Next Article in Journal
Management of Scalp Biofilm in Local Dermatosis: From In Vivo Visualization to Optimal Treatments
Next Article in Special Issue
Digital Twin Technology in Transportation Infrastructure: A Comprehensive Survey of Current Applications, Challenges, and Future Directions
Previous Article in Journal
Studying the Constitutive Model of Damage for a Stainless Steel Argon–Oxygen Decarburization Slag Mixture
Previous Article in Special Issue
A Hybrid Deep Learning Model Utilizing Cross-Structural Multi-Behavioral Comparative Recommendation for Sustainable Electric Transportation Infrastructure
 
 
Font Type:
Arial Georgia Verdana
Font Size:
Aa Aa Aa
Line Spacing:
Column Width:
Background:
Article

Structure Deterioration Identification and Model Updating for Prestressed Concrete Bridges Based on Massive Point Cloud Data

1
College of Architecture and Civil Engineering, Beijing University of Technology, Beijing 100124, China
2
Chongqing Research Institute of Beijing University of Technology, Chongqing 401121, China
3
National Key Laboratory of Bridge Engineering Safety and Resilience (Beijing), Beijing 100124, China
*
Author to whom correspondence should be addressed.
Appl. Sci. 2024, 14(21), 10007; https://doi.org/10.3390/app142110007
Submission received: 23 September 2024 / Revised: 29 October 2024 / Accepted: 29 October 2024 / Published: 1 November 2024
(This article belongs to the Special Issue Infrastructure Management and Maintenance: Methods and Applications)

Abstract

As a critical component of the transportation system, the safety of bridges is directly related to public safety and the smooth flow of traffic. This study addresses the aforementioned issues by focusing on the identification of bridge structure deterioration and the updating of finite element models, proposing a systematic research framework. First, this study presents a preprocessing method for bridge point cloud data and determines the parameter ranges for key algorithms through parameter tuning. Subsequently, based on the massive point cloud data, this research explores and optimizes the methods for identifying bridge cracks and spatial deformations, significantly enhancing the accuracy and efficiency of identification. On this basis, the particle swarm optimization algorithm is employed to optimize the key parameters in crack detection, ensuring the reliability and precision of the algorithm. Additionally, the study summarizes the methods for detecting bridge structural deformations based on point cloud data and establishes a framework for updating the bridge model. Finally, by integrating the results of bridge crack and deformation detection and combining Bayesian model correction and adaptive nested sampling methods, this research sets up the process for updating finite element model parameters and applies it to the analysis of actual bridge point cloud data.

1. Introduction

Highway transportation constitutes the backbone of human social infrastructure, with highway bridges, as critical components, playing a vital role in the entire system. Their safety directly impacts the security of vehicles and passengers. However, during their service life, various bridge problems gradually emerge, causing damage to the infrastructure and reducing its usability. In particular, cracks and spatial morphological changes hinder the bridge from functioning optimally or operating under normal conditions.
Under these circumstances, non-contact bridge inspection methods, such as point cloud data collection, are more convenient for detecting visible bridge issues. These methods can simultaneously collect information on both the overall bridge structure and its individual components, ensuring the completion of inspection tasks from both macro and micro perspectives. Thus, the application of point cloud data in bridge structure inspection presents considerable advantages.
The key to accurately representing structures lies in their point cloud characteristics, which typically include essential geometric and topological information about the entity’s surface. Feature extraction refers to the process of analyzing target point cloud data to capture points that reflect the geometric and textural features of the entity, followed by constructing feature lines and surfaces based on these key points. One important task in this study is to identify these morphological feature points, as they can quickly and effectively reveal core information about the structure.
In terms of crack detection, prior research has focused on various methods and techniques. Kim et al. (2018) explored the use of commercial drones equipped with high-resolution sensors to identify cracks in aging concrete bridges, proposing drone-based inspection as a promising strategy [1]. Xiong (2020) optimized a design for identifying large-volume concrete cracks using image processing techniques, achieving higher recognition accuracy compared to traditional methods [2]. Hua et al. (2021) designed a method that combines convolutional neural networks (CNNs) and Fully Convolutional Networks (FCNs) for crack detection and bridge condition monitoring, addressing the challenge of identifying non-crack areas containing interference [3]. CNNs represent a type of deep learning model primarily employed for image recognition and processing. Their distinctive convolutional layers enable CNNs to effectively identify intricate patterns and features within images. In the context of bridge crack detection, CNNs can be trained to recognize specific patterns associated with cracks, thereby facilitating automated crack detection. FCNs are a variant of CNNs that consist entirely of convolutional layers and are particularly adept at pixel-level image analysis tasks. FCNs are especially useful in image segmentation tasks, as they can generate probability maps of the same size as the input image, indicating the likelihood of each pixel belonging to a particular category. In bridge crack detection, FCNs can be utilized to accurately segment images, differentiating between crack and non-crack regions, even in the presence of interference. The study demonstrates that the combination of CNNs and FCNs can effectively detect bridge cracks, overcoming the challenge of identifying cracks amidst non-crack areas with interference. This combined approach enhances the accuracy and reliability of bridge crack detection. Dan et al. proposed an automatic bridge surface crack detection technique based on 2D-APES and mobile machine vision, highlighting the efficiency, ease of operation, and cost-effectiveness of computer vision in crack detection [4]. Zheng et al. (2022) introduced a multi-stage semi-supervised active learning framework for crack detection, segmentation, and measurement, including pretraining, retraining, segmentation, and width measurement [5]. Su et al. developed a crack feature measurement algorithm using skeleton images and the CBAM-Unet algorithm, enabling accurate measurements of crack width and length [6]. These studies demonstrate the variety of available methods for bridge crack identification, including drones, convolutional neural networks, image processing, nonlinear dynamic features, and active learning frameworks. However, there remains a lack of integration with multi-modal bridge data, underscoring the need for accurate and efficient crack identification methods that incorporate 3D point cloud data. Specifically, image processing-based crack detection methods remain traditional and widely used. Early research mainly relied on image preprocessing and feature extraction, including edge detection, thresholding, and morphological processing. Algorithms such as Canny edge detection, Otsu thresholding, and the Hough transform have been extensively employed. For instance, Dorafshan et al. (2018) used a combination of Canny edge detection and the Hough transform to detect cracks in bridge images, yielding promising results [7].
Recently, deep learning techniques have achieved significant breakthroughs in image processing and pattern recognition, garnering attention for their application in bridge crack detection. Convolutional neural network (CNN)-based crack detection methods learn features from vast amounts of crack images, facilitating automated and efficient identification. Yeum and Dyke (2015) proposed a deep learning-based method, using CNNs to extract crack features from bridge images, achieving high-precision detection [8]. Despite the progress, image-based methods remain sensitive to lighting variations and noise, limiting their robustness.
To improve accuracy and robustness, researchers have increasingly focused on integrating multiple techniques. Previous studies have employed contact sensors and imagery data (i.e., 2D images and 3D point clouds) for structural health monitoring (SHM) and finite element model updating, yet these methods often face limitations in their applicability to aging bridges and require substantial resources for data collection and processing. To address these challenges, this study proposes a non-contact approach utilizing 3D laser scanning techniques. This method not only captures spatiotemporal details but also updates the finite element model based on the analysis of spatiotemporal changes. The proposed method’s contributions include developing a process model for handling large volumes of 3D point cloud data, identifying structure deterioration patterns through non-contact sensing, and establishing an effective model updating process. In comparison to the existing methods, such as those of Chen et al. (2021) and Lou et al. (2024), who have each made significant contributions to crack detection using different approaches (Chen’s study integrating image processing with point cloud data, and Lou’s focusing on deep learning with 3D point cloud data), the proposed method holds distinct advantages in methodological integration, particularly in its focus on specific structural applications such as bridge health monitoring. The contribution of the proposed method includes (1) developing a process model for processing huge amounts of 3D point cloud data, (2) identifying structure deterioration patterns through non-contact sensing techniques, and (3) establishing an effective model updating process for updating finite element model parameters. Additionally, the novel algorithms or technologies introduced in this study may address limitations in the existing methods, potentially improving detection speed, reducing false positives, and enhancing adaptability to complex environments. For example, Chen et al. (2021) proposed a crack identification method that fuses image processing with point cloud data, significantly enhancing detection accuracy and stability through multi-source data fusion [9]. Additionally, Lou et al. (2024) combined deep learning with 3D point cloud data to achieve high-precision crack detection in complex environments [10].
The evolution of bridge crack identification methods, from traditional image processing to the integration of 3D point cloud and deep learning techniques, has continuously improved detection accuracy. Therefore, future research should explore the integration of multi-source data and intelligent technologies to enhance the efficiency and precision of crack detection, which is the primary goal of this study.
Previous studies on crack detections on concrete bridges focus on developing methods using computer vision techniques and image processing algorithms based on high-resolution 2D images. The detection results highly rely on the quality of the collected data and are not always computationally efficient. The scientific contribution of this study is to propose a spatiotemporal change detection and model updating tool for trustworthy bridge structural health assessment. This study proposed a novel crack detection method using 3D point cloud data for detecting cracks and deformations that occur on aging bridges. In addition, the proposed method resolves the challenge of model updating using the collected 3D point cloud data. Hence, by analyzing the above detection results, the finite element parameters of bridge structures can be realized.

2. Literature Review

2.1. Bridge Inspection and Structural Health Monitoring

Bridge inspection and structural health monitoring (SHM) have been critical in ensuring bridge safety and extending service life [11,12]. Traditional inspection methods rely on visual inspections, which are often subjective and prone to human error. In recent years, SHM systems equipped with advanced sensors, such as accelerometers, strain gauges, and displacement transducers, have allowed for the continuous and real-time monitoring of bridge conditions [13,14,15,16]. These systems enable the detection of structural damage, such as cracks, corrosion, or deformation, at an early stage, reducing maintenance costs and preventing catastrophic failures [17,18].
Recent studies have emphasized the importance of data-driven approaches in enhancing SHM effectiveness [19,20]. A notable contribution is the integration of hybrid deep learning models that combine convolutional neural networks (CNNs) and recurrent neural networks (RNNs) for analyzing time-series data from various sensors. This method significantly improves the accuracy of anomaly detection and structural degradation predictions, as demonstrated in [21]. By leveraging large datasets, these models can learn complex patterns in the data, thereby providing more reliable assessments of bridge conditions.
Some studies focus on using the geometric properties and structural attributes of triangle mesh surfaces to capture areas of normal vector discontinuity [22]. On the other hand, many experts also devote themselves to strategies for directly obtaining discontinuous points from point cloud information through geometric attributes [23]. Researchers typically observe changes in the curvature behavior of geometric discontinuity areas on different curved surfaces and deduce the geometric segmentation points of the 3D point cloud data from these changes. Based on this, other scholars have proposed a feature extraction scheme suitable for dense point clouds. The main steps involve using the quadratic surface fitting of local parameters to determine the primary curvatures and directions of the 3D point cloud, and then setting standards for the principal curvatures to select potential edge points, thereby generating feature line segments. In particular, for cases where the model features are uneven or the surface is not smooth, different thresholds can be set, and boundary points can be clustered by analyzing regional information, and then corner points can be identified to obtain feature lines.

