A Two-Stage Damage Localization Method for Structural Sealants Based on Boundary Modal Curvature
Abstract
1. Introduction
2. Basic Theory
2.1. BMC of Glass Panels
2.2. The First Stage on Damaged Edge Identification
2.3. Second Stage on Structural Sealant Damage Localization
3. Numerical Validation
3.1. The Numerical Models
3.2. Damage Cases
3.3. Numerical Results
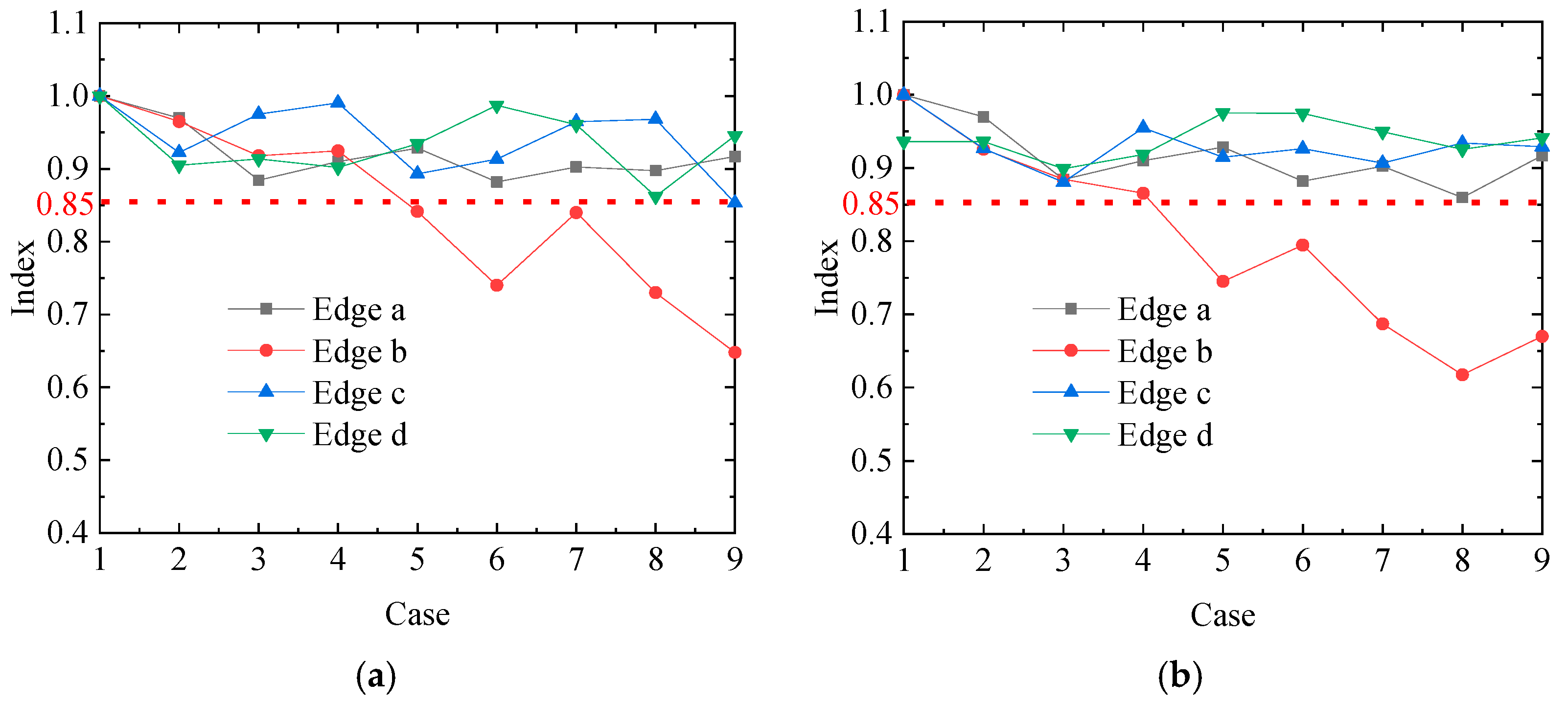
3.3.1. Identification of the Damaged Edge
3.3.2. Identification of the Damage Location
4. Test Validation
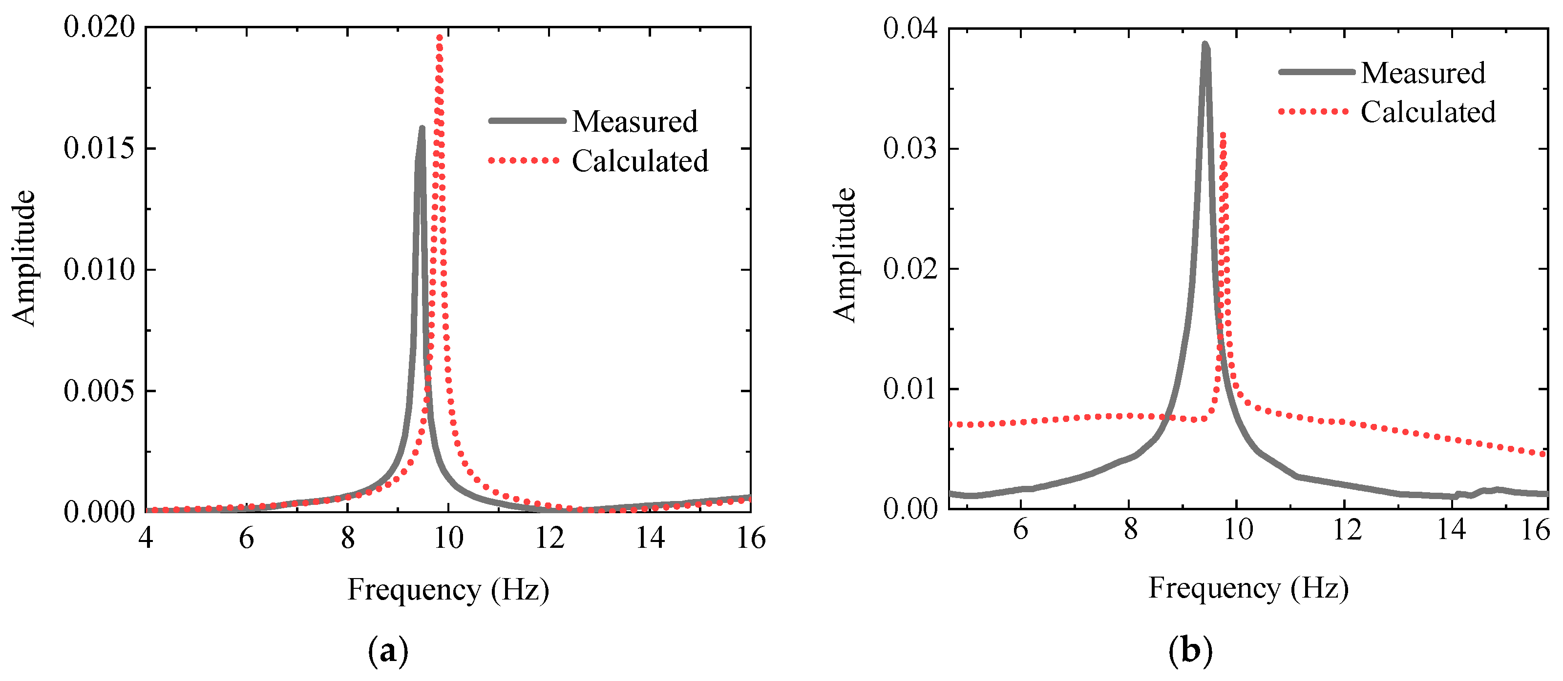
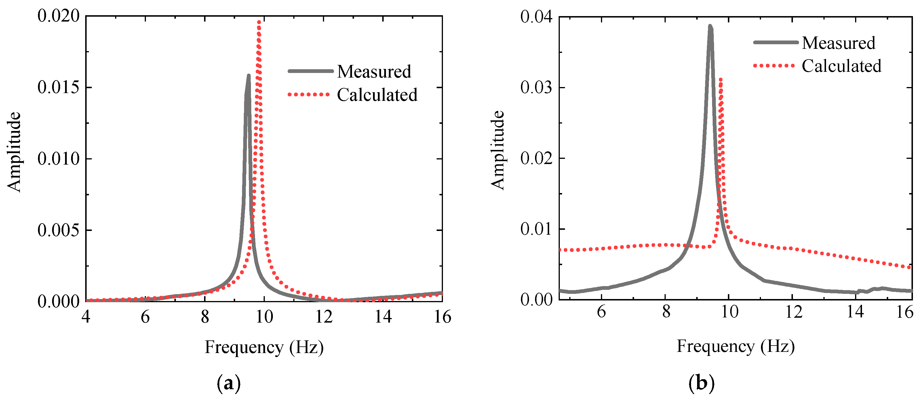
4.1. Modal Experiment
4.2. Setting of the Damage Cases
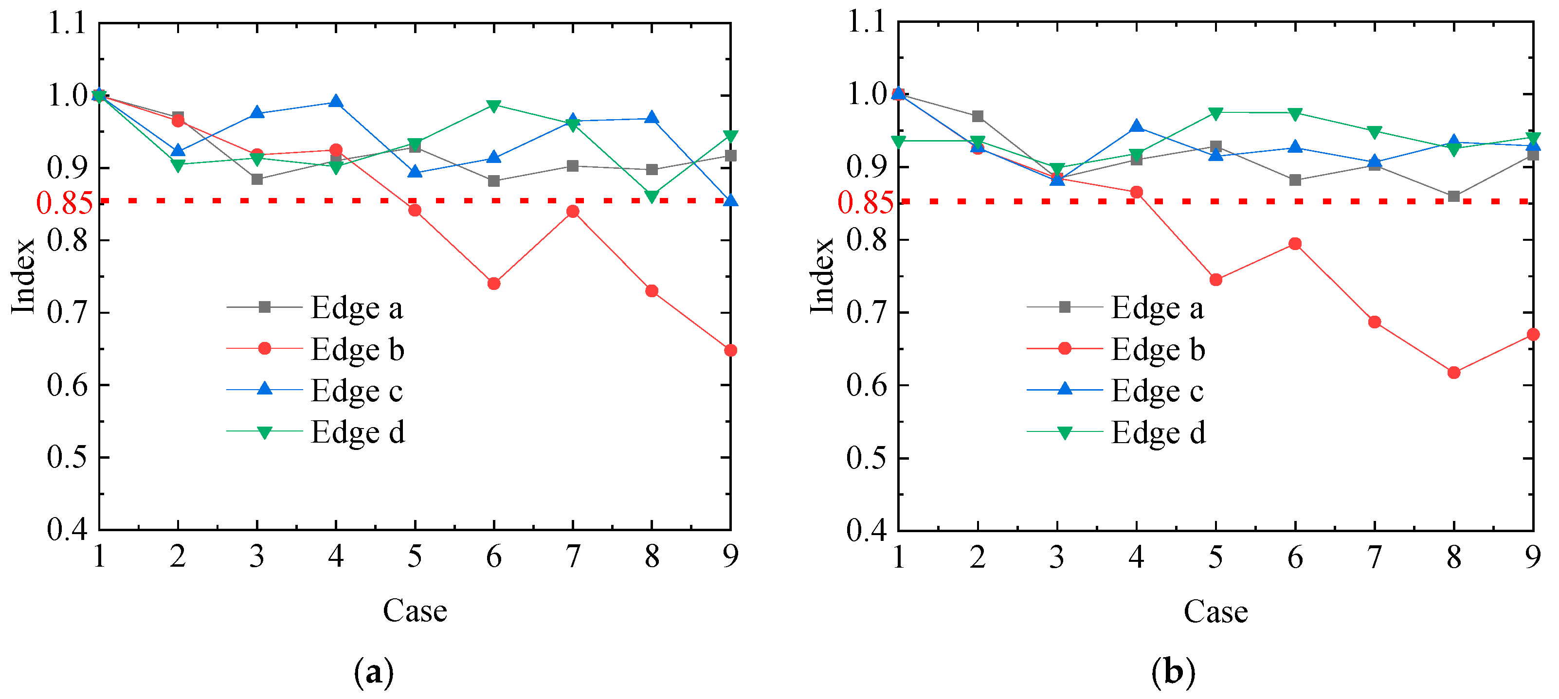
4.3. Experimental Results and Discussion
4.3.1. Identification in the First Stage
4.3.2. Identification in the Second Stage
5. Conclusions
- (1)
- The damaged edges of the structural sealant can be identified by the proposed ACBMC index effectively. A threshold value of 0.85 for the ACBMC of the first mode can identify the damaged edges of the structural sealant. Through numerical calculations and actual experiments, it can be found that the ACBMC index is more sensitive to damage than BMC alone. Additionally, the change in the ACBMC of the first mode is consistent with the increase in the damage severity. Due to the nodes of higher-order modes and the effect of noise, second-order and third-order modes cannot be used for damage identification;
- (2)
- After identifying the damaged edge, the specific damage location of the structural sealant can be further identified through the difference in BMC. Based on the assumption that the differences in the BMC caused by noise follow a normal distribution, the midpoint of the damage location can be identified. As the number of measurement points increases, the identified location would be more accurate, but the required labor in actual engineering increases. Usually, the number of measurement points on single-edge must reach more than 5;
- (3)
- The method can be affected by the damage severity and noise in actual use. When the damage severity is small or the noise is high, the accuracy of this method decreases. When the damage severity exceeds 4%, the two-stage damage localization method can effectively identify the midpoint of the actual damage range.
