Reducing Peak Power in a Multiple Load System by Delaying the Activation of Electrical Loads Using a Filter Based on a PI Controller
Abstract
1. Introduction
2. Materials and Methods
2.1. Creep Test Laboratory
2.2. Heater Control
2.3. The Problem of Reducing Power Peaks
2.4. The Proposed Algorithm
- —a sampling period of 200 ms used in the system under test;
- —the i-th discrete time instant;
- n—number of heaters;
- —the output of the controller of the heater j at a discrete time instant ti;
- —state of the relay activating heater j at a discrete time instant ti;
- —quantum of energy consumed by the switched on heater during the sampling period;
- —buffered energy level set-point expressed as the number of quanta e;
- —number of units in the heater buffer j at discrete time instant ti;
- —number of heaters switched on at a discrete time instant ti;
- —power source load at a discrete time instant ti.
- is a one step ahead prediction error;
- —the number of buffers for which the level of stored energy is greater than ;
- —controller gain;
- —integration time.
- —a vector of coefficients based on which the heaters are selected for activation (priority is given to the heaters with the highest coefficient values);
- —discrete time elapsed since the heater was last switched on.
- —number of machines to be switched on;
- —a vector of coefficients based on which the heaters are selected for activation;
- —vector defining the state of the heaters: 1 for on, 0 for off.
3. Results
3.1. Results Without Synchronisation
3.2. Tuning the PI Algorithm
3.3. Selecting the Buffer Fill Level
3.4. Testing the Impact of PI Controller Parameters
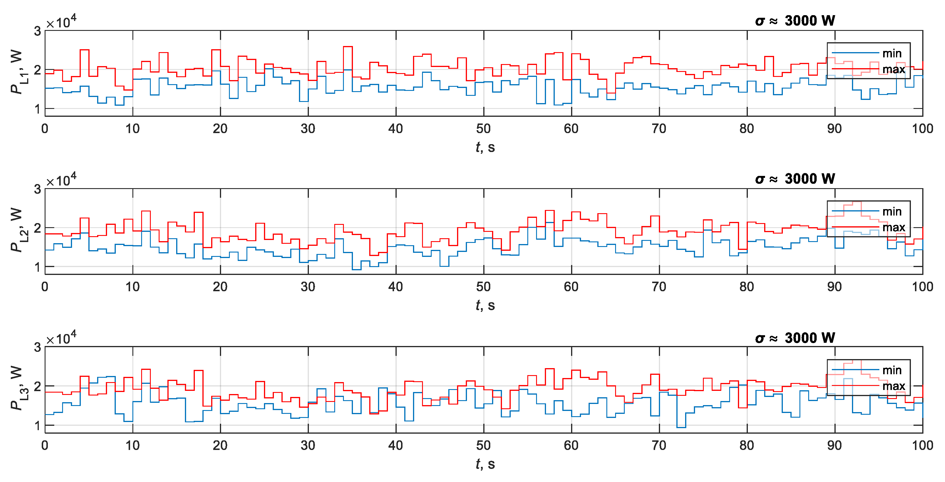
3.5. Phase Load Differences
3.6. Discussion
4. Conclusions
Author Contributions
Funding
Institutional Review Board Statement
Informed Consent Statement
Data Availability Statement
Conflicts of Interest
References
- Antweiler, W. Cross-border trade in electricity. J. Int. Econ. 2016, 101, 42–51. [Google Scholar] [CrossRef]
- Komorowska, A. Cross-border exchange of electricity between Poland and the neighbouring countries. Polityka Energetyczna 2019, 22, 37–52. [Google Scholar] [CrossRef]
- Eghlimi, M.; Niknam, T.; Aghaei, J. Decision model for cross-border electricity trade considering renewable energy sources. Energy Rep. 2022, 8, 11715–11728. [Google Scholar] [CrossRef]
- Thellufsen, J.Z.; Lund, H. Cross-border versus cross-sector interconnectivity in renewable energy systems. Energy 2017, 124, 492–501. [Google Scholar] [CrossRef]
- Ueda, Y.; Kurokawa, K.; Tanabe, T.; Kitamura, K.; Sugihara, H. Analysis results of output power loss due to the grid voltage rise in grid-connected photovoltaic power generation systems. IEEE Trans. Ind. Electron. 2008, 55, 2744–2751. [Google Scholar] [CrossRef]
- Collins, L.; Ward, J.K. Real and reactive power control of distributed PV inverters for overvoltage prevention and increased renewable generation hosting capacity. Renew. Energy 2015, 81, 464–471. [Google Scholar] [CrossRef]
- Wang, L.; Yan, R.; Saha, T.K. Voltage regulation challenges with unbalanced PV integration in low voltage distribution systems and the corresponding solution. Appl. Energy 2019, 256, 113927. [Google Scholar] [CrossRef]