2.2. Three-Dimensional Laser Scan Techniques

With the advancement of laser scanning and photogrammetry technologies, the use of 3D point cloud data in bridge inspection has grown. Three-dimensional point cloud data provides rich spatial information, contributing to enhanced crack detection accuracy. Common methods include point cloud registration, feature extraction, and crack detection. Research on point cloud-based crack identification focuses on preprocessing, normal vector computation, and curvature analysis to detect crack locations. By leveraging the spatial information contained in point cloud data, this method significantly improves crack detection precision. Additionally, by using segmentation and registration techniques combined with crack feature extraction, high-precision bridge crack detection can be achieved.
Actually, 3D point cloud data have become increasingly important in various fields such as measurement, compression, segmentation, feature extraction, object detection, and construction infrastructure applications. Hermosilla et al. (2019) demonstrated the role of unsupervised learning in denoising 3D point clouds, emphasizing the importance of spatial priors in effective denoising processes [24]; Guo et al. (2020) accurately and rapidly measured gears using 3D point cloud data, showcasing the advantages of non-contact measurement systems [25]; and Wen et al. (2020) proposed a deep learning framework for point cloud geometric loss compression [26], achieving significant bitrate savings compared to the existing compression methods. On the other hand, Wei et al. (2020) introduced a weakly supervised method for the semantic segmentation of 3D point clouds, highlighting the importance of using weak labels at the scene and sub-point cloud levels [27]. Ghahremani et al. (2021) proposed a robust method for extracting features from plant point clouds, which also provides insights for extracting features from bridge model point clouds [28]. Imad et al. (2021) proposed a 3D object detection semantic segmentation model based on transfer learning, aiming to reduce the need for large-scale training datasets and training time [29]. Additionally, Mirzaei et al. (2022) reviewed the processing of 3D point cloud data for construction infrastructure applications and machine learning, highlighting the potential of machine learning techniques [30]. In terms of computer vision applications, Akagić et al. (2022) outlined various computer vision tasks on 3D point cloud data, discussing the latest technologies and datasets used in these tasks [31]; Jiang et al. (2022) introduced masked autoencoders for 3D point cloud representation learning, emphasizing self-supervised learning and methods for completing incomplete point clouds [32]. From denoising and compression to segmentation and feature extraction, 3D point cloud data have long-term development and research conditions for researchers, and this paper will also complete the practical application research on the potential of 3D point cloud data by integrating the above review content.
The 3D laser scanning technology utilized in this study is characterized by its high resolution and accuracy, enabling the capture of the intricate details of bridge structures. With a considerable scanning range, it efficiently captures large-scale environments, such as bridge spans, in a single operation. The speed at which data are acquired is particularly advantageous for projects requiring rapid data collection. The scanner’s robustness in various environmental conditions ensures its utility in field settings. The scanners’ capabilities in processing large datasets into usable formats, including real-time data processing and visualization, are crucial for timely analysis. Furthermore, the portability and ease of use of the scanner make it an ideal tool for fieldwork.

2.3. Model Updating Theories

Recent advancements in inverse analysis for bridge structures, particularly in the context of model updating and damage assessment, have been significantly influenced by the works of G. Maier and Z. Mróz, as well as T. Garbowski [33,34]. G. Maier’s contributions, for instance, focus on the identification of elastic–plastic material parameters through indentation tests and finite element simulation. His innovative approach includes measuring the imprint geometry alongside indentation curves utilizing a deterministic approach for inverse analysis with conventional algorithms. Additionally, Maier’s research extends to the area of fracture mechanics, particularly in the calibration of cohesive fracture models for quasi-brittle materials, emphasizing the combination of experimentation, experiment simulation, and the minimization of discrepancies between measured and computed quantities.
Building upon this foundation, model updating plays a crucial role in enhancing the accuracy of finite element (FE) models, which are vital for predicting the behavior of bridges under various loads and conditions. Traditional FE models often rely on idealized assumptions that may not accurately reflect the actual state of a bridge. Updating these models with real-world data, such as those obtained from structural health monitoring (SHM) systems or 3D laser scans, allows engineers to refine the model’s accuracy and ensure it mirrors the current condition of the structure.
The process of model updating can be approached through various techniques, including deterministic and probabilistic methods. Deterministic model updating involves adjusting parameters to minimize the discrepancy between measured and predicted responses. On the other hand, probabilistic approaches account for uncertainties in the data, providing a spectrum of possible outcomes (Behmanesh, I., & Moaveni, B. (2015) [35]). Bayesian inference has gained popularity in model updating due to its ability to integrate prior knowledge and address uncertainties in parameter estimation (Beck & Katafygiotis, 1998 [36]). Moreover, recent developments in model updating have incorporated machine learning techniques, which can autonomously adjust model parameters based on sensor data, thereby enhancing the efficiency of the updating process (Feng, Z., Wang, W., & Zhang, J. (2022) [37]).
In addition, recent advancements have shown the effectiveness of combining wavelet transform with artificial neural networks (ANNs) for structural damage detection. This adaptive method preprocesses data using wavelet transform to extract relevant features while minimizing noise interference, thus enhancing the accuracy of damage identification. The ANNs then classify the structural state based on these features, demonstrating a high level of precision in detecting damage even under challenging conditions. This approach is particularly beneficial in addressing the complexities associated with real-world data, making it a valuable contribution to the field of structural health monitoring and model updating [38].

3. Methodology

This paper aims to establish a comprehensive process from the preprocessing of bridge point cloud data to the identification of bridge structural degradation (including cracks and spatial morphological changes), and ultimately to update the parameters of the bridge finite element model based on the aforementioned detection results. Figure 1 illustrates the research vision and approach of this study.
The specific contents include the following:
(1) Proposing a preprocessing method for bridge point cloud data, selecting appropriate processing algorithms using the CloudCompare (Version: 2.13. alpha [macOs 64-bit]; Compiled with Qt 5.15.2) point cloud processing software, and preliminarily determining the value range of parameters in the algorithms.
(2) The exploration and optimization of bridge structural degradation identification methods: In view of various possible degradation phenomena in bridge structures, this paper will propose a series of degradation identification methods based on massive point cloud data, including bridge crack and deformation detection, to improve the accuracy and efficiency of identification.
(3) Establishing a particle swarm optimization algorithm for the parameters involved in the aforementioned bridge structural degradation identification methods. Taking the distance threshold between adjacent points and the sparsity threshold in the density calculation of bridge crack detection as an example, the reliability of the algorithm is verified.
(4) Completing the research on bridge structural model updating technology to more accurately reflect the actual state of the structure. By utilizing massive point cloud data and combining Bayesian model correction methods with adaptive nested sampling methods, the accuracy and reliability of the model are improved, providing a more reliable basis for the health monitoring and maintenance of bridge structures.

3.1. Spatiotemporal Data Collection and Processing

Following the preliminary processing of bridge point cloud data with CloudCompare, this paper employs a conditionally repeated sparse processing method for the point cloud, which simplifies and reduces the volume and storage requirements of the data while preserving the relative density values among different features. This strategy is crucial for maintaining the reliability of the subsequent analysis phases [39]. Figure 2 clearly illustrates the comparison between the processed point cloud data and the original data following the aforementioned steps.
Due to factors such as sensor errors, environmental interference, vibrations, or movements during data collection, outliers and noise points may occur in the bridge point cloud data [40]. Figure 3 highlights and enlarges the outliers and noise points present in the bridge point cloud data. These points can negatively impact subsequent modeling, detection, and structural analysis, and therefore need to be removed to enhance data quality and accuracy. This processing ensures that the subsequent analysis and handling are more reliable and effective.
Therefore, this paper selects the gradient filtering algorithm and the Bilateral filtering algorithm for point cloud filtering, completing the cleaning preprocessing of the point cloud data.
The gradient filtering algorithm is a commonly used filtering method that removes noise points and outliers from point cloud data. This algorithm identifies and filters out the points that do not conform to the gradient change pattern based on the gradient information of the point cloud data, achieving the purpose of denoising and removing outliers.
The authors adjusted the relevant parameters in CloudCompare, including the gradient threshold T (gradient threshold), search radius R (search radius), neighborhood size S (neighborhood size), and kernel size. Through manual debugging, it was found that the applicable numerical ranges for the four parameters in the bridge point cloud data processing are 0 ≤ T ≤ 1; 0.1 ≤ R ≤ 1; 5 ≤ S ≤ 20; 10 ≤ kernel size ≤ 20. Finally, filtering was performed using gradient-based techniques.
The Bilateral filtering algorithm is based on two kernel functions: one for measuring the spatial distance between points and the other for measuring the difference in attribute values between points. First, the spatial distance and similarity of attribute values between points are calculated to determine the filtering coefficients. Then, these coefficients are used to perform a weighted average of the point cloud, selectively removing some adjacent sampling points that are too different from the current sampling point, thus achieving noise removal and smoothing. For parameter selection, the study found through manual debugging that the spatial standard deviation (spatial standard deviation) should be chosen to be smaller, with a range of values between 0.1 and 0.5; the range standard deviation (range standard deviation) should be selected according to the size of the bridge point cloud data, with a range of values between 0.1 and 1.0.
After consulting with several experienced bridge engineers, the authors have made the informed decision to utilize the three-dimensional point cloud model of Hedong Bridge, along with its corresponding parameters, for the analysis. This choice reflects a careful consideration of the bridge’s structural significance and the suitability of its data for the proposed research objectives. So, taking the point cloud data of Hedong Bridge in 2018 as an example, the authors applied the two gradient filtering algorithms for data cleaning, effectively eliminating outliers, scattered points, and noise points in the bridge point cloud data, thereby improving the data quality. Figure 4 shows the 3D point cloud data of the bridge after data cleaning using two gradient filtering algorithms.
When applying 3D laser scanning technology in bridge spatial morphology detection, the bridge is typically scanned at two different time points to obtain the 3D point cloud models of the bridge at those different times. During data processing, the two point clouds need to be registered to make them as coincident as possible, aligning the two or more point cloud datasets into the same coordinate system. Acknowledging the inevitable errors that arise during the collection of two-year bridge point cloud data, the research team contemplated the use of a local coordinate system. In this scenario, a stable structural feature was chosen as the reference point, such as a pier or a fixed portion of the bridge. Simultaneously, considering the potential deformations of the bridge, the team employed the relevant feature-matching tools provided by CloudCompare to further identify the feature points that remain constant across different time points, serving as critical points in the registration process. The differences between corresponding points in the two registered point clouds represent the changes in the bridge’s spatial morphology over that time period. Therefore, the accuracy of the point cloud registration algorithm largely determines the accuracy of the spatial morphology analysis results.
Due to ineffective manual registration results (as shown in the Figure 5), in practical bridge point cloud data analysis, typically five methods (as shown in Table 1) are employed for point cloud registration.
When evaluating the appropriateness of various point cloud registration methods, it is crucial to consider cases involving “small transformations” between two point cloud datasets. These transformations can be characterized by several factors: a small rotation angle, meaning the rotational deviation between the datasets is minimal, as large angles complicate the matching process; a small translation distance, where large distances make it difficult to accurately find corresponding points; minimal shape changes, since significant deformations or structural modifications increase registration complexity; and minimal scale changes, where substantial differences in size between the point clouds challenge the algorithm’s ability to manage these variations.
Given the specificity of bridge engineering, where point cloud data typically exhibits small transformations, the Iterative Closest Point (ICP) algorithm is commonly chosen for effective point cloud registration. It iteratively identifies the closest point pairs and optimizes the rotation and translation parameters to progressively reduce differences between two point clouds, ultimately achieving precise alignment.