Author Contributions
Funding
Institutional Review Board Statement
Informed Consent Statement
Data Availability Statement
Conflicts of Interest
References
- Bedon, C.; Amadio, C. Numerical assessment of vibration control systems for multi-hazard design and mitigation of glass curtain walls. J. Build. Eng. 2018, 15, 1–13. [Google Scholar] [CrossRef]
- Bedon, C.; Xihong, Z.; Filipe, H. Dániel. Performance of structural glass facades under extreme loads—Design methods, existing research, current issues and trends. Constr. Build. Mater. 2018, 3, 921–937. [Google Scholar] [CrossRef]
- Carolina, A.; Nicola, C.; Giuseppe, M.; Bonati, A.; Franco, A. Experimental and numerical investigation of cyclic response of a glass curtain wall for seismic performance assessment. Constr. Build. Mater. 2018, 187, 596–609. [Google Scholar] [CrossRef]
- Memari, A.; Chen, X.; Kremer, P.; Behr, R. Prediction of seismic failure of silicone sealant in two-edged structural sealant glazing systems. J. Archit. Eng. 2012, 18, 6–26. [Google Scholar] [CrossRef]
- JGJ 102-2010; Technical Code for Glass Curtain Wall Engineering. Construction Industry Press: Beijing, China, 2010. (In Chinese)
- ASTM E283-04; Standard Test Method for Determining Rale of Air Leakage Through Exterior Windows, Curtain Walls and Doors Under Specified Pressure Differences Across the Specimen. American Society of Testing Materials: West Conshohocken, PA, USA, 2013.
- ASTM E331; Standard Test Method for Water Penetration of Exterior Windows, Skylights, Doors and Curtain Walls by Uniform Static Air Pressure Difference. American Society of Testing Materials: West Conshohocken, PA, USA, 2009.
- AAMA 503; Voluntary Specification for Field Testing of Newly Installed Storefronts Curtain Walls and Sloped Glazing Systems. American Architectural Manufacturers Association: Schaumburg, IL, USA, 2014.
- EN 13830-2003; Curtain Walling—Product Standard. CEN: Brussels, Belgium, 2014.
- EOTA, ETAG 002; Guideline for European Technical Approval for Structural Sealant Glazing Systems. CEN: Brussels, Belgium, 2001.
- Hong, X.; Yuan, L.; Lin, P. Interfacial Adhesion-Strength Detection of Structural Silicone Sealant for Hidden Frame-Supported Glass Curtain Wall Based on Nonlinear Ultrasonic Lamb Wave. J. Aerosp. Eng. 2018, 31, 4018047. [Google Scholar] [CrossRef]
- Lin, J.; Hong, X.; Ren, Z.; Chen, J. Scanning laser in-depth heating infrared thermography for deep debonding of glass curtain walls structural adhesive. Measurement 2022, 192, 110902. [Google Scholar] [CrossRef]
- Zhu, R.; Chen, Y.; Liu, J. Current situation of safety detection technology on existing glass curtain wall. China Build. Mater. Technol. 2018, 27, 1–3. (In Chinese) [Google Scholar]
- Doebline, S.; Farrar, C.; Prime, M.; Shevitz, D. Damage Identification and Health Monitoring of Structural and Mechanical Systems from Changes in the Vibration Characteristics: A Literature Review; Los Alamos National Laboratory Report LA-13070-MS; Office of Scientific and Technical Information, U.S. Department of Energy: Way Oak Ridge, TN, USA, 1996; Volume 30, pp. 2043–2049. [CrossRef]
- Mahmud, M.; Samman, A.; Mrinmay, B. Vibration testing for nondestructive evaluation of bridges. I: Theory. J. Struct. Eng. 1994, 120, 269–289. [Google Scholar] [CrossRef]
- Huang, Z.; Xie, M.; Song, H.; Du, Y. Modal analysis related safety-state evaluation of hidden frame supported glass curtain wall. J. Build. Eng. 2018, 2, 671–678. [Google Scholar] [CrossRef]