- Rúa, J.; Verheyleweghen, A.; Jäschke, J.; Nord, L.O. Optimal scheduling of flexible thermal power plants with lifetime enhancement under uncertainty. Appl. Therm. Eng. 2021, 191, 116794. [Google Scholar] [CrossRef]
- Viswanathan, R.; Stringer, J. Failure mechanisms of high temperature components in power plants. J. Eng. Mater. Technol. 2000, 122, 246–255. [Google Scholar] [CrossRef]
- Barchi, G.; Miori, G.; Moser, D.; Papantoniou, S. A Small-Scale Prototype for the Optimization of PV Generation and Battery Storage through the Use of a Building Energy Management System. In Proceedings of the 2018 IEEE International Conference on Environment and Electrical Engineering and 2018 IEEE Industrial and Commercial Power Systems Europe, EEEIC/I and CPS Europe, Palermo, Italy, 12–15 June 2018. [Google Scholar]
- Vieira, F.M.; Moura, P.S.; de Almeida, A.T. Energy storage system for self-consumption of photovoltaic energy in residential zero energy buildings. Renew. Energy 2017, 103, 308–320. [Google Scholar] [CrossRef]
- Kousksou, T.; Bruel, P.; Jamil, A.; El Rhafiki, T.; Zeraouli, Y. Energy storage: Applications and challenges. Sol. Energy Mater. Sol. Cells 2014, 120 Pt A, 59–80. [Google Scholar] [CrossRef]
- Olatomiwa, L.; Mekhilef, S.; Ismail, M.S.; Moghavvemi, M. Energy management strategies in hybrid renewable energy systems: A review. Renew. Sustain. Energy Rev. 2016, 62, 821–835. [Google Scholar] [CrossRef]
- Almalaq, A.; Alshammarry, A.; Alanzi, B.; Alharbi, F.; Alshudukhi, M. Deep Learning Applied on Renewable Energy Forecasting Towards Supply-Demand Matching. In Proceedings of the 20th IEEE International Conference on Machine Learning and Applications, ICMLA, Pasadena, CA, USA, 13–16 December 2021; pp. 1345–1349. [Google Scholar]
- Papkov, B.; Mahnitko, A.; Zicmane, I.; Berzina, K.; Lomane, T.; Veremiichuk, Y. System Approach to Management of Electrical Consumption in Intelligent Electrical Networks. In Proceedings of the 2019 IEEE International Conference on Environment and Electrical Engineering and 2019 IEEE Industrial and Commercial Power Systems Europe, EEEIC/I and CPS Europe, Genova, Italy, 11–14 June 2019. [Google Scholar]
- Qureshi, J.A.; Gul, M.; Faruqi, M.A.; Qureshi, W.A. Intelligent demand management for end user benefits. In Proceedings of the 2011 IEEE PES Conference on Innovative Smart Grid Technologies—Middle East [ ISGT Middle East 2011], Jeddah, Saudi Arabia, 17–20 December 2011. [Google Scholar]
- De, A.S.M. Load shifting technique for reduction of peak generation capacity requirement in smart grid. In Proceedings of the 2016 IEEE 1st International Conference on Power Electronics, Intelligent Control and Energy Systems, Delhi, India, 4–6 July 2016. [Google Scholar]
- Choi, H. Overview of charging technology evolution in smartphones. J. Power Electron. 2023, 23, 1931–1941. [Google Scholar] [CrossRef]
- Reydarns, H.; Lauwereys, V.; Haeseldonckx, D.; Van Willigenburg, P.; Woudstra, J.; De Jonge, S. The development of a proof of concept for a smart DC/DC power plug based on USB power delivery. In Proceedings of the 22nd Conference on the Domestic Use of Energy (DUE 2014), Cape Town, South Africa, 1–2 April 2014; p. 6827761. [Google Scholar]