3.2. Structure Deterioration Identification

3.2.1. Bridge Point Cloud Data Processing and Crack Detection Workflow (Apparent Disease Identification Method)

Establishment of the Crack Detection Process Model
The research objective involves projecting complex three-dimensional information onto multiple planes to construct a simplified two-dimensional set. Furthermore, by quantifying sparse regions within the data, potential crack locations are visualized. This method aids bridge engineers in selectively conducting on-site inspections for visible crack conditions. In relation to this methodology, the authors present a comprehensive process model for detecting structural cracks in bridges, as shown in the Figure 6 below.
Code Implementation Section
The point cloud processing workflow consists of several stages, including loading the dataset, calculating point density, establishing a sparsity threshold, and identifying sparse regions. Furthermore, this paper proposes calculating and normalizing the distances of point cloud data, and after reading the dataset, assigning corresponding three-dimensional coordinates to each point. Furthermore, the density of data points is quantified by the Euclidean distance between points within each plane. In this process, the paper defines that the distance between two adjacent points is inversely proportional to the density value of the point. Visualization tools are employed to highlight sparse regions within the 3D point cloud, with points below the defined threshold color-coded in shades such as red and blue to indicate varying levels of sparsity.
In particular, the bridge crack detection code proposed in this study mainly performs the following tasks: (1) Point cloud data processing: The code first needs to load the three-dimensional point cloud data file and select the size of data points based on the actual conditions of the bridge engineering and computational power. (2) Density calculation: Calculate the distance of each point from its neighbors on different planes (xy, xz, and yz), and determine the density of the points based on the set threshold (distance_adiacent). (3) Marking sparse locations: The sparsity threshold is set by using the average point density and standard deviation, marking regions that fall below this threshold as sparse. (4) Visualization: Use the scatter3 function to visualize the dense and sparse points of the point cloud data in three-dimensional space. (5) Crack detection: Identify crack areas formed by sparse points through connectivity analysis, and calculate the attributes of these areas (including main axis length and secondary axis length).
Among them, connectivity analysis, as an important part of the algorithm, is primarily used in this study to determine the connected regions composed of pixel points in an image. In bridge crack detection, the aim is to identify crack areas formed by sparse points in the point cloud data. This analysis is typically based on the theory of connectivity in image processing and can be divided into three types: “region-based connectivity analysis”, “graph-based connectivity analysis”, and “hierarchical connectivity analysis.” Among the three types, since bridge cracks usually appear as connected regions in the point cloud data, and “region-based connectivity analysis” can effectively extract features such as the shape and size of cracks, it can well adapt to different types of cracks and has strong robustness to the shape and size of cracks. Therefore, this study selects this analysis method. By generating a labeled image, each connected region is assigned a unique label (each connected region consists of a set of interconnected pixel points sharing the same label), and then the “regionprops function” is used to calculate the attributes of each connected region, such as the major axis length and minor axis length. Finally, the identification and calculation of the attributes of crack regions in the point cloud data are completed, achieving the purpose of quantifying cracks in the bridge crack detection process.
In the statistical quantity calculation phase, this study uses the mean function and std function to calculate the average and standard deviation of the density array, respectively. Specifically, the average density (avg_density) and standard deviation (std_density) of the density array are obtained by calculating the distance between each point in the point cloud and its adjacent points on different planes (xy, xz, and yz). These statistical quantities determine the threshold for sparse locations, thereby identifying cracks. The formula for calculating the mean density (mean density) in this process is as follows:
a v g _ d e n s i t y = 1 N i = 1 N d e n s i t y i
where std_density is the standard deviation of the density; N is the total number of points in the point cloud; is the density value of point i.
s = s 2 = i = 1 n ( x i x ¯ ) 2 n 1
In the above process, the standard deviation of the density is used to measure the dispersion of the density values of each point in the point cloud. The standard formula is as follows:
s t d _ d e n s i t y = 1 N 1 i = 1 N ( d e n s i t y i a v g _ d e n s i t y ) 2
where std_density is the standard deviation of the density; N is the total number of points in the point cloud; is the density of point i; avg_density represents the average value of all the density values.
In particular, to obtain an unbiased estimate, namely the standard error of the standard deviation, the standard deviation of the density calculation uses (N − 1) instead of N, ensuring that the calculated standard deviation reflects the dispersion of the sample without being affected by the size of the sample, thus increasing the universality of the algorithm.
Automatic Point Cloud Segmentation Algorithm for Crack Detection
Given the variability in the scale of bridge construction projects, the size of bridge point cloud data can differ significantly. Therefore, before initiating crack detection, it may be necessary to determine whether to automatically segment the bridge point cloud data as needed. To address this issue, the current study employs relevant functions in computer languages (such as the “num_points” and “bins_per_axis” functions) to output sliced data volumes that are specifically partitioned based on the size of different bridge projects and the computational capacity of the working environment, enabling automatic slicing of the point cloud data.

3.2.2. Application of Particle Swarm Optimization Algorithm in Parameter Selection

In 1995, inspired by the regularities observed in the foraging behavior of bird flocks, James Kennedy and Russell Eberhart developed a simplified algorithmic model [41]. After years of refinement, this model evolved into the particle swarm optimization (PSO) algorithm, also known as the particle swarm algorithm. PSO is characterized by its fast convergence, minimal parameter requirements, and simple implementation, making it advantageous for high-dimensional optimization problems where it converges to the optimal solution more quickly than genetic algorithms. However, PSO also has the drawback of potentially getting trapped in local optima, thus relying on effective initialization [42,43].
In the process of particle swarm optimization (PSO), the fundamental principles and steps can be divided into the following three components:
(1) Inertia Component: Comprising the inertia weight and the particle’s own velocity, this component represents the particle’s reliance on its previous motion state.
(2) Cognitive Component: This represents the particle’s own thinking, reflecting its personal experience. It can be understood as the distance and direction between the particle’s current position and its own historical best position.
(3) Social Component: This represents information sharing and cooperation among the particles, derived from the experiences of other successful particles in the swarm. It can be understood as the distance and direction between the particle’s current position and the swarm’s historical best position.
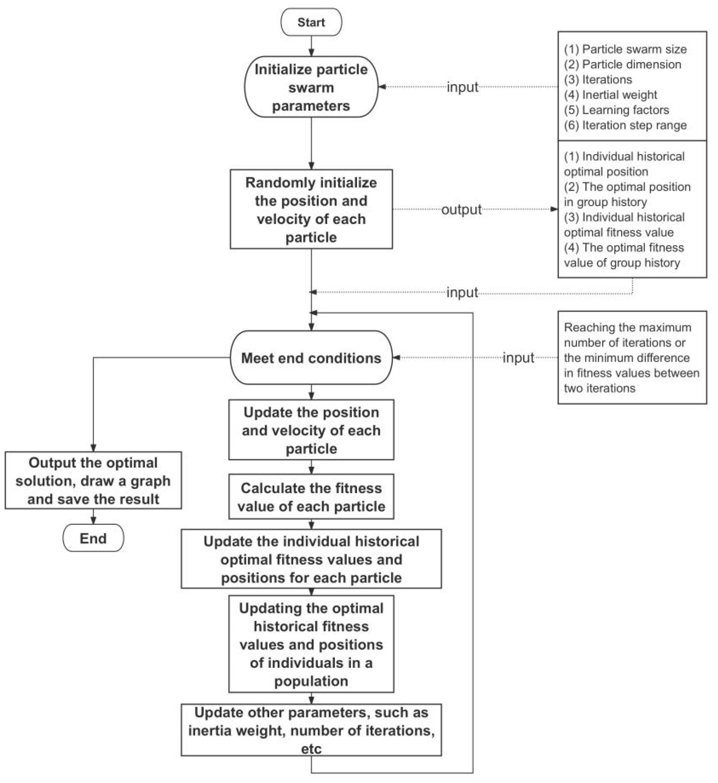
In summary, the direction of a particle’s next iterative move is determined by a combination of the inertia direction, the individual best direction, and the global best direction. Figure 7 illustrates the basic principles of the particle swarm algorithm, direction determination, and its mapping in the bridge crack identification process.
Therefore, since the crack detection problem may involve nonlinear and complex objective functions, and given that the particle swarm optimization (PSO) algorithm has strong global search capabilities that can prevent the parameter optimization process from getting trapped in local optima, it is well suited for this task. By leveraging information sharing among particles, PSO can more effectively search for the global optimum. Additionally, PSO has relatively few parameters and is easy to adjust, making it suitable for handling complex multi-parameter optimization problems. Therefore, for the bridge crack detection model proposed earlier, the PSO algorithm should be selected to optimize the relevant parameters for determining sparse locations. The PSO algorithm will iteratively search for the optimal solution, involving objective functions and equality constraints. The solve function is used to find the parameters that meet specific target values, minimizing the objective function (i.e., the absolute difference between the number of sparse locations and the target sparse size). The detailed process of the particle swarm optimization algorithm is shown in Figure 8.
Therefore, considering the actual parameter optimization conditions and constraints in bridge engineering, the following velocity update formula exists:
v i d k + 1 = ω v i d k + c 1 r 1 p i d , p b e s t k x i d k + c 2 r 2 p d , g b e s t k x i d k
In the formula,
N—the swarm size;
i—the particle index (i = 1,2, …, N);
D—the dimensionality of the particle;
d—the dimension index of the particle;
k—the iteration number;
ω—the inertia weight, used to control the particle’s inertia; dynamically adjusting the inertia weight can balance global convergence and convergence speed.