- Huang, Z.; Xie, M.; Zhao, J.; Du, Y. Rapid evaluation of hidden frame supported glass curtain wall safety state based on remote vibration measurement. J. Build. Eng. 2018, 5, 91–97. [Google Scholar] [CrossRef]
- Huang, Z.; Xie, M.; Chen, C.; Du, Y.; Zhao, J. Engineering application of a safety-state evaluation model for hidden frame-supported glass curtain walls based on remote vibration. J. Build. Eng. 2019, 8, 100915. [Google Scholar] [CrossRef]
- Pan, D.; Jiang, K.; Zhang, X.; Huang, Y. Sealants delamination detection of structural sealant glazing systems based on driving-point accelerance. Shock Vib. 2020, 5, 7260438. [Google Scholar] [CrossRef]
- Jiang, K.; Pan, D.; Huang, Y.; Qiu, X. Construction defects identification for structural sealant by statistical driving-point accelerance. Constr. Build. Mater. 2023, 392, 131817. [Google Scholar] [CrossRef]
- Yang, G.; Long, X.; Wang, X. Structural adhesive damage identification of glass curtain wall. Nonlinear Dyn. 2022, 110, 2573–2587. [Google Scholar] [CrossRef]
- Xu, H.; Yang, J.; Wang, X. Application of back propagation neural network on debonding prediction of glass curtain walls with concealed frame. J. Chin. Ceram. Soc. 2019, 47, 1073–1079. (In Chinese) [Google Scholar] [CrossRef]
- Zhang, Q.; Yang, J.; Wang, X. Intelligent identification of connection relaxation state of frame supported glass curtain walls based on structural response vector and support vector machine. J. Silic. 2020, 48, 1682–1688. (In Chinese) [Google Scholar]
- Zhang, S.; Li, C.; Ye, W. Damage localization in plate-like structures using time-varying feature and one-dimensional convolutional neural network. Mech. Syst. Signal Process. 2021, 147, 107107. [Google Scholar] [CrossRef]
- Zhang, Y.; Miyamori, Y.; Mikami, S.; Saito, T. Vibration-based structural state identification by a 1 dimensional convolutional neural network. Comput.-Aided Civ. Infrastruct. Eng. 2019, 34, 822–839. [Google Scholar] [CrossRef]
- Liu, X.; Bao, Y.; Song, Y.; Qiu, Y. Safety evaluation of glass curtain walls by using dynamic method. China Civ. Eng. 2009, 42, 11–15. (In Chinese) [Google Scholar] [CrossRef]
- Liu, X.; Bao, Y. Safety evaluation for frame supported glass curtain wall based on natural frequency change. J. Shenyang Univ. Technol. 2011, 33, 595–600. (In Chinese) [Google Scholar]
- Fang, Z.; Luo, W. Research on damage detection of fully hidden frame glass curtain wall based on modal curvature. Value Eng. 2017, 36, 89–93. (In Chinese) [Google Scholar] [CrossRef]
- Jiang, K.; Pan, D.; Zhang, X.; Hu, N. Experimental study on damage identification of structural sealant based on boundary mode. Eng. Mech. 2022, 39, 350–355. (In Chinese) [Google Scholar] [CrossRef]
- Aguinis, H.; Gottfredson, R.; Joo, H. Best-practice recommendations for defining, identifying, and handling outliers. Organ. Res. Methods 2013, 16, 270–301. [Google Scholar] [CrossRef]
- Juang, J.; Richard, S. An eigensystem realization algorithm for modal parameter identification and model reduction. J. Guid. Control Dyn. 1985, 8, 620–627. [Google Scholar] [CrossRef]
- Yang, X.; Yi, T.; Qu, C.; Li, H.; Liu, H. Automated eigensystem realization algorithm for operational modal identification of bridge structures. J. Aerosp. Eng. 2019, 32, 04018148. [Google Scholar] [CrossRef]

















| Materials | Density (kg/m3) | Elastic Modulus (N/mm2) | Poisson’s Ratio |
|---|---|---|---|
| Glass panel | 2500 | 7.0 × 104 | 0.22 |
| Sealant | 1350 | 1.12 (20 °C) | 0.45 |
