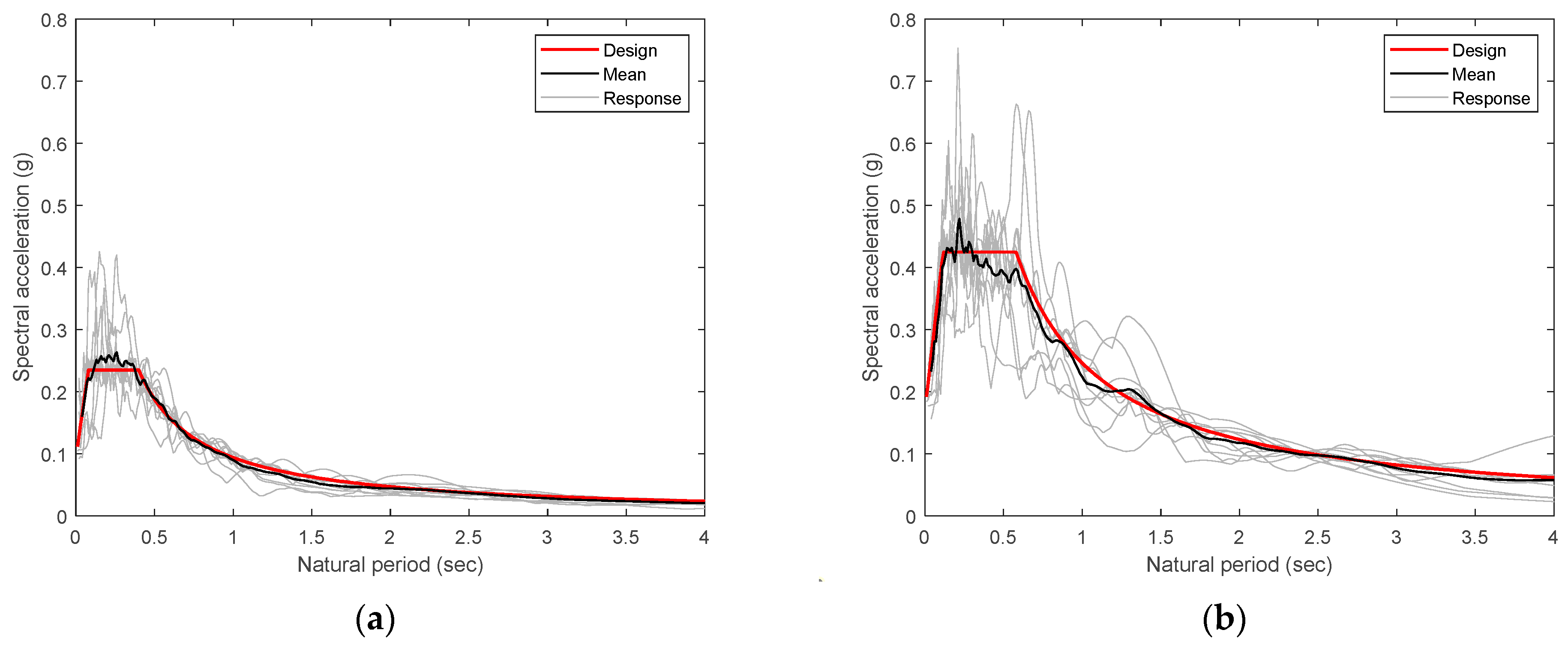
4.2. Nonlinear Dynamic Analysis
5. Analysis Results
Overstrength Demand
6. Proposed Overstrength Factors for Column Design
7. Conclusions
Author Contributions
Funding
Institutional Review Board Statement
Informed Consent Statement
Data Availability Statement
Acknowledgments
Conflicts of Interest
References
- ANSI/AISC 341-22; Seismic Provisions for Structural Steel Buildings. American Institute of Steel Construction: Chicago, IL, USA, 2022.
- Azad, S.K.; Topkaya, C. A review of research on steel eccentrically braced frames. J. Constr. Steel Res. 2017, 128, 53–73. [Google Scholar] [CrossRef]
- Okazaki, T.; Engelhardt, M.D. Cyclic loading behavior of EBF links constructed of ASTM A992 steel. J. Constr. Steel Res. 2007, 63, 751–765. [Google Scholar] [CrossRef]
- Okazaki, T.; Arce, G.; Ryu, H.C.; Engelhardt, M.D. Experimental study of local buckling, overstrength, and fracture of links in eccentrically braced frames. J. Struct. Eng. 2005, 131, 1526–1535. [Google Scholar] [CrossRef]
- Roeder, C.W.; Popov, E.P. Inelastic Behavior of Eccentrically Braced Steel Frames Under Cyclic Loadings; NASA STI/Recon Technical Report N. Earthquake Engineering Research Center: Berkeley, CA, USA, 1977; Volume 78, p. 20375.
- Popov, E.P.; Engelhardt, M.D. Seismic eccentrically braced frames. J. Constr. Steel Res. 1988, 10, 321–354. [Google Scholar] [CrossRef]
- Building Seismic Safety Council. Recommended Provisions for the Development of Seismic Regulations for New Buildings: Commentary; National Earthquake Hazards Reduction Program: Washington, DC, USA, 1985; Volume 17.