3.2.3. Bridge Structure Deformation Detection Based on Point Cloud Data

Framework of Deformation Detection Process Model
For detecting spatial morphological changes in bridges, it is crucial to consider both the structural characteristics of individual components and the overall form of the bridge. Therefore, the detection process should be divided into two categories: the deformation detection of bridge components and the overall displacement detection of the bridge. The detection tasks are completed through steps including feature recognition, point cloud segmentation, point cloud registration, and deformation parameter comparison, ensuring the safety and reliability of bridge engineering. The detailed framework of the deformation detection process model proposed in this paper is shown in Figure 9.
Feature Extraction
Before performing point cloud segmentation, it is necessary to select the appropriate feature descriptors to characterize the point cloud data, thereby refining the classification criteria for more accurate and detailed grouping. Commonly used features include surface normal, curvature, and normal histograms. During this process, feature descriptors can be employed to identify the characteristic points of the main beam and bridge piers. For the main beam, linear features can be extracted, while for piers, planar features are considered. When extracting features to distinguish between the beams and piers of bridges, the following types of features are typically considered:
(1)
Surface Normal: These are vectors perpendicular to the surface of point cloud data, characterizing the direction and shape of the point cloud surface. Main beams often exhibit large flat surfaces with relatively consistent normal directions, tending to be orthogonal to the curvature direction with minimal variations in normal direction. Piers, on the other hand, typically have curved surfaces, showing larger variations and dispersion in normal directions.
(2)
Curvature: This feature describes the local curvature variation in the point cloud data and is useful for distinguishing between flat and curved sections. Main beams generally have smaller curvature values compared to piers, which exhibit larger curvature values.
(3)
Normal Histograms: These histograms depict the distribution of normals in different directions, reflecting the geometric shape of the point cloud surface. Histograms for main beams tend to show a more uniform distribution of normals, whereas histograms for piers may exhibit pronounced directionality.
(4)
Density: This metric reflects the number of points in different areas of the point cloud. Main beams typically have higher density, while the density of piers may be relatively lower.
Component Segmentation
Due to the spatial morphological changes in bridges, which include the overall bridge deformation and component-level deformation, the former reflects the relationship between the overall bridge structure and its environment, such as the total settlement of the bridge, and also indicates changes in component boundary conditions. The latter needs to be further divided into the rigid body displacement of components and internal deformation considerations, which can reflect the internal forces and damage experienced by components. The analysis of internal deformation can provide insights into the structural performance of components, such as bending moments and torsion. Internal deformation and overall deformation mutually influence each other; internal deformation may reduce component stiffness and lead to the redistribution of internal stresses, potentially causing component failure. Therefore, it is necessary to first obtain spatial changes at the component level of the bridge in order to further analyze its mechanical properties.
Based on extracted feature data, the effective segmentation of bridge components can be achieved. Figure 10 shows the segmentation results using bridge piers as an example.
Component Fitting Optimization
In the process of segmenting bridge components from point cloud data, the primary objective of component fitting optimization is to accurately describe the shape and position of each component of the bridge using mathematical models. After the point cloud segmentation is completed, local features are extracted for each segmented component to facilitate fitting, with local features including normals, curvatures, etc. Subsequently, based on the feature points and the segmented point cloud data, a preliminary fitting is conducted using the least squares method for plane fitting. Specifically, for the main beams and platforms of bridges, a planar fitting method is chosen in this paper; correspondingly, for cylindrical components such as piers, a cylindrical fitting method is selected.
To be specific, for planar fitting, this paper proposes the assumption that the plane equation is as follows:
a x + b y + c z + d = 0
Subsequently, the coordinates of points are extracted from the point cloud data ( X i , Y i , Z i ), and solved using the least squares method: A · P = B , where P = a , b , c , d T . The optimal solution that minimizes the error is thus obtained:   P = A T A 1 A T B . By assuming that the point cloud data x i , y i , z i i = 1 n , combined with the plane equation a x + b y + c z + d = 0 , the following matrix is constructed:
A = x 1 y 1 z 1 1 x 2 y 2 z 2 1 x n y n z n 1 , B = 0 0 0
Solving P = A T A 1 A T B , the parameters a, b, c, and d of the plane equation can be extracted.
For cylindrical fitting, this paper proposes to first assume the cylindrical equation as x x 0 2 + y y 0 2 = r 2 , where x 0 , y 0 is the center of the circle, and r is the radius. Then, the error function E is minimized, and the parameters x 0 , y 0 , a n d   r are obtained by solving the equation system where the partial derivatives are zero. Assuming the point cloud data x i , y i , z i i = 1 n , combined with the cylindrical equation x x 0 2 + y y 0 2 = r 2 , the error function becomes the following:
E = i = 1 n ( x i x 0 2 + y i y 0 2 r 2 ) 2
Using the least squares method or nonlinear optimization method to solve the equation:
E x 0 = 0 , E y 0 = 0 , E r = 0
Finally, the parameters of the cylindrical equation x 0 , y 0 , a n d   r can be extracted.
After completing the above work, the parameters of the planar and cylindrical fitting models can be stored in a data structure (such as an array or table). In Matlab (Matlab_R2024a), the “lsqnonlin” function is selected, which uses the Levenberg–Marquardt iterative optimization algorithm, combined with gradient descent and Newton’s method, to optimize the preliminary fitting results and minimize the distance error between the point cloud data points and the fitting model. Through the above methods and processes, the automatic segmentation and fitting optimization of bridge components in point cloud data can be achieved, obtaining accurate component shapes and positions, and ensuring higher efficiency and precision, which is beneficial for bridge deformation monitoring and health assessment.