| Supporting frame | 2800 | 7 × 104 | 0.33 |
| Model | Edge | Damage | Case | ||||||||
|---|---|---|---|---|---|---|---|---|---|---|---|
| 1 | 2 | 3 | 4 | 5 | 6 | 7 | 8 | 9 | |||
| A | Eb | Location | - | 30–32 | 30–34 | 30–36 | 30–38 | 30–38 | 30–38 | 30–38 | 30–38 |
| Severity | 0 | 5% | 8.3% | 11.6% | 15% | 15% | 15% | 15% | 15% | ||
| Ed | Location | - | - | - | - | - | 10–12 | 10–14 | 10–16 | 10–18 | |
| Severity | 0 | 0 | 0 | 0 | 0 | 5% | 8.3% | 11.6% | 15% | ||
| B | Eb | Location | - | 28–30 | 28–32 | 28–34 | 28–36 | 28–36 | 28–36 | 28–36 | 28–36 |
| Severity | 0 | 5% | 8.3% | 11.6% | 15% | 15% | 15% | 15% | 15% | ||
| Ec | Location | - | - | - | - | - | 38–40 | 38–42 | 38–44 | 38–46 | |
| Severity | 0 | 0 | 0 | 0 | 0 | 3.8% | 6.3% | 8.8% | 11.3% | ||
| Mode | Edge a | Edge b | Edge c | Edge d |
|---|---|---|---|---|
| 1st | ![]() | ![]() | ![]() | ![]() |
| 2nd | ![]() | ![]() | ![]() | ![]() |
| 3rd | ![]() | ![]() | ![]() | ![]() |
| BMC | Edge a | Edge b | Edge c | Edge d |
|---|---|---|---|---|
| 1st | ![]() | ![]() | ![]() | ![]() |
| 2nd | ![]() | ![]() | ![]() | ![]() |
| 3rd | ![]() | ![]() | ![]() | ![]() |
| Model | Edge | Case | |||||||
|---|---|---|---|---|---|---|---|---|---|
| 2 | 3 | 4 | 5 | 6 | 7 | 8 | 9 | ||
| A | Eb | 30–32 | 31–33 | 31–33 | 32–33 | 32–33 | 32–33 | 32–33 | 32–33 |
| Ed | - | - | - | - | 9–11 | 10–12 | 12–13 | 12–14 | |
| B | Eb | 28–29 | 28–29 | 29–30 | 31–32 | 31–32 | 32–34 | 32–33 | 32–33 |
| Ec | - | - | - | - | 37–39 | 38–39 | 39–41 | 39–41 | |
| Specimen | Damaged Edge | Case | ||||||||
|---|---|---|---|---|---|---|---|---|---|---|
| 1 | 2 | 3 | 4 | 5 | 6 | 7 | 8 | 9 | ||
| A | b | No damage | 4 | 4 | 4 | 3–4 | 3–4 | 3–4 | 2–4 | 2–4 |
| B | b | No damage | 5 | 5 | 5 | 4–5 | 4–5 | 4–5 | 3–5 | 3–5 |
| Specimen | Edge | Case | ||||
|---|---|---|---|---|---|---|
| 5 | 6 | 7 | 8 | 9 | ||
| A | Eb | 3 | 3 | 3 | 3 | 3 |
| B | Eb | 4 | 4 | 4 | 4 | 4 |
Disclaimer/Publisher’s Note: The statements, opinions and data contained in all publications are solely those of the individual author(s) and contributor(s) and not of MDPI and/or the editor(s). MDPI and/or the editor(s) disclaim responsibility for any injury to people or property resulting from any ideas, methods, instructions or products referred to in the content. |
© 2024 by the authors. Licensee MDPI, Basel, Switzerland. This article is an open access article distributed under the terms and conditions of the Creative Commons Attribution (CC BY) license (https://creativecommons.org/licenses/by/4.0/).
Share and Cite
Zhang, X.; Jiang, K.; Pan, D.; Fu, X.; Hu, N. A Two-Stage Damage Localization Method for Structural Sealants Based on Boundary Modal Curvature. Appl. Sci. 2024, 14, 9641. https://doi.org/10.3390/app14219641
Zhang X, Jiang K, Pan D, Fu X, Hu N. A Two-Stage Damage Localization Method for Structural Sealants Based on Boundary Modal Curvature. Applied Sciences. 2024; 14(21):9641. https://doi.org/10.3390/app14219641
Chicago/Turabian StyleZhang, Xichen, Kun Jiang, Danguang Pan, Xiangqiu Fu, and Naidong Hu. 2024. "A Two-Stage Damage Localization Method for Structural Sealants Based on Boundary Modal Curvature" Applied Sciences 14, no. 21: 9641. https://doi.org/10.3390/app14219641
APA StyleZhang, X., Jiang, K., Pan, D., Fu, X., & Hu, N. (2024). A Two-Stage Damage Localization Method for Structural Sealants Based on Boundary Modal Curvature. Applied Sciences, 14(21), 9641. https://doi.org/10.3390/app14219641

