- American Institute of Steel Construction. Tentative Seismic Provisions; American Institute of Steel Construction: Chicago, IL, USA, 1989. [Google Scholar]
- Whittaker, A.S.; Uang, C.M.; Bertero, V.V. Earthquake Simulation Tests and Associated Studies of a 0.3-Scale Model of a Six-Story Eccentrically Braced Steel Structure; Earthquake Engineering Research Center: College of Engineering, University of California: Berkeley, CA, USA, 1987. [Google Scholar]
- Koboevic, S.; Redwood, R. Design and seismic response of shear critical eccentrically braced frames. Can. J. Civ. Eng. 1997, 24, 761–771. [Google Scholar] [CrossRef]
- Richards, P.W. Cyclic Stability and Capacity Design of Steel Eccentrically Braced Frames; University of California: San Diego, CA, USA, 2004. [Google Scholar]
- Richards, P.W. Seismic column demands in ductile braced frames. J. Struct. Eng. 2009, 135, 33–41. [Google Scholar] [CrossRef]
- Structural Engineers Association of California (SEAOC). Recommended Lateral Force Requirements and Tentative Commentary; Structural Engineers Association of California (SEAOC): Sacramento, CA, USA, 1988. [Google Scholar]
- EN 1998–1: 2005; Eurocode 8: Design of Structures for Earthquake Resistance. Part, 1. CEN: Brussels, Belgium, 2005.
- Becker, R.; Ishler, M. Seismic Design Practice for Eccentrically Braced Frames; Structural Steel Educational Council: Moraga, CA, USA, 1996; 27p. [Google Scholar]
- Eng, M.B.P.D.; Uang, C.M.; SE, R.S. Ductile Design of Steel Structures; McGraw-Hill Education: New York, NY, USA, 2011. [Google Scholar]
- Engelhardt, M.D.; Popov, E.P. Behavior of Long Links in Eccentrically Braced Frames; Report No. UCB/EERC-89/01; Earthquake Engineering Research Center: University of California: Berkeley, CA, USA, 1989. [Google Scholar]
- KDS 41 17 00; Seismic Design Code for Buildings. Ministry of Land, Infrastructure and Transport of Korea: Sejong, Republic of Korea, 2019.
- KS D 3502:2021; Dimensions, Mass and Permissible Variations of Hot Rolled Steel Sections. KATS: Eumseong-gun, Republic of Korea, 2022.
- Mazzoni, S.; McKenna, F.; Scott, M.H.; Fenves, G.L. OpenSees Command Language Manual; Pacific Earthquake Engineering Research (PEER) Center: Berkeley, CA, USA, 2006; Volume 264, pp. 137–158. [Google Scholar]
- The MathWorks Inc. MATLAB Version: 9.13.0 (R2022b); The MathWorks Inc.: Natick, MA, USA, 2022. [Google Scholar]
- Ramadan, T.; Ghobarah, A. Analytical model for shear-link behavior. J. Struct. Eng. 1995, 121, 1574–1580. [Google Scholar] [CrossRef]
- Richards, P.; Uang, C.M. Development of Testing Protocol for Short Links in Eccentrically Braced Frames; Department of Structural Engineering, University of California: San Diego, CA, USA, 2003. [Google Scholar]
- Rozon, J.; Kovoebic, S.; Tremblay, R. Study of global behavior of eccentrically braced frames in response to seismic loads. In Proceedings of the 14th World Conference on Earthquake Engineering, Beijing, China, 12–17 October 2008. [Google Scholar]
- Malakoutian, M.; Berman, J.W.; Dusicka, P. Seismic response evaluation of the linked column frame system. Earthq. Eng. Struct. Dyn. 2013, 42, 795–814. [Google Scholar] [CrossRef]
- Moghaddasi, B.N.S.; Zhang, Y. Seismic analysis of diagrid structural frames with shear-link fuse devices. Earthq. Eng. Eng. Vib. 2013, 12, 463–472. [Google Scholar] [CrossRef]
- O’Reilly, G.J.; Sullivan, T.J. Direct displacement-based seismic design of eccentrically braced steel frames. J. Earthq. Eng. 2016, 20, 243–278. [Google Scholar] [CrossRef]
- Bosco, M.; Marino, E.M.; Rossi, P.P. Modelling of steel link beams of short, intermediate or long length. Eng. Struct. 2015, 84, 406–418. [Google Scholar] [CrossRef]
- Bosco, M.; Ghersi, A.; Marino, E.M.; Rossi, P.P. Importance of link models in the assessment of the seismic response of multi-storey EBFs designed by ec8. Ing. Sismica 2016, 33, 82–93. [Google Scholar]
- Bosco, M.; Marino, E.M.; Rossi, P.P. Influence of modelling of steel link beams on the seismic response of EBFs. Eng. Struct. 2016, 127, 459–474. [Google Scholar] [CrossRef]
- Kwon, O.S. Eqmaker-Artificial Earthquake Maker; Korea Martial Institute: Kyonggi, Republic of Korea, 2000. [Google Scholar]
- FEMA 356; Prestandard and Commentary for the Seismic Rehabilitation of Buildings. American Society of Civil Engineers for the Federal Emergency Management Agency: Washington, DC, USA, 2000.