3.2.4. Establishment of Bridge Model Update Process

Overview of Bridge Model Update Process
By comparing the point cloud data of bridges at different time points, the deformation of the bridge over time can be obtained. Specifically, the deformation of the bridge over a certain period can be obtained by measuring the distances between corresponding points in the point cloud models at different times. This not only allows for the observation of changes at individual points but also provides an intuitive representation of the changes in all points within the bridge point cloud, which can be visually depicted using different colors to indicate different magnitudes of change, thus enabling the direct visualization of the deformation at various locations of the bridge. The use of three-dimensional laser scanning technology can intuitively present the deformation of various parts of the overall bridge structure, achieving deformation visualization, which aids in the rapid diagnosis of the bridge structure.
This study will establish a framework for updating bridge models based on bridge point cloud data. Initially, a matrix is established that includes various static parameters of the bridge (strength indicators, deformation indicators, stress distribution, etc.), each parameter having a range of numerical values. Using the previously obtained locations of bridge cracks and deformations, data fusion is employed to obtain an analysis of the current state of the bridge, considering “cracks + deformation”. Further calculations determine the current stress state and damage issues of the bridge, enabling the backward completion of the updating of relevant static parameters in the finite element model of the bridge. In the framework of updating the finite element model of the bridge constructed in this article, the authors have analyzed the beam element model and solid element model based on the actual working conditions of the bridge, as well as the bridge deck and pier column slices obtained from the previous point cloud preprocessing process of the bridge. The authors focus on the responses of bridge structures under static loads when there is a linear relationship between stress and strain during small deformations, that is, the overall stress and deformation of the bridge structure. This updating process typically cannot be pinned down to an exact value, and thus, the goal is to narrow down the range of the aforementioned parameter values, completing the updating of the parameters in the bridge finite element model. Therefore, this study has established a framework for updating the parameters of the bridge finite element model, as shown in Figure 11.
Classification of Cracks
In bridge engineering, it is important to recognize that not all cracks compromise bridge safety. Therefore, to accurately assess bridge conditions, cracks must be categorized based on their shapes. For instance, longitudinal cracks extend along the bridge’s length and are often due to expansion and contraction loads or structural issues. Similarly, transverse cracks cross the bridge’s width, usually linked to traffic loads and temperature changes. Furthermore, diagonal cracks extend at an oblique angle, typically caused by structural stresses or uneven load distribution. In addition, circumferential cracks appear in a circular pattern near abutments or piers, possibly indicating foundation problems or design and construction defects. Moreover, joint cracks are found at bridge joints or expansion joints, mainly due to connecting material wear and temperature changes. However, surface cracks, often caused by environmental factors, chemical erosion, or material aging, usually do not pose a significant threat to the bridge’s bearing capacity. Lastly, helical cracks, extending in a spiral pattern, are typically related to structural issues or corrosion fatigue and can affect the bridge’s bearing capacity.
Furthermore, this article integrates the classification according to the mechanical characteristics of the bridge, which can be obtained based on the classification method of structural damage force form. For bending cracks, as they are usually caused by the bending force acting on the bridge, the overload, uneven load distribution, structural design, or material fatigue should be considered; for shear cracks, as they are usually caused by the horizontal force (shear force) acting on the bridge, the rigidity of the structure and the support conditions should be considered; for torsional cracks, as they are usually caused by the torsional moment acting on the bridge, the support parts of the bridge or asymmetric load problems should be considered; for compressive cracks, as they are related to the vertical load (pressure) acting on the bridge, the specific aspects related to overload, foundation problems, or improper structural design should be considered; for fatigue cracks, as they develop gradually due to the repeated cyclic loading of the structure, they are usually found at welding points, connections, or materials; and for freeze–thaw cracks, as they are usually caused by seasonal temperature changes and the freeze–thaw cycle of structural materials, they should be considered related to environmental temperature, mostly occurring in cold climates.
Classification of Structural Deformation
Similarly, through the monitoring and analysis of different types of deformation, the structural behavior of the bridge under various conditions can be accurately assessed, thus providing a scientific basis for the design, maintenance, and reinforcement of bridges. Bridge deformation should first be classified based on its nature.
When the overall bridge and its components move along a certain direction or rotate around a certain axis, the rigid body displacement of the bridge caused by translation and rotation should be considered. However, when bridge components (beams and pier columns) exhibit bending within a plane perpendicular to their axis, deformation caused by shear forces, tension or compression along their axis, or torsion around their axis, they should be categorized into deformation types such as bending deformation, shear deformation, axial deformation, and torsional deformation according to their deformation forms.
Application of Bayesian Model Updating and Adaptive Nested Sampling Method
Currently, research on bridge model updating methods based on dynamic response has become relatively mature. Xu Xikun and others have proposed a Bayesian model updating method based on the adaptive nested sampling (ANS) algorithm [44]. This method constructs a probability objective function using modal parameters and approximates it using the ANS algorithm. ANS retains the characteristics of nested sampling (NS) by progressively narrowing the sampling range, allowing the samples to eventually approximate the optimal parameters. By approximating layer by layer, the high-dimensional integral problem is transformed into a simple one-dimensional integral problem, simplifying the calculation process of the evidence value and the posterior probability density value [45,46]. The ANS algorithm reduces the number of finite element simulation calls by approximately 84% compared to the traditional NS algorithm, saves about 86% of the computational time, and obtains uncertainty correction results with equivalent accuracy.
Therefore, for the analysis results of bridge point cloud data, the error between the design parameter data of the finite element model and the corresponding actual structure test data can be minimized by adjusting the model parameters to be updated. This leads to the deduction of a more accurate finite element model, obtaining model parameters closest to the current operational bridge, and completing the construction of a model updating method based on static response. The expression for the correction result is as follows:
arg θ min e ( θ , M ) = arg θ min i α i y i ( θ , M ) y ^ i y ^ i
where θ represents the updated parameters, M represents the finite element model to be updated, e ( θ , M ) represents the total error value, y i ^ represents the test data for the i-th indicator, y i ( θ , M ) represents the design parameter data corresponding to the test data, and a represents the weight value of the i-th indicator. To quantify the uncertainty of the test data, the Bayesian model updating theory is introduced, with its basic formula being the following:
P ( p D ) = P ( D p ) P ( p ) P ( D )
where P P D represents the posterior distribution, P D p represents the likelihood function, P p represents the prior distribution, and P D represents the probability of the observed data.
Before this, we need to determine the static parameters of the bridge, such as material strength indices, deformation indices, stress distributions, etc., and define a range of numerical values for each parameter. Subsequently, all the static parameters and their value ranges are constructed into an initial matrix:
P = P 1 min p 1 max P 2 min p 2 max P n min p n max
where P i , m i n and P i , m a x represent the minimum and maximum values of the i-th parameter, respectively. Then, based on the observed crack positions and deformation positions, the error function E(p) is constructed as follows:
E ( p ) = i = 1 n ( R i obs R i sim ( p ) ) 2
where R i o b s represents the observed response data, and R i s i m p represents the simulated response of the model under the parameter p. In this framework, the adaptive nested sampling method (ANS) is selected to initialize sample points, generate initial sample points in the parameter space, and calculate their likelihood values. Subsequently, nested sampling is performed, sampling in areas with higher likelihood values to generate new sample points, and then updating the probability distribution of the model parameters based on the new sample points. After convergence judgment, if the likelihood value distribution of the sample points no longer significantly changes, it is considered that the algorithm has converged. Finally, based on Bayesian updating and ANS results, the posterior distribution of parameters is analyzed, the range of each parameter is narrowed, and the posterior distribution of parameters is reflected in the parameter matrix:
P = P 1 updatedmin P 1 updatedmax P 2 updatedmin P 2 updatedmax P n updatedmin P 3 updatedmax
In conclusion, through the above steps, corresponding registration methods can be used to register the overall point cloud data structures of bridges from two or more different years based on feature point clouds. This results in the displacement along the bridge’s longitudinal axis (x-axis), transverse axis (y-axis), and vertical axis (z-axis), as well as the rotation around the three coordinate axes. Furthermore, a transformation matrix is obtained, and the nearest neighbor search is employed to find the nearest neighbor points of each point in the point cloud array. These two nearest neighbor points are then used as corresponding points. A reference fitting plane is selected for the point cloud data, and basic points of detection are chosen based on the distance difference between corresponding points and the plane, as well as the distance to the center point.
In the overall deformation analysis of bridges, rigid body transformations can be represented as T ( x ) = R x +   t , where R is the rotation matrix and t is the translation vector. The objective function to be minimized is as follows: E ( R , t ) = i = 1 n R x i + t y i 2 . This calculation of the overall deformation can be further completed using algorithms and models in Matlab or Python. For the hierarchical deformation analysis of bridge components, the deformation amount can be calculated according to the following formula:
L = ( X 2 X 1 ) 2 + ( Y 2 Y 1 ) 2 + ( Z 2 Z 1 ) 2
In the algorithm, the bending theory formula of beams k = 1 R = M E I and the strain formula ϵ = L L are combined for component deformation analysis. Here, k is the curvature, R is the radius of curvature, M is the bending moment, E is the elastic modulus, I is the moment of inertia of the cross-section, ε is the strain, ΔL is the length change, and L is the original length.
Thus, the analysis of the overall bridge deformation and component-level deformation can be achieved. The overall deformation analysis primarily focuses on rigid body displacement and rotation, while the component-level deformation analysis is more concerned with local bending, compression, and tensile deformation. Utilizing these analysis results, the health status of the bridge can be assessed, and scientific bases for maintenance and reinforcement can be provided. Compared to manual methods, the automation of point cloud data processing and deformation analysis offers advantages in efficiency, precision, and repeatability.

4. Bridge Degradation Identification and Model Update Results

4.1. Introduction to Design Parameters and Point Cloud Data of Hedong Bridge

The main bridge of Hedong Bridge is a six-span (66 m + 4 × 120 m + 66 m) prestressed concrete continuous rigid frame + continuous box girder, with a total length of 612 m; the approach bridge on the Huangwei side consists of a continuous precast concrete small box girder with eight spans of 30 m, and the Qianshan side consists of a continuous precast concrete small box girder with five spans of 30 m. Figure 12 illustrates the elevation and plan view of the bridge.
The bridge point cloud data used in this study were obtained using a ground-based fixed three-dimensional laser scanner. The scanning process primarily utilized TOF (Time of Flight) pulse ranging, calculating the distance S from the scanner to the scanned point based on the time it takes for the pulsed laser to be emitted and reflected back. This method can measure distances up to several hundred meters, but due to lower accuracy at larger ranges, a phase laser scanner, which measures distance based on phase shift technology, was also used [47,48,49]. This scanner modulates the amplitude of the laser beam and measures the phase delay caused by the round trip of the modulated light along the scanning line. By converting this phase delay into distance S using the wavelength of the modulated light, high-precision point cloud data of the bridge’s details were collected.

4.2. Analysis of Crack Detection Results

This study applied the bridge crack detection algorithm model and particle swarm optimization (PSO) parameter optimization model proposed in Section 2.2 and Section 2.3 to detect cracks in the point cloud data of Hedong Bridge from 2017. For the two parameters defined in the bridge crack detection algorithm—the distance threshold for adjacent points in density calculation and the adjustment factor for the sparsity threshold—a manual rough determination of the value range was completed. These ranges were then applied as constraints for parameter optimization, with the PSO algorithm iteratively selecting the most sensitive values for the two parameters.

4.2.1. Determination of the Threshold Range for Crack Detection Parameters

When determining the threshold range for parameters during the crack detection process, this study established a standard control group and selected data file sizes based on computational capacity. Furthermore, by comparing the relevant results, the study determined that the proximity threshold for neighboring points in density estimation should be set at 0.1, and a factor of 1.5 times the standard deviation was chosen as the tuning parameter for sparsity threshold The highlighted sections in the three parts of Figure 13, respectively, show the areas with a higher likelihood of crack occurrence within the various projection planes of the bridge point cloud data, with the red areas indicating a higher probability of crack formation. The detection results revealed one crack in the bridge, with the following characteristics: Crack 1: length: 915.65 mm; width: 1.15 m; depth: 7.07 m.
The following images represent the results of the analysis, showing the regions with a higher probability of sparse areas in the x-y, x-z, and y-z planes after adjusting the threshold for the distance between adjacent points. Additionally, the connected regions along the X-axis, after parameter adjustment, have been visualized and marked.
Figure 14A–C and Table 2 illustrate the varying sensitivity in detecting areas with a higher probability of crack presence on the bridge as the distance threshold between neighboring points increases during the density calculation. Among these, Figure 14B shows the highest sensitivity. After several tests involving the fine-tuning of the distance threshold between neighboring points, it was found that the optimal threshold n should be between 0.01 and 1.0, using the first 2000 rows of the dataset from these tests.
The following are combined results showing the visualization of sparse locations after each adjustment of the sparsity threshold, along with the visualization and marking of the connected regions on the X-axis after the adjustments.
Figure 15A–C and Table 3 show the gradually decreasing sensitivity in detecting areas with a higher probability of crack presence on the bridge as the sparsity threshold adjustment factor increases during the density calculation. Based on several fine-tuning tests of the sparsity threshold, it was found that the optimal threshold k should be between 0.5 and 2.0, using the first 2000 rows of the dataset from these tests.
Based on the comprehensive results, the length and height of the sparse regions suggest potential areas for crack occurrence in the inspected bridge. However, in each run where cracks were detected, no clearly defined regions were identified along the width dimension. Furthermore, in conjunction with the manual inspection report of the bridge, no cracks were found in the locations indicated by the experimental results. It can be concluded that the detection of sparse areas was caused by uneven sampling rates and operational deviations during data collection. Therefore, the detection results based on the method proposed in this paper indicate that there are no significant structural cracks in the bridge, which is consistent with the results obtained using conventional methods.