- Marales, R.C.; Preda, S. Demand Side Managment Electric Energy Consumption Data Processing Architectures Within Internet of Things Context. In Proceedings of the IEEE Joint 19th International Symposium on Computational Intelligence and Informatics and 7th International Conference on Recent Achievements in Mechatronics, Automation, Computer Sciences and Robotics, CINTI-MACRo, Szeged, Hungary, 14–16 November 2019; pp. 43–48. [Google Scholar]
- Laicane, I.; Blumberga, D.; Blumberga, A.; Rosa, M. Reducing household electricity consumption through demand side management: The role of home appliance scheduling and peak load reduction. Energy Procedia 2015, 72, 222–229. [Google Scholar] [CrossRef]
- Moura, P.S.; López, G.L.; Moreno, J.I.; De Almeida, A.T. The role of Smart Grids to foster energy efficiency. Energy Effic. 2013, 6, 621–639. [Google Scholar] [CrossRef]
- Mbungu, N.T. Control and estimation techniques applied to smart microgrids: A review. Renew. Sustain. Energy Rev. 2023, 179, 113251. [Google Scholar] [CrossRef]
- Adam, Z. The role of Institute of Ferrous Metallurgy in the development of materials for the power industry. J. Met. Mater. 2021, 73, 3–8. [Google Scholar] [CrossRef]
- Sroka, M.; Zieliński, A.; Golański, G.; Pawlyta, M.; Purzyńska, H.; Novy, F. Evolution of the microstructure and mechanical properties of Sanicro 25 austenitic stainless steel after long-term ageing. Arch. Civ. Mech. Eng. 2023, 23, 149. [Google Scholar] [CrossRef]
- Purzyńska, H.; Golański, G. Incoloy 800HT iron-based superalloy-preliminary characterisation. J. Met. Mater. 2022, 74, 42–46. [Google Scholar] [CrossRef]
- Altenbach, H.; Eisenträger, J. Introduction to Creep Mechanics. In Encyclopedia of Continuum Mechanics; Springer: Berlin/Heidelberg, Germany, 2019. [Google Scholar] [CrossRef]
- ISO 204:2023; Metallic materials—Uniaxial Creep Testing in Tension—Method of Test. ISO: Geneva, Switzerland, 2023.
- Iverson, J. How to Size a Genset: Proper Generator Set Sizing Requires Analysis of Parameters and Loads; Cummins Power, Technical Information: Fridley, MN, USA, 2007; PT-7007 (03/07). [Google Scholar]
- Momoh, J.J.; Ajueyitsi, O.N.A.; Onipede, A.I.M. Development of a Low Cost Mechanically Operated Tensile and Creep Testing Machine. J. Eng. Appl. Sci. 2008, 3, 491–495. [Google Scholar]
- Molina, R.; Pender, G.; González, G.; Moro, L. Checking of the uniformity of results of simultaneous creep testing equipment. Rev. Mater. 2018, 23, e-12022. [Google Scholar]
- Rooholahi, B.; Reddy, P.L. Concept and application of PID control and implementation of continuous PID controller in Siemens PLCs. Indian J. Sci. Technol. 2015, 8, 9. [Google Scholar] [CrossRef]
- Gurevich, V. Electric Relays: Principles and Applications; CRC Press: Boca Raton, FL, USA, 2018. [Google Scholar]
- Hudy, W.; Jaracz, K.; Migo, P. Analysis of a two-position regulation system with correction. Ann. Univ. Paedagog. Cracoviensis Stud. Tech. 2017, 10, 30–34. [Google Scholar]
- SIMATIC Standard PID Control Manual. edition 03/2003, SIEMENS. Available online: https://cache.industry.siemens.com/dl/files/084/1137084/att_27126/v1/Stdpid_e.pdf (accessed on 8 September 2024).