- Huang, Z.; Cheng, Y.; Zhang, D.; Yan, D.; Shen, Y. Seismic fragility and resilience assessment of shallowly buried large-section underground civil defense structure in soft soils: Framework and application. Tunn. Undergr. Space Technol. 2024, 146, 105640. [Google Scholar] [CrossRef]





















| Stories | Member | Level (Floor) | ||||||||||||||
|---|---|---|---|---|---|---|---|---|---|---|---|---|---|---|---|---|
| 1 | 2 | 3 | 4 | 5 | 6 | 7 | 8 | 9 | 10 | 11 | 12 | 13 | 14 | 15 | ||
| 5 | Column | C1 | C2 | C3 | ||||||||||||
| Beam | Bm1 | Bm2 | Bm3 | Bm4 | Bm5 | |||||||||||
| Brace | Br1 | Br2 | Br3 | |||||||||||||
| 10 | Column | C1 | C2 | C3 | C4 | |||||||||||
| Beam | Bm1 | Bm2 | Bm3 | Bm4 | Bm5 | |||||||||||
| Brace | Br1 | Br2 | Br3 | Br4 | ||||||||||||
| 15 | Column | C1 | C2 | C3 | C4 | C5 | ||||||||||
| Beam | Bm1 | Bm2 | Bm3 | Bm4 | Bm5 | |||||||||||
| Brace | Br1 | Br2 | Br3 | Br4 | Br5 | |||||||||||
| Element | Yield Strength | Elastic Stiffness | Yield Deformation | Ultimate Plastic Deformation | Ultimate Overstrength Factor | Strain Hardening Ratio |
|---|---|---|---|---|---|---|
| TS | ||||||
| RS |
| SDC | Event | Station | Year | Magnitude |
|---|---|---|---|---|
| B | Superstition Hills | Poe Road (temp) | 1987 | 6.5 |
| Duzce, Turkey | Bolu | 1999 | 7.1 | |
| San Fernando | LA—Hollywood Stor | 1971 | 6.6 | |
| Imperial Valley | El Centro Array #11 | 1979 | 6.5 | |
| Manjil, Iran | Abbar | 1990 | 7.4 | |
| D | Landers | Yermo Fire Station | 1992 | 7.3 |
| Kocaeli, Turkey | Arcelik | 1999 | 7.5 | |
| Kobe, Japan | Shin-Osaka | 1995 | 6.9 | |
| Loma Prieta | Gilroy Array #3 | 1989 | 6.9 | |
| Northridge | Canyon Country-WLC | 1994 | 6.7 |
| Five-Story Building | Ten-Story Building | Fifteen-Story Building | |
|---|---|---|---|
| 1F | 1.345 | 1.263 | 1.120 |
| 2F | 1.400 | 1.262 | 1.133 |
| 3F | 1.384 | 1.257 | 1.149 |
| 4F | 1.464 | 1.259 | 1.173 |
| 5F | 1.500 | 1.284 | 1.187 |
| 6F | 1.325 | 1.197 | |
| 7F | 1.361 | 1.219 | |
| 8F | 1.406 | 1.275 | |
| 9F | 1.497 | 1.306 | |
| 10F | 1.500 | 1.359 | |
| 11F | 1.407 | ||
| 12F | 1.421 | ||
| 13F | 1.453 | ||
| 14F | 1.479 | ||
| 15F | 1.500 |
Disclaimer/Publisher’s Note: The statements, opinions and data contained in all publications are solely those of the individual author(s) and contributor(s) and not of MDPI and/or the editor(s). MDPI and/or the editor(s) disclaim responsibility for any injury to people or property resulting from any ideas, methods, instructions or products referred to in the content. |
© 2024 by the authors. Licensee MDPI, Basel, Switzerland. This article is an open access article distributed under the terms and conditions of the Creative Commons Attribution (CC BY) license (https://creativecommons.org/licenses/by/4.0/).
Share and Cite
Hong, Y.; Yu, E. Evaluation of Link Overstrength Factor for the Seismic Design of Eccentrically Braced Frames. Appl. Sci. 2024, 14, 9683. https://doi.org/10.3390/app14219683
Hong Y, Yu E. Evaluation of Link Overstrength Factor for the Seismic Design of Eccentrically Braced Frames. Applied Sciences. 2024; 14(21):9683. https://doi.org/10.3390/app14219683
Chicago/Turabian StyleHong, Yoonsu, and Eunjong Yu. 2024. "Evaluation of Link Overstrength Factor for the Seismic Design of Eccentrically Braced Frames" Applied Sciences 14, no. 21: 9683. https://doi.org/10.3390/app14219683
APA StyleHong, Y., & Yu, E. (2024). Evaluation of Link Overstrength Factor for the Seismic Design of Eccentrically Braced Frames. Applied Sciences, 14(21), 9683. https://doi.org/10.3390/app14219683