4.2.2. Display of Particle Swarm Optimization Results and Crack Detection Results

As shown in the numerical results on the far left of Figure 16, two parameters were learned and iterated using the particle swarm optimization algorithm. In the density calculation, the optimal values for adjusting the distance threshold between neighboring points and the sparsity threshold were found to be 1.6147 and 0.2368, respectively. Furthermore, after inputting these parameter values into the crack detection program, relatively accurate crack detection results were obtained (the detection results for areas with a higher probability of crack presence exhibited a red–blue distribution similar to the standard values).
Furthermore, a three-dimensional graph related to the parameters of a particle swarm optimization (PSO) algorithm, often referred to as a parameter sensitivity analysis graph, is typically used to visualize the impact of algorithm parameters (such as the number of particles, inertia weight, learning factor, etc.) on the optimization results (such as the optimal solution, convergence speed, computational time, etc.). This three-dimensional graph is usually composed of two parameters (algorithm parameters) and one indicator of the optimization result, forming a cube. Each face of the cube represents a specific value of one parameter, while the body of the cube represents the optimization result under that parameter combination. Consequently, this study further conducted parameter sensitivity analysis through the drawing of the three-dimensional graph related to PSO algorithm parameters.
Figure 17 presents the three-dimensional graph related to the parameters involved in this study. By observing the data distribution, it was found that the data points exhibit a normal distribution in most areas, with some areas showing clustering, such as (0.8, 1.5, 250). This indicates that the dataset is relatively stable but with strong correlations or outliers. In future research, further data analysis and validation are needed to confirm the validity of these points.

4.3. Analysis of Deformation Detection Results

The study employed the deformation detection model, as outlined in the previous sections, to analyze the spatial changes in both the overall bridge structure and its individual components. Utilizing the “registration_icp” point cloud registration algorithm from Open3D, the research examined the point cloud data of Hedong Bridge for the years 2017 and 2018. This approach enabled the determination of the rigid body displacement for the overall bridge structure, which was subsequently used to assess the spatial shape changes in Hedong Bridge.
The detection results revealed that the overall structure of Hedong Bridge has experienced small translational and rotational movements along/around the x-, y-, and z-axes of the bridge. Specifically, the overall bridge structure experienced a translation of 0.0784 m along/around the x-axis, −0.1577 m along/around the y-axis, and 0.0164 m along/around the z-axis. Notably, the fourth span exhibited more significant changes, with translations of 0.5673 m along/around the x-axis, −0.2243 m along/around the y-axis, and 0.3800 m along/around the z-axis. The corresponding rotations were measured as 0.1253°, −0.0569°, and 0° along/around the x-, y-, and z-axes, respectively. These findings indicate that while the overall bridge structure underwent minimal movements, the fourth span experienced more pronounced spatial alterations, highlighting the importance of detailed component-level analysis in structural health monitoring.

4.4. Model Updating Results and Structural Health Assessment

For continuous rigid frame curved bridges, factors such as the vertical settlement at the pier base, the change in the inclination angle at the pier base, the effects of overall temperature rise and fall, solar radiation temperature, shrinkage and creep, stiffness reduction, and the transverse offset at the pier top are all primary factors that lead to cracks and spatial shape changes during the service life of the bridge. In the modeling process, for Hedong Bridge, this study employs the solid95 element to simulate concrete and the link8 element to simulate prestressed steel. Additionally, the local column coordinate system is utilized for constraint settings and node displacement readings, with the positive x-axis oriented radially outward and the positive z-axis oriented vertically upwards. For different types of bridge piers, constraints are set on the horizontal, longitudinal, and vertical displacements (i.e., x, y, and z directions) of the nodes at the pier base and the corresponding nodes on the bottom surface of the main girder. Furthermore, this paper references relevant static parameters involving bridge material strength parameters, concrete strength, steel strength, geometric parameters, stiffness parameters, load parameters, and boundary conditions to establish the model updating matrix. Firstly, the value range of each static parameter is defined to represent the possible variation interval of the parameter, such as concrete compressive strength σ comp 30 , 50   Mpa ; steel yield strength σ yield 400 , 600   Mpa ; and elastic modulus E concrete 25 , 35   Gpa , E steel 190 , 210   Gpa .
Furthermore, a finite element model parameter matrix of the bridge before and after service is established, consisting of parameters and their value ranges. This matrix is then used in combination with the “cracks + deformation” fused data to update the parameters of the bridge finite element model:
P = Parameter MinValue MaxValue σ comp 30 50 σ yield 400 600 E concrete 25 35 E steel 190 210

5. Discussion

This study has conducted in-depth theoretical analysis and empirical research on the identification of bridge structural degradation and the updating of finite element models. Initially, a preprocessing method for bridge point cloud data was proposed, along with the determination of the key parameter value ranges. Subsequently, based on extensive point cloud data, methods for identifying bridge cracks and spatial morphological changes were explored and optimized, enhancing accuracy and efficiency compared to traditional manual crack inspection and two-dimensional image-based crack recognition. Furthermore, particle swarm optimization algorithms were selected to optimize two key parameters in crack detection, verifying the reliability and precision of the algorithms. Additionally, the study summarized deformation detection methods based on point cloud data, selected appropriate algorithms for engineering practice, and established a framework for bridge model updating. Finally, by integrating bridge crack and deformation detection results, and incorporating Bayesian model correction and adaptive nested sampling methods, the parameter setting process for bridge finite element models was further completed and applied to the analysis of point cloud data from the Hedong Bridge in 2017 and 2018.
It is worth noting that the proposed approach offers significant advantages in terms of computational cost and efficiency compared to traditional methods. The use of AI algorithms for crack detection and deformation analysis eliminates the need for extensive manual inspections, saving both time and labor costs. In the case of Hedong Bridge, for instance, the crack and deformation identification program based on bridge point cloud data proposed in this study can complete the identification of deterioration within ten minutes for this six-span bridge, which is over 500 m long. Additionally, following the bridge point cloud data preprocessing process proposed in this study can reduce the time required to identify potential deterioration areas in the bridge by a factor of five. Additionally, the integration of point cloud data and advanced computing methods reduces the reliance on long-term sensor installations, further reducing maintenance and operational costs. The streamlined process of generating bridge diagnosis reports based on point cloud data significantly improves the efficiency and timeliness of decision making for bridge maintenance and rehabilitation.
In conclusion, this study has made a significant contribution to the field of bridge engineering by proposing a comprehensive framework for the identification of bridge structural degradation and the updating of finite element models. The research results indicate that the use of large-scale point cloud data and advanced computing methods can improve the accuracy and reliability of bridge structure detection, and combining bridge diagnosis reports based on point cloud data for updating the finite element model of bridge structures can obtain more accurate, complete, and macroscopic update results.

6. Conclusions

This study explores methods for identifying bridge cracks and structural deformations based on three-dimensional point cloud data through in-depth theoretical analysis and empirical research. Additionally, a finite element model framework was established based on the results of bridge structural degradation identification. The specific details include the following:
(1) A summary of a novel preprocessing method for bridge point cloud data was provided, along with the determination of key parameter value ranges, enhancing data quality and usability for structural analysis and laying the foundation for optimizing the identification of bridge cracks and spatial morphological changes.
(2) Furthermore, the research team developed an algorithm model for identifying bridge crack regions using three-dimensional point cloud data in MATLAB, validating the feasibility of the method with practical bridge examples.
(3) The article employs particle swarm optimization algorithms to optimize key parameters in crack detection, ensuring the reliability and precision of the algorithms.
(4) The article summarizes deformation detection methods based on point cloud data and adapts algorithm selection based on practical engineering applications.
(5) The framework for bridge model updating is summarized, integrating Bayesian model correction and adaptive nested sampling methods that are more relevant to bridge engineering. A universal method for updating finite element model parameters is provided to accurately reflect the current condition of the bridge.
The findings of this research have significant implications for bridge engineering, demonstrating a more accurate and effective approach to identifying structural issues in bridges using large-scale point cloud data and advanced computational methods. This contributes to enhancing the safety and reliability of bridge structures and establishes a solid foundation for bridge engineers to make informed maintenance and rehabilitation decisions.
However, the reliance on massive point cloud data poses challenges in terms of data processing and storage. The large scale of the data can be computationally intensive and may require significant storage space, potentially limiting its practical application in certain scenarios. Furthermore, the accuracy of the method could be affected by the quality of the point cloud data. Inaccuracies or inconsistencies in the data, such as noise or missing points, might lead to false detections or the underestimation of structural issues. In addition, while the proposed method demonstrates effectiveness in detecting cracks and deformations, its applicability to a wide range of bridge types and conditions may be limited. Further research is needed to assess its robustness and effectiveness in different environmental and structural contexts.
Future research will build upon the current study by addressing its limitations and expanding its scope. To enhance data quality, the point cloud preprocessing algorithm will be optimized. Additionally, research will focus on automating the determination of key parameters in crack identification algorithms to improve recognition efficiency. More effective point cloud registration and feature extraction methods will be developed to accommodate complex bridge structures. Recognizing the importance of parameter correlation, a more rational model updating framework will be established. The accuracy of the FE model updating process will be determined by more rigorously defined tolerance criteria, using statistical measures like the coefficient of variation or confidence intervals. The iterative nature of the updating process will be emphasized, refining the parameter values until the discrepancies between the model predictions and actual measurements fall within an acceptable range. The validation of the updated FE model’s performance will be enhanced through specific metrics comparing displacement fields, stress distributions, or modal properties between the model and actual bridges. Uncertainty analysis will estimate the range of possible parameter values and propagate uncertainties in measurements and model parameters. The proposed methods’ applicability will be verified through more bridge case studies, and attempts will be made to extend them to other civil engineering structures. These research efforts aim to advance bridge structural health monitoring and maintenance technology, ensuring safer bridge operations.

Author Contributions

Conceptualization, Z.S. and S.Z.; methodology, Z.S.; software, S.Z.; validation, Z.S., S.Z. and Z.L.; formal analysis, S.Z.; investigation, S.Z.; resources, Z.S.; data curation, B.L.; writing—original draft preparation, S.Z.; writing—review and editing, Z.S.; visualization, S.Z.; supervision, Z.S.; project administration, Z.S.; funding acquisition, Z.L. All authors have read and agreed to the published version of the manuscript.