- Mobarra, M.; Rezkallah, M.; Ilinca, A. Variable Speed Diesel Generators: Performance and Characteristic Comparison. Energies 2022, 15, 592. [Google Scholar] [CrossRef]
- Hadjipaschalis, I.; Poullikkas, A.; Efthimiou, V. Overview of current and future energy storage technologies for electric power applications. Renew. Sustain. Energy Rev. 2009, 13, 1513–1522. [Google Scholar] [CrossRef]
- Espinar, B.; Mayer, D. The Role of Energy Storage for Mini-GRID Stabilization; Report IEA-PVPS T11-02:2011, hal-00802927; International Energy Agency: Paris, France, 2011. [Google Scholar]
- OTT, H.W.; OTT, H.W. Noise Reduction Techniques in Electronic Systems; Wiley: New York, NY, USA, 1988. [Google Scholar]
- Chaturvedi, D.K. Modeling and Simulation of Systems Using Matlab® and Simulink®; CRC Press Taylor & Francis Group, LLC: Abingdon, UK, 2010. [Google Scholar]
- Szulc, M.; Kasprzyk, J.; Loska, J. Creep Testing Machine Identification for Power System Load Optimization. Lect. Notes Netw. Syst. 2023, 708, 113–122. [Google Scholar]
- Xue, S.; Che, Y.; He, W.; Zhao, Y.; Zhang, R. Control strategy of electric heating loads for reducing power shortage in power grid. Processes 2019, 7, 273. [Google Scholar] [CrossRef]
- Lower, M.; Dobrowolski, P. Application of the Closed-Loop PI Controller as the Low-Pass Filter. In Theory and Engineering of Dependable Computer Systems and Networks, Proceedings of the Sixteenth International Conference on Dependability of Computer Systems DepCoS-RELCOMEX, Wrocław, Poland, 28 June–2 July 2021; DepCoS-RELCOMEX 2021, Advances in Intelligent Systems and Computing; Springer: Cham, Switzerland, 2021; Volume 1389, p. 1389. [Google Scholar] [CrossRef]
- Koutsopoulos, I.; Tassiulas, L. Control and optimization meet the smart power grid: Scheduling of power demands for optimal energy management. In Proceedings of the 2nd International Conference on Energy-Efficient Computing and Networking, New York, NY, USA, 31 May–1 June 2011; ACM International Conference Proceeding Series 2012. pp. 41–50. [Google Scholar]



















| Parameter | Value |
|---|---|
| K | 0.15 |
| Ti | 150 |
| esp | 50 |
Disclaimer/Publisher’s Note: The statements, opinions and data contained in all publications are solely those of the individual author(s) and contributor(s) and not of MDPI and/or the editor(s). MDPI and/or the editor(s) disclaim responsibility for any injury to people or property resulting from any ideas, methods, instructions or products referred to in the content. |
© 2024 by the authors. Licensee MDPI, Basel, Switzerland. This article is an open access article distributed under the terms and conditions of the Creative Commons Attribution (CC BY) license (https://creativecommons.org/licenses/by/4.0/).
Share and Cite
Kasprzyk, J.; Szulc, M. Reducing Peak Power in a Multiple Load System by Delaying the Activation of Electrical Loads Using a Filter Based on a PI Controller. Appl. Sci. 2024, 14, 9674. https://doi.org/10.3390/app14219674
Kasprzyk J, Szulc M. Reducing Peak Power in a Multiple Load System by Delaying the Activation of Electrical Loads Using a Filter Based on a PI Controller. Applied Sciences. 2024; 14(21):9674. https://doi.org/10.3390/app14219674
Chicago/Turabian StyleKasprzyk, Jerzy, and Michał Szulc. 2024. "Reducing Peak Power in a Multiple Load System by Delaying the Activation of Electrical Loads Using a Filter Based on a PI Controller" Applied Sciences 14, no. 21: 9674. https://doi.org/10.3390/app14219674
APA StyleKasprzyk, J., & Szulc, M. (2024). Reducing Peak Power in a Multiple Load System by Delaying the Activation of Electrical Loads Using a Filter Based on a PI Controller. Applied Sciences, 14(21), 9674. https://doi.org/10.3390/app14219674