Funding

This research was funded by the National Natural Science Foundation of China [Grant No. 52408145] and the Natural Science Foundation of Chongqing [Grant No. CSTB2023NSCQ-MSX1013]. The support is gratefully acknowledged.

Institutional Review Board Statement

Not applicable.

Informed Consent Statement

Not applicable.

Data Availability Statement

The original contributions presented in the study are included in the article, further inquiries can be directed to the corresponding author.

Conflicts of Interest

The authors declare no conflicts of interest.

References

  1. Kim, I.-H.; Jeon, H.; Baek, S.-C.; Hong, W.-H.; Jung, H.-J. Application of crack identification techniques for an aging concrete bridge inspection using an unmanned aerial vehicle. Sensors 2018, 18, 1881. [Google Scholar] [CrossRef] [PubMed]
  2. Xiong, C. Method for Identifying Cracks In Mass Concrete of Bridge Engineering based on Image Processing. In Proceedings of the 2020 IEEE International Conference on Industrial Application of Artificial Intelligence (IAAI), Harbin, China, 25–27 December 2020; IEEE: New York, NY, USA, 2020; pp. 284–290. [Google Scholar]
  3. Tong, T.; Lin, J.; Hua, J.; Gao, F.; Zhang, H. Crack identification for bridge condition monitoring using deep convolutional networks trained with a feedback-update strategy. Maint. Reliab. Cond. Monit. 2021, 1, 37–51. [Google Scholar] [CrossRef]
  4. Dan, D.; Dan, Q. Automatic recognition of surface cracks in bridges based on 2D-APES and mobile machine vision. Measurement 2021, 168, 108429. [Google Scholar] [CrossRef]
  5. Zheng, Y.; Gao, Y.; Lu, S.; Mosalam, K.M. Multistage semisupervised active learning framework for crack identification, segmentation, and measurement of bridges. Comput. Aided Civ. Infrastruct. Eng. 2022, 37, 1089–1108. [Google Scholar] [CrossRef]
  6. Su, H.; Wang, X.; Han, T.; Wang, Z.; Zhao, Z.; Zhang, P. Research on a U-Net bridge crack identification and feature-calculation methods based on a CBAM attention mechanism. Buildings 2022, 12, 1561. [Google Scholar] [CrossRef]
  7. Dorafshan, S.; Thomas, R.J.; Maguire, M. Comparison of deep convolutional neural networks and edge detectors for image-based crack detection in concrete. Constr. Build. Mater. 2018, 186, 1031–1045. [Google Scholar] [CrossRef]
  8. Yeum, C.M.; Dyke, S.J. Vision-based automated crack detection for bridge inspection. Comput. Aided Civ. Infrastruct. Eng. 2015, 30, 759–770. [Google Scholar] [CrossRef]
  9. Chen, X.; Li, J.; Huang, S.; Cui, H.; Liu, P.; Sun, Q. An automatic concrete crack-detection method fusing point clouds and images based on improved otsu’s algorithm. Sensors 2021, 21, 1581. [Google Scholar] [CrossRef]
  10. Lou, Y.; Meng, S.; Zhou, Y. Deep learning-based three-dimensional crack damage detection method using point clouds without color information. Struct. Health Monit. 2024, 14759217241236929. [Google Scholar] [CrossRef]
  11. Weng, G.; Yang, L.; Xiyu, Z. Stress testing of steel suspender of arch bridge model based on induced magnetic flux method. Adv. Mater. Sci. Eng. 2020, 2020, 7470156. [Google Scholar] [CrossRef]
  12. Tian, Y.; Wang, L.; Zhang, J. Time-varying frequency-based scaled flexibility identification of a posttensioned concrete bridge through vehicle–bridge interaction analysis. Struct. Control. Health Monit. 2021, 28, e2631. [Google Scholar] [CrossRef]
  13. Xiang, S.; Wang, D.; Yang, L.; Tan, B. Study on the life cycle simulation method of the temperature field and temperature effect of a steel–concrete composite bridge deck system. Meas. Control. 2021, 54, 1068–1081. [Google Scholar] [CrossRef]
  14. Wang, L.; Wang, H.; Yang, K.; Xie, S.; Wei, G.; Li, R.; Wang, W. Full-Scale Prefabrication and Non-Destructive Quality Monitoring of Novel Bridge Substructure for “Pile-Column Integration”. Buildings 2022, 12, 715. [Google Scholar] [CrossRef]
  15. Tjahjadi, M.E.; Parsamardhani, L.A.; Suhari, K.T. Bridge Structural Deformation Monitoring Using Digital Camera. IOP Conference Series: Earth and Environmental Science. IOP Publ. 2022, 1051, 012009. [Google Scholar]
  16. Deng, Z.; Huang, M.; Wan, N.; Zhang, J. The Current Development of Structural Health Monitoring for Bridges: A Review. Buildings 2023, 13, 1360. [Google Scholar] [CrossRef]
  17. Aktan, E.; Bartoli, I.; Glišić, B.; Rainieri, C. Lessons from Bridge Structural Health Monitoring (SHM) and Their Implications for the Development of Cyber-Physical Systems. Infrastructures 2024, 9, 30. [Google Scholar] [CrossRef]
  18. Yuan, X. Monitoring of Structural Quality under Construction Using 3D Point Cloud Data. Ph.D. Dissertation, The University of New Mexico, Albuquerque, NM, USA, 2020. [Google Scholar]
  19. Yang, J.; Bao, Y.; Sun, Z.; Meng, X. Computer Vision-Based Real-Time Identification of Vehicle Loads for Structural Health Monitoring of Bridges. Sustainability 2024, 16, 1081. [Google Scholar] [CrossRef]
  20. Zhao, X.; Li, W.; Sun, Z.; Zhang, M.; Huang, L. In-situ observation and calibration for structure safety diagnosis through finite element analysis and mixed reality. Adv. Eng. Inform. 2024, 60, 102415. [Google Scholar] [CrossRef]
  21. De Domenico, D.; Messina, D.; Recupero, A. Quality control and safety assessment of prestressed concrete bridge decks through combined field tests and numerical simulation. Structures 2022, 39, 1135–1157. [Google Scholar] [CrossRef]
  22. Song, J.; Xia, S.; Wang, J.; Chen, D. Curved buildings reconstruction from airborne LiDAR data by matching and deforming geometric primitives. IEEE Trans. Geosci. Remote Sens. 2020, 59, 1660–1674. [Google Scholar] [CrossRef]
  23. Chen, H.; Huang, Y.; Xie, Q.; Liu, Y.; Zhang, Y.; Wei, M.; Wang, J. Multiscale feature line extraction from raw point clouds based on local surface variation and anisotropic contraction. IEEE Trans. Autom. Sci. Eng. 2021, 19, 1003–1016. [Google Scholar] [CrossRef]
  24. Hermosilla, P.; Ritschel, T.; Ropinski, T. Total denoising: Unsupervised learning of 3D point cloud cleaning. In Proceedings of the IEEE/CVF International Conference on Computer Vision, Seoul, Republic of Korea, 27 October–2 November 2019; pp. 52–60. [Google Scholar]
  25. Guo, X.; Shi, Z.; Yu, B.; Zhao, B.; Li, K.; Sun, Y. 3D measurement of gears based on a line structured light sensor. Precis. Eng. 2020, 61, 160–169. [Google Scholar] [CrossRef]
  26. Wen, X.; Wang, X.; Hou, J.; Ma, L.; Zhou, Y.; Jiang, J. Lossy geometry compression of 3d point cloud data via an adaptive octree-guided network. In Proceedings of the 2020 IEEE International Conference on Multimedia and Expo (ICME), London, UK, 6–10 July 2020; IEEE: New York, NY, USA, 2020; pp. 1–6. [Google Scholar]
  27. Wei, J.; Lin, G.; Yap, K.H.; Hung, T.Y.; Xie, L. Multi-path region mining for weakly supervised 3d semantic segmentation on point clouds. In Proceedings of the IEEE/CVF Conference on Computer Vision and Pattern Recognition, Seattle, WA, USA, 13–19 June 2020; pp. 4384–4393. [Google Scholar]
  28. Ghahremani, M.; Williams, K.; Corke, F.; Tiddeman, B.; Liu, Y.; Wang, X.; Doonan, J.H. Direct and accurate feature extraction from 3D point clouds of plants using RANSAC. Comput. Electron. Agric. 2021, 187, 106240. [Google Scholar] [CrossRef]
  29. Imad, M.; Doukhi, O.; Lee, D.J. Transfer learning based semantic segmentation for 3D object detection from point cloud. Sensors 2021, 21, 3964. [Google Scholar] [CrossRef] [PubMed]
  30. Mirzaei, K.; Arashpour, M.; Asadi, E.; Masoumi, H.; Bai, Y.; Behnood, A. 3D point cloud data processing with machine learning for construction and infrastructure applications: A comprehensive review. Adv. Eng. Inform. 2022, 51, 101501. [Google Scholar] [CrossRef]
  31. Akagic, A.; Krivić, S.; Dizdar, H.; Velagić, J. Computer vision with 3d point cloud data: Methods, datasets and challenges. In Proceedings of the 2022 XXVIII International Conference on Information, Communication and Automation Technologies (ICAT), Sarajevo, Bosnia and Herzegovina, 16–18 June 2022; IEEE: New York, NY, USA, 2022; pp. 1–8. [Google Scholar]
  32. Jiang, J.; Lu, X.; Zhao, L.; Dazaley, R.; Wang, M. Masked autoencoders in 3d point cloud representation learning. IEEE Trans. Multimed. 2023, 1–12. [Google Scholar] [CrossRef]
  33. Bolzon, G.; Maier, G.; Panico, M. Material model calibration by indentation, imprint mapping and inverse analysis. Int. J. Solids Struct. 2004, 41, 2957–2975. [Google Scholar] [CrossRef]
  34. Maier, G.; Bocciarelli, M.; Fedele, R. Inverse Analyses in Fracture Mechanics. Int. J. Fract. 2006, 138, 47–73. [Google Scholar] [CrossRef]
  35. Behmanesh, I.; Moaveni, B. Model updating of structures with temperature-dependent properties using a Hierarchical Bayesian framework. In SHMII-2015; Tufts University: Medford, MA, USA, 2015. [Google Scholar]
  36. Beck, J.L.; Katafygiotis, L.S. Updating models and their uncertainties. I: Bayesian statistical framework. J. Eng. Mech. 1998, 124, 455–461. [Google Scholar] [CrossRef]
  37. Feng, Z.; Wang, W.; Zhang, J. Probabilistic Structural Model Updating with Modal Flexibility Using a Modified Firefly Algorithm. Materials 2022, 15, 8630. [Google Scholar] [CrossRef]
  38. Wang, C.; Zhang, H. A probabilistic framework to optimize the target proof load for existing bridges. Innov. Infrastruct. Solut. 2020, 5, 12. [Google Scholar] [CrossRef]
  39. Chen, J.; Zhang, C.; Tang, P. Geometry-based optimized point cloud compression methodology for construction and infrastructure management. Comput. Civ. Eng. 2017, 2017, 377–385. [Google Scholar]
  40. Bao, Y.; Wen, Y.; Tang, C.; Sun, Z.; Meng, X.; Zhang, D.; Wang, L. Three-Dimensional Point Cloud Denoising for Tunnel Data by Combining Intensity and Geometry Information. Sustainability 2024, 16, 2077. [Google Scholar] [CrossRef]
  41. Kennedy, J.; Eberhart, R. Particle swarm optimization. In Proceedings of the ICNN’95-International Conference on Neural Networks, Perth, WA, Australia, 27 November–1 December 1995; Volume 4, pp. 1942–1948. [Google Scholar]
  42. Xia, Z.; Li, A.; Li, J.; Shi, H.; Duan, M.; Zhou, G. Model updating of an existing bridge with high-dimensional variables using modified particle swarm optimization and ambient excitation data. Measurement 2020, 159, 107754. [Google Scholar] [CrossRef]
  43. Kennedy, J. Particle swarm optimization. In Encyclopedia of Machine Learning; Springer: Berlin/Heidelberg, Germany, 2011; pp. 760–766. [Google Scholar]
  44. Xu, X.; Hong, Y.; Xu, J.; Zhou, Z.; Pu, Q.; Wen, X. Bridge Finite Element Model Updating Based on Adaptive Nested Sampling and Bayesian Theory. J. Southwest Jiaotong Univ. 2023, 1–11. [Google Scholar] [CrossRef]
  45. Sun, Z.; Shi, Y.; Xiong, W.; Tang, P. Vision-Based Correlated Change Analysis for Supporting Finite Element Model Updating on Curved Continuous Rigid Frame Bridges. In Proceedings of the Construction Research Congress 2020, Tempe, AZ, USA, 8–10 March 2020; American Society of Civil Engineers: Reston, VA, USA, 2020; pp. 380–389. [Google Scholar]
  46. Liu, G.; Jiang, W. Model updating of a prestressed concrete rigid frame bridge using multiple Markov chain Monte Carlo method and differential evolution. Int. J. Struct. Stab. Dyn. 2022, 22, 2240020. [Google Scholar] [CrossRef]
  47. Gardner, L.; Kyvelou, P.; Herbert, G.; Buchanan, C. Testing and initial verification of the world’s first metal 3D printed bridge. J. Constr. Steel Res. 2020, 172, 106233. [Google Scholar] [CrossRef]
  48. Yao, M. Analysis and Research on the Application of 3D Laser Scanning Technology in Bridge Deformation Monitoring. Master’s Thesis, Zhejiang University of Technology, Hangzhou, China, 2014. [Google Scholar]
  49. Ma, L. Classification and Application of Terrestrial 3D Laser Scanners. Geospat. Inf. 2005, 3, 60–62. [Google Scholar]
Figure 1. Vision map of research methods in articles.
Figure 1. Vision map of research methods in articles.
Applsci 14 10007 g001
Figure 2. Point cloud secondary thinning process and effect diagram.
Figure 2. Point cloud secondary thinning process and effect diagram.
Applsci 14 10007 g002
Figure 3. Schematic diagram of noise and outliers in bridge point cloud data.
Figure 3. Schematic diagram of noise and outliers in bridge point cloud data.
Applsci 14 10007 g003
Figure 4. Point cloud filtering of bridge data in 2017.
Figure 4. Point cloud filtering of bridge data in 2017.
Applsci 14 10007 g004
Figure 5. Manual registration renderings of point clouds.
Figure 5. Manual registration renderings of point clouds.
Applsci 14 10007 g005
Figure 6. Framework for mixed modeling crack detection process based on spatiotemporal data.
Figure 6. Framework for mixed modeling crack detection process based on spatiotemporal data.
Applsci 14 10007 g006
Figure 7. Diagram of the correspondence between flocking principles and particle swarm optimization algorithm.
Figure 7. Diagram of the correspondence between flocking principles and particle swarm optimization algorithm.
Applsci 14 10007 g007
Figure 8. Particle swarm optimization algorithm flowchart.
Figure 8. Particle swarm optimization algorithm flowchart.
Applsci 14 10007 g008
Figure 9. Framework diagram of deformation detection process model.
Figure 9. Framework diagram of deformation detection process model.
Applsci 14 10007 g009
Figure 10. Segmentation rendering of bridge piers.
Figure 10. Segmentation rendering of bridge piers.
Applsci 14 10007 g010
Figure 11. Flow chart for updating parameters of bridge finite element model.
Figure 11. Flow chart for updating parameters of bridge finite element model.
Applsci 14 10007 g011
Figure 12. Elevations and plans of the continuous rigid frame section of Hedong Bridge (unit: cm).
Figure 12. Elevations and plans of the continuous rigid frame section of Hedong Bridge (unit: cm).
Applsci 14 10007 g012
Figure 13. Standard control group operation results.
Figure 13. Standard control group operation results.
Applsci 14 10007 g013
Figure 14. Results of the crack detection program based on different proximity thresholds for neighboring points in density estimation: (A) Results with a parameter selection of 0.01, (B) Results with a parameter selection of 0.08, (C) Results with a parameter selection of 1.0.
Figure 14. Results of the crack detection program based on different proximity thresholds for neighboring points in density estimation: (A) Results with a parameter selection of 0.01, (B) Results with a parameter selection of 0.08, (C) Results with a parameter selection of 1.0.
Applsci 14 10007 g014
Figure 15. Results of the crack detection program based on different tuning parameter for sparsity threshold: (A) Results with a parameter selection of 0.5, (B) Results with a parameter selection of 1.0, (C) Results with a parameter selection of 2.0.
Figure 15. Results of the crack detection program based on different tuning parameter for sparsity threshold: (A) Results with a parameter selection of 0.5, (B) Results with a parameter selection of 1.0, (C) Results with a parameter selection of 2.0.
Applsci 14 10007 g015
Figure 16. Particle swarm optimization results and crack detection result graph.
Figure 16. Particle swarm optimization results and crack detection result graph.
Applsci 14 10007 g016
Figure 17. Three-dimensional graph of parameter correlation.
Figure 17. Three-dimensional graph of parameter correlation.
Applsci 14 10007 g017
Table 1. Comparison table of point cloud registration methods.
Table 1. Comparison table of point cloud registration methods.
MethodDescriptionSuitability
Iterative Closest Point (ICP)Iteratively finding the closest point pairs between two point clouds, optimizing rotation, and translation transformations.Suitable for small transformations between two point clouds.
Feature-Matching MethodsUses features like normals, curvature, and keypoints for matching.Suitable for larger transformations with low initial registration accuracy.
Surface-based RegistrationEstimates a surface model for point cloud registration.Insensitive to noise and missing data, best when surface shape changes are minimal.
Global Optimization MethodsOptimizes a global objective function using techniques like genetic algorithms or simulated annealing.Best for large-scale point cloud data with complex transformations.
Deep Learning MethodsUtilizes CNNs or GANs to learn transformations between point clouds.Suitable for complex or nonlinear transformations, leveraging data-driven approaches.
Table 2. Program execution parameters and result data.
Table 2. Program execution parameters and result data.
Experiment Number123
Proximity Threshold for Neighboring Points in Density Estimation0.010.081.0
Tuning Parameter for Sparsity Threshold1.51.51.5
Fracture Count011
Length of Potential Crack Area Detected/mm01028.58947.60
Width of Potential Crack Area Detected/m000
Depth of Potential Crack Areas Detected/m07.606.66
Table 3. Program execution parameters and result data.
Table 3. Program execution parameters and result data.
Experiment Number123
Proximity Threshold for Neighboring Points in Density Estimation0.10.10.1
Tuning Parameter for Sparsity Threshold0.51.02.0
Fracture Count110
Length of Potential Crack Area Detected/mm1185.541028.530
Width of Potential Crack Area Detected/m000
Depth of Potential Crack Areas Detected m9.479.470
Disclaimer/Publisher’s Note: The statements, opinions and data contained in all publications are solely those of the individual author(s) and contributor(s) and not of MDPI and/or the editor(s). MDPI and/or the editor(s) disclaim responsibility for any injury to people or property resulting from any ideas, methods, instructions or products referred to in the content.

Share and Cite

MDPI and ACS Style

Sun, Z.; Zhao, S.; Liang, B.; Liu, Z. Structure Deterioration Identification and Model Updating for Prestressed Concrete Bridges Based on Massive Point Cloud Data. Appl. Sci. 2024, 14, 10007. https://doi.org/10.3390/app142110007

AMA Style

Sun Z, Zhao S, Liang B, Liu Z. Structure Deterioration Identification and Model Updating for Prestressed Concrete Bridges Based on Massive Point Cloud Data. Applied Sciences. 2024; 14(21):10007. https://doi.org/10.3390/app142110007

Chicago/Turabian Style

Sun, Zhe, Sihan Zhao, Bin Liang, and Zhansheng Liu. 2024. "Structure Deterioration Identification and Model Updating for Prestressed Concrete Bridges Based on Massive Point Cloud Data" Applied Sciences 14, no. 21: 10007. https://doi.org/10.3390/app142110007

APA Style

Sun, Z., Zhao, S., Liang, B., & Liu, Z. (2024). Structure Deterioration Identification and Model Updating for Prestressed Concrete Bridges Based on Massive Point Cloud Data. Applied Sciences, 14(21), 10007. https://doi.org/10.3390/app142110007

Note that from the first issue of 2016, this journal uses article numbers instead of page numbers. See further details here.

Article Metrics

Back to TopTop